Главная // Актуальные документы // НормативыСПРАВКА
Источник публикации
М., "Экономика", 1988
Примечание к документу
Документ утратил силу на территории Российской Федерации в связи с изданием
Постановления Правительства РФ от 13.06.2020 N 857.
Взамен "Нормативов численности рабочих, обслуживающих очистные сооружения и объекты водоснабжения промышленных предприятий" (М.: НИИ труда, 1979).
Название документа
"Нормативы численности рабочих, обслуживающих очистные сооружения и объекты водоснабжения промышленных предприятий"
(утв. Постановлением Госкомтруда СССР, Секретариата ВЦСПС от 25.05.1987 N 343/18-15)
"Нормативы численности рабочих, обслуживающих очистные сооружения и объекты водоснабжения промышленных предприятий"
(утв. Постановлением Госкомтруда СССР, Секретариата ВЦСПС от 25.05.1987 N 343/18-15)
Утверждены
Постановлением
Государственного комитета СССР
по труду и социальным вопросам
и Секретариата ВЦСПС
от 25 мая 1987 г. N 343/18-15
НОРМАТИВЫ ЧИСЛЕННОСТИ
РАБОЧИХ, ОБСЛУЖИВАЮЩИХ ОЧИСТНЫЕ СООРУЖЕНИЯ
И ОБЪЕКТЫ ВОДОСНАБЖЕНИЯ ПРОМЫШЛЕННЫХ ПРЕДПРИЯТИЙ
Постановлением Государственного комитета СССР по труду и социальным вопросам и Секретариата ВЦСПС от 25 мая 1987 г. N 343/18-15 установлен срок действия данных нормативов до 1993 г.
Нормативы численности рекомендованы для применения на предприятиях и в организациях, имеющих очистные сооружения и объекты водоснабжения промышленных предприятий, независимо от их ведомственной подчиненности.
Нормативы численности разработаны Отраслевым отделом Центра научной организации труда в химической промышленности (г. Минск) (ЦНОТХИМ) под методическим руководством Центрального бюро нормативов по труду Государственного комитета СССР по труду и социальным вопросам (ЦБНТ) при участии научных и нормативно-исследовательских организаций и предприятий Министерства химической промышленности СССР, Министерства легкой промышленности СССР, Министерства лесной, целлюлозно-бумажной и деревообрабатывающей промышленности СССР, Министерства медицинской и микробиологической промышленности СССР, Министерства цветной металлургии СССР, Министерства тракторного и сельскохозяйственного машиностроения СССР, Госагропрома СССР.
Применение поправочных коэффициентов, ослабляющих напряженность нормативов численности, разрешается только с согласия вышестоящей организации и соответствующего профсоюзного комитета.
1.1. Настоящие нормативы предназначены для применения на предприятиях отраслей народного хозяйства, имеющих объекты водоснабжения и очистные сооружения.
1.2. В основу разработки нормативов численности положены: элементные нормативы времени на работы, выполняемые при ведении технологических аппаратурных процессов; фотохронометражные наблюдения, технические характеристики оборудования, технические расчеты, технологические регламенты и рабочие инструкции, результаты анализа организации труда, режимы труда и отдыха, правила техники безопасности.
1.3. Нормативы численности установлены на единицу оборудования и на зону обслуживания.
1.4. Нормативами численности предусматривается явочная численность рабочих в смену, установленная при восьмичасовом рабочем дне и 41-часовой рабочей неделе.
Расчет нормативов численности произведен по формуле
где Нч - норматив численности рабочих на обслуживание оборудования (зоны), чел.;
Tзан - время занятости рабочего на работах по обслуживанию оборудования и рабочего места, мин.;
Tсм - продолжительность рабочей смены, мин.;
Tотл - время на отдых и личные потребности одного рабочего в течение смены, мин.
Списочная численность рабочих рассчитывается на месте.
1.5. Наименования профессий рабочих даны в соответствии с Единым тарифно-квалификационным справочником работ и профессий рабочих:
выпуск 1, раздел "Профессии рабочих, общие для всех отраслей народного хозяйства", утвержденный постановлением Государственного комитета СССР по труду и социальным вопросам и Секретариата ВЦСПС от 31 января 1985 г. N 31/3-30 (М.: Машиностроение, 1986);
выпуск 24, раздел "Общие профессии химических производств", утвержденный постановлением Государственного комитета СССР по труду и социальным вопросам и Секретариата ВЦСПС от 13 февраля 1986 г. N 43/4-61 (М.: НИИ труда, 1986); выпуск 69, раздел "Водопроводно-канализационное хозяйство", утвержденный постановлением Государственного комитета СССР по труду и социальным вопросам и Секретариата ВЦСПС от 18 сентября 1984 г. N 272/77-70 (М.: НИИ труда, 1985), и
выпуск 3, раздел "Строительные, монтажные и ремонтно-строительные работы", утвержденный постановлением Государственного комитета СССР по труду и социальным вопросам, Государственного комитета СССР по делам строительства и Секретариата ВЦСПС от 17 июля 1985 г. N 226/125/15-88 (М.: НИИ труда, 1986).
Наименование профессий рабочих с указанием номеров выпусков ЕТКС приведены в
приложении 3.
При внесении изменений в Единый тарифно-квалификационный справочник наименования профессий рабочих, указанные в настоящем справочнике, должны соответственно изменяться.
1.6. Выполнение работ рабочими не той квалификации, которая указана в Едином тарифно-квалификационном справочнике, не может служить основанием для каких-либо изменений настоящих нормативов.
1.7. Нормативы численности, указанные в
таблицах сборника, установлены для наиболее распространенных условий выполнения работ.
1.8. Приведенные в сборнике пределы числовых значений факторов, в которых указано "до", следует понимать включительно.
1.9. Полученная по зонам (объектам) нормативная численность в дробных величинах суммируется в целом по подразделению и округляется до ближайшего целого числа. В случае округления численности рабочих в сторону увеличения следует применять совмещение профессий или возлагать выполнение дополнительных функций (отбор проб, участие в ремонте, выполнение слесарных работ и др.).
1.10. До внедрения нормативов численности необходимо привести организационно-технические условия в цехах и на производственных участках в соответствие с запроектированными в нормативах численности и осуществлять производственный инструктаж рабочих.
1.11. На работы, не предусмотренные сборником, методом технического нормирования устанавливаются местные нормативы численности.
1.12. При внедрении на предприятиях более прогрессивной, чем это предусмотрено в настоящих нормативах, организации производства и труда, технологии работы оборудования следует устанавливать на предприятиях местные технически обоснованные нормативы.
1.13. Если оборудование, участок, рабочее место обслуживаются меньшим количеством рабочих, чем предусмотрено настоящими нормативами численности и при этом соблюдаются требования правил техники безопасности, технология и качество работ, то сохраняется фактическая численность рабочих.
1.14. В тех случаях, когда настоящим сборником предусмотрено выполнение работ одним исполнителем, а правила безопасного ведения работ предусматривают большую численность, то должна быть установлена численность рабочих, предусмотренная действующими правилами техники безопасности.
1.15. С введением настоящих нормативов утрачивает силу ранее изданный сборник "Нормативы численности рабочих, обслуживающих очистные сооружения и объекты водоснабжения промышленных предприятий" (М.: НИИ труда, 1979), а также другие действующие нормативы, кроме более прогрессивных.
2.1. К очистным сооружениям и объектам водоснабжения промышленных предприятий относятся насосные станции I, II, III подъемов: блоки оборотной воды, водозаборы грунтовых вод, станции обезжелезования воды, хлораторные установки, установки умягчения, осветления и химической очистки воды, станции деминерализации, нейтрализации и дегазации стоков, станции биологической очистки стоков, пожарные гидранты и колодцы, сети водоснабжения и канализации.
2.2. Обслуживание очистных сооружений и объектов водоснабжения промышленных предприятий организуется в соответствии с установленным режимом работы для этих объектов на предприятии.
2.3. Основным условием организации труда на рабочих местах является выполнение и соблюдение рабочими установленного регламентированного перечня работ по обслуживанию указанных объектов и сооружений на предприятии.
2.4. Организация труда на рабочих местах, их планировка и обслуживаемое оборудование приведены в нормативной части сборника.
2.5. Для повышения эффективности труда рабочих рекомендуется создавать бригады или включать рабочих отдельных профессий в комплексные бригады, формируемые на производствах, исходя из конкретных условий, в которых широко используется совмещение профессий и многоагрегатное (многостаночное) обслуживание. При создании бригад следует руководствоваться действующими межотраслевыми рекомендациями по развитию бригадной формы организации и стимулирования труда в промышленности и соответствующими отраслевыми рекомендациями.
2.6. Каждое рабочее место оснащается средствами малой механизации, инструментом, инструкциями в соответствии с требованиями типовых проектов организации труда на рабочих местах, приведенных в аннотированных каталогах типовых проектов организации труда на рабочих местах, участках, в цехах и на предприятиях.
2.7. На обслуживаемых объектах очистных сооружений и водоснабжения контроль технологических процессов должен быть механизирован и автоматизирован (открытие и закрытие задвижек, регулирование скоростей фильтрации, дозировка реагентов, промывка фильтров, подача промывной воды и т.д.). При автоматизации очистных сооружений и других объектов управление всеми узлами осуществляется с дистанционного пульта.
2.8. В зданиях и сооружениях объектов очистных сооружений и водоснабжения должен поддерживаться нормальный температурный режим, влажность и уровень шума в соответствии с
СНиП II-92-76, для чего эти помещения оборудуются соответствующими вентиляционными устройствами и противошумными кабинами.
2.9. Режим труда и отдыха рабочих устанавливается в соответствии с внутренним трудовым распорядком предприятия.
3.1. ОБЪЕКТЫ ВОДОСНАБЖЕНИЯ
3.1.1. Насосные станции I подъема (на водозаборах),
насосные станции II и III подъемов промышленной,
хозяйственно-питьевой и противопожарной
воды, блоки оборотной воды
Зона обслуживания: насосные станции I подъема (на водозаборах); насосные станции II и III подъемов промышленной, хозяйственно-питьевой и противопожарной воды; блоки оборотной воды.
Насосные станции I подъема (на водозаборах) (рис. 3.1).
Рис. 3.1. Планировка зоны обслуживания
насосной станции I подъема:
1 - насосы; 2 - скважины; 3 - щит управления;
4 - щитовая; 5 - противошумная кабина
Содержание работы: забор речной, морской воды и подача ее на насосную станцию I подъема и другие объекты, хлорирование воды. Ведение и регулирование заданного режима. Контроль за работой насосов, электродвигателей, состоянием арматуры и другого оборудования. Пуск и остановка насосов, электродвигателей и другого оборудования в соответствии с графиком или распоряжениями. Проведение мелкого ремонта и прием оборудования из ремонта. Открытие и закрытие задвижек в камерах переключения. Смазка и обтирка работающего и резервного оборудования. Очистка вращающихся сеток от грязи и ила по мере надобности. Периодическое откачивание скопившейся грунтовой воды из насосной. Ведение эксплуатационного журнала и запись показаний приборов. Заправка контрольно-измерительных приборов чернилами. Замена и подпись картограмм. Поддержание чистоты на рабочих местах.
Обслуживаемое оборудование: насосы для забора и подачи воды, дренажные насосы, противопожарные насосы, вращающиеся сетки, вакуумные насосы, колодцы, приемные камеры, водопроводный ковш, щит управления и хлораторы.
Насосные станции II и III подъемов промышленной, хозяйственно-питьевой и противопожарной воды (рис. 3.2).
Рис. 3.2. Планировка зоны обслуживания
насосной станции II и III подъемов:
1 - насосы; 2 - обслуживаемые участки
Содержание работы: забор речной, морской и грунтовой воды, подача ее из резервуаров на объекты, хлорирование воды. Ведение и регулирование заданного режима. Контроль за работой насосов, электродвигателей, КИП и другим оборудованием. Наблюдение за давлением в трубопроводах низкого и высокого напора, за исправным состоянием арматуры и оборудования. Пуск и остановка насосов, электродвигателей и другого вспомогательного оборудования. Проведение мелкого ремонта и прием оборудования из ремонта. Смазка и обтирка работающего и резервного оборудования. Периодическое дренирование воды из насосной. Проведение анализа питьевой воды. Ведение эксплуатационного журнала и запись показаний приборов. Заправка контрольно-измерительных приборов чернилами, замена и подпись картограмм на приборах. Поддержание чистоты на рабочих местах.
Обслуживаемое оборудование: насосы для подачи воды, дренажные насосы, противопожарные насосы, резервуары, камеры переключения, запорная арматура, щит управления.
Блоки оборотной воды (рис. 3.3).
Рис. 3.3. Планировка зоны обслуживания
блоков оборотной воды:
1 - насосы; 2 - камера холодной воды; 3 - камера горячей
воды; 4, 5 - камеры переключения; 6 - градирни
Содержание работы: сбор воды с технологических установок, охлаждение, хлорирование, стабилизация, обработка воды химическими реагентами. Возврат воды на установки. Ведение заданного режима. Наблюдение за работой насосов, вентиляторов, брызгалок. Регулирование холодной и теплой воды в камерах и брызгальных бассейнах. Сбор и откачка нефти из нефтеотделителей. Приготовление суперфосфатного раствора для стабилизации воды и перезарядки баллонов с хлором для хлорирования воды. Отбор проб и проведение анализов горячей и холодной воды. Скалывание льда с градирен и брызгалок, удаление ила. Смазка и обтирка работающего и резервного оборудования. Чистка и обслуживание брызгальных бассейнов и устройств. Контроль за уровнем воды в бассейнах. Пуск и остановка насосов и вентиляторов. Проведение мелкого ремонта и опробование резервного оборудования, прием из ремонта. Заправка контрольно-измерительных приборов чернилами. Замена и подпись картограмм на приборах. Ведение эксплуатационного журнала и запись показаний приборов. Поддержание чистоты на рабочих местах.
Обслуживаемое оборудование: насосы для оборотной воды, дренажные, вакуумные, противопожарные насосы, градирни, нефтеотделители, нефтеловушки, деэмульгаторы, колодцы, распределительное устройство, шламонакопители, установки стабилизации, хлораторные установки, иловые насосные камеры холодной и горячей воды, песколовки.
Профессия - машинист насосных установок.
Производительность, м3/ч | Количество одновременно работающих насосов |
1 | 2 | 3 | 4 | 5 | 6 | 7 | 8 | 9 | 10 | 11 | 12 |
Норматив численности рабочих на 1 насос в смену, чел. |
До 100 | 0,097 | 0,094 | 0,090 | 0,087 | 0,084 | 0,081 | 0,078 | 0,074 | 0,071 | 0,068 | 0,065 | 0,062 |
101 - 200 | 0,098 | 0,095 | 0,092 | 0,088 | 0,085 | 0,082 | 0,079 | 0,076 | 0,073 | 0,069 | 0,066 | 0,063 |
201 - 300 | 0,099 | 0,096 | 0,093 | 0,090 | 0,086 | 0,083 | 0,080 | 0,077 | 0,074 | 0,071 | 0,067 | 0,064 |
301 - 400 | 0,100 | 0,097 | 0,094 | 0,091 | 0,088 | 0,085 | 0,081 | 0,078 | 0,075 | 0,072 | 0,069 | 0,066 |
401 - 500 | 0,102 | 0,099 | 0,095 | 0,092 | 0,089 | 0,086 | 0,083 | 0,079 | 0,076 | 0,073 | 0,070 | 0,067 |
501 - 600 | 0,103 | 0,100 | 0,097 | 0,093 | 0,090 | 0,087 | 0,084 | 0,081 | 0,078 | 0,074 | 0,071 | 0,068 |
601 - 700 | 0,104 | 0,101 | 0,098 | 0,095 | 0,092 | 0,087 | 0,085 | 0,082 | 0,079 | 0,076 | 0,072 | 0,069 |
701 - 800 | 0,105 | 0,102 | 0,099 | 0,096 | 0,093 | 0,088 | 0,086 | 0,083 | 0,080 | 0,077 | 0,074 | 0,071 |
801 - 900 | 0,107 | 0,104 | 0,100 | 0,097 | 0,094 | 0,090 | 0,088 | 0,085 | 0,081 | 0,078 | 0,075 | 0,072 |
901 - 1000 | 0,108 | 0,105 | 0,102 | 0,098 | 0,095 | 0,091 | 0,089 | 0,086 | 0,083 | 0,079 | 0,076 | 0,073 |
1001 - 1500 | 0,114 | 0,111 | 0,108 | 0,105 | 0,102 | 0,092 | 0,095 | 0,092 | 0,089 | 0,086 | 0,083 | 0,079 |
1501 - 2000 | 0,121 | 0,117 | 0,114 | 0,111 | 0,108 | 0,098 | 0,101 | 0,098 | 0,095 | 0,092 | 0,089 | 0,086 |
2001 - 2500 | 0,127 | 0,124 | 0,120 | 0,117 | 0,114 | 0,111 | 0,108 | 0,105 | 0,101 | 0,098 | 0,095 | 0,092 |
2501 - 3000 | 0,133 | 0,130 | 0,127 | 0,124 | 0,120 | 0,117 | 0,114 | 0,111 | 0,108 | 0,105 | 0,101 | 0,098 |
3001 - 3500 | 0,139 | 0,136 | 0,133 | 0,130 | 0,127 | 0,117 | 0,120 | 0,117 | 0,114 | 0,111 | 0,108 | 0,104 |
3501 - 4000 | 0,146 | 0,142 | 0,139 | 0,136 | 0,133 | 0,124 | 0,127 | 0,123 | 0,120 | 0,117 | 0,114 | 0,111 |
4001 - 4500 | 0,152 | 0,149 | 0,146 | 0,142 | 0,139 | 0,130 | 0,133 | 0,130 | 0,127 | 0,123 | 0,120 | 0,117 |
4501 - 5000 | 0,158 | 0,155 | 0,152 | 0,149 | 0,146 | 0,136 | 0,139 | 0,136 | 0,133 | 0,130 | 0,126 | 0,123 |
5001 - 5500 | 0,165 | 0,161 | 0,158 | 0,155 | 0,152 | 0,142 | 0,145 | 0,142 | 0,139 | 0,136 | 0,133 | 0,130 |
5501 - 6000 | 0,171 | 0,168 | 0,164 | 0,161 | 0,158 | 0,149 | 0,152 | 0,149 | 0,145 | 0,142 | 0,139 | 0,136 |
6001 - 6500 | 0,177 | 0,174 | 0,171 | 0,168 | 0,164 | 0,155 | 0,158 | 0,155 | 0,152 | 0,148 | 0,145 | 0,142 |
6501 - 7000 | 0,183 | 0,180 | 0,177 | 0,174 | 0,171 | 0,161 | 0,164 | 0,161 | 0,158 | 0,155 | 0,152 | 0,148 |
7001 - 7500 | 0,190 | 0,186 | 0,183 | 0,180 | 0,177 | 0,167 | 0,171 | 0,167 | 0,164 | 0,161 | 0,158 | 0,155 |
7501 - 8000 | 0,196 | 0,193 | 0,190 | 0,186 | 0,183 | 0,174 | 0,177 | 0,174 | 0,170 | 0,167 | 0,164 | 0,161 |
8001 - 8500 | 0,202 | 0,199 | 0,196 | 0,193 | 0,189 | 0,180 | 0,183 | 0,180 | 1,177 | 0,174 | 0,170 | 0,167 |
8501 - 9000 | 0,208 | 0,205 | 0,202 | 0,199 | 0,196 | 0,193 | 0,189 | 0,186 | 1,183 | 0,180 | 0,177 | 0,174 |
Примечание. При количестве одновременно работающих наносов свыше 12 норматив численности определяется путем умножения предыдущего норматив численности на коэффициент 0, 93.
3.1.2. Водозаборы грунтовых вод
Зона обслуживания: водозаборы грунтовых вод.
Содержание работы: ведение и регулирование заданного режима работы скважинного насоса. Сбор воды в резервуарах. Наблюдение за работой оборудования скважин. Приготовление раствора жидкого хлора в растворном баке и периодическая заправка дозирующих баков хлорной водой. Подготовка и подключение хлорных баллонов к хлораторам, регулирование подачи жидкого хлора и воды на хлораторы. Наблюдение за ходом нейтрализации. Проведение анализов на содержание активного и свободного хлора в хлорируемой жидкости. Смазка и обтирка работающего и резервного оборудования. Открытие и закрытие задвижек. Проведение мелкого ремонта и опробование оборудования. Пуск и остановка оборудования. Ведение эксплуатационного журнала. Заправка контрольно-измерительных приборов чернилами. Замена и подпись картограмм на приборах. Поддержание чистоты на рабочих местах.
Обслуживаемое оборудование: артезианские скважины, колодцы, насосы для перекачки воды, вакуумные и дренажные насосы, насосы пожаротушения, резервуары, водоемы, сифоны, хлораторы и баки для хлорирования.
Профессия - машинист насосных установок.
Таблица 3.1.2
Обслуживаемое оборудование, шт. | Норматив численности рабочих в смену на 1 скважину или на 1 насос для перекачки воды, чел. |
1. Артезианские скважины до 10, насосы для перекачки воды до 10, резервуары, противопожарные сооружения | 0,07 |
2. Артезианские скважины до 30, насосы для перекачки воды до 30, вакуумные резервуары | 0,043 |
3.1.3. Станция водоподготовки
Зона обслуживания: станции водоподготовки (обезжелезования, фильтровальные, нейтрализации, осветления, умягчения, деминерализации, хлорирования).
Содержание работы: ведение процесса химической очистки воды: хлорирование, обессоливание, обескремнивание, натрийкатионирование, известкование и др. Ведение процесса глубокого обессоливания воды методом ионообмена на катионитовых и анионитовых фильтрах и на ионитовых адсорбционных колоннах. Контроль параметров технологического режима, предусмотренных регламентом: температуры, давления, скорости подачи воды, концентрации регенерирующих растворов по показаниям КИПиА и результатам химических анализов. Изменение электропроводности обессоленной воды. Регенерация натрий-катионированных фильтров. Ведение процесса очистки воды от солей на одноступенчатых ионообменных фильтрах. Подготовка сырья: дробление, просев ионообменных смол, осветление и подогрев воды, приготовление растворов заданной концентрации. Расчет потребного количества сырья и выхода продукта. Регулирование подачи воды на последующие технологические стадии производства с пульта управления или вручную. Изменение всего режима химводоочистки при изменении качества поступающей воды. Обеспечение исправной работы всей водоподготовительной системы, своевременной очистки и промывки аппаратов и смазывание частей всех механизмов. Проведение химических анализов конденсата, пара, питательной и топливной воды. Подготовка оборудования к ремонту, прием из ремонта. Запись показателей процесса химводоочистки в производственном журнале.
Профессия - аппаратчик химводоочистки.
Таблица 3.1.3
Зоны обслуживания, оборудование | Норматив численности рабочих по обслуживанию единицы оборудования, чел. |
Станция обезжелезования воды: | |
Фильтр | 0,04 |
Резервуар | 0,01 |
Бактерицидная установка | 0,18 |
Декарбонизатор | 0,04 |
Хлораторное отделение: | |
Контейнер для хлора | 0,05 |
Отстойник | 0,03 |
Градирня | 0,05 |
Насос | 0,03 |
Вентилятор | 0,03 |
Камера переключения | 0,03 |
Фильтровальные станции хозяйственно-питьевой воды: | |
Скоростной фильтр | 0,06 |
Контактный осветлитель | 0,01 |
Отстойник | 0,03 |
Сетка | 0,07 |
Вращающийся фильтр | 0,10 |
Насос | 0,03 |
Камера | 0,03 |
Резервуар | 0,01 |
Станция деминерализации: | |
Водород-катионитовый фильтр | 0,04 |
Анитовый фильтр | 0,03 |
Декарбонизатор | 0,05 |
Брызгоотделитель | 0,05 |
Теплообменник | 0,03 |
Емкость | 0,01 |
Насос | 0,03 |
Реагентное хозяйство: | |
Хлоратор | 0,08 |
Дозирующее устройство | 0,15 |
Бак | 0,01 |
Отстойник | 0,03 |
Мерник | 0,01 |
Расходный банк | 0,03 |
Анитовый фильтр | 0,03 |
Катионитовый фильтр | 0,04 |
Механический фильтр | 0,03 |
Дегазатор | 0,02 |
Теплообменник | 0,03 |
Фильтр смешанного действия | 0,05 |
Бак-сборник | 0 01 |
3.2.1. Станция нейтрализации
Зона обслуживания: станция нейтрализации.
Содержание работы: ведение технологического процесса нейтрализации кислот, различных растворов и других продуктов щелочью, аммиаком и другими нейтрализующими средствами или процесса нейтрализации щелочных растворов кислотами. При необходимости приготовление нейтрализующих растворов: известкового молока, аммиачной воды, содового раствора и др. Загрузка компонентов в аппарат. Перемешивание, отстаивание, фильтрация. Регулирование параметров технологического процесса, предусмотренных технологическим регламентом: скорости подачи компонентов в аппарат, температуры, концентрации и других по показаниям контрольно-измерительных приборов и результатам анализов. Отбор проб и проведение анализов. Обслуживание нейтрализаторов, смесителей, фильтров, теплообменников, центробежных насосов и другого оборудования. Промывка и дегазация оборудования, проверка герметичности системы перед пуском. Выявление и устранение неисправностей в работе оборудования. Ведение записей показателей в производственном журнале.
Обслуживаемое оборудование: камеры нейтрализации, камеры сбора стоков, усреднители, отстойники, насосы.
Профессия - аппаратчик нейтрализации.
Таблица 3.2.1
Зона обслуживания | Производительность очистных сооружений, тыс. м3/сутки |
До 100 | 101 - 500 | 501 - 1000 | 1001 - 1500 | 1501 - 2000 | 2001 - 2500 | 2501 - 3000 | свыше 3000 |
Норматив численности рабочих в смену, чел. |
Станция нейтрализации | 0,5 | 0,6 | 0,7 | 0,8 | 1,0 | 1,5 | 2,0 | 2,8 |
3.2.2. Реагентное хозяйство
Зона обслуживания: реагентное хозяйство.
Содержание работы: приготовление растворов реагентов заданной концентрации и в необходимом количестве. Обслуживание склада извести и других реагентов. Загрузка известегасилки, приготовление известкового молока. Дозировка. Наблюдение за приборами. Ведение журналов. Поддержание чистоты на рабочем месте.
Обслуживаемое оборудование: емкости для приготовления растворов, мерники, известегасилка, мешалки.
Профессия - аппаратчик гашения извести.
Таблица 3.2.2
Зона обслуживания | Производительность очистных сооружений, тыс. м3/сутки |
До 100 | 101 - 500 | 501 - 1000 | 1001 - 1500 | 1501 - 2000 | 2001 - 2500 | 2501 - 3000 | Свыше 3000 |
Норматив численности рабочих в смену, чел. |
Реагентное хозяйство | 0,4 | 0,5 | 0,6 | 0,7 | 0,8 | 1,0 | 1,4 | 2,0 |
3.2.3. Участок обезвоживания осадка
Зона обслуживания: участок обезвоживания осадка.
Содержание работы: ведение технологического процесса фильтрации на участке, оснащенном ленточным, карусельным, барабанным вакуум-фильтрами и другой аппаратурой или ведение процесса фильтрации на барабанных и листовых вакуум-фильтрах с намывным слоем. Обслуживание флотационных уплотнителей, отстойников подыловой воды, сатуратора, резервуара рабочей жидкости и камер переключения осадка, отстойников подыловой воды. Подготовка фильтров к работе. Обслуживание фильтров различных конструкций насосов, сборников, коммуникаций, КИП. Осмотр канализационных колодцев. Подготовка к ремонту, прием из ремонта. Обезвоживание осадка. Поддержание чистоты на рабочем месте.
Обслуживаемое оборудование: шламонакопитель, вакуум-фильтр, бункер для сбора осадка, шламовые площадки.
Профессия - аппаратчик фильтрации.
Таблица 3.2.3
Зона обслуживания | Производительность очистных сооружений, тыс. м3/сутки |
До 100 | 101-500 | 501 - 1000 | 1001 - 1500 | 1501 - 2000 | 2001 - 2500 | 2501 - 3000 | Свыше 3000 |
Норматив численности рабочих в смену, чел. |
Участок обезвоживания осадка | 0,4 | 0,6 | 0,8 | 1,0 | 1,2 | 1,4 | 1,6 | 2,0 |
3.2.4. Насосные станции по перекачке стоков
Зона обслуживания: насосные станции по перекачке стоков.
Содержание работы: перекачка промышленных и фекальных стоков, сырого и сброженного осадка, сбор и перекачка загрязненных стоков, контроль за работой насосов, электродвигателей, вентиляторов, обслуживание приемных резервуаров, колодцев, камер переключения и другого установленного в зоне оборудования.
Обслуживаемое оборудование: насосы, шибера глубинные, вентиляторы, камера приемная.
Профессия - машинист насосных установок.
Таблица 3.2.4
Производительность, м3/ч | Количество одновременно работающих насосов |
1 | 2 | 3 | 4 | 5 | 6 | 7 | 8 | 9 | 10 | 11 | 12 |
Норматив численности рабочих на 1 насос в смену, чел. |
До 100 | 0,097 | 0,094 | 0,090 | 0,087 | 0,084 | 0,081 | 0,078 | 0,074 | 0,071 | 0,068 | 0,065 | 0,062 |
101 - 200 | 0,098 | 0,095 | 0,092 | 0,088 | 0,085 | 0,082 | 0,079 | 0,076 | 0,073 | 0,069 | 0,066 | 0,063 |
201 - 300 | 0,099 | 0,096 | 0,093 | 0,090 | 0,086 | 0,083 | 0,080 | 0,077 | 0,074 | 0,071 | 0,067 | 0,064 |
301 - 400 | 0,100 | 0,097 | 0,094 | 0,091 | 0,088 | 0,085 | 0,081 | 0,078 | 0,075 | 0,072 | 0,069 | 0,066 |
401 - 500 | 0,102 | 0,099 | 0,095 | 0,092 | 0,089 | 0,086 | 0,083 | 0,079 | 0,076 | 0,073 | 0,70 | 0,067 |
501 - 600 | 0,103 | 0,100 | 0,097 | 0,093 | 0,090 | 0,087 | 0,084 | 0,081 | 0,078 | 0,074 | 0,071 | 0,068 |
601 - 700 | 0,104 | 0,101 | 0,098 | 0,095 | 0,092 | 0,088 | 0,085 | 0,082 | 0,079 | 0,076 | 0,072 | 0,069 |
701 - 800 | 0,105 | 0,102 | 0,099 | 0,096 | 0,093 | 0,090 | 0,086 | 0,083 | 0,080 | 0,077 | 0,074 | 0,071 |
801 - 900 | 0,107 | 0,104 | 0,100 | 0,097 | 0,094 | 0,091 | 0,088 | 0,085 | 0,081 | 0,078 | 0,075 | 0,072 |
901 - 1000 | 0,108 | 0,105 | 0,102 | 0,098 | 0,095 | 0,092 | 0,089 | 0,086 | 0,083 | 0,079 | 0,076 | 0,073 |
1001 - 1500 | 0,114 | 0,111 | 0,108 | 0,105 | 0,102 | 0,098 | 0,095 | 0,092 | 0,089 | 0,086 | 0,083 | 0,079 |
1501 - 2000 | 0,121 | 0,117 | 0,114 | 0,111 | 0,108 | 0,105 | 0,101 | 0,098 | 0,095 | 0,092 | 0,089 | 0,086 |
2001 - 2500 | 0,127 | 0,124 | 0,120 | 0,117 | 0,114 | 0,111 | 0,108 | 0,105 | 0,101 | 0,098 | 0,095 | 0,092 |
2501 - 3000 | 0,133 | 0,130 | 0,127 | 0,124 | 0,120 | 0,117 | 0,114 | 0,111 | 0,108 | 0,105 | 0,101 | 0,098 |
3001 - 3500 | 0,139 | 0,136 | 0,133 | 0,130 | 0,127 | 0,124 | 0,120 | 0,117 | 0,114 | 0,111 | 0,108 | 0,104 |
3501 - 4000 | 0,146 | 0,142 | 0,139 | 0,136 | 0,133 | 0,130 | 0,127 | 0,123 | 0,120 | 0,117 | 0,114 | 0,111 |
4001 - 4500 | 0,152 | 0,149 | 0,146 | 0,142 | 0,139 | 0,136 | 0,133 | 0,130 | 0,127 | 0,123 | 0,120 | 0,117 |
4501 - 5000 | 0,158 | 0,155 | 0,152 | 0,149 | 0,146 | 0,142 | 0,139 | 0,136 | 0,133 | 0,130 | 0,126 | 0,123 |
5001 - 5500 | 0,165 | 0,161 | 0,158 | 0,155 | 0,152 | 0,149 | 0,145 | 0,142 | 0,139 | 0,136 | 0,133 | 0,130 |
5501 - 6000 | 0,171 | 0,168 | 0,164 | 0,161 | 0,158 | 0,155 | 0,152 | 0,149 | 0,145 | 0,142 | 0,139 | 0,136 |
6001 - 6500 | 0,177 | 0,174 | 0,171 | 0,168 | 0,164 | 0,161 | 0,158 | 0,155 | 0,152 | 0,148 | 0,145 | 0,142 |
6501 - 7000 | 0,183 | 0,180 | 0,177 | 0,174 | 0,171 | 0,167 | 0,164 | 0,161 | 0,158 | 0,155 | 0,152 | 0,148 |
7001 - 7500 | 0,190 | 0,186 | 0,183 | 0,180 | 0,177 | 0,174 | 0,171 | 0,167 | 0,164 | 0,161 | 0,158 | 0,155 |
7501 - 8000 | 0,196 | 0,193 | 0,190 | 0,186 | 0,183 | 0,180 | 0,177 | 0,174 | 0,170 | 0,167 | 0,164 | 0,161 |
8001 - 8500 | 0,202 | 0,199 | 0,196 | 0,193 | 0,189 | 0,186 | 0,183 | 0,180 | 0,177 | 0,174 | 0,170 | 0,167 |
8501 - 9000 | 0,208 | 0,205 | 0,202 | 0,199 | 0,196 | 0,193 | 0,189 | 0,186 | 0,183 | 0,180 | 0,177 | 0,174 |
Зона обслуживания: решетки, решетки-дробилки (рис. 3.4).
Рис. 3.4. Планировка зоны обслуживания
на решетках-дробилках:
1 - решетки-дробилки; 2 - приемная камера;
3 - корпус управления; 4 - лестница
Содержание работы: обслуживание решеток, решеток-дробилок, механических граблей, щитовых затворов, вентиляционных устройств, электродвигателей, пусковой регулирующей аппаратуры и других механизмов. Наблюдение и регулирование режима работы оборудования. Обеспечение безаварийной и бесперебойной работы всего обслуживаемого оборудования. Транспортировка отбросов к дробилке и дробление их. Выполнение профилактических осмотров оборудования и участие в текущем ремонте. Содержание в чистоте оборудования и рабочего места.
Обслуживаемое оборудование: решетки, решетки-дробилки, приемная камера, грабли механические.
Профессия - оператор на решетке.
Таблица 3.2.5
Зона обслуживания | Производительность очистных сооружений, тыс. м3/сутки |
До 50 | 51 - 100 | 101 - 150 | 151 - 200 | 201 - 250 | 251 - 300 | Свыше 300 |
Норматив численности рабочих в смену, чел. |
Решетки, решетки-дробилки | 0,5 | 0,69 | 0,75 | 0,81 | 0,87 | 0,93 | 1,0 |
3.2.6. Песколовки и жироловки
Зона обслуживания: песколовки и жироловки.
Содержание работы: обслуживание песколовок и жироловок. Пуск и остановка механизмов для удаления песка. Наблюдение за количеством песка в песколовке и определение продолжительности откачки песка. Наблюдение за пуском песка на песковые площадки и регулирование положения затворов на приспособлениях для удаления осветленной воды с площадок. Замеры выгружаемого песка, отбор средней пробы. Ликвидация засоров трубопроводов и гидроэлеватора. Обеспечение бесперебойной работы песколовок и жироловок. Ведение производственного журнала.
Обслуживаемое оборудование: песколовки, жироловки, песковые площадки, насосы, гидроэлеватор, жиросборный колодец.
Профессия - оператор на песколовках и жироловках.
Таблица 3.2.6
Зона обслуживания | Производительность очистных сооружений, тыс. м3/сутки |
До 50 | 51 - 100 | 101 - 150 | 151 - 200 | 201 - 250 | 251 - 300 | Свыше 300 |
Норматив численности рабочих в смену, чел. |
Песколовки, жироловки | 0,69 | 0,75 | 0,81 | 0,87 | 0,93 | 1,0 | 1,1 |
Зона обслуживания: отстойники (рис. 3.5).
Рис. 3.5. Планировка зоны обслуживания
на песколовках и отстойниках:
1 - песколовки; 2 - первичные отстойники; 3 - бункеры
песка; 4 - насосы; 5 - распределительная чаша;
6 - песковые площадки; 7 - лестницы;
8 - рабочее место аппаратчика
Содержание работы: обслуживание первичных и контактных отстойников различных типов. Соблюдение заданного режима работы отстойников. Пуск и остановка механизмов. Спуск осадка из отстойников, наблюдение за его качеством, регулирование продолжительности спуска. Соблюдение заданного режима работы отстойников, регулирование подачи воды. Предупреждение попаданий в сток плавающих предметов после первичных отстойников, накоплений осадков в отстойниках выше установленного уровня. Ликвидация засоров трубопроводов. Текущий и капитальный ремонт, профилактический осмотр механизмов, агрегатов и сооружений.
Обслуживаемое оборудование: первичные отстойники, контактные отстойники, иловые, шламовые площадки, насосы.
Профессия - оператор на отстойниках.
Таблица 3.2.7
Зона обслуживания | Производительность очистных сооружений, тыс. м3/сутки |
До 50 | 51 - 100 | 101 - 150 | 151 - 200 | 201 - 250 | 251 - 300 | Свыше 300 |
Норматив численности рабочих в смену, чел. |
Первичные контактные отстойники | 0,69 | 0,75 | 0,81 | 0,87 | 0,93 | 1,0 | 1,4 |
3.2.8. Двухъярусные отстойники (эмшеры)
Зона обслуживания: эмшеры (двухъярусные отстойники) (рис. 3.6).
Рис. 3.6. Планировка зоны обслуживания
на эмшерах (двухъярусных отстойниках):
1 - эмшеры (двухъярусные отстойники); 2 - лестница
Содержание работы: обслуживание эмшеров (двухъярусных отстойников). Напуск жидкости на эмшер и выпуск ее.
Выпуск зрелого ила. Наблюдение за ходом брожения осадка. Регулярная очистка отстойников, желобов и щелей от крупных отбросов. Контроль за степенью осветления жидкости в сборных желобах. Ликвидация корки. Выявление отклонений от заданного режима брожения и устранение их. Промер осадка и взятие проб. Участие в ремонте сооружений.
Обслуживаемое оборудование: эмшеры (двухъярусные отстойники).
Профессия - оператор на эмшерах.
Таблица 3.2.8
Зона обслуживания | Норматив численности рабочих в смену, чел. |
Эмшеры (двухъярусные отстойники) | 0,17 |
3.2.9. Вторичные отстойники
Зона обслуживания: отстойники вторичные (рис. 3.7).
Рис. 3.7. Планировка зоны обслуживания
на вторичных отстойниках:
1 - отстойники; 2 - распределительные чаши;
3 - иловые камеры; 4 - лестницы
Содержание работы: обслуживание вторичных отстойников различных типов. Пуск и остановка механизмов. Спуск осадка и регулирование продолжительности спуска. Соблюдение заданного режима работы отстойников, регулирование подачи воды. Предупреждение попаданий в сток плавающих предметов, накопления осадков выше установленного уровня. Ликвидация засоров трубопроводов. Текущий, капитальный ремонт механизмов, агрегатов и сооружений. Отбор проб. Профилактический осмотр сооружений.
Обслуживаемое оборудование: отстойники вторичные, илососы, распределительные камеры, иловые камеры, камеры управления задвижками, камеры управления, затворы, щиты водосливные, задвижки.
Профессия - оператор на отстойниках.
Таблица 3.2.9
Зона обслуживания | Производительность очистных сооружений, тыс. м3/сутки |
До 50 | 51 - 100 | 101 - 150 | 151 - 200 | 201 - 250 | 251 - 300 | Свыше 300 |
Норматив численности рабочих в смену, чел. |
Отстойники вторичные | 0,36 | 0,47 | 0,52 | 0,69 | 0,82 | 0,94 | 1,0 |
Зона обслуживания: метантенки (рис. 3.8).
Рис. 3.8. Планировка зоны обслуживания на метантенках:
1 - метантенки; 2 - насосы; 3 - вентиляторы;
4 - паровые инжекторы; 5 - корпус управления; 6 - лестницы
Содержание работы: обслуживание метантенков. Загрузка сырого осадка и активного ила. Наблюдение за уровнем осадка и температурой в метантенке и регулирование подачи пара. Поддержание постоянного давления газа в подкупольном пространстве и газовой сети. Участие в работах по профилактическому и текущему ремонту сооружений и механизмов. Обеспечение отбора сброженного осадка с группы метантенков. Контроль за работой перемешивающих устройств, инжекторов, механических мешалок, гидроэлеваторов. Установление пульта управления на заданный технологически режим. Ведение журнала работы.
Обслуживаемое оборудование: метантенки, насосы, дренажные насосы, паровой инжектор.
Профессия - оператор на метантенках.
Таблица 3.2.10
Зона обслуживания | Производительность очистных сооружений, тыс. м3/сутки |
До 50 | 51 - 100 | 101 - 150 | 151 - 200 | 201 - 250 | 251 - 300 | Свыше 300 |
Норматив численности рабочих в смену, чел. |
Метантенки | 0,44 | 0,58 | 0,7 | 0,80 | 0,88 | 0,94 | 1,2 |
Зона обслуживания: биофильтры (рис. 3.9).
Рис. 3.9. Планировка зоны обслуживания на биофильтрах:
1 - карты; 2 - лестницы; 3 - корпуса биофильтров
Содержание работы: обслуживание секции биофильтров и наблюдение за равномерным распределением воды по их поверхности. Чистка распределительных устройств: спринклерных и реактивных оросителей. Наладка и зарядка дозирующих устройств и чередование периодов зарядки фильтров. Проверка подачи воздуха в фильтр. Ликвидация по необходимости заплываний поверхностей фильтров, штыкование фильтрующего слоя: щебенки, доменного шлака. Ведение производственного журнала.
Обслуживаемое оборудование: биофильтры, дозирующие устройства, распределительные устройства.
Профессия - оператор на биофильтрах.
Таблица 3.2.11
Зона обслуживания | Норматив численности рабочих в смену, чел. |
Биофильтры | 0,46 |
Зона обслуживания: аэротенки (рис. 3.10).
Рис. 3.10. Планировка зоны обслуживания на аэротенках:
1 - аэротенки; 2 - распределительные камеры
Содержание работы: эксплуатация группы аэротенков и поддержание заданного режима их работы. Распределение сточной жидкости, активного ила по аэротенкам. Управление отдельными участками илопроводов, воздуховодов и регулирующими механизмами. Наблюдение за работой аэротенков по контрольно-измерительным приборам. Регулирование подачи воздуха и активного ила. Проведение операций по илогашению. Обеспечение заданного технологического режима работ группы аэротенков. Текущий и профилактический ремонт сооружений. Ведение журнала работы всех сооружений и механизмов.
Обслуживаемое оборудование: аэротенки трехкоридорные, аэротенки четырехкоридорные, камеры регулирования, задвижки, затворы.
Профессия - оператор на аэротенках.
Таблица 3.2.12
Зона обслуживания | Производительность очистных сооружений, тыс. м3/сутки |
До 50 | 51 - 100 | 101 - 150 | 151 - 200 | 201 - 250 | 251 - 300 | Свыше 300 |
Норматив численности рабочих в смену, чел. |
Аэротенки | 0,44 | 0,58 | 0,7 | 0,80 | 0,88 | 0,94 | 1,0 |
3.2.13. Хлораторная установка
Содержание работы: обслуживание хлораторных установок. Апробирование бочек и баллонов с хлором и снятие пустых. Поддержание устанавливаемых лабораторией доз хлора, распределение его по аппаратам, переключение аппаратов. Проверка полного использования хлора в бочках и баллонах. Содержание в исправном состоянии пустых баллонов. Устранение утечки газов из баллонов, бочек, аппаратуры в аварийных ситуациях. Хранение баллонов и бочек, аппаратуры в установленном порядке. При работе с хлорной известью приготовление раствора хлорной извести, гипохлорита и дозирование его. Обеспечение нормальной работы вентиляционных устройств. Участие в текущем ремонте оборудования и установки. Ведение журнала учета расхода хлора (хлорной извести). Содержание в чистоте оборудования и рабочего места.
Рис. 3.11. Планировка зоны обслуживания
на хлораторной установке:
1 - баки для растворения реагентов; 2 - резервный контейнер;
3 - кран ручной подвесной грузоподъемностью 2 т;
4 - контейнеры с хлором на весах; 5 - грязевик; 6 - фильтр;
7 - хлораторы; 8 - холодильник; 9 - адсорбционные колонны;
10 - калорифер; 11 - компрессор; 12 - маслоотделители;
13 - испаритель
Обслуживаемое оборудование: хлоратор от 5 - 50 кг/ч, испаритель, фильтр, насосы, кран, грязевик.
Профессия - аппаратчик хлорирования.
Таблица 3.2.13
Зона обслуживания | Производительность сооружений, тыс. м3/сутки |
До 50 | 51 - 100 | 101 - 150 | 151 - 200 | 201 - 250 | 251 - 300 | Свыше 300 |
Норматив численности рабочих в смену, чел. |
Хлораторная установка | 0,69 | 0,83 | 0,95 | 1,05 | 1,13 | 1,19 | 1,25 |
3.2.14. Иловые площадки, иловые пруды
Зона обслуживания: иловые площадки, иловые пруды.
Содержание работы: обход иловых площадок и иловых прудов. Наблюдение за равномерным напуском осадка по площадкам или иловым прудам согласно графику очередности. Прочистка и промывка дренажной сети, отводных каналов от заиливания. Регулирование спуска осветленной воды по каскаду прудов. Участие в удалении подсушенного осадка. Профилактический осмотр и участие в текущем ремонте.
Обслуживаемые объекты: иловые площадки, иловые пруды.
Профессия - оператор на иловых площадках.
Таблица 3.2.14
Зона обслуживания | Производительность очистных сооружений, тыс. м3/сутки |
До 21 | 21 - 100 | 101 - 150 | 151 - 200 | 201 - 250 | 251 - 300 | Свыше 300 |
Норматив численности рабочих в смену, чел. |
Иловые площадки, иловые пруды | 0,32 | 0,75 | 0,81 | 0,87 | 0,93 | 1,0 | 1,1 |
3.2.15. Поля орошения и фильтрации
Зона обслуживания: поля орошения и фильтрации.
Содержание работы: обход и обслуживание участков полей фильтрации, равномерное распределение сточной жидкости по орошаемым участкам и картам. Прочистка земляных разводных и осушительных каналов от заилений и травы. Профилактический и текущий ремонт оборудования. Ведение журнала учета работ.
Обслуживаемые объекты: поля фильтрации, иловые площадки, колодцы - центральный, инжекторные.
Профессия - оператор полей орошения и фильтрации.
Таблица 3.2.15
Зона обслуживания | Площадь полей, га | Норматив численности рабочих в смену, чел. |
Поля орошения и фильтрации | До 10 | 0,3 |
11 - 15 | 0,5 |
16 - 20 | 0,7 |
21 - 40 | 0,9 |
41 - 60 | 1,1 |
61 - 80 | 1,3 |
81 - 100 | 1,5 |
101 - 120 | 1,7 |
121 - 140 | 1,9 |
3.2.16. Компрессорная станция
Зона обслуживания: компрессорная станция (установка), оборудованная стационарными центробежными компрессорами (рис. 3.12).
Рис. 3.12. Планировка зоны обслуживания
компрессорных установок:
1 - ЦПУ; 2 - нагнетатели; 3 - насосы
Содержание работы: пуск, регулирование и останов компрессоров, контроль за показаниями приборов, устранение мелких неисправностей компрессора и других механизмов и устройств компрессорной установки, переключение и вывод в резерв или на ремонт оборудования компрессорной станции, поддержание чистоты и порядка в помещении, ведение установленной документации и учета работы компрессоров.
Профессия - машинист компрессорных установок.
Для полуавтоматизированных станций (установок) на один работающий компрессор.
Производительность компрессора, м3/ч | Давление сжатого газа, кг/см2 |
До 1 | 1 - 10 |
Норматив численности рабочих в смену, чел. |
До 6000 | 0,128 | 0,130 |
6001 - 15000 | 0,138 | 0,140 |
15001 - 30000 | 0,148 | 0,150 |
30001 - 45000 | 0,158 | 0,160 |
45001 - 60000 | 0,168 | 0,170 |
Свыше 60000 | 0,178 | 0,180 |
Для автоматизированных станций (установок) - один человек в смену при любом количестве компрессоров.
3.2.17. Очистные сооружения и объекты водоснабжения.
Электромонтер по обслуживанию электрооборудования
Зона обслуживания: очистные сооружения и объекты водоснабжения (рис. 3.13).
Рис. 3.13. Планировка стационарного рабочего места
электромонтера по обслуживанию электрооборудования:
1 - стеллажи для запасных частей; 2 - шкафы для спецодежды;
3 - рабочее место электромонтера; 4 - заточный станок;
5 - слесарный верстак; 6 - тумбочка для инструмента;
7 - испытательный стенд; 8 - сверлильный станок
Содержание работы: обслуживание силовых и осветительных установок со схемами включения. Выполнение работ на ведомственных электростанциях, трансформаторных электростанциях с полным их отключением от напряжения. Включение, переключение, выключение, а также подключение и отключение электрооборудования на обслуживаемом объекте или участке.
Проверка и профилактический ремонт обслуживаемого электрооборудования. Определение причин неисправности и устранение несложных повреждений силовой и осветительной сети, пускорегулирующей аппаратуры и электродвигателей.
Разделка, сращивание, изоляция и пайка проводов напряжения до 1000 В. Зарядка и установка осветительной арматуры. Проверка сопротивления изоляции распределительных сетей и обмоток, роторов электродвигателей. Установка и регулировка электрических приборов сигнализации.
Профессия - электромонтер по обслуживанию электрооборудования.
Количество физических единиц оборудования | Количество единиц ремонтной сложности |
До 200 | 201 - 400 | 401 - 600 | 601 - 800 | 801 - 1000 | 1001 - 1200 | 1201 - 1400 | 1401 - 1600 | 1601 - 1800 | 1801 - 2000 | 2001 - 2500 | 2501 - 3000 | 3001 - 3500 | 35001 - 4000 | 4001 - 5000 | Свыше 5000 |
Норматив численности рабочих в смену, чел. |
До 200 | 0,039 | 0,048 | 0,056 | 0,65 | 0,074 | 0,082 | 0,091 | 0,099 | 0,108 | 0,116 | 0,137 | 0,158 | 0,179 | 0,201 | 0,222 | 0,243 |
201 - 400 | 0,081 | 0,090 | 0,098 | 0,107 | 0,115 | 0,124 | 0,132 | 0,141 | 0,149 | 0,158 | 0,178 | 0,200 | 0,221 | 0,242 | 0,263 | 0,285 |
401 - 600 | 0,123 | 0,131 | 0,140 | 0,148 | 0,157 | 0,165 | 0,174 | 0,182 | 0,191 | 0,199 | 0,220 | 0,242 | 0,262 | 0,284 | 0,305 | 0,326 |
601 - 800 | 0,164 | 0,173 | 0,182 | 0,190 | 0,199 | 0,207 | 0,216 | 0,224 | 0,233 | 0,241 | 0,262 | 0,283 | 0,304 | 0,326 | 0,346 | 0,368 |
801 - 1000 | 0,206 | 0,215 | 0,223 | 0,232 | 0,240 | 0,249 | 0,257 | 0,266 | 0,274 | 0,283 | 0,303 | 0,325 | 0,346 | 0,367 | 0,388 | 0,410 |
1001 - 1500 | 0,310 | 0,319 | 0,327 | 0,336 | 0,344 | 0,353 | 0,361 | 0,370 | 0,379 | 0,387 | 0,395 | 0,429 | 0,450 | 0,471 | 0,492 | 0,514 |
1501 - 2000 | 0,415 | 0,423 | 0,432 | 0,440 | 0,499 | 0,457 | 0,466 | 0,474 | 0,483 | 0,491 | 0,511 | 0,533 | 0,554 | 0,575 | 0,596 | 0,618 |
2001 - 2500 | 0,518 | 0,527 | 0,536 | 0,544 | 0,553 | 0,561 | 0,570 | 0,578 | 0,581 | 0,595 | 0,615 | 0,637 | 0,658 | 0,679 | 0,700 | 0,722 |
2501 - 3000 | 0,623 | 0,631 | 0,640 | 0,648 | 0,657 | 0,665 | 0,674 | 0,683 | 0,691 | 0,700 | 0,719 | 0,741 | 0,762 | 0,783 | 0,804 | 0,826 |
3001 - 3500 | 0,727 | 0,736 | 0,744 | 0,753 | 0,761 | 0,770 | 0,778 | 0,787 | 0,795 | 0,804 | 0,823 | 0,845 | 0,866 | 0,887 | 0,908 | 0,930 |
3501 - 4000 | 0,831 | 0,840 | 0,848 | 0,857 | 0,865 | 0,874 | 0,882 | 0,891 | 0,899 | 0,908 | 0,927 | 0,949 | 0,970 | 0,991 | 1,012 | 1,034 |
4001 - 5000 | 0,936 | 0,944 | 0,952 | 0,961 | 0,970 | 0,978 | 0,987 | 0,995 | 1,004 | 1,012 | 1,031 | 1,053 | 1,074 | 1,095 | 1,116 | 1,138 |
Свыше 5000 | 1,040 | 1,048 | 1,057 | 1,065 | 1,074 | 1,082 | 1,091 | 1,099 | 1,108 | 1,116 | 1,135 | 1,157 | 1,178 | 1,199 | 1,220 | 1,242 |
3.2.18. Цех водоснабжения и канализации
Зона обслуживания: цеха водоснабжения и канализации (рис. 3.14).
Рис. 3.14. Планировка стационарного рабочего места
монтажника внутренних санитарно-технических
систем и оборудования:
а - рабочая комната, б - помещение для хранения
материалов, запасных частей, приборов, спецодежды;
1 - шкаф для хранения различных деталей; 2 - верстак;
3 - ящик (переносной); 4 - тележка; 5 - стулья; 6 - столы
слесарей; 7 - подставка; 8 - сверлильный станок;
9 - стеллажи; 10 - шкафы для спецодежды;
11 - бокс для ветоши
Содержание работы: обеспечение водой технологических установок и других объектов. Обслуживание сетей водоснабжения и канализации завода, арматуры на трубопроводах и в колодцах, противопожарных гидрантов. Оперативное переключение системы водоснабжения на технологических установках. Контроль за качеством (визуальный) и количеством сбрасываемых вод в канализацию, за расходом воды на установках, за наполнением противопожарных водоемов. Проверка состояния арматуры на трубопроводах водоснабжения и канализации, кранов питьевой воды, вентиляционных установок и систем кондиционирования центрального отопления. Отбор проб сточных вод с установок. Замер температуры воды и проверка давления воды в водопроводах на выкиде. Регулирование подачи воды на технологические установки, устранение утечки воды. Участие в ремонте сетей водоснабжения и канализации, чистка колодцев, ремонт арматуры. Смазка задвижек и пожарных гидрантов. Снятие показаний расходомеров на установках. Запись работы в журнал.
Обслуживаемое оборудование: трубопроводы водоснабжения и канализации, арматура на трубопроводах и колодцах. Автоматические насосные станции по перекачке стоков, КИПиА на автоматических установках, противопожарные водоемы и гидранты.
Профессия - монтажник внутренних санитарно-технических систем и оборудования.
Таблица 3.2.18
Длина трубопроводов, тыс. м | Норматив численности рабочих в смену, чел. |
До 80 | 0,77 |
81 - 160 | 1,54 |
161 - 240 | 2,31 |
241 - 320 | 3,08 |
Свыше 320 | 3,85 |
3.2.19. Пульт дистанционно-автоматического управления
Зона обслуживания: пульт дистанционно-автоматического управления.
Содержание работы: обслуживание пульта дистанционно-автоматического управления группы агрегатов. Регулирование их работы в соответствии с заданным технологическим режимом. Наладка и устранение мелких неисправностей сигнальных устройств и отдельных приборов. Ведение записей показаний контрольно-измерительных приборов о работе обслуживаемых сооружений, аппаратов, агрегатов.
Профессия - оператор дистанционного пульта управления в водопроводно-канализационном хозяйстве.
Таблица 3.2.19
Зона обслуживания | Среднесуточная подача воды в сеть или количество отведенной через сеть сточной жидкости, тыс. м3/сутки |
До 50 | 51 - 150 | 151 - 300 | Свыше 300 |
Норматив численности рабочих в смену, чел. |
Пульт дистанционно-автоматического управления | 0,7 | 0,87 | 1,04 | 1,2 |
3.2.20. Очистные сооружения
Зона обслуживания: очистные сооружения.
Содержание работы: обслуживание комплекса очистных сооружений по механической, биологической очистке сточных вод (решеток, дробилок, песколовок, двухъярусных отстойников, биофильтров, вторичных отстойников, иловых площадок, прудов и других). Регулирование режима работы сооружений в зависимости от поступления сточных вод. Очистка решеток, песколовок от отбросов и песка. Выпуск осадка из отстойников, очистка желобов и лотков. Распределение сточной жидкости по поверхности биофильтра. Ликвидация заиливания и контроль за работой дозирующих устройств. Распределение осадка по иловым площадкам, удаление подсушенного осадка и сорняков. По компактным установкам: контроль за работой эрлифтов, подачей воздуха, наличием активного ила в стабилизаторе. Ведение журнала учета работы сооружений и оборудования. Профилактический осмотр и участие в текущем ремонте. Содержание в чистоте сооружений и оборудования.
Профессия - оператор очистных сооружений.
Таблица 3.2.20
Зона обслуживания | Производительность очистных сооружений, м3/сутки |
До 500 | 501 - 5000 |
Норматив численности рабочих в смену, чел. |
Комплекс очистных сооружений | 3,4 | 5,1 |
3.2.21. Объекты водоснабжения и очистные сооружения.
Лаборант химического анализа
Зона обслуживания: объекты водоснабжения и очистные сооружения (рис. 3.15).
Рис. 3.15. Планировка рабочего места
лаборанта химического анализа:
1, 7 - столы для выполнения анализов; 2 - аналитические
весы; 3, 5 - столы для приборов; 4 - лабораторные весы; 6 -
сушильный шкаф; 8 - титровальный стол; 9 - вытяжной шкаф;
10 - дистиллятор; 11 - раковины; 12 - сортировочный стол;
13 - вытяжной шкаф; 14 - холодильник; 15 - термостат;
16 - письменный стол
Содержание работы: проведение анализов по принятой методике. Наладка лабораторного оборудования. Сборка лабораторных установок. Оформление и расчет результатов анализа.
Обслуживаемое оборудование: иономер, колориметр, муфельная печь, аналитические весы, технические весы, сушильный и вытяжной шкафы, дистиллятор, фарфоровая и стеклянная посуда для химического анализа, электроплитка.
Профессия - лаборант химического анализа.
Наименование анализа | Метод выполнения анализа | Норматив времени на 1 анализ, мин. |
Анализ воздушной среды на приборе УГ-2 | На приборе | 11,5 |
Анализ воздушной среды на газоанализаторе ПТФ-М | То же | 3,0 |
Определение горючих веществ в воздухе | Объемный | 6,7 |
Анализ воды из скважин, прудов, реки и других водоемов | Весовой | 3,0 |
Определение кислотности (щелочности) воды | Нейтрализация | 2,9 |
Определение содержания в воде: | | |
аммиака | Фотоколориметрический | 10,5 |
взвешенных частиц | Весовой | 7,6 |
Определение жесткости воды | Титрование | 4,9 |
Определение содержания в воде: | | |
железа | Фотоколориметрический | 11,3 |
кислорода | Иодометрический | 8,9 |
масла и нефтепродуктов | Весовой | 23,4 |
Определение содержания в сточных водах: | | |
нитратов | Фотоколориметрический | 13,9 |
нитритов | То же | 10,8 |
Определение содержания в воде: | | |
сульфатов | Весовой | 13,2 |
сульфат-ионов | Титрование | 5,4 |
Определение содержания сухого остатка воды | Весовой | 7,3 |
Определение содержания свободной угольной кислоты и ионов HCO3 в воде | Титрование | 3,2 |
Определение содержания остаточного хлора в сточных водах | То же | 4,3 |
Определение содержания в воде: | | |
хлоридов | Меркуриметрический | 4,2 |
Аргентометрический | 4,1 |
Определение: | | |
запаха сточной воды | Органометрический | 1,7 |
прозрачности воды | Визуальный в цилиндре Снеллера | 2,1 |
окисляемости воды | Перманганатометрический | 11,5 |
pH воды | По прибору ЛПУ-01 | 1,7 |
температуры | Физический | 1,0 |
содержания железа в конденсате | Колориметрический | 7,9 |
наличия масла в сточных водах | Визуальный | 1,2 |
наличия слоя толуола в сточной воде | То же | 1,3 |
содержания формалина в сточной воде | Весовой | 8,7 |
содержания формальдегида в сточной воде | Колориметрический | 4,8 |
содержания нитритов в воде | То же | 5,4 |
фосфора в воде | " | 7,9 |
меди в воде | " | 26,0 |
суммы сточных углеводородов | Весовой | 35,0 |
концентрации ила | То же | 7,6 |
илового индекса | Физический | 8,0 |
дозы ила по объему | То же | 1,0 |
зольности | Весовой | 1,0 |
микробного числа | То же | 20,0 |
ПЕРЕЧЕНЬ
ЭЛЕКТРООБОРУДОВАНИЯ И КАТЕГОРИИ РЕМОНТНОЙ СЛОЖНОСТИ <*>
--------------------------------
<*> Перечень электрооборудования и категории ремонтной сложности приложения составлен в соответствии с Системой планово-предупредительных ремонтов энергетического оборудования на предприятиях отрасли. Вып. I, II, III (М.: НИАТ, 1982), Единой
системой планово-предупредительного ремонта и рациональной эксплуатации технологического оборудования машиностроительных предприятий (М.: Машиностроение, 1967).
ЭЛЕКТРОДВИГАТЕЛИ ДО 500 В
Мощность электродвигателя, кВт | Электродвигатель |
асинхронные с короткозамкнутым ротором | асинхронные с фазовым ротором, взрывобезопасные и крановые | коллекторных машин постоянного и переменного тока |
Категория ремонтной сложности |
До 0,6 | 1,0 | 1,3 | 1,6 |
0,6 - 3,0 | 1,3 | 1,7 | 2,5 |
3,1 - 5,0 | 1,6 | 2,4 | 3,4 |
5,1 - 10,0 | 2,1 | 3,1 | 4,3 |
10,1 - 15,0 | 2,6 | 3,8 | 5,2 |
15,1 - 20,0 | 3,1 | 4,5 | 6,1 |
20,1 - 30,0 | 3,7 | 5,2 | 7,0 |
30,1 - 40,0 | 4,4 | 6,0 | 8,0 |
40,1 - 55,0 | 5,1 | 7,0 | 9,0 |
55,1 - 75,0 | 6,0 | 8,0 | 10,0 |
75,1 - 100,0 | 7,0 | 9,0 | 11,0 |
100,1 - 125,0 | 8,0 | 10,0 | 12,0 |
125,1 - 155,0 | 9,0 | 11,0 | 13,0 |
155,1 - 180,0 | 10,0 | 12,0 | 14,0 |
180,1 - 215,0 | 11,0 | 13,0 | 15,0 |
215,1 - 240,0 | 12,0 | 14,0 | 16,0 |
240,1 - 280,0 | 14,0 | 16,0 | 18,0 |
280,1 - 320,0 | 16,0 | 18,0 | 20,0 |
ВЫСОКОВОЛЬТНЫЕ ЭЛЕКТРОДВИГАТЕЛИ
Оборудование | Электродвигатели | Оборудование | Электродвигатели |
с короткозамкнутым ротором | с фазным ротором | с короткозамкнутым ротором | с фазным ротором |
Категория ремонтной сложности | Категория ремонтной сложности |
Асинхронные электродвигатели мощностью, кВт: | | | Синхронные электродвигатели мощностью, кВт | | |
До 100 | 8 | 10 | 200 | | 28 |
150 | 10 | 13 | 300 | | 33 |
230 | 14 | 18 | 360 | | 35 |
300 | 18 | 23 | 470 | | 40 |
350 | 20 | 26 | 520 | | 45 |
450 | 25 | 33 | 600 | | 50 |
525 | 30 | 39 | 700 | | 55 |
625 | 35 | 46 | 870 | | 60 |
700 | 40 | 52 | 900 | | 76 |
850 | 45 | 58 | 1000 | | 83 |
1000 | 50 | 65 | | | |
1200 | 60 | 78 | | | |
ВЫСОКОЧАСТОТНЫЕ ГЕНЕРАТОРЫ
Оборудование | Категория ремонтной сложности |
Преобразователи высокой частоты мощностью, кВт: | |
10 | 6 |
30 | 10 |
60 | 13 |
100 | 18 |
250 | 27 |
Высокочастотные установки с ламповым генератором и мощностью трансформатора, кВт: | |
10 | 10 |
30 | 12 |
100 | 15 |
ПУСКОРЕГУЛИРУЮЩАЯ АППАРАТУРА, ИЗМЕРИТЕЛЬНЫЕ
ПРИБОРЫ И АВТОМАТИКА
Оборудование | Категория ремонтной сложности |
Магнитные пускатели для электродвигателей мощностью, кВт: | |
15 | 0,5 |
30 | 0,8 |
55 | 1,2 |
75 | 1,5 |
Контакторы с током, А: | |
до 600 | 1,3 |
1000 | 2,5 |
Воздушные автоматы с током, А: | |
до 200 | 2,0 |
400 | 2,5 |
600 | 3,0 |
800 | 3,5 |
1500 | 4,0 |
Контроллеры с сопротивлением для электродвигателей мощностью, кВт: | |
65 | 2,0 |
80 | 3,0 |
110 | 4,0 |
Щитовые электроизмерительные приборы, на один прибор | 1,0 |
Приборы защиты и автоматики на одну питающую линию, на один прибор | 2,0 |
Автоматические потенциометры и уравновешивающие мосты, на один прибор | 3,0 |
Милливольтметры пирометрические регулирующие на один прибор | 2,5 |
Рубильники трехполюсные центрального привода: | |
100 А | 0,06 |
250 А | 0,07 |
400 А | 0,11 |
600 А | 0,23 |
1000 А | 0,3 |
Реле: | |
напряжения ЭН-520 | 0,1 |
мощности РБМ | 0,5 |
сигнальное ЭС-41 | 0,2 |
тепловые ТРП, ТРИ | 0,2 |
управления и защиты: | |
электромагнитные | 0,2 |
промежуточные РП | 0,2 |
времени РЭВ | 0,3 |
моторные Е-58, РВТ-1200 | 0,5 |
времени электромеханические ЭВ-112 | 0,25 |
времени постоянного тока Е-512 | 4,0 |
контроля скорости РКС | 0,3 |
максимального тока РТ-40 | 0,1 |
РТ-80 | 0,3 |
ТРАНСФОРМАТОРЫ И ВЫСОКОВОЛЬТНАЯ АППАРАТУРА
Оборудование | Категория ремонтной сложности |
Силовые трансформаторы мощностью, кВ·А: | |
До 50 | 6 |
75 | 8 |
100 | 10 |
180 | 12 |
320 | 13 |
Масляные выключатели разрывной мощностью, кВ·А: | |
До 100000 | 3 |
500000 | 4 |
750000 | 5 |
1500000 | 6 |
2500000 | 7 |
Разъединители до 10 кВ, трехполюсные, А: | |
До 1000 | 1 |
2000 | 2 |
Разъединители до 35 кВ, А: | |
1000 | 2,5 |
Разрядники трубчатые до 10 кВ | 0,3 |
Выпрямитель сварочный однопостовый для ручной электросварки типа ВКС-500 | 3,0 |
Преобразователь сварочный однопостовый для дуговой автоматизированной сварки в среде защитных газов, тип: | |
ПСО-500 | 18,0 |
560 | 16,0 |
750 | 19,0 |
ПСО-1000 | 22,0 |
1800 | 24,0 |
3200 | 28,0 |
5600 | 32,0 |
Короткозамыкатель КЗ-ЛО | 3,7 |
Привод разъединителя ПРН-220 | 1,2 |
Привод отделителя ШПОН | 1,5 |
Привод короткозамыкателя ШПКН | 1,0 |
Привод электромагнитный | 3,0 |
Привод моторный | 1,5 |
Предохранители на 3 - 10 кВ | 0,3 |
Трансформаторы тока: | |
катушечные | 1 |
проходные | 1,5 |
Трансформаторы напряжения | 1,8 |
Батареи статистических конденсаторов емкостью, квар: | |
100 | 3 |
250 | 5 |
500 | 7 |
750 | 9 |
1000 | 11 |
Трансформатор сварочный однопостовый для ручной электросварки типа ТД-501 мощностью 38 кВт | 4,5 |
АККУМУЛЯТОРНЫЕ БАТАРЕИ РТУТНЫЕ, СЕЛЕНОВЫЕ,
КУПРОКСНЫЕ ВЫПРЯМИТЕЛИ, ЭЛЕКТРОПЕЧИ
Оборудование | Категория ремонтной сложности |
Аккумуляторные батареи емкостью, А/ч: | |
200 | 10 |
500 | 12 |
1000 | 14 |
2000 | 16 |
Электропечи сопротивления: | |
камерная СНО-1 | 6,0 |
вакуумная ВШ-0,35 | 4,0 |
муфельная двухзонная | 1,8 |
Электронагреватель: | |
БН-2500 | 3,0 |
БН-4500 | 1,5 |
Электропечь трубная Р-1 | 2,0 |
Электропечь ОКБ-850 | 10,0 |
Селеновые и купроксные выпрямители для электромагнитных плит измерительных приборов и для зарядки кислотных аккумуляторов | 0,5 |
(на 10 шт.)
Светильники | Мощность ламп, Вт | Категория сложности ремонта |
без учета демонтажа и монтажа | с учетом демонтажа и монтажа |
Внутренней установки с лампами накаливания, полугерметические типа: | | | |
"Люцетта", "Шар", СКЗ-300 и т.п. | 200 | 0,3 | 1,4 |
"Универсаль", "Кососвет", С, СО | 500 | 0,4 | 2,1 |
"Глубокоизлучатель" | До 1500 | 0,7 | 2,4 |
Внутренней установки с лампами накаливания, герметические, водопыленепроницаемые, взрывобезопасные типа: | | | |
ПУ, СХ | 200 | 0,5 | 3,2 |
"Универсаль" | 300 | 0,6 | 3,3 |
СУ, СХ | 500 | 0,8 | 3,5 |
"Глубокоизлучатель" | До 1000 | 1,0 | 3,7 |
НОБ-300 | 300 | 0,7 | 3,4 |
ВЗГ-200 | 200 | 1,0 | 3,7 |
Внутренней установки с лампами ДРЛ для: | | | |
помещений с нормальными условиями труда | До 500 | 1,5 | 3,5 |
До 1000 | 2,0 | 4,0 |
помещений с тяжелыми условиями труда | До 500 | 1,8 | 3,8 |
Внутренней установки с люминесцентными лампами: | | | |
подвесные | 2 x 40 | 1,2 | 4,2 |
2 x 80 | | |
встроенные | 2 x 40 | | |
2 x 80 | 2,0 | 5,0 |
3 x 40 | | |
3 x 80 | 2,5 | 5,5 |
4 x 40 | | |
4 x 80 | 3,0 | 6,0 |
6 x 40 | 3,5 | 6,5 |
Водопыленепроницаемые типа: | | | |
ПВА | 2 x 40 | 1,5 | 4,5 |
ВОД, ВЛН | 2 x 40 | 2,5 | 5,5 |
3 x 40 | | |
3 x 80 | 3,0 | 6,0 |
4 x 40 | | |
4 x 80 | 3,5 | 6,5 |
Наружной установки с лампами накаливания | 500 | 0,5 | 5,0 |
Наружной установки с лампами ДРЛ | 125 | 1,0 | 5,5 |
250 | 1,3 | 5,8 |
500 | 2,0 | 6,5 |
Наружной установки с люминесцентными лампами | 2 x 80 | 1,5 | 6,0 |
3 x 80 | 2,0 | 6,5 |
Пускорегулирующая аппаратура для ламп ДРЛ | До 250 | 1 | 2,0 |
типа ПРА | До 1000 | 2 | 3,0 |
Прожекторы | 200 | 0,6 | 4.0 |
500 | 0,8 | 4,2 |
1000 | 1 | 5,0 |
ПЕРЕЧЕНЬ ЭЛЕКТРОАППАРАТУРЫ, УСТАНОВЛЕННОЙ НА ОБОРУДОВАНИИ
И ОТНЕСЕННОЙ К ОДНОЙ ФИЗИЧЕСКОЙ ЕДИНИЦЕ
Оборудование | Количество, шт. |
Магнитные пускатели | 1 |
Контакторы на ток до 200 В | 1 |
Реле всех типов | 1 |
Пакетные выключатели и переключатели | 1 |
Универсальные переключатели, ключи | 1 |
Кнопочные станции и кнопки управления | 1 |
Путевые и конечные выключатели, микропереключатели | 1 |
Электромагниты (соленоиды) | 1 |
Электромагнитные муфты | 1 |
Рубильники | 1 |
Штепсельные разъемы | 1 |
Барабанные переключатели | 1 |
Шунтовые и пусковые реостаты | 1 |
Выпрямители всех видов | 1 |
Трансформаторы цепей управления и местного освещения | 1 |
Арматура местного освещения | 1 |
Сигнальная арматура типа ЛС-53, АС АСЛС и т.п. с лампами и сопротивлениями | 3 |
Световое табло | 1 |
Автомат установочный | 1 |
Предохранители всех типов с панелями и пинцетами | 3 |
Клеммники | 10 клемм |
Электронные блоки | 1 |
Радиолампы генераторные | 1 |
Радиолампы | 3 |
Тиратроны, газотроны | 2 |
Транзисторы | 2 |
Тиристоры | 1 |
Аноды | 5 |
Резисторы (сопротивления) | 10 |
Конденсаторы | 5 |
Амперметры и вольтметры | 3 |
Стабилизаторы напряжения | 1 |
Ваттметры, счетчики, фазометры | 1 |
Магнитные усилители | 1 |
4.2.1. Пример расчета численности машинистов
насосных установок
1. Определить численность рабочих, обслуживающих насосную станцию II подъема на водоочистных сооружениях, оборудованной насосами:
20НДН | производительностью | 3200 м3/ч - 3, | из них 1 резервный |
6НДв | " | 360 м3/ч - 3, | то же |
12Д-19М | " | 930 м3/ч - 2 | |
8К-12а | " | 200 - 290 м3/ч - 1 | |
8НФ | " | 575 - 874 м3/ч - 2, | из них 1 резервный |
ЗК-6 | " | 45 м3/ч - 3 | |
2. По
таблице 3.1.1 норматив численности на один насос (включая затраты на вспомогательное оборудование) при работе:
двух насосов 20НДН - 0,136 чел.;
двух насосов 6НДв - 0,097 чел.;
двух насосов 12Д-19М - 0,105 чел.;
одного насоса 8К-12а - 0,099 чел.;
одного насоса 8НФ - 0,107 чел.;
трех насосов ЗК-6 - 0,090 чел.
3. Для обслуживания насосной станции II подъема на водоочистных сооружениях на смену требуется
0,136 · 2 + 0,097 - 2 + 0,105 · 2 + 0,099 + 0,107 + 0,090 · 3 = 1,152 чел.
Аналогично рассчитывается явочная численность (Чя) по другим насосным станциям (0,52; 0,6; 1,3) подразделения, затем суммируется и определяется численность рабочих бригады.
4. Списочная численность (Чс) рассчитывается по формуле
Чс = Чя · Кн,
где Кн - коэффициент, учитывающий планируемые для предприятия невыходы по данной профессии рабочих (отпуска, болезни, выполнение государственных обязанностей), - 1,13.
5. По вышеприведенной формуле рассчитываем
ЧС = (1,152 + 0,52 + 0,6 + 1,3) · 1,13 = 4,036 чел.
Полученная величина округляется, устанавливается численность 4 человека в смену по зоне обслуживания насосных установок бригадой.
4.2.2. Пример расчета численности машинистов
компрессорных установок
1. Определить численность рабочих по обслуживанию полуавтоматизированной компрессорной станции, оборудованной центробежными компрессорами производительностью 45 тыс. м3/ч и с давлением газа 1,2 кг/см2. Количество установленных компрессоров 12, из них в работе - 9.
Нормативная численность на один компрессор по
табл. 3.2.16 - 0,160 чел. в смену. Для обслуживания за смену 9 компрессоров требуется 0,160 · 9 = 1,44 чел.
С учетом коэффициента невыходов устанавливается численность 2 чел. в смену. В обязанности машиниста компрессорной установки может вмещаться выполнение дополнительных функций (участие в ремонте и т.д.).
4.2.3. Методика расчета численности электромонтеров
по обслуживанию электрооборудования
1. Для определения численности электромонтеров по обслуживанию электрооборудования необходимо составить таблицу расчета, в которой указать: наименование, тип, марку и краткую характеристику электрооборудования, установленного в зоне обслуживания (гр. 1); количество единиц этого оборудования (гр. 2); по
таблицам 4.1.1 -
4.1.7 единицы ремонтной сложности на одну единицу оборудования (гр. 3); количество единиц ремонтной сложности (гр. 2 x гр. 3 = гр. 4).
2. По суммарному количеству физических единиц (гр. 2) и единиц ремонтной сложности (гр. 4) определяется явочная численность, человек в смену
(табл. 3.2.17).
Списочная численность по цеху (зоне обслуживания) определяется с учетом коэффициента невыходов.
3. При подсчете количества физических единиц оборудования и единиц ремонтной сложности: электрические сети и кабельные линии в расчете не учитывают, светильники учитывают из расчета не более 10 процентов от установленного количества.
4.2.4. Методика и пример расчета численности
лаборантов химического анализа
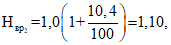
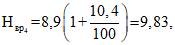
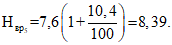
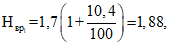
Определить численность лаборантов по контролю сточных вод на аэротенках.
Наименование анализа | Количество анализов в год | |
Определение pH воды | 4464 | 1,7 |
Определение дозы ила по объему | 4464 | 1,0 |
Определение зольности | 2232 | 1,0 |
Определение содержания кислорода в воде | 8928 | 8,9 |
Определение содержания взвешенных частиц в воде | 4464 | 7,6 |
1. Расчет норм времени (Нвр) на выполнение анализов определяется по формуле
K - затраты времени на подготовительно-заключительные работы, на обслуживание рабочего места, на отдых и личные потребности, % от оперативного (10,4%).
2. Расчет нормативной трудоемкости (Tн), выполнения анализов производится по формуле
где Tн - норма времени, мин.;
n - годовое количество анализов;
K1 - коэффициент, учитывающий внеплановое количество анализов, - 1,1.
Tн = (1,88 · 4464 + 1,1 · 4464 + 1,1 · 2232 + 9,83 · 8928 + 8,39 · 4464) · 1,1 = 155070,4 чел.-мин.
3. Нормативная численность (Чн) определяется по формуле
где Тн - нормативная трудоемкость работ, выполненных лаборантами, чел.-мин.;
Ф - плановый годовой фонд рабочего времени одного среднесписочного работника - 2079 ч.
4. Списочная численность лаборантов химического анализа (Чс) определяется с учетом коэффициента невыходов, который в нашем примере принимается - 1,11.
Чс = 1,24 · 1,11 = 1,38.
Принимается 1 человек.
ПРОФЕССИЙ И НОМЕРА ВЫПУСКА ЕТКС
Профессия | Номера выпуска ЕТКС |
| 1 |
| 1 |
| 1 |
| 1 |
Монтажник внутренних санитарно-технических систем и оборудования | 3 |
| 24 |
| 24 |
| 24 |
| 24 |
Оператор на решетках | 69 |
Оператор на песколовках и жироловках | 69 |
Оператор на эмшерах | 69 |
Оператор на отстойниках | 69 |
Оператор на метантенках | 69 |
Оператор на аэротенках | 69 |
Оператор на биофильтрах | 69 |
Оператор на иловых площадках | 69 |
Оператор полей орошения и фильтрации | 69 |
Оператор очистных сооружений | 69 |
Оператор дистанционного пульта управления в водопроводноканализационном хозяйстве | 69 |
| 1 |