Главная // Актуальные документы // МУ (Методические указания)СПРАВКА
Источник публикации
Внешторгиздат, 1990
Примечание к документу
По информации, приведенной в Каталоге замененных нормативных документов в области метрологии (по состоянию на 01.03.2016), данный документ отменен без замены другим межотраслевым нормативным документом.
Название документа
"МИ 456-84. Приборы регистрирующие ДИСК-250, ДИСК-250И. Методы и средства поверки"
"МИ 456-84. Приборы регистрирующие ДИСК-250, ДИСК-250И. Методы и средства поверки"
ПРИБОРЫ РЕГИСТРИРУЮЩИЕ ДИСК-250, ДИСК-250И
МЕТОДЫ И СРЕДСТВА ПОВЕРКИ
МИ 456-84
Настоящие методические указания (МУ) распространяются на приборы ДИСК-250, ДИСК-250И (в дальнейшем - приборы) по
ГОСТ 7164-78, работающие от входных сигналов по
ГОСТ 3044-84,
ГОСТ 6651-84 и
ГОСТ 26.011-80 с основной погрешностью (в зависимости от выполняемой функции) не более 0,5 или 1,0%, и устанавливают методы и средства их первичной и периодической поверок.
Таблица 1
Наименование операции | Номер пункта |
Внешний осмотр | |
Испытание изоляции на электрическую прочность | |
Измерение электрического сопротивления изоляции | |
Проверка индикации о включении прибора в сеть | |
Проверка заходов указателя | |
Определение быстродействия | |
Проверка качества регистрации | |
Проверка допустимого числа полуколебаний | |
Определение основной погрешности | |
Определение вариации | |
Определение зоны возврата | |
Проверка индикации о выходе контролируемого параметра за пределы установок регулирующего и сигнальных устройств | |
Проверка индикации обрыва чувствительного элемента датчика | |
Проверка отклонения средней скорости вращения диаграммного диска от номинальной | |
Проверка значений коэффициента пропорциональности  ПИ-регулирующего устройства | |
Проверка значений постоянной времени интегрирования  ПИ-регулирующего устройства | |
Таблица 2
Прибор, инструмент | Основные их характеристики | Рекомендуемые средства поверки и оборудования |
Потенциометр постоянного тока | Класс 0,05; выходное напряжение от  до 0,1 V | Р 363-3 |
Нормальный элемент насыщенный | Класс 0,02 | Х480 |
Термоэлектродные (компенсационные) провода ХК (L), ХА (K), ПП (S), аттестованные органами метрологической службы | Действительная статическая характеристика преобразования. Погрешность аттестации не более 0,1% от диапазона измерения | Любые, аттестованные органами метрологической службы |
Источник напряжения постоянного тока | Выходное напряжение 0 - 30 V | Б5-29 |
Термостат | Временная нестабильность не более +/- 0,05 °C за время поверки прибора | Сосуд Дьюара |
Магазин сопротивлений | Класс 0,02; дискретность  ; диапазон не менее  | МСР-60М |
Соединительные провода для приборов с характеристиками ТСП, ТСМ | Сопротивление каждого провода  | |
Катушка электрического сопротивления измерительная | Номинальное сопротивление 10 или  ; класс 0,02 | Р331 |
Гальванический элемент | Напряжение 0 - 3 V | Набор 165 Л |
Вольтметр постоянного тока | 0...30 V, класс точности 2,5 | Э515/2 |
Установка для проверки электрической прочности изоляции | Выходное напряжение до 1500 V; мощность на стороне высокого напряжения 0,25 kV · A, частота 50 Hz | УПУ 10 |
Мегаомметр | Номинальное напряжение 500 и 100 V; основная погрешность +/- 2,5%; пределы измерений  | Ф 4101 |
Термометр | 0 - 50 °C, цена деления 0,1 °C | ТЛ |
Психрометр аспирационный | Диапазон измерений температуры воздуха 0 - 50 °C; цена деления шкал термометров 0,5 °C; диапазон измерения относительной влажности 0 - 100% | МВ-4М |
Измерительная лупа | Увеличение 10-кратное, цена деления 0,1 mm | ЛИЗ |
Шаблон | Контрольный размер 6,0 mm | Штангенциркуль ЩЦП 160-0,1 с установленным размером 5,9 mm |
Барометр | 84 - 106,7 kPa | М 110 |
Частотомер-хронометр | Число разрядов 8, погрешность измерения частоты сети +/- 0,5% | Ф 5080 |
Секундомер | Цена деления шкалы 0,2 s, емкость шкалы 60 s | СОПр-2а-3 |
Цифровой вольтметр | Приведенная погрешность не хуже +/- 0,015%, предел измерения 0...20 V | Щ 1516 |
Счетчик импульсов | 180 000 периодов напряжения питающей сети соответствуют 1 h | Ф 5080 |
Стабилизатор напряжения переменного тока | Выходное напряжение (220 +/- 4) V или (240 +/- 5) V; выходная мощность не менее 100 V · A | СН-500 М |
Примечание. Возможно применение средств измерений и оборудования любых типов, основные характеристики которых не хуже приведенных в таблице. |
2.1. Техника безопасности
При проверке, испытаниях и обслуживании приборов соблюдайте общие правила и требования безопасности, рекомендуемые для эксплуатации электроустановок.
По способу защиты человека от поражения электрическим током приборы соответствуют классу 1 по
ГОСТ 12.2.007.0-75.
Электрическое сопротивление изоляции указано в разделе "Технические данные" 2.556.051-01 ТО "Прибор регистрирующий ДИСК-250, ДИСК-250И".
Корпус прибора должен быть заземлен.
3. УСЛОВИЯ ПОВЕРКИ И ПОДГОТОВКА К НЕЙ
3.1. Условия проведения поверки:
- температура окружающего воздуха (20 +/- 2) или (20 +/- 5) °C при поверке прочности и сопротивления изоляции, относительная влажность воздуха от 30 до 80%;
- атмосферное давление от 86 до 106,7 kPa.
- напряжение питания (220 +/- 4,4) или (240 +/- 5) V.
- частота тока питания (50 +/- 1) или (60 +/- 1,2) Hz;
- максимальный коэффициент высших гармоник питающей сети 5%;
- отсутствие внешних электрических и магнитных полей (кроме земного), влияющих на работу приборов;
- отсутствие вибрации, тряски и ударов, влияющих на работу приборов.
3.2. Перед проведением поверки надежно заземлите прибор, установите в прибор диаграммный диск и заполните чернильницу прибора.
4.1. Внешний осмотр. При проведении внешнего осмотра убедитесь:
- в наличии технического описания и инструкции по эксплуатации, а также паспорта согласно комплекту поставки;
- в отсутствии дефектов и повреждений, влияющих на работу прибора или ухудшающих его внешний вид;
- в отсутствии внутри прибора незакрепленных деталей и посторонних предметов;
- в четкой маркировке шкал и табличек, соответствующей приведенной в техническом описании и инструкции по эксплуатации.
4.2. Испытание изоляции на электрическую прочность. До проведения испытаний установите перемычки на зажимы поверяемых цепей согласно табл. 3 и установите сетевой тумблер в положение ВКЛЮЧЕНО.
Таблица 3
Проверяемые цепи | Замкнутые контакты |
ДИСК-250 | ДИСК-250И |
Входная цепь | 1, 2, 3, 4 Х2 |
Силовая цепь | 5, 7 Х4 |
Выходные цепи устройств преобразования и регулирования | 1, 2, 3, 4, 8, 9 Х4 | 2, 3, 5, 6, 7 Х6 |
Цепи сигнального устройства "меньше" | 9, 10, 11 Х4 |
Цепи сигнального устройства "больше" | 12, 13, 14 Х4 |
Испытательное напряжение прикладывайте между цепями и плавно повышайте, начиная с нуля до значения, соответствующего испытательному, со скоростью, допускающей возможность отсчета показаний вольтметра, но не менее 100 V/s. Изоляцию выдерживайте под действием испытательного напряжения в течение 1 min, затем напряжение уменьшайте до нуля.
Приборы считаются выдержавшими испытание, если за время испытания отсутствовали пробой или поверхностный разряд при приложении следующих значений испытательного напряжения: силовая цепь относительно корпуса, цепей устройств сигнализации, входной цепи и цепей устройств преобразования и регулирования - 1500 V: цепи устройств сигнализации между собой и относительно: корпуса, входной цепи и цепей устройств преобразования и регулирования - 500 V; входная цепь, цепи устройств преобразования и регулирования относительно корпуса 250 V к приборам ДИСК-250 и 500 V к приборам ДИСК-250И.
4.3. Измерение электрического сопротивления изоляции. Электрическое сопротивление изоляции цепей прибора измеряйте мегаомметром с номинальным напряжением 100 V для цепей с испытательным напряжением при проверке прочности изоляции 250 V и с номинальным напряжением 500 V - для остальных цепей.
Прибор подготовьте к проверке согласно
п. 4.2.
Отсчет показаний мегаомметра проводите по истечении времени, за которое его показания практически установятся.
Приборы считаются выдержавшими испытания, если сопротивление изоляции цепей прибора не меньше следующих значений:
- силовая цепь относительно корпуса и цепей устройств сигнализации -

;
- цепи устройств сигнализации между собой и относительно корпуса -

;
- входные цепи, цепи устройств преобразования и регулирующего относительно корпуса, силовой цепи и цепей устройств сигнализации -

.
4.4. После проведения проверок по
пп. 4.2 и
4.3 перемычки с зажимов проверяемых цепей убирайте и подключайте прибор и образцовые средства измерений согласно схемам, приведенным в
Приложении:
- по
рис. 1 прибор с входным сигналом от термоэлектрического преобразователя типа ТПР;
-
рис. 2 - с входным сигналом от термоэлектрического преобразователя типа ТХК, ТХА или ТПП;
-
рис. 3 - с входным сигналом 0...5 или 0...10 V;
-
рис. 4 - с входным сигналом 0...5 или 4...20 mA;
-
рис. 5 - с входным сигналом от термопреобразователей сопротивления.
На
рис. 6 (для приборов ДИСК-250) и
рис. 7 (для приборов ДИСК-250И) Приложения приведены схемы подключения поверочных средств, необходимых для определения погрешности приборов по преобразованию, сигнализации и регулированию.
Сопротивление резистора R1 на
рис. 1 и
2 вместе с выходным сопротивлением меры напряжения (образцовым потенциометром) и сопротивлением соединительных проводов должно быть в пределах

.
Сопротивление каждого из резисторов Rл1...Rл4 на
рис. 5 
.
Сопротивление резистора R1 на
рис. 6 и
7 должно быть

- для приборов с выходным сигналом 0...5 mA и

- с выходным сигналом 4...20 mA.
Значение контролируемого входного тока (mA) на
рис. 4 определяйте как частное от деления показаний цифрового вольтметра ЦВ (mV) на номинальное значение сопротивления резистора R2

.
Значение контролируемого выходного тока (mA) по
рис. 6 и
7 определяйте как частное от деления показаний цифрового вольтметра PV1 (V) на номинальное значение сопротивления резистора R1

.
4.5. Индикацию о включении прибора в сеть питания проверяйте включением сетевого тумблера. При этом должен загореться верхний светодиод в центре панели установки заданий прибора.
4.6. Заход указателя за крайние отметки шкалы проверяйте, изменяя входной сигнал таким образом, чтобы указатель установился на упоре, и измеряя расстояние от конца указателя до средней линии начальной (конечной) отметки шкалы штангенциркулем.
Прибор считается выдержавшим испытание, если заходы составляют не менее 6 mm каждый.
4.7. Для проверки быстродействия скачкообразно изменяйте входной сигнал от значения, соответствующего начальной отметке шкалы, до значения, соответствующего конечной отметке. С помощью секундомера определяйте время, за которое указатель прибора переместится от начальной до конечной отметки.
Аналогично определяйте время при движении указателя в обратную сторону.
Быстродействие определяйте как среднее арифметическое четырех измерений.
Прибор считается выдержавшим испытание, если быстродействие не превышает 5 или 16 s (в зависимости от модификации прибора).
4.8. Качество регистрации проверяйте на приборе в течение не менее 2 h, установив при этом значение входного сигнала, соответствующее верхнему пределу измерения.
Прибор считается выдержавшим испытания, если ширина линии регистрации, измеренная измерительной лупой, не превышает 0,8 mm.
4.9. Допустимое число полуколебаний (характер успокоения) указателя прибора проверяйте на трех числовых отметках шкалы (примерно 10, 50 и 90%) при скачкообразном изменении входного сигнала со стороны возрастающих и убывающих значений. Значение изменения входного сигнала должно быть не менее 40% от диапазона измерения.
Прибор считается выдержавшим испытание, если указатель устанавливается не более чем после трех полуколебаний.
4.10. Определение основной погрешности
4.10.1. Перед испытаниями прибора установите на предварительный прогрев в течение минимум:
2h - для приборов, имеющих компенсацию термо-ЭДС свободных концов термоэлектрического преобразователя;
0,5h - для остальных приборов.
4.10.2. Основную погрешность определяйте:
- по показаниям не менее чем на пяти отметках шкалы, интервал между которыми не должен превышать 30% диапазона измерения, включая начальную и конечную отметки;
- по регистрации не менее чем на трех линиях отсчета диаграммного диска, включая начальную и конечную линии;
- по преобразованию - не менее чем при пяти значениях выходного сигнала, интервал между которыми не должен превышать 30% от диапазона измерения выходного сигнала, включая нижнее и верхнее; предельные значения;
- по регулированию и сигнализации не менее чем на трех отметках шкалы примерно 20, 50 и 70% от диапазона измерения;
- по ПИ-регулированию - при положении уставки, соответствующем примерно 20, 50, 80% от диапазона измерения.
4.10.3. При проверке подключайте прибор согласно
п. 4.4.
При проверке приборов по
рис. 2 Приложения подключайте ко входу термоэлектродные провода ТП, соответствующие его градуировочной характеристике. Концы проводов соединяйте с медными проводами и спаи их помещайте в термостат Т со стабильной температурой, измеряемой термометром для введения поправки на температуру термостата. Спаи медных и термоэлектродных проводов должны быть помещены в термостат не менее чем за 2 h до начала поверки.
Термоэлектродные провода должны быть аттестованы органами метрологической службы.
Допускается каждый термоэлектродный провод составлять из двух частей ТП1' и ТП1'', ТП2' и ТП2''. При этом части термоэлектродных проводов ТП1' и ТП2' должны быть установлены в термостате, а части термоэлектродных проводов ТП1'' и ТП2'' должны быть подключены к прибору не менее чем за 2 h до поверки. В этом случае части ТП1' с ТП1'' и ТП2' с ТП2'' допускается соединять непосредственно перед поверкой.
4.10.4. Основную погрешность прибора по показаниям определяйте следующим образом. Указатель прибора с помощью меры входного сигнала (образцового потенциометра по
рис. 1 и
2 Приложения, источника регулируемого напряжения по -
рис. 3 и
4, магазина сопротивлений - по
рис. 5) установите до проверяемой отметки шкалы со стороны меньших значений и медленно увеличивая входной сигнал, доведите указатель до совмещения с этой отметкой и определите значение входного сигнала

. Затем установите указатель до проверяемой отметки со стороны больших значений и медленно уменьшая входной сигнал, доведите его до совмещения с этой отметкой и определите значение входного сигнала

.
Основную абсолютную погрешность по показаниям определяйте как наибольшее из двух значений

и

, рассчитанных по формулам

; (1)

, (2)
где

- номинальное значение входного сигнала, соответствующее проверяемой отметке, mV,

, V, mA,

,

- значения входного сигнала на проверяемой отметке шкалы при подходе указателя к этой отметке со стороны соответственно возрастающих и убывающих значений, mV,

, mA;

- значение термо-ЭДС по
ГОСТ 3044-84, mV, соответствующее принятому значению температуры термостата при поверке приборов по
рис. 2 Приложения, в остальных случаях

;

- поправка на исключаемую систематическую составляющую погрешности поверки, mV, определяемую как разность между термо-ЭДС компенсационных проводов соответствующей характеристики по
ГОСТ 3044-84 и термо-ЭДС, применяемых аттестованных компенсационных проводов при поверке по
рис. 2, в остальных случаях

.
Значения

для приборов с входным сигналом от термоэлектрических преобразователей и термопреобразователей сопротивления берут, соответственно, по
ГОСТ 3044-84 и
ГОСТ 6651-84; значения

для приборов с входным сигналом по
ГОСТ 26.011-80 рассчитывайте по формуле

, (3)
где Д - нормирующее значение, V, mA; N - числовое значение проверяемой отметки шкалы;

,

- числовые значения соответственно верхней и нижней отметок шкалы;

- нижнее предельное значение входного сигнала, V, mA.
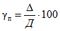
Основную приведенную погрешность прибора по показаниям, в процентах, рассчитывайте по формуле

, (4)
4.10.5. Основную погрешность прибора по регистрации определяйте следующим образом.
С помощью меры входного сигнала установите перо левее проверяемой линии отсчета диаграммного диска и, медленно изменяя входной сигнал, совместите перо с этой линией и определите значение входного сигнала

, затем перо установите правее проверяемой линии и, медленно изменяя входной сигнал, совместите его с этой линией и определите значение входного сигнала

.
Основную абсолютную погрешность по регистрации определяйте как наибольшее из двух значений

и

, рассчитанных по формулам

; (5)

, (6)
где

- номинальное значение входного сигнала, соответствующее нижнему пределу измерения mV,

, mA;

,

- соответственно действительная и номинальная ширина поля регистрации диаграммного диска, mm;

- номинальное значение входного сигнала, соответствующее проверяемой линии регистрации диаграммного диска mV,

, V, mA;

,

- значения входного сигнала на проверяемой линии диаграммного диска при подходе пера к этой линии со стороны соответственно возрастающих и убывающих значений mV,

, V, mA;

,

- то же, что и в
формулах (1) и
(2).
Значение

для приборов с входным сигналом от термоэлектрических преобразователей и термопреобразователей сопротивления берите, соответственно, по
ГОСТ 3044-84 и
ГОСТ 6651-84; значение

для приборов с входным сигналом по
ГОСТ 26.011-80 рассчитывайте по формуле

, (7)
где Д - нормирующее значение, V, mA; У - числовое значение проверяемой отметки линии отсчета, %;

,

- числовые значения соответственно верхней и нижней линии отсчета диаграммного диска, %;

- то же, что и в
формуле (3).
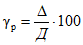
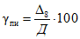
Основную приведенную погрешность по регистрации

, в процентах, рассчитывайте по формуле

, (8)
где

- наибольшее значение, полученное по
формулам (5) и
(6); Д - нормирующее значение, mV,

, V, mA.
В
формулах (5) и
(6) принимайте

, если отклонение между ними не превышает +/- 0,18 mm.
Примечание. Перед определением погрешности прибора по регистрации убедитесь в правильности установки диаграммного диска путем полного поворота диска вокруг оси вращения, при этом перо регистрирующего устройства не должно выходить за пределы поверяемой линии отсчета более чем на диаметр пера.
4.10.6. Основную погрешность по преобразованию определяйте следующим образом. С помощью меры входного сигнала доведите значение выходного сигнала до равенства контролируемому с точностью +/- 5 mV и определите значение входного сигнала

.
Основную абсолютную погрешность прибора по преобразованию рассчитывайте по формуле

, (9)
где

- то же, что и в
формулах (1) и
(2), mV,

;

- значение входного сигнала, соответствующее контролируемому значению выходного сигнала mV,

;

,

- то же, что и в
формулах (1) и
(2).
Значение контролируемого выходного сигнала

(mV) рассчитывается по формуле

, (10)
где

,

- соответственно верхнее и нижнее предельные значения выходного сигнала тока, mA;

,

- соответственно верхнее и нижнее предельные значения входного сигнала, mV,

, R1 - значение сопротивления резистора R1 в схеме
рис. 6 Приложения,

.
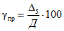
Основную приведенную погрешность по преобразованию

в процентах, рассчитывайте по формуле

, (11)
где

- значение, полученное но
формуле (9), mV,

; Д - нормирующее значение, mV,

.
4.10.7. Основную погрешность прибора по регулированию определяйте следующим образом:
1) установку задания верхнего предела зоны регулирования при определении погрешности по нижнему пределу зоны уведите к конечной отметке шкалы (уставку нижнего предела при определении погрешности по верхнему пределу зоны регулирования уведите к начальной отметке).
Установите задание нижнего (верхнего) предела зоны регулирования на проверяемую отметку шкалы. Указатель прибора с помощью меры входного сигнала устанавливают правее (левее) проверяемой отметки, при этом: светодиоды нижнего и верхнего пределов должны быть погашены, напряжение, контролируемое вольтметрами PV2 и PV3 (см.
рис. 6,
7 Приложения), должно быть не более +/- 1,0 V;
2) медленно уменьшайте (увеличивай) входной сигнал до тех пор, пока не загорится светодиод нижнего (верхнего) предела, и определите значение входного сигнала

. При этом напряжение, контролируемое вольтметром RV2 (RV3), должно быть (24 +/- 2,4) V.
Основную абсолютную погрешность по регулированию рассчитайте по формуле:

, (12)
где

- основная абсолютная погрешность, mV,

, V, mA;

,

,

- то же, чго и в
формулах (1) и
(2);

- значение входного сигнала, соответствующее зажиганию светодиода нижнего (верхнего) предела, mV,

, V, mA
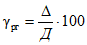
Основную приведенную погрешность по регулированию

, в процентах, рассчитывают по формуле:

, (13)
где

- основная абсолютная погрешность, mV,

, V, mA;

,

- то же, что в
формуле (4).
4.10.8. Определение погрешности по сигнализации проводится по методике п. 4.10.7. Операции, производимые при определении погрешности сигнального устройства нижнего (верхнего) предельного значения, должны быть теми же, что при определении погрешности установки задания нижнего (верхнего) предела зоны регулирования.
При погасании светодиодов сигнализации нижнего предела должна загораться лампа H2 (см.
рис. 6 Приложения) и гаснуть лампа H1, при загорании этого светодиода должна гаснуть лампа H2 и загораться лампа H1.
При загорании светодиода сигнализации верхнего предела должна загораться лампа H4 и гаснуть лампа H3, при погасании этого светодиода должна гаснуть лампа H4 и загораться лампа H3.
4.10.9. Основную погрешность прибора по ПИ-регулированию определяйте следующим образом:
установить задание на поверяемую отметку шкалы (20, 50, 80% от диапазона измерения) при значении коэффициента пропорциональности, равном 1. С помощью меры входного сигнала установите начальное значение выходного сигнала, равное 5,0 V, и на мере входного сигнала определите значение входного сигнала

.
Основную абсолютную погрешность прибора по ПИ-регулированию

определяйте по формуле:

, (14)
где

- основная абсолютная погрешность, mV,

, V, mA;

- значение входного сигнала, mV,

, V, mA;
Основную приведенную погрешность прибора по ПИ-регулированию

, в процентах, рассчитывайте но формуле:

, (15)
4.10.10. Проверку выходных сигналов, номинальной статической характеристики преобразования ПИ-закона регулирования проводите одновременно с определением основной погрешности по преобразованию и ПИ-регулированию, контролируя соответствие значений выходного сигнала заданным значениям входного сигнала.
Выходные сигналы по каналу преобразования должны соответствовать 0 - 5 или 4 - 20 mA по ГОСТ 26.011-80.
Выходной сигнал ПИ-регулирующего устройства должен соответствовать 0 - 5 mA по ГОСТ 26.011-80.
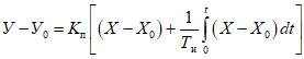
Математическое описание закона ПИ-регулирования должно соответствовать формуле:

, (16)
где X,

- значения информативного параметра входного сигнала о фактическом и заданном значениях регулируемой величины, соответственно;
У,

- значения выходного сигнала, соответственно текущее и начальное, равное 0,5;

- коэффициент пропорциональности;

- постоянная времени интегрирования, s;
t - текущее значение времени, s.
Примечание. Значения X,

, У,

входят в математическое описание закона регулирования в безразмерной форме.
Приборы считаются выдержавшими испытания, если погрешности, рассчитанные по
формулам (4),
(8),
(11),
(13) и
(15), не превышают пределов:
+/- 0,5 по показаниям и по преобразованию;
+/- 1,0 по регистрации, регулированию и сигнализации.
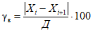
4.11. Вариацию показаний регистрации определяйте одновременно с определением основной погрешности по этим функциям. Приведенную вариацию

, в процентах, рассчитывайте по формуле

, (17)
где

- то же, что

,

,

в формулах соответственно
(1),
(3),
(12);

- то же, что

,

,

в формулах соответственно
(2),
(6),
(18); Д - нормирующее значение.
Приборы считаются выдержавшими испытания, если вариация не превышает половины абсолютного значения предела допускаемой основной погрешности.
4.11.1. Зону возврата по регулированию и сигнализации определяйте одновременно с определением основной погрешности по регулированию и сигнализации.
При увеличении (уменьшении) входного сигнала определите его значение

в момент погасания светодиодов регулирования и сигнализации нижнего (верхнего) предела.
Зону возврата

, в процентах, по регулированию и сигнализации рассчитывайте по формуле:

, (18)
где

- то же, что в
формуле (12);

- значение входного сигнала в момент погасания светодиодов регулирования и сигнализации нижнего (верхнего) предела; Д - то же, что в
формуле (4).
4.12. Индикацию о выходе контролируемого параметра за пределы заданных значений проверяйте одновременно с определением основной погрешности по регулированию и сигнализации.
Приборы считаются выдержавшими испытания, если:
при уменьшении (увеличении) параметра и выходе его за нижний (верхний) предел зоны регулирования загорается нижний (верхний) светодиод в левой части панели установок заданий прибора;
при уменьшении (увеличении) параметра и выходе его за нижний (верхний) установленный предел устройства сигнализации загорается нижний (верхний) светодиод в правой части панели установок заданий прибора.
4.13. Индикацию обрыва чувствительного элемента датчика проверяйте, подключая прибор по
рис. 2 и
5 Приложения.
Прибор считается выдержавшим испытание, если при отключении проводов от образцового потенциометра или магазина сопротивлений загорается нижний светодиод панели установок задания прибора.
4.14. Отклонение средней скорости вращения диаграммного диска от номинальной определяйте по счетчику импульсов, работающему в режиме счета периодов напряжения питающей сети, питаемому от того же источника напряжения, что и прибор, в течение времени, необходимого для получения не менее 0,5 оборота диаграммного диска. Отклонение скорости определяйте следующим образом. Включите прибор и после начала перемещения диаграммного диска отключите его и сделайте отметку на диаграммном диске относительно неподвижной части прибора. Затем одновременно включите прибор и счетчик. По прошествии времени, необходимого для половины оборота диска, выключите прибор и счетчик и сделайте отметку на диаграммном диске относительно той же неподвижной части прибора.
Отклонение скорости

, в процентах, рассчитывайте по формуле:

, (19)
где

- время по делениям времени между указанными отметками, h;

- время вращения диска, h.
Для определения

для приборов с номинальной скоростью вращения диаграммного диска (оборот за 8 h) значения времени, считываемые по диаграммному диску, разделите на три.
Прибор считается выдержавшим испытание, если отклонение скорости, рассчитанное по
формуле (19), не превышает +/- 0,5%.
4.15. Проверку значений коэффициента пропорциональности

ПИ-регулирующего устройства проводите по схемам
рис. 6а (7а) Приложения.
Установите тумблер ПР-ОБР в положение ПР, тумблер П-ПИ в положение П, указатель прибора на начальную отметку шкалы резистором УСТАВКА при нажатой кнопке УСТАВКА, резисторы

,

в крайнее левое положение.
С помощью меры входного сигнала установите входной сигнал

, равным нижнему предельному значению, а затем контрольное значение

, равное не менее 80% диапазона, определяя при этом по цифровому вольтметру PV4 значения выходного сигнала соответственно

и

.
Затем резистор

установите в крайнее правое положение и повторите поверку, устанавливая контрольное значение входного сигнала, равное примерно 2%.
Минимальное и максимальное значения коэффициента пропорциональности

рассчитывайте по формуле:

, (20)
где

- контрольное значение входного сигнала, mV,

, V, mA;

- нижнее предельное значение входного сигнала, mV,

, V, mA.

,

- значения выходного сигнала соответственно при нижнем предельном и контрольном значениях входного сигнала, V;
4.16. Проверку минимальной и максимальной постоянной времени интегрирования проводите по
схемам 6а (7а) Приложения при коэффициенте пропорциональности, равном 1, следующим образом:
Установите входной сигнал равным 30% диапазона, с помощью резистора

выходной сигнал равным 8,0 V с точностью +/- 15 mV; тумблер П-ПИ в положение ПИ и по цифровому вольтметру PV4 фиксируйте изменение выходного сигнала

в интервале времени

; тумблер П-ПИ в исходное положение, резистор

в крайнее правое положение и повторите поверку.
Постоянную времени интегрирования

, в секундах, рассчитывайте по формуле:

, (21)
где

- изменение выходного сигнала за интервал времени

, V;

- интервал времени, равный не менее 2 и 200 s при минимальном и максимальном значениях соответственно.
Приборы считают выдержавшими испытание, если минимальное значение постоянной времени интегрирования не более 20 s, максимальное - не менее 2000 s.
5. ОФОРМЛЕНИЕ РЕЗУЛЬТАТОВ ПОВЕРКИ
5.1. Результаты первичной поверки предприятие-изготовитель оформляет записью в паспорте на прибор.
5.2. При положительных результатах поверки на прибор (с обратной стороны шкалы) нанесите оттиск поверительного клейма.
5.3. Приборы, не удовлетворяющие требованиям настоящих методических указаний, к выпуску в обращение не допускаются. Клеймо предыдущей поверки погасите.
СХЕМЫ ЭЛЕКТРИЧЕСКИЕ ПОДКЛЮЧЕНИЙ ПОВЕРОЧНЫХ СРЕДСТВ ДЛЯ ОПРЕДЕЛЕНИЯ ПОГРЕШНОСТИ ПРИБОРОВ |
| |
Обозначение | Наименование | Количество | Примечание |
PS | Поверяемый прибор | 1 | |
R1 | Резистор | 1 |
MH | Образцовый потенциометр | 1 |
| |
Обозначение | Наименование | Количество | Примечание |
PS | Поверяемый прибор | 1 | |
R1 | Резистор | 1 |
MH | Образцовый потенциометр | 1 |
T | Термостат | 1 |
t | Термометр | 1 |
ТП1', ТП1'' | Термоэлектродный провод одного металла | 2 |
ТП2', ТП2'' | Термоэлектродный провод другого металла | 2 |
| |
Обозначение | Наименование | Количество |
PS | Поверяемый прибор | 1 |
ИРН | Источник регулируемого напряжения 0...10 V | 1 |
ЦВ | Цифровой вольтметр | 1 |
| |
Обозначение | Наименование | Количество |
PS | Поверяемый прибор | 1 |
R2 | Образцовое сопротивление,  | 1 |
ИРН | Источник регулируемого напряжения 0...3 V | 1 |
ЦВ | Цифровой вольтметр | 1 |
| |
Обозначение | Наименование | Количество | Примечание |
PS | Поверяемый прибор | 1 | |
Rл1...Rл4 | Резистор | 4 |
МС | Магазин сопротивления | 1 |
| |
Обозначение | Наименование | Количество | Примечание |
A1 | Устройство преобразования | 1 | |
A2 | Сигнальное устройство МЕНЬШЕ | 1 | |
A3 | Сигнальное устройство БОЛЬШЕ | 1 | |
A4 | Регулирующее устройство | 1 | |
A6 | ПИ-регулирующее устройство | 1 | |
G | Источник питания 4 - 6 V | 1 | |
H1 - H4 | Индикаторная лампа 6,3 V | 4 | |
PS | Поверяемый прибор | 1 | |
PV1 | Вольтметр цифровой | 1 | |
PV2, PV3 | Вольтметр постоянного тока | 2 | |
R1 | Резистор  ,  | 1 | |
R2, R3 | Резистор  | 2 | |
R4 | Резистор  | 1 | |
| |
Обозначение | Наименование | Количество |
A1 | Устройство преобразования | 1 |
A2 | Сигнальное устройство МЕНЬШЕ | 1 |
A3 | Сигнальное устройство БОЛЬШЕ | 1 |
A4 | Регулирующее устройство | 1 |
A6 | ПИ-регулирующее устройство | 1 |
G | Источник питания 4 - 6 V | 1 |
H1...H4 | Индикаторная лампа 6,3 V | 4 |
PS | Поверяемый прибор | 1 |
PV1 | Вольтметр цифровой | 1 |
PV2, PV3 | Вольтметр постоянного тока | 2 |
R1 | Резистор  ,  | 1 |
R2, R3 | Резистор  | 2 |
R4 | Резистор  | 1 |