Главная // Актуальные документы // МетодикаСПРАВКА
Источник публикации
СПб, 2003
Примечание к документу
Документ утратил силу с 1 июня 2009 года в связи с введением в действие
МИ 2096-2009, утв. Ростехрегулированием 11.02.2009.
Взамен МИ 2096-90.
Название документа
"МИ 2096-2003. Рекомендация. Государственная система обеспечения единства измерений. Калориметры сжигания с бомбой (жидкостные). Методика поверки"
(утв. ВНИИМ им. Д.И. Менделеева 12.02.2003)
"МИ 2096-2003. Рекомендация. Государственная система обеспечения единства измерений. Калориметры сжигания с бомбой (жидкостные). Методика поверки"
(утв. ВНИИМ им. Д.И. Менделеева 12.02.2003)
Заместитель директора ФГУП
"ВНИИМ им. Д.И. Менделеева"
В.С.АЛЕКСАНДРОВ
12 февраля 2003 года
РЕКОМЕНДАЦИЯ
ГОСУДАРСТВЕННАЯ СИСТЕМА ОБЕСПЕЧЕНИЯ ЕДИНСТВА ИЗМЕРЕНИЙ
КАЛОРИМЕТРЫ СЖИГАНИЯ С БОМБОЙ (ЖИДКОСТНЫЕ)
МЕТОДИКА ПОВЕРКИ
МИ 2096-2003
Группа Т88.6
Разработана Всероссийским научно-исследовательским институтом метрологии им. Д.И. Менделеева (ВНИИМ им. Д.И. Менделеева) Госстандарта России.
Исполнители: Александров Ю.И., д.х.н.; Корчагина Е.Н., к.т.н. (руководитель темы).
Утверждена ВНИИМ им. Д.И. Менделеева 12 февраля 2003 г.
Зарегистрирована ВНИИМС 2003 г.
Взамен МИ 2096-90.
Настоящая рекомендация распространяется на калориметры сжигания с бомбой (жидкостные) с изотермической или адиабатической оболочкой (далее - калориметры), нормируемая погрешность определения энергетического эквивалента которых не превышает 0,1%, и устанавливает методику их первичной и периодической поверок, а также контрольных определений энергетического эквивалента.
Первичную поверку осуществляет предприятие-изготовитель при выпуске калориметров.
Контрольные определения энергетического эквивалента выполняют предприятия, применяющие калориметр.
Межповерочный интервал: не более одного года.
Рекомендация предназначена для применения в аналитических лабораториях энергетической, химической, угольной, нефтехимической, металлургической и других отраслей промышленности, а также в лабораториях научно-исследовательских институтов.
2. НОРМАТИВНЫЕ ССЫЛКИ, ОПРЕДЕЛЕНИЯ И ОБОЗНАЧЕНИЯ
2.1. В настоящей рекомендации использованы ссылки на следующие нормативные документы:
ГОСТ 8.395-80 ГСИ. Нормальные условия измерений при поверке. Общие требования;
ГОСТ 949-73 Баллоны стальные малой или средней емкости для газов на P <= 20 МПа;
ГОСТ 2179-75 Проволока из никеля и кремнистого никеля. Технические условия;
ГОСТ 5307-77 Проволока константановая неизолированная. Технические условия;
ГОСТ 5583-78 Кислород газообразный технический и медицинский. Технические условия;
ГОСТ 9147-80 Посуда и оборудование лабораторные фарфоровые. Технические условия;
ГОСТ 12026-76 Бумага фильтровальная лабораторная. Технические условия;
ГОСТ 18300-87 Спирт этиловый ректификованный технический. Технические условия;
ГОСТ 18389-73 Проволока из платины и ее сплавов. Технические условия;
ГОСТ 25336-82 Посуда и оборудование лабораторные стеклянные. Типы, основные параметры и размеры;
ГОСТ 29227-91 Посуда лабораторная стеклянная. Пипетки градуированные. Часть 1. Общие требования;
ГОСТ 29251-91 Посуда лабораторная стеклянная. Бюретки. Часть 1. Общие требования;
МИ 2552-99 ГСИ. Применение "Руководства по выражению неопределенности измерений";
ТУ 6-09-3880 Перхлорид магния безводный;
ТУ 6-09-4173-85 Ангидрид фосфорный;
ТУ 6-09-4711 Кальций хлористый.
2.2. В настоящей рекомендации использованы следующие основные термины, определенные в "Руководстве по выражению неопределенности измерений", разработанном в 1993 г. под эгидой Международного комитета мер и весов (МКМВ), Международной электротехнической комиссии (МЭК), Международной организации по стандартизации (ИСО), Международной Организации по законодательной метрологии (МОЗМ):
неопределенность (измерений): Параметр, связанный с результатом измерений и характеризующий рассеяние значений, которые могли бы быть обоснованно приписаны измеряемой величине;
стандартная неопределенность (u): Неопределенность результата измерений, выраженная в виде среднего квадратического отклонения (СКО);
расширенная неопределенность (U): Величина, определяющая интервал вокруг результата измерений, в пределах которого, как можно ожидать, находится большая часть распределения значений, которые с достаточным основанием могли бы быть приписаны измеряемой величине.
По общепринятым определениям результат измерений - это значение величины, полученное путем ее измерений. Точностной характеристикой конкретных результатов измерений однозначно может быть неопределенность (стандартная или расширенная).
2.3. В настоящей рекомендации использованы следующие обозначения:
xi - i-й результат измерения;

- среднее арифметическое значение результата измерений;
k - коэффициент охвата;
tp (v) - квантиль распределения Стьюдента для доверительной вероятности p и числа степеней свободы v;
uA - стандартная неопределенность, оцененная по типу A;
uB - стандартная неопределенность, оцененная по типу B;
uС - суммарная стандартная неопределенность;
Uр - расширенная неопределенность для уровня доверия p.
2.4. Различают два типа стандартной неопределенности:
- стандартная неопределенность, оцениваемая по типу A - путем статистического анализа результатов многократных измерений;
- стандартная неопределенность, оцениваемая по типу B - с использованием других способов.
Суммарную стандартную неопределенность вычисляют по формуле

.
Расширенную неопределенность вычисляют по формуле
U = k·uC.
В настоящей рекомендации определяющей является стандартная неопределенность, оцениваемая по типу A, обусловленная источниками неопределенности, имеющими случайный характер. Стандартной неопределенностью, оцениваемой по типу B, можно пренебречь.
При этом стандартную неопределенность, оцениваемую по типу A, вычисляют по формуле

,
где N - число измерений.
Расширенную неопределенность для уровня доверия p вычисляют по формуле
Up = tp (v)·uc = tp (v)·uA.
3.1. Энергетический эквивалент калориметра - это теплоемкость калориметрической системы, которую определяют как количество теплоты, необходимое для изменения температуры этой системы на 1 °C. Определение энергетического эквивалента равнозначно понятию "градуировка калориметра" (калибровка - для импортных средств измерений).
3.2. Поверка средств измерений - установление пригодности средств измерений (СИ) к применению на основании экспериментального определения метрологических характеристик и подтверждения их соответствия установленным требованиям.
При поверке СИ используют технические требования на эти СИ или нормативные документы (НД) на них, в которых регламентированы требования к погрешности этих СИ. Рассеяние измерений, выполняемых при поверке, характеризуют неопределенностью. При этом в НД на методики поверки указывают, в каком соотношении находятся расширенная неопределенность измерений при поверке и предел допускаемой погрешности СИ.
3.3. При поверке калориметра определяют его энергетический эквивалент. Расширенная неопределенность энергетического эквивалента не должна превышать предела допускаемой относительной погрешности калориметра, установленной в его НД. Значение энергетического эквивалента используют впоследствии для определения теплотворной способности топлива.
3.4. Метод определения энергетического эквивалента основан на сжигании эталонного вещества - бензойной кислоты К-3 в калориметрической бомбе при постоянном объеме в среде кислорода.
Энергетический эквивалент определяют как отношение количества теплоты, выделившейся при сгорании бензойной кислоты, к изменению температуры воды в калориметрическом сосуде.
3.5. Для изопериболических калориметров (т.е. калориметров с изотермической оболочкой) при расчете подъема температуры в калориметрическом сосуде вводят поправку на теплообмен калориметра с окружающей средой (см.
п. 9.2). Для калориметров с адиабатической оболочкой введение поправки на теплообмен калориметра с окружающей средой не требуется.
3.6. Измерения температуры в калориметрическом сосуде разбивают на три периода:
- начальный, предшествующий сжиганию навески, во время которого температура калориметрической системы изменяется за счет теплообмена с окружающей средой и теплоты перемешивания;
- главный, в котором происходит сгорание навески, передача выделившегося тепла всей калориметрической системе и выравнивание температуры всех ее частей;
- конечный, во время которого температура изменяется также за счет теплообмена и теплоты перемешивания.
4.1. При проведении поверки выполняют операции, указанные в таблице 1.
Таблица 1
Наименование операции | Номер пункта настоящей рекомендации | Проведение операции при |
| | первичной поверке | периодической поверке |
Внешний осмотр | | да | да |
Определение энергетического эквивалента | | да | да |
5.1. При проведении поверки применяют средства, указанные в таблице 2.
Таблица 2
Средства поверки и их метрологические характеристики
Номер пункта настоящей рекомендации | Средства поверки и их основные технические и (или) метрологические характеристики |
| Образцовая (эталонная) мера энергии сгорания - ГСО 5504-90 "Бензойная кислота К-3": удельная энергия сгорания: (26434 +/- 5) кДж/кг (навеска приведена к вакууму); молярная доля основного компонента: не менее 99,99% |
| Лабораторные (аналитические) весы с наибольшим пределом взвешивания: (НПВ) 200 г; предел допускаемой погрешности взвешивания: 0,2 мг |
| Стальные баллоны малой или средней емкости для газов на P <= 20 МПа по ГОСТ 949 |
| Приборы и оборудование в соответствии с нормативной и (или) технической документацией на конкретный тип калориметра |
| | ИС МЕГАНОРМ: примечание. В официальном тексте документа, видимо, допущена опечатка: пункты 8.2.5 и 8.2.6 в тексте документа отсутствуют. | |
|
8.2.5 | |
8.2.6 | |
5.2. Средства измерений, входящие в комплект калориметра, подлежат поверке в сроки, указанные в документации.
5.3. Допускается применение других средств поверки, не приведенных в
таблице 2, но обеспечивающих определение метрологических характеристик калориметра с требуемой точностью.
6. УСЛОВИЯ ПОВЕРКИ И ПОДГОТОВКА К НЕЙ
6.1. Калориметр поверяют на его рабочем месте.
6.1.1. При проведении поверки соблюдают нормальные условия в соответствии с требованиями
ГОСТ 8.395:
- температура окружающего воздуха, °C от 20 до 25;
- относительная влажность окружающего воздуха (60 +/- 20)%;
- напряжение питания переменного тока, В 220 (-15 ....... +10%);
- частота, Гц (50 +/- 1).
6.1.2. При проведении поверки отсутствуют:
внешние электрические и магнитные поля, влияющие на работоспособность калориметра; вибрация, тряска, удары; приборы и установки, интенсивно излучающие тепло и создающие потоки воздуха.
6.1.3. Калориметр защищают от прямого воздействия солнечных лучей.
6.2. Перед проведением поверки выполняют следующие подготовительные работы:
высушивают бензойную кислоту в эксикаторе над свежеприготовленным фосфорным ангидридом в течение 24 ч (возможна замена фосфорного ангидрида на осушители, близкие к нему по степени осушки: окись алюминия (Al2O3), окись бария (BaO), ангидрон (Mg(ClO4)2), окись кальция (CaO));
промывают пресс-форму способом, изложенным в
пп. 7.7 -
7.9;
приготавливают при помощи пресса для каждой бомбы шесть брикетов бензойной кислоты каждый массой (1,01 +/- 0,01) г и выдерживают в эксикаторе не менее трех суток до их использования;
подготавливают оборудование для работы с кислородом и монтируют приспособление для продувания и наполнения бомбы кислородом;
определяют массу запальной проволоки, применяемой для зажигания вещества. Для этого взвешивают ее с расширенной неопределенностью, не превышающей 0,2 мг. Допускается взвешивание 10 - 15 отрезков проволоки одинаковой длины (65 - 70 мм) и вычисление средней массы одного отрезка;
подготавливают 0,1 моль/дм3 раствора гидроксида калия или гидроксида натрия и 1%-ный спиртовой раствор метилового красного индикатора;
монтируют приспособление для титрования, состоящее из склянки с нижним тубусом вместимостью 1000 см3 и микробюретки вместимостью 5 см3;
выполняют другие регламентные работы, предусмотренные в технической документации на калориметр.
7. ТРЕБОВАНИЯ БЕЗОПАСНОСТИ
7.1. При проведении поверки соблюдают требования безопасности, изложенные ниже.
7.2. Калориметр заземляют.
7.3. При поверке используют кислород, полученный методом глубокого охлаждения атмосферного воздуха. Запрещается использовать кислород, полученный электролизом воды.
7.4. При работе с кислородом под давлением соблюдают
Правила установки и безопасной эксплуатации сосудов, работающих под давлением, и требования
ГОСТ 949.
7.5. Кислородный редуктор с манометрами, а также стойка с манометром и игольчатым клапаном имеют справки предприятия-изготовителя о пригодности их для работы с кислородом.
7.6. Калориметрические бомбы и манометр с кислородопроводными трубками имеют свидетельства об испытаниях их давлением 10,8 МПа (110 ат). Испытания проводят не реже одного раза в год, а также в случае износа или повреждения резьбы на корпусе и крышке бомбы.
7.7. Бомбы после испытания под давлением 10,8 МПа или после случайного загрязнения их, а также перед началом работы с новыми бомбами, даже при отсутствии в них явных следов масла и жира, протирают, разбирают и промывают бензином (или ацетоном), этиловым спиртом и дистиллированной водой, затем просушивают.
7.8. Пресс-форму в разобранном виде, ключи, кислородопроводные трубки, а также детали, находящиеся в соприкосновении с кислородом, обрабатывают способом, указанным в п. 7.7.
7.9. При промывании бомб и пресс-форм бензином и этиловым спиртом обеспечивают приточно-вытяжную вентиляцию и соблюдают требования безопасности по
ГОСТ 18300.
7.10. Запрещается наклоняться над калориметром в момент нажатия кнопки зажигания, а также в момент подачи сигнала "Опасно".
8.1.1. При внешнем осмотре устанавливают:
отсутствие внешних повреждений, влияющих на работоспособность калориметра;
комплектность и маркировку калориметра, отвечающую требованиям технической документации;
исправность органов управления, настройки и коррекции, отражающуюся на панели дисплея (для автоматизированных калориметров с процессором или компьютером);
исправность принтера (для автоматизированных калориметров с процессором);
исправность системы заполнения калориметрических бомб кислородом.
8.1.2. Калориметры, забракованные при внешнем осмотре, дальнейшей поверке не подлежат.
8.2. Определение энергетического эквивалента
8.2.1. Для определения энергетического эквивалента в соответствии с руководством по эксплуатации калориметра проводят по шесть сжиганий бензойной кислоты марки К-3 в каждой калориметрической бомбе.
8.2.2. За значение энергетического эквивалента

(в джоулях на кельвин) для каждой бомбы принимают среднее арифметическое значение шести измерений (N = 6).
Определение энергетического эквивалента проводят не реже чем один раз в три месяца, а также после ремонта или замены любой части системы.
Значение энергетического эквивалента

используют в течение всего периода до следующей градуировки.
8.2.3. Для определения энергетического эквивалента выполняют следующие операции:
взвешивают брикет бензойной кислоты на лабораторных весах;
помещают тигель с брикетом бензойной кислоты в кольцо держателя бомбы. Конец запальной проволоки закрепляют на электроде и прижимают трубкой (возможен другой метод крепления). Второй конец проволоки продевают через отверстие брикета, закрепляют на другом электроде и также прижимают трубкой. Брикет должен провисать в тигель, при этом проволока не касается тигля;
наливают 1 см3 дистиллированной воды в корпус бомбы;
устанавливают бомбу на подставку и присоединяют к приспособлению для наполнения бомбы кислородом. Подачу кислорода в бомбу регулируют игольчатым клапаном. Вначале бомбу продувают при давлении 0,49 МПа (5 ат) в течение 2 мин, затем за 1 - 2 мин медленно наполняют кислородом до давления 2,94 МПа (30 ат);
выполняют последующие операции градуировки калориметра, описанные в руководстве по эксплуатации.
8.2.4. По завершении измерений снимают крышку с калориметра и вынимают сосуд (для калориметров типа В-08МА, В-08 АВТОМАТ), затем вынимают бомбу из сосуда или из калориметра (для калориметра АБК-1);
снимают колпачки с клапанов бомбы, открывают выходной клапан и выпускают газ, затем разбирают бомбу;
собирают остатки запальной проволоки и взвешивают их на лабораторных весах.
При отсутствии вкраплений сажи внутри бомбы или несгоревшей бензойной кислоты смывают крышку, корпус и тигель тонкой струйкой дистиллированной воды в стакан, при этом используют минимальное количество смывной воды, желательно не более 350 см3. Добавляют две капли метилового красного индикатора и титруют 0,1 моль/дм3 раствором гидроксида натрия (или калия). Измеряют объем раствора гидроксида, израсходованный на титрование, с целью определения поправки на образование азотной кислоты.
Бомбу и тигель промывают несколько раз дистиллированной водой. Протирают и просушивают бомбу при открытых клапанах. Если внутри бомбы имеются вкрапления сажи или несгоревшая бензойная кислота, результат считают недействительным.
9. ОБРАБОТКА РЕЗУЛЬТАТОВ ИЗМЕРЕНИЙ
9.1. Для автоматизированных калориметров с процессором или компьютером обработку результатов измерений проводят с использованием математического аппарата калориметра, который позволяет получить на дисплее прибора (или компьютера) значение энергетического эквивалента в каждом калориметрическом опыте.
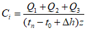
9.2. Для неавтоматизированных изопериболических калориметров (т.е. калориметров с изотермической оболочкой) типа В-08МА значение энергетического эквивалента вычисляют по формуле

, (1)
где Q1 - количество теплоты, выделившейся при сгорании бензойной кислоты,
Q1 = q1 * m1, Дж;
Q2 = q2 * m2 - количество теплоты, выделившейся при сгорании запальной проволоки, Дж;
Q3 = q3 * V - количество теплоты, выделившейся при образовании и растворении в воде азотной кислоты, Дж;
tn - показание термометра, соответствующее конечной температуре главного периода в делениях шкалы термометра;
t0 - показание термометра, соответствующее начальной температуре главного периода в делениях шкалы термометра;

- поправка на теплообмен калориметрической системы с окружающей средой в делениях шкалы термометра;
z - средняя цена деления шкалы термометра.
В приведенных выше формулах использованы следующие величины:
q1 - удельная энергия сгорания бензойной кислоты К-3, Дж/г;
m1 - масса бензойной кислоты, г;
q2 - удельная энергия сгорания проволоки, Дж/г;
m2 - масса сгоревшей проволоки, равная разности масс проволоки до и после сжигания, г;
q
3 - теплота образования 1 см
3 0,1 моль/дм
3 раствора азотной кислоты, равная 5,8 Дж/см
3, рассчитанная из значения удельной теплоты образования азотной кислоты q
4, указанной в
Приложении В;
V - объем точно 0,1 моль/дм3 раствора гидроксида, израсходованного на титрование, см3.
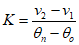
Поправку на теплообмен калориметра с окружающей средой вычисляют по формуле

,
где

- константа охлаждения калориметра;

и

- средние скорости изменения температуры (температурный ход) в начальном и конечном периодах соответственно, за полуминутный промежуток, °C/инт;

и

- средние температуры начального и конечного периодов соответственно, °C;
ti - i-я температура калориметра при некотором промежуточном отсчете в главном периоде, °C;

- сумма промежуточных отсчетов значений температуры калориметра в главном периоде, °C;
t' и t" - начальная температура начального периода и конечная температура конечного периода соответственно, °C;
n0, n, nn - число измерений в начальном, главном и конечном периодах соответственно.
9.3. За значение энергетического эквивалента (в джоулях на кельвин) принимают среднее арифметическое значение энергетического эквивалента, полученное по формуле

. (2)
9.4. Расширенную неопределенность для уровня доверия p = 0,95 оценивают по формуле

, (3)
где tp(v) = 2,6 - квантиль распределения Стьюдента для доверительной вероятности 0,95 и числа степеней свободы v = 6 - 1.
9.5. Относительную расширенную неопределенность значения энергетического эквивалента калориметра для уровня доверия P рассчитывают по формуле

. (4)
9.6. Результаты определения энергетического эквивалента считают удовлетворительными, и полученное значение C используют при определении энергии сгорания топлива, если относительная расширенная неопределенность энергетического эквивалента для уровня доверия P = 0,95

не превышает 0,1%. В противном случае выявляют и устраняют причины, влияющие на разброс показаний, и повторяют серию измерений. Если повторная серия не дает удовлетворительного результата, то калориметр признают негодным к применению.
10. ОФОРМЛЕНИЕ РЕЗУЛЬТАТОВ ПОВЕРКИ
10.1. Если калориметр по результатам первичной поверки предприятия-изготовителя признан пригодным к применению, в его паспорте делают отметку о первичной поверке и заверяют ее поверительным клеймом по
ПР 50.2.007.
10.2. После установки калориметра на месте его эксплуатации проводят внеочередную поверку.
10.3. Калориметры не реже одного раза в год подвергают периодической поверке.
10.4. Результаты поверки заносят в протокол, форма которого приведена в
Приложении Г.
10.5. На калориметры, признанные годными при периодической поверке, выдают свидетельство о поверке в соответствии с
ПР 50.2.006.
10.6. Если калориметр по результатам поверки признан негодным к применению, свидетельство о поверке аннулируют и выдают извещение о непригодности с указанием причин в соответствии с
ПР 50.2.007.
10.7. Через квартал после периодической поверки и далее ежеквартально до следующей поверки (т.е. минимум три раза в год) метрологическая или выполняющая эти функции другая служба предприятия-потребителя проводит контрольные определения энергетического эквивалента. Полученные при этом значения энергетического эквивалента калориметра используют до следующих контрольных определений. При этом заполняют протокол, аналогичный указанному в
Приложении Г, который утверждает главный инженер предприятия.
10.8. Внеочередные контрольные определения энергетического эквивалента также проводят:
при замене частей бомбы,
сосуда,
термометров и т.д.
ПЕРЕЧЕНЬ СТЕКЛЯННОЙ ЛАБОРАТОРНОЙ ПОСУДЫ,
ПРИМЕНЯЕМОЙ ПРИ ПОВЕРКЕ
Наименование | Объем, см3 | НД |
Колба | 1000 | |
Стакан | 250 | То же |
Колба с тубусом | 1000 | " |
Эксикатор диаметром 190 мм | - | " |
Микробюретка типа 1 | 5 | |
Пипетки | 1 и 10 | |
Вставка для эксикатора диаметром 175 мм | | |
Стаканчики для взвешивания | - | |
| | |
ПЕРЕЧЕНЬ РЕАКТИВОВ И МАТЕРИАЛОВ, ПРИМЕНЯЕМЫХ
ПРИ ПОВЕРКЕ
1. | Кислород газообразный технический или медицинский по ГОСТ 5583. |
2. | Проволока запальная диаметром 0,1 - 0,2 мм: стальная; хромоникелевая; |
3. | Фосфорный ангидрид по ТУ 6-09-4173 или перхлорид магния безводный по ТУ 6-09-3880 или кальций хлористый по ТУ 6-09-4711. |
4. | |
5. | Метиловый красный индикатор. |
6. | |
7. | |
8. | Спирт этиловый ректификованный технический по ГОСТ 18300. |
9. | Бензин для промышленно-технических целей или нефрас по ГОСТ 8505. |
10. | Пресс-форма для брикетирования. |
СВОЙСТВА ВЕЩЕСТВ И МАТЕРИАЛОВ, ПРИМЕНЯЕМЫХ ПРИ ПОВЕРКЕ
1. | Значение энергии сгорания бензойной кислоты К-3, взвешенной в воздухе, принято равным qi = 26454 кДж/кг. |
2. | Плотность бензойной кислоты ps = 1320 кг/м3. |
3. | Энергия сгорания проволоки q2: |
никелевой - | 3240 кДж/кг, |
константановой - | 3140 кДж/кг, |
медной - | 2510 кДж/кг, |
стальной - | 6690 кДж/кг, |
хромоникелевой - | 1402 кДж/кг, |
платиновой - | 420 кДж/кг. |
4. | Удельная теплота образования и растворения азотной кислоты: |
q4 = 57,8 кДж/моль = 0,92 кДж/г, | М = 63 г. |
ПРИМЕРЫ ЗАПИСИ ПРОТОКОЛОВ ПОВЕРКИ
ПРИМЕР 1. Калориметр АБК-1
Зав. N 10
Дата выпуска _____________________________________
Дата поверки _____________________________________
Условия поверки: температура окружающего воздуха _______ °C;
атмосферное давление ____________________ кПа;
относительная влажность ___________________ %.
Результаты поверки
1. Результаты внешнего осмотра ________________________________________
2. Результаты определения энергетического эквивалента (приложить
распечатки)
| Результаты отдельных измерений энергетического эквивалента для калориметра с бомбой N 1, Дж/К | Результаты отдельных измерений энергетического эквивалента для калориметра с бомбой N 2, Дж/К |
1 | | |
2 | | |
3 | | |
4 | | |
5 | | |
6 | | |
Среднее арифметическое значение | | |
Расширенная неопределенность (для уровня доверия 0,95) значения энергетического эквивалента
Относительная расширенная неопределенность (для уровня доверия 0,95) значения энергетического эквивалента:
3. Заключение: результаты поверки калориметра показали, что относительная расширенная неопределенность значения энергетического эквивалента (для уровня доверия 0,95) не превышает 0,1%, и калориметр пригоден к применению.
Поверитель _____________ ____________________
Подпись И.О. Фамилия
Дата "___"____________ 200 г.
ПРИМЕР 2. Калориметр В-08МА
Зав. N 1535, бомба типа 2 N 25
Предприятие-изготовитель: Алма-Атинский опытный завод "Эталон"
Дата выпуска _______________________________________________
Дата поверки _______________________________________________
Условия поверки: температура окружающего воздуха ____________ °C;
атмосферное давление ____________________________ кПа;
относительная влажность _________________________ %.
Таблица 1
Регистрация температуры калориметра (в вольтах)
с применением цифрового вольтметра
Номера измерений | Показания по шкале термометра в периоде |
начальном | главном | конечном |
1 | t' = | 0,7819 | | 1,4838 | | 2,8719 |
2 | | 0,7850 | | 2,5092 | | 2,8724 |
3 | | 0,7881 | | 2,7575 | | 2,8728 |
4 | | 0,7912 | | 2,8182 | | 2,8733 |
5 | | 0,7943 | | 2,8404 | | 2,8737 |
6 | | 0,7974 | | 2,8517 | | 2,8742 |
7 | | 0,8005 | | 2,8586 | | 2,8748 |
8 | | 0,8035 | | 2,8626 | | 2,8752 |
9 | | 0,8067 | | 2,8650 | | 2,8758 |
10 | | 0,8098 | | 2,8664 | | 2,8768 |
11 | | 0,8129 | | 2,8674 | | 2,8773 |
12 | | 0,8160 | | 2,8679 | | 2,8777 |
13 | | 0,8191 | | 2,8682 | | 2,8783 |
14 | | 0,8222 | | 2,8684 | | 2,8787 |
15 | | 0,8253 | | 2,8686 | | 2,8793 |
16 | | 0,8284 | | 2,8699 | | 2,8799 |
17 | | 0,8315 | | 2,8690 | | 2,8804 |
18 | | 0,8346 | | 2,8692 | | 2,8809 |
19 | | 0,8376 | | 2,8695 | | 2,8816 |
20 | | 0,8408 | | 2,8697 | t'' = | 2,8820 |
21 | t0 = | 0,8438 | | 2,8701 | |
22 | | | 2,8703 | |
23 | | | 2,8708 | |
24 | | | 2,8712 | |
25 | | tn = | 2,8715 | |
РАСЧЕТ ЗНАЧЕНИЯ ЭНЕРГЕТИЧЕСКОГО ЭКВИВАЛЕНТА
Исходные данные для расчетов
m1 = 1,1420 г; | m2 = 0,0105 г; | q1 = 26454 Дж/г; q2 = 3240 Дж/г; |
q3 = 5,8 Дж/см3; | V = 0,46 см3; | z = 1,0114 °C/дел; |
M = 4900 г (масса калориметрического сосуда с водой). |
Температура оболочки: (27,12 +/- 0,03) °C. Температура комнаты: 20,1 °C.
Расчет:
Q1 = q1m1 = 26454·1,1420 = 30211,4 Дж;
Q2 = q2m2 = 3240·0,0105 = 34,0 Дж;
Q3 = q3V = 5,8·0,46 = 2,7 Дж;
Q = 30211,4 + 34,0 + 2,7 = 30248,1 Дж.
Рассчитывают поправку на теплообмен:

;

;

;

;

;

;

;

;

;

.
РАСЧЕТ СРЕДНЕГО ЗНАЧЕНИЯ ЭНЕРГЕТИЧЕСКОГО
ЭКВИВАЛЕНТА И ПОГРЕШНОСТИ
Таблица 2
Номер определения | Ci | | |
1 | 14875,0 | -10,48 | 109,90 |
2 | 14893,7 | 8,22 | 67,51 |
3 | 14883,8 | -1,68 | 2,83 |
4 | 14884,3 | -1,18 | 1,40 |
5 | 14887,4 | 1,92 | 3,67 |
6 | 14888,7 | 3,22 | 1,35 |
Среднее арифметическое значение | 14885,48 | | |
| | |  . |
Расширенная неопределенность (для уровня доверия 0,95) значения энергетического эквивалента:
Относительная расширенная неопределенность (для уровня доверия 0,95) значения энергетического эквивалента:
3. Заключение: результаты поверки калориметра показали, что относительная расширенная неопределенность значения энергетического эквивалента (для уровня доверия 0,95) не превышает 0,1% и калориметр пригоден к применению.
Поверитель _______________ ______________________
подпись И.О. Фамилия
Дата "____" ___________ 200 г.