Главная // Актуальные документы // НаставлениеСПРАВКА
Источник публикации
М.: ВНИИЦлесресурс, 1997
Примечание к документу
Название документа
"Наставление по защите лесных культур и молодняков от вредных насекомых и болезней"
(утв. Рослесхозом 03.06.1997)
"Наставление по защите лесных культур и молодняков от вредных насекомых и болезней"
(утв. Рослесхозом 03.06.1997)
Зам. руководителя
Федеральной службы
лесного хозяйства России
Д.И.ОДИНЦОВ
3 июня 1997 года
НАСТАВЛЕНИЕ
ПО ЗАЩИТЕ ЛЕСНЫХ КУЛЬТУР И МОЛОДНЯКОВ
ОТ ВРЕДНЫХ НАСЕКОМЫХ И БОЛЕЗНЕЙ
Наставление подготовлено по заданию Федеральной службы лесного хозяйства России научными сотрудниками Всероссийского научно-исследовательского института лесоводства и механизации лесного хозяйства (ВНИИЛМ) и Татарской лесной опытной станции А.Д. Масловым, Н.М. Ведерниковым, Н.А. Лисовым, И.Г. Вишневской, Н.С. Федоровой при участии доцента ВИПКлесхоз Т.А. Голубевой.
Успешному лесовыращиванию часто препятствуют вредные насекомые и болезни, которые вызывают ослабление, порчу и гибель молодых растений, особенно в искусственных посадках.
В Наставлении кратко характеризуются наиболее распространенные и значимые вредные насекомые и болезни лесных культур и естественных молодняков. Описаны условия, благоприятствующие их массовому распространению, рекомендованы меры защиты.
В предлагаемой системе защитных мероприятий наибольшее значение придается профилактическим - агротехническим мерам, направленным на выращивание лесных культур, устойчивых к различным повреждениям. В необходимых случаях рекомендовано использовать пестициды, разрешенные к применению в лесном хозяйстве, при строгом соблюдении мер общественной, личной и экологической безопасности.
Наставление предназначено для использования на территории Российской Федерации. В нем обобщены производственный опыт и данные исследований по защите лесных культур и молодняков от вредителей и болезней. При организации и ведении детального лесопатологического надзора (мониторинга), назначении и проведении авиационной и наземной химической и биологической защиты молодых лесных насаждений, в других необходимых случаях рекомендовано использовать дополнительные руководства и пособия, указанные в
списке литературы.
Наставление рассчитано на специалистов лесного хозяйства и защиты леса, лесоустроителей, работников лесных проектных организаций.
2. СИСТЕМА МЕРОПРИЯТИЙ ПО ЗАЩИТЕ ЛЕСНЫХ КУЛЬТУР И МОЛОДНЯКОВ
ОТ ВРЕДНЫХ НАСЕКОМЫХ И БОЛЕЗНЕЙ
Система мероприятий по защите лесных культур и молодняков от вредных насекомых и болезней включает надзор за появлением и распространением вредителей и болезней, обследования, прогноз и оценку угрозы повреждения лесных насаждений, профилактические и активные защитные и истребительные меры. Лесозащитные меры должны быть составной частью технологии лесовыращивания.
2.1. Надзор, обследования, учет очагов вредителей и болезней
2.1.1. С целью своевременного выявления очагов вредных насекомых и болезней и принятия необходимых защитных мер следует постоянно контролировать лесопатологическое состояние лесных культур и естественных молодняков. Это достигается путем организации и тщательного ведения общего и специального надзора (мониторинга).
2.1.2. При общем надзоре, проводимом лесной охраной не реже одного раза в год, контролируется состояние лесных культур и естественных молодняков. При их визуальном осмотре отмечаются приживаемость, рост и развитие, наличие в основном ярусе ослабленных, усыхающих и усохших деревьев, распространение вредных насекомых и заболеваний, поражений хвои, побегов, ветвей, ствола, вызываемых ими.
Информация о выявленных поврежденных и усыхающих культурах, массовом появлении вредителей и болезней подается с помощью "
Листков сигнализации".
2.1.3. Специальному надзору подлежат наиболее опасные виды вредных насекомых и возбудителей заболеваний, известные своей способностью создавать очаги массового поражения (повреждения) молодых лесных насаждений. Конкретные виды этих вредителей или болезней определяют для каждого предприятия по реальной или потенциальной угрозе повреждения культур и молодняков, а именно, по наличию действующих в настоящее время или в прошлые годы очагов вредителей и болезней с учетом причиненного ими экономического и экологического ущерба в данных условиях.
Видовой состав подлежащих специальному надзору вредных насекомых и болезней и места его проведения согласовываются при участии службы лесозащиты с территориальными органами управления лесным хозяйством.
2.1.4. Специальный надзор осуществляется рекогносцировочным и детальным методами с привлечением в необходимых случаях феромонных ловушек и иных средств, руководствуясь при этом методиками, изложенными в наставлениях, руководствах и пособиях по ведению надзора (мониторинга) за соответствующими эколого-хозяйственными группами вредных насекомых и болезней [
5,
7,
8].
2.1.5. В случаях обнаружения при общем и специальном надзоре участков молодняков с наличием очагов вредных насекомых и болезней, при прогнозируемом их массовом распространении и повреждении молодых лесов, а также в плановом порядке назначают и проводят лесопатологические обследования.
2.1.6. Лесопатологические обследования проводят для установления санитарного состояния культур и молодняков, выявления и оценки очагов вредных насекомых и болезней, разработки технически, экологически и экономически обоснованных мер защиты и борьбы. Лесопатологические обследования проводят рекогносцировочным и детальным методами. При большой площади культур и молодняков целесообразно использовать также аэровизуальный метод оценки состояния молодых лесонасаждений.
2.1.7. Рекогносцировочное лесопатологическое обследование может предшествовать детальному или проводиться самостоятельно. При этом методе обследование осуществляют по ходовым линиям, используя визиры, просеки, лесные дороги; расстояние между ходовыми линиями колеблется от 250 до 1000 м.
Оценка патологического состояния культур и молодняков дается глазомерно, при этом учитывают количество пораженных вредителями и болезнями, усыхающих и усохших деревьев в процентах и характер их размещения по площади участка: единично, группами (небольшими группами до 10 деревьев), куртинами (до 0.25 га), сплошное поражение (более 0.25 га).
Глазомерную оценку степени повреждения (усыхания) молодняков целесообразно уточнять путем перечета по непровешенной линии поперек пораженного участка до 100 деревьев.
Одновременно выявляют причины ослабления (повреждения) молодняков, виды вредителей или болезней, причины иных патологических факторов.
2.1.8. Повреждения деревьев вредными насекомыми и болезнями определяют по характерным признакам: увяданию, усыханию, объеданию хвои или листвы, почек, побегов, ветвей, ствола, корней, всего дерева, наличию на листьях, ветвях, стволах вздутий, разрастаний (галлов), оплетению хвои (листвы) паутиной, суховершинности, раковым ранам и язвам, плодовым телам, гнили, вывалу, поломке деревьев и т.п.
2.1.9. При наличии до 10% поврежденных (пораженных) вредителями или болезнями растений степень повреждения считается слабой, от 11 до 30% - средней, более 30% - сильной.
Участки культур и молодняков с поврежденностью (пораженностью) более 10% деревьев и площадью более 0.1 га отмечаются как очаги.
2.1.10. По результатам рекогносцировочного обследования составляют схематический план обследованных культур или молодняков с указанием очагов, составляют сводные данные о площади поражения, причинах патологии - по видам вредителей, болезней или иных факторов. Эти материалы используют для выбора мест детального обследования и разработки плана (проекта) лесозащитных мероприятий.
2.1.11. Детальное лесопатологическое обследование проводят с целью уточнения причин и степени поражения культур и молодняков, определения численности вредных насекомых, распространенности и интенсивности развития заболевания, обоснования целесообразности и разработки лесозащитных мер.
Методы детального обследования зависят от цели и объекта изучения. Для этого закладывают временные или постоянные пробные площади, анализируют модельные деревья, берут почвенные или иные пробы, раскапывают корневые системы и пни.
При выполнении обычных производственных учетных работ рекомендуемая точность - 20% (До = 0.2), в особо ответственных случаях и исследовательских целях - 10% (Д = 0.1).
2.1.12. Детальное обследование почвы на заселенность восточным майским хрущом и другими почвообитающими насекомыми производят путем взятия почвенно-зоологических проб. Эта работа выполняется при осенней инвентаризации лесных культур в районах вредной деятельности майского хруща, а также при составлении проектов лесных культур в этой же зоне, особенно в условиях сосняков лишайниковой и брусничной групп типов леса. Обследование очагов хруща производится по стациям: участки лесных культур в возрасте 1...3 года, 4...6 лет, 7...10, 11...15, 16...20 и старше 20 лет, прогалины, редины, вырубки разных лет. Отмечают типы леса и типы условий местопроизрастания.
Учет численности восточного майского хруща производится путем отбора почвенных проб, т.е. выкопки почвенных ям размером 1 x 1 м или 0.5 x 0.5 м (иногда 1.0 x 0.5 м); глубина ямы зависит от глубины залегания в почве личинок хруща. Выбор размера ямы определяется реальными возможностями: раскопка ям размером 0.5 x 0.5 м, т.е. 0.25 м2, менее трудоемка. Ямы раскапывают, распределяя их равномерно по обследуемой площади.
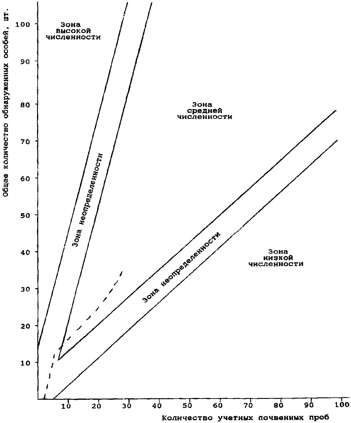
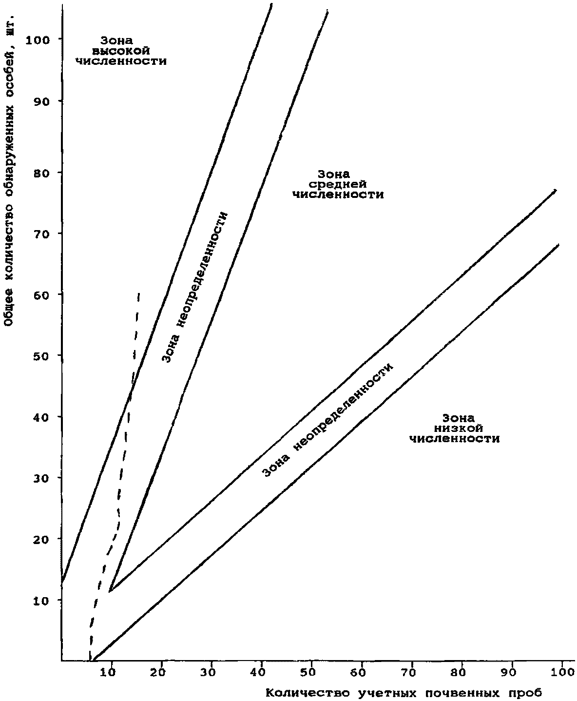
Порядок раскопок следующий. Первоначально раскапывают произвольное количество ям (10...15 шт.) и определяют суммарное количество особей хруща. Полученные данные наносят на график последовательного учета (
приложения 1 или
2 в зависимости от принятого размера ям), а точку пересечения этих данных по горизонтали соединяют с линией принятой относительной ошибки (До); от точки пересечения опускают перпендикуляр на ось абсцисс, где и указано необходимое количество ям на участке.
По окончании раскопок производят расчеты абсолютной и относительной заселенности почвы хрущом.
При низкой численности хруща (средняя заселенность почвы менее 1 экз./м2), когда очень трудно добиться необходимой точности учета, ограничиваются минимальной выборкой: при размере ям 1 x 1 м - 10 шт., 0.5 x 0.5 м - 16 шт.
По материалам обследования составляют схему размещения хруща с указанием степени заселенности почвы (слабая, средняя, сильная), календарь жизни вредителя, уточняют длительность генерации и летные годы, места дополнительного питания, годы максимальной вредоносности для культур.
При обследовании очагов майского хруща с целью определения необходимости проведения защитных мероприятий и составления карты по степени заселенности почвы его личинками предлагается использовать план последовательного учета (
приложения 3 и
4), составленный для трех уровней его численности: заселенность почвы низкая - менее 1 экз./м
2; средняя - 1.0...2.9; высокая - 3.0 экз./м
2 и более. Раскопки почвы продолжаются до тех пор, пока линия, определяющая суммарное число обнаруженных особей, не выйдет из зоны неопределенности. Среднюю абсолютную заселенность почвы хрущом определяют делением общего числа особей на число выкопанных ям.
Для оценки состояния культур в очагах майского хруща закладывают пробные площади с перечетом не менее 200 деревьев, которые подразделяют по категориям: 1 - здоровые, 2 - ослабленные, 3 - усыхающие, 4 - усохшие (погибшие). Категории деревьев 2...4 категорий подразделяют на неповрежденные и поврежденные: хрущами, другими насекомыми (по видам), мышами, лосями, болезнями (по видам), технологическими причинами (по видам), абиотическими факторами, неизвестными причинами. Итоги перечета выражаются в абсолютных (шт.) и относительных (%) величинах, после чего устанавливаются приживаемость и сохранность культур.
2.1.13. Оценку численности и вредоносности
большого соснового долгоносика при обследовании культур рекомендуется производить по поврежденности молодых растений, что и является основанием для назначения защитных мер.
Состояние культур оценивается по следующей шкале:
I - здоровые растения или очень слабоповрежденные - не более 2 неглубоких погрызов на побегах;
II - слабоповрежденные - ранки на ветвях и побегах, на стволике неглубокие отдельные выгрызы;
III - среднеповрежденные - ранки на ветвях и побегах, на стволике отдельные глубокие ранки;
IV - сильноповрежденные, усыхающие, усохшие - глубокие ранки сливаются и окольцовывают стволики; отмирающие и мертвые деревца.
По результатам перечета (не менее 200 растений, учтенных по диагонали участка) определяют средний балл поврежденности культур как средневзвешенную величину.
Защитные меры целесообразны при поврежденности культур на 30% и более, в том числе 10% и более - IV категории повреждения.
Возможен учет долгоносика по заселенности пней. Вначале на вырубке окоряют 10...15 шт. пней, включая их корневые лапы, и отмечают их заселенность вредителем; далее определяют относительную заселенность пней (%). Затем проводят полную окорку одного из средних по размерам и заселенности пней с раскопкой его корней на глубину до 30 см и подсчитывают всех особей долгоносика (личинки, куколки, имаго). Полученные данные пересчитывают на 1 га.
2.1.14. При обследовании очагов
соснового подкорного клопа учет рекомендуется проводить путем анализа модельных деревьев. Для этого подсчитывают личинок и имаго на наиболее заселенных междоузлиях или на всем дереве, после чего судят о поражении культур с учетом их возраста и состояния. Учет проводят на 10...15 деревьях, взятых по периферии очага. Возможен пересчет плотности заселения дерева клопом на 1 дм
2 путем деления общего числа клопов на междоузлии на площадь его поверхности в дециметрах. В этом случае численность клопа оценивают по градациям: заселенность слабая - на 1 дм
2 наиболее заселенного междоузлия приходится, в среднем, до 15 особей клопа, средняя - 16...30, сильная - 31...50, очень сильная - более 50 шт.
Одновременно определяют категорию очага по следующим критериям:
I - возникающий очаг: возраст культур 5...10 лет, наиболее заселенное клопами междоузлие - пятое-шестое; клопы редки, на всем дереве их не более 30 шт.; признаки повреждения незаметны;
II - развивающийся очаг: возраст культур 8...15 лет, наиболее заселены шестое и седьмое междоузлия, клопы попадаются почти под каждой чешуйкой, на одном междоузлии их до 150 шт., на всем дереве - до 500 шт.; признаки ослабления незначительны;
III - действующий очаг: возраст культур 13...20 лет, наиболее заселены 7...10 междоузлия, под каждой чешуйкой встречаются по несколько штук или десятков клопов, на наиболее заселенной мутовке - несколько сотен, на всем дереве - несколько тысяч; отмечаются сильное ослабление деревьев, бледная окраска хвои и ее опадение, резкое снижение прироста, отмирание вершин и деревьев;
IV - затухающий очаг: возраст культур 20...25 лет, заселенность деревьев - как в очагах II категории, но свежего усыхания нет, наблюдаются восстановление хвои и усыхание вершин;
V - затухший очаг: возраст культур более 25 лет, заселенность деревьев - как в очагах I категории, заметна прошлая деятельность клопа по усохшим вершинам и смоляным натекам на стволах растущих деревьев.
Истребительные меры борьбы с подкорным клопом проводят в очагах II...IV категорий.
Для оценки состояния культур в очагах подкорного клопа рекомендуется следующая шкала (перечет 200 деревьев по диагонали участка):
I - здоровые деревья - без признаков ослабления;
II - ослабленные - прирост в вершину ослаблен, крона ажурная;
III - сильно ослабленные - сухая вершина, крона ажурная, на стволе смоляные натеки;
IV - усыхающие и усохшие - с явными признаками свежего усыхания и мертвые деревья.
По результатам перечета определяют среднюю категорию как средневзвешенную величину.
2.1.15. Состояние культур в очагах
побеговьюнов определяют путем перечета деревьев (200 шт. по диагонали участка) с использованием следующей шкалы:
I - здоровые, неповрежденные растения;
II - слабоповрежденные - стержневой побег не поврежден, боковые повреждены не более чем на 10%; форма ствола сохранена; деревья перспективные;
III - среднеповрежденные - повреждены верхушечный и до 25% боковых побегов, стволик искривлен; деревья неперспективные;
IV - сильноповрежденные - повреждены центральный и более 25% боковых побегов, дерево кустообразной формы; деревья неперспективные.
По результатам перечета рассчитывают средневзвешенную категорию состояния.
Защитные меры в культурах целесообразны при повреждении побеговьюнами 30% растений и более, в том числе 10% и более - IV категории.
2.1.16. В очагах других видов вредных насекомых используют аналогичные методы с учетом особенностей их биологии и характера причиняемого растениям вреда.
При учете хвое-листогрызущих насекомых и стволовых вредителей используют методы, изложенные в соответствующих наставлениях, руководствах и пособиях.
2.1.17. В очагах болезней пробные площади закладывают в случайном порядке или систематическим способом в условиях, характерных для той или иной болезни. Для сравнения пробные площади размещают и в здоровых насаждениях. Размер и форма пробных площадей, их расположение и количество зависят от характера распространения болезней. Пробные площади могут быть разного типа: прямоугольные или линейные площадью 0.1...0.5 га. Линейный метод обследования имеет определенные преимущества перед площадочным: сокращая время на закладку пробных площадей, увеличивается охват обследуемых участков.
Количество деревьев на пробной площади зависит от доли выявляемого признака. Если поражено болезнями менее 10% деревьев, рекомендуется проводить их перечет в количестве не менее 200; от 11 до 20% - 100 деревьев; от 21 до 40% - 50 деревьев; более 40% - достаточно 20 деревьев. На пробной площади отмечают характерные особенности поражения деревьев, учитывают распространенность и интенсивность развития болезней. Определяют состояние культур и молодняков путем перечета деревьев по породам и категориям состояния. При необходимости анализируют модельные деревья (не менее 10 шт.), устанавливают причины ослабления и видовой состав болезней. В случае поражения хвои или листьев определяют степень поражения в баллах: 0 - здоровые деревья; 1 - поражено до 25%; 2 - 26...50%; 3 - более 50%.
Обследование культур и молодняков проводят в биологически обоснованные сроки, т.е. тогда, когда имеются характерные для той или иной болезни внешние признаки. Так, например, обследование культур на наличие соснового вертуна проводят в августе-сентябре на пробных площадях, заложенных равномерно по участку с количеством на каждой не менее 200 деревьев. При первом обследовании осматривают побеги последних 5 лет, при последующем - побеги последнего года. На участке анализируют 25 модельных деревьев; при этом оценивают степень поражения побегов и состояние деревьев в целом. Устанавливают встречаемость и интенсивность развития болезни.
При обследовании культур и молодняков, пораженных обыкновенным и снежным шютте, а также ржавчиной, мучнистой росой, пятнистостью листьев, для оценки степени повреждения используют следующие категории состояния: слабая степень поражения (10% хвои или листвы), средняя (до 50%) и сильная (более 50%).
Встречаемость, или распространенность, и интенсивность развития болезни определяют по формулам:

,
где:
P - распространенность болезни, %;
n - количество пораженных деревьев, шт.;
N - количество всех учтенных, больных и здоровых, шт.

,
где:
C - интенсивность развития болезни, %;

- сумма произведений количества больных деревьев (а) на соответствующий балл поражения (б);
N - общее количество учтенных деревьев, шт.;
в - высший балл принятой шкалы.
2.1.18. Обследование насаждений и учет очагов корневой губки подробно изложены в "Основных положениях по защите сосны, ели и пихты от корневой губки" (1991).
Обследование сосновых насаждений проводят наземными и дистанционными методами. При очаговом усыхании насаждений степень поражения насаждений характеризуется их расстроенностью и определяется как процентное отношение суммарной площади очагов усыхания к площади выдела с подразделением на слабую, среднюю и сильную
(табл. 1).
Таблица 1
Шкала расстроенности сосновых насаждений
при куртинном усыхании от корневой губки
Степень расстроенности сосновых насаждений | Суммарная площадь, занимаемая прогалинами, сухостоем и усыхающими деревьями (в % от площади выдела) |
Возрастные группы насаждений, лет |
до 20 | 21...50 | более 50 |
Слабая | 1...5 | 2...10 | 3...15 |
Средняя | 6...15 | 11...25 | 16...33 |
Сильная | 16 и более | 26 и более | 34 и более |
При диффузном усыхании пораженность насаждений оценивается путем перечета деревьев по категориям состояния на пробных площадях. При этом усыхании степень поражения определяется как процентное отношение запаса деревьев сосны III...IV категорий состояния к общему запасу на выделе.
При смешанном усыхании (диффузное и куртинное) степень поражения оценивается по преобладающему типу.
При обследовании насаждений, пораженных корневой губкой, с помощью аэрофотосъемки используют спектрозональные аэрофотоснимки масштаба 1:10 000 и крупнее.
При очаговом усыхании на основе признаков дешифрирования определяют количество очагов усыхания в выделе, их размеры (диаметр, площадь), категории развития (возникающий, действующий) и степень поражения.
При диффузном усыхании деревьев в сосняках 40-летнего возраста и старше определяют степень поражения насаждений по проценту деревьев III...IV категорий состояния в выделе. Для этого вдоль прямых линий, случайно проведенных в пределах контуров выдела, оценивают состояние не менее 150...200 деревьев сосны и подсчитывают количество сильно ослабленных, усыхающих и погибших.
В отличие от сосновых насаждений куртинное усыхание ели и пихты выражено значительно слабее и в отдельные годы (обычно влажные) может отсутствовать. В течение многих десятилетий поражение корневой губкой не приводит к расстроенности древостоя. Болезнь в еловых и пихтовых насаждениях проходит в хронической форме и ее диагностирование затруднено. Характерный признак пораженности насаждений ели и пихты корневой губкой - наличие ветровальных деревьев или их пней с плодовыми телами гриба и типичной для патогена гнилью.
Наиболее объективно определение зараженности деревьев с помощью возрастного бура на уровне шейки корня. Бурение проводят у 20 деревьев I...III категорий состояния, а также у всех деревьев IV...VI категорий.
На сплошных вырубках 1...3-летней давности и всех видах рубок промежуточного пользования степень зараженности болезнью определяют по проценту пней с наличием гнили от корневой губки (не менее 50 пней).
Выделяют 3 степени пораженности: слабую, среднюю и сильную. При слабой степени доля деревьев, зараженных корневой губкой, составляет 11...20%, при средней - 21...40%, при сильной - более 40%. Насаждения ели и пихты со степенью поражения менее 10% в учет корневой губки не включают.
Выявление и учет очагов корневой губки проводят работники лесной охраны и специалисты по лесозащите при лесопатологических и других обследованиях, таксаторы при лесоустроительных работах наземными методами или с применением аэрофотоснимков.
Региональные особенности проявления, распространения и развития болезни должны оцениваться на ландшафтной основе с выделением и оконтуриванием на схемах лесхозов в масштабе 1:100 000 урочищ и местностей, зараженных корневой губкой. Картографические материалы составляют в масштабе планов лесонасаждений с разной степенью поражения корневой губкой. Данные карты следует хранить постоянно как документы строгой отчетности, фиксирующие изменения санитарного состояния лесов.
Материалы по выявлению и учету очагов корневой губки заносят в книгу учета очагов вредителей и болезней леса и включают в Санитарные обзоры территориальных органов управления лесным хозяйством.
Снятию с учета очагов корневой губки подлежат только те площади, на которых после сплошных санитарных рубок созданы культуры, соответствующие по породному составу и структуре насаждениям коренных формаций.
2.1.19. При осенней инвентаризации очагов по результатам обследований уточняют их площадь по видам вредителей и болезней, дают заключение на списание очагов или проведение хозяйственных мероприятий.
2.2. Прогноз размножения вредных насекомых
и назначение защитных мероприятий
2.2.1. При прогнозировании развития очагов восточного майского хруща имеется в виду, что цикличность его массовых размножений составляет 20...25 лет. Оценивается современное состояние культур с данными о вредоносности хруща в предшествующий период. Непосредственная угроза повреждения культур определяется уровнем численности личинок в почве и их возрастным распределением. Анализ составленного календаря жизни хруща позволяет прогнозировать повреждение культур: оно максимально в годы, когда личинки будут находиться в III возрасте, минимально - в годы лёта жуков и преобладания личинок I возраста. Одновременно необходимо уточнить годы массового лёта жуков.
Активные истребительные и защитные мероприятия в очагах восточного майского хруща назначают с учетом следующих пороговых значений его численности:
авиационно-химическая борьба с хрущом целесообразна при средней численности его жуков в почве 1 шт./м2 и более; при меньшей численности возможна наземная химическая обработка мест концентрации жуков на дополнительное питание;
сплошная истребительная затравка почвы инсектицидами назначается при наличии в почве на 1 м2 в лесной и лесостепной зонах не менее 8 личинок младшего и 5 - старшего возрастов, в степной зоне, соответственно, 5 и 3; при меньшей численности ограничиваются сплошной вспашкой почвы без внесения инсектицидов или химической защитой высаживаемых растений.
Профилактические меры против восточного майского хруща в районах его вредной деятельности - лесохозяйственные, лесокультурные, биотехнические - необходимы при любом уровне его численности.
2.2.2. Угроза повреждения культур и естественных молодняков хвойных пород большим сосновым долгоносиком возникает на свежих, 2...4-летней давности, вырубках, горельниках, ветровальниках, других участках ослабленного леса, а также в непосредственной близости от них (в радиусе 1 км).
Конкретная угроза повреждения молодняков устанавливается при надзоре за долгоносиком и обследовании возможных мест его размножения
(п. 2.1.13). Защитные меры целесообразны при среднем балле поврежденности культур, равном 3.0 и более, общем числе поврежденных растений - 30% и более, в том числе до степени усыхания - 10% и более.
Угроза сильного повреждения культур и необходимость борьбы возникают, если установлено, что абсолютная численность долгоносика на 1 га достигает 10 тыс. особей и более, а при учете долгоносика на различные приманки и ловушки (что используется при надзоре), если отлов жуков в день на 1 ловушку (приманку) составляет 7 шт. и более - на вырубках, 9 шт. и более - вблизи вырубок. При меньшей численности ограничиваются надзором.
2.2.3. Увеличения численности побеговьюнов следует ожидать в годы после весенне-летних засух, снижающих устойчивость сосны. Очаги возможны в культурах лишайниковой и брусничной групп типов сосняков по вырубкам и гарям, особенно при бороздной подготовке почвы. Часты повреждения на лесосеменных участках и плантациях.
Проведение активных защитных мер целесообразно, когда культуры повреждены побеговьюнами на 30% и более и среднем балле состояния сосны 3.0 и выше
(п. 2.1.15).
Применение феромонов для отлова бабочек побеговьюнов
(разд. 2.8) возможно при любом уровне их численности.
2.2.4. Перспективы развития очагов
подкорного соснового клопа оценивают исходя из данных надзора, когда отмечен явный рост его численности и в составе популяции появляются длиннокрылые самки, что свидетельствует о возможном их расселении. Защитные меры назначают в очагах II и III категорий
(п. 2.1.14), а в очагах IV категории - только с целью снижения вреда от клопа и предупреждения его расселения.
Культуры с наличием очагов IV и V категорий, если усыхание достигло 50% и более, подлежат реконструкции.
2.2.5. Прогноз развития очагов других видов вредителей молодняков составляют схожим образом, с учетом специфики их биологии и динамики очагов.
При прогнозе размножения вредящих молоднякам хвое-листогрызущих насекомых и стволовых вредителей руководствуются положениями специальных наставлений и руководств [
7,
8].
2.3. Прогноз болезней и назначение защитных мероприятий
2.3.1. С помощью краткосрочного прогноза можно своевременно предсказать дату начала рассева спор возбудителей болезней типа шютте, а при необходимости - время проведения опрыскивания культур. Для составления прогноза используют данные ближайшей метеостанции, которые уточняют собственными наблюдениями.
2.3.2. Методика краткосрочного прогноза даты опрыскивания сосны против обыкновенного и снежного шютте по началу споруляции возбудителей пригодна для Европейской территории России и Зауралья до Алтайского края.
2.3.3. Прогноз даты опрыскивания сосны против
обыкновенного шютте дается с помощью номограммы
(приложение 5). Две крайние шкалы равномерные, на них отложены суммы осадков (в мм) за период с 1 мая по 16 июля и суммы значений среднесуточных температур воздуха выше 15 °C за период от схода снега по 16 июля. Средняя шкала построена по фактическим данным начала летней споруляции гриба-возбудителя обыкновенного шютте.
2.3.4. Прогноз даты опрыскивания сосны против
снежного шютте по началу споруляции возбудителя болезни дается с помощью сходной номограммы
(приложение 6). На двух крайних равномерных шкалах отложены суммы осадков (в мм) за период с 1 июля по 30 сентября и суммы среднесуточных температур воздуха выше 0 °C за период с 1 июля по 30 сентября. Средняя шкала построена по фактическим данным начала рассева аскоспор гриба - возбудителя болезни.
2.3.5. Вероятность возникновения очагов корневой губки в культурах хвойных пород оценивается с учетом их предрасположенности к болезням в различных условиях, а именно (по мере снижения опасности):
культуры на вырубках (включая раскорчеванные), насаждения, пораженные корневой губкой;
монокультуры или смешанные по составу с полосным смешением культуры на землях мелиоративного фонда - пашни, пески, пустыри, сенокосы, пастбища, рекультивируемые земли;
культуры и естественные насаждения на осушенных территориях с минерализованными почвами;
культуры на гарях;
производные хвойные насаждения в не свойственных для них типах леса;
культуры на раскорчеванных вырубках после рубок главного пользования;
культуры на вырубках после рубок главного пользования;
естественные насаждения.
Прогноз динамики ежегодного отпада деревьев в очагах корневой губки базируется на оценке особенностей развития болезни в насаждениях различных пород, фазы развития очага, возможности его активизации со стороны других факторов.
В сосновых культурах максимум отпада (ежегодно до 15% и более) наблюдается в стадии жердняка - в возрасте 30...50 лет. В еловых и пихтовых культурах с возрастом зараженность древостоя нарастает, но ежегодный отпад, ветровал, бурелом обычно единичны или отсутствуют.
Повреждения лесов ветром, засухи, стволовые вредители, интенсивные рекреационные нагрузки, другие повреждения усиливают отпад деревьев, особенно в еловых культурах - вплоть до их полного расстройства за 2...3 года.
2.4. Лесохозяйственные мероприятия
2.4.1. Лесохозяйственные мероприятия по защите культур и естественных молодняков заключаются в использовании лесоводственных и лесокультурных, в том числе агротехнических приемов, повышающих устойчивость лесных насаждений к вредным насекомым и болезням, создающих неблагоприятные условия для широкого распространения вредных организмов и одновременно улучшающих условия обитания полезных видов и прежде всего самих лесных растений.
Лесохозяйственные мероприятия имеют профилактический и оздоровительный характер. Они должны являться основой интегрированной системы защиты лесных молодняков
(разд. 2.9) и в то же время - составной частью технологии их выращивания и ухода.
2.4.2. Выбор площади имеет особое значение при плантационном выращивании лесных пород. Почвенные и иные условия должны обеспечивать наивысшую продуктивность и быстроту выращивания культур. Нельзя закладывать плантации на территории, ранее занятой хроническими очагами губки, опенка, восточного майского хруща (без полной предварительной ликвидации вредителя), в зоне воздействия промышленных эмиссий, высоких антропогенных нагрузок и т.п.
2.4.3. Подбор древесной породы: ее биологические особенности должны соответствовать почвенно-климатическим условиям выращивания. Имеет значение, особенно при создании тополевых плантаций, устойчивость сортов к вредителям и болезням, а при выращивании дуба и ильмовых - различная устойчивость их фенологических форм (наиболее устойчивы позднораспускающиеся формы обеих древесных пород).
2.4.4. Создание культур посевом или посадкой. Культуры сосны, созданные посевом, более устойчивы, например, к побеговьюнам, но чаще поражаются сосновым вертуном и другими болезнями. Во многих районах посевы желудей уничтожаются кабанами.
2.4.5. Способ обработки почвы особенно важен в неблагоприятных условиях роста. В степной зоне при посадке дуба и сосны необходима глубокая сплошная вспашка почвы. Она же содействует формированию культур сосны, устойчивых к ряду вредных насекомых и в лесной зоне на бедных сухих песках. Вспашка с полным оборотом пласта приводит к запахиванию возбудителей заболеваний, находящихся в верхнем слое почвы, уничтожению сорняков и личинок почвообитающих насекомых, лучшему развитию корневых систем растений, их приживаемости и росту.
2.4.6. Отбор посевного и посадочного материала. Предпочтение отдается посадочному материалу местного происхождения. Семена должны быть предварительно подвергнуты анализу на пораженность насекомыми. Сеянцы должны соответствовать требованиям ГОСТа, иметь хорошо развитую корневую систему, быть здоровыми, не иметь механических и иных повреждений; особенно опасны сеянцы, пораженные снежным шютте, побеговым раком, другими болезнями и некоторыми вредными насекомыми.
2.4.7. Агротехника посева и посадки. Необходимо соблюдать оптимальную глубину посева или посадки, предупреждать подсушивание сеянцев, загиб у них корневых систем, механические повреждения и т.д.
2.4.8. Выбор оптимального срока посева и посадки содействует приживаемости и жизнеспособности растений. В случаях, когда это возможно, отсрочив год посадки, можно избежать повреждений, например, большим сосновым долгоносиком, который на 3...5-й годы покидает вырубки, полностью использовав для размножения свежие пни.
2.4.9. Уход за посевом и посадкой - это рыхление почвы, уничтожение сорняков, что не только содействует лучшему росту растений, но и предотвращает распространение ряда опасных заболеваний (сорняки - промежуточные хозяева ржавчины и других болезней) и вредных насекомых.
2.4.10. Применение удобрений оправдано, в частности, для повышения устойчивости сосны к сосновому подкорному клопу. Так же благоприятно для сосны выращивание ее с люпином.
2.4.11. Густота культур часто определяет их устойчивость к восточному майскому хрущу, подкорному клопу и другим вредителям. Повышенная густота в условиях свежих почв опасна для заражения сосны и ели корневой губкой. Кроме того, загущенные культуры хуже растут, чаще повреждаются снегом. Это требует оптимизации и регулирования густоты культур при посадке и уходе в конкретных условиях произрастания.
2.4.12. Создание смешанных насаждений - очень важное условие их устойчивости к большинству патологических факторов, особенно к корневой губке. Введение и сохранение лиственных пород в составе культур, создание из лиственных притеняющих опушек повышает устойчивость сосны к подкорному клопу, майскому хрущу.
2.4.13. Рубки ухода играют важную роль в создании оптимальной густоты насаждения, а также в удалении больных и пораженных вредителями растений. Имеет при этом значение способ проведения ухода: наиболее эффективен селекционный уход. Важен также срок проведения ухода: в насаждениях, подверженных опасности заражения корневой губкой, рубки ухода проводят в осенне-зимний период.
2.4.14. Очистка мест рубки, уборка захламленности ограничивают размножение таких вредных насекомых, как большой сосновый долгоносик и других, что особенно важно при закультивировании свежих вырубок.
2.4.15. Карантин предотвращает проникновение новых видов вредных насекомых и возбудителей заболеваний. Тщательный осмотр, выбраковка и уничтожение поврежденного посадочного материала необходимы не только при внешнем карантине (это задача специальной карантинной службы), но и при всех внутренних перевозках посадочного материала.
2.5. Механические меры борьбы
2.5.1. При небольшой площади очага и незначительном поражении растений следует рекомендовать механические меры борьбы, ограниченно или полностью безвредные для окружающей среды и человека.
2.5.2. Сбор насекомых и выборка пораженных болезнями растений и их уничтожение. Сбор и уничтожение кладок яиц непарного шелкопряда, обмазывание их нефтепродуктами; срезание и уничтожение паутинных гнезд с гусеницами златогузки, боярышницы, кладок яиц и гнезд кольчатого шелкопряда; вырезка и уничтожение галлов с личинками малого тополевого усача и темнокрылой стеклянницы; раздавливание гнезд с личинками пилильщиков и ткачей; выборка и сжигание растений, пораженных цитоспорозом, раково-некрозными и другими болезнями, заселенных стволовыми вредителями; отряхивание деревьев и уничтожение жуков майских хрущей, ясеневой шпанки и т.п.
2.5.3. Устройство преград - заградительных канавок и клеевых колец. Ловчие канавки предназначены для отлова и уничтожения ползающих по земле жуков большого соснового долгоносика, кравчика, гусениц совок и других насекомых. Канавкой глубиной до 30...40 см отграничивают по периметру ценные участки культур; по дну ее через 8...10 м выкапывают ямки глубиной до 30 см. Периодически осматривают канавки и уничтожают скопившихся насекомых. Последних можно отравлять, обработав дно канавки и ямок инсектицидами.
Клеевые кольца на стволах деревьев (обычно на высоте груди) используют для уничтожения поднимающихся в кроны после перезимовки гусениц соснового шелкопряда, бескрылых самок пядениц, соснового подкорного клопа и других вредителей.
2.5.4. Приманки. Для привлечения жуков большого соснового долгоносика можно использовать куски свежей коры сосны или ели, уложенные лубом к земле, или кучки мелких хвойных веток, придавленных к земле фанеркой и затем дерниной. Луб коры или веточки целесообразно обработать инсектицидами.
Приманки для чернотелок - это пучки соломы или травы, разложенные по площади и также обработанные инсектицидами.
Сродни этому методу использование феромонных ловушек
(разд. 2.8). Световые ловушки с применением ламп накаливания, люминесцентных, ртутно-кварцевых, бактерицидных эффективны для отлова многих видов бабочек и некоторых других насекомых. Радиус действия светоловушек в лесу - 150...500 м, на открытых местах - 1500...2000 м.
2.6. Биологические и биотехнические меры защиты
2.6.1. Для борьбы с хвое- и листогрызущими насекомыми эффективны микробиологические препараты - бактериальные и вирусные. Из бактериальных инсектицидов рекомендованы битоксибациллин, смачивающийся порошок (с.п.), титр 60 млрд/г - 0.8...1.5 кг/га; гомелин, с.п., 30 млрд/г - 1.0...2.5 кг/га, гомелин, с.п., титр 90 млрд/г - 0.5...2.0 кг/га, инсектин, с.п., титр 60 млрд/г - 1.0...2.0 кг/га; инсектин, сухой порошок, титр 30 млрд/г - 1.0...2.5 кг/га; лепидоцид концентрированный, титр 100 млрд/г - 0.8...1.5 кг/га; лепидоцид стабилизированный, титр 70 млрд/г - 0.5...1.2 кг/га. Разрешены для применения следующие вирусные инсектициды: вирин-ЭНШ при наземном опрыскивании яйцекладов 0.0002...0.002 кг/га, при опрыскивании по гусеницам - 0.025 кг/га; вирин-диприон - 0.01...0.004 кг/га; вирин-ПШМ - 0.5 кг/га; вирин-ГСШ - 0.1 кг/га. Рекомендации по применению микробиологических препаратов подробно изложены в работах, приведенных в
списке литературы.
2.6.2. Для борьбы с болезнями, преимущественно с полеганием сеянцев в питомниках, применяют антибиотики - трихотецин и фитолавин.
Против корневой губки в культурах эффективна предпосадочная обработка корневых систем сеянцев микоризином, препаратом из грибов-антагонистов названного патогена. Для предупреждения разрастания очагов корневой губки практикуют защитную обработку пней грибными препаратами других антагонистов - пениофоры, триходермы и др.
2.6.3. Из биотехнических мероприятий рекомендуются сохранение и расселение муравьев, развешивание гнездовий птиц, создание для них и других пернатых благоприятных условий обитания. Особое внимание в последние годы уделяется организации так называемых ремизных участков в рамках очажно-комплексного метода (ОКМ) профилактической защиты леса. Ремизный участок площадью 0.1...0.2 га с реконструкцией в сторону увеличения деревьев и ягодных кустарников, нектароносных растений нужно закладывать из расчета на 25 га защищаемых насаждений. Создание благоприятных условий для птиц и насекомых-энтомофагов, размещение муравейников, устройство каменной грядки для привлечения рептилий и амфибий, подвеска пучков стеблей для привлечения одиночных пчел и т.д. имеют лесозащитное значение в культурах и молодняках. В качестве ремизных участков могут служить живые изгороди, группы кустарников, вводимые в культуры.
Подобные мероприятия способствуют созданию биологического разнообразия, особенно в чистых насаждениях.
2.7. Химические меры защиты
2.7.1. Химическая защита лесных культур и молодняков от вредных насекомых проводится путем сплошной или частичной затравки почвы инсектицидами, опрыскиванием растений наземным или авиационным способами, аэрозольной обработкой насаждений.
2.7.2. Сплошная или частичная затравка почвы инсектицидами применяется для защиты лесных культур от вредных почвообитающих насекомых. Для этого используют, главным образом, гранулированные препараты базудина, 10%-й с нормой расхода 25...30 кг/га; волатона, 5%-й - 30...50 кг/га и аналогичные им. Сплошную затравку почвы осуществляют одновременно с ее сплошной вспашкой, рассевая гранулы предварительно по поверхности почвы или используя почвенные дозаторы ядохимикатов. При частичной обработке инсектициды вносят в почву полосами (например, вдоль рядов растущих культур) или чаще путем обработки корневой системы сеянцев перед их посадкой: базудином 5%-м с расходом 500...700 г на 1 тыс. шт. сеянцев или 10%-м - 100...700 г.
2.7.3. Защиту культур и молодняков от насекомых-вредителей наземных частей растений осуществляют преимущественно опрыскиванием: наземным - при небольшой площади очагов, авиационным - при значительных масштабах обработки. Для этого имеется широкий ассортимент современных инсектицидов, в том числе синтетические пиретроиды - амбуш, анометрин, децис, К-отек, маврик, нурел, рипкорд, ровикурт, суми-альфа, сумицидин, фастак, цимбуш, шерпа и другие, применяемые с нормой расхода 0.02...0.2 кг/га; гормоноподобные инсектициды - димилин и другие с нормой расхода 0.04...0.08 кг/га. Они отличаются высокой токсичностью для насекомых и относительной безопасностью для природной среды и человека.
2.7.4. Против насекомых, ведущих скрытый образ жизни - сосущих, галлообразователей, минеров (сосновый подкорный клоп, хермесы и др.), предпочтительно использовать препараты системного действия типа фосфамида. Против соснового подкорного клопа возможно применение гранулированных инсектицидов.
2.7.5. Расход инсектицидов указан ниже для каждого из вредителей по препарату или приведены наиболее эффективные концентрации рабочих жидкостей по действующему веществу (д.в.). Технология применения инсектицидов приведена в Наставлениях и рекомендациях, указанных в
списке литературы.
Необходимое количество препарата при известной концентрации рабочей жидкости рассчитывают по формуле:

,
где:
H - количество препарата, кг;
Кр.ж. - концентрация рабочей жидкости, %;
О - объем рабочей жидкости, л;
Кпр - концентрация препарата, %.
Требуемое количество воды (разбавителя) рассчитывают как разность между объемом рабочей жидкости и количеством препарата (О - H).
2.7.6. Химическая защита культур от болезней основана на применении фунгицидов в сочетании с агротехническими, лесокультурными и лесохозяйственными мероприятиями. Применение фунгицидов, действующих непосредственно на возбудителей болезней, позволяет ликвидировать очаги болезней в короткий срок и на больших площадях. Для защиты культур и молодняков рекомендованы системные фунгициды: беномил, 50%-й с.п. - 0.5...0.8 кг/га, байфидан, 25%-й к.э. - 0.24 кг/га, дерозал, с.п. - 1.2...2.4 кг/га, топсин-М, 70%-й с.п. - 2...4 кг/га, фундазол, 50%-й с.п. - 0.5...0.8 кг/га, а также бордоская жидкость - 0.2...0.5%-й раствор по медному купоросу (6...15 кг/га по медному купоросу), железный купорос (5%-й раствор препарата) - 15...40 кг/га и др. Фунгициды для защиты лесных культур и молодняков применяют, в основном, при наземном опрыскивании. Препараты разбавляют (растворяют) водой до требуемой концентрации, используя вышеприведенную
формулу.
Регулярное применение одних и тех же химических веществ может привести к появлению у возбудителей болезни устойчивости к ней.
Все работы, связанные с использованием пестицидов, должны проводиться в строгом соответствии с существующими инструкциями, рекомендациями и регламентами по применению химических средств защиты растений, что гарантирует их высокую эффективность и безопасность для людей и окружающей среды (
ГОСТ 12.3.041-86 "ССБТ. Применение пестицидов для защиты растений. Требования безопасности").
2.8. Применение феромонов
2.8.1. Для защиты культур и естественных молодняков от некоторых видов вредных насекомых возможно применение феромонов. Феромонные ловушки для отлова и уничтожения вредных насекомых, в частности, побеговьюнов, наиболее целесообразно использовать при защите постоянных лесосеменных плантаций, лесосеменных участков и других хозяйственно значимых сосновых молодняков.
2.8.2. Для защиты сосновых насаждений от побеговьюнов используют феромонные ловушки полузакрытого типа размером 620 x 360 мм с клеевым вкладышем размером 290 x 160 мм (такой вкладыш можно не менять в течение всего периода лёта побеговьюнов).
2.8.3. Ловушки, 2 шт./га, располагают по участку конвертом и прикрепляют в верхней части деревьев, в зоне лёта бабочек побеговьюнов.
Биологическая активность диспенсеров, содержащих феромонное вещество, сохраняется в течение года; до применения их необходимо хранить в холодильнике. Установка диспенсеров в ловушки производится непосредственно перед их развешиванием в лесу, а развешивание - за 3...5 дней перед ожидаемым сроком начала лёта соответствующего вида побеговьюна.
2.8.4. Эффективность применения феромонных ловушек оценивается осенью по количеству поврежденных побеговьюнами деревьев.
2.9. Интеграция защитных мероприятий
2.9.1. Наибольший эффект достигается при интеграции лесохозяйственных, лесокультурных и активных защитных и истребительных мер с учетом состояния очагов вредителей и болезней или реальной угрозы от них в конкретных условиях. Интегрированная система мероприятий, разработанная для защиты сосновых молодняков от вредных насекомых, излагаемая ниже, в своей основе с соответствующими уточнениями и изменениями может быть использована и для защиты молодняков других пород.
2.9.2. Разработке конкретной системы интегрированных мероприятий должно предшествовать принятие ряда организационно-технических решений:
по общим правилам ведения лесного хозяйства (выбор способов рубок главного и промежуточного пользования, выбор технологий выращивания устойчивых к вредителям и болезням культур);
по организации общего и специального лесопатологического надзора (мониторинга) и обследований;
по организации учета очагов и планирования лесозащитных мероприятий;
по материально-техническому обеспечению лесозащитных работ.
2.9.3. При выращивании сосны рекомендуется следующая поэтапная система мероприятий:
I этап - подбор и подготовка лесокультурных площадей. На этом этапе решается вопрос о сроках их закультивирования, составляются проекты создания устойчивых культур, проводится обследование на заселенность почвообитающими насекомыми, большим сосновым долгоносиком, корнежилами. Проводится подготовка почвы под лесные культуры; при необходимости вносят инсектициды в почву против личинок хрущей, обрабатывают заселенные долгоносиком пни.
При проведении постепенных рубок принимают, при необходимости, меры содействия естественному возобновлению.
II этап - посадка лесных культур. При наличии угрозы от майского хруща, долгоносиков и корнежилов применяют меры химической защиты посадочного материала.
III этап - рост молодняков до смыкания (в загущенных культурах - до 5...6 лет). Уход за почвой, дополнение культур. Надзор за майским хрущом и большим сосновым долгоносиком. Защита культур от майского хруща, большого соснового долгоносика, корнежилов, одиночного ткача, хвоегрызущих долгоносиков.
IV этап - культуры в возрасте от 4...6 до 8...10 лет. Внесение удобрений для повышения устойчивости культур к подкорному клопу, побеговьюнам, другим вредителям почек и побегов. Надзор за майским хрущом, побеговьюнами, подкорным клопом. Защита культур от этих и других вредителей - точечной смолевки, стволовой огневки, лубяной листовертки, синего долгоносика, тлей, клещей и др.
V этап - культуры в возрасте от 8...10 до 15...17 лет. Прочистки в культурах (с мерами профилактики от корневой губки). Надзор за подкорным клопом, пилильщиками и ткачами. Защита культур от подкорного клопа, побеговьюнов, хвоегрызущих насекомых, вредителей луба, точечной смолевки, стволовых вредителей.
VI этап - культуры в возрасте 15...25 лет. Повторная прочистка. Надзор за пилильщиками и ткачами. Защита культур от хвоегрызущих насекомых, подкорного клопа, вредителей луба, стволовых вредителей.
VII этап - культуры старше 25 лет. Прореживание (с мерами профилактики от корневой губки). Надзор за пилильщиками и ткачами, корневой губкой, стволовыми вредителями. Защита от хвоегрызущих насекомых, стволовых вредителей. Частичная или полная реконструкция культур.
Лесопатологические обследования, проекты мер борьбы осуществляются по особому плану.
3.1. Особенности распространения и хозяйственное значение
насекомых - вредителей молодняков
3.1.1. В состав группы насекомых, повреждающих молодые культуры и естественные молодняки лесных пород, входит большое число видов, сильно различающихся между собой типом питания и характером причиняемого вреда, образом жизни и особенностями экологии. По эколого-хозяйственным признакам их можно разделить на следующие подгруппы: вредные почвообитающие насекомые, вредители хвои и листьев, вредители почек и побегов, вредители луба, сосущие насекомые, минеры, галлообразователи, стволовые вредители.
3.1.2. Из хвойных чаще и в большей степени насекомые повреждают культуры сосны, особенно на юге лесной, в лесостепной и степной зонах; естественные молодняки этой породы повреждаются менее сильно.
Очаги размножения насекомых в молодняках других хвойных пород как искусственного, так и естественного происхождения возникают реже и обычно на локальных участках.
Культуры дуба, тополей, ильмовых, ясеня в лесостепной и степной зонах постоянно сильно угнетаются и нередко погибают от насекомых; в более северных районах в молодняках всех лиственных пород массовые размножения вредных насекомых, как правило, эпизодичны и не имеют серьезных последствий.
3.1.3. По мере роста и развития молодняков лесных пород разные виды и группы насекомых последовательно сменяют друг друга, но нередко могут вредить одновременно несколько видов насекомых. Это наглядно видно на примере культур сосны.
При их посадке и в первые годы жизни наибольшую опасность представляют вредные почвообитающие насекомые, прежде всего восточный майский хрущ. При высокой численности хруща культуры сосны могут погибать даже в возрасте 12...15 лет.
До 4...6-летнего возраста культурам сосны также опасны большой сосновый и яйцевидный долгоносики, корнежилы, летний побеговьюн, одиночный ткач и другие насекомые.
В более старшем возрасте сосне продолжают вредить побеговьюны, появляются другие опасные виды - сосновый подкорный клоп, стволовая огневка, лубяная листовертка, ряд видов тлей, червецов и др.
В культурах старше 10...15 лет очаги подкорного клопа достигают максимума, сосне начинают угрожать хвоегрызущие насекомые - сосновые пилильщики и ткачи. Часто в этом возрасте проявляется сильное повреждение культур корневой губкой.
3.1.4. Ослабленные насекомыми и болезнями культуры изреживаются, частично или полностью усыхают, чему содействует заселение деревьев точечной смолевкой, синим долгоносиком, сосновыми лубоедами, усачами и другими стволовыми вредителями. Но если культуры и не погибают, у них снижаются прирост и продуктивность, утрачиваются целевые функции.
3.1.5. Аналогичные возрастные этапы и связанные с ними повреждения можно наблюдать и в молодняках других древесных пород.
Если культуры создают в окружении лесных насаждений, то вредят насекомые тех видов, которые и обитают в этом лесу. Но когда культуры, например лесополосы, создаются в окружении сельхозугодий, то здесь опасность возникает, особенно в первые годы, от таких многоядных и нелесных видов насекомых, как луговой мотылек, саранчевые и т.п.
3.2. Вредные почвообитающие насекомые
К вредным почвообитающим насекомым, представляющим угрозу для лесных культур и естественных молодняков, относятся хрущи и другие пластинчатоусые жуки, щелкуны, чернотелки, ряд других видов насекомых, личинки которых обитают в почве, питаясь корнями растений, ослабляя тем самым последние и нередко вызывая их гибель.
Распространение и вредоносность насекомых зависят от многих причин, но прежде всего от механического состава, влажности, температуры, аэрации и кислотности почв. Наиболее разнообразна и богата фауна песчаных и супесчаных почв, здесь же растениям причиняется наибольший вред.
В почве нередко обитает одновременно несколько видов хрущей и других видов почвообитающих насекомых. Это позволяет рекомендовать мероприятия универсального характера, направленные против всей группы вредителей, - вспашку, культивацию почвы и т.д., что облегчает защиту культур.
3.2.1. Майские хрущи Melolontha F. Из нескольких видов распространенных в России майских хрущей наиболее вредны восточный и западный. Оба вида сходны между собой.
Восточный майский хрущ Melolontha hippocastani F. распространен в России в Европейской части, кроме Предкавказья, в Западной и Восточной Сибири.
Многоядный вредитель, личинки которого живут в почве, питаясь корнями различных древесных, кустарниковых и травянистых растений. Наибольший вред личинки наносят сосновым культурам, естественным молоднякам и питомникам на песчаных, супесчаных и суглинистых почвах на юге лесной, в лесостепной и степной зонах.
На юге ареала - в степной зоне - превращение личинок 3-го возраста в куколку и жука происходит в конце третьего лета, генерация 4-летняя. Обитающая здесь популяция "черных жуков" (переднеспинка и ноги черные) поселяется на участках с песчаными почвами под пологом леса, в притенении, либо в понижениях, на участках с более тяжелыми почвами и травяным покровом.
На севере ареала - в лесной зоне - личинки 3-го возраста не линяют еще раз, продолжают питание, снова зимуют и окукливаются через год, генерация 5-летняя. Распространенная в этой зоне популяция "красных" жуков (переднеспинка и ноги красные) предпочитает открытые песчаные почвы на вырубках, пустырях, рединах.
В центре ареала, в основном, в лесостепной зоне, обитают смешанные популяции жуков обоих фенотипов, у которых, соответственно, 4- и 5-и летняя генерация. На выбор хрущом разных по экологическим условиям участков может оказывать влияние погода в период лёта жуков.
Жуки летают ежегодно, поэтому в почве одновременно могут находиться личинки разных возрастов, относящихся к разным коленам хруща. Соотношение колен по численности может быть неодинаковым. Под влиянием природных факторов и в районах интенсивной авиахимборьбы с жуками соотношение колен может измениться, и ранее многочисленное колено, или оба колена, могут потерять свое значение.
Распространению очагов хруща способствует нарушение правил ведения лесного хозяйства, особенно несвоевременность облесения вырубок, гарей, ветровальников и т.п. Из естественных факторов ограничения численности хруща наибольшее влияние оказывает погода (например, массовое вымерзание жука в период лёта); определенное значение имеют энтомофаги и заболевания. Природные колебания численности восточного майского хруща отличаются длительным характером - около 20...25 лет.
Меры борьбы. Наибольший эффект в борьбе с восточным майским хрущом и другими почвообитающими насекомыми достигается при использовании интегрированной системы, включающей лесокультурные, лесохозяйственные, биотехнические мероприятия, а также использование химических средств
(разд. 2).
Из лесохозяйственных мер, имеющих профилактический характер, важны выбор способа рубки, сроков ее проведения, времени и способов облесения вырубок с учетом экологии и численности хруща в разных лесорастительных зонах, сохранение подроста.
Лесокультурная профилактика заключается в подборе мест под лесные культуры, наиболее полно отвечающих условиям благоприятного роста растений, в выполнении агротехнических условий по выращиванию и уходу за культурами. Хорошая подготовка почвы (в необходимых случаях - сплошная), создание смешанных и быстро смыкающихся культур (повышение при необходимости густоты посадки), использование отборных здоровых сеянцев, тщательный уход - все это повышает устойчивость культур к повреждению.
В условиях высокой численности восточного майского хруща, когда лесохозяйственных и лесокультурных мер недостаточно для успешного лесовыращивания, применяют химические меры, которые заключаются в истребительной сплошной затравке почвы инсектицидами, химической защитной обработке корневых систем растений перед посадкой, частичной затравке почвы инсектицидами в растущих культурах, химической авиационной или наземной борьбе с хрущами. Борьба с другими почвообитающими насекомыми проводится одновременно с борьбой против майского хруща либо, в случае образования ими самостоятельных очагов, аналогичными методами. Решение о применении химических средств принимается по результатам обязательного предварительного обследования.
Сплошное внесение инсектицидов в почву как мера по ликвидации личинок хруща или снижению их численности до неопасного уровня рекомендуется для наиболее активных очагов со средним числом личинок в лесной и лесостепной зонах более 5 шт. на 1 м2 старшего возраста или 8 - младшего, а в степной зоне соответственно 3 и 5 шт.
Сплошная затравка почвы инсектицидами осуществляется одновременно со сплошной вспашкой. Для этих целей рекомендуются гранулированные: базудин (диазинон), 10%-й, с расходом 25...35 кг/га; волатон (фоксим), 5%-й - 30...50 кг/га (максимальный расход при числе личинок более 10 шт./м2).
Внесение инсектицидов в почву производится с помощью устройства для высева семян в плужные борозды, дозаторов почвенных инсектицидов, культиваторов-растениепитателей или препараты перед пахотой рассеивают по почве с помощью опыливателей. Необходимо добиваться равномерного рассева препарата по площади.
При меньшей численности личинок осуществляют предпосадочную защитную обработку корней торфо-инсектицидной жижей. Для этого применяют 5%-й волатон (фоксим) или базудин (диазинон) - 500...600 г на 1000 сеянцев, или 10%-й базудин (диазинон) - 400...500 г. Препарат смешивают с торфом или перегноем и водой, по ведру каждого из них, до сметанообразной консистенции, корни сеянцев обмакивают в полученную жижу перед посадкой.
Защита молодых несомкнувшихся культур от личинок майского хруща осуществляется путем внесения вышеназванных гранулированных инсектицидов в борозды вдоль рядов растений из расчета 40 кг/га. Препараты вносят в почву с помощью культиваторов-растениепитателей или рассеивают вдоль рядов с последующей их заделкой в почву вручную. Оптимальный срок внесения - июнь, когда личинки хруща находятся в верхних слоях почвы.
Авиационно-химическую борьбу с жуками хруща осуществляют в исключительных случаях при значительной площади очагов (500 га и более) и средней численности жуков в почве не менее 1 шт. на 1 м2 (в среднем).
Для борьбы с жуками в период их дополнительного питания рекомендуются: амбуш, 25%-й к.э. - 0.1 кг/га; децис, 2.5%-й к.э. - 0.05 кг/га; децис, 0.5%-й раствор - 0.2 кг/га; золон (фозалон), 35%-й к.э. - 2 кг/га; метатион, 50%-й к.э. - 0.6 кг/га; цимбуш, 25%-й к.э. - 0.05 кг/га (расход указан по препарату при разбавлении его водой из расчета 20...25 л/га; раствор дециса применяют для УМО без разбавления).
Наземную обработку питающихся жуков производят в дополнение к авиационной или самостоятельно на участках меньшей площади и при средней численности жуков менее 1 шт./м2; расход рабочей жидкости - 40 л/га.
Западный майский хрущ Melolontha melolontha L. Распространен в России в крайних западных районах до линии Остров-Смоленск-Курск-Старый Оскол. По образу жизни сходен с восточным майским хрущом, с которым может образовывать совместные очаги.
Заселяет преимущественно открытые рыхлые почвы, часто выступает как вредитель сельскохозяйственных культур. При заселении лесных вырубок, прогалин, слабо притененных пологом почв повреждает естественное возобновление, лесные культуры; вредит также лесным питомникам. Южнее предпочитает более затененные места.
Меры борьбы - те же, что с восточным майским хрущом, но борьбу с жуками осуществляют только наземным способом путем обработки опушечных и отдельно стоящих деревьев.
3.2.2. Мраморные хрущи Polyphylla Harris. Из мраморных, или пестрых, хрущей наиболее известны два вида - мраморный пестрый, или июльский, и белый хрущ. В степной зоне эти хрущи могут быть более опасны для лесных культур и питомников, чем майские хрущи; часто выступают как вредители виноградников на песках.
Мраморный пестрый, или июльский, хрущ Polyphylla fullo L. распространен в России в лесостепной и степной зонах до Предкавказья. Особенно вредит сосновым культурам, плодовым, виноградникам, полевым культурам в районах донских и анапских песков.
Жуки питаются хвоей сосен, листьями дуба, шелюги, полыни. Личинки питаются первое время гумусом и тонкими корешками разных растений, затем перегрызают более крупные корни, вызывая гибель сосновых посадок, плодовых деревьев, виноградников.
В сухих степях и полупустыне Европейской части России обитает белый хрущ Polyphylla alba Pall., сходный с предыдущим видом по биологии и характеру вреда.
Меры борьбы с мраморными хрущами состоят в следующем:
глубокая (до 60...80 см) вспашка почвы и рыхление междурядий;
сплошное или полосное (в растущих культурах) внесение в почву гранулированных инсектицидов, защитная обработка корней растений при посадке, как при борьбе с восточным майским хрущом. В связи с большей вредоносностью критерии численности этого вида по сравнению с майским хрущом могут быть снижены вдвое;
химическая обработка кормовых пород в период дополнительного питания жуков наземным способом препаратами, указанными для майских хрущей.
3.2.3. Волосатые хрущи Anoxia Cast. Из этих хрущей наиболее известен серый волосатый хрущ Anoxia pilosa F., распространенный на юге лесостепной и в степной зонах. Он обитает на песчаных почвах, нередко совместно с восточным майским и мраморным хрущами, и вредит сосновым культурам, а также питомникам, садам, виноградникам. Жуки не питаются.
Меры борьбы заключаются в тщательной и многократной механической обработке почвы. При необходимости вносят инсектициды в почву, как при борьбе с майскими хрущами.
3.2.4. Корнегрызы Rhizotroginae. Жуки этого подсемейства широко распространены и нередко образуют с другими видами хрущей или самостоятельные очаги размножения.
Обыкновенный, или летний, корнегрыз Rhizotrogus aestivus Ol. и родственный ему апрельский хрущ, или рыжий корнегрыз Rhizotrogus aequinostialis Hrbst. вредят в южной лесостепи и степи Европейской части России на черноземах и каштановых почвах вдоль опушек леса, в садах, под пологом леса. Питаются корешками разных растений, при этом могут повреждать естественное возобновление и культуры (последние - на вновь осваиваемых землях), но более всего опасны для питомников. Жуки не питаются.
Июньский хрущ Amphimallon solsticialis L. Распространен в России повсеместно в Европейской части, кроме северной тайги; на юге Западной и Восточной Сибири до Забайкалья. Заселяет самые разнообразные стации: на севере - открытые, прогреваемые, достаточно увлажненные места с густым травяным покровом типа луговин; в степных районах - в местах увлажнения, в понижениях, вдоль оросительных каналов и т.п., но также с травяным покровом. Нередко его очаги образуются на газонах в парках, лесопарках и скверах. Представляет опасность для питомников и молодых посадок, особенно зарастающих травой, в условиях суглинков и на глинах. Жуки не питаются. Личинки питаются корнями травянистых и древесных растений.
Меры борьбы с корнегрызами. Сплошная вспашка, черный пар, многократное дискование, боронование, культивация почв, прополка и т.п. При необходимости - химическая защита корней при посадке растений и защита растущих посадок; препараты и способ внесения в почву, как против восточного майского хруща. С жуками корнегрызов не борются.
3.2.5. Прочие хрущи и цветоеды. Наряду с майскими и другими опасными видами хрущей, в почве встречаются хрущи, имеющие, как правило, второстепенное значение, хотя их численность может быть иногда достаточно высокой. К ним относятся, в первую очередь, садовый хрущик Phyllopertha horticola L., рыжий ночной хрущик Serica brunnea L. Жуки обоих видов обгрызают листья. Личинки питаются гумусом, мелкими корешками растений, чем опасны для сеянцев в питомниках, самосева и очень молодых растений в культурах.
Из цветоедов наиболее часто встречаются металлический цветоед Anomala dubia Scop. и луговой, или песчаный, цветоед Anomala errans F. Жуки первого вида питаются листьями, второго - не питаются. Личинки повреждают корешки сеянцев, саженцев в питомниках, самосева, очень молодых культур. Предпочитают песчаные и супесчаные почвы.
Меры борьбы с прочими видами хрущей и цветоедами специально не назначаются, их уничтожают одновременно с более вредными личинками хрущей.
3.2.6. Жуки - кузьки Anisoplia Serv. При создании лесных культур на площади, ранее занятой сельскохозяйственными культурами, имеется опасность повреждения молодых посадок личинками кузьки посевного Anisoplia segetum Hrbst. и кузьки хлебного Anisoplia austriaca Hrbst. Жуки обоих видов сильно вредят зерновым культурам, питаясь на их колосьях. Личинки подгрызают корни различных растений. Первый вид предпочтительно обитает на песчаных и супесчаных почвах, второй - и на черноземах.
Меры борьбы. При низкой численности личинок ограничиваются агротехническими мерами (сплошная вспашка, дискование и т.п.), при более высокой - защитными обработками корневой системы растений перед посадкой или сплошной затравкой почвы инсектицидами. Критерии для выбора защитных мер, препараты, способы их применения, как против восточного майского хруща.
3.2.7. Кукурузные навозники Pentodon Hope., прежде всего кукурузный навозник Pentodon idiota Hrbst., известны как серьезные вредители сельскохозяйственных культур на юге Европейской части России. При посадке лесных культур на этих площадях переходят на питание древесными и кустарниковыми породами: жуки подгрызают сеянцы и саженцы, личинки повреждают корни. Обитают на лессовых, песчаных и даже засоленных почвах.
Меры борьбы. Агротехнические меры - сплошная вспашка почвы, дискование, боронование, культивация. Сплошная или частичная затравка почвы инсектицидами, защитная обработка корней саженцев перед посадкой; препараты и дозировки - аналогичны восточному майскому хрущу. Возможна химическая борьба с жуками путем рассеивания по почве гранулированных инсектицидов - 25...40 кг/га; наземное опрыскивание растений пиретроидными инсектицидами - как с восточным майским хрущом.
3.2.8. Головачи Lethrus Scop. Жуки - головачи из семейства пластинчатоусых - представлены как вредители леса, главным образом, кравчиком-головачом Lethrus apterus Laxm. Вид распространен на юге лесостепной и в степной зонах Европейской части России. Кравчик-жук повреждает многие сельскохозяйственные растения, плодовые, ягодные, сеянцы и саженцы лесных пород. Личинки безвредны.
Для поселения жуки избирают плотные, целинные и залежные, нераспаханные участки - склоны балок, межи, обочины дорог, лесные опушки и т.п., предпочитая черноземные, глинистые и известковые почвы. Заселенность участков головачами определяют ранней весной по кучкам свежей земли возле норок.
Меры борьбы. Агротехнические меры - вспашка, культивация и т.п. - основные для ограничения численности вредителя. Жуков уничтожают в апреле, лопатой перерезая норки и выбрасывая их наружу.
3.2.9. Щелкуны Elateridae распространены повсеместно, но как вредители лесных культур имеют ограниченное значение; чаще они вредят семенам и всходам лесных растений в посевном отделении питомника, где и приходится иногда организовывать борьбу с ними.
3.2.10. Чернотелки Tenebrionidae. Их значимость для лесного хозяйства сходна с щелкунами, но в лесостепной и степной зонах для молодых посадок лиственных пород могут быть опасны медляки степной Blaps halophila Fish. и песчаный Opatrum sabulosum L., жуки которых повреждают всходы и неокрепшие растения; личинки обоих видов поедают корни растений, высеянные семена, всходы.
Меры борьбы. При необходимости защиты от медляков целесообразно опрыскивание лесных культур наземным способом, как от восточного майского хруща.
3.2.11. Пыльцееды Alleculidae, в частности, дагестанский пыльцеед Podonta daghestanica Rtt., могут причинять существенный вред в питомниках и молодых культурах, особенно в степных, полупустынных и пустынных районах. Жуки питаются на цветущих растениях, личинки живут в почве, выедая семена, всходы, корневые шейки и корни.
Борьбу с личинками пыльцеедов в культурах проводят совместно с другими почвообитающими вредителями, с жуками на цветущих растениях борьбу не ведут.
3.2.12. Жужелицы Carabidae. Некоторые растительноядные жужелицы, например, хлебные из рода Zabrus и зерноядные из рода Harpalus, могут быть вредны для питомников и молодых культур: их жуки поедают всходы, а личинки - семена, корешки, всходы.
Меры борьбы - как с кукурузным навозником.
3.2.13. Долгоносики Curculionidae. Развитие ряда видов долгоносиков происходит в почве, где их личинки питаются мелкими корешками растений, в том числе древесных и кустарниковых. Поврежденные всходы, сеянцы и саженцы отстают в росте и нередко усыхают. Жуки долгоносиков уничтожают всходы, объедают листья и хвою, что также может вызвать гибель растений.
Это чаще наблюдается, когда культуры или питомник создают на целинных землях, особенно заросших злаковыми и бобовыми растениями, и на участках, где ранее выращивали люцерну, клевер, сахарную свеклу и другие сельскохозяйственные культуры, привлекающие долгоносиков. На питомник или лесные культуры, заложенные среди леса, могут мигрировать и лесные виды долгоносиков.
Наиболее вероятно повреждение лесных культур следующими видами долгоносиков.
Серый свекловичный долгоносик Tanymecus palliatus F. Распространен повсеместно в Европейской части России, кроме севера, в южной и средней Сибири.
Жуки и личинки весьма многоядны, повреждают многие сельскохозяйственные, плодовые и лесные породы. Особенно многочисленен на полях со свеклой.
Люцерновый скосарь Otiorrhychus ligustri L. Распространение и биология сходны с предыдущим видом, но предпочитает бобовые сельскохозяйственные культуры; вредит также желтой акации, винограду, плодовым, выедая почки, кору и листья сеянцев и саженцев.
Бороздчатый скосарь Otiorrhychus sulcatus F. Распространен на западе России. Жуки многоядны: повреждают листья и почки земляники, малины, других растений, в лесных питомниках и молодых культурах - хвою ели (преимущественно) и сосны; личинки повреждают корни, вызывая гибель саженцев. Отмечалось повреждение корней саженцев сосны, выращиваемых в контейнерах.
Малый черный скосарь Otiorrhychus ovatus L. Распространен в лесной и лесостепной зонах Европейской части России, в Сибири. Жуки многоядны, повреждают землянику, плодовые, другие растения, у ели поедают хвою и кору стволиков, вызывая их гибель. Личинки питаются корнями разных растений, в питомниках и молодых культурах - преимущественно корнями еловых сеянцев и саженцев, других хвойных, которые погибают скорее, чем от повреждений жуками.
Сосновый коротконосик Brachyderes incanus L. Распространен в хвойных лесах Европейской части. Жуки объедают хвою и кору сосны и ели, кору ветвей дуба и березы. Личинки повреждают корни молодых сосен и ели. Это вызывает гибель сеянцев и саженцев в питомниках и молодых культурах, отмирание ветвей и ослабление деревьев в возрасте до 8...15 лет.
Очаги возникают в свежих типах леса в молодняках сосны, часто после пожаров.
Яйцевидные долгоносики рода Strophosomus. Распространены в хвойных и лиственных лесах. Жуки повреждают листья, почки, хвою и кору сеянцев и саженцев древесных и кустарниковых пород, вызывая их ослабление и гибель. Личинки питаются корнями травянистых растений, поэтому менее опасны.
Более известен яйцевидный долгоносик Strophosomus capitatus ssp. rufipes Steph., сильно повреждавший культуры сосны, созданные на больших площадях на гарях.
Долгоносики рода Phyllobius известны повреждениями лиственных и плодовых пород. Жуки питаются листьями, отчего наблюдалась гибель молодых посадок березы на песчаных и моренных почвах. Личинки обитают в почве.
Меры борьбы с долгоносиками состоят в опрыскивании молодых культур инсектицидами, как против майского хруща. Против личинок эффективны обычные меры - вспашка, боронование, культивация почв, защитная обработка корней и внесение инсектицидов в почву с минимальными, по сравнению с хрущами, дозами.
3.2.14. Подгрызающие совки Agrotinae откладывают яйца на сорные и культурные растения, пожнивные остатки поверхность почвы. Гусеницы питаются листьями, а позднее перегрызают стебли у корневой шейки, вызывая гибель растений.
Многие виды подгрызающих совок многоядны и являются серьезными вредителями сельского хозяйства. В питомниках и лесных культурах поедают хвою молодых сосен, елей, лиственниц, листья дуба и осины, перегрызают стволики сеянцев и полностью их уничтожают. Совкам свойственны массовые размножения, особенно в зоне возделывания зерновых и свеклы.
Наиболее известные озимая совка Agrotis segetum Schiff. и восклицательная совка Agrotis exclamationis L., распространенные повсеместно, кроме северных районов.
Меры борьбы. Наиболее важны вспашка и рыхление почвы, борьба с сорной растительностью. При массовом размножении - наземное опрыскивание золоном (фозалоном), 35%-й к.э. - 1 кг/га; децисом, 2.5%-й к.э. - 0.5 кг/га и другими инсектицидами; рассев гранулированных инсектицидов - базудин (диазинон), 10%-й - 25...30 кг/га.
3.3. Насекомые - вредители хвои и листвы
Хвое- и листогрызущие насекомые - вредители, в основном, взрослых насаждений, хотя они нередко вредят и молоднякам лесных пород; за ними организован специальный надзор (мониторинг) по особым методикам [
5,
7], а борьбу ведут преимущественно авиационным способом.
3.3.1. Бабочки Lepidoptera являются наиболее типичными хвое-листогрызущими вредителями взрослых насаждений, в ряде случаев они вредят и молоднякам лесных пород, более всего лиственных, а именно, в лесополосах, в школьном, маточном, дендрологическом отделениях питомников, на плантациях тополей, корзиночных ив и т.п. Таковы непарный шелкопряд, златогузка, лунка серебристая, ивовая волнянка, многие виды листоверток и др.
Меры борьбы при высокой заселенности молодняков хвое-листогрызущими насекомыми проводят авиационным или наземным способами разрешенными к применению химическими, биологическими или гормоноподобными препаратами, в том числе способом УМО, с учетом площади очагов, экологической ситуации, экономической целесообразности.
При невысокой заселенности участка, его небольшой площади предпочтительны нехимические способы: нефтевание яйцекладок непарного шелкопряда, срезание и уничтожение гнезд златогузки, кольчатого шелкопряда, боярышницы и других бабочек и аналогичные меры.
3.3.2. Пилильщики Tenthredinidae также часто вредят молоднякам лесных пород. Это особенно характерно для культур сосны (сосновые обыкновенный, рыжий и сходные с ними пилильщики), лиственницы (большой и малый лиственничные пилильщики), ясеня (белоточечный и черный пилильщики), березы (березовый северный и большой пилильщики) и т.д. Их размножение контролируется сходными с бабочками способами.
Меры борьбы с пилильщиками при высокой численности, как и с бабочками, авиационным или наземным способом с использованием соответствующих химических и биологических препаратов.
При низкой численности пилильщиков возможны раздавливание, срезание и уничтожение гнезд личинок, сбор листьев с личинками и т.п., частичное опрыскивание крон, отдельных ветвей с гнездами личинок из ранцевой аппаратуры.
3.3.3. Пилильщики-ткачи Pamphiliidae. Из этой группы насекомых для культур сосны представляет некоторую опасность пилильщик-ткач одиночный Lida hieroglyphica Christ., распространенный в северной и средней полосе Европейской части России. Повреждает хвою сеянцев и 2...4-летних сосенок в школьных отделениях питомников и в культурах, реже - ветви более старых сосен. Другие пилильщики-ткачи (сосновые общественный и звездчатый, еловый, лиственничный, ольховый и др.) вредят обычно более взрослым деревьям.
Меры борьбы. Сбор и уничтожение паутинных гнезд с личинками ткачей. При сильном поражении культур - сплошные или частичные, авиационные или наземные опрыскивания инсектицидами: амбуш, 25%-й к.э. - 0.1 кг/га; димилин, 25%-й с.п. - 0.06 кг/га; золон, 35%-й к.э. - 2.5 кг/га; карбофос, 50%-й к.э. - 1.5 кг/га и др.
3.3.4. Трубковерты Attelabidae. Жуки, похожие на долгоносиков, растительноядны. Наиболее известен из них многоядный трубковерт Byctiscus betulae L. Распространен в России в Европейской части, Забайкалье, на Дальнем Востоке. Повреждает многие лиственные лесные и плодовые породы деревьев и кустарников.
Имеет значение в школьном, маточном, дендрологических отделениях питомников, в ценных культурах и посадках березы, тополя, липы и др.
Меры борьбы. Позднелетняя и осенняя перепашка и рыхление почвы. Сбор и уничтожение трубок с яйцами и личинками. Опрыскивание растений инсектицидами до начала свертывания трубок.
3.3.5. Листоеды Chrysomelidae. Жуки и личинки этого большого семейства питаются преимущественно листвой. Многие листоеды - серьезные вредители сельского хозяйства, часть из них вредит естественным молоднякам, лесным культурам и плантациям. Наиболее значимые для леса виды листоедов следующие.
Листоед тополевый Melasoma populi L. и листоед осиновый Melasoma tremulae F. Оба вида внешне и биологически сходны. Распространены в России в Европейской части, кроме севера, в Сибири, на Дальнем Востоке.
Повреждают тополя, осину, иву; сильно поврежденные растения ослабевают, теряют прирост, побеги отмирают.
На ивовых плантациях могут вредить краснокрылый ивовый листоед Melasoma saliceti Wsc., повреждающий также тополя и осину, и синий ивовый листоед Melasoma collaris L., повреждающий только иву.
Дубовый блошак Haltica saliceti Wse. - его массовые размножения нередки в дубравах зоны широколиственных лесов, в лесостепи, степи Европейской части России. Иногда вредит также березе и иве.
Поврежденные листья засыхают, это ослабляет деревья, снижает их прирост. Известны случаи гибели поврежденных жуком 1...2-летних дубков.
Ильмовый листоед Galerucella luteola Mull. распространен в России в лесостепной и степной зонах Европейской части.
Повреждает различные виды ильмовых. Эти повреждения ослабляют деревья и способствуют их поражению болезнями, другими вредителями.
Меры борьбы. В годы массовых размножений листоедов лесные культуры, плантации, питомники опрыскивают инсектицидами типа амбуш, 25%-й к.э. - 0.02...0.04 кг/га; децис, 2.5%-й к.э. - 0.4 кг/га; карбофос, 50%-й к.э. - 1.5 кг/га и т.п.
3.3.6. Нарывники Meloidae. Жуки растительноядны, многие виды вредят в сельском и лесном хозяйствах в степных и пустынных районах.
Наиболее известна шпанская мушка, или ясеневая шпанка Litta vesicatoria L., распространенная в России в средней полосе и на юге Европейской части, в Южной Сибири. Вредит ясеню, сирени, жимолости, бирючине в лесостепной и степной зонах.
Меры борьбы. Отряхивание с растений жуков по утрам и их уничтожение. Мертвых жуков можно сдавать в аптеки для изготовления медицинских препаратов. При массовом распространении жуков - химическая борьба, как с листоедами.
3.4. Насекомые - вредители почек и побегов
Почки и побеги у деревьев в хвойных и лиственных молодняках повреждают, главным образом, гусеницы бабочек из семейств листоверток, огневок, молей; сведения о других насекомых этой группы вредителей отрывочны, а повреждения малозначимы. Уничтожение и повреждение почек и побегов не всегда приводит к гибели молодых растений, чаще они ослабляются, у них снижается прирост, отодвигается время смыкания культур, появляются пороки древесины, снижаются ее технические качества.
3.4.1. Побеговьюны из родов Rhyacionia, Petrova, Blastesthia и других, относящихся к группе листоверток - бурильщиков Eucosmini семейства листоверток Tortrizidae. Многие из них вредят лесному, садовому и парковому хозяйствам, повреждая почки, побеги, плоды, соцветия, семена и корни растений. Наибольшую опасность представляют следующие виды.
Побеговьюн рыжий, или зимующий Rhyacionia buoliana Den. et Schiff. Распространен в России по всей Европейской части и на Урале, но очаги размножения более обычны для западных районов. Повреждает хвою, почки и побеги в изреженных 3...12-летних культурах и естественных молодняках, реже - в жердняках и более старых насаждениях.
Повреждения зимующим побеговьюном вызывают опадение хвои, отмирание или искривление, надламывание побегов. При массовом повреждении побегов деревья кустятся, стволы искривляются, деревья плохо растут.
Сходные образ жизни и характер причиняемого вреда имеют сосновый побеговьюн Rhyacionia pinicolana Dbld. и побеговьюн бурый Rhyacionia pinivorana Z.
Меры борьбы. Агротехнические мероприятия, направленные на выращивание устойчивых, быстро смыкающихся культур, включающие хорошую обработку почвы (при возможности - сплошную вспашку), отбор посадочного материала, включение в состав культур лиственных пород, увеличение густоты посадки до 8...10 тыс. посадочных мест на 1 га, применение удобрений (запашка органического материала в почву), систематический уход. Отлов бабочек на феромонные ловушки (2 шт./га). При высокой численности побеговьюна - наземное или авиационное опрыскивание культур в июле, в период отрождения гусениц, препаратами типа шерпа, амбуш, децис, золон и др., с минимальными из разрешенных дозами, но увеличением расхода рабочей жидкости до 50...60 л/га.
Побеговьюн летний Rhyacionia duplana Hbn. Распространен в России в сосновых лесах Европейской части (более значим в восточных районах), в Зауралье. Повреждает майские побеги 3...7-летних культур и естественных молодняков сосны.
При многолетнем и сильном повреждении деревья принимают кустистый вид, у них развивается многовершинность, они плохо растут и культуры долго не смыкаются.
Меры борьбы - те же, что с зимующим побеговьюном, включая применение феромона для отлова бабочек. При химической борьбе обработку культур приурочивают к началу появления гусениц (вторая половина мая), когда они живут открыто на побегах.
Побеговьюн почковый, или хвоевертка срединной почки Blastesthia turionella L. Распространен в России в Европейской части, в Сибири; в районах Среднего Поволжья - преобладающий вид из побеговьюнов. Повреждает 4...15-летние культуры и естественное возобновление сосны. Часто образует совместно с летним побеговьюном комплексные очаги.
Поврежденные почки не дают побегов. При массовом размножении повреждаются также боковые почки вершинной мутовки и боковых ветвей. Растения принимают кустистый вид и плохо растут.
Меры борьбы - как с зимующим побеговьюном; химическая защита культур в июне в период втачивания гусениц в почки.
Сходна с почковым побеговьюном хвоевертка боковой почки Blastesthia posticana Zett, распространенная в пределах ареала сосны обыкновенной.
Побеговьюн-смолевщик, или смолевщица Petrova resinella L. Распространен повсеместно в ареале сосны обыкновенной, где повреждает побеги у деревьев самого разного возраста (у более взрослых - на боковых ветвях или в нижней части кроны).
Повреждения, вызываемые этим побеговьюном, иногда приводят к отмиранию или обламыванию побегов. Хозяйственное значение невелико.
Меры борьбы. Применение феромонных ловушек для отлова бабочек. На небольших участках молодых культур возможно срезание и уничтожение побегов с гусеницами в галлах.
3.4.2. Огневки семейства Phycitidae - вредители почек и побегов - представлены несколькими видами, относящимися к роду Dioryctria. Наиболее опасна для молодых культур и прививочных плантаций сосны огневка-побеговьюн Dioryctria mutatella Fuchs. Эта бабочка распространена в России на северо-западе, в средней полосе и на юге Европейской части, на юге Сибири. Гусеницы повреждают почки и майские побеги, как и побеговьюны, а также выедают сердцевину одно-двухлетних побегов сосен жерднякового возраста, отчего они обламываются ветром. Ходы гусениц в побегах заполнены зерновидными экскрементами. Отмечено также сильное повреждение прививок сосны и кедра на лесосеменных плантациях.
Побеги ели, сосны, лиственницы и других хвойных повреждает также шишковая огневка Dioryctria abietella Den. et Schiff. В молодых побегах ели ходы прогрызают гусеницы огневки Dioryctria schuetzeella Fuchs.
Меры борьбы. Отлов бабочек на феромоны. Применение инсектицидов, как против зимующего побеговьюна, в период отрождения гусениц из яиц. Обмазка или опрыскивание инсектицидами из ручной аппаратуры прививок сосны и кедра.
3.4.3. В лесах широко распространены другие виды бабочек листоверток, повреждающих почки и побеги, имеющие меньшее значение. Биология их мало изучена, меры борьбы не разработаны; против них можно рекомендовать защитные меры по аналогии с побеговьюнами.
Из листоверток-бурильщиков Eucosmini выделяется пихтовая листовертка-почкоед Epinotia nigricana H.-S. Ее гусеницы выедают верхушечные почки пихты белой, реже ели, в насаждениях различного возраста; отмечались вспышки массового размножения в Западной Европе.
К этому же семейству бабочек относятся дубовая побеговая моль Stenolechia gemmella L. Распространена в дубовых лесах и парках. Гусеницы вначале выедают почки, позднее проделывают ходы в молодых побегах, вызывая галлообразные вздутия на концах годичных веток.
3.5. Насекомые - вредители луба
Специфическую группу вредителей составляют насекомые, повреждающие луб стволов и ветвей растущих деревьев, что нередко приводит к их сильному ослаблению и гибели. Очень часто поселения этих насекомых приурочены к местам механических и иных поранений, поражений грибной инфекцией. В основном это некоторые виды бабочек - огневок рода Dioryctria и листоверток, последние из рода плодожорок Laspeyresia.
3.5.1. Сосновая стволовая огневка Dioryctria sylvestrella Ratz (D. splendidella H.-S.). Распространена в России в сосновых лесах северо-запада, средней полосы, на Кавказе, юге Сибири, в Приморье. Иногда сильно вредит изреженным и сомкнувшимся культурам в условиях сосняков лишайниковых и брусничных, более сильно - в возрасте 12...16 лет.
Нередко поражает деревья одновременно с ржавчинными грибами, что сильнее угнетает их и приводит к гибели.
Меры борьбы. Предупреждение механических повреждений деревьев. При высокой заселенности растущих культур - наземное опрыскивание в июне - начале июля фосфамидом, 40%-й к.э. - 8...10 кг/га; шерпа, 25%-й к.э. - 0.08 кг/га или аналогичными им с расходом рабочей жидкости 40...50 л/га.
При сильном поражении отдельных деревьев или групп, ослаблении и отмирании - вырубка под корень и сжигание в конце лета или осенью в непожароопасный период.
3.5.2. Лубяная листовертка (плодожорка) Laspeyresia coniferana Sax. Распространена в России повсеместно в хвойных лесах, кроме юга и юго-востока Европейской части, в Сибири, на Дальнем Востоке. Гусеницы проделывают ходы в лубе, образуя смешанные с экскрементами смоляные натеки. В одном месте могут питаться несколько гусениц.
Размножается в сосновых культурах в сходных с предыдущим видом условиях; кроме сосны, вредит пихте и ели. Часто повреждает деревья одновременно с ржавчинными грибами в местах механических повреждений стволов и ветвей.
Сходным образом размножаются и вредят близкие виды плодожорок: лиственничная подкоровая Laspeyresia zebeana Sax., еловая лубоедная Laspeyresia pactolana Z., а также Laspeyresia cosmophorana Tr., Laspeyresia duplicana Zett., Laspeyresia cognatana Barr.
Меры борьбы с лубоедными листовертками (плодожорками) те же, что и со стволовой огневкой.
Насекомых этой группы вредителей молодняков объединяет сосущий тип питания и связанный с этим характер взаимоотношений с растением-хозяином. Питание соками растущих молодых деревьев, тем более в условиях, мало пригодных для их успешного роста и развития, приводит к ослаблению, угнетению и в отдельных случаях к гибели растений. Наибольшее хозяйственное значение сосущие насекомые могут иметь в питомниках; в лесных культурах особую опасность представляют лишь такие виды или группы насекомых, как сосновый подкорный клоп, хермесы и лишь в отдельных случаях - тли, цикады, листоблошки.
3.6.1. Полужесткокрылые, или клопы Hemiptera. Многие насекомые этого отряда растительноядны и сосут соки древесно-кустарниковых пород и травянистых растений. В их числе немало опасных вредителей сельскохозяйственных культур. В лесах, культурах, питомниках и плантациях клопы распространены широко, но лишь немногие из них серьезно вредят.
Сосновый подкорный клоп Aradus cinnamomeus Panz. Распространен в сосновых лесах Европейской части России, меньше - в Сибири; его очаговые размножения происходят в сосняках лишайниковых и брусничных на юге лесной, в лесостепной и степной зонах.
Заселение культур начинается с 4...5-летнего возраста. К 8...12 годам жизни культур достигается высокая численность клопа, особенно в изреженных и долго не смыкающихся посадках в сухих условиях роста. Повреждения, наносимые подкорным клопом сосне, проявляются в образовании под корой серебристо-белых, постепенно темнеющих участков высосанной ткани - раневой паренхимы. На поперечном срезе ствола они выступают в виде коричневых линий. Внешние признаки повреждения проявляются в побледнении и укорачивании хвои, падении прироста у побегов последних лет, усыхании вершин и деревьев.
Меры борьбы. Создание густых смешанных культур с защитными опушками из лиственных пород. Подсадка в прогалины лиственных пород, внесение удобрений. На небольших участках накладка на стволы деревьев перед уходом клопа на зимовку клеевых колец. Использование фосфамида, 40%-й к.э., с расходом препарата 8...10 кг/га, рабочей жидкости - 100 (авиационное применение) или 50 л/га (наземное применение) либо дециса, 2.5%-й к.э., с расходом 0.2 кг/га при наземном опрыскивании. Инсектициды предпочтительно использовать в год, когда преобладают личинки; оптимальные сроки обработки культур - вторая половина июля - начало августа.
Тополевый клопик Monosteira unicostata M.R. Распространен в засушливых юго-восточных районах Европейской части, где иногда сильно повреждает тополя, а также ивы. Личинки и взрослые особи сосут соки на нижней части листьев и черешках. Листья сверху приобретают желтую пятнистую окраску, снизу покрываются липкими экскрементами, линочными шкурками клопов и преждевременно опадают.
Меры борьбы. Агротехника, направленная на выращивание здоровых тополей. При сильном скоплении клопов возможно применение фосфамида, 40%-й к.э., в 0.2...0.3%-й концентрации.
3.6.2.
Тли Aphidiidae повсеместны и иногда массовы как в хвойных, так и лиственных молодняках и более взрослых насаждениях. Однако их вредная деятельность хозяйственно значима, в основном, в питомниках, особенно плодовых, в теплицах и парниках, где с ними следует проводить борьбу
[9].
3.6.3. Хермесы - особое семейство филлоксеровых Phylloxeridae, родственное тлям. Они широко распространены в хвойных лесах и представляют серьезную опасность для молодых культур и питомников, а также плантаций новогодних елей. Хермесы ослабляют и угнетают молодые растения, снижают их товарность.
Зеленый хермес Sacchiphantes viridis Ratz. Распространен повсеместно в местах совместного произрастания ели и лиственницы, на которых хермес проходит 2-летний цикл развития. Один год он живет на ели, другой - на лиственнице.
Сходны с этим видом другие двудомные хермесы: ранний елово-лиственничный Adelges laricis Vall., поздний елово-лиственничный Adelges tardoides Chol., бурый елово-пихтовый Aphrastasia pectinatae Chol., кавказский елово-пихтовый Dreyfusia nordmannianae Eckat. и др.
Желтый хермес Sacchiphantes abietis L. - широко распространен в еловых лесах. Развивается только на ели.
Известны и другие немигрирующие хермесы - ранний еловый Adelges lappenicus Chol., поздний еловый Adelges tardus Dreyf., сосновый Pineus pipi L., веймутовой сосны Pineus strobi Hart. и др.
Немигрирующие хермесы представляют большую угрозу: при массовом размножении они вызывают гибель 3...5-летних растений.
Сибирский хермес Pineus cembrae Chol. в обычных условиях имеет два хозяина - ель и кедровую или другие виды сосен. В центре Европейской части хермес может размножаться с неполным циклом на кедре. Он является обычным вредителем привитых на сосны кедров, на которых легко распознается благодаря длинному и густому беловатому пуху, выделяемому самками и окутывающему их и отложенные ими яйца. Хермес может сильно угнетать привитые кедры и содействовать их гибели.
Меры борьбы с хермесами. Разобщенное выращивание плантаций культур ели от лиственницы и пихты. Карантинные мероприятия по предупреждению расселения хермесов с посадочным материалом. Обрезка побегов с галлами до завершения в них развития личинок в июле. Опрыскивание растений против зимующих личинок осенью или весной или личинок, образующихся из яиц (конец мая - июнь), или появляющихся из галлов нимф и крылатых хермесов (август). Препараты: 3%-й нитрафен; летом - зеленое мыло - 15...30 кг/га; 0.1%-й карбофос, 0.05...0.1%-й фосфамид; расход рабочей жидкости - до 800 л/га. При борьбе с сибирским хермесом необходима двукратная обработка летом с интервалом 3...4 нед 0.2...0.3%-ми фосфамидом или карбофосом.
Обыкновенная филлоксера Phylloxera coccinae Heyd. Часто сильно вредит дубам в питомниках, парках, лесах на юге лесной, в лесостепной и степной зонах. От ее питания на нижней стороне листьев появляются сначала светлые, затем желтеющие пятна. При сильном поражении листья деформируются, буреют, подсыхают, а молодые деревья хиреют, теряют прирост.
Меры борьбы. Ранневесеннее опрыскивание растений по зимующим яйцам филлоксеры теми же инсектицидами, что и против хермесов.
3.6.4. Кокциды Coccinae. К ним относятся щитовки, ложнощитовки и мучнистые червецы, представители которых вредят сельскому, парковому и лесному хозяйствам. Кокциды, как правило, многоядны и повреждают большое число видов плодово-ягодных, декоративных и лесных пород. Высасывая соки из растений, кокциды вызывают отмирание коры, опадение листьев, деформацию побегов и других частей, снижение прироста, что приводит к общему ослаблению и гибели растений. Кокциды также переносят вирусные болезни. Более всего от них страдают молодые растения в питомниках и культурах.
Яблоневая запятовидная щитовка Lepidosaphes ulmi L. Распространена повсеместно, кроме севера. Повреждает почти все лиственные породы - лесные, плодовые, ягодные, а также травянистые растения. Сильно вредит в питомниках, древесных школах, особенно тополевым и ивовым плантациям, плодовым. Личинки и самки высасывают соки из стволов и ветвей, это вызывает отмирание флоэмы, коры, засыхание ветвей и всего деревца.
Европейская ивовая щитовка Chionaspis salicis L. Распространена, вероятно, по всей Европейской части России. Повреждает иву, тополь, ясень, клен, липу и другие древесные и кустарниковые породы в питомниках, школах, молодняках естественного и искусственного происхождения. Поврежденные растения ослабевают, теряют прирост и нередко усыхают частично или полностью.
Калифорнийская щитовка Diaspidiotus perniciosus Comst. Объект внутреннего карантина. Родина - Северо-Восточный Китай и Дальний Восток. Завезена в ряд районов Европейской части России. Весьма многоядна: повреждает более 150 видов древесных и кустарниковых пород; особенно опасна для плодовых, из лесных пород вредит иве, тополям, березе, дубу, грецкому ореху и др.
Повреждает стволы, ветки, побеги, листья и плоды. При сильном заражении происходит отмирание, изъязвление и отслаивание коры, снижается прирост, отмирают побеги и ветки, дерево угнетается и плохо переносит морозы. Саженцы и молодые деревья погибают на 2...3-й год после заражения.
Сосновые щитовки обыкновенная Leucaspis pusilla Loew., синьоре L. signoreti Targ., веретеновидная Anamaspis loewi Colwes. - распространены в лесостепной и степной зонах. Личинки и самки повреждают хвою сосен, что вызывает ее опадение и засыхание деревьев.
Акациевая ложнощитовка Parthenolecanium corni Bouche. Распространена повсеместно, кроме севера. Весьма многоядна, особенно сильно повреждает плодовые, а из лесных пород - белую акацию и лещину, вредит также желтой акации, дубу, вязу, клену, ясеню, тополям, иве и др.
Более всего вредит на юге, вызывая засыхание и опадение листьев, усыхание веток и целых растений.
Меры борьбы с кокцидами. Карантинные мероприятия - тщательный осмотр и выбраковка зараженного посадочного материала.
Истребительные мероприятия - как против хермесов: опрыскивание зимующих стадий осенью, после опадения листьев, или весной, до распускания почек; весной и летом - в период появления "бродяжек".
3.6.5. Листоблошки Psyllidae. Нередко образуют на растениях массовые скопления. Наиболее вредны в питомниках и молодых культурах на яблоне яблоневая медяница, или листоблошка Psylla mali Schdbg., на груше - грушевая Psylla pyri L. Взрослые и нимфы (личинки) питаются на листьях, черешках листьев, молодых побегах и плодах, отчего растения угнетаются, плохо плодоносят.
Меры борьбы химическими средствами (теми же, что и против хермесов) осенью и весной - по зимующим яйцам, летом - по сосущим стадиям.
3.6.6. Цикадовые Cicadinae. Растительноядные насекомые (сосут соки растений) и особенно многочисленны среди травостоя. Некоторые виды вредят зерновым и другим сельскохозяйственным культурам, плодовым, лесным деревьям и кустарникам.
Горная цикада Cicada montana Scop. Распространена в России в средней полосе и на юге Европейской части. Вредит плодовым и из лесных - липе, ясеню, дубу, ильмовым, тополям и др. Основной вред заключается в повреждении ветвей и стволиков молодых деревьев при откладке яиц в надрезы на коре. При большом числе яйцекладок ветви и стволики усыхают, ломаются, заражаются болезнями.
Развитие личинок происходит в почве на корнях деревьев, что также ослабляет деревья, хотя гибели последних не отмечалось. Цикада вредит деревьям всех видов, особенно в изреженных посадках; известны случаи сильного повреждения ею подроста и поросли на вырубках.
Тополевая цикада Idiocerus populi L. широко распространена в Европейской части России и в Сибири. Яйца откладывает в августе-сентябре в побеги и ветви молодых деревьев тополя и осины. При массовом повреждении это приводит к деформации побегов и ветвей, их отмиранию, заражению "красниной" и другими болезнями.
Меры борьбы с цикадами. Агротехнические меры, направленные на выращивание здоровых, устойчивых растений. Перекопка, рыхление почвы для уничтожения обитающих в ней личинок. Вырезка, уничтожение ветвей, побегов с кладками яиц. При высокой численности цикад - опрыскивание посадок 0.1...0.15%-м фосфамидом против сосущих личинок и имаго.
3.7. Минирующие насекомые
Эта группа насекомых - вредителей леса объединяет большое число видов чешуекрылых, преимущественно из микролепидоптера, некоторых пилильщиков и жесткокрылых. Прогрызаемые их личинками ходы и полости, называемые минами, расположены на листьях или хвое, иногда на зеленых побегах деревьев. Они очень разнообразны по форме и размерам, но, как правило, по ним можно определить вид насекомого.
Иногда минеры полностью уничтожают листву или хвою, что чаще наблюдается на юге и юго-востоке, но деревья и кустарники от этого обычно не гибнут, слабеют, теряют прирост, ухудшается их декоративность.
Наиболее значимы эти насекомые на плантациях ив и тополей, в школьных, маточных, дендрологических отделениях питомников, в зеленых насаждениях.
На дубе обычны повреждения листьев дубовой широкоминирующей молью Coriscium brognardellum F. Ее мины занимают значительную часть верхней поверхности листа в конце весны и к осени, соответственно срокам развития ее двух поколений; кроме того, в конце лета и осенью на листьях дуба часты мины, вызываемые дубовой одноцветной молью Tischheria complanella Hb., они светло-желтые, широкие, с большим круглым светлым пятном посередине.
Для березы характерен пилильщик - минер кокончатый Phyllotoma nemoralis Fall., образующий широкие мины с коконами посередине, а также родственные ему виды и некоторые виды молей.
На тополях нередко в массе размножаются пилильщик-минер Messa hortulana Kl. - его мины широкие, вздутые; тополевая моль-пестрянка Lithocolletis populifoliella Z. - мины в виде овальных пятен, часто многочисленных и сливающихся между собой.
На ивах вредят минирующая златка Trachys minuta L. - мины в виде больших желтых пятен у края листа, ивовые моли-пестрянки из рода Lithocolletis, прогрызающие удлиненно-овальные мины с овальным темным пятном.
Лиственничные посадки во многих районах повреждаются лиственничной чехликовой молью Coleophora laricella Hb., гусеницы которой внедряются в хвоинки, выедают их мякоть, оставляя эпидермис, из которого готовят себе чехлики.
Ели и пихте вредят листовертки-иглоеды из рода Epinotia семейства листоверток-бурильщиков: пигмей E. pygmaena Hbn., крошка E. nanana Jr. и некоторые другие. Их гусеницы вначале минируют хвою, а затем развиваются в трубках из сплетенных паутиной хвоинок.
Меры борьбы. Агротехнические мероприятия, содействующие выращиванию здоровых, устойчивых растений. При небольшом очаге - сбор и уничтожение листьев с минами. Опрыскивание растений с питающимися личинками минеров фосфамидом (40%-й к.э.) - в 0.15...0.20%-й концентрации, карбофосом - 0.3%-м по д.в.
3.8. Насекомые-галлообразователи
Эта экологическая группа насекомых весьма разнообразна по составу. Галлы, т.е. наросты, разрастания, вздутия на листьях, побегах, стволиках древесных и кустарниковых растений, внутри которых питаются и развиваются личинки, образуют ряд видов тлей, хермесов, некоторых листоблошек, пилильщиков, стволовых вредителей (рассмотрены в других разделах), а также галлицы, орехотворки и некоторые виды листоверток.
3.8.1. Галлицы Cecidomyiidae - мелкие насекомые из отряда двукрылых, похожи на комариков, не питаются. Их личинки оранжевого, лимонного и белого цветов обитают в деформированных тканях растений. Некоторые виды являются серьезными вредителями сельского хозяйства. В лесах распространены очень широко, но значение ограничено питомниками и молодыми декоративными посадками.
3.8.2. Орехотворки Cynipidae, образуют галлы на листьях, почках, побегах, корнях, более всего на дубе, меньше - на розоцветных и других породах. Наиболее распространены в лесостепной и степной зонах, где могут угнетать молодые растения, но это более значимо для питомников; в лесах активные меры борьбы, как правило, не проводят.
3.8.3. Листовертки рода Epinotia - дубовая галловая E. festivana Hbn. (гусеницы в побегах дуба образуют галлообразные вздутия) и березовая галловая E. tetraquetrana Hw. (молодые гусеницы в галлах на ветвях, более взрослые - в сплетенных листьях на березе, ольхе, редко на иве).
Меры борьбы. Агротехнические меры по выращиванию здоровых, устойчивых растений. Карантин и выбраковка зараженного посадочного материала. Сбор, вырезка, уничтожение галлов. Опрыскивание зараженных растений в период питания личинок 0.2%-м фосфамидом, рано весной - 0.3%-м карбофосом.
Стволовые вредители, к которым относятся жуки-короеды, долгоносики, усачи, златки, бабочки-стеклянницы и некоторые другие насекомые, являются, в основном, вредителями более взрослых насаждений, хотя в ряде случаев они могут повреждать и молодняки. Из этой группы вредных насекомых выделяются отдельные виды, которые представляют собой специфичных вредителей молодняков, отличающихся не только характером причиняемого вреда, но и биологическими особенностями, что требует применения специальных защитных мер.
3.9.1. Короеды Scolytidae. Из короедов наибольшую опасность для молодняков представляют корнежилы. Их насчитывается 10 видов, все они связаны с хвойными породами. Биология их сходна, важнейшими являются корнежил черный Hylastes ater Payk., вредит преимущественно сосне, и корнежил еловый Hylastes cunicularius Er., более распространенный в еловых лесах. Очаги размножения корнежилов свойственны таежной зоне и зоне хвойно-широколиственных лесов, где они нередко сильно вредят молодым культурам и естественному возобновлению сосны и ели.
Основной вред корнежилы наносят в период дополнительного питания, когда жуки выгрызают глубокие ранки в коре корневой шейки, на корешках и в нижней части стволиков подроста и сеянцев хвойных пород. При сильном повреждении, окольцовывающем стволики, молодые деревца погибают. Основные места размножения корнежилов - 2...3-летние вырубки, а также гари, ветровальники и т.п., где нередко к ним присоединяется большой сосновый долгоносик, что усиливает вред.
Меры борьбы. Надзор за состоянием культур хвойных пород, высаженных на свежих, 2...4-летней давности вырубках и в непосредственной близости от них и, в случае выявления корнежилов, проведение защитных обработок 3...5%-м фозалоном с расходом рабочей жидкости 80...150 л/га.
Предпосадочная обработка саженцев хвойных пород тем же препаратом с расходом рабочей жидкости до 5 л на 1000 растений (опрыскивают целиком саженец, включая корневую систему) либо пиретроидными препаратами: амбуш, 25%-й к.э. - 0.04...0.1 кг на 1000 саженцев; рипкорд, 40%-й к.э. - 0.025...0.0625; талкорд, 25%-й к.э. - 0.04...0.1; цимбуш, 25%-й к.э. - 0.04...0.1.
3.9.2. Долгоносики Curculionidae. Из этого семейства жуков к вредителям молодняков относятся большой сосновый и синий долгоносики, точечная смолевка, вредящие хвойным, тополевый скрытнохоботник - лиственным.
Большой сосновый долгоносик Hylobius abietis L. и другие виды жуков этого рода в таежных и хвойно-широколиственных лесах Европейской части России, в Сибири и на Дальнем Востоке являются важнейшими вредителями хвойных культур, самосева на свежих, 2...4-летних вырубках, гарях, ветровальниках, других участках ослабленного леса. Вредят также сеянцам и саженцам хвойных пород в питомниках, расположенных рядом с указанными участками.
Очаги долгоносика формируются, главным образом, на вырубках 2...4-летней давности, где жуки при дополнительном питании сильно повреждают культуры и самосев хвойных пород, откуда они могут мигрировать и на соседние питомники. Нередко вместе с долгоносиками размножаются корнежилы.
Меры борьбы. Тщательный надзор за состоянием культур в первые 3...5 лет после посадки. Выкладка отравленных инсектицидами приманок, в качестве которых используют куски свежей коры хвойных пород. Опрыскивание саженцев перед посадкой или защитная обработка высаженных культур, как от корнежилов.
Точечная смолевка Pissodes notatus L. распространена повсеместно в сосновых лесах. Повреждает несомкнувшиеся ослабленные культуры сосны 4...5-летнего возраста преимущественно на сухих бедных песках. При дополнительном питании жуки выгрызают смолоточащие ямки в коре на вершинах и ветвях молодых сосен. Личинки прокладывают ходы под корой. Заселенные смолевкой сосны погибают.
Меры борьбы. Агротехника, направленная на выращивание здоровых, устойчивых культур. Предупреждение повреждений культур. Вырубка и сжигание заселенных смолевкой деревьев (рубка ниже корневой шейки или выдергивание молодых растений с корнями).
Синий сосновый долгоносик Magdalis frontalis Gyll. и другие родственные ему виды широко распространены в сосновых лесах, но вред более ощутим в лесостепной и степной зонах в сухих типах боров. Личинки прогрызают ходы под корой. При сильном повреждении стволик или ветвь изрезаны глубокими канавками с острыми ребрами. Нападает на молодые ослабленные деревца, приводя их к гибели, часто с другими стволовыми вредителями.
Меры борьбы. Предупреждение ослаблений и повреждений культур. Выборка и уничтожение заселенных долгоносиком усыхающих сосен в конце лета.
Тополевый или ольховый скрытнохоботник Cryptorrhynchus lapathi L. Распространен в Европейской части России, в Сибири и на Дальнем Востоке. Повреждает ольху, тополя, ивы, снижая прирост, вызывая сухобочины, наплывы на стволах, суховершинность и усыхание деревьев. Наиболее вреден в 3...10-летних перегущенных плантациях и культурах в поймах рек.
Меры борьбы. Надзор, обследование школ, плантаций, культур в мае-июне. Карантинные мероприятия, выборка и уничтожение заселенных деревьев с ноября по июнь. Снижение густоты посадки. Опрыскивание мест поселения на стволиках 0.3...0.5%-м по д.в. фосфамидом.
3.9.3. Усачи Cerambycidae. Для молодых культур опасны те виды усачей, которые заселяют растущие, незначительно ослабленные деревья; нередко эти усачи многократно поселяются на одних и тех же деревьях. Это не всегда приводит деревья к гибели, но у них снижается прирост, появляются разные пороки, они заболевают и только затем могут погибнуть. Общность причиняемого деревьям физиологического вреда позволяет для всех этих усачей рекомендовать сходные меры борьбы.
Малый осиновый или тополевый усач Saperda populnea L. Вредит тополям, осине, иве в Европейской части России, в Сибири, на Кавказе. В местах питания личинки стволики или ветвь веретенообразно утолщаются, образуя галл. Нередко на одном дереве развиваются до 12 личинок. Опасен для саженцев, маточных плантаций, культур тополей в южной зоне их выращивания.
Ивовый усач Oberea oculata L. Распространен в Европейской части России, на Кавказе, в Сибири. Вредит иве, тополю, осине. Наиболее опасен на ивовых плантациях и в посадках шелюги.
Ивовый усач-толстяк Lamia textor L. Распространен в Европейской части России, на Кавказе, в Сибири, где вредит иве, тополю, осине, ольхе. Опасный вредитель ивовых плантаций.
Меры борьбы с усачами. Надзор за состоянием школ, маточных и других плантаций и культур в августе. Карантинные мероприятия, выбраковка заселенного посадочного материала. Подбор условий произрастания, отвечающих требованиям выращиваемых пород, использование устойчивых в данной местности сортов и видов растений. Вырезка и уничтожение в осенне-зимний период ветвей и стволиков с галлами малого осинового усача. Корчевка заселенных растений и их уничтожение в августе - начале сентября в очагах ивовых усачей. Сплошная или выборочная обработка посадок, заселенных усачами, 0.5...1%-м по д.в. фосфамидом в стадии молодых личинок.
3.9.4. Златки Buprestidae. Из их числа представляет угрозу для маточных плантаций, школ, молодых посадок тополей тополевая пятнистая златка Melanophila picta Pall., особенно в юго-восточных районах. Наиболее опасна для 1...2-летних культур тополя, посаженных черенками, и в более взрослых загущенных или ослабленных засухами культурах.
Меры борьбы. Агротехнические меры по выращиванию здоровых, устойчивых растений, предупреждение повреждений культур, выборка и уничтожение заселенных златками деревьев в конце лета. Предпосадочная обработка черенков тополя 0.5...1%-м фосфамидом.
3.9.5. Стеклянницы Aegeriidae. Это физиологические вредители, поселяющиеся на растущих деревьях, постепенно приводящие к их гибели.
Темнокрылая стеклянница Sciapteron talaniformis Rott. Повреждает тополя, осину, иву в Европейской части России, на Кавказе, в Сибири и на Дальнем Востоке.
В местах развития гусениц на ветвях и стволиках деревьев вытекает сок, образуются галлообразные вздутия и наросты, сдерживающие рост, вызывающие слом и усыхание деревьев, распространение болезней.
Стеклянница сильно повреждает 1...3-летние культуры, школы, маточники, порослевое возобновление на вырубках, особенно в засушливых условиях юго-востока.
Большая тополевая стеклянница Aegeria apiformis Cl. Более характерна как вредитель культур тополей, реже других древесных пород, в возрасте 10...30 лет. В маточниках может сильно повреждать пни деревьев, которые частично или полностью теряют порослевую способность.
Меры борьбы со стеклянницами. Подбор условий местопроизрастания, соответствующих биологическим особенностям древесных пород, выбор устойчивых сортов тополей. Карантинные мероприятия, выбраковка заселенного стеклянницами посадочного материала. Предупреждение механических повреждений растений. Надзор за вредителями - в августе.
Вырезка и уничтожение побегов, стволиков, ветвей, заселенных большой тополевой стеклянницей. Выборочная или сплошная обработка тополевых культур, плантаций, поросли 0.5...1%-м по д.в. фосфамидом.
4.1. Болезни всходов, листьев и хвои
4.1.1. Полегание всходов. Возбудителями заболевания в культурах хвойных и лиственных пород, созданных посевом, являются в большинстве случаев грибы из родов Fusarium, Alternaria, Botrytis, Rizoctonia, Pythium, Verticillium, Pestalotia и Penicillium. Болезнь распространена практически повсеместно. Инфекция от больных растений к здоровым передается в почве посредством грибницы из-за близкого расположения всходов друг к другу. Чаще всего поражаются посевы сосны, ели и лиственницы.
Для заболевания характерны, как правило, 4 основных стадии болезни: загнивание семян и проростков (до появления всходов); полегание всходов (с момента появления всходов и до 4-недельного возраста); загнивание корней растений (старше 4-недельного возраста); увядание верхушек (в возрасте 1.5...2 мес). Наиболее распространены на лесокультурных площадях вторая и третья стадии заболевания.
При второй стадии болезни стебелек всходов хвойных пород около корневой шейки становится морщинистым, появляется перетяжка, стволик теряет упругость и растение погибает. У лиственных пород перетяжка обычно образуется ниже подсемядольного колена. У пораженных всходов загнивает корешок, начиная от корневой шейки. Растение засыхает и легко выдергивается из почвы с обнаженным осевым цилиндриком. Для заболевания характерен куртинный характер.
При третьей стадии болезни загнивают корешки, но растения не падают на почву, а засыхают стоя. При этом корешок сгнивает и растение легко выдергивается из почвы с обнаженным осевым цилиндриком.
Источниками инфекции являются зараженная почва и в меньшей степени семена. Развитие заболевания зависит от ряда факторов, в том числе от осадков и температуры воздуха. Сырая и прохладная погода благоприятствует развитию болезни. Отпад всходов достигает максимальных размеров при прохладной и затяжной весне, при большой густоте, глубокой заделке семян, образовании корки на поверхности почвы.
Меры защиты от болезни. При осеннем посеве семена необходимо предварительно обрабатывать фунгицидом. Перед высевом семян в весенний период предпочтительнее их стратифицировать в снегу, замачивать в течение 12 ч в растворах микроэлементов, а также протравливать фунгицидами. В качестве микроэлементов лучше всего использовать сернокислый цинк (0.2%-й водный раствор) или сернокислый кобальт (0.5%-й). Для предпосевного протравливания семян рекомендуются: БМК, фундазол, топсин-М, беномил, байлетон, витавакс, дерозал, олгин, а также ТМТД из расчета 6 г на 1 кг семян. Из биопрепаратов для обработки семян можно использовать трихотецин, фитолавин, а также микоризин. Внесение в почву микоризина результативно не только для защиты от полегания, но и от корневой губки.
4.1.2. Выпревание сосны. Болезнь вызывается грибами Sclerotinia graminearum Elen. и Typhula graminearum Gul., которые поражают сосну в культурах, созданных посевом. Заболевание распространено, в основном, в средней полосе Европейской части России, в Сибири и на Дальнем Востоке. Болезнь присуща только однолетним растениям и характеризуется отмиранием их верхушки. Первые признаки заболевания можно наблюдать сразу после схода снежного покрова, когда растения покрыты пленкой паутинного мицелия, который довольно быстро разрушается и исчезает. Пораженная хвоя равномерно окрашивается в красновато-коричневый цвет. Через несколько дней после схода снега на почках, стволиках вблизи почки, а иногда и внутри стволика пораженных сосенок встречаются склероции, которые плохо удерживаются, легко опадают при малейшем колебании. К концу мая верхушки растений разрушаются и опадают на почву. Пораженная хвоя со временем обесцвечивается.
Источниками инфекции для сосны являются дикорастущие травы: тимофеевка, овсянница, райграс, мятлик, ежа, лисохвост, костер, пырей, незабудка, звездчатка, ясколка, лапчатка, тысячелистник, которые сильно подвержены заболеванию.
Для успешного прорастания склероциев Sclerotinia graminearum нужна теплая и влажная осень, а для Typhula graminearum это не обязательно, поэтому болезнь, вызываемая вторым грибом, возникает чаще. Рассеивание спор и заражение ими сосны завершается до наступления постоянных отрицательных температур. Заражаются растения также и под снегом, когда мицелий переходит с больных растений на здоровые. Развитию заболевания благоприятствуют теплая зима с высоким снежным покровом и затяжная весна с медленным таянием снега.
Меры защиты от болезни сводятся к систематическому уходу в культурах, особенно осенью, с последующим уничтожением сорняков.
4.1.3. Обыкновенное шютте сосны. Возбудители болезни - грибы из рода Lophodermium поражают хвою сосны и кедра в культурах. Заболевание характеризуется частичным или полным пожелтением хвои, сопровождающимся ее засыханием и опадением. Шютте в культурах сосны в возрасте до 5 лет (включительно) вызывает преимущественно гриб Lophodermium seditiosum Mint., Stal., Mill. и лишь изредка - Lophodermium pinastri Chev. На опавшей хвое в 6...14-летних культурах сосны одновременно встречаются оба эти гриба; с 15-летнего возраста сосну поражает, в основном, гриб L. pinastri.
При благоприятных условиях для развития шютте, вызываемого L. seditiosum, первые признаки его появляются уже в конце октября - начале ноября, чаще всего в виде пятен желтого цвета по длине хвои или с верхних ее концов, в первую очередь, в нижней части охвоения (ранняя форма проявления болезни). Иногда в это время на части хвоинок встречаются пикниды гриба. Сразу после схода снега пораженная хвоя отмирает и краснеет.
Первые внешние признаки болезни наблюдаются через 3...9 дней после стаивания снежного покрова (при солнечной погоде раньше, при холодной и пасмурной - позднее). Хвоя краснеет и отмирает. У 1-летних сосенок она не опадает, прочно удерживается на них 2...3 года и постепенно разрушается. У 2-летних растений хвоя опадает частично в сезон проявления болезни или может удерживаться еще в течение года. На пораженных шютте 3-летних сосенках хвоя опадает большей частью в течение первого лета.
Первые внешние признаки шютте при поражении посевов сосны грибом L. pinastri наблюдаются обычно в мае, через один месяц и более после схода снега (поздняя форма проявления болезни). Покраснение и отмирание хвои происходит на 1/4...1/2 части снизу по охвоению растений. На хвое сосны, за редким исключением, не образуются поперечные линии и апотеции гриба. Плодовые тела появляются, как правило, только на хвое, опавшей на почву. Поперечные линии встречаются обычно в конце лета или в начале второго года после заражения, задолго до появления апотециев.
Источником заражения культур грибом L. seditiosum является пораженная сосна в возрасте до 15 лет. Чаще всего шютте в культуры заносится из питомника с больными сеянцами. Заражению подвергаются совершенно здоровые, а также ослабленные растения, заросшие сорняками, при плохом уходе. Аскоспоры рассеиваются с конца второй декады июля - середины первой декады августа до конца первой декады сентября - первых дней октября.
Благоприятные условия для развития болезни и ее возбудителя создаются при теплой и влажной погоде. Интенсивность рассева аскоспор возбудителя и успешность заражения сосны зависят от количества осадков, выпавших в июне-августе, и температуры воздуха в июле-августе. Однако решающим фактором являются осадки.
Источником инфекции гриба L. pinastri служит зараженная сосна с 8-летнего, но особенно - старше 15-летнего возраста. Чаще всего шютте поражаются ослабленные растения, поврежденные пестицидами и другими болезнями. На пораженной хвое, обычно на следующий год после ее опадения, появляются апотеции, и из них рассеиваются аскоспоры (пики наблюдаются в июле-августе, а при благоприятных условиях - в мае). Инфекция разносится спорами или с зараженной хвоей. На такой хвое уже имеются или развиваются впоследствии плодоношения возбудителя. Заражение сосны в культурах тем вероятнее и сильнее, чем ближе к ним находится источник инфекции.
Меры защиты от болезни. Для посадки на лесокультурную площадь необходимо использовать только стандартные сеянцы. В крайних случаях можно использовать больные сеянцы с поражением хвои не более 25% и со здоровой верхушечной почкой. При этом у растений нужно отрывать зараженную хвою и высаживать их только на свежую почву, обеспечивая хороший уход.
При угрозе сильного поражения культур сосны обыкновенным шютте следует осуществлять их защиту путем опрыскивания одним из следующих фунгицидов: байлетон в 0.2%-й концентрации, байфидан (0.2%-й), тилт (0.2%-й), фундазол (0.15%-й), беномил (0.06%-й), топсин-М (0.5%-й), дерозал (0.3%-й), олгин (0.4%-й), коллоидная сера (2%-я). При использовании препаратов системного действия, за исключением фундазола, достаточно одного опрыскивания. При применении фундазола в каждом случае рекомендуется через 3 нед дополнительное опрыскивание сосны каким-либо фунгицидом. При использовании коллоидной серы проводят по 3...5 обработок: в обычную погоду - с интервалом в 3 нед, в дождливую - 2 нед. Время проведения первого опрыскивания определяют ежегодно по краткосрочному прогнозу.
4.1.4. Обыкновенное шютте ели. Возбудитель болезни - гриб Lophodermium macrosporum (Hart.) Rehm. поражает хвою ели и приводит к ее отмиранию. Заболевание довольно широко распространено в культурах и молодняках. Пораженные растения снижают прирост и высоту. Часть молодых елей погибает.
Хвоя прошлогодних побегов обычно в мае буреет, отмирает и в таком состоянии остается до следующей весны, когда на нижней поверхности появляются апотеции гриба.
Источниками инфекции являются еловые насаждения или вырубки с порубочными остатками. Наиболее сильно заболевание развивается в условиях избыточного увлажнения. Шютте ели встречается повсеместно, но особенно широко болезнь распространена в северных районах России.
Меры защиты от болезни. Для химической защиты ели от обыкновенного шютте рекомендуются те же препараты, что и против обыкновенного шютте сосны.
4.1.5. Снежное шютте сосны. Возбудитель заболевания - гриб Phacidium infestans Karst. поражает сосну. Снежное шютте характеризуется отмиранием хвои и снижением прироста или гибелью растений целиком. После схода снега пораженная хвоя потенциально является источником инфекции практически до установления снежного покрова. Болезнь распространена во всех регионах России, где высота снежного покрова составляет не менее 40 см. В связи с этим заболевание представляет наибольшую опасность для культур и молодняков, которые не превышают снежный покров.
Первые наиболее характерные признаки болезни можно наблюдать сразу после схода снега, когда сосенки целиком или их отдельные ветви покрыты легкой пленкой мицелия светло-серого цвета, которая в течение 2...3 дней разрушается. Хвоя, отмирая, меняет окраску с грязно-оливковой на красно-коричневую, и на ней отчетливо различаются зачатки апотециев в виде беспорядочно расположенных черных точек. Поражение культур, как правило, куртинное, однако при благоприятных для развития болезни условиях наблюдается почти сплошное поражение. В течение лета гриб продолжает развиваться в больной хвое, которая не опадает. К осени хвоя становится пепельно-серой и на ней, обычно в сентябре, созревают апотеции.
Инфекция в культуры чаще всего заносится из питомника с зараженными сеянцами. На хвое уже имеются или развиваются впоследствии плодоношения возбудителя. Осенью сосна заражается в зависимости от типа паразитической фазы гриба только спорами, зимой под снегом - спорами и воздушным мицелием или лишь посредством мицелия. Поражение культур тем вероятнее и сильнее, чем ближе находится источник инфекции. Развитию апотециев благоприятствует дождливая погода в июне-октябре. Погодные условия июня-октября определяют степень готовности апотециев к споруляции, а интенсивность ее обусловливается погодой октября.
Рассеивание аскоспор и заражение ими сосны в средней полосе Европейской части России начинается обычно в первой декаде октября и продолжается до установления снежного покрова. Оптимальными условиями для рассева аскоспор и заражения ими сосны является высокая влажность и температура воздуха в пределах от 3 до -1 °C. Решающий фактор - влажность. Особенно благоприятные условия для рассеивания спор и заражения ими сосны создаются, когда периодическое выпадение и таяние снега чередуются с дождями, росами, моросями.
Меры защиты от болезни. Рекомендуются лесоводственные, лесокультурные, механические и химические меры. Во время лесозаготовок основное внимание нужно уделять своевременной очистке лесосек. В осенний период лесозаготовок не только поврежденный подрост, но и значительная часть хвои порубочных остатков поражается снежным шютте и становится источником заражения для последующего возобновления.
До начала лесокультурных работ подлежащие закультивированию вересковые, вересково-лишайниковые и вересково-паловые вырубки нужно обследовать на зараженность снежным шютте. Все выявленные действующие очаги этой болезни необходимо ликвидировать в год производства культур. На участках, где существует угроза поражения культур снежным шютте (особенно на северных склонах сухих боров на сильно захламленных вырубках с зараженными порубочными остатками), следует производить посадки, а не посев, создавать смешанные, а не чистые культуры; при производстве культур равномерно распределять посевные или посадочные места по всей площади и не допускать загущенных посевов.
Из химических мер при угрозе сильного поражения культур сосны снежным шютте рекомендуется однократное опрыскивание. Время проведения обработки определяют по краткосрочному прогнозу. Для защиты сосны можно использовать байлетон в 0.2%-й концентрации, дерозал (0.3%-й), БМК (0.4%-й), фундазол (0.3%-й), беномил (0.06%-й), топсин-М (0.5%-й), тилт (0.2%-й), байфидан (0.2%-й) или коллоидную серу (2%-ю). Опрыскивать нужно культуры, находящиеся около очагов болезни или пораженные ею, но высотой не более 0.6 м, так как при большей высоте культур гибель от снежного шютте им уже не угрожает. Сплошное опрыскивание проводят при заражении более 30% растений. При меньшей зараженности обрабатывают больные растения, а также в радиусе 1...2 м вокруг них. Расход рабочего раствора - около 1 л на 10 растений.
На вырубках подавление инфекции возможно также посредством искореняющего опрыскивания больных и усохших сосен нитрафеном или дизельным топливом в аэрозольной дисперсности (двукратная обработка во второй половине лета).
4.1.6. Серое шютте сосны. Болезнь вызывает гриб Hypodermella sulcigena (Rostr.) Tub. Поражается хвоя в молодых культурах, которая в течение лета желтеет и отмирает. Пожелтение хвои начинается с кончиков, у основания она остается еще зеленой. Зараженная хвоя постепенно принимает серую окраску и долгое время не опадает. На хвое образуются пикниды в виде черных точек.
Позднее на пораженной хвое появляются удлиненные черные, несколько выпуклые апотеции. Распространению болезни способствует дождливая погода летом.
Меры защиты от болезни. При сильной угрозе поражения молодых или особо ценных культур - опрыскивание сосны 1...2%-й бордоской жидкостью. Выборка и сжигание пораженных ветвей или целиком растений.
4.1.7. Шютте лиственницы. Возбудитель заболевания - гриб Meria laricis Vuil. (Hartigiella laricis (Hart) P. Syd.) поражает лиственницу в возрасте до 20...30 лет. Хвоя лиственниц европейской и Сукачева поражается слабо, даурской - сильно, сибирской - наиболее сильно. Поражение лиственницы в молодом возрасте заметно сказывается на снижении прироста.
Первые внешние признаки болезни можно наблюдать в конце мая - начале июня. Вначале участки хвои обесцвечиваются, затем становятся красновато-коричневыми, постепенно сливаются и хвоинки целиком принимают красновато-бурую окраску. Пораженная хвоя плохо удерживается на растении. На поверхности хвои возникают спороношения гриба, имеющие вид светлых, вначале матовых, затем блестящих точек, похожих на песчинки. Спороношения можно рассмотреть только через 10...20-кратную лупу. Легче обнаружить гриб после окрашивания хвои в течение 20 мин в 2%-м растворе марганцовокислого калия. После обработки спороношения четко выделяются в виде параллельных рядов точек темного цвета. Гриб заражает хвою спорами в период ее распускания и продолжает поражать вновь нарастающую хвою на протяжении всего вегетационного периода.
В культуры инфекция может попасть из питомников вместе с посадочным материалом или от зараженных культур и насаждений, расположенных не далее 100...150 м. Конидии не нуждаются в покое и могут прорастать сразу после созревания. Интенсивность разлета спор возбудителя находится в прямой зависимости от количества выпадающих осадков. Наиболее благоприятные условия для развития болезни складываются в первой половине вегетационного периода, когда происходит быстрое нарастание хвои и выпадает наибольшее количество осадков.
Меры защиты от болезни. Использование для посадки здоровых сеянцев. Размещение культур лиственницы на расстоянии не менее 150 м от взрослых насаждений этой породы. Вред от болезни малоощутим, поэтому использование химических средств нецелесообразно.
4.1.8. Ржавчина хвои сосны. Возбудителями болезни являются грибы из рода Coleosporium с полным циклом развития. Заболеванию подвержена хвоя в культурах сосны. В результате поражения хвоя частично желтеет, растения отстают в росте.
Первые признаки болезни - появление на хвое небольших желтоватых пузырьков - эцидиев. Чаще всего со временем эцидии покрывают всю хвою. У зрелых эцидиев разрывается оболочка, из них рассеиваются желто-оранжевые эцидиоспоры, которые заражают травянистые растения. Летняя и осенняя стадии грибов развиваются на крестовнике, мать-и-мачехе, осоте и колокольчике, где образуются уредоспоры и телейтоспоры. Весной телейтоспоры прорастают, а появляющиеся базидиоспоры заражают хвою.
Меры защиты от болезни. В случаях, когда ржавчина причиняет заметный ущерб культурам, необходимы прополка сорняков и опрыскивание сосны 1%-й бордоской жидкостью при первом появлении эцидиев.
4.1.9. Ржавчина листьев тополей. Болезнь вызывают паразитные ржавчинные разнохозяйные грибы из рода Melampsora, чаще всего - M. larici-populina Kleb., реже - M. alli-populina Kleb., M. pinitorqua Rostr., M. larici-tremulae Kleb., M. rostrupii Wagn. Промежуточными хозяевами ржавчины являются сосна, лиственница, различные виды лука, чистотел, пролеска. Болезнью поражаются листья, в отдельных случаях и молодые верхушечные побеги тополей, что приводит к преждевременному опадению листьев, потере прироста и снижению зимостойкости, ослаблению растений, а впоследствии к гибели от вымерзания и других болезней. Ржавчина широко распространена в культурах, особенно опасна в молодых посадках с низким расположением крон.
Первые признаки болезни можно наблюдать в конце июня - начале июля, когда на листьях появляются желто-оранжевые, порошащие, единичные уредопустулы гриба. За несколько дней до появления уредопустул на листьях образуются хорошо видимые при просмотре на свет желтоватые мозаичные пятна, плавно переходящие в нормальные ткани листа. При сильном развитии болезни уредопустулы могут сплошь покрывать поверхность листьев и вызывать их побурение и усыхание.
Систематически повторяющиеся в течение нескольких лет поражения ржавчиной приводят к сильному ослаблению тополей в молодых культурах.
Первичным источником инфекции в большинстве случаев бывают лиственничные и сосновые насаждения. В течение лета тополя могут заражаться уредоспорами, легко разносящимися ветром. Уредоспоры вызывают многократные заражения, так как инкубационный период составляет лишь 10...15 дней. Осенью на зараженных листьях образуется телейтоспороношение. Телейтоспоры зимуют на опавших листьях, весной прорастают и дают инфекционное начало с конца апреля до июня. Базидиоспорами заражаются промежуточные хозяева, от которых гриб снова переходит на листья тополей.
Меры защиты от болезни. Вводить виды и сорта тополей, обладающие хорошим ростом и наибольшей устойчивостью к заболеванию. Нецелесообразно располагать культуры тополей по соседству с сосной и лиственницей. Весеннее искореняющее опрыскивание 2%-м раствором ДНОК, нитрафеном (3%-м) или фентиурамом (2%-м). При угрозе сильного поражения тополей при появлении первых уредоспороношений на листьях рекомендуется проводить обработку хлорокисью меди (1%-й) или поликарбацином (1%-м). Последующие 2...3 опрыскивания осуществляют через 10...12 дней.
4.1.10. Парша тополей и осины. Возбудителем болезни у тополей является гриб Pollacia radiosa (Lib) Bald. et Gif., у осины - Pollacia elegans Serv. Заболеванию подвержены листья и побеги осины, черного тополя и его гибридов, белых и пирамидальных тополей. Особенно опасна болезнь для маточных плантаций, а также для культур до 5-летнего возраста. Поражение растений приводит к преждевременному опадению листьев, усыханию побегов, значительному снижению прироста, а при сильном развитии болезни - к гибели целиком растений.
Характерный признак заболевания - появление на листьях светло-фиолетовых пятен неправильно овальной формы, которые позднее приобретают окраску от темно-фиолетовой до почти черной. На пятнах образуется бархатистый оливковый налет - конидиальное спороношение гриба-возбудителя. Со временем налет исчезает, а пятна становятся более светлыми. Кроме листьев, повреждаются побеги, которые заражаются через черешки листьев. При этом болезнь начинается с конца побегов - они чернеют, засыхают и загибаются в виде крючка. При благоприятных условиях на побегах образуются язвы. В этих местах побеги изгибаются и ломаются. Конидиальная стадия гриба развивается на листьях и побегах в течение всего вегетационного периода.
Массовое поражение паршой обычно наблюдается в маточных плантациях и школах, которые являются источниками инфекции. Зараженные листья разлетаются на расстояние до 10 м от источника инфекции. Споры рассеиваются не более чем на 2 м. У гриба-возбудителя различают два периода максимального образования и разлета конидий: в конце июня и середине июля. Образованию и рассеиванию спор способствуют осадки и росы. Оптимальная для прорастания конидий температура 25 °C. При наличии капельно-жидкой влаги споры легче заражают листья. С середины августа образование и рассеивание спор прекращается. Инкубационный период для парши колеблется от 7 до 12 дней. Молодые листья более восприимчивы к болезни, чем старшие, поэтому в первой половине вегетации период наибольшей интенсивности спороношения совпадает со временем наиболее высокой уязвимости листьев.
Меры защиты от болезни. Не располагать маточные плантации и школы белых тополей ближе 100 м от культур тополей и молодняков осины. В культурах особо ценных видов и сортов тополей и осины для снижения уровня зимующей инфекции осенью или рано весной необходимо запахивать листья и опавшие веточки. При серьезной угрозе поражения тополей и осины первую искореняющую обработку растений нужно проводить до распускания листьев, при температуре выше 5 °C, вторую - в период распускания почек. В середине вегетации особенно тщательно надо опрыскивать верхние части побегов с молодыми листьями. Для обработок использовать коллоидную серу (2%-ю).
4.1.11. Мучнистая роса дуба. Болезнь вызывают грибы Microsphaera alphitoides Gr. et Maubl. (конидиальная стадия - Oidium dibium Jacz.) и значительно реже - Microsphaera silvatica sp. nova. Заболеванию подвержены различные лиственные породы, но особенно дуб. Болезнь характеризуется появлением мучнистого налета. Пораженные листья засыхают и опадают. Повторяющееся несколько лет подряд поражение мучнистой росой ослабляет молодые дубки, задерживает их рост, замедляет смыкание культур. После повреждения центрального побега и его замещения одним из боковых ствол теряет свою форму. Большую опасность представляет сильное заражение листьев, появляющихся после массового объедания насекомыми или повреждения поздними весенними заморозками. В этих случаях побеги, пораженные мучнистой росой, особенно часто погибают при перезимовке. Если сильное заражение происходит после объедания первых побегов насекомыми подряд 2...3 года, то заболевание может привести к усыханию дуба. Мучнистая роса в этих случаях нередко играет решающую роль, так как при отсутствии болезни деревья не усыхают.
Первые признаки мучнистой росы в виде редкого мицелия на листьях можно наблюдать в конце мая - начале июля. Несколько позднее на зараженных листьях с верхней или нижней стороны (при благоприятных условиях - с обеих сторон) появляются уже хорошо заметные пятна с белым мучнистым налетом, состоящим в основном из паутинистого мицелия и конидий. Инкубационный период возбудителя болезни составляет от 5 до 20 дней. За лето у возбудителей болезней может быть несколько генераций конидий, которые заражают листья нередко в течение всего лета.
При наличии в культурах источников ближней инфекции рассеивающиеся из клейстотециев аскоспоры вызывают первичное заражение культур дуба. Выпадение осадков - важное условие для раскрывания перезимовавших клейстотециев и для первичного появления мучнистой росы. Конидии успешно развиваются как при влажной, так и при сухой погоде. При частых и сильных дождях из-за смыва конидий с листьев распространение гриба задерживается. При отсутствии в культурах дуба ближней инфекции они заражаются, как правило, только конидиями, заносимыми ветром. В этом случае признаки болезни появляются позднее обычного максимально на 1 мес. Теплая и влажная погода летом способствует распространению и развитию болезни.
Меры защиты от болезни. Запретить пастьбу скота в молодняках дуба, создавать смешанные культуры и проводить меры ухода. Своевременно осуществлять мероприятия по предупреждению массового размножения листогрызущих насекомых. При расчете на порослевое возобновление рубку проводить в осенне-зимний период, тогда побеги на пнях появляются раньше и менее повреждаются мучнистой росой. Для борьбы с болезнью рекомендуется опрыскивание дуба байлетоном в 0.3...0.4%-х концентрациях или коллоидной серой (1.5...2%-й). Начало обработок - появление редкого мицелия гриба на листьях, примерно в начале июня. Обычно проводят 3...4-кратное опрыскивание с интервалами в 15 дней, но не позднее начала августа. Химическая защита целесообразна на участках, прилегающих к молодым полезащитным полосам, в полосах и ценных участках для лучшего сохранения побегов, образующихся в первый и второй годы после рубки, а также в случаях угрозы сильного поражения мучнистой росой после повторного объедания их насекомыми.
4.1.12. Пятнистость листьев. Болезнь характеризуется появлением на поверхности листьев пятен различной величины, формы и цвета. При сильном развитии болезни листья засыхают и опадают. Возбудители болезни зимуют на опавших листьях.
Антракноз дуба вызывает гриб Gloeosporium quercinum West. Болезни подвержены листья в культурах.
Признаки болезни появляются на листьях в конце июня - начале июля в виде больших зеленовато-коричневых, позднее коричневых или бурых пятен неправильной формы. На пораженных листьях образуются спороношения возбудителя болезни, имеющие вид маленьких (вначале желтых, затем коричневых) подушечек - ложе с конидиеносцами гриба. Пораженные листья преждевременно засыхают и опадают.
Септориоз дуба вызывает гриб Septoria quercina Desmaz., поражающий листья.
Признаки болезни можно обнаружить на листьях в конце июня - начале июля в виде пятен сероватого цвета с широким темным ободком. На пораженных листьях образуются пикниды гриба.
Светло-коричневую пятнистость листьев вызывает гриб Phyllosticta quercus Sacc. et Speg., поражающий листья дуба.
Признаки болезни наблюдаются на листьях в виде светло-коричневых пятен, ограниченных тонкой красновато-коричневой каймой. На пораженных листьях образуются черные пикниды.
Антракноз липы, вызываемый грибом Gloeosporium tiliae Oud., - одна из наиболее распространенных болезней в молодых культурах.
Признаки болезни появляются на листьях, чаще всего в июне - начале июля, в виде неправильных, нередко сливающихся, охряных или светло-желтых пятен, ограниченных темной каймой. На пятнах, жилках или вблизи жилок листьев встречаются бурые или темно-коричневые подушечки - конидиальные спороношения. При поражении побегов образуются черноватые пятна, в центре которых ткань становится серой, позднее образуется язва.
Черно-бурую пятнистость липы вызывает гриб Cercospora microsora Sacc., являющийся конидиальной стадией сумчатого гриба Mycosphaerella millegrana (Cooke) Schroet. Болезни подвержены листья липы в культурах и молодняках. Признаки болезни появляются на листьях чаще всего в июне - начале июля в виде мелких темно-бурых пятен, которые со временем в центре бледнеют, принимая охряно-желтый цвет. На этих пятнах встречаются пучки оливковых конидиеносцев.
Септориоз березы вызывает гриб Septoria betulae West. Поражаются листья, на которых в мае-июне появляются пятна, вначале очень мелкие, темно-коричневые или почти черные, позднее охряные, округлые. На пораженных листьях образуются шарообразные пикниды.
Бурую пятнистость листьев вяза вызывает гриб Cylindrosporium ulmi (Fr.) Vassil. Поражение листьев в виде мелких, угловатых пятен желтоватого цвета. Позднее пятна становятся бурыми, нередко сливаются, захватывая почти всю листовую пластинку. На листьях появляются спороношения гриба, имеющие вид желтовато-бурых или коричневых подушечек.
На листьях развивается также и пикнидиальная стадия, известная как Phyllosticta bellunensis Mart. Пикниды многочисленные, черные.
Серую пятнистость листьев вяза вызывает гриб Phyllosticta lacerans Pass. Признаки болезни появляются чаще всего в июне в виде неправильных, серовато-коричневых и серых, нередко продырявленных пятен. Пятна часто сливаются, захватывая значительную часть листовой пластинки. Обычно в августе в местах поражения образуются редко расположенные бурые пикниды гриба.
Септориоз акации вызывает гриб Septoria caraganae Jacz. Died., являющийся конидиальной стадией сумчатого гриба Mycosphaerella jaczewskii Potebnia. Болезни подвержены листья взрослых растений желтой акации. Признаки болезни появляются в июле в виде мелких желтоватых пятен на верхней стороне листьев. Пикниды в виде черных точек образуются на нижней стороне листьев.
Меры защиты от пятнистости листьев. Для защиты особо ценных и декоративных пород в культурах рекомендуется для опрыскивания коллоидная сера в 0.5...1%-х концентрациях или бордоская жидкость (0.5...1%-я). Первую обработку проводят перед или при появлении признаков болезни. Опрыскивания повторяют 1...2 раза через 2...3 нед.
4.2. Болезни побегов, ветвей и стволов
4.2.1. Побеговый рак хвойных (склеродерриоз, "зонтичная болезнь", круменулез). Возбудитель болезни - сумчатый гриб Ascocalyx abietina (Lagerb.) Schlaepfer-Bernhard. Ранее широко употреблялись другие его названия: Gremmeniella abietina (Lagerb.) Morelet., Crumenula abietina Lagerb., Scleroderris lagerbergii Gremm. От последних были образованы такие употребляемые названия болезни, как склеродерриоз, круменулез. Часто встречается несовершенная (конидиальная) стадия гриба - Brunchorstia pinea (Karst.) Hohn., ранее называвшаяся Brunchorstia destruens Eriks. Болезнь распространена на северо-западе и в средней полосе Европейской части России. Гриб паразитирует более чем на 20 видах сосен, в их числе сосны обыкновенная, веймутова, кедровая сибирская, почти все интродуцированные виды сосен, поражает также 6 видов елей, кедр гималайский, лиственницу сибирскую, пихты сахалинскую и дугласову, независимо от почвенных условий их произрастания.
Первые внешние признаки болезни появляются через несколько дней после схода снега. Для 2...3-летних сеянцев (саженцев) в питомниках и молодых культурах сосны характерным диагностическим признаком поражения может служить зонтикообразно повисшая от верхушечной почки хвоя. Она жесткая, легко опадающая при соприкосновении, вначале желто-зеленая, позднее красно-бурая, светлая в основании. В очагах поражения хвоя выглядит примятой. Почки у пораженных растений засмолены, затем отмирают, как и камбий стволика. При выдергивании растения кора легко снимается "чулком". На обесцвеченной нижней части хвои у их основания, на однолетних побегах, реже на почках и коре усыхающих или усохших растений в течение вегетационного периода, иногда уже поздней осенью, появляется конидиальное спороношение гриба - пикниды, в виде черных округлых шероховатых бородавочек диаметром до 2 мм. В них созревает большое количество бесцветных серповидных с 2...5, чаще 3-мя перегородками, заостренных на концах конидий.
Сумчатая стадия возбудителя встречается редко - это апотеции черно-бурого цвета на короткой ножке, в зрелом состоянии блюдцеобразные с сумками и спорами, выступают из-под коры пучками. Вредоносность болезни в этом возрасте высока и растения чаще погибают, реже дают побеги из дополнительных почек.
У растений старше 5 лет, уже сформировавших четко выраженный стволик, при поражении хвоя имеет взъерошенный вид или флагообразно повисшая, верхушечные побеги деформированы (укороченные и утолщенные), с изогнутой и утолщенной хвоей.
На поверхности стволика - скопление пикнид, группами прорывающих кору. У сосен с диаметром побегов более 1 см болезнь может проявляться в виде некротических пятен сероватого цвета или опоясывающего некроза в различных частях ствола и ветвей. Изредка в виде локального, чаще вокруг сучков, ступенчатого некроза коры с последующим образованием раковых язв при многолетнем развитии болезни. На отмерших участках ствола довольно часто появляется конидиальное спороношение (пикниды) патогена, реже - апотеции, его сумчатая стадия. В случае отсутствия плодоношения гриба хорошим диагностическим признаком побегового рака может служить зеленовато-желтая до изумрудно-зеленой окраска древесины на продольном срезе в местах некроза.
В молодняках 15...20-летнего возраста у пораженных деревьев отмирают концы верхушечных побегов с характерным их утончением и опадением хвои и образованием плодоношений гриба. В средневозрастных, спелых и перестойных насаждениях признаки развития болезни те же. Кроны сосен из-за множества погибших побегов с побуревшей хвоей приобретают пеструю окраску. Низшие ветви отмирают полностью. В годы массового развития побегового рака отмирает более половины кроны, что ведет к снижению прироста и возрастанию опасности повреждения таких насаждений стволовыми вредителями.
Побеговый рак сосны - болезнь, имеющая очень широкое распространение в мире, в последние годы отмечается возрастание поражения болезнью. Наиболее ощутимый вред зарегистрирован в лесных питомниках и культурах сосны обыкновенной в Карелии, Татарстане, Марий Эл, в Ленинградской и Мурманской областях, случаи поражения в питомниках, молодняках искусственного и естественного происхождения в Коми, Архангельской, Вологодской, Калининградской и Ульяновской областях. Болезни наиболее подвержены культуры до 10...12 лет, созданные нерайонированными семенами.
Источниками инфекции являются пораженные посевы, культуры, молодняки. Заражение происходит как конидиями, так и аскоспорами. Конидии созревают в течение всего лета, массовый разлет приходится на май-июнь. Аскоспоры рассеиваются в июле-сентябре, наибольшая вероятность заражения ими в конце августа или начале сентября.
Основными факторами, снижающими устойчивость сосны к болезни, являются: сильные морозы, холодные и дождливые вегетационные периоды, задерживающие нормальное одревеснение побегов, недостаток микроэлементов или несбалансированность основных элементов питания в почве (NPK), затенение. Создание культур в пониженных местоположениях способствует постоянному воздействию на них туманов и заморозков, высокой густоте посевов и посадок. Использование зараженного посадочного материала также создает предпосылки для развития и распространения болезни.
Меры защиты от болезни. Профилактика болезни при создании культур заключается в выборе участков с ровным рельефом, следует избегать холодных сырых и тенистых мест, не рекомендуется посадка под пологом леса. При закладке лесосеменных плантаций и культур плантационного типа рекомендуется использовать семена и здоровый посадочный материал только местного происхождения, но допускается использование инорайонных семян в соответствии с "Лесосеменным районированием". Своевременное удаление пораженных деревьев и ветвей с лесокультурной площади. Проведение тщательных уходов. При сильном распространении болезни на молодых культурах - опрыскивание беномилом (0.15%-м) в период с июля по первую декаду сентября. Нормы расхода рабочей жидкости те же, что и при защите сосны от шютте.
На наиболее ценных объектах целесообразно проводить химическую защиту молодняков, используя технологию, применяемую на питомниках. Профилактическое опрыскивание с интервалами 20 дней, начиная с середины мая до середины сентября, водными суспензиями даконила в 0.3%-й, байлетона - 0.3%-й, дерозала - 0.4%-й, фундазола - 0.2%-й концентрации.
4.2.2. Склерофомоз сосны. Возбудитель - несовершенный гриб Sclerophoma pithyophila (Corda) v. Hohn. Гриб развивается на хвое и молодых побегах текущего года (на верхних мутовках). Болезнь, сравнительно недавно известная, отмечалась в Оренбургской и Ленинградской областях в лесных питомниках и культурах сосны.
Признаки болезни проявляются в течение всего вегетационного периода - с мая по октябрь. По внешнему проявлению выделяются три типа поражения:
1 - побеги принимают S-образную форму (как при сосновом вертуне), однако изменения их окраски не наблюдается. Иногда на таких побегах можно увидеть вытянутые до 1 см желто-бурые некротические (отмершие) участки. Хвоя при этом не имеет признаков поражения;
2 - пораженные побеги также деформируются, приобретают яркую ржаво-рыжую окраску и становятся стекловидными. Хвоя поражается полностью или частично, на ней образуются широкие бурые перетяжки, выше которых кончики хвоинок отмирают и буреют. Через некоторое время на этих побегах появляются вытянутые темно-бурого, затем сероватого цвета некротические участки, на которых хорошо заметны черные, овальные или округлые плодоношения гриба - пикниды, выступающие продольными рядами из трещин коры. В конечной стадии побеги или только их верхушки засыхают и чернеют. Побеги и хвоя сплошь усыпаны пикнидами гриба;
3 - в этом случае пораженные побеги приобретают золотисто-ржавую окраску, но не искривляются. Некротические участки на их поверхности небольшие, бурые. Характер отмирания хвои подобен 2 типу.
Склерофомоз поражает 2...3-летние сеянцы в питомниках и 4...12-летние чистые культуры сосны. В молодняках естественного происхождения пока не замечен. Вредоносность заключается в отмирании побегов, что при сильном и неоднократном поражении приводит к потере прироста в высоту и многовершинности.
Болезнь чаще встречается на песчаных и супесчаных почвах. Ее развитию благоприятствует теплая и засушливая погода. Источником инфекции являются отмершие побеги с плодоношениями возбудителя болезни, остающиеся на зараженных деревьях или опадающие осенью. Установлена также прямая связь поражения побегов склерофомозом с повреждением их насекомыми-побеговьюнами.
Меры защиты от болезни. В лесосеменных плантациях и плантационных культурах сосны рекомендуется проводить своевременную обрезку и уничтожение пораженных ветвей, поддерживать оптимальную густоту посадок.
4.2.3. Ржавчина побегов сосны (сосновый вертун). Болезнь имеет широкое распространение в питомниках, культурах и молодняках сосны естественного происхождения в Европейской части Российской Федерации и в некоторых районах Западной Сибири. Северная граница распространения ржавчины проходит по югу Мурманской обл. Возбудителем является двудомный ржавчинный гриб Melampsora pinitorqua (de By) Rostr. с несколькими стадиями развития на различных растениях-хозяевах. Весной и в начале лета (эцидиальная стадия) он развивается на молодых побегах различных видов сосен, в том числе сильно - на соснах обыкновенной, кедровой сибирской, веймутовой, приморской, итальянской, пицундской. Наиболее устойчивыми к болезни считаются сосны крымская, черная, Банкса, крючковатая, Муррея.
В конце лета - начале осени развитие гриба продолжается на листьях осины и некоторых видов тополей.
Гриб заражает только молодые побеги, когда они трогаются в рост, очищаются от кроющих чешуй, хвоинки едва выходят из влагалищ - в конце мая - начале июня. На зеленой коре молодых побегов появляются беловатые точки - спермогонии, через несколько дней они желтеют. Одновременно на свежих побегах и хвое образуются продолговатые, красновато-оранжевые вздутия (эции), которые скоро лопаются, разрывая покровные ткани, и из них высыпаются эциоспоры. Они разносятся ветром и заражают листья осины и тополя - летняя (уредо) стадия в виде мелких оранжевых порошащих подушечек. В конце лета - осенью на этих же листьях образуется осенняя стадия (телейто) в виде темно-коричневых коростинок (корочек). Зимует гриб на опавших листьях осины и тополя. Весной на опавших листьях образуется базидио стадия в виде золотисто-желтого налета, ею вновь происходит заражение побегов сосны, на которых в месте развития эций образуются бурые, засмоленные ранки; последние могут сливаться друг с другом и превращаться в незаживающие язвы. В этом месте побеги часто изгибаются в виде буквы S.
При сильном поражении у 2...10-летних (наиболее страдающий возраст) растений наблюдается гибель верхушечного побега, вследствие чего появляется многовершинность, что снижает прирост деревьев в высоту на 20...50%, уменьшает хозяйственную ценность сосны, особенно в плантационных культурах и лесосеменных плантациях. Сильное поражение сосновых молодняков вертуном наглядно проявляется на следующий год, когда отмершие побеги имеют бурую окраску.
На вырубках Европейского Севера (Карелия, Архангельская, Вологодская, Псковская и Ленинградская области) с участием осины в возобновлении распространение соснового вертуна может достигнуть 100% при сильном поражении растений.
Источниками заражения являются пораженные болезнью растения. Развитие болезни тесно связано с погодными условиями вегетационного периода. Вспышке болезни предшествуют годы с дефицитом влажности в течение вегетационного периода с суммой активных температур около 1000 °C или более при незначительных осадках, особенно в августе. Конец весны - начало лета (первичное заражение) должны быть теплыми и влажными с суммой температур воздуха не ниже 180 °C и суммой осадков более 50 мм. Показатели погоды ниже этих пределов приводят к умеренному развитию болезни или к ее затуханию.
Меры защиты от болезни. Для защиты культур от соснового вертуна рекомендуется:
пространственная изоляция плантационных культур и лесосеменных плантаций (до 300 м) от насаждений с участием осины и тополя;
подавление осины в период закладки культур и по мере появления ее поросли с помощью арборицидов путем базальной обработки или инъекции в ствол;
применение метода предупреждающего (за 2...3 года до вырубки древостоя) химического "подсушивания" осины с помощью арборицидов.
При средней степени поражения (балл 1.5, что соответствует более чем 50%-му поражению растений в обычных культурах и естественных молодняках сосны) экологически целесообразно применение химических мер защиты с использованием фунгицидов. Для лесосеменных плантаций и плантационных культур эти придержки в зависимости от ценности объекта и технических возможностей могут быть ниже. Проводится двукратное профилактическое опрыскивание верхних мутовок сосны водной суспензией 1...1.5%-го поликарбацина или 1%-й бордоской жидкостью. Первое опрыскивание проводится, когда тронувшиеся в рост молодые побеги начинают освобождаться от кроющих чешуек (в мае - начале июня), второе - через неделю после первого. При использовании системных фунгицидов - байлетона (0.1%-го), тилта (0.1%-го), витавакса (0.4%-го) достаточно одной обработки в первый срок.
4.2.4. Ржавчина побегов ели. Возбудитель - ржавчинный гриб Chrysomyxa woronini Tranz., известен как возбудитель "метел" багульника, на листьях которого развиваются его промежуточные (летняя и осенняя) стадии.
Болезнь не имеет широкого распространения, отмечалась на елях европейской, сибирской, колючей, пихте испанской в Европейской части России, в Карелии и Мурманской обл., в Западной и Восточной Сибири, на Камчатке. Встречается в школьных отделениях, в полезащитных полосах лесных питомников, в культурах и на подросте ели.
Гриб развивается на побегах текущего года. В конце весны - начале лета на молодой, только что появившейся хвое, при попадании на нее спор возбудителя образуются многочисленные оранжево-желтые, часто сливающиеся пузырьки (весенняя стадия спороношения гриба), содержащие большое количество спор, которые, разлетаясь, заражают листья багульника. Пораженные побеги ели на фоне зеленой кроны выделяются яркой окраской и имеют вид кисточки, так как междоузлия не вытягиваются и побеги прекращают рост, затем они отпадают.
Пока нельзя говорить о серьезности вреда, наносимого болезнью. Но при возможном массовом поражении необходимо уничтожать источники инфекции и проводить обрезку пораженных побегов.
4.2.5. Смоляной рак сосны (рак-серянка, пузырчатая ржавчина). Возбудители болезни - ржавчинные грибы Cronartium flaccidum (Alb. et. Schw) Wint. и Peridermium pini Kleb., вызывающие одинаковое по внешним признакам заболевание, но различающиеся по циклам своего индивидуального развития. Первый - разнохозяйный вид с весенней стадией на побегах сосны, а летней и осенней - на листьях травянистых растений: мытника болотного, марьянника полевого, очанки, лютиках и др. Второй имеет только весеннюю стадию на сосне.
У деревьев II класса возраста и старше болезнь обычно развивается в верхней половине ствола (на вершине) или на боковых ветвях, у более молодых - в любой части кроны и стволика, даже на шейке корня. При внедрении гриба происходит разрушение смоляных ходов, истечение смолы наружу и пропитывание близлежащих слоев древесины. Темные натеки и желваки смолы в зоне развития болезни на фоне светлой коры - верный диагностический признак болезни. В месте заражения рост древесины прекращается, в результате ствол принимает неправильную форму, образуются многолетние ступенчатые язвы длиной до 2 м. Хвоя у зараженных деревьев бледнеет, крона изреживается. Если рана "окольцовывает" ствол, то выше расположенная часть кроны отмирает.
На молодых растениях с тонкими стволиками и ветвями в месте внедрения гриба в начале лета образуется весенняя стадия (эции) гриба C. flaccidum яркого желтовато-белого до оранжевого цвета, пылящая при созревании спор летом.
На пораженных участках кора отшелушивается и отпадает, обнажая древесину. Зараженные деревья выделяются окраской хвои вначале желтовато-зеленого, по мере отмирания - красновато-бурого цвета. Если гриб окольцовывает стволик или ветвь, то усыхание выше места поражения происходит за 1...2 года.
Источниками инфекции являются деревья с образовавшимися ранами и плодоношением возбудителей в них.
Обычно поражаются двухвойные сосны 13 видов, чаще всего сосна обыкновенная по всему ареалу произрастания. Болезнь встречается в чистых молодняках с возраста 6...15 лет и старше. Снижение полноты насаждения способствует увеличению зараженности. Наибольшего распространения заболевание достигает в свежих и влажных типах леса, где обильно встречаются промежуточные растения-хозяева. При массовом распространении поражение достигает 25% с усыханием более половины пораженных деревьев.
Меры защиты от болезни. Для предотвращения массового распространения болезни в сосновых молодняках, особенно в лесостепных плантациях и плантационных культурах, необходим постоянный фитосанитарный надзор за состоянием насаждений с целью своевременной выборки пораженных деревьев, имеющих видимые признаки поражения - раны, язвы, смолоподтеки. Но при этом не снижать полноту ниже 0.7 за счет сохранения части лиственных пород. При закладке новых объектов создавать смешанные хвойные или хвойно-лиственные насаждения. При уходах за молодняками уничтожать травянистые растения - промежуточные хозяева болезни - механическим путем или с помощью гербицидов.
4.2.6.
Ценангиевый некроз сосны. Возбудителем болезни считается сумчатый гриб
Cenangium abietis (Pers) Duby. Роль его как возбудителя до конца не получила окончательной оценки. Согласно большинству мнений, он является слабым паразитом, развивающимся на живых, но угнетенных, отмерших по разным причинам или поврежденных красной сосновой галлицей побегах. Это заболевание зарегистрировано в Европейской части России, в Сибири, на Алтае на 10 видах сосен, в том числе обыкновенной, скрученной, веймутовой и др., а также пихте белой и ели канадской.
Встречается чаще на соснах в возрасте до 15...20 лет. Поражение начинается с отмирания верхушечной почки, затем оно захватывает главный побег или побеги боковых ветвей на нескольких мутовках. Обычно гриб заселяет 2...8-летние побеги и не развивается на более старых, имеющих толстую кору. На поверхности коры отмерших частей растения в начале лета появляются многочисленные скученные в небольшие группы темно-коричневые плодовые тела гриба - апотеции на слабо выраженной ножке, вначале шаровидные, затем кеглевидные, нередко сжатые с боков, во влажную погоду раскрывающиеся неправильными лопастями. По внешнему виду они очень похожи на плодовые тела возбудителя побегового рака (склеродерриоза), что затрудняет диагностирование болезни. Хвоя на пораженных побегах буреет и засыхает, опадая к середине лета. Болезнь приводит к суховершинности, редко к полному усыханию деревьев.
Причинами, способствующими ослаблению сосновых молодняков и последующему развитию в них этой болезни, могут быть неблагоприятные почвенно-климатические условия, в частности, повреждение побегов сильными морозами, особенно в условиях Севера, гербицидами при их неправильном использовании, насекомыми (побеговьюн и др.). Источником инфекции являются пораженные деревья с плодоношениями возбудителя.
Меры защиты от болезни. Массовое распространение болезни в культурах смогут предотвратить своевременные лесохозяйственные и санитарные уходы с удалением зараженных частей и деревьев, защита от насекомых - переносчиков инфекции.
4.2.7. Биаторелловый рак сосны. Возбудитель болезни - сумчатый гриб Biatorella difformis (Fr.) Rehm. Известна также его несовершенная (конидиальная) стадия - Biatoridina pinastri Golov. et Schzedr. Болезнь зарегистрирована в Европейской части России: в Карелии, Мурманской, Ленинградской и Воронежской областях, а также на Урале и в Сибири. Поражает сосновые молодняки, реже взрослые насаждения.
Внешне болезнь проявляется в образовании, обычно с северной стороны, на стволах и ветвях подроста раковых язв разных типов: в виде засмоленных вздутий возле сучка или его пенька в середине язвы или без него; в виде открытой раны с острыми краями и четко выраженной ступенчатостью в количестве от 3 до 20 шт. на одном дереве. На фоне светлой коры открытые язвы выделяются черно-бурой поверхностью. Язвы чаще сосредоточены в средней части ствола. Разрастаются они очень медленно, некоторые из них зарастают. На поверхности язв или по их периметру группами или поодиночке появляются плодовые тела сумчатой (апотеции) или конидиальной (пикниды) стадии гриба. Те и другие - в виде черных восковидных мелких бугорков.
Заражению деревьев способствуют трещины в коре, механические повреждения различного характера, повреждения насекомыми - большим сосновым долгоносиком, сосновыми смолевками и др.
Наибольшую опасность представляет для соснового подроста 10 лет и более, произрастающего в неблагоприятных лесорастительных условиях - в местах с избыточным увлажнением и под пологом леса, где поражение сосны болезнью может достигать 80...100%. Сосновый подрост может обламываться в местах крупных язв при сильном ветре, а при небольшом их количестве ослабляется, снижает прирост и усыхает.
Меры защиты от болезни. Меры борьбы с этой болезнью такие же, как и с ценангиевым некрозом (
п. 4.2.6.).
4.2.8. Язвенный рак сосны. Возбудитель - сумчатый гриб Lachnellula pini (Brunch.) Dennis. - считается слабым паразитом, поселяющимся на ослабленных растениях. Болезнь малоизвестна, встречается в сосновых молодняках естественного и искусственного происхождения, преимущественно I класса возраста. Заболевание зарегистрировано в Мурманской, Свердловской, Сахалинской областях, в Красноярском крае в культурах и на естественном возобновлении сосны обыкновенной, кедровой сибирской и кедровой стланниковой на вырубках с белыми кустистыми лишайниками (р. кладония) в напочвенном покрове.
В результате развития болезни на пораженных растениях в основании ствола, редко выше 15...20 см от земли, образуются скрытые с натеками смолы и открытые ступенчатые раковые язвы. Весной, сразу после таяния снега, участки ствола, где развивался гриб, покрыты белым, довольно густым мицелием. На засмоленной поверхности скрытых раковых ран образуются чашевидные апотеции на короткой ножке, снаружи коричневые, внутри - ярко-оранжевые. В случае образования открытых язв апотеции располагаются по их периметру. Развитие болезни зависит от диаметра стволика и размера язв. Деревца высотой до 1.5 м и диаметром ствола у корневой шейки от 10 до 30 мм обычно отмирают в течение 1...2 лет. У сосенок с большим диаметром язвы могут зарастать, и последствия болезни мало отражаются на их дальнейшем росте.
Обычно распространение болезни наблюдается в пределах 10%, но имеются сведения более широкого распространения в зонах техногенного воздействия (до 25%). Источниками инфекции являются пораженные деревья с плодоношениями возбудителя.
Меры защиты от болезни. Мерами предотвращения распространения инфекции возбудителя болезни могут служить выборка усохших деревьев и деревьев с плодовыми телами и их уничтожение во время уходов за культурами.
4.2.9. Ступенчатый рак лиственницы (дазисцифовый рак). Возбудитель болезни - сумчатый гриб Dasyscypha (Lachnellula) Willkommii Hartig. Встречается на значительной части России на 8 видах лиственницы; наиболее восприимчивы лиственницы европейская и сибирская, устойчива лиственница японская. Отмечен также на сосне кедровой сибирской и пихте. Очаги болезни зарегистрированы в северо-западных районах Европейской части России, на Урале, в Сибири.
Поражаются растения всех возрастов, но наибольшую вредоносность болезнь оказывает в школах лесных питомников и молодняках естественного и искусственного происхождения до 30 лет, особенно выращиваемых далеко за пределами естественного ареала. Подвержены культуры в сухих типах сосновых лесов (лишайниковые, вересковые) и на избыточно увлажненных участках. Реже встречается на деревьях старшего возраста. Болезнь носит хронический характер, продолжаясь в зависимости от возраста деревьев от 3...5 до нескольких десятков лет. Развивается на молодых побегах и боковых ветвях. При сильном и многократном поражении деревья в возрасте до 5...7 лет могут погибнуть.
Характерными симптомами болезни можно считать вмятины или некротические пятна с припухшими краями на стволиках, часто расположенные вокруг почек или укороченных побегов. Кора в месте некроза буреет, отмирает, но не отпадает. Стволик принимает граненый вид. Позднее, при многолетнем развитии болезни, в местах некроза образуются скрытые под корой или открытые ступенчатые язвы. Вмятины и язвы встречаются обычно на более старых участках ствола и редко - на 1...2-летних побегах. Может встречаться также усыхание побегов текущего года, при внешне здоровой остальной части кроны с нормальной хвоей, затем постепенное (в период до 3 лет) отмирание кроны от периферии к стволу, с полным усыханием дерева на 4...5-й годы. На пораженных ветвях имеются некротические участки не только на коре, но и в поверхностных слоях древесины.
На коре отмерших побегов, или некротизированных пятнах и вокруг язв, нередко появляются плодовые тела возбудителя болезни (апотеции). При высокой влажности они имеют вид чашечки на короткой ножке, 2...4 мм в диаметре. Снаружи они снежно-белые, покрытые длинными волосками, внутренняя поверхность гладкая, ярко-оранжевая. В сухом состоянии плодовые тела раковинообразно скрученные.
Поражению лиственницы болезнью способствует ослабление ее жизнедеятельности комплексом факторов: несоответствующие условия местопроизрастания, повреждение насекомыми, поздние и ранние заморозки. Отмечена приуроченность болезни к регионам с морским или близким к нему климатом. Источниками инфекции являются пораженные деревья с плодоношениями возбудителя.
Меры защиты от болезней. Профилактика болезни должна включать:
подбор участков с хорошо дренированными и высокопроизводительными суглинистыми и супесчаными почвами при создании культур;
проведение санитарного ухода за молодняками (обрезка отмерших ветвей, уборка сухих или в сильной степени пораженных раком деревьев с плодовыми телами).
4.2.10. Ржавчинный рак пихты. Возбудитель болезни - ржавчинный разнохозяйный гриб Melampsorella cerastii Wint. Эцидиальная стадия его развивается на пихте. Уредо- и телейто-стадии - на растениях семейства гвоздичных: звездчатке, ясколке, мягковолоснике. Болезнь широко распространена в Сибири, на Кавказе, севере Европейской части России, Дальнем Востоке. Поражает пихту белую, кавказскую в насаждениях разного возраста, приводя к накоплению сухостоя и расстройству древостоя.
Болезнь проявляется обычно весной поражением молодых ветвей и побегов, на которых образуются муфтообразные утолщения. На следующую весну из почек зараженных побегов вырастает ведьмина метла с укороченной желто-зеленой хвоей. С середины лета на ней образуются эцидии, к осени хвоя усыхает и опадает. В последующие годы в местах поражения образуются новые побеги с эцидиями. Этот процесс может продолжаться до 20 лет. Из пораженных ветвей грибница проникает в ствол, где вызывает отмирание камбия, в результате чего на стволе образуются утолщения, покрытые корой с продольными трещинами. Кора растрескивается, опадает, обнажая открытую ступенчатую рану. Наросты появляются по всей длине ствола, нередко по несколько штук. Раны разрастаются медленно. Наиболее опасны развивающиеся в подкроновой части ствола. При распространении раны более чем на 1/2 окружности утолщения ствола деревья усыхают. Раны в других частях ствола или меньшего размера приводят к ослаблению и усыханию надраневой части кроны. Трещины в коре утолщений стволов являются местами проникновения грибов, вызывающих гниль древесины: чешуйчатки жирной, трутовика Гартига и т.д. Поражение ими способствует бурелому и снижению выхода деловой древесины.
Источниками инфекции являются пораженные части растения с плодоношениями гриба. Наибольшее поражение отмечено во влажных условиях, в чистых насаждениях и насаждениях с преобладанием промежуточных хозяев возбудителя.
Поражение ржавчинным раком приводит к росту численности стволовых вредителей в насаждениях пихты. Большую роль в окончательном отмирании пихтовников играет пихтовая смолевка (Pissodes piceae Hl.). Она поселяется на живых участках ствола вокруг раковых ран, увеличивая отмирающую часть ствола и ускоряя гибель деревьев.
Меры защиты от болезни. В очагах болезни следует проводить санитарные рубки с выборкой деревьев, у которых раны находятся под кроной - из категории "сильноослабленные", и свежезаселенных стволовыми вредителями.
4.2.11. Стволовые (раневые) гнили. Стволовые гнили составляют обширную группу грибных болезней древесных хвойных и лиственных пород. Многие из них имеют широкое распространение и большое хозяйственное значение. Поражение деревьев стволовыми гнилями, среди которых преобладают ядровые и ядрово-заболонные, прежде всего снижает выход деловых сортиментов, приводит к бурелому в насаждениях, вследствие чего усиливается размножение стволовых вредителей, увеличивается захламленность. Некоторые виды стволовых гнилей, особенно поражающие заболонь живых деревьев, приводят к их ослаблению и усыханию. При массовом развитии этих заболеваний насаждения постепенно изреживаются, что приводит к ухудшению условий роста оставшихся деревьев.
Стволовые гнили весьма разнообразны по специализации возбудителей, особенностям развития и диагностическим признакам.
Стволовые гнили обычно приурочены к более старшим возрастам древостоев - периоду образования ядровой древесины. Но первые зараженные деревья могут появляться к 40 годам. Это характерно для таких возбудителей, как сосновая губка (Phellinus pini (Thore ex Fr.) Pil.), вызывающая пеструю ядровую гниль хвойных; чешуйчатка жирная (Pholiota adiposa Fr.), вызывающая бурую деструктивную ядровую гниль; дубовая губка (Daedaleae quercina (L.) Fr.), вызывающая темно-бурую смешанную гниль дуба и бука; ложный трутовик (Phellinus igniarius (L. ex. Fr.) Qnel.), вызывающий белую ядровую гниль лиственных пород; грибы рода Stereum, вызывающие светлые заболонные гнили.
Источниками болезни являются плодовые тела на пораженных частях деревьев.
Заражению деревьев и развитию в них стволовых гнилей способствуют всевозможные повреждения ствола, обнажающие древесину или ведущие к отмиранию отдельных участков коры (облом ветвей, ошмыги и т.д.). Иногда стволовые гнили развиваются на фоне некрозно-раковых заболеваний, являясь в таком случае типичным примером сопряженных болезней.
Меры защиты от болезней. Для предотвращения массового распространения гнилей в молодняках и культурах рекомендуется соблюдение санитарных правил ухода за ними. Для предотвращения механических повреждений стволов при рубках ухода нужно применять щадящие технологии. Чтобы уменьшить опасность возникновения морозобойных трещин, рекомендуется оставлять или создавать густые опушки. Необходимо проведение биотехнических мероприятий по регулированию численности копытных животных для уменьшения угрозы повреждения ими стволов и молодого подроста.
Важно также создание смешанных хвойно-лиственных культур с правильным подбором и размещением пород.
4.2.12. Антракноз лиственных. Болезнь вызывается грибом Gloesporium tiliae Oud. Поражает листья и молодые побеги растений любого возраста, чаще у липы, дуба, ивы и других пород. Первые признаки болезни можно обнаружить в июне - начале июля, когда на стволах появляются черноватые пятна, в центре которых ткань становится серой, позднее образуется язва. В это же время листья покрываются неправильными, сливающимися охряными или светло-желтыми пятнами с темной каймой. На пятнах, жилках и вблизи них появляются бурые или темно-коричневые подушечки конидиального спороношения гриба. Он образует макроконидии (продолговатые, яйцевидные или эллипсоидальные, бесцветные) и микроконидии (палочковидные, бесцветные).
Источниками инфекции являются пораженные части растений с плодоношениями возбудителя, особенно зимующая на листьях стадия. Заражению деревьев грибом способствуют общее физиологическое ослабление и погодные условия вегетационного периода, затягивающие процесс одревеснения молодых побегов.
Меры защиты от болезни. В особо ценных насаждениях рекомендуется проводить обработки пораженных растений коллоидной серой в 0.5...1%-й концентрации, цинебом (0.7%-м) или бордоской жидкостью (0.5...1%-й) с целью профилактики или при появлении первых признаков болезни. Обычно проводят 1...2 обработки с интервалом в 2...3 нед.
4.2.13. Голландская болезнь ильмовых (графиоз). Возбудитель - сумчатый гриб Ceratocystis ulmi (Buism.) Morean (конидиальная стадия - Grapnium ulmi Schwarz.). Гриб поражает только ильмовые породы, разные виды которых неодинаково устойчивы к болезни, наиболее восприимчивы берест и вяз гладкий. Распространение - по всему ареалу породы; повреждаются насаждения, полезащитные полосы, городские насаждения. Болезнь проявляется в острой или хронической форме, чаще в насаждениях от 10 до 40 лет. При острой форме деревья усыхают быстро, за один вегетационный сезон или месяц. Усохшие листья в кроне таких деревьев часто даже не изменяют окраску. На поперечных срезах стволов и ветвей усохших деревьев пораженные сосуды заметны в виде сплошных темно-бурых колец.
Чаще встречается хроническая форма болезни, при которой деревья болеют и усыхают в течение нескольких лет. Усыхание начинается с верхней части кроны и распространяется вниз. Отдельные побеги при усыхании приобретают крючкообразную форму, листья при этом окрашиваются в красно-бурый цвет, свертываются вдоль средней жилки и повисают в виде флажков. Пораженные сосуды на поперечных срезах стволов и ветвей заметны в виде отдельных темно-бурых точек или прерывистого кольца. Потемнение сосудов происходит вследствие закупорки их мицелием гриба, тиллами, камедеообразными веществами, а также под действием токсинов гриба. У возбудителя болезни в цикле развития образуются сумчатая стадия и несколько типов конидиальных спороношений.
Источником инфекции служат споры гриба, которые переносятся ветром, дождем, насекомыми, особенно заболонниками. Роль последних в переносе инфекции настолько велика, что быстрота распространения болезни, образование очагов и их рост тесно связаны с численностью этих короедов. Инфекция также передается от пораженных материнских растений пневой поросли к корневым отпрыскам, приводя к их усыханию в ближайшие 2...3 года. Массовому распространению спор гриба и заражению деревьев благоприятствует теплое влажное лето, но интенсивному усыханию деревьев в очагах голландской болезни способствуют летние засухи.
Меры защиты от болезни. В очагах голландской болезни для предотвращения дальнейшего ее распространения проводят выборочные и сплошные санитарные рубки. Выборочные назначаются в случае расположения пораженных деревьев небольшими группами, рубка которых не приведет к расстройству насаждений. Все порубочные остатки (кору, щепу, ветви) сжигают. Если рубки осуществляют в летнее время, то необходимо антисептировать пни пораженных деревьев. Для профилактики очагов болезни следует создавать смешанные насаждения ильмовых с дубом, ясенем и другими породами в составе. Использовать посадочный материал, полученный от устойчивых форм. Важно своевременно проводить борьбу со стволовыми вредителями в возникающих очагах болезни.
4.2.14. Вертициллезное увядание лиственных (вилт). Болезнь вызывается гифальным грибом Verticillium dahliae Kleb. Гриб поражает многие виды клена, дуб, ильмовые и другие породы. Особенно сильно поражается клен остролистный. Болезнь встречается в питомниках, культурах и насаждениях юго-востока Европейской части Российской Федерации. Внешним признаком поражения в начальной стадии является ажурность кроны вследствие уменьшения числа и размера листьев. Затем происходит усыхание отдельных ветвей, всей кроны. Появляются многочисленные водяные побеги, которые тоже усыхают. Часто деревья усыхают внезапно среди лета или не распускаются весной. Кора на усохших деревьях опадает. Древесина пораженных деревьев приобретает зеленоватый или оливковый цвет. Заражение дерева происходит чаще всего в области комля. В местах внедрения возбудителя развиваются грибница и микросклероции, представляющие собой кучки хламидоспор и сохраняющиеся в растительных остатках в течение нескольких лет.
Источниками инфекции являются пораженные части растения с образовавшимися хламидоспорами возбудителя и сохраняющимися длительное время. Развитию болезни способствует теплая влажная погода. Усыхание деревьев происходит за 1...4 года, реже за более длительный период.
Меры защиты от болезни. Профилактической мерой предотвращения болезни является недопущение закладки питомников и культур на площадях, вышедших из-под подсолнечника и пасленовых культур. Использование только здорового посадочного материала. Распространение болезни можно ограничить своевременной уборкой больных деревьев в культурах и насаждениях. Оставшиеся после рубки пни пораженных деревьев рекомендуется антисептировать. Вводить в состав культур клена другие породы, устойчивые к болезни.
4.2.15. Сосудистый микоз дуба (трахеомикоз). Возбудителями болезни являются грибы Ceratocystis roboris Gearget Teod. (конидиальная стадия - Hyalodendron roboris и Graphium roboris), Ceratocystis valachicum Georg. et. Teod. (конидиальная стадия - Rhinotrichum valachicum Georg. et. Teod.) и Verticillium kubanicum Scz-Parf. Эти грибы могут развиваться отдельно или совместно на одном дереве, но в разных его частях. Поражается дуб всех возрастов, но наиболее восприимчивы сеянцы 1...3 лет. Болезни характерна очаговая острая, но чаще хроническая формы. Грибами поражаются сосуды заболони, которые закупориваются плодовыми телами и мицелием. Нарушается водоснабжение растения, крона становится ажурной. Листья увядают и мельчают, желтеют, долго не опадают, иногда не меняя окраски. Характерные внутренние признаки болезни - прерывистое или сплошное побурение, почернение сосудов заболони. На поперечных срезах они заметны в виде темных (черных) сплошных или прерывистых колец или точек; на продольных - в виде тонких штрихов. Спороношения возбудителей болезни могут появляться на пораженной древесине поверхности пеньков (через 10 дней и более после срезания), на внутренней поверхности отстающей коры, а также на заболони.
Основными источниками болезни в питомниках являются желуди, которые заражаются еще на деревьях и при хранении. Спустя 3 месяца после посева желудей инфекция проникает в корни, а через год - в стебли. В культурах и насаждениях взрослого возраста болезнь переносят стволовые и листогрызущие насекомые, а источниками инфекции являются пораженные деревья. Болезнь поражает дуб в различных типах лесорастительных условий на юго-востоке России, но наибольшее распространение имеет в естественных поймах, где высокая влажность воздуха и почвы. Массовому развитию болезни способствуют почвенные и атмосферные засухи, вызывающие ослабление дуба.
Меры защиты от болезни. К профилактическим мерам относится хранение желудей при температуре 2...3 °C, при которой возбудитель не развивается. Предпосевное протравливание желудей ТМТД (5 г/кг) или беномилом (5 г/кг). Нельзя использовать для посева желуди из очагов болезни. В очагах сосудистого микоза производить выборку усохших и усыхающих деревьев с признаками болезни. Пораженные пни окорять и антисептировать. Порубочные остатки сжигать. Проводить борьбу со стволовыми и листогрызущими вредителями дубрав.
4.2.16.
Некрозы дуба. Группа болезней, вызываемых различными грибами, поражающими дуб в культурах и насаждениях разного возраста. Широко распространены в пределах ареала дуба.
Клитрисовый некроз - возбудитель гриб дискомицет Clithris quercina (Pers.) Rehm. Образует ленточный или круговой некроз на стволах и ветвях дуба. Пораженная кора сначала становится красноватой, а после отмирания приобретает желтовато-белесую окраску, некротические участки четко отграничиваются от здоровой коры. В лесной зоне болезнь чаще поражает нижние отмирающие ветви. В степной и лесостепной зонах, особенно в засушливых условиях роста, болезнь вызывает ослабление и усыхание культур до 20-летнего возраста (до 40%). Источником инфекции являются пораженные деревья и неубранные порубочные остатки.
Черный немоспоровый некроз дуба. Возбудитель - гриб пиреномицет Naemospora creceola Sacc (сумчатая стадия Diatrype stigma (Hoffm. Wint.). В начальной стадии развития болезни кора в местах поражения приобретает красноватую окраску. Позднее в отмирающей коре образуется конидиальная стадия возбудителя - ложа. Ложа имеют вид округлых пятен диаметром до 3 мм, желтоватого цвета с темной каймой. В центре пятен хорошо заметны красные капельки или жгутики застывающей массы конидий. Через 2...3 года в толще отмершей коры развивается строма, часто окольцовывающая стволики. Она имеет плоскую форму, толщину до 2 мм, цвет желто-бурый, покрыта многочисленными поперечными и продольными трещинами.
Источниками инфекции являются пораженные деревья и неубранные порубочные остатки. В лесной зоне болезнь встречается на тонких ветвях в нижней части кроны, а также на сильно ослабленных деревьях. В засушливых условиях степной и лесостепной зон сильно поражаются (до полного усыхания) культуры дуба до 25-летнего возраста.
Нуммуляриевый некроз дуба. Болезнь вызывается грибом пиреномицетом Nummularia bulliardii Tub. Гриб поражает стволы и толстые ветви деревьев, вызывая их ослабление и усыхание. Видимые признаки болезни проявляются только через несколько лет после заражения. В толще пораженной коры, часто по всей длине ствола, образуются толстые (до 3 мм), овальные, подушковидные стромы, достигающие 1...6 см ширины и 2...40 см длины. Вначале они имеют табачный цвет и мажущуюся консистенцию, позже становятся черными, углистыми.
Источниками инфекции являются пораженные части растений. Чаще болезнь развивается в культурах и насаждениях, уже ослабленных по какой-либо причине, что ускоряет процесс усыхания. Наибольшее распространение болезнь имеет на юго-востоке Европейской части России и Северном Кавказе.
Виллеминиевый некроз дуба. Возбудитель - базидиальный гриб Vuilleminia comedens Mai Z. На пораженных ветвях и стволах под эпидермисом образуются распростертые плодовые тела возбудителя, имеющие вид желтовато-серых восковидных пленок толщиной до 1...1.5 мм. Гриб вызывает белую заболонную гниль.
Источниками инфекции являются плодовые тела гриба на пораженных частях деревьев. В лесной зоне гриб поражает нижние отмирающие ветви, способствуя самоочищению ствола. В засушливых условиях степной зоны встречается в предварительно ослабленных насаждениях, часто в очагах сосудистого микоза, приводя к более быстрому усыханию деревьев.
Меры защиты от некрозных болезней сводятся к снижению запаса патогенной инфекции путем выборки усыхающих деревьев с плодовыми телами возбудителей, с сильными признаками поражения. В особо ценных насаждениях целесообразно проводить обрезку больных и усохших ветвей. При уходах за культурами следует избегать большого количества механических повреждений, через которые проникает возбудитель.
4.2.17. Цитоспоровые некрозы (бурый и черный) тополя и осины. Возбудителями болезни являются несовершенные грибы из рода Cytospora. Заболеванию подвергаются разные виды и гибриды тополей и осина в маточных плантациях, школах, культурах, аллейных посадках и взрослых плантациях. Болезнь приводит к сплошному или куртинному усыханию. Наиболее подвержены растения в первые годы посадки в плантациях и школьных отделениях при общем их ослаблении и усыхании побегов. На пораженных стволах образуются овальные язвы и круговые некрозы. В пораженной коре развивается черно-бурая грибковая ткань с пикнидами - мелкими бугорками.
Бурый цитоспороз - возбудитель гриб Cytospora chrysosperma (Rers.) Fr. - поражает кору побегов, медленно распространяясь в ней по лубу. Наружная часть коры окрашивается в красно-бурый цвет. Черный цитоспороз - возбудитель - гриб Cytospora foetidae Vl. et. Rr. - поражает стволики и побеги тополей. Кора и наружные слои заболони окрашиваются в зелено-бурый цвет. Снаружи цвет коры изменяется нечасто.
Источниками инфекции являются пораженные деревья. Заражение осуществляется спорами, которые распространяются дождем, ветром, насекомыми, с посадочным материалом. Споры, выходящие из пикнид в виде оранжево-красных капель или жгутиков, в массе образуются весной (май - начало июня) и осенью (конец августа - сентябрь).
При осеннем заражении деревья поражаются сильнее, чем при весеннем, так как низкие температуры более благоприятны для развития возбудителя, чем для растения. Воротами инфекции на маточных плантациях и в школах служат длинные пеньки, остающиеся при обрезке черенков, механические повреждения при уходах, морозобойные трещины и др. Для болезни характерен скрытый период в течение первого года поражения, что способствует переносу инфекции на новые площади при использовании скрытозараженных побегов. Возбудители цитоспороза зимуют в стадии пикнид, в виде мицелия, не теряя при этом патогенности.
Устойчивость отдельных видов и форм тополей зависит от условий их роста. Гриб развивается активнее, если черенки высажены в сухую или холодную землю или подсушены при хранении.
Меры защиты от болезни. Основная мера профилактики болезни - подбор для выращивания видов и сортов тополей с хорошим ростом и наибольшей устойчивостью к возбудителю. Заготовку прутьев рекомендуется производить ранней весной в год посадки со здоровых маточных кустов. При нарезке черенков нижние части прутьев уничтожают, так как они могут содержать значительный запас скрытой инфекции цитоспороза. Следует проводить предпосадочную химическую обработку черенков для ликвидации скрытой инфекции цитоспороза и иммунизации саженцев в первые годы после посадки. Нарезанные черенки замачивают в течение суток в суспензии фентиурама (0.3...0.5%); высаживают черенки без промывки. Возможно проведение весеннего или позднелетнего опрыскивания школ и молодых культур в сильных очагах цитоспороза хлорокисью меди при норме расхода 2...8 кг препарата на 1 га. Расход рабочей жидкости на 1 тыс. 1...3-летних саженцев в школах и культурах - от 150 до 300 л.
4.2.18. Гистерографиевый некроз ясеня. Возбудитель болезни - гриб дискомицет Hysterographium fraxini (Pers.) De Not. На пораженных стволах и толстых ветвях образуются некротические участки длиной 0.5 м и более. При поражении тонких ветвей и побегов развиваются круговые некрозы. Вначале кора в местах поражения краснеет, позже некротические участки становятся желтовато-белесыми и покрываются мелкими продольными и поперечными трещинами. На светлых отмерших участках коры хорошо заметны апотеции возбудителя, имеющие вид черных выпуклых эллипсоидальных образований до 3 мм длиной.
Болезнь поражает преимущественно порослевые насаждения I...II классов возраста, особенно в неблагоприятных условиях роста, где нередко приводит к полному их усыханию. Сильнее поражаются изреженные насаждения. Источниками инфекции являются пораженные части деревьев с плодоношениями возбудителя.
Меры защиты от болезни. Меры борьбы общие для некрозно-раковых болезней (см.
4.2.16).
4.2.19. Нектриевый некроз лиственных. Возбудитель болезни - сумчатый гриб Nectria cinnabarina Fr. (конидиальная стадия - Tubercularia Yulgaris Tode). Поражаются почти все лиственные породы, в том числе клен, тополь, ясень, береза, липа, каштан, многие кустарники в умеренной зоне Европейской части России. На пораженных стволах и ветвях образуются ярко-розовые подушечки конидиальных стром, выступающих продольными рядами из трещин коры. Позже стромы темнеют, приобретая кирпично-красную окраску. В них формируются спороношения возбудителя (перитеции), которые могут развиваться в течение всего года. Споры разносятся дождевой водой и насекомыми. Гриб проникает в ткани дерева через трещины в коре, места облома сучьев, различные механические повреждения. Может поражаться также сосудистая система дерева, древесина приобретает при этом темную окраску. Болезнь приводит к усыханию сильно пораженных деревьев.
Источниками инфекции являются пораженные части деревьев с плодоношениями возбудителя. Болезнь широко распространена в городских насаждениях и развивается на фоне предварительного ослабления деревьев, вызванного неблагоприятными почвенно-климатическими условиями, действием промышленных выбросов, отрицательным воздействием антропогенных факторов.
Меры защиты от болезни. Распространение болезни можно уменьшить, производя систематическую уборку пораженных усыхающих и усохших деревьев, обрезку пораженных ветвей (с плодовыми телами). При уходе за культурами следует избегать механических повреждений стволов деревьев.
4.2.20. Дотихициевый некроз тополя. Возбудитель болезни - несовершенный пикнидиальный гриб Dothichiza populea Sacc. et Briarol. (сумчатая стадия - Cryptodiaporthe populla (Sacc.) But.). Болезнь поражает все виды и гибриды тополей. Гриб развивается в коре стволов и ветвей, вызывая образование локальных или круговых некрозов, реже - раковых ран. Вначале на коре стволов и ветвей появляются вдавленные некротические участки овальной формы до нескольких сантиметров в диаметре. Они образуются по всей длине стволов и побегов, но чаще всего в местах прикрепления ветвей к стволам побегов. На живых стволах и ветвях пораженные участки выделяются более темным цветом, после отмирания приобретают желтоватый цвет. Вокруг некротизированных участков образуются валики каллюса толщиной несколько миллиметров. Постепенно отдельные некротические участки сливаются, окольцовывая весь ствол или ветвь. При поражении толстых стволов грибница распространяется в тканях дерева в течение 2...3 лет, вследствие чего на них развиваются раковые раны. Пораженные деревья имеют ажурную крону с мелкими листьями, на стволах образуются многочисленные водяные побеги. На отмирающих и отмерших участках коры весной образуются пикниды гриба в виде бугорков до 2 мм в диаметре, расположенные чаще всего продольными рядами, реже - беспорядочно. Зрелые споры в них сохраняются большую часть года, однако массовое их созревание происходит в первой половине вегетации. При сильном поражении во время массовой споруляции (весной) стволы становятся белесо-серыми от массы тяжей выходящих спор.
Заражение деревьев может происходить с апреля по сентябрь. Споры разносятся дождевой водой и насекомыми. Возбудитель проникает в ткани дерева через различные повреждения, но способен проникать и через естественные ворота инфекции: чечевички, основания почек, места соединения побегов, трещины у основания ветвей и сучьев. Наибольшее распространение болезнь имеет в центральных областях Российской Федерации.
Меры защиты от болезни. Появление болезни можно предотвратить, соблюдая некоторые профилактические меры - создание маточных плантаций, школ и культур в оптимальных для них условиях роста и развития, а также использование только здорового посадочного материала. При посадке и уходах избегать механических повреждений стволов. Подбор устойчивых видов и гибридов тополя.
4.2.21. Раковые болезни лиственных. Группа болезней, представляющая собой медленно протекающие поражения коры, луба, камбия, древесины. Раковые болезни чаще всего вызываются грибами, бактериями, реже - абиотическими факторами. Внешним проявлением болезни является образование на стволах и ветвях язв, ступенчатых ран или опухолей. В зависимости от характера поражения различают несколько типов раковых болезней: язвенный, ступенчатый, смоляной, опухолевидный и мокрый рак. Раковые болезни поражают хвойные и лиственные породы, вызывая их ослабление и усыхание. Чаще раковые заболевания появляются в насаждениях II...III классов возраста.
Нектриевый рак. Возбудитель - сумчатый гриб Nectria galligena Bres. Болезнь поражает клен, бук, дуб, плодовые породы. Заражаются деревья через различные повреждения коры и обломы старых сучьев. Мицелий распространяется в коре, убивая камбий и вызывая отмирание древесины. Под действием возбудителя окружающие рану здоровые ткани начинают усиленно разрастаться и образуют наплыв в виде валика. На следующий год наплыв отмирает, а вокруг него образуется новый валик, и так происходит длительное время. Рана увеличивается в ширину и длину, пока не окольцует ствол. Пораженная кора отпадает, обнажая древесину. На одном дереве может находиться по нескольку ран по всей длине ствола, в зависимости от чего дерево испытывает ослабление разной степени и усыхает. Болезнь распространена в лесной и лесостепной зонах, часто встречается в городских и лесопарковых насаждениях.
Эндоксилиновый рак ясеня. Возбудитель болезни - сумчатый гриб пиреномицет Endoxylina astroidea Fr. Болезнь широко распространена в юго-восточной части России. Заражению способствует ослабление древостоев в результате различных факторов. Зараженность увеличивается в изреженных насаждениях, на сухих склонах, участках с солонцовыми пятнами. Сильнее поражаются порослевые насаждения. Заражение происходит через отмершие сучья, преимущественно в нижней части ствола. Ежегодно разрастаются, образуя вокруг ранее отмерших участков наплывы в течение 7...10 лет, которые могут достигнуть в длину 0.7 м и охватить 2/3 окружности ствола. Под отмершей корой образуется темная, почти черная строма. Позднее кора и частично строма опадают, обнажая темную с поперечными трещинами древесину.
Цитофомовый рак ясеня. Возбудитель болезни - пикнидиальные несовершенные грибы Cytophoma pulchella (Sacc.) Gutn, C. pruinosa Sacc. Болезнь поражает ясень в возрасте от 7 до 15 лет. Наиболее сильно страдают порослевые насаждения (до 80%). Очаги болезни обнаружены в юго-восточных районах (Ростовская обл., Ставропольский край). Заражение происходит через листовые следы, старые сучья и различные повреждения коры. Зараженные тонкие ветви отмирают за один год без характерных внешних признаков поражения. В более толстых ветвях и стволах мицелий развивается в коре, доходит до камбия, не затрагивая древесину. В начале поражения образуются овальные вдавленные темные участки отмершей коры. Позже по краям таких участков появляются трещины, ограничивающие места поражения. Отмершая кора в центре раны как бы присыхает к древесине и очень долго не отпадает. В отмершей коре развивается строма возбудителя с многочисленными пикнидами. Снаружи они заметны в виде очень мелких темных бугорков. Из пикнид выходят споры в виде грязно-зеленоватых тяжей, которые распространяются посредством ветра, воды и насекомых. Обычно на одном стволе образуется несколько ран, ежегодно медленно разрастающихся. Гриб поражает стволики небольших диаметров, поэтому даже при медленном разрастании ран происходит быстрое усыхание деревьев.
Гипоксилоновый рак осины и тополя. Возбудитель - гриб пиреномицет Hypoxylon pruinatum (Fr.). Болезнь широко распространена по всему ареалу осины, вызывает усыхание деревьев II...IV классов возраста в естественных насаждениях и городских посадках. Гриб поражает кору, камбий и древесину стволов и ветвей. Вначале кора в местах поражения слегка краснеет, вздувается, трескается, и из трещин вытекает белесая жидкость. Через 3 года после заражения в толще коры развивается черная мажущаяся строма. Споры проникают в ткани дерева через различные повреждения коры. Мицелий так быстро распространяется в тканях дерева, что наплывы вокруг пораженной части не успевают образовываться, поэтому раны не имеют ясно выраженной ступенчатости. Скорость распространения мицелия вдоль ствола значительно больше, чем по окружности, вследствие чего раны достигают длины 1.5...2 м. Они образуются в средней, реже в нижней части ствола. В зависимости от этого болезнь приводит к частичной сухокронности или гибели деревьев. Пораженные деревья сильно подвержены бурелому.
Рак ильмовых пород. Возбудитель - несовершенный гриб Steganosporium compactum Sacc. Поражаются все виды ильмовых, особенно вяз перистоветвистый. Болезнь вызывает усыхание ильмовых в питомниках, культурах, лесозащитных полосах, особенно на сильно загущенных участках. Пораженность может достигать 95%, наибольшее распространение отмечается в степной и лесостепной зонах. Гриб развивается на стволах и ветвях с тонкой гладкой корой, где образует круговые некрозы без изменения окраски пораженной коры. На более толстых ветвях и стволах, чаще в местах прикрепления сучьев, образуются локальные некрозы. При этом некротические участки вдавленные, овальной формы, более темные, чем здоровая кора. По краям вначале образуется валик каллюса, а позже - трещина. На одном стволе возникает до 7...8 ран, которые, разрастаясь, сливаются в одну (до 1.5 м и более длиной). Кора на старых ранах опадает, обнажая древесину.
Поперечный рак дуба. Болезнь вызывается фитопатогенными бактериями Pseudomonas guercus Schem. Поражаются разные виды дуба всех возрастов по всему его ареалу в различных типах лесорастительных условий.
На стволах и толстых ветвях пораженных деревьев вначале образуются гладкие опухоли, по мере роста деревьев они разрастаются, на них появляются глубокие поперечные трещины, а позже - раны с неровными отогнутыми краями. В местах образования опухолей стволы сильно деформируются, а выше и ниже их прирост древесины падает. В молодых насаждениях болезнь снижает выход деловой древесины и способствует бурелому. Особенно сильно страдают от заболевания насаждения порослевого происхождения. Молодые культуры при сильном поражении ослабляются, отстают в росте, а иногда усыхают. Через трещины в опухолях проникают споры дереворазрушающих грибов, которые, вызывая гниль древесины, еще больше снижают выход деловых сортиментов и приводят к бурелому.
Мокрый язвенно-сосудистый рак (бурое слизетечение) тополей. Возбудитель - бактерия Pseudomonas remifaciens Koning. Болезнь поражает разные виды и гибриды тополей начиная с 3-летнего возраста, особенно в центральных районах Европейской части России. Сильнее страдают бальзамические тополя и их гибриды. Наиболее устойчивы к мокрому раку белые тополя.
Первые признаки болезни появляются в конце апреля - начале мая. На стволах и ветвях с тонкой гладкой корой образуются округлые или овальные вздутия до 1...2 см в диаметре. При надавливании из них вытекает прозрачная жидкость, которая под воздействием бактерий приобретает бурый цвет. На стволах с более толстой трещиноватой корой таких вздутий не образуется, и первые признаки болезни обнаруживаются по наличию мокнущих пятен и подтеков на коре. Несколько позже на местах вздутий появляются продольные трещины. Пораженные участки постепенно разрастаются и за несколько месяцев приобретают вид типичной раны 3.0...3.5 см в диаметре. По краям ран образуются наплывы древесины толщиной до 2...3 мм. На одном стволе за один год может возникать до 10...25 ран, которые появляются по всей длине ствола. Разрастаясь, они сливаются в одну большую рану длиной до 1 м, нередко полностью окольцовывающую ствол. Чаще раны образуются на наиболее освещенных сторонах стволов. На следующий год на пораженных стволах возникают новые раны, которые к концу вегетационного периода тоже сливаются. В подобном случае деревья сильно ослабляются и за 3...4 года усыхают. На пораженных деревьях весной и осенью хорошо видны бурые потеки, часто в местах прикрепления сучьев; происходит также заметная деформация ствола из-за утолщений, образующихся с разных сторон ствола. Инфекция распространяется дождевой водой, насекомыми, при обрезке сучьев. Мокрый рак встречается в школах, культурах, городских посадках и лесозащитных полосах (90%). Наиболее сильно поражается тополь, ослабленный неблагоприятными условиями произрастания.
Источниками инфекции являются пораженные части растений с плодоношениями возбудителей. Споры распространяются ветром, дождевой водой, насекомыми. Развитию болезней способствует общее физиологическое ослабление деревьев. Наличие "ворот" инфекции на коре - механические повреждения, места обрезки сучьев.
Меры защиты от раковых болезней. Основные меры профилактики и борьбы заключаются в проведении санитарных рубок с выборкой сильно инфицированных деревьев; в соблюдении санитарных правил при проведении всех иных мероприятий. Распространение болезней можно ограничить созданием смешанных насаждений, подбором устойчивых видов и форм породы. По возможности исключать насаждения порослевого происхождения, заменяя их на семенные. В особо ценных насаждениях рекомендуется проводить мероприятия по индивидуальному лечению пораженных деревьев с применением системных препаратов и антисептиков. Предотвращать распространение стволовых вредителей - переносчиков болезни.
Для разнохозяйных возбудителей необходимо по возможности исключать соседство и обилие промежуточных хозяев, что значительно снижает инфекционный запас в насаждениях и культурах. При проведении рубок необходимо убирать из насаждения не только стволы, но и пни, порубочные остатки, являющиеся источником инфекции.
4.3.1. Гниль корней от корневой губки. Возбудитель - гриб базидиомицет Heterobasidion annosum Bref. Проблема корневой губки относится к числу экологических. Она возникла как следствие широкомасштабного создания монокультур хвойных пород на местообитаниях, не соответствующих экологическим потребностям этих пород, и переноса на эти объекты традиционно сложившегося режима лесовыращивания, без учета предрасположенности к поражению. Корневая губка является компонентом лесного биогеоценоза, нельзя ее уничтожить и исключить заражение отдельных деревьев. Источники инфекции корневой губки в виде спор, мицелия в корнях больных деревьев, естественного отпада, пней имеются во всех насаждениях в количестве, достаточном для заражения, независимо от их происхождения (естественное, искусственное), категории местообитаний, почвенных разностей.
Корневая губка поражает около 200 видов хвойных и лиственных древесных пород и кустарников. Гниль - ядровая или ядрово-заболонная, пестрая ситовая. Плодовые тела многолетние, неправильной формы, образуются в трещинах комля усохших деревьев и подроста, на корнях ветровальных деревьях - снизу в пустотах, иногда - на поврежденных деревьях, в норах землеройных животных, на срезах корней в канавах, на низко срезанных пнях. Распространение инфекции гриба происходит с помощью базидиоспор, конидий и грибницы. Гриб продуцирует огромное количество спор, которые распространяются ветром, насекомыми и животными, проникают в почву с осадками и вызывают заражение корней. Постилка является резерватом инфекции корневой губки.
Проникновение патогена в корни и заражение происходят в местах слабого развития луба (при тесном переплетении корней, их срастании в пределах одной корневой системы и между корневыми системами соседних деревьев) и в местах постоянного травмирования корней при раскачивании ветром (ответвления, изгибы корней). У ели и пихты заражение спорами происходит также через чечевички, трещины у основания ствола, раны на корневых лапах и стволе. Инфекция распространяется грибницей по древесине корней больных деревьев и заражает корни соседних здоровых. Срастание корней способствует этому распространению. Посредниками заражения являются пни, инокулированные спорами через их поверхность или корни.
Сильному поражению подвержены культуры на старопахотях и других нелесных землях. Особенностью развития гнили корневой губки в культурах сосны и ели I класса возраста, созданных на нераскорчеванных вырубках с высокой инфекционной нагрузкой, является острый характер течения болезни, когда деревья отмирают через 2...5 лет после заражения отдельных корней. В культурах хвойных пород II и III классов возраста болезнь носит хронический характер. Внешние признаки ослабления сосны (желтеющая хвоя, укороченный прирост) появляются уже при поражении 30...40% корней. Для пораженной ели характерны ажурность кроны, пожелтение хвои, смоляные желваки и язвы на стволах. На корнях и корневой шейке усохших растений при раскопках можно обнаружить плодовые тела корневой губки - кожистые коричневых оттенков корочки с белым трубчатым гименофором.
Визуальные признаки поражения насаждения: наличие единичных усохших и ветровальных деревьев со средним диаметром; групповое или куртинное усыхание; прогалины, зарастающие подростом хвойных и лиственных пород, кустарниками, травяным покровом и окруженные ослабленными, усыхающими деревьями, сухостоем. Выявление больных деревьев затруднено в период скрытого течения болезни, который может длиться, особенно у ели и пихты, несколько десятилетий.
Доказательством поражения деревьев корневой губкой является наличие плодовых тел, желваков смолы со склеенными частицами почвы на поверхности корней, тонкой плотной пленки мицелия кремового цвета под корой корней, характерной гнили корней и комлевой части ствола.
У сосны в начальной стадии развития гнили древесина приобретает красноватый цвет, засмоление, запах скипидара. Затем происходит расслоение древесины, обесцвечивание, появление в ней белых выцветов целлюлозы, иногда - черных штрихов и точек. В последней стадии разложения древесина распадается на влажные пряди вдоль волокон. Высыхая, гнилая древесина становится хрупкой и легкой. Гниль развивается в корнях по всему поперечному срезу; в комлевой части поднимается на высоту обычно до 0.5 м. После отмирания дерева гниль может распространиться по его стволу до высоты 1 м.
У ели и пихты в начальной стадии гнили древесина приобретает фиолетово-красный оттенок, затем темнеет, становится красно-бурой с удлиненными белыми ячеистыми прослойками и черными пятнышками. При этом она легко разделяется по годичным кольцам, в последней стадии гниль превращается в бесструктурную массу.
У этих пород гниль развивается не только в корнях, но и в центральной части ствола, не затрагивая заболонь и поднимаясь на высоту до 10 м, иногда - до 20 м. Внутри ствола образуется дупло.
Очаги усыхания в пораженных корневой губкой насаждениях могут возникать при участии других возбудителей корневой, комлевой и стволовой гнили. Наиболее вредоносным является опенок осенний, ослабляющий зараженные корневой губкой деревья и ускоряющий их усыхание. Хвойные породы отличаются низкой устойчивостью к заражению, но проявляют выносливость (толерантность) к распространению патогена и способность нередко сохранять при этом удовлетворительный прирост по высоте. Корневой губкой заражаются деревья вне зависимости от интенсивности их роста, мощности корневой системы и размеров кроны, но экземпляры с мощной корневой системой обладают большей жизнеспособностью.
Возникновение очагов усыхания и интенсивность их развития в культурах на нелесных землях, характеризующихся восприимчивостью к поражению, предопределяется снижением экологической устойчивости лесной экосистемы. Наиболее часто заражение и прогрессирующее развитие болезни у ранее зараженных деревьев происходит при стимуляции их роста, независимо от причины.
Поражение сосны может происходить в различных типах условий местопроизрастания - от боров до грудов; в широком диапазоне почвенных разностей, от кислых до щелочных, отличающихся по плодородию, механическому составу и развивающихся на различных материнских породах. Наиболее распространено поражение сосны в свежих борах и суборях. При этом в свежих условиях местопроизрастания очаги усыхания чаще приурочены к понижениям, в более влажных - к повышениям.
Специфической особенностью насаждений сосны, созданных на нелесных землях, является слабая дифференциация деревьев, заторможенность естественного отпада и, как следствие, развивающаяся с возрастом перегущенность, ведущая к общему ослаблению сосны.
Первые признаки поражения сосны корневой губкой в культурах на нелесных землях появляются в 5...15-летнем возрасте. В результате последовательного заражения деревьев происходит формирование хронически действующих очагов усыхания с образованием прогалин, которые расширяются, сливаются и могут привести к расстроенности древостоев в 25...40-летнем возрасте. В культурах на вырубках насаждений, пораженных корневой губкой, первые признаки болезни появляются раньше - в 2...5-летнем возрасте и к 25...30-летнему возрасту древостой может быть разрушен.
Наиболее сильно поражаются корневой губкой высокопродуктивные густые, чистые культуры или близкие по составу к чистым. Снижение густоты посадки и создание смешанных культур уменьшают опасность их поражения.
Рубки ухода могут ускорить возникновение очагов усыхания от корневой губки и увеличить масштабы поражения, в зависимости от их параметров. Формирующиеся комплексы стволовых вредителей также ускоряют усыхание больных деревьев. За пределами очага усыхания заселение насекомыми встречается лишь на отдельных деревьях.
В ельниках и пихтарниках преобладает диффузный тип усыхания. Куртинное усыхание выражено слабее, чем в сосняках. Признаки поражения ели и пихты корневой губкой в культурах проявляются в разном возрасте, в зависимости от категорий местообитания: на вырубках - в 15-летнем, на землях сельхозпользования - в 20-летнем, в производных древостоях на исконно лесных землях - в 30-летнем возрасте. Поражению ели и пихты способствуют механические повреждения корневых лап и стволов при проведении рубок ухода, санитарных рубках и выпасе скота.
Меры защиты от болезни. Система мероприятий по формированию насаждений, устойчивых к корневой губке, включает лесоводственный уход, лесовосстановление и санитарно-защитные мероприятия, разработанные с учетом прогнозов.
Оптимальные параметры лесоводственного ухода разрабатываются с учетом региональных наставлений по рубкам ухода и ведущих факторов, влияющих на возникновение и развитие болезни, к которым относится:
специфика развития древостоев в культурах I поколения на нелесных землях и II поколения - на вырубках пораженных корневой губкой насаждений. Для культур I поколения характерны слабая дифференциация древостоев, замедленный естественный отпад, развивающаяся с возрастом перегущенность, что ведет к ослаблению древостоя, формированию патогенного отпада в возрасте старше 10 лет; для культур II поколения характерны также наличие высокого инфекционного фона, более раннее появление патогенного отпада;
различная способность древесных пород адаптироваться к изменившимся условиям среды в зависимости от возраста, состояния древостоя, фазы годичного цикла роста и развития древесной породы. Адаптация к изменившимся условиям среды сильнее выражена в возрасте до 8...10 лет (на примере осины), когда кроны способны максимально разрастаться и быстро восстанавливать сомкнутость древесного полога, а также в период зимнего покоя. С увеличением возраста, развитием ослабленности древостоя, а также в период вегетации адаптационная способность уменьшается, что проявляется в более значительном поражении корневой губкой;
особенности роста очагов усыхания. Рост очага усыхания в хвойных культурах происходит преимущественно в направлении на север, северо-запад от центра очага или от места вырубки дерева.
Все виды лесохозяйственных мероприятий, связанные с рубками в насаждениях, пораженных корневой губкой, проводить поздней осенью и зимой (период зимнего покоя). При отсутствии специальных опушек из лиственных пород оставляется неизреженной полоса шириной 10...12 м на границе с открытым пространством, которая выполняет защитные функции. Устройство технологических коридоров и противопожарных разрывов, если они не были предусмотрены при создании культур, производить при осветлении или при первой прочистке, когда еще допустимо интенсивное изреживание.
При создании культур I поколения учитывают следующие особенности:
восстановление насаждений коренных типов древостоя, соответствующих конкретному типу леса;
глубокое безотвальное рыхление почвы как условие формирования корневой системы;
оптимальное направление рядов посадки: север-юг, север-запад, юго-восток.
При лесовосстановлении на вырубках с инфекционным фоном (сплошные санитарные рубки, рубки главного пользования) проводят предварительное почвенное и лесопатологическое обследование вырубок. Подбор пород и агротехника создания культур определяются с учетом инфекционного фона. Сохраняют подрост хвойных и лиственных пород.
Рубки ухода следует ориентировать на формирование густоты древостоя, оптимальной для каждой возрастной группы в конкретных типах условий местопроизрастания.
В чистых культурах сосны с густотой посадки 6...10 тыс. шт./га и более первое изреживание (осветление) проводится после смыкания крон (возрасте 5...8 лет) с целью предотвращения перегущенности древостоя. Изреживание равномерное за счет вырубки прежде всего угнетенных, отставших в росте экземпляров или линейно-выборочное. Густота древостоя при этом снижается до 4.0...5.5 тыс. шт./га. Сомкнутость крон - 0.6...0.7. Прочистки следует проводить по низовому методу с повторяемостью через 3...5 лет. При первом приеме прочистки наряду с равномерным разреживанием умеренной интенсивности допустимо линейно-выборочное. Последующие прочистки следует проводить, постепенно снижая густоту древостоя к 20-летнему возрасту до 2.2...3.0 тыс. шт./га при сомкнутости крон не ниже 0.7.
Прореживание следует проводить по низовому методу слабой интенсивности с повторяемостью через 5 лет, последовательно снижая густоту древостоя к 40-летнему возрасту до 1 тыс. шт./га (сомкнутость крон 0.7...0.8). Если первое изреживание проводят в возрасте прочистки или прореживания, его интенсивность снижается, а период между приемами рубок ухода сокращается.
В чистых культурах сосны с густотой посадки 5 тыс. шт./га и менее первый прием рубок ухода следует проводить по низовому методу после появления признаков угнетения деревьев. Повторяемость ухода - через 3...5 лет. При прочистках и прореживании густота древостоя доводится до оптимальной для каждой возрастной группы.
В лиственно-сосновых культурах с кулисным смешением рубки ухода в кулисах сосны проводятся так же, как в чистых.
В смешанных молодняках при рубках ухода следует сохранять примесь лиственных пород не менее 30% и не допускать их перевода в чистые хвойные.
Проходные рубки в сосняках проводят в соответствии с региональными наставлениями по рубкам ухода. При очаговом усыхании слабой и средней степени вырубают деревья III...VI категорий состояния. На возникших прогалинах диаметром более 10 м следует создавать частичные культуры из древесно-кустарниковых пород, отдавая предпочтение ягодникам и нектароносам.
При сильной степени расстроенности проводят сплошные санитарные рубки. Площадь вырубки определяют в зависимости от характера распределения очагов по площади выдела. При диффузном типе усыхания предпочтительны санитарные выборочные рубки. В обоих случаях руководствуются положениями Санитарных
правил в лесах России.
Агротехника создания культур, породный состав, тип смешения, размещение посадочных мест определяются с учетом типов условий местопроизрастания и специфики тех категорий лесокультурных участков, где возможно массовое поражение корневой губкой.
При создании культур в условиях массового поражения корневой губкой нужно учитывать следующие требования:
безотвальное грубое рыхление;
использование высококачественного посадочного материала сосны с развитой корневой системой и микоризой;
внесение смеси почвы из верхнего гумусового горизонта и разложившейся подстилки, заготовленной в устойчивых насаждениях на исконно лесных землях, для содействия микоризообразованию и формированию компонентов лесной среды, из расчета около 100 г в каждое посадочное место;
создание опушек из лиственных древесных пород и кустарников;
планирование технологических коридоров в виде 1 ряда лиственных древесных пород или кустарников, которые вырубают при первой рубке ухода.
При лесовосстановлении на вырубках с инфекционным фоном корневой губки учитывается степень зараженности участка, которая вычисляется по суммарной площади очагов усыхания на вырубке в процентах от площади участка: слабая степень - до 10%, средняя - от 11 до 30%, сильная - свыше 30%.
На вырубках с инфекционным фоном корневой губки рекомендуется создание смешанных культур в соответствии с типами условий местопроизрастания, содействие естественному возобновлению этих пород. Долевое участие сосны в составе культур определяется в зависимости от степени зараженности участка: при слабой степени - до 70%, средней - до 50%, сильной - не более 30%.
Рубки ухода в здоровых и пораженных в слабой степени насаждениях проводят по низовому методу, без существенного нарушения сомкнутости древесного полога. После завершения любых видов рубок ухода и выборочных санитарных рубок раны от механических повреждений деревьев, оставшихся на корню, следует дезинфицировать.
В перегущенных ельниках, в том числе произрастающих на крутых и очень крутых склонах, допустимо снижение полноты до 0.8.
Прореживание и проходные рубки проводят с ориентацией на сохранение экземпляров ели с красновато-коричневой корой и гребенчатым типом ветвления как более устойчивых к корневым гнилям. Проходные рубки, тем более с прорубкой трелевочных валов, не рекомендуется проводить в зараженных корневой губкой насаждениях с участием ели в составе древостоя 8 ед. и более.
В насаждениях ели и пихты, пораженных корневой губкой, необходимость проведения санитарно-оздоровительных мероприятий и их интенсивность определяют в зависимости от состояния древостоев. Степень поражения насаждений ели и пихты корневой губкой учитывается при оценке товарности древостоев в ходе лесоинвентаризационных работ.
Агротехника создания культур ели и пихты в равнинных и горных условиях, так же, как культур сосны, где высока опасность массового поражения корневой губкой, определяется региональными рекомендациями по лесовосстановлению в соответствии с типами условий местопроизрастания.
На залежных и вышедших из-под сельскохозяйственного пользования землях возможно создание чистых рядовых, кулисно-групповых или площадками еловых и пихтовых культур с количеством деревьев не более 3 тыс. шт./га или смешанных с лиственными породами с таким же количеством деревьев хвойных пород. На вырубках, вышедших из-под хвойного леса, без очагов корневой губки, допустимо создание чистых культур хвойных пород площадками или смешанных с лиственными породами. На вырубках, вышедших из-под лиственного леса, возможно создание чистых рядовых культур хвойных пород с числом деревьев не более 5 тыс. шт./га.
Технологические коридоры в культурах ели и пихты в равнинной и предгорной частях планируют в виде двух рядов лиственных древесных пород и одного ряда кустарника между ними для уменьшения механических повреждений при рубках ухода. При устройстве технологического коридора ряд кустарника вырубают, а ряды лиственных пород служат барьером, защищая смежные ряды ели от травмирования стволов и корневых лап механизмами при рубке и трелевке.
После проведения выборочной санитарной рубки на прогалинах - в "окнах" создают подпологовые или предварительные культуры из дуба черешчатого, красного, горного; бука, клена остролистного, явора, липы мелколистной, ольхи черной, березы бородавчатой, граба, тополя лавролистного или кустарников - ивы козьей, лещины, бузины, черной смородины, рябины, ирги, аморфы.
Чистые молодняки ели и пихты, возникшие естественным путем или созданные на инфекционном фоне корневой губки, в возрасте до 10...15 лет реконструируют путем ввода лиственных пород в соответствии с региональными рекомендациями и с учетом условий местопроизрастания.
На вырубках после сплошных санитарных и выборочных рубок, а также низкополнотных насаждений, пораженных корневой губкой, при наличии на 1 га жизнеспособного подроста главной породы в естественных формациях еловых лесов более 7 тыс. шт., пихтовых - более 10 тыс. шт. целесообразна ориентация на естественное лесовосстановление.
При наличии на тех же участках жизнеспособного подроста главных пород семенного происхождения в еловых насаждениях в количестве 2...7 тыс. шт., а в пихтовых - 2...10 тыс. шт. на 1 га создают чистые культуры сеянцами, выращенными из семян, более устойчивых к корневой губке форм ели и пихты.
При рубках ухода рекомендуется обработка свежесрубленных пней химическими и биологическими препаратами с целью недопущения прорастания спор возбудителя на поверхности пней и развития его мицелия в древесине пня, создания условий для развития дереворазрушающих сапротрофных и антагонистических видов грибов. Наиболее эффективным и экологически безопасным химическим веществом являются водные растворы карбамида (10...20%) и аммиачной селитры (20%). Расход рабочего раствора на 100 пней: диаметром 5...15 см составляет 1.5...2.0 л; 10...20 см - 5...9 л; 20...30 см - 10...17 л. Обработка должна быть сплошной и проводиться не позже 10 дней после рубки. При наличии биопрепаратов на основе грибов деструкторов и антагонистов (пениофоры гигантской, триходермы, окаймленного трутовика, вешенки и др.) рекомендуется их предпочтение. Нормы расхода рабочих суспензий такие же. Пни обрабатывают кистью, валиком или опрыскивая из ранцевой аппаратуры.
При явно выраженном мелкокуртинном и мелкоочаговом усыхании деревьев рекомендуют "локализационные" рубки:
а) вырубают сухие, усыхающие и ослабленные деревья в полосе шириной 3...5 м от границ "окна" усыхания с оставлением на корню только внешне здоровых деревьев-лидеров, обладающих естественной устойчивостью к болезни;
б) приствольные круги здоровых деревьев на границе образовавшегося после рубки "окна" обрабатывают на 0.1 м у корневых шеек 1%-й водной суспензией системного фунгицида: на 1 дерево от 0.25 до 0.5 л рабочего раствора.
4.3.2. Гниль корней от опенка. Возбудитель болезни - базидиальный гриб семейства агариковых Armillariella mellea (Fr.) Karst. - опенок осенний. Распространен почти повсеместно, исключая зону пустыни, тундру, высокогорные области Сибири и Чукотский полуостров. Опенок - полифаг, поражает более 200 видов хвойных и лиственных древесных и кустарниковых пород, вызывая белую периферическую корневую и комлевую гниль.
Первые признаки заражения деревьев хвойных пород - изреженность кроны, замедление прироста в высоту, изменение цвета хвои до желто-бурого. Надежным диагностическим признаком в это время является наличие у корневой шейки или корнях растения засмоленных вздутий, веерообразных пленок мицелия гриба от белого до темно-коричневого цвета и плоских шнурообразных ризоморф гриба от белого до черного цвета. Последние могут располагаться нередко на поверхности корней - наружные ризоморфы, с помощью них опенок распространяется в почве от дерева к дереву. Начиная с августа в основании пораженных деревьев встречается обильное плодоношение гриба, имеющее вид шляпки на ножке, с пластинчатым гименофором. Плодовые тела расположены группами, вначале выпуклые, потом шляпки становятся плоскими, сверху рыжевато-бурые или коричневые, матовые с бурыми чешуйками, на ножке под шляпкой характерный для вида "воротничок" белого цвета.
Наиболее сильно заражению опенком в таежной зоне подвержены ель и береза, лиственница сибирская и японская за пределами своего ареала, при этом отпад растений в культурах I класса возраста часто составляет 50%. В сосновых насаждениях почти во всех лесорастительных условиях опенок встречается реже и вред его значительно меньше. При создании культур по нераскорчеванной вырубке из-под хвойных пород поражение опенком сосны с 3...5- до 20-летнего возраста может быть достаточно велико и носить очаговый характер. На севере Европейской части России опенок чаще развивается на пнях и корнях ослабленных и отмирающих деревьев лиственных, реже хвойных пород. В хвойных молодняках искусственного и естественного происхождения опенок встречается во всех типах леса.
Источниками инфекции являются древесные растительные остатки с вегетативным мицелием и плодоношением возбудителя (пни, корни, ветви и др.). Гриб способен длительное время развиваться на свежих пнях деревьев, остатках корней в почве, сухостое и валеже до окончательного их разрушения.
Опенок поражает деревья всех возрастов (с 3...5 лет). У взрослых деревьев заражение им часто связано с ослаблением деревьев различными причинами (недостаток почвенного питания, засуха, повреждение при трелевке и рекреации). При этом болезнь носит, как правило, хронический характер. У молодых растений заражение происходит быстрее, без предварительного ослабления, развитие корневой гнили носит острый характер и приводит к их усыханию за 1...3 года.
Меры защиты от болезни. Закладке лесосеменных плантаций и культур всех пород и типов должно предшествовать обследование очагов массового поселения этого возбудителя. При их обнаружении необходимо осуществлять меры локализации и искоренения патогенной инфекции: механическая или "биологическая" корчевка пней с помощью грибов деструкторов и антагонистов; окорка пней после рубки; окапывание канавами небольших действующих очагов; известкование почвы. Рекомендуется сбор плодовых тел гриба с пней в августе - октябре с максимальным разрушением грибницы (окорка места выхода плодовых тел).
4.3.3. Гниль корней от ризины вздутой. Возбудитель болезни - сумчатый гриб Rhizina inflata (Schaeff.) Karst. - постоянный обитатель подстилки на песчаных почвах в сухих типах сосновых лесов (лишайниковых, вересковых и т.п.). Может паразитировать в молодых (2...5 лет) культурах и на молодом самосеве сосны. Поражает также ель, лиственницу, пихту и другие хвойные породы. Распространен в Карелии и Ленинградской обл. Особенно часто гриб встречается на гарях и кострищах, где, окружая своей грибницей корни молодых растений, вызывает их загнивание. Хвоя у пораженных растений желтеет, дерево погибает. В августе-сентябре на почве вблизи усохших растений образуются мясистые плодовые тела (апотеции) гриба. Они крупные по размеру (до 10 см в диаметре), распростертые, с выпуклой волнистой каштаново-бурой поверхностью и светло-бурым краем. Нижняя их поверхность желто-белая с многочисленными тонкими извилистыми отростками - ризоидами, с помощью которых гриб прикрепляется к субстрату. Сведения о вредоносности этого гриба ограничены, но серьезный вред от него зарегистрирован в насаждениях сосны горной на Куршской косе (Литва).
Меры защиты от болезни. Удаление больных растений и рыхление почвы вокруг оставшихся с целью разрушения грибницы возбудителя.
4.3.4. Удушье сеянцев (телефора). Болезнь вызывается базидиальным грибом Thelephora terrestris Fr., который широко распространен и развивается на лесной подстилке. Гриб образует на поверхности почвы пленчатые плодовые тела, которые обрастают стволики растений любой породы. Таким образом гриб создает механическое удушение растения, что препятствует росту, дыханию и ассимиляции, в результате чего наблюдается его ослабление и гибель.
Первым диагностическим признаком поражения грибом можно считать появление в мае-июле у корневой шейки растений белого налета - зачатков плодовых тел. Развитые плодовые тела тонкие кожистые темно-коричневого цвета, окружают растение, как "воротничок".
Источником инфекции являются плодовые тела возбудителя. Наибольшее развитие болезнь получает на песчаных, супесчаных почвах. Часто встречается на осушенных торфяных болотах.
Меры защиты от болезни. Частые рыхления (в питомниках или культурах раннего возраста), удаление и сжигание растений с плодовыми телами гриба.
4.4. Неинфекционные болезни
Изменения условий среды, нарушающие процессы обмена веществ, приводят к патологическим изменениям, проявляющимся в различного рода неинфекционных заболеваниях. Эти болезни не передаются от растения к растению или его органам. Неинфекционные заболевания могут ослаблять древесные породы и снижать их устойчивость к инфекционным болезням или быть основным условием их возникновения. Особенно широко распространены неинфекционные заболевания, связанные с нарушением питания, неблагоприятными метеорологическими условиями, а также химическими воздействиями.
4.4.1. Дефицит влаги в почве возникает при недостатке осадков, снижении уровня грунтовых вод, осушении местности. Нарушение жизнедеятельности деревьев выражается в засыхании хвои и листьев и преждевременном листопаде, увядании кроны, усыхании вершин и гибели растений целиком. При весенней засухе снижается приживаемость лесных культур, а при продолжительном дефиците влаги в почве в течение вегетационного периода возможно усыхание культур и молодняков.
4.4.2. Избыток влаги в почве возникает при выпадении обильных дождей, быстром таянии снега, паводках и повышении уровня грунтовых вод при строительстве запруд, плотин и т.п. Избыток влаги приводит к дефициту кислорода в почве, а в результате - к отмиранию и загниванию корней, мелколистности, пожелтению хвои и листьев, суховершинности, а иногда и к гибели растений в лесных культурах. В понижениях, при застое дождевой и снеговой воды, снижается приживаемость саженцев в культурах, загнивают корни, а при продолжительном затоплении культуры гибнут.
4.4.3. Нарушение питания. При недостатке или избытке питательных веществ у растений нарушаются жизненные функции, появляются патологические изменения хвои и листьев, плодов и дерева в целом.
При недостатке азота хвоя и листья принимают бледно-зеленую окраску (хлороз) и преждевременно опадают, растения отстают в росте. Избыток азота повышает рыхлость тканей, в результате они не вызревают, больше подвергаются болезням или повреждаются заморозками. При избытке азота в почве дуб и другие породы сильнее поражаются мучнистой росой. Отмечается непропорциональный рост надземной части по отношению к корням. При дефиците калия в почве снижается прирост у растений, края листьев и участки между жилками желтеют, буреют, отмирают и опадают. При низком содержании фосфора в почве замедляется скорость деления клеток, снижается прирост. Фосфорное голодание вызывает у некоторых древесных пород красную, фиолетовую или бронзовую окраску хвои и листьев. Недостаток железа резко снижает образование хлорофилла и приводит к хлорозу, хвоя и листья становятся зеленовато-желтыми, бледно-желтыми, а иногда белыми. У пораженных растений из-за нарушения ассимиляции замедляется рост листьев, хвои и корней, снижается прирост. При недостатке марганца появляются хлоротические пятнистости и желтизна между жилками или отмирают участки листьев. При избытке бора листья желтеют, по краям возникают некрозы тканей, листья преждевременно опадают, что приводит к ослаблению растений. При недостатке в почве цинка листья растений желтеют или образуются бесформенные листья, напоминающие поражение вирусными болезнями, плоды становятся уродливыми.
4.4.4. Избыток солей в почве. Содержание углекислого натрия в песчаной почве вызывает у лиственницы, березы и сосны пожелтение и отмирание листьев и хвои. При избытке сернокислого натрия желтеют хвоя и листья, особенно у лиственницы и березы. Хлористый натрий вызывает пожелтение и засыхание дуба. Весьма чувствительны к хлористому натрию ольха, липа, осокорь и ясень.
4.4.5. Отрицательное влияние осадков. Осадки в виде снега, ожеледи, града и дождя могут причинять существенный вред лесным культурам. Снег, задерживаясь на кронах в большом количестве, вызывает снеголомы и снеговалы.
Снеголом - это деревья, у которых стволы или вершины сломаны под тяжестью снега. Большой вред причиняют снеголомы и снеговалы молодым насаждениям. Наиболее сильно страдают от навала снега деревья, имеющие кривые стволы, слабо развитые, пораженные болезнями и поврежденные вредителями.
В горных условиях снеголомы и снеговалы часто вызываются снежными лавинами. Участки снеголомов и снеговалов нередко становятся очагами стволовых вредителей, ускоряющих усыхание деревьев. Более высокой устойчивостью к навалу снега обладают неоднородные по возрасту и составу насаждения.
Резкая смена погоды зимой вызывает образование на стволах и ветвях ледяного слоя, называемого ожеледью. Под действием ожеледи происходит облом ветвей и молодых стволиков. Повреждения ожеледью большей частью наблюдаются в степных лесах. Наиболее сильно страдают от ожеледи белая акация, ясень, берест, вяз, дуб.
Существенный вред может причинять деревьям град. При этом повреждаются и часто опадают нежные части деревьев: листья, хвоя, цветки, плоды, побеги и тонкая кора. В результате преждевременной потери листьев или хвои у молодых деревьев отмечается потеря прироста, отмирают молодые побеги. Сильное повреждение градом может вызвать массовое усыхание деревьев. Поврежденные градом деревья часто заселяются стволовыми вредителями, которые ускоряют процесс усыхания. Кроме того, через повреждения градом (градобоины) могут проникать возбудители болезней. Дожди ливневого характера могут вызывать опадение цветков и завязи.
4.4.6. Влияние температуры. Отклонения температур за пределы оптимума, а также резкая смена температур отрицательно влияют на растения, вызывая патологические изменения, которые нередко приводят к гибели растений.
Низкие температуры вызывают обмерзание кроны и подмерзание корней, образование морозобойных трещин. Температура зимой до -30 °C и ниже, сохраняющаяся в течение продолжительного времени, вызывает обмерзание побегов, а при малоснежных зимах - и корней деревьев. Наиболее сильно от морозов страдают молодые растения. Деревья старшего возраста чаще всего полностью оправляются на второй год после обмерзания, реже погибают.
Значительный вред древесным растениям, особенно молодым, могут причинять поздние весенние и ранние осенние заморозки. Особенно опасны поздние заморозки в годы с необычно теплыми веснами. Сильнее страдают от заморозков растения в пониженных участках, где застаивается холодный воздух. Поздние весенние заморозки повреждают молодые листья, побеги, бутоны, вызывая их отмирание. Пораженные части растений чернеют, засыхают и обламываются. Как правило, более устойчивы к весенним заморозкам поздно распускающиеся формы растений.
Часто после повреждения дуба поздними весенними заморозками происходит поражение вторичных побегов мучнистой росой, которые вследствие этого не успевают одревеснеть и побиваются ранними заморозками. Засыхание побегов у молодых дубков вызывает потерю прироста и ослабление.
При резком понижении температуры зимой на стволах деревьев появляются продольные трещины - морозобоины, достигающие в длину 1 м и более. Они образуются вследствие того, что наружные слои древесины при внезапном понижении температуры сжимаются, а внутренние остаются менее сжатыми. Морозобойные трещины образуются как на хвойных, так и на лиственных породах, но чаще на кольцесосудистых и твердолиственных. Наиболее сильно поражаются древостои в пойменных условиях, где увеличивается не только количество пораженных деревьев, но и количество морозобойных трещин на дереве.
В случае систематического повреждения морозом на месте морозобойной трещины образуется раковая рана, которая может разрастаться из года в год. Такие деревья легко подвергаются буреломам. Повреждение морозобойными трещинами не препятствует нормальному росту дерева, но снижает выход деловой древесины и способствует проникновению возбудителей гнилей. Опасность повреждения морозобоинами возрастает в районах с резко континентальным климатом.
Высокие температуры также вызывают патологические изменения у растений. При длительных засухах с температурой выше 30...35 °C, сопровождающихся дефицитом влаги в почве, происходит массовое усыхание насаждений. При смене дождей солнечной погодой с высокой температурой воздуха наблюдается ожог листьев, причиной которого являются задерживающиеся между жилками листьев капли дождя, концентрирующие солнечные лучи. Ткани листа в этих участках перегреваются, а затем отмирает и весь лист.
Под действием сильных солнечных лучей у деревьев с тонкой гладкой корой происходит ожог коры. Пораженная кора приподнимается, в ней появляются продольные и поперечные трещины. Позже отмершие участки коры отпадают, обнажая древесину, которая подсыхает и растрескивается. Через трещины в ткани дерева проникают фитопатогенные грибы, в том числе возбудители гнилей и некрозно-раковых болезней. Деревья, имеющие ожог коры, ослабляются, у них отмечается падение прироста, нередко они заселяются стволовыми вредителями.
Отлупные трещины (отлупы) образуются у деревьев при резком повышении температуры после сильных морозов. В данном случае наружные слои древесины нагреваются и расширяются, а внутренние остаются сжатыми, в результате чего между годичными слоями образуется кольцевая трещина. Отлупы образуются у всех древесных пород в нижней части ствола и распространяются по его длине на несколько метров. Отлупные трещины нарушают целостность древесины, снижают выход высокосортных сортиментов.
Резкие колебания температур в зимний период также вызывают ожоги коры древесных пород. Продолжительные оттепели в конце зимы или ранней весной преждевременно выводят из периода покоя отдельные органы или все дерево. Следующие за оттепелями резкие понижения температуры вызывают отмирание коры, луба или камбия, чаще всего с южной стороны ствола. Пораженная кора отпадает, обнажая древесину. Наиболее сильно от зимних ожогов страдают плодовые деревья.
В ранневесенний период после малоснежных зим резкие колебания температуры в дневное и ночное время вызывают пожелтение и опадение хвои. В таких случаях температура воздуха днем повышается до 15...18 °C, а температура почвы остается низкой, не выше 4 °C. При этом у растений на солнце происходит активное испарение, а корни функционируют еще очень слабо и не способны обеспечить растения необходимым количеством влаги. В результате хвоя становится красно-бурой и опадает. Чаще всего это явление наблюдается в молодых культурах.
4.4.7. Влияние ветра. Под влиянием ветра в лесных культурах возникают ветровалы и буреломы, причиняющие вред лесному хозяйству. При слабой связи корней с почвой ветром вываливаются отдельные деревья или группы вместе с корнями, т.е. происходит ветровал. От ветровала прежде всего страдают деревья со слаборазвитой и поверхностной корневой системой. Из хвойных пород менее устойчива к ветровалу ель, из лиственных - бук, береза. Степень ветровальности деревьев в значительной мере зависит от почвенных условий. Чаще всего ветровал происходит в культурах и молодняках, произрастающих на мелких, рыхлых, переувлажненных почвах, где сила сцепления корней с почвой недостаточна для противостояния силе ветра. Большие площади ветровалов отмечаются в горных условиях, где насаждения произрастают на мелких почвах с каменистой подстилающей породой. В таких условиях у деревьев развивается поверхностная корневая система, не способная противостоять силе ветра, особенно на ветроударных склонах. Более устойчивы к ветровалу смешанные насаждения. Ветровалу в значительной степени способствует поражение деревьев корневыми гнилями, вызываемыми корневой губкой Heterobasidion annosum (Fr.) Bref., опенком Armillariella mellea (Fr. ex Vahl.) Karst и др.
При буреломе происходит разлом ствола ниже кроны в случае, когда корни хорошо укреплены в почве, а сила ветра превосходит сопротивление ствола по излому. Устойчивость к бурелому зависит от породы деревьев, обладающих различной прочностью древесины. Наименее устойчивы к буреломам хвойные породы. Несвоевременное удаление поваленных деревьев из культур приводит к массовому размножению стволовых вредителей, которые впоследствии могут заселять соседние здоровые деревья. Кроме ветровала и бурелома, в насаждениях, подвергающихся постоянному действию ветра, у деревьев наблюдаются анатомические изменения древесины, проявляющиеся в свилеватости и крени стволов, которые затрудняют механическую ее обработку.
Ветер оказывает отрицательное влияние и на почву. На опушках, горных хребтах, морских побережьях вследствие постоянных ветров почва осушается, сдуваются ее верхний тонкий слой и почвенная подстилка. Это вызывает снижение прироста у деревьев, препятствует естественному возобновлению, приводит к расстройству молодых насаждений. Таким образом, хозяйственный вред, причиняемый ветром, заключается в снижении продуктивности насаждений, выхода и качества деловой древесины.
4.4.8. Выжимание саженцев. Выжимание растений наблюдается чаще всего в культурах ели весной, реже - зимой, на переувлажненных, тяжелых, суглинистых почвах, особенно в понижениях. Корка льда на поверхности незамерзшей почвы выжимает из нее саженцы. При этом корни, находящиеся в неоттаявших слоях, часто обрываются. Особенно сильно повреждаются тонкие корешки и корневые окончания. При оттаивании почва оседает, а растения остаются полуизвлеченными из нее и засыхают. С целью снижения отпада саженцев от выжимания не следует закладывать культуры в пониженных местах, рекомендуется избегать очень тяжелых почв.
4.4.9. Повреждения промышленными выбросами. Промышленные выбросы в виде пылевидных и газообразных веществ вызывают сокращение сроков вегетации, торможение ростовых процессов, угнетение фотосинтеза, что приводит к снижению прироста, а нередко - усыханию.
Сернистый ангидрид. Под действием высоких концентраций сернистого ангидрида хвоя ели становится рыже-бурой, у сосны изменение окраски начинается с кончиков хвоинок. На листьях появляются пятна красно-бурого цвета. Хвоя и листья преждевременно опадают или искривляются, отмирают побеги.
Фтор и его соединения. По периферии листьев образуются узкие полосы светло-желтого цвета. У хвойных пород вначале белеют, а затем темнеют кончики хвоинок. Далее потемнение распространяется до оснований игл. Менее устойчивы к соединениям фтора хвойные породы, особенно сосна.
Окислы азота. На вершинах и по краям листьев появляются буровато-черные участки. У хвойных пород краснеют кончики хвои.
Хлор. Вначале листья приобретают темную окраску с серебристым оттенком, затем отдельные их участки обесцвечиваются, со временем выкрашиваются. При продолжительном действии хлора края листьев краснеют.
Окись магния. Под действием магнезитовой пыли на побегах текущего года хвоя становится светло- или желтовато-зеленой, 2-летняя хвоя краснеет, буреет и частично погибает. У лиственных пород появляются светло-зеленые или желтовато-зеленые пятна между жилками листа. Длительное действие магнезитовой пыли приводит к усыханию сосны и ели.
Меры защиты. Снижение вреда от промышленных выбросов достигается прежде всего очисткой их посредством газо- и пылеуловителей, а также совершенствованием технологии промышленных процессов. При озеленении промышленных центров необходимо учитывать различную степень газоустойчивости древесных пород. Наиболее высокой газоустойчивостью обладают лиственные породы: некоторые виды тополя, липа мелколистная, клен ясенелистный, ива белая, а из хвойных - можжевельник обыкновенный. Менее газоустойчивы следующие лиственные породы и кустарники: береза, вяз обыкновенный, клен остролистный, ива козья, акация желтая и др. К наименее газоустойчивым относятся ель и сосна.
1. Воронцов А.И. Лесная энтомология. М.: Высш. школа, 1982.
2. Воронцов А.И., Мозолевская Е.Г., Соколова Э.С. Технология защиты леса. М.: Экология, 1991.
3. Защита леса от вредителей и болезней: Справочник / Под ред. А.Д. Маслова. М.: Агропромиздат, 1988.
4. Ладейщикова Е.И., Белый Г.Д. и др. Основные положения по защите сосны, ели и пихты от корневой губки. Харьков: Укр. НПО "Лес", 1991.
5.
Методические указания по использованию синтетических феромонов для надзора за хвое- и листогрызущими насекомыми. М.: Госкомитет СССР по лесному хозяйству, 1987.
6. Мозолевская Е.Г., Катаев О.Г., Соколова Э.С. Методы лесопатологического обследования очагов стволовых вредителей и болезней леса. М.: Лесн. пром-сть, 1984.
7.
Надзор, учет и прогноз массовых размножений хвое- и листогрызущих насекомых в лесах СССР / Под ред. А.И. Ильинского и И.В. Тропина. М.: Лесн. пром-сть, 1965.
8.
Наставление по надзору, учету и прогнозу массовых размножений стволовых вредителей леса. М.: Госкомитет лесного хозяйства СМ СССР, 1975.
9.
Наставление по защите растений от вредных насекомых и болезней в лесных питомниках. М.: Госкомитет СССР по лесному хозяйству, 1984.
10.
Санитарные правила в лесах Российской Федерации. Мин-во экологии и природных ресурсов РФ, Комитет по лесу. М.: Экология, 1992.
11. Семенкова И.Г., Соколова Э.С. Лесная фитопатология. М.: Экология, 1992.
График последовательного учета численности восточного майского хруща для двух уровней допустимой относительной ошибки До и размера почвенных проб 1 м2 (1x1 м)
График последовательного учета численности восточного майского хруща для двух уровней допустимой относительной ошибки До и размера почвенных проб 0.25 м2 (0.5x0.5 м)
План последовательного учета численности восточного майского хруща. Размер почвенных проб 1 м2 (1x1 м)
- - - линия последовательного учета.
План последовательного учета численности восточного майского хруща. Размер почвенных проб 0.25 м2 (0.5x0.5 м)
- - - линия последовательного учета.
Номограмма для определения начала споруляции возбудителя обыкновенного шютте сосны
Номограмма для определения начала споруляции возбудителя снежного шютте сосны