Нагрузка от коммуникаций, т/пог. м моста | Ширина моста, м | |||||
до 10 | 15 | 20 | 25 | 30 | 35 и более | |
Нагрузка отсутствует | 1 | 1 | 1 | 1 | 1 | 1 |
до 2,00 | 1,07 | 1,06 | 1,05 | 1,04 | 1,03 | 1,02 |
до 4,00 | 1,12 | 1,1 | 1,09 | 1,07 | 1,06 | 1,04 |
до 6,00 | 1,18 | 1,16 | 1,13 | 1,11 | 1,08 | 1,05 |
до 8,00 | 1,24 | 1,21 | 1,18 | 1,14 | 1,11 | 1,08 |
до 10,00 | 1,3 | 1,26 | 1,22 | 1,18 | 1,14 | 1,1 |
Субъект Российской Федерации | Коэффициент |
Центральный федеральный округ: | |
Белгородская область | 0,84 |
Брянская область | 0,85 |
Владимирская область | 0,87 |
Воронежская область | 0,87 |
Ивановская область | 0,85 |
Калужская область | 0,89 |
Костромская область | 0,84 |
Курская область | 0,90 |
Липецкая область | 0,83 |
Московская область | 1,00 |
Орловская область | 0,83 |
Рязанская область | 0,87 |
Смоленская область | 0,83 |
Тамбовская область | 0,86 |
Тверская область | 0,88 |
Тульская область | 0,90 |
Ярославская область | 0,83 |
г. Москва | 1,03 |
Северо-Западный федеральный округ: | |
Республика Карелия (1 зона) | 1,02 |
Республика Коми (1 зона) | 1,13 |
Архангельская область (базовый район) | 1,22 |
Вологодская область | 0,96 |
Калининградская область | 0,99 |
Ленинградская область | 0,95 |
Мурманская область | 1,29 |
Новгородская область | 0,94 |
Псковская область | 0,92 |
Ненецкий автономный округ | 1,61 |
г. Санкт-Петербург | 0,97 |
Южный федеральный округ: | |
Республика Адыгея | 0,85 |
Республика Калмыкия | 0,87 |
Республика Крым | 0,97 |
Краснодарский край | 0,86 |
Астраханская область | 0,89 |
Волгоградская область | 0,88 |
Ростовская область | 0,86 |
г. Севастополь | 0,99 |
Северо-Кавказский федеральный округ: | |
Республика Дагестан | 0,89 |
Республика Ингушетия | 0,85 |
Кабардино-Балкарская Республика | 0,86 |
Карачаево-Черкесская Республика | 0,84 |
Республика Северная Осетия - Алания | 0,90 |
Чеченская Республика | 0,96 |
Ставропольский край | 0,88 |
Приволжский федеральный округ: | |
Республика Башкортостан | 0,88 |
Республика Марий Эл | 0,86 |
Республика Мордовия | 0,84 |
Республика Татарстан | 0,83 |
Удмуртская Республика | 0,88 |
Чувашская Республика - Чувашия | 0,85 |
Пермский край | 0,87 |
Кировская область | 0,87 |
Нижегородская область | 0,89 |
г. Саров (Нижегородская область) | 0,92 |
Оренбургская область | 0,85 |
Пензенская область | 0,84 |
Самарская область | 0,88 |
Саратовская область | 0,89 |
Ульяновская область | 0,85 |
Уральский федеральный округ: | |
Курганская область | 0,87 |
Свердловская область | 0,95 |
Тюменская область | 1,01 |
Челябинская область | 0,87 |
Ханты-Мансийский автономный округ - Югра (1 зона) | 1,12 |
Ямало-Ненецкий автономный округ (1 зона) | 1,41 |
Сибирский федеральный округ: | |
Республика Алтай | 0,92 |
Республика Тыва | 1,05 |
Республика Хакасия | 0,97 |
Алтайский край | 0,93 |
Красноярский край (1 зона) | 0,99 |
Иркутская область (1 зона) | 1,06 |
Кемеровская область - Кузбасс | 1,01 |
Новосибирская область (1 зона) | 0,91 |
Омская область | 0,95 |
Томская область | 0,95 |
Дальневосточный федеральный округ: | |
Республика Бурятия (1 зона) | 1,02 |
Республика Саха (Якутия) (1 зона) | 1,51 |
Забайкальский край | 1,02 |
Приморский край | 1,03 |
Хабаровский край (1 зона) | 1,07 |
Камчатский край | 1,54 |
Амурская область | 1,10 |
Магаданская область (1 зона) | 1,77 |
Сахалинская область | 1,52 |
Еврейская автономная область | 1,07 |
Чукотский автономный округ (1 зона) | 2,05 |
Субъекты Российской Федерации | Коэффициент |
Уральский федеральный округ: | |
Ханты-Мансийский автономный округ (Югра) (2 зона) | 0,99 |
Ханты-Мансийский автономный округ (Югра) (3 зона) | 1,00 |
Ханты-Мансийский автономный округ (Югра) (4 зона) | 0,99 |
Ханты-Мансийский автономный округ (Югра) (5 зона) | 1,05 |
Ямало-Ненецкий автономный округ (2 зона) | 0,99 |
Ямало-Ненецкий автономный округ (3 зона) | 0,98 |
Ямало-Ненецкий автономный округ (4 зона) | 1,03 |
Ямало-Ненецкий автономный округ (5 зона) | 0,98 |
Сибирский федеральный округ: | |
Иркутская область (2 зона) | 1,02 |
Иркутская область (3 зона) | 1,02 |
Иркутская область (4 зона) | 1,04 |
Иркутская область (5 зона) | 1,07 |
Иркутская область (6 зона) | 1,10 |
Дальневосточный федеральный округ: | |
Республика Саха (Якутия) (2 зона) | 1,00 |
Республика Саха (Якутия) (3 зона) | 1,07 |
Республика Саха (Якутия) (4 зона) | 1,03 |
Республика Саха (Якутия) (5 зона) | 1,05 |
Республика Саха (Якутия) (6 зона) | 1,18 |
Республика Саха (Якутия) (11 зона) | 1,19 |
N п.п. | Наименование республик, краев, областей, округов | Температурные зоны | Коэффициент | ||||||
1 | 2 | 3 | 4 | 5 | 6 | 7 | 8 | 9 | 10 |
1 | Республика Адыгея | I | 0,97 | 0,97 | 0,98 | 0,99 | 0,98 | 0,99 | 0,97 |
2 | Республика Алтай | IV | 1,03 | 1,03 | 1,06 | 1,06 | 1,03 | 1,05 | 1,03 |
3 | Республика Башкортостан | IV | 1,02 | 1,02 | 1,05 | 1,05 | 1,02 | 1,04 | 1,02 |
4 | Республика Бурятия: | ||||||||
4.1 | территория севернее линии Нижнеангарск - Шипишка (включительно) | VI | 1,06 | 1,06 | 1,10 | 1,10 | 1,06 | 1,08 | 1,06 |
4.2 | остальная территория Республики | V | 1,04 | 1,04 | 1,07 | 1,06 | 1,04 | 1,05 | 1,04 |
5 | Республика Дагестан: | ||||||||
5.1 | территория побережья Каспийского моря южнее 44-й параллели и острова Чечень | I | 0,98 | 0,98 | 0,98 | 0,99 | 0,98 | 0,99 | 0,98 |
5.2 | остальная территория Республики | I | 0,97 | 0,97 | 0,98 | 0,99 | 0,98 | 0,99 | 0,97 |
6 | Республика Ингушетия | I | 0,97 | 0,97 | 0,98 | 0,99 | 0,98 | 0,99 | 0,97 |
7 | Кабардино-Балкарская Республика | I | 0,97 | 0,97 | 0,98 | 0,99 | 0,98 | 0,99 | 0,97 |
8 | Республика Калмыкия | II | 0,99 | 0,99 | 0,99 | 0,99 | 0,99 | 0,99 | 0,99 |
9 | Карачаево-Черкесская Республика | I | 0,98 | 0,98 | 0,98 | 0,99 | 0,98 | 0,99 | 0,98 |
10 | Республика Карелия | ||||||||
10.1 | территория севернее 64-й параллели | IV | 1,03 | 1,03 | 1,06 | 1,06 | 1,03 | 1,05 | 1,03 |
10.2 | остальная территория Республики | III | 1,01 | 1,01 | 1,01 | 1,00 | 1,01 | 1,00 | 1,01 |
11 | Республика Коми: | ||||||||
территория севернее Северного Полярного круга | V | 1,06 | 1,06 | 1,09 | 1,08 | 1,06 | 1,06 | 1,06 | |
11.2 | территория восточнее линии Ермица - Ижма - Сосногорск - Помоздино - Усть-Нем (включительно) за исключением территории, указанной в пункте 11.1 | V | 1,04 | 1,04 | 1,07 | 1,07 | 1,04 | 1,06 | 1,04 |
11.3 | остальная территория Республики | IV | 1,03 | 1,03 | 1,06 | 1,06 | 1,03 | 1,05 | 1,03 |
12 | Республика Крым: | ||||||||
12.1 | территория южного побережья от Феодосии (исключая Феодосию) до Севастополя (включительно) | I | 0,96 | 0,96 | 0,96 | 0,98 | 0,96 | 0,98 | 0,96 |
12.2 | территория южнее линии Черноморское - Евпатория - Почтовое - Владиславовка (включительно) и восточнее линии Владиславовка - Красновка (включительно) | I | 0,97 | 0,97 | 0,97 | 0,98 | 0,97 | 0,98 | 0,97 |
12.3 | территория севернее линии Черноморское (исключая Черноморское) - Евпатория (исключая Евпаторию) - Почтовое (исключая Почтовое) - Владиславовка (исключая Владиславовку) и восточнее линии Владиславовка (исключая Владиславовку) - Красновка (исключая Красновку) | I | 0,97 | 0,97 | 0,97 | 0,99 | 0,97 | 0,99 | 0,97 |
12.4 | Ай-Петри | I | 0,98 | 0,98 | 0,98 | 0,99 | 0,98 | 0,99 | 0,98 |
13 | Республика Марий Эл | IV | 1,02 | 1,02 | 1,05 | 1,05 | 1,02 | 1,04 | 1,02 |
14 | Республика Мордовия | IV | 1,01 | 1,01 | 1,04 | 1,05 | 1,01 | 1,04 | 1,01 |
15 | Республика Саха (Якутия): | ||||||||
15.1 | Новосибирские острова | VI | 1,11 | 1,11 | 1,15 | 1,12 | 1,11 | 1,11 | 1,11 |
Анабарский и Булунский улусы (районы) севернее линии Кожевниково (исключая Кожевниково) - Усть-Оленек - Побережье и острова Оленекского залива и острова Дунай (включительно) | VI | 1,12 | 1,12 | 1,16 | 1,13 | 1,12 | 1,11 | 1,12 | |
территория севернее линии пересечения границ Таймырского (Долгано-Ненецкого) автономного округа с Анабарским и Оленекским эвенкийским национальным улусами; Булунский улус севернее линии Таймылыр - Тит-Ары - Бухта Сытыган-Тала (включительно); Усть-Янский улус - протока Правая (исключая протока Правая) - побережье Янского залива - Селяхская губа - Чокурдах (включительно); Аллаиховский улус - пересечение границ Аллаиховского, Нижнеколымского, Среднеколымского улусов и далее вдоль южной границы Нижнеколымского улуса за исключением территории, указанной в пункте 15.2 | VI | 1,08 | 1,08 | 1,13 | 1,11 | 1,08 | 1,09 | 1,08 | |
15.4 | Анабарский, Булунский улусы, за исключением территории, указанной в пунктах 15.2 и 15.3; Усть-Янский улус, за исключением территории, указанной в пункте 15.3, Аллаиховский улус, за исключением территории, указанной в пункте 15.3, Жиганский, Абыйский, Оленекский эвенкийский национальный, Среднеколымский, Верхнеколымский улусы | VII | 1,08 | 1,08 | 1,12 | 1,12 | 1,08 | 1,10 | 1,08 |
15.5 | Верхоянский, Момский, Оймяконский, Томпонский улусы | VIII | 1,12 | 1,12 | 1,16 | 1,13 | 1,12 | 1,11 | 1,12 |
15.6 | Таттинский, Амгинский, Верхневилюйский, Вилюйский, Горный, Кобяйский, Нюрбинский, Мегино-Кангаласский, Мирнинский, Намский, Хангаласский, Сунтарский, Усть-Алданский, Усть-Майский, Чурапчинский улусы и г. Якутск | VII | 1,07 | 1,07 | 1,11 | 1,11 | 1,07 | 1,09 | 1,07 |
15.7 | Алданский, Нерюнгринский, Ленский и Олекминский улусы | VI | 1,07 | 1,07 | 1,11 | 1,10 | 1,07 | 1,09 | 1,07 |
16 | Республика Северная Осетия - Алания | I | 0,97 | 0,97 | 0,98 | 0,99 | 0,98 | 0,99 | 0,97 |
17 | Республика Татарстан | IV | 1,02 | 1,02 | 1,05 | 1,05 | 1,02 | 1,04 | 1,02 |
18 | Республика Тыва | V | 1,04 | 1,04 | 1,07 | 1,06 | 1,04 | 1,05 | 1,04 |
19 | Удмуртская Республика | IV | 1,02 | 1,02 | 1,05 | 1,05 | 1,02 | 1,04 | 1,02 |
20 | Республика Хакасия | V | 1,03 | 1,03 | 1,06 | 1,06 | 1,03 | 1,05 | 1,03 |
21 | Чеченская Республика | I | 0,97 | 0,97 | 0,98 | 0,99 | 0,98 | 0,99 | 0,97 |
22 | Чувашская Республика | IV | 1,02 | 1,02 | 1,05 | 1,05 | 1,02 | 1,04 | 1,02 |
23 | Алтайский край | IV | 1,03 | 1,03 | 1,06 | 1,06 | 1,03 | 1,05 | 1,03 |
24 | Забайкальский край | ||||||||
24.1 | территория севернее линии Шипишка - Тунгокочен - Букачача - Сретенск - Шелопугино - Приаргунск (включительно) | VI | 1,06 | 1,06 | 1,10 | 1,10 | 1,06 | 1,08 | 1,06 |
24.2 | остальная территория края | V | 1,04 | 1,04 | 1,07 | 1,06 | 1,04 | 1,05 | 1,04 |
25 | Камчатский край | ||||||||
25.1 | территория северо-западнее линии Парень - Слаутное (исключая Слаутное) | V | 1,05 | 1,05 | 1,08 | 1,07 | 1,05 | 1,06 | 1,05 |
25.2 | территория юго-восточнее линии Парень - Слаутное (включительно) и севернее линии Рекинники - Тиличики (включительно) | V | 1,07 | 1,07 | 1,10 | 1,08 | 1,07 | 1,07 | 1,07 |
25.3 | территория южнее линии Рекинники - Тиличики, за исключением территории, указанной в пункте 25.4 | IV | 1,04 | 1,04 | 1,07 | 1,06 | 1,04 | 1,05 | 1,04 |
территория, ограниченная линией Ивашка - Хайлюля - Ключи - Елизово - 52-я параллель (включительно) - Апача - Анавгай (исключая Апача - Анавгай) - Ивашка | IV | 1,03 | 1,03 | 1,06 | 1,06 | 1,03 | 1,05 | 1,03 | |
26 | Краснодарский край | ||||||||
26.1 | территория, за исключением указанных ниже городов и побережья Черного моря | I | 0,97 | 0,97 | 0,98 | 0,99 | 0,98 | 0,99 | 0,97 |
26.2 | г. Новороссийск | I | 0,97 | 0,97 | 0,97 | 0,99 | 0,97 | 0,99 | 0,97 |
26.3 | г.г. Анапа, Геленджик, Красная Поляна | I | 0,97 | 0,97 | 0,97 | 0,98 | 0,97 | 0,98 | 0,97 |
27 | Красноярский край | ||||||||
27.1 | территория Таймырского (Долгано-Ненецкого) автономного округа севернее линии Красноселькуп - Потапово - Норильск, Кожевниково (включительно) и ближайшие острова (архипелаг Северная Земля и другие) | VI | 1,13 | 1,13 | 1,17 | 1,14 | 1,13 | 1,12 | 1,13 |
27.2 | остальная территория Таймырского (Долгано-Ненецкого автономного округа) | VI | 1,10 | 1,10 | 1,14 | 1,12 | 1,10 | 1,10 | 1,10 |
27.3 | Эвенкийский автономный округ и территория края севернее линии Верхнеимбатское - р. Таз (включительно) | VI | 1,07 | 1,07 | 1,11 | 1,10 | 1,07 | 1,09 | 1,07 |
27.4 | территория южнее Копьево - Новоселово - Агинское (включительно) | V | 1,03 | 1,03 | 1,06 | 1,06 | 1,03 | 1,05 | 1,03 |
27.5 | остальная территория края | V | 1,04 | 1,04 | 1,07 | 1,06 | 1,04 | 1,05 | 1,04 |
28 | Пермский край | IV | 1,02 | 1,02 | 1,05 | 1,05 | 1,02 | 1,04 | 1,02 |
29 | Приморский край | ||||||||
29.1 | территория, расположенная севернее линии Трудовое - Партизанск (включительно) - Преображение (исключая Преображение), кроме территории, указанной в пункте 29.2 | V | 1,02 | 1,02 | 1,05 | 1,06 | 1,02 | 1,04 | 1,02 |
побережье Японского моря от Преображение до мыса Золотой (включительно) | V | 1,04 | 1,04 | 1,07 | 1,06 | 1,04 | 1,05 | 1,04 | |
29.3 | территория, расположенная южнее линии Трудовое - Партизанск - Преображение, за исключением территории, указанной в пункте 29.4 | IV | 1,01 | 1,01 | 1,04 | 1,05 | 1,01 | 1,04 | 1,01 |
побережье Японского моря от Преображение до Хасан (включительно) | IV | 1,02 | 1,02 | 1,05 | 1,05 | 1,02 | 1,04 | 1,02 | |
30 | Ставропольский край | I | 0,98 | 0,98 | 0,98 | 0,99 | 0,98 | 0,99 | 0,98 |
31 | Хабаровский край | ||||||||
31.1 | территория севернее линии Облучье - Комсомольск-на-Амуре (исключая Комсомольск-на-Амуре), далее по реке Амур, за исключением побережья Татарского пролива | VI | 1,06 | 1,06 | 1,10 | 1,10 | 1,06 | 1,08 | 1,06 |
31.2 | побережье от залива Счастья до Нижнее Пронге (исключая Нижнее Пронге) | VI | 1,10 | 1,10 | 1,14 | 1,12 | 1,10 | 1,10 | 1,10 |
31.3 | остальная территория края, за исключением побережья Татарского пролива | V | 1,03 | 1,03 | 1,06 | 1,06 | 1,03 | 1,05 | 1,03 |
31.4 | побережье Татарского пролива от Нижнее Пронге (включительно) до мыса Золотой (исключая мыс Золотой) | V | 1,04 | 1,04 | 1,07 | 1,07 | 1,04 | 1,06 | 1,04 |
32 | Амурская область | VI | 1,06 | 1,06 | 1,10 | 1,10 | 1,06 | 1,08 | 1,06 |
33 | Архангельская область (за исключением территории Ненецкого автономного округа) | ||||||||
33.1 | территория южнее линии Кушкушара (исключая Кушкушара) - пересечение Северного полярного круга с границей Республики Коми | IV | 1,03 | 1,03 | 1,06 | 1,06 | 1,03 | 1,05 | 1,03 |
33.2 | территория севернее линии Кушкушара (включительно) - пересечение Северного полярного круга с границей Республики Коми | V | 1,04 | 1,04 | 1,07 | 1,07 | 1,04 | 1,05 | 1,04 |
33.3 | острова Новая Земля | V | 1,07 | 1,07 | 1,10 | 1,08 | 1,07 | 1,07 | 1,07 |
33.4 | острова Земля Франца-Иосифа | V | 1,08 | 1,08 | 1,11 | 1,09 | 1,08 | 1,08 | 1,08 |
34 | Астраханская область | II | 0,99 | 0,99 | 0,99 | 0,99 | 0,99 | 0,99 | 0,99 |
35 | Белгородская область | III | 1,00 | 1,00 | 1,00 | 1,00 | 1,00 | 1,00 | 1,00 |
36 | Брянская область | III | 1,00 | 1,00 | 1,00 | 1,00 | 1,00 | 1,00 | 1,00 |
37 | Владимирская область | III | 1,00 | 1,00 | 1,00 | 1,00 | 1,00 | 1,00 | 1,00 |
38 | Волгоградская область | III | 1,00 | 1,00 | 1,00 | 1,00 | 1,00 | 1,00 | 1,00 |
39 | Вологодская область | ||||||||
39.1 | территория западнее линии озеро Воже - Устье - Вологда - Вохтога (включительно) | III | 1,00 | 1,00 | 1,00 | 1,00 | 1,00 | 1,00 | 1,00 |
39.2 | остальная территория области | IV | 1,02 | 1,02 | 1,05 | 1,05 | 1,02 | 1,04 | 1,02 |
40 | Воронежская область | III | 1,00 | 1,00 | 1,00 | 1,00 | 1,00 | 1,00 | 1,00 |
41 | Ивановская область | III | 1,00 | 1,00 | 1,00 | 1,00 | 1,00 | 1,00 | 1,00 |
42 | Иркутская область | ||||||||
территория севернее 62-й параллели | VI | 1,07 | 1,07 | 1,11 | 1,10 | 1,07 | 1,09 | 1,07 | |
42.2 | территория северо-восточнее линии Токма - Улькан - Кунерма (включительно), за исключением территории, указанной в пункте 42.1 | VI | 1,06 | 1,06 | 1,10 | 1,10 | 1,06 | 1,08 | 1,06 |
42.3 | остальная территория области | V | 1,04 | 1,04 | 1,07 | 1,06 | 1,04 | 1,05 | 1,04 |
Калининградская область | I | 0,98 | 0,98 | 0,98 | 0,99 | 0,98 | 0,99 | 0,98 | |
44 | Калужская область | III | 1,00 | 1,00 | 1,00 | 1,00 | 1,00 | 1,00 | 1,00 |
45 | Кемеровская область | V | 1,03 | 1,03 | 1,06 | 1,06 | 1,03 | 1,05 | 1,03 |
46 | Кировская область | IV | 1,02 | 1,02 | 1,05 | 1,05 | 1,02 | 1,04 | 1,02 |
47 | Костромская область | ||||||||
47.1 | вся территория, за исключением г. Костромы | IV | 1,03 | 1,03 | 1,03 | 1,01 | 1,03 | 1,01 | 1,03 |
47.2 | г. Кострома | III | 1,00 | 1,00 | 1,00 | 1,00 | 1,00 | 1,00 | 1,00 |
48 | Курганская область | IV | 1,02 | 1,02 | 1,05 | 1,05 | 1,02 | 1,04 | 1,02 |
49 | Курская область | III | 1,00 | 1,00 | 1,00 | 1,00 | 1,00 | 1,00 | 1,00 |
50 | Ленинградская область | III | 1,00 | 1,00 | 1,00 | 1,00 | 1,00 | 1,00 | 1,00 |
51 | Город федерального значения Санкт-Петербург | III | 1,00 | 1,00 | 1,00 | 1,00 | 1,00 | 1,00 | 1,00 |
52 | Липецкая область | III | 1,00 | 1,00 | 1,00 | 1,00 | 1,00 | 1,00 | 1,00 |
53 | Магаданская область | ||||||||
53.1 | территория южнее линии Мяунджа - Таскан - Сеймчан - Омсукчан (включительно) - Гарманда (исключая Гарманда), за исключением территории юго-восточнее линии Гижига - Гарманда (исключая Гарманда) - Тахтоямск - Ямск и южное побережье Тауйской губы (включительно) | VI | 1,07 | 1,07 | 1,11 | 1,10 | 1,07 | 1,09 | 1,07 |
53.2 | территория юго-восточнее линии Гижига - Гарманда (исключая Гарманда) - Тахтоямск - Ямск и побережье Тауйской губы (включительно) | VI | 1,11 | 1,11 | 1,15 | 1,12 | 1,11 | 1,11 | 1,11 |
53.4 | остальная территория области, за исключением территории юго-восточнее линии Парень - Гарманда (исключая Гарманда) | VI | 1,08 | 1,08 | 1,13 | 1,11 | 1,08 | 1,09 | 1,08 |
53.5 | территория юго-восточнее линии Парень - Гарманда (включительно) | VI | 1,12 | 1,12 | 1,16 | 1,13 | 1,12 | 1,11 | 1,12 |
54 | Московская область | III | 1,00 | 1,00 | 1,00 | 1,00 | 1,00 | 1,00 | 1,00 |
55 | Город федерального значения Москва | III | 1,00 | 1,00 | 1,00 | 1,00 | 1,00 | 1,00 | 1,00 |
56 | Мурманская область | ||||||||
56.1 | территория плато Расвумчорр (район апатит-нефелинового рудника "Центральный") | VI | 1,07 | 1,07 | 1,11 | 1,10 | 1,07 | 1,09 | 1,07 |
56.2 | территория северо-восточнее линии Заполярный - Североморск - Каневка (включительно) и юго-восточнее линии Каневка - Кузомень (включительно) | IV | 1,04 | 1,04 | 1,07 | 1,07 | 1,04 | 1,05 | 1,04 |
56.3 | остальная территория области | IV | 1,03 | 1,03 | 1,06 | 1,06 | 1,03 | 1,05 | 1,03 |
57 | Нижегородская область | IV | 1,02 | 1,02 | 1,05 | 1,05 | 1,02 | 1,04 | 1,02 |
58 | Новгородская область | III | 1,00 | 1,00 | 1,00 | 1,00 | 1,00 | 1,00 | 1,00 |
59 | Новосибирская область | V | 1,04 | 1,04 | 1,07 | 1,06 | 1,04 | 1,05 | 1,04 |
60 | Омская область | V | 1,04 | 1,04 | 1,07 | 1,06 | 1,04 | 1,05 | 1,04 |
61 | Оренбургская область | IV | 1,02 | 1,02 | 1,05 | 1,05 | 1,02 | 1,04 | 1,02 |
62 | Орловская область | III | 1,00 | 1,00 | 1,00 | 1,00 | 1,00 | 1,00 | 1,00 |
63 | Пензенская область | IV | 1,01 | 1,01 | 1,04 | 1,05 | 1,01 | 1,04 | 1,01 |
64 | Псковская область | II | 0,99 | 0,99 | 0,99 | 1,00 | 0,99 | 1,00 | 0,99 |
65 | Ростовская область | ||||||||
65.1 | территория северо-восточнее линии Миллерово - Морозовск (включительно) | II | 0,99 | 0,99 | 0,99 | 0,99 | 0,99 | 0,99 | 0,99 |
65.2 | остальная территория области | II | 0,98 | 0,98 | 0,99 | 0,99 | 0,98 | 0,99 | 0,98 |
66 | Рязанская область | III | 1,00 | 1,00 | 1,00 | 1,00 | 1,00 | 1,00 | 1,00 |
67 | Самарская область | IV | 1,01 | 1,01 | 1,04 | 1,05 | 1,01 | 1,04 | 1,01 |
68 | Саратовская область | III | 1,00 | 1,00 | 1,00 | 1,00 | 1,00 | 1,00 | 1,00 |
69 | Сахалинская область | ||||||||
69.1 | территория севернее линии Шахтерск - Поронайск (включительно), за исключением территории побережья Татарского пролива и Охотского моря | V | 1,03 | 1,03 | 1,06 | 1,06 | 1,03 | 1,05 | 1,03 |
69.2 | территория побережья Татарского пролива и Охотского моря севернее линии Шахтерск - Поронайск (исключая Поронайск) | V | 1,04 | 1,04 | 1,07 | 1,07 | 1,04 | 1,06 | 1,04 |
69.3 | территория южнее линии Шахтерск - Поронайск и севернее линии Холмск - Южно-Сахалинск (включительно), за исключением побережья Татарского пролива | IV | 1,01 | 1,01 | 1,04 | 1,05 | 1,01 | 1,04 | 1,01 |
69.4 | территория побережья Татарского пролива между Шахтерск и Холмск | IV | 1,03 | 1,03 | 1,06 | 1,06 | 1,03 | 1,05 | 1,03 |
69.5 | остальная территория острова, за исключением побережья между Холмск - Невельск | III | 1,00 | 1,00 | 1,00 | 1,00 | 1,00 | 1,00 | 1,00 |
69.6 | территория побережья Татарского пролива между Холмск - Невельск (исключая Невельск) | III | 1,00 | 1,00 | 1,00 | 1,00 | 1,00 | 1,00 | 1,00 |
69.7 | Курильские острова (исключая Северо-Курильск) | II | 0,99 | 0,99 | 0,99 | 0,99 | 0,99 | 0,99 | 0,99 |
69.8 | Северо-Курильск | II | 0,99 | 0,99 | 0,99 | 0,99 | 0,99 | 0,99 | 0,99 |
70 | Свердловская область | IV | 1,03 | 1,03 | 1,06 | 1,06 | 1,03 | 1,05 | 1,03 |
71 | Смоленская область | III | 1,00 | 1,00 | 1,00 | 1,00 | 1,00 | 1,00 | 1,00 |
72 | Тамбовская область | III | 1,00 | 1,00 | 1,00 | 1,00 | 1,00 | 1,00 | 1,00 |
73 | Тверская область | III | 1,00 | 1,00 | 1,00 | 1,00 | 1,00 | 1,00 | 1,00 |
74 | Томская область | V | 1,04 | 1,04 | 1,07 | 1,06 | 1,04 | 1,05 | 1,04 |
75 | Тульская область | III | 1,00 | 1,00 | 1,00 | 1,00 | 1,00 | 1,00 | 1,00 |
76 | Тюменская область (включая Ханты-Мансийский и Ямало-Ненецкий автономный округ) | ||||||||
76.1 | территория севернее Северного Полярного круга | V | 1,07 | 1,07 | 1,10 | 1,08 | 1,07 | 1,07 | 1,07 |
76.2 | территория южнее Северного Полярного круга и севернее 65 параллели | V | 1,06 | 1,06 | 1,09 | 1,08 | 1,06 | 1,06 | 1,06 |
76.3 | территория севернее линии Пионерский - Ханты-Мансийск - Нижневартовск (включительно) и южнее 65-й параллели | V | 1,04 | 1,04 | 1,07 | 1,07 | 1,04 | 1,06 | 1,04 |
76.4 | остальная территория области | V | 1,04 | 1,04 | 1,07 | 1,06 | 1,04 | 1,05 | 1,04 |
77 | Ульяновская область | IV | 1,02 | 1,02 | 1,05 | 1,05 | 1,02 | 1,04 | 1,02 |
78 | Челябинская область | IV | 1,02 | 1,02 | 1,05 | 1,05 | 1,02 | 1,04 | 1,02 |
79 | Ярославская область | III | 1,00 | 1,00 | 1,00 | 1,00 | 1,00 | 1,00 | 1,00 |
80 | Еврейская автономная область | V | 1,03 | 1,03 | 1,06 | 1,06 | 1,03 | 1,05 | 1,03 |
81 | Ненецкий автономный округ | ||||||||
81.1 | территория западнее линии Ермица - Черная (исключая Черную) и о. Колгуев | V | 1,07 | 1,07 | 1,07 | 1,04 | 1,07 | 1,04 | 1,07 |
81.2 | территория восточнее линии Ермица - Черная (включительно) и о. Вайгач | V | 1,05 | 1,05 | 1,08 | 1,07 | 1,05 | 1,06 | 1,05 |
82 | Чукотский автономный округ | ||||||||
82.1 | территория восточнее линии Марково - Усть-Белая - м. Шмидта и о. Врангеля (включительно) | V | 1,07 | 1,07 | 1,10 | 1,08 | 1,07 | 1,07 | 1,07 |
82.2 | остальная территория округа | VI | 1,08 | 1,08 | 1,13 | 1,11 | 1,08 | 1,09 | 1,08 |
Температурные зоны | Коэффициент |
IV | 1,00 |
V | 1,00 |
VI | 1,01 |
VII | 1,01 |
VIII | 1,01 |
N п.п. | Наименование республик, краев, областей, округов | Температурные зоны | Коэффициент | ||||||
1 | 2 | 3 | 4 | 5 | 6 | 7 | 8 | 9 | 10 |
15 | Республика Саха (Якутия): | ||||||||
15.1 | Новосибирские острова | VI | 1,01 | 1,01 | 1,01 | 1,01 | 1,01 | 1,00 | 1,01 |
Анабарский и Булунский улусы (районы) севернее линии Кожевниково (исключая Кожевниково) - Усть-Оленек - Побережье и острова Оленекского залива и острова Дунай (включительно) | VI | 1,01 | 1,01 | 1,01 | 1,01 | 1,01 | 1,01 | 1,01 | |
территория севернее линии пересечения границ Таймырского (Долгано-Ненецкого) автономного округа с Анабарским и Оленекским эвенкийским национальным улусами; Булунский улус севернее линии Таймылыр - Тит-Ары - Бухта Сытыган-Тала (включительно); Усть-Янский улус - протока Правая (исключая протока Правая) - побережье Янского залива - Селяхская губа - Чокурдах (включительно); Аллаиховский улус - пересечение границ Аллаиховского, Нижнеколымского, Среднеколымского улусов и далее вдоль южной границы Нижнеколымского улуса за исключением территории, указанной в пункте 15.2 | VI | 1,01 | 1,01 | 1,01 | 1,00 | 1,01 | 1,00 | 1,01 | |
15.4 | Анабарский, Булунский улусы, за исключением территории, указанной в пунктах 15.2 и 15.3; Усть-Янский улус, за исключением территории, указанной в пункте 15.3, Аллаиховский улус, за исключением территории, указанной в пункте 15.3, Жиганский, Абыйский, Оленекский эвенкийский национальный, Среднеколымский, Верхнеколымский улусы | VII | 1,01 | 1,01 | 1,01 | 1,00 | 1,01 | 1,00 | 1,01 |
15.5 | Верхоянский, Момский, Оймяконский, Томпонский улусы | VIII | 1,01 | 1,01 | 1,01 | 1,01 | 1,01 | 1,01 | 1,01 |
15.7 | Алданский, Нерюнгринский, Ленский и Олекминский улусы | VI | 1,01 | 1,01 | 1,01 | 1,00 | 1,01 | 1,00 | 1,01 |
27 | Красноярский край | ||||||||
27.1 | территория Таймырского (Долгано-Ненецкого) автономного округа севернее линии Красноселькуп - Потапово - Норильск, Кожевниково (включительно) и ближайшие острова (архипелаг Северная Земля и другие) | VI | 1,01 | 1,01 | 1,01 | 1,01 | 1,01 | 1,01 | 1,01 |
27.2 | остальная территория Таймырского (Долгано-Ненецкого автономного округа) | VI | 1,01 | 1,01 | 1,01 | 1,00 | 1,01 | 1,00 | 1,01 |
27.3 | Эвенкийский автономный округ и территория края севернее линии Верхнеимбатское - р. Таз (включительно) | VI | 1,01 | 1,01 | 1,01 | 1,00 | 1,01 | 1,00 | 1,01 |
31 | Хабаровский край | ||||||||
31.2 | побережье от залива Счастья до Нижнее Пронге (исключая Нижнее Пронге) | VI | 1,01 | 1,01 | 1,01 | 1,00 | 1,01 | 1,00 | 1,01 |
33 | Архангельская область (за исключением территории Ненецкого автономного округа) | ||||||||
33.4 | острова Земля Франца-Иосифа | V | 1,01 | 1,01 | 1,01 | 1,00 | 1,01 | 1,00 | 1,01 |
42 | Иркутская область | ||||||||
42.1 | территория севернее 62-й параллели | VI | 1,01 | 1,01 | 1,01 | 1,00 | 1,01 | 1,00 | 1,01 |
53 | Магаданская область | ||||||||
53.1 | территория южнее линии Мяунджа - Таскан - Сеймчан - Омсукчан (включительно) - Гарманда (исключая Гарманда), за исключением территории юго-восточнее линии Гижига - Гарманда (исключая Гарманда) - Тахтоямск - Ямск и южное побережье Тауйской губы (включительно) | VI | 1,01 | 1,01 | 1,01 | 1,00 | 1,01 | 1,00 | 1,01 |
53.2 | территория юго-восточнее линии Гижига - Гарманда (исключая Гарманда) - Тахтоямск - Ямск и побережье Тауйской губы (включительно) | VI | 1,01 | 1,01 | 1,01 | 1,01 | 1,01 | 1,00 | 1,01 |
53.4 | остальная территория области, за исключением территории юго-восточнее линии Парень - Гарманда (исключая Гарманда) | VI | 1,01 | 1,01 | 1,01 | 1,00 | 1,01 | 1,00 | 1,01 |
53.5 | территория юго-восточнее линии Парень - Гарманда (включительно) | VI | 1,01 | 1,01 | 1,01 | 1,01 | 1,01 | 1,01 | 1,01 |
56 | Мурманская область | ||||||||
56.1 | территория плато Расвумчорр (район апатит-нефелинового рудника "Центральный") | VI | 1,01 | 1,01 | 1,01 | 1,00 | 1,01 | 1,00 | 1,01 |
76 | Тюменская область (включая Ханты-Мансийский и Ямало-Ненецкий автономный округ) | ||||||||
76.1 | территория севернее Северного Полярного круга | V | 1,01 | 1,01 | 1,01 | 1,00 | 1,01 | 1,00 | 1,01 |
82 | Чукотский автономный округ | ||||||||
82.1 | территория восточнее линии Марково - Усть-Белая - м. Шмидта и о. Врангеля (включительно) | V | 1,01 | 1,01 | 1,01 | 1,00 | 1,01 | 1,00 | 1,01 |
82.2 | остальная территория округа | VI | 1,01 | 1,01 | 1,01 | 1,00 | 1,01 | 1,00 | 1,01 |
N п.п. | Наименование республик, краев, областей, округов | Температурные зоны | Коэффициент | ||||||||||
1 | 2 | 3 | 4 | 5 | 6 | 7 | 8 | 9 | 10 | ||||
4 | Республика Бурятия: | ||||||||||||
4.1 | территория севернее линии Нижнеангарск - Шипишка (включительно) | VI | 1,01 | 1,01 | 1,01 | 1,01 | 1,01 | 1,01 | 1,01 | ||||
4.2 | остальная территория Республики | V | 1,01 | 1,01 | 1,01 | 1,00 | 1,01 | 1,00 | 1,01 | ||||
11 | Республика Коми: | ||||||||||||
территория севернее Северного Полярного круга | V | 1,01 | 1,01 | 1,01 | 1,00 | 1,01 | 1,00 | 1,01 | |||||
11.2 | территория восточнее линии Ермица - Ижма - Сосногорск - Помоздино - Усть-Нем (включительно) за исключением территории, указанной в пункте 11.1 | V | 1,01 | 1,01 | 1,01 | 1,00 | 1,01 | 1,00 | 1,01 | ||||
15 | Республика Саха (Якутия): | ||||||||||||
15.1 | Новосибирские острова | VI | 1,01 | 1,01 | 1,01 | 1,01 | 1,01 | 1,01 | 1,01 | ||||
Анабарский и Булунский улусы (районы) севернее линии Кожевниково (исключая Кожевниково) - Усть-Оленек - Побережье и острова Оленекского залива и острова Дунай (включительно) | VI | 1,01 | 1,01 | 1,01 | 1,01 | 1,01 | 1,01 | 1,01 | |||||
территория севернее линии пересечения границ Таймырского (Долгано-Ненецкого) автономного округа с Анабарским и Оленекским эвенкийским национальным улусами; Булунский улус севернее линии Таймылыр - Тит-Ары - Бухта Сытыган-Тала (включительно); Усть-Янский улус - протока Правая (исключая протока Правая) - побережье Янского залива - Селяхская губа - Чокурдах (включительно); Аллаиховский улус - пересечение границ Аллаиховского, Нижнеколымского, Среднеколымского улусов и далее вдоль южной границы Нижнеколымского улуса за исключением территории, указанной в пункте 15.2 | VI | 1,01 | 1,01 | 1,01 | 1,01 | 1,01 | 1,01 | 1,01 | |||||
15.4 | Анабарский, Булунский улусы, за исключением территории, указанной в пунктах 15.2 и 15.3; Усть-Янский улус, за исключением территории, указанной в пункте 15.3, Аллаиховский улус, за исключением территории, указанной в пункте 15.3, Жиганский, Абыйский, Оленекский эвенкийский национальный, Среднеколымский, Верхнеколымский улусы | VII | 1,01 | 1,01 | 1,01 | 1,01 | 1,01 | 1,01 | 1,01 | ||||
15.5 | Верхоянский, Момский, Оймяконский, Томпонский улусы | VIII | 1,01 | 1,01 | 1,01 | 1,01 | 1,01 | 1,01 | 1,01 | ||||
15.6 | Таттинский, Амгинский, Верхневилюйский, Вилюйский, Горный, Кобяйский, Нюрбинский, Мегино-Кангаласский, Мирнинский, Намский, Хангаласский, Сунтарский, Усть-Алданский, Усть-Майский, Чурапчинский улусы и г. Якутск | VII | 1,01 | 1,01 | 1,01 | 1,01 | 1,01 | 1,01 | 1,01 | ||||
15.7 | Алданский, Нерюнгринский, Ленский и Олекминский улусы | VI | 1,01 | 1,01 | 1,01 | 1,01 | 1,01 | 1,01 | 1,01 | ||||
18 | Республика Тыва | V | 1,01 | 1,01 | 1,01 | 1,00 | 1,01 | 1,00 | 1,01 | ||||
24 | Забайкальский край | ||||||||||||
24.1 | территория севернее линии Шипишка - Тунгокочен - Букачача - Сретенск - Шелопугино - Приаргунск (включительно) | VI | 1,01 | 1,01 | 1,01 | 1,01 | 1,01 | 1,01 | 1,01 | ||||
24.2 | остальная территория края | V | 1,01 | 1,01 | 1,01 | 1,00 | 1,01 | 1,00 | 1,01 | ||||
25 | Камчатский край | ||||||||||||
25.1 | территория северо-западнее линии Парень - Слаутное (исключая Слаутное) | V | 1,01 | 1,01 | 1,01 | 1,00 | 1,01 | 1,00 | 1,01 | ||||
25.2 | территория юго-восточнее линии Парень - Слаутное (включительно) и севернее линии Рекинники - Тиличики (включительно) | V | 1,01 | 1,01 | 1,01 | 1,01 | 1,01 | 1,00 | 1,01 | ||||
| |||||||||||||
25.3 | территория южнее линии Рекинники - Тиличики, за исключением территории, указанной в пункте 25.4 | IV | 1,01 | 1,01 | 1,01 | 1,00 | 1,01 | 1,00 | 1,01 | ||||
27 | Красноярский край | ||||||||||||
27.1 | территория Таймырского (Долгано-Ненецкого) автономного округа севернее линии Красноселькуп - Потапово - Норильск, Кожевниково (включительно) и ближайшие острова (архипелаг Северная Земля и другие) | VI | 1,01 | 1,01 | 1,01 | 1,01 | 1,01 | 1,01 | 1,01 | ||||
27.2 | остальная территория Таймырского (Долгано-Ненецкого автономного округа) | VI | 1,01 | 1,01 | 1,01 | 1,01 | 1,01 | 1,01 | 1,01 | ||||
27.3 | Эвенкийский автономный округ и территория края севернее линии Верхнеимбатское - р. Таз (включительно) | VI | 1,01 | 1,01 | 1,01 | 1,01 | 1,01 | 1,01 | 1,01 | ||||
27.5 | остальная территория края | V | 1,01 | 1,01 | 1,01 | 1,00 | 1,01 | 1,00 | 1,01 | ||||
29 | Приморский край | ||||||||||||
29.2 | побережье Японского моря от Преображение до мыса Золотой (включительно) | V | 1,01 | 1,01 | 1,01 | 1,00 | 1,01 | 1,00 | 1,01 | ||||
31 | Хабаровский край | ||||||||||||
31.1 | территория севернее линии Облучье - Комсомольск-на-Амуре (исключая Комсомольск-на-Амуре), далее по реке Амур, за исключением побережья Татарского пролива | VI | 1,01 | 1,01 | 1,01 | 1,01 | 1,01 | 1,01 | 1,01 | ||||
31.2 | побережье от залива Счастья до Нижнее Пронге (исключая Нижнее Пронге) | VI | 1,01 | 1,01 | 1,01 | 1,01 | 1,01 | 1,01 | 1,01 | ||||
31.4 | побережье Татарского пролива от Нижнее Пронге (включительно) до мыса Золотой (исключая мыс Золотой) | V | 1,01 | 1,01 | 1,01 | 1,00 | 1,01 | 1,00 | 1,01 | ||||
32 | Амурская область | VI | 1,01 | 1,01 | 1,01 | 1,01 | 1,01 | 1,01 | 1,01 | ||||
33 | Архангельская область (за исключением территории Ненецкого автономного округа) | ||||||||||||
33.1 | территория южнее линии Кушкушара (исключая Кушкушара) - пересечение Северного полярного круга с границей Республики Коми | IV | 1,01 | 1,01 | 1,01 | 1,00 | 1,01 | 1,00 | 1,01 | ||||
33.2 | территория севернее линии Кушкушара (включительно) - пересечение Северного полярного круга с границей Республики Коми | V | 1,01 | 1,01 | 1,01 | 1,00 | 1,01 | 1,00 | 1,01 | ||||
33.3 | острова Новая Земля | V | 1,01 | 1,01 | 1,01 | 1,01 | 1,01 | 1,00 | 1,01 | ||||
33.4 | острова Земля Франца-Иосифа | V | 1,01 | 1,01 | 1,01 | 1,01 | 1,01 | 1,01 | 1,01 | ||||
42 | Иркутская область | ||||||||||||
территория севернее 62-й параллели | VI | 1,01 | 1,01 | 1,01 | 1,01 | 1,01 | 1,01 | 1,01 | |||||
42.2 | территория северо-восточнее линии Токма - Улькан - Кунерма (включительно), за исключением территории, указанной в пункте 42.1 | VI | 1,01 | 1,01 | 1,01 | 1,01 | 1,01 | 1,01 | 1,01 | ||||
42.3 | остальная территория области | V | 1,01 | 1,01 | 1,01 | 1,00 | 1,01 | 1,00 | 1,01 | ||||
53 | Магаданская область | ||||||||||||
53.1 | территория южнее линии Мяунджа - Таскан - Сеймчан - Омсукчан (включительно) - Гарманда (исключая Гарманда), за исключением территории юго-восточнее линии Гижига - Гарманда (исключая Гарманда) - Тахтоямск - Ямск и южное побережье Тауйской губы (включительно) | VI | 1,01 | 1,01 | 1,01 | 1,01 | 1,01 | 1,01 | 1,01 | ||||
53.2 | территория юго-восточнее линии Гижига - Гарманда (исключая Гарманда) - Тахтоямск - Ямск и побережье Тауйской губы (включительно) | VI | 1,01 | 1,01 | 1,01 | 1,01 | 1,01 | 1,01 | 1,01 | ||||
53.4 | остальная территория области, за исключением территории юго-восточнее линии Парень - Гарманда (исключая Гарманда) | VI | 1,01 | 1,01 | 1,01 | 1,01 | 1,01 | 1,01 | 1,01 | ||||
53.5 | территория юго-восточнее линии Парень - Гарманда (включительно) | VI | 1,01 | 1,01 | 1,01 | 1,01 | 1,01 | 1,01 | 1,01 | ||||
56 | Мурманская область | ||||||||||||
56.1 | территория плато Расвумчорр (район апатит-нефелинового рудника "Центральный") | VI | 1,01 | 1,01 | 1,01 | 1,01 | 1,01 | 1,01 | 1,01 | ||||
56.2 | территория северо-восточнее линии Заполярный - Североморск - Каневка (включительно) и юго-восточнее линии Каневка - Кузомень (включительно) | IV | 1,01 | 1,01 | 1,01 | 1,00 | 1,01 | 1,00 | 1,01 | ||||
56.3 | остальная территория области | IV | 1,01 | 1,01 | 1,01 | 1,00 | 1,01 | 1,00 | 1,01 | ||||
59 | Новосибирская область | V | 1,01 | 1,01 | 1,01 | 1,00 | 1,01 | 1,00 | 1,01 | ||||
60 | Омская область | V | 1,01 | 1,01 | 1,01 | 1,00 | 1,01 | 1,00 | 1,01 | ||||
69 | Сахалинская область | ||||||||||||
69.2 | территория побережья Татарского пролива и Охотского моря севернее линии Шахтерск - Поронайск (исключая Поронайск) | V | 1,01 | 1,01 | 1,01 | 1,00 | 1,01 | 1,00 | 1,01 | ||||
74 | Томская область | V | 1,01 | 1,01 | 1,01 | 1,00 | 1,01 | 1,00 | 1,01 | ||||
76 | Тюменская область (включая Ханты-Мансийский и Ямало-Ненецкий автономный округ) | ||||||||||||
76.1 | территория севернее Северного Полярного круга | V | 1,01 | 1,01 | 1,01 | 1,01 | 1,01 | 1,01 | 1,01 | ||||
76.2 | территория южнее Северного Полярного круга и севернее 65 параллели | V | 1,01 | 1,01 | 1,01 | 1,00 | 1,01 | 1,00 | 1,01 | ||||
76.3 | территория севернее линии Пионерский - Ханты-Мансийск - Нижневартовск (включительно) и южнее 65-й параллели | V | 1,01 | 1,01 | 1,01 | 1,00 | 1,01 | 1,00 | 1,01 | ||||
76.4 | остальная территория области | V | 1,01 | 1,01 | 1,01 | 1,00 | 1,01 | 1,00 | 1,01 | ||||
81 | Ненецкий автономный округ | ||||||||||||
81.2 | территория восточнее линии Ермица - Черная (включительно) и о. Вайгач | V | 1,01 | 1,01 | 1,01 | 1,00 | 1,01 | 1,00 | 1,01 | ||||
82 | Чукотский автономный округ | ||||||||||||
82.1 | территория восточнее линии Марково - Усть-Белая - м. Шмидта и о. Врангеля (включительно) | V | 1,01 | 1,01 | 1,01 | 1,01 | 1,01 | 1,01 | 1,01 | ||||
82.2 | остальная территория округа | VI | 1,01 | 1,01 | 1,01 | 1,01 | 1,01 | 1,01 | 1,01 | ||||
Код показателя | Наименование показателя | Коэффициент |
Сборные железобетонные пролетные строения | ||
Мосты со сборными железобетонными пролетными строениями с приведенным пролетом до 22 м, средней высотой опор до 8 м | 1,13 | |
Путепроводы со сборными железобетонными пролетными строениями с длиной приведенного пролета до 22 м. Средняя высота опор до 8 м | ||
Эстакады съездов со сборными железобетонными пролетными строениями с приведенным пролетом до 22 м, средней высотой опор до 8 м | ||
Мосты со сборными железобетонными пролетными строениями с приведенным пролетом до 22 м, средней высотой опор от 8 до 15 м | 1,13 | |
Путепроводы со сборными железобетонными пролетными строениями с длиной приведенного пролета до 22 м. Средняя высота опор от 8 до 15 м | ||
Эстакады съездов со сборными железобетонными пролетными строениями с приведенным пролетом до 22 м, средней высотой опор от 8 до 15 м | ||
Мосты со сборными железобетонными пролетными строениями с приведенным пролетом от 22 до 33 м, средней высотой опор до 8 м | 1,09 | |
Путепроводы со сборными железобетонными пролетными строениями с длиной приведенного пролета от 22 до 33 м. Средняя высота опор до 8 м | ||
Эстакады съездов со сборными железобетонными пролетными строениями с приведенным пролетом от 22 до 33 м, средней высотой опор до 8 м | ||
Мосты со сборными железобетонными пролетными строениями с приведенным пролетом от 22 до 33 м, средней высотой опор от 8 до 15 м | 1,08 | |
Путепроводы со сборными железобетонными пролетными строениями с длиной приведенного пролета от 22 до 33 м. Средняя высота опор от 8 до 15 м | ||
Эстакады съездов со сборными железобетонными пролетными строениями с приведенным пролетом от 22 до 33 м, средней высотой опор от 8 до 15 м | ||
Монолитные железобетонные пролетные строения | ||
Мосты с монолитными железобетонными пролетными строениями с приведенным пролетом до 30 м, средней высотой опор до 8 м | 1,08 | |
Путепроводы с монолитными железобетонными пролетными строениями с длиной приведенного пролета до 30 м. Средняя высота опор до 8 м | ||
Эстакады съездов с монолитными железобетонными пролетными строениями с приведенным пролетом до 30 м, средней высотой опор до 8 м | ||
Мосты с монолитными железобетонными пролетными строениями с приведенным пролетом до 30 м, средней высотой опор от 8 до 15 м | 1,08 | |
Путепроводы с монолитными железобетонными пролетными строениями с длиной приведенного пролета до 30 м. Средняя высота опор от 8 до 15 м | ||
Эстакады съездов с монолитными железобетонными пролетными строениями с приведенным пролетом до 30 м, средней высотой опор от 8 до 15 м | ||
Мосты с монолитными железобетонными пролетными строениями с приведенным пролетом от 30 до 45 м, средней высотой опор до 8 м | 1,04 | |
Путепроводы с монолитными железобетонными пролетными строениями с длиной приведенного пролета от 30 до 45 м. Средняя высота опор до 8 м | ||
Эстакады съездов с монолитными железобетонными пролетными строениями с приведенным пролетом от 30 до 45 м, средней высотой опор до 8 м | ||
Мосты с монолитными железобетонными пролетными строениями с приведенным пролетом от 30 до 45 м, средней высотой опор от 8 до 15 м | 1,04 | |
Путепроводы с монолитными железобетонными пролетными строениями с длиной приведенного пролета от 30 до 45 м. Средняя высота опор от 8 до 15 м | ||
Эстакады съездов с монолитными железобетонными пролетными строениями с приведенным пролетом от 30 м до 45 м, средней высотой опор от 8 до 15 м | ||
Сталежелезобетонные пролетные строения | ||
Мосты со сталежелезобетонными пролетными строениями с приведенным пролетом до 50 м, средней высотой опор до 8 м | 1,06 | |
Путепроводы со сталежелезобетонными пролетными строениями с длиной приведенного пролета до 50 м. Средняя высота опор до 8 м | ||
Эстакады съездов со сталежелезобетонными пролетными строениями с приведенным пролетом до 50 м, средней высотой опор до 8 м | ||
Мосты со сталежелезобетонными пролетными строениями с приведенным пролетом до 50 м, средней высотой опор от 8 до 15 м | 1,06 | |
Путепроводы со сталежелезобетонными пролетными строениями с приведенным пролетом до 50 м, средней высотой опор от 8 до 15 м | ||
Эстакады съездов со сталежелезобетонными пролетными строениями с приведенным пролетом до 50 м, средней высотой опор от 8 до 15 м | ||
Мосты со сталежелезобетонными пролетными строениями с приведенным пролетом от 50 до 80 м, средней высотой опор до 8 м | 1,06 | |
Путепроводы со сталежелезобетонными пролетными строениями с приведенным пролетом от 50 до 80 м, средней высотой опор до 8 м | ||
Эстакады съездов со сталежелезобетонными пролетными строениями с приведенным пролетом от 50 до 80 м, средней высотой опор до 8 м | ||
Мосты со сталежелезобетонными пролетными строениями с приведенным пролетом от 50 до 80 м, средней высотой опор от 8 до 15 м | 1,06 | |
Путепроводы со сталежелезобетонными пролетными строениями с приведенным пролетом от 50 до 80 м, средней высотой опор от 8 до 15 м | ||
Эстакады съездов со сталежелезобетонными пролетными строениями с приведенным пролетом от 50 до 80 м, средней высотой опор от 8 до 15 м | ||
Металлические пролетные строения | ||
Мосты с металлическими пролетными строениями с приведенным пролетом до 90 м, средней высотой опор до 8 м | 1,03 | |
Путепроводы с металлическими пролетными строениями с длиной приведенного пролета до 55 м. Средняя высота опор до 8 м | ||
Эстакады съездов с металлическими пролетными строениями с приведенным пролетом до 55 м, средней высотой опор до 8 м | ||
Мосты с металлическими пролетными строениями с приведенным пролетом до 90 м, средней высотой опор от 8 до 15 м | 1,03 | |
Путепроводы с металлическими пролетными строениями с приведенным пролетом до 55 м, средней высотой опор от 8 до 15 м | ||
Эстакады съездов с металлическими пролетными строениями с приведенным пролетом до 55 м, средней высотой опор от 8 до 15 м | ||
Мосты с металлическими пролетными строениями с приведенным пролетом от 90 до 130 м, средней высотой опор до 8 м | 1,04 | |
Путепроводы с металлическими пролетными строениями с приведенным пролетом от 55 до 80 м, средней высотой опор до 8 м | ||
Эстакады съездов с металлическими пролетными строениями с приведенным пролетом от 55 до 80 м, средней высотой опор до 8 м | ||
Мосты с металлическими пролетными строениями с приведенным пролетом от 90 до 130 м, средней высотой опор от 8 до 15 м | 1,04 | |
Путепроводы с металлическими пролетными строениями с приведенным пролетом от 55 до 80 м, средней высотой опор от 8 до 15 м | ||
Эстакады съездов с металлическими пролетными строениями с приведенным пролетом от 55 до 80 м, средней высотой опор от 8 до 15 м | ||
Пешеходные переходы (мосты) | ||
Пешеходные переходы (мосты) в составе уличной дорожной сети со сборными железобетонными пролетными строениями. Без защитного покрытия (остекления) пешеходной зоны | 1,11 | |
Пешеходные переходы (мосты) в составе уличной дорожной сети со сборными железобетонными пролетными строениями. С защитным покрытием (остеклением) пешеходной зоны | 1,07 | |
Пешеходные переходы (мосты) в составе уличной дорожной сети с металлическими пролетными строениями. Без защитного покрытия (остекления) пешеходной зоны | 1,08 | |
Пешеходные переходы (мосты) в составе уличной дорожной сети с металлическими пролетными строениями. С защитным покрытием (остеклением) пешеходной зоны | 1,06 | |
Подпорные стены | ||
Подпорные стены из монолитного железобетона. На свайном основании | 1,08 | |



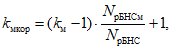
- общий ценообразующий/усложняющий коэффициент;
_ ценообразующие или усложняющие коэффициенты, приведенные в технической части настоящего сборника, необходимость применения которых к показателям НЦС Отдела 1 настоящего сборника обусловлена особенностями объекта капитального строительства, для которого определяется потребность в денежных средствах, необходимых для его создания.


Код показателя | Наименование показателя | Норматив цены строительства на 01.01.2022, тыс. руб. |
Измеритель: 1 м2 | ||
Мосты со сборными железобетонными пролетными строениями с длиной приведенного пролета до 22 м: | ||
средняя высота опор до 8 м | 261,58 | |
средняя высота опор от 8 м до 15 м | 264,04 | |
Мосты со сборными железобетонными пролетными строениями с длиной приведенного пролета от 22 м до 33 м: | ||
средняя высота опор до 8 м | 250,22 | |
средняя высота опор от 8 м до 15 м | 248,85 | |
Измеритель: 1 м2 | ||
Мосты с монолитными железобетонными пролетными строениями с длиной приведенного пролета до 30 м: | ||
средняя высота опор до 8 м | 357,80 | |
средняя высота опор от 8 м до 15 м | 382,70 | |
Мосты с монолитными железобетонными пролетными строениями с длиной приведенного пролета от 30 м до 45 м: | ||
средняя высота опор до 8 м | 336,48 | |
средняя высота опор от 8 м до 15 м | 341,32 | |
Измеритель: 1 м2 | ||
Мосты со сталежелезобетонными пролетными строениями с длиной приведенного пролета до 50 м: | ||
средняя высота опор до 8 м | 260,10 | |
средняя высота опор от 8 м до 15 м | 267,14 | |
Мосты со сталежелезобетонными пролетными строениями с длиной приведенного пролета от 50 м до 80 м: | ||
средняя высота опор до 8 м | 326,85 | |
средняя высота опор от 8 м до 15 м | 329,81 | |
Измеритель: 1 м2 | ||
Мосты с металлическими пролетными строениями с длиной приведенного пролета до 90 м: | ||
средняя высота опор до 8 м | 469,42 | |
средняя высота опор от 8 м до 15 м | 485,86 | |
Мосты с металлическими пролетными строениями с длиной приведенного пролета от 90 м до 130 м: | ||
средняя высота опор до 8 м | 430,63 | |
средняя высота опор от 8 м до 15 м | 440,75 | |
Измеритель: 1 м2 | ||
Путепроводы со сборными железобетонными пролетными строениями с длиной приведенного пролета до 22 м: | ||
средняя высота опор до 8 м | 233,96 | |
средняя высота опор от 8 м до 15 м | 243,66 | |
Путепроводы со сборными железобетонными пролетными строениями с длиной приведенного пролета до 22 м до 33 м: | ||
средняя высота опор до 8 м | 222,64 | |
средняя высота опор от 8 м до 15 м | 229,33 | |
Измеритель: 1 м2 | ||
Путепроводы с монолитными железобетонными пролетными строениями с длиной приведенного пролета до 30 м: | ||
средняя высота опор до 8 м | 342,78 | |
средняя высота опор от 8 м до 15 м | 349,52 | |
Путепроводы с монолитными железобетонными пролетными строениями с длиной приведенного пролета от 30 м до 45 м: | ||
средняя высота опор до 8 м | 302,06 | |
средняя высота опор от 8 м до 15 м | 309,24 | |
Измеритель: 1 м2 | ||
Путепроводы со сталежелезобетонными пролетными строениями с длиной приведенного пролета до 50 м: | ||
средняя высота опор до 8 м | 266,06 | |
средняя высота опор от 8 м до 15 м | 272,11 | |
Путепроводы со сталежелезобетонными пролетными строениями с длиной приведенного пролета от 50 м до 80 м: | ||
средняя высота опор до 8 м | 295,94 | |
средняя высота опор от 8 м до 15 м | 299,66 | |
Измеритель: 1 м2 | ||
Путепроводы с металлическими пролетными строениями с длиной приведенного пролета до 55 м: | ||
средняя высота опор до 8 м | 296,49 | |
средняя высота опор от 8 м до 15 м | 299,32 | |
Путепроводы с металлическими пролетными строениями с длиной приведенного пролета от 55 м до 80 м: | ||
средняя высота опор до 8 м | 351,93 | |
средняя высота опор от 8 м до 15 м | 355,82 | |
Измеритель: 1 м2 | ||
Эстакады съездов со сборными железобетонными пролетными строениями с длиной приведенного пролета до 22 м: | ||
Средняя высота опор до 8 м | 214,08 | |
Средняя высота опор от 8 м до 15 м | 231,36 | |
Эстакады съездов со сборными железобетонными пролетными строениями с длиной приведенного пролета до 22 м до 33 м: | ||
средняя высота опор до 8 м | 211,14 | |
средняя высота опор от 8 м до 15 м | 212,86 | |
Измеритель: 1 м2 | ||
Эстакады съездов с монолитными железобетонными пролетными строениями с длиной приведенного пролета до 30 м: | ||
средняя высота опор до 8 м | 336,02 | |
средняя высота опор от 8 м до 15 м | 343,08 | |
Эстакады съездов с монолитными железобетонными пролетными строениями с длиной приведенного пролета от 30 м до 45 м: | ||
Средняя высота опор до 8 м | 293,45 | |
Средняя высота опор от 8 м до 15 м | 300,92 | |
Измеритель: 1 м2 | ||
Эстакады съездов со сталежелезобетонными пролетными строениями с длиной приведенного пролета до 50 м: | ||
средняя высота опор до 8 м | 259,42 | |
средняя высота опор от 8 м до 15 м | 265,69 | |
Эстакады съездов со сталежелезобетонными пролетными строениями с длиной приведенного пролета от 50 м до 80 м: | ||
средняя высота опор до 8 м | 289,17 | |
средняя высота опор от 8 м до 15 м | 293,79 | |
Измеритель: 1 м2 | ||
Эстакады съездов с металлическими пролетными строениями с длиной приведенного пролета до 55 м: | ||
средняя высота опор до 8 м | 290,51 | |
средняя высота опор от 8 м до 15 м | 295,19 | |
Эстакады съездов с металлическими пролетными строениями с длиной приведенного пролета от 55 м до 80 м: | ||
средняя высота опор до 8 м | 348,51 | |
средняя высота опор от 8 м до 15 м | 351,86 | |
Измеритель: 1 м2 | ||
Пешеходные переходы (мосты) в составе уличной дорожной сети со сборными железобетонными пролетными строениями: | ||
без защитного покрытия (остекления) пешеходной зоны | 277,60 | |
с защитным покрытием (остеклением) пешеходной зоны | 394,81 | |
Измеритель: 1 м2 | ||
Пешеходные переходы (мосты) в составе уличной дорожной сети с металлическими пролетными строениями: | ||
без защитного покрытия (остекления) пешеходной зоны | 543,71 | |
с защитным покрытием (остеклением) пешеходной зоны | 785,10 | |
Измеритель: 1 м3 | ||
Подпорные стены из монолитного железобетона: | ||
на естественном основании | 80,23 | |
на свайном основании | 112,28 | |
Код показателя | Стоимость на 01.01.2022, тыс. руб. | |
строительства всего (на принятую единицу измерения 1 м2) | в том числе проектных и изыскательских работ, включая экспертизу проектной документации | |
261,58 | 14,97 | |
264,04 | 15,51 | |
250,22 | 13,63 | |
248,85 | 14,28 | |
N п.п. | Наименование конструктивных решений и видов работ | Краткие характеристики |
1 | Крайние опоры: | |
основание | из свай железобетонных сборных | |
ростверк | железобетонный монолитный | |
тело опор (устои) | железобетонное монолитное | |
окраска | эмаль полиуретановая | |
2 | Промежуточные опоры: | |
основание | из свай железобетонных сборных | |
ростверк | железобетонный монолитный | |
тело опор (устои) | железобетонное монолитное | |
окраска | эмаль полиуретановая | |
3 | Пролетное строение: | балочное железобетонное сборное преднапряженное |
окраска | эмаль полиуретановая | |
части опорные | резинометаллические | |
4 | Мостовое полотно: | |
гидроизоляция проезжей части | оклеечная | |
покрытие | щебеночно-мастичный асфальтобетон плотные асфальтобетонные смеси | |
5 | Барьерное ограждение | удерживающая способность 450 кДж |
6 | Дренаж | предусмотрено |
7 | Деформационные швы | с металлическим окаймлением и резиновым ленточным компенсатором |
8 | Конуса | отсыпка песком |
9 | Укрепление откосов земляного полотна | из бетонных монолитных плит, каменной наброской |
10 | Сопряжение с насыпью подходов | из железобетонных монолитных плит |
11 | Водоотводные устройства | предусмотрено |
12 | Лестничные сходы | железобетонные сборные |
13 | Внутрипостроечный транспорт | предусмотрено |
14 | Специальные вспомогательные сооружения и устройства | предусмотрено |
Код показателя | Стоимость на 01.01.2022, тыс. руб. | |
строительства всего (на принятую единицу измерения 1 м2) | в том числе проектных и изыскательских работ, включая экспертизу проектной документации | |
357,80 | 20,28 | |
382,70 | 21,53 | |
336,48 | 18,46 | |
341,32 | 18,68 | |
N п.п. | Наименование конструктивных решений и видов работ | Краткие характеристики | ||||
1 | Крайние опоры: | |||||
основание | из свай железобетонных сборных | |||||
ростверк | железобетонный монолитный | |||||
тело опор (устои) | железобетонное монолитное | |||||
окраска | эмаль полиуретановая | |||||
2 | Промежуточные опоры: | |||||
основание | из свай железобетонных сборных | |||||
ростверк | железобетонный монолитный | |||||
тело опор (устои) | железобетонное монолитное | |||||
окраска | эмаль полиуретановая | |||||
3 | Пролетное строение: | балочное железобетонное монолитное | ||||
окраска | эмаль полиуретановая | |||||
части опорные | шаровые сегментные | |||||
| ||||||
3 | Мостовое полотно: | |||||
гидроизоляция проезжей части | оклеечная | |||||
покрытие | щебеночно-мастичный асфальтобетон плотные асфальтобетонные смеси | |||||
4 | Барьерное ограждение | удерживающая способность 450 кДж | ||||
5 | Дренаж | предусмотрено | ||||
6 | Деформационные швы | из смеси полимерно-битумной мастики и минерального заполнителя | ||||
7 | Конуса | отсыпка песком | ||||
8 | Укрепление откосов земляного полотна | из бетонных монолитных плит, каменной наброской | ||||
9 | Сопряжение с насыпью подходов | из железобетонных монолитных плит | ||||
10 | Водоотводные устройства | предусмотрено | ||||
11 | Лестничные сходы | железобетонные сборные | ||||
12 | Внутрипостроечный транспорт | предусмотрено | ||||
13 | Специальные вспомогательные сооружения и устройства | предусмотрено | ||||
N п.п. | Наименование конструктивных решений и видов работ | Краткие характеристики |
1 | Крайние опоры: | |
основание | из свай железобетонных буронабивных | |
ростверк | железобетонный монолитный | |
тело опор (устои) | железобетонное монолитное | |
окраска | эмаль полиуретановая | |
2 | Промежуточные опоры: | |
основание | из свай железобетонных буронабивных | |
ростверк | железобетонный монолитный | |
тело опор | железобетонное монолитное | |
окраска | эмаль полиуретановая | |
3 | Пролетное строение: | балочное железобетонное монолитное |
части опорные | шаровые сегментные | |
окраска | эмаль полиуретановая | |
4 | Мостовое полотно: | |
гидроизоляция проезжей части | оклеечная | |
покрытие | щебеночно-мастичный асфальтобетон плотные асфальтобетонные смеси | |
5 | Барьерное ограждение | удерживающая способность 450 кДж |
6 | Дренаж | предусмотрено |
7 | Деформационные швы | с металлическим окаймлением и резиновым ленточным компенсатором |
8 | Конуса | отсыпка песком |
9 | Укрепление откосов земляного полотна | из бетонных монолитных плит, каменной наброской |
10 | Сопряжение моста с насыпью подходов | из железобетонных монолитных плит |
11 | Водоотводные устройства | предусмотрено |
12 | Лестничные сходы | железобетонные сборные |
13 | Внутрипостроечный транспорт | предусмотрено |
14 | Специальные вспомогательные сооружения и устройства | предусмотрено |
15 | Технологические укрытия | предусмотрено |
Код показателя | Стоимость на 01.01.2022, тыс. руб. | |
строительства всего (на принятую единицу измерения 1 м2) | в том числе проектных и изыскательских работ, включая экспертизу проектной документации | |
260,10 | 13,83 | |
267,14 | 14,20 | |
326,85 | 15,69 | |
329,81 | 15,73 | |
N п.п. | Наименование конструктивных решений и видов работ | Краткие характеристики |
1 | Крайние опоры: | |
основание | из свай железобетонных сборных | |
ростверк | железобетонный монолитный | |
тело опор (устои) | железобетонное монолитное | |
окраска | эмаль полиуретановая | |
2 | Промежуточные опоры: | |
основание | из свай железобетонных сборных | |
ростверк | железобетонный монолитный | |
тело опор | железобетонное монолитное | |
окраска | эмаль полиуретановая | |
3 | Пролетное строение: | сталежелезобетонное |
части опорные | шаровые сегментные | |
окраска | эмаль полиуретановая | |
4 | Мостовое полотно: | |
гидроизоляция проезжей части | оклеечная | |
покрытие | щебеночно-мастичный асфальтобетон плотные асфальтобетонные смеси | |
5 | Барьерное ограждение | удерживающая способность 450 кДж |
6 | Дренаж | предусмотрено |
7 | Деформационные швы | с металлическим окаймлением и резиновым ленточным компенсатором |
8 | Конуса | отсыпка песком |
9 | Укрепление откосов земляного полотна | из бетонных монолитных плит, каменной наброской |
10 | Сопряжение с насыпью подходов | из железобетонных сборно-монолитных плит |
11 | Водоотводные устройства | предусмотрено |
12 | Лестничные сходы | железобетонные сборные |
13 | Внутрипостроечный транспорт | предусмотрено |
14 | Специальные вспомогательные сооружения и устройства | предусмотрено |
15 | Технологические укрытия | предусмотрено |
N п.п. | Наименование конструктивных решений и видов работ | Краткие характеристики |
1 | Крайние опоры: | |
основание | из свай железобетонных сборных | |
ростверк | железобетонный монолитный | |
тело опор (устои) | железобетонное монолитное | |
окраска | эмаль полиуретановая | |
2 | Промежуточные опоры: | |
основание | из свай железобетонных буронабивных | |
ростверк | железобетонный монолитный | |
тело опор | железобетонное монолитное | |
окраска | эмаль полиуретановая | |
3 | Пролетное строение: | сталежелезобетонное |
части опорные | шаровые сегментные | |
окраска | эмаль полиуретановая | |
4 | Мостовое полотно: | |
гидроизоляция проезжей части | оклеечная | |
покрытие | щебеночно-мастичный асфальтобетон плотные асфальтобетонные смеси | |
5 | Барьерное ограждение | удерживающая способность 450 кДж |
6 | Дренаж | предусмотрено |
7 | Деформационные швы | с металлическим окаймлением и резиновым ленточным компенсатором |
8 | Конуса | отсыпка песком |
9 | Укрепление откосов земляного полотна | из бетонных монолитных плит, каменной наброской |
10 | Сопряжение с насыпью подходов | из железобетонных сборно-монолитных плит |
11 | Водоотводные устройства | предусмотрено |
12 | Лестничные сходы | железобетонные сборные |
13 | Внутрипостроечный транспорт | предусмотрено |
14 | Специальные вспомогательные сооружения и устройства | предусмотрено |
15 | Технологические укрытия | предусмотрено |
16 | Сложные вспомогательные сооружения и устройства | предусмотрено |
Код показателя | Стоимость на 01.01.2022, тыс. руб. | |
строительства всего (на принятую единицу измерения 1 м2) | в том числе проектных и изыскательских работ, включая экспертизу проектной документации | |
469,42 | 21,66 | |
485,86 | 22,43 | |
430,63 | 21,86 | |
440,75 | 22,40 | |
N п.п. | Наименование конструктивных решений и видов работ | Краткие характеристики |
1 | Крайние опоры: | |
основание | из свай железобетонных буронабивных | |
ростверк | железобетонный монолитный | |
тело опор (устои) | железобетонное монолитное | |
окраска | эмаль полиуретановая | |
2 | Промежуточные опоры: | |
основание | из свай железобетонных буронабивных | |
ростверк | железобетонный монолитный | |
тело опор | железобетонное монолитное | |
окраска | эмаль полиуретановая | |
3 | Пролетное строение: | металлическое |
части опорные | шаровые сегментные | |
4 | Мостовое полотно: | |
гидроизоляция проезжей части | мембранная | |
покрытие | щебеночно-мастичный асфальтобетон плотные асфальтобетонные смеси | |
5 | Барьерное ограждение | удерживающая способность 450 кДж |
6 | Дренаж | предусмотрено |
7 | Деформационные швы | с металлическим окаймлением и резиновым ленточным компенсатором |
8 | Конуса | отсыпка песком |
9 | Укрепление откосов земляного полотна | из бетонных монолитных плит, каменной наброской |
10 | Сопряжение моста с насыпью подходов | из железобетонных сборно-монолитных плит |
11 | Водоотводные устройства | предусмотрено |
12 | Лестничные сходы | железобетонные монолитные |
13 | Внутрипостроечный транспорт | предусмотрено |
14 | Специальные вспомогательные сооружения и устройства | предусмотрено |
15 | Опоры освещения | предусмотрено |
N п.п. | Наименование конструктивных решений и видов работ | Краткие характеристики |
1 | Крайние опоры: | |
основание | из свай железобетонных буронабивных | |
ростверк | железобетонный монолитный | |
тело опор (устои) | железобетонное монолитное | |
окраска | эмаль полиуретановая | |
2 | Промежуточные опоры: | |
основание | из свай железобетонных буронабивных | |
ростверк | железобетонный монолитный | |
тело опор | железобетонное монолитное | |
окраска | эмаль полиуретановая | |
3 | Пролетное строение: | металлическое |
части опорные | шаровые сегментные | |
4 | Мостовое полотно: | |
гидроизоляция проезжей части | оклеечная | |
покрытие | щебеночно-мастичный асфальтобетон плотные асфальтобетонные смеси | |
5 | Барьерное ограждение | удерживающая способность 450 кДж |
6 | Дренаж | предусмотрено |
7 | Деформационные швы | с металлическим окаймлением и резиновым ленточным компенсатором |
8 | Конуса | отсыпка песком |
9 | Укрепление откосов земляного полотна | из бетонных монолитных плит, каменной наброской |
10 | Сопряжение моста с насыпью подходов | из железобетонных сборно-монолитных плит |
11 | Водоотводные устройства | предусмотрено |
12 | Лестничные сходы | железобетонные сборные |
13 | Внутрипостроечный транспорт | предусмотрено |
14 | Специальные вспомогательные сооружения и устройства | предусмотрено |
15 | Сложные вспомогательные сооружения и устройства (технологические проезды, стапель, аванбек и т.д.) | предусмотрено |
16 | Опоры освещения | предусмотрено |
17 | Судоходная сигнализация | предусмотрено |
Код показателя | Стоимость на 01.01.2022, тыс. руб. | |
строительства всего (на принятую единицу измерения 1 м2) | в том числе проектных и изыскательских работ, включая экспертизу проектной документации | |
233,96 | 14,05 | |
243,66 | 13,59 | |
222,64 | 12,92 | |
229,33 | 12,91 | |
N п.п. | Наименование конструктивных решений и видов работ | Краткие характеристики |
1 | Крайние опоры: | |
основание | из свай железобетонных сборных | |
ростверк | железобетонный монолитный | |
тело опор (устои) | железобетонное монолитное | |
окраска | эмаль полиуретановая | |
2 | Промежуточные опоры: | |
основание | из свай железобетонных сборных | |
ростверк | железобетонный монолитный | |
тело опор (устои) | железобетонное монолитное | |
окраска | эмаль полиуретановая | |
3 | Пролетное строение: | балочное железобетонное сборное преднапряженное |
окраска | эмаль полиуретановая | |
части опорные | резинометаллические | |
4 | Мостовое полотно: | |
гидроизоляция проезжей части | оклеечная | |
покрытие | плотные асфальтобетонные смеси | |
5 | Барьерное ограждение | удерживающая способность 450 кДж |
6 | Дренаж | предусмотрено |
7 | Деформационные швы | с металлическим окаймлением и резиновым ленточным компенсатором |
8 | Конуса | отсыпка песком |
9 | Укрепление откосов земляного полотна | из бетонных монолитных плит, каменной наброской |
10 | Сопряжение с насыпью подходов | из железобетонных монолитных плит |
11 | Водоотводные устройства | предусмотрено |
12 | Лестничные сходы | железобетонные сборные |
13 | Внутрипостроечный транспорт | предусмотрено |
14 | Специальные вспомогательные сооружения и устройства | предусмотрено |
N п.п. | Наименование конструктивных решений и видов работ | Краткие характеристики |
1 | Крайние опоры: | |
основание | из свай железобетонных сборных | |
ростверк | железобетонный монолитный | |
тело опор (устои) | железобетонное монолитное | |
окраска | эмаль полиуретановая | |
2 | Промежуточные опоры: | |
основание | из свай железобетонных сборных | |
ростверк | железобетонный монолитный | |
тело опор (устои) | железобетонное монолитное | |
окраска | эмаль полиуретановая | |
3 | Пролетное строение: | балочное железобетонное сборное преднапряженное |
окраска | эмаль полиуретановая | |
части опорные | резинометаллические | |
4 | Мостовое полотно: | |
гидроизоляция проезжей части | оклеечная | |
покрытие | щебеночно-мастичный асфальтобетон плотные асфальтобетонные смеси | |
5 | Барьерное ограждение | удерживающая способность 450 кДж |
6 | Дренаж | предусмотрено |
7 | Деформационные швы | с металлическим окаймлением и резиновым ленточным компенсатором |
8 | Конуса | отсыпка песком |
9 | Укрепление откосов земляного полотна | из бетонных монолитных плит, каменной наброской |
10 | Сопряжение с насыпью подходов | из железобетонных монолитных плит |
11 | Водоотводные устройства | предусмотрено |
12 | Лестничные сходы | железобетонные сборные |
13 | Внутрипостроечный транспорт | предусмотрено |
14 | Специальные вспомогательные сооружения и устройства | предусмотрено |
Код показателя | Стоимость на 01.01.2022, тыс. руб. | |
строительства всего (на принятую единицу измерения 1 м2) | в том числе проектных и изыскательских работ, включая экспертизу проектной документации | |
342,78 | 19,06 | |
349,52 | 19,41 | |
302,06 | 16,02 | |
309,24 | 16,43 | |
N п.п. | Наименование конструктивных решений и видов работ | Краткие характеристики |
1 | Крайние опоры: | |
основание | из свай железобетонных сборных | |
ростверк | железобетонный монолитный | |
тело опор (устои) | железобетонное монолитное | |
окраска | эмаль полиуретановая | |
2 | Промежуточные опоры: | |
основание | из свай железобетонных сборных | |
ростверк | железобетонный монолитный | |
тело опор | железобетонное монолитное | |
окраска | эмаль полиуретановая | |
3 | Пролетное строение: | балочное железобетонное монолитное |
части опорные | шаровые сегментные | |
окраска | эмаль полиуретановая | |
4 | Мостовое полотно: | |
гидроизоляция проезжей части | оклеечная | |
покрытие | щебеночно-мастичный асфальтобетон плотные асфальтобетонные смеси | |
5 | Барьерное ограждение | удерживающая способность 450 кДж |
6 | Дренаж | предусмотрено |
7 | Деформационные швы | с металлическим окаймлением и резиновым ленточным компенсатором |
8 | Конуса | отсыпка песком |
9 | Укрепление откосов земляного полотна | из бетонных сборных плит |
10 | Сопряжение моста с насыпью подходов | из железобетонных монолитных плит |
11 | Водоотводные устройства | предусмотрено |
12 | Лестничные сходы | железобетонные сборные |
13 | Внутрипостроечный транспорт | предусмотрено |
14 | Специальные вспомогательные сооружения и устройства | предусмотрено |
15 | Технологические укрытия | предусмотрено |
N п.п. | Наименование конструктивных решений и видов работ | Краткие характеристики |
1 | Крайние опоры: | |
основание | из свай железобетонных сборных из свай железобетонных буронабивных | |
ростверк | железобетонный монолитный | |
тело опор (устои) | железобетонное монолитное | |
окраска | эмаль полиуретановая | |
2 | Промежуточные опоры: | |
основание | из свай железобетонных сборных | |
из свай железобетонных буронабивных | ||
ростверк | железобетонный монолитный | |
тело опор | железобетонное монолитное | |
окраска | эмаль полиуретановая | |
3 | Пролетное строение: | балочное железобетонное монолитное |
части опорные | шаровые сегментные | |
окраска | эмаль полиуретановая | |
4 | Мостовое полотно: | |
гидроизоляция проезжей части | оклеечная | |
покрытие | щебеночно-мастичный асфальтобетон плотные асфальтобетонные смеси | |
5 | Барьерное ограждение | удерживающая способность 450 кДж |
6 | Дренаж | предусмотрено |
7 | Деформационные швы | с металлическим окаймлением и резиновым ленточным компенсатором |
8 | Конуса | отсыпка песком |
9 | Укрепление откосов земляного полотна | из бетонных монолитных плит |
10 | Сопряжение моста с насыпью подходов | из железобетонных сборно-монолитных плит |
11 | Водоотводные устройства | предусмотрено |
12 | Лестничные сходы | железобетонные сборные |
13 | Внутрипостроечный транспорт | предусмотрено |
14 | Специальные вспомогательные сооружения и устройства | предусмотрено |
15 | Технологические укрытия | предусмотрено |
Код показателя | Стоимость на 01.01.2022, тыс. руб. | |
строительства всего (на принятую единицу измерения 1 м2) | в том числе проектных и изыскательских работ, включая экспертизу проектной документации | |
266,06 | 14,08 | |
272,11 | 14,28 | |
295,94 | 16,20 | |
299,66 | 16,04 | |
N п.п. | Наименование конструктивных решений и видов работ | Краткие характеристики |
1 | Крайние опоры: | |
основание | из свай железобетонных сборных | |
ростверк | железобетонный монолитный | |
тело опор (устои) | железобетонное монолитное | |
окраска | эмаль полиуретановая | |
2 | Промежуточные опоры: | |
основание | из свай железобетонных сборных | |
ростверк | железобетонный монолитный | |
тело опор | железобетонное монолитное | |
окраска | эмаль полиуретановая | |
3 | Пролетное строение: | сталежелезобетонное |
части опорные | шаровые сегментные | |
4 | Мостовое полотно: | |
гидроизоляция проезжей части | оклеечная | |
покрытие | щебеночно-мастичный асфальтобетон плотные асфальтобетонные смеси | |
5 | Барьерное ограждение | удерживающая способность 450 кДж |
6 | Дренаж | предусмотрено |
7 | Деформационные швы | с металлическим окаймлением и резиновым ленточным компенсатором |
8 | Конуса | отсыпка песком |
9 | Сопряжение путепровода с насыпью подходов | из железобетонных сборных плит |
10 | Водоотводные устройства | предусмотрено |
11 | Лестничные сходы | железобетонные сборные |
12 | Внутрипостроечный транспорт | предусмотрено |
13 | Специальные вспомогательные сооружения и устройства | предусмотрено |
14 | Технологические укрытия | предусмотрено |
N п.п. | Наименование конструктивных решений и видов работ | Краткие характеристики |
1 | Крайние опоры: | |
основание | из свай железобетонных сборных | |
ростверк | железобетонный монолитный | |
тело опор (устои) | железобетонное монолитное | |
окраска | эмаль полиуретановая | |
2 | Промежуточные опоры: | |
основание | из свай железобетонных сборных | |
ростверк | железобетонный монолитный | |
тело опор | железобетонное монолитное | |
окраска | эмаль полиуретановая | |
3 | Пролетное строение: | сталежелезобетонное |
части опорные | шаровые сегментные | |
4 | Мостовое полотно: | |
гидроизоляция проезжей части | мембранная | |
покрытие | щебеночно-мастичный асфальтобетон плотные асфальтобетонные смеси | |
5 | Барьерное ограждение | удерживающая способность 450 кДж |
6 | Дренаж | предусмотрено |
7 | Деформационные швы | с металлическим окаймлением и резиновым ленточным компенсатором |
8 | Конуса | отсыпка песком |
9 | Укрепление откосов земляного полотна | геоячейками с заполнением растительным грунтом с посевом трав |
10 | Сопряжение путепровода с насыпью подходов | из железобетонных сборно-монолитных плит |
11 | Водоотводные устройства | предусмотрено |
12 | Лестничные сходы | железобетонные сборные |
13 | Внутрипостроечный транспорт | предусмотрено |
14 | Специальные вспомогательные сооружения и устройства | предусмотрено |
15 | Технологические укрытия | предусмотрено |
Код показателя | Стоимость на 01.01.2022, тыс. руб. | |
строительства всего (на принятую единицу измерения 1 м2) | в том числе проектных и изыскательских работ, включая экспертизу проектной документации | |
296,49 | 17,96 | |
299,32 | 18,12 | |
351,93 | 18,12 | |
355,82 | 18,19 | |
N п.п. | Наименование конструктивных решений и видов работ | Краткие характеристики |
1 | Крайние опоры: | |
основание | из свай железобетонных сборных | |
ростверк | железобетонный монолитный | |
тело опор (устои) | железобетонное монолитное | |
окраска | эмаль акриловая | |
2 | Промежуточные опоры: | |
основание | из свай железобетонных сборных | |
ростверк | железобетонный монолитный | |
тело опор | железобетонное монолитное | |
окраска | эмаль акриловая | |
3 | Пролетное строение: | металлическое |
части опорные | шаровые сегментные | |
окраска | эмаль акрилполиуретановая | |
4 | Мостовое полотно: | |
гидроизоляция проезжей части | наплавляемая | |
покрытие | щебеночно-мастичный асфальтобетон плотные асфальтобетонные смеси | |
5 | Барьерное ограждение | удерживающая способность 350 кДж |
6 | Дренаж | предусмотрено |
7 | Деформационные швы | с металлическим окаймлением и резиновым ленточным компенсатором |
8 | Конуса | отсыпка песком |
9 | Укрепление откосов земляного полотна | из бетонных монолитных плит |
10 | Сопряжение путепровода с насыпью подходов | из железобетонных сборно-монолитных плит |
11 | Водоотводные устройства | предусмотрено |
12 | Лестничные сходы | железобетонные сборные |
13 | Внутрипостроечный транспорт | предусмотрено |
14 | Специальные вспомогательные сооружения и устройства | предусмотрено |
15 | Сложные вспомогательные сооружения и устройства (технологические проезды, стапель, аванбек и т.д.) | предусмотрено |
N п.п. | Наименование конструктивных решений и видов работ | Краткие характеристики |
1 | Крайние опоры: | |
основание | из свай железобетонных сборных | |
ростверк | железобетонный монолитный | |
тело опор (устои) | железобетонное монолитное | |
окраска | эмаль полиуретановая | |
2 | Промежуточные опоры: | |
основание | из свай железобетонных сборных | |
ростверк | железобетонный монолитный | |
тело опор | железобетонное монолитное | |
окраска | эмаль полиуретановая | |
3 | Пролетное строение: | металлическое |
части опорные | резинометаллические | |
окраска | эмаль полиуретановая | |
4 | Мостовое полотно: | |
гидроизоляция проезжей части | мембранная | |
покрытие | щебеночно-мастичный асфальтобетон плотные асфальтобетонные смеси | |
5 | Барьерное ограждение | удерживающая способность 450 кДж |
6 | Дренаж | предусмотрено |
7 | Деформационные швы | с металлическим окаймлением и резиновым ленточным компенсатором |
8 | Конуса | отсыпка песком |
9 | Укрепление откосов земляного полотна | геоячейками с заполнением растительным грунтом с посевом трав |
10 | Сопряжение путепровода с насыпью подходов | из железобетонных сборно-монолитных плит |
11 | Водоотводные устройства | предусмотрено |
12 | Лестничные сходы | железобетонные сборные |
13 | Внутрипостроечный транспорт | предусмотрено |
14 | Специальные вспомогательные сооружения и устройства | предусмотрено |
15 | Сложные вспомогательные сооружения и устройства (технологические проезды, стапель, аванбек и т.д.) | предусмотрено |
16 | Технологические укрытия | предусмотрено |
17 | Опоры освещения | предусмотрено |
Код показателя | Стоимость на 01.01.2022, тыс. руб. | |
строительства всего (на принятую единицу измерения 1 м2) | в том числе проектных и изыскательских работ, включая экспертизу проектной документации | |
214,08 | 12,38 | |
231,36 | 12,45 | |
211,14 | 11,91 | |
212,86 | 11,94 | |
N п.п. | Наименование конструктивных решений и видов работ | Краткие характеристики |
1 | Крайние опоры: | |
основание | из свай железобетонных сборных | |
ростверк | железобетонный монолитный | |
тело опор (устои) | железобетонное монолитное | |
окраска | эмаль полиуретановая | |
2 | Промежуточные опоры: | |
основание | из свай железобетонных сборных | |
ростверк | железобетонный монолитный | |
тело опор (устои) | железобетонное монолитное | |
окраска | эмаль полиуретановая | |
3 | Пролетное строение: | балочное железобетонное сборное преднапряженное |
окраска | эмаль полиуретановая | |
части опорные | резинометаллические | |
4 | Мостовое полотно: | |
гидроизоляция проезжей части | оклеечная | |
покрытие | щебеночно-мастичный асфальтобетон плотные асфальтобетонные смеси | |
5 | Барьерное ограждение | удерживающая способность 450 кДж |
6 | Дренаж | предусмотрено |
7 | Деформационные швы | с металлическим окаймлением и резиновым ленточным компенсатором |
8 | Конуса | отсыпка песком |
9 | Укрепление откосов земляного полотна | из бетонных монолитных плит |
10 | Сопряжение с насыпью подходов | из железобетонных монолитных плит |
11 | Водоотводные устройства | предусмотрено |
12 | Внутрипостроечный транспорт | предусмотрено |
13 | Специальные вспомогательные сооружения и устройства | предусмотрено |
Код показателя | Стоимость на 01.01.2022, тыс. руб. | |
строительства всего (на принятую единицу измерения 1 м2) | в том числе проектных и изыскательских работ, включая экспертизу проектной документации | |
336,02 | 18,49 | |
343,08 | 18,86 | |
293,45 | 15,33 | |
300,92 | 15,70 | |
N п.п. | Наименование конструктивных решений и видов работ | Краткие характеристики |
1 | Крайние опоры: | |
основание | из свай железобетонных сборных | |
ростверк | железобетонный монолитный | |
тело опор (устои) | железобетонное монолитное | |
окраска | эмаль полиуретановая | |
2 | Промежуточные опоры: | |
основание | из свай железобетонных сборных | |
ростверк | железобетонный монолитный | |
тело опор | железобетонное монолитное | |
окраска | эмаль полиуретановая | |
3 | Пролетное строение: | балочное железобетонное монолитное |
части опорные | шаровые сегментные | |
окраска | эмаль полиуретановая | |
4 | Мостовое полотно: | |
гидроизоляция проезжей части | оклеечная | |
покрытие | щебеночно-мастичный асфальтобетон плотные асфальтобетонные смеси | |
5 | Барьерное ограждение | удерживающая способность 450 кДж |
6 | Дренаж | предусмотрено |
7 | Деформационные швы | с металлическим окаймлением и резиновым ленточным компенсатором |
8 | Конуса | отсыпка песком |
9 | Укрепление откосов земляного полотна | из бетонных сборных плит |
10 | Сопряжение моста с насыпью подходов | из железобетонных сборно-монолитных плит |
11 | Водоотводные устройства | предусмотрено |
12 | Внутрипостроечный транспорт | предусмотрено |
13 | Специальные вспомогательные сооружения и устройства | предусмотрено |
14 | Технологические укрытия | предусмотрено |
N п.п. | Наименование конструктивных решений и видов работ | Краткие характеристики |
1 | Крайние опоры: | |
основание | из свай железобетонных сборных | |
из свай железобетонных буронабивных | ||
ростверк | железобетонный монолитный | |
тело опор (устои) | железобетонное монолитное | |
окраска | эмаль полиуретановая | |
2 | Промежуточные опоры: | |
основание | из свай железобетонных сборных из свай железобетонных буронабивных | |
ростверк | железобетонный монолитный | |
тело опор | железобетонное монолитное | |
окраска | эмаль полиуретановая | |
3 | Пролетное строение: | балочное железобетонное монолитное |
части опорные | шаровые сегментные | |
окраска | эмаль полиуретановая | |
4 | Мостовое полотно: | |
гидроизоляция проезжей части | оклеечная | |
покрытие | щебеночно-мастичный асфальтобетон плотные асфальтобетонные смеси | |
5 | Барьерное ограждение | удерживающая способность 450 кДж |
6 | Дренаж | предусмотрено |
7 | Деформационные швы | с металлическим окаймлением и резиновым ленточным компенсатором |
8 | Конуса | отсыпка песком |
9 | Укрепление откосов земляного полотна | из бетонных монолитных плит |
10 | Сопряжение моста с насыпью подходов | из железобетонных сборно-монолитных плит |
11 | Водоотводные устройства | предусмотрено |
12 | Внутрипостроечный транспорт | предусмотрено |
13 | Специальные вспомогательные сооружения и устройства | предусмотрено |
14 | Технологические укрытия | предусмотрено |
Код показателя | Стоимость на 01.01.2022, тыс. руб. | |
строительства всего (на принятую единицу измерения 1 м2) | в том числе проектных и изыскательских работ, включая экспертизу проектной документации | |
259,42 | 13,49 | |
265,69 | 13,83 | |
289,17 | 15,43 | |
293,79 | 15,78 | |
N п.п. | Наименование конструктивных решений и видов работ | Краткие характеристики |
1 | Крайние опоры: | |
основание | из свай железобетонных сборных | |
ростверк | железобетонный монолитный | |
тело опор (устои) | железобетонное монолитное | |
окраска | эмаль полиуретановая | |
2 | Промежуточные опоры: | |
основание | из свай железобетонных сборных | |
ростверк | железобетонный монолитный | |
тело опор | железобетонное монолитное | |
окраска | эмаль полиуретановая | |
3 | Пролетное строение: | сталежелезобетонное |
части опорные | шаровые сегментные | |
окраска | эмаль полиуретановая | |
4 | Мостовое полотно: | |
гидроизоляция проезжей части | оклеечная | |
покрытие | щебеночно-мастичный асфальтобетон плотные асфальтобетонные смеси | |
5 | Барьерное ограждение | удерживающая способность 450 кДж |
6 | Дренаж | предусмотрено |
7 | Деформационные швы | с металлическим окаймлением и резиновым ленточным компенсатором |
8 | Конуса | отсыпка песком |
9 | Укрепление откосов земляного полотна | из бетонных сборных плит |
10 | Сопряжение моста с насыпью подходов | из железобетонных сборно-монолитных плит |
11 | Водоотводные устройства | предусмотрено |
12 | Внутрипостроечный транспорт | предусмотрено |
13 | Специальные вспомогательные сооружения и устройства | предусмотрено |
14 | Технологические укрытия | предусмотрено |
N п.п. | Наименование конструктивных решений и видов работ | Краткие характеристики |
1 | Крайние опоры: | |
основание | из свай железобетонных сборных | |
ростверк | железобетонный монолитный | |
тело опор (устои) | железобетонное монолитное | |
окраска | эмаль полиуретановая | |
2 | Промежуточные опоры: | |
основание | из свай железобетонных сборных | |
ростверк | железобетонный монолитный | |
тело опор | железобетонное монолитное | |
окраска | эмаль полиуретановая | |
3 | Пролетное строение: | сталежелезобетонное |
части опорные | шаровые сегментные | |
окраска | эмаль полиуретановая | |
4 | Мостовое полотно: | |
гидроизоляция проезжей части | мембранная | |
покрытие | щебеночно-мастичный асфальтобетон плотные асфальтобетонные смеси | |
5 | Барьерное ограждение | удерживающая способность 450 кДж |
6 | Дренаж | предусмотрено |
7 | Деформационные швы | с металлическим окаймлением и резиновым ленточным компенсатором |
8 | Конуса | отсыпка песком |
9 | Укрепление откосов земляного полотна | геоячейками с заполнением растительным грунтом с посевом трав |
10 | Сопряжение моста с насыпью подходов | из железобетонных сборно-монолитных плит |
11 | Водоотводные устройства | предусмотрено |
12 | Внутрипостроечный транспорт | предусмотрено |
13 | Специальные вспомогательные сооружения и устройства | предусмотрено |
14 | Технологические укрытия | предусмотрено |
Код показателя | Стоимость на 01.01.2022, тыс. руб. | |
строительства всего (на принятую единицу измерения 1 м2) | в том числе проектных и изыскательских работ, включая экспертизу проектной документации | |
290,51 | 15,79 | |
295,19 | 17,56 | |
348,51 | 17,63 | |
351,86 | 17,82 | |
N п.п. | Наименование конструктивных решений и видов работ | Краткие характеристики |
1 | Крайние опоры: | |
основание | из свай железобетонных сборных | |
ростверк | железобетонный монолитный | |
тело опор (устои) | железобетонное монолитное | |
окраска | эмаль акриловая | |
2 | Промежуточные опоры: | |
основание | из свай железобетонных сборных | |
ростверк | железобетонный монолитный | |
тело опор | железобетонное монолитное | |
окраска | эмаль акриловая | |
3 | Пролетное строение: | металлическое |
части опорные | шаровые сегментные | |
окраска | эмаль акрилполиуретановая | |
4 | Мостовое полотно: | |
гидроизоляция проезжей части | наплавляемая | |
покрытие | щебеночно-мастичный асфальтобетон плотные асфальтобетонные смеси | |
5 | Барьерное ограждение | удерживающая способность 350 кДж |
6 | Дренаж | предусмотрено |
7 | Деформационные швы | с металлическим окаймлением и резиновым ленточным компенсатором |
8 | Конуса | отсыпка песком |
9 | Укрепление откосов земляного полотна | из бетонных монолитных плит |
10 | Сопряжение моста с насыпью подходов | из железобетонных сборно-монолитных плит |
11 | Водоотводные устройства | предусмотрено |
12 | Лестничные сходы | железобетонные сборные |
13 | Внутрипостроечный транспорт | предусмотрено |
14 | Специальные вспомогательные сооружения и устройства | предусмотрено |
15 | Сложные вспомогательные сооружения и устройства (технологические проезды, стапель, аванбек и т.д.) | предусмотрено |
N п.п. | Наименование конструктивных решений и видов работ | Краткие характеристики |
1 | Крайние опоры: | |
основание | из свай железобетонных сборных | |
ростверк | железобетонный монолитный | |
тело опор (устои) | железобетонное монолитное | |
окраска | эмаль полиуретановая | |
2 | Промежуточные опоры: | |
основание | из свай железобетонных сборных | |
ростверк | железобетонный монолитный | |
тело опор | железобетонное монолитное | |
окраска | эмаль полиуретановая | |
3 | Пролетное строение: | металлическое |
части опорные | резинометаллические | |
окраска | эмаль полиуретановая | |
4 | Мостовое полотно: | |
гидроизоляция проезжей части | мембранная | |
покрытие | щебеночно-мастичный асфальтобетон плотные асфальтобетонные смеси | |
5 | Барьерное ограждение | удерживающая способность 450 кДж |
6 | Дренаж | предусмотрено |
7 | Деформационные швы | с металлическим окаймлением и резиновым ленточным компенсатором |
8 | Конуса | отсыпка песком |
9 | Укрепление откосов земляного полотна | геоячейками с заполнением растительным грунтом с посевом трав |
10 | Сопряжение моста с насыпью подходов | из железобетонных сборно-монолитных плит |
11 | Водоотводные устройства | предусмотрено |
12 | Лестничные сходы | железобетонные сборные |
13 | Внутрипостроечный транспорт | предусмотрено |
14 | Специальные вспомогательные сооружения и устройства | предусмотрено |
15 | Сложные вспомогательные сооружения и устройства (технологические проезды, стапель, аванбек и т.д.) | предусмотрено |
16 | Технологические укрытия | предусмотрено |
17 | Опоры освещения | предусмотрено |
Код показателя | Стоимость на 01.01.2022, тыс. руб. | |
строительства всего (на принятую единицу измерения 1 м2) | в том числе проектных и изыскательских работ, включая экспертизу проектной документации | |
277,60 | 17,86 | |
394,81 | 25,49 | |
N п.п. | Наименование конструктивных решений и видов работ | Краткие характеристики |
1 | Опоры пролетного строения: | |
основание | из свай железобетонных буронабивных | |
ростверк | железобетонный монолитный | |
тело опоры | железобетонное монолитное | |
окраска | эмаль полиуретановая | |
2 | Пролетное строение: | балочное железобетонное сборное преднапряженное |
части опорные | резинометаллические | |
окраска | эмаль полиуретановая | |
3 | Мостовое полотно: | |
гидроизоляция прохожей части | наплавляемая | |
покрытие | плотные асфальтобетонные смеси | |
4 | Деформационные швы | с металлическим окаймлением и резиновым ленточным компенсатором |
5 | Водоотводные устройства, сухотруб | предусмотрено |
6 | Лестничные сходы | железобетонные монолитные |
7 | Перильное ограждение и металлический пандус для детских колясок | предусмотрено |
8 | Внутрипостроечный транспорт | предусмотрено |
9 | Специальные вспомогательные сооружения и устройства | предусмотрено |
N п.п. | Наименование конструктивных решений и видов работ | Краткие характеристики |
1 | Опоры пролетного строения: | |
основание | из свай железобетонных буронабивных | |
ростверк | железобетонный монолитный | |
тело опоры | железобетонное монолитное | |
окраска | эмаль полиуретановая | |
2 | Пролетное строение: | балочное железобетонное сборное преднапряженное |
части опорные | резинометаллические | |
окраска | эмаль полиуретановая | |
3 | Мостовое полотно: | |
гидроизоляция прохожей части | наплавляемая | |
покрытие | плотные асфальтобетонные смеси | |
4 | Деформационные швы | с металлическим окаймлением и резиновым ленточным компенсатором |
5 | Водоотводные устройства, сухотруб | предусмотрено |
6 | Лестничные сходы | железобетонные монолитные |
7 | Защитное покрытие пешеходной зоны | предусмотрено |
8 | Перильное ограждение и металлический пандус для детских колясок | предусмотрено |
9 | Внутрипостроечный транспорт | предусмотрено |
10 | Специальные вспомогательные сооружения и устройства | предусмотрено |
Код показателя | Стоимость на 01.01.2022, тыс. руб. | |
строительства всего (на принятую единицу измерения 1 м3) | в том числе проектных и изыскательских работ, включая экспертизу проектной документации | |
543,71 | 31,62 | |
785,10 | 45,56 | |
N п.п. | Наименование конструктивных решений и видов работ | Краткие характеристики |
1 | Опоры пролетного строения: | |
основание | из свай железобетонных сборных | |
ростверк | железобетонный монолитный | |
тело опоры | железобетонное монолитное | |
окраска | эмаль полиуретановая | |
2 | Пролетное строение: | металлическое |
части опорные | резинометаллические | |
окраска | эмаль полиуретановая | |
3 | Мостовое полотно: | |
гидроизоляция прохожей части | наплавляемая | |
покрытие | плотные асфальтобетонные смеси | |
4 | Деформационные швы | с металлическим окаймлением и резиновым ленточным компенсатором |
5 | Водоотводные устройства, сухотруб | предусмотрено |
6 | Лестничные сходы | железобетонные монолитные |
7 | Перильное ограждение и металлический пандус для детских колясок | предусмотрено |
8 | Внутрипостроечный транспорт | предусмотрено |
9 | Специальные вспомогательные сооружения и устройства | предусмотрено |
N п.п. | Наименование конструктивных решений и видов работ | Краткие характеристики |
1 | Опоры пролетного строения: | |
основание | из свай железобетонных сборных | |
ростверк | железобетонный монолитный | |
тело опоры | железобетонное монолитное | |
окраска | эмаль полиуретановая | |
2 | Пролетное строение: | металлическое |
части опорные | резинометаллические | |
окраска | эмаль полиуретановая | |
3 | Мостовое полотно: | |
гидроизоляция прохожей части | наплавляемая | |
покрытие | плотные асфальтобетонные смеси | |
4 | Деформационные швы | с металлическим окаймлением и резиновым ленточным компенсатором |
5 | Водоотводные устройства, сухотруб | предусмотрено |
6 | Лестничные сходы | железобетонные монолитные |
7 | Защитное покрытие пешеходной зоны | предусмотрено |
8 | Перильное ограждение и металлический пандус для детских колясок | предусмотрено |
9 | Внутрипостроечный транспорт | предусмотрено |
10 | Специальные вспомогательные сооружения и устройства | предусмотрено |
Код показателя | Стоимость на 01.01.2022, тыс. руб. | |
строительства всего (на принятую единицу измерения 1 м2) | в том числе проектных и изыскательских работ, включая экспертизу проектной документации | |
80,23 | 4,98 | |
112,28 | 5,99 | |
N п.п. | Наименование конструктивных решений и видов работ | Краткие характеристики |
1 | Фундамент | железобетонный монолитный |
2 | Тело стен | железобетонное монолитное |
3 | Гидроизоляция | обмазочная |
4 | Окраска | эмаль акриловая |
5 | Внутрипостроечный транспорт | предусмотрено |
6 | Специальные вспомогательные сооружения и устройства | предусмотрено |
N п.п. | Наименование конструктивных решений и видов работ | Краткие характеристики |
1 | Фундамент | из свай железобетонных буронабивных |
2 | Тело стен | железобетонное монолитное |
3 | Гидроизоляция | обмазочная |
4 | Окраска | эмаль акриловая |
5 | Дренаж | предусмотрено |
6 | Внутрипостроечный транспорт | предусмотрено |
7 | Специальные вспомогательные сооружения и устройства | предусмотрено |