Главная // Актуальные документы // МетодикаСПРАВКА
Источник публикации
Документ опубликован не был
Примечание к документу
Название документа
"РД 153-34.3-35.125-99. Руководящие документы. Руководство по защите электрических сетей 6 - 1150 кВ от грозовых и внутренних перенапряжений. Часть 1. Защита от внутренних перенапряжений электрических сетей 110 - 1150 кВ"
(утв. РАО "ЕЭС России" 12.07.1999)
"РД 153-34.3-35.125-99. Руководящие документы. Руководство по защите электрических сетей 6 - 1150 кВ от грозовых и внутренних перенапряжений. Часть 1. Защита от внутренних перенапряжений электрических сетей 110 - 1150 кВ"
(утв. РАО "ЕЭС России" 12.07.1999)
Первый заместитель
председателя Правления
РАО "ЕЭС России"
О.В.БРИТВИН
12 июля 1999 года
РУКОВОДЯЩИЕ ДОКУМЕНТЫ
РУКОВОДСТВО
ПО ЗАЩИТЕ ЭЛЕКТРИЧЕСКИХ СЕТЕЙ 6 - 1150 кВ
ОТ ГРОЗОВЫХ И ВНУТРЕННИХ ПЕРЕНАПРЯЖЕНИЙ
РД 153-34.3-35.125-99
В "Руководстве" изложены методы расчета внутренних (коммутационных и резонансных) перенапряжений и выбора комплекса мер защиты от них в электрических сетях 110 - 1150 кВ с эффективно заземленной нейтралью, в электрических сетях 6 - 35 кВ с изолированной, компенсированной и резистивно-заземленной нейтралью, в том числе в системе собственных нужд электрических станций.
Приведены методы расчета грозоупорности и выбора средств ее повышения для воздушных линий электропередачи, РУ и подстанций 6 - 1150 кВ в зависимости от грозовой активности в регионе и использованных средств их защиты от грозовых перенапряжений.
"Руководство" предназначено для инженеров, работающих в области проектирования и эксплуатации энергосистем, электрических сетей и станций.
ПРЕДИСЛОВИЕ
Первое издание "Руководства по защите электрических сетей 6 - 1150 кВ от грозовых и внутренних перенапряжений" (в дальнейшем - "Руководство") было введено в действие в 1994 г. (РД 34.35.125-93).
По поручению Департамента стратегии развития и научно-технической политики РАО "ЕЭС России" АО НИИПТ и АО ВНИИЭ редакционно переработали, дополнили и подготовили к типографскому изданию вторую редакцию "Руководства". При ее подготовке учтен накопленный опыт защиты от перенапряжений в энергосистемах и научно-технический прогресс в этой области электроэнергетики. В частности, принято во внимание, что в России и других странах прекращен выпуск разрядников, вместо которых с середины 70-х годов производятся более эффективные ограничители перенапряжений разных типов. Добавлена глава о защите подстанций 110 - 750 кВ с элегазовыми КРУ. Основной текст "Руководства" значительно сокращен, а методические и справочные материалы перенесены в Приложения.
"Руководство" состоит из 3-х частей:
Часть 1. Защита от внутренних перенапряжений электрических сетей 110 - 1150 кВ;
Часть 2. Защита от внутренних перенапряжений электрических сетей 6 - 36 кВ;
Часть 3. Грозозащита линий и подстанций 6 - 1150 кВ.
В каждой части "Руководства" содержатся: рекомендации по защите от перенапряжений, Приложения с методиками и примерами расчета, справочные материалы, информация об имеющемся программном обеспечении расчетов перенапряжений различных видов.
В подготовке "Руководства" принимали участие АО НИИПТ (головная организация) и АО ВНИИЭ. Кроме них к разработке отдельных вопросов привлекались: АО ЭНИН, АО "Институт "Севзапэнергосетьпроект", АООТ НИИ "Электрокерамика", ЗАО НПО "Электрокерамика", ОАО "Корниловский фарфоровый завод", СПбГТУ и другие организации, что видно по списку составителей "Руководства".
Компьютерный набор "Руководства" подготовлен ЗАО НПО "Электрокерамика", макетирование - Петербургским энергетическим институтом повышения квалификации (ПЭИПК) Минтопэнерго РФ.
Отправной точкой для развития изложенных ниже методов расчета перенапряжений послужили фундаментальные труды проф. Л.И. Сиротинского, проф. А.А. Горева, проф. Н.Н. Щедрина, проф. И.С. Стекольникова, проф. Д.В. Разевига, проф. А.И. Долгинова, проф. М.Л. Левинштейна, проф. В.В. Бургсдорфа, проф. И.А. Груздева, к.т.н. Д.Е. Артемьева, к.т.н. А.А. Акопяна, к.т.н. А.В. Корсунцева и многих других отечественных ученых и специалистов, а также рекомендации СИГРЭ.
Научное руководство работой по подготовке 2-го издания "Руководства" осуществил академик РАН Н.Н. Тиходеев (АО НИИПТ).
Основными авторами и составителями "Руководства" являются:
по части 1 - проф., д.т.н. С.С. Шур (АО НИИПТ);
по части 2 - к.т.н., зав. сектором перенапряжений АО ВНИИЭ Н.Н. Беляков;
по части 3 - зав. сектором перенапряжений АО НИИПТ А.Н. Новикова.
Кроме них в подготовке отдельных разделов "Руководства" и Приложений к нему принимали участие следующие специалисты:
по внутренним перенапряжениям и защите от них -
к.т.н. В.Е. Розет (АООТ НИИ "Электрокерамика",
Приложение 4);
к.т.н. Г.М. Иманов (ЗАО НПО "Электрокерамика",
Приложение 4);
к.т.н. К.И. Кузьмичева (АО ВНИИЭ, часть 2);
по грозовым перенапряжениям и защите от них -
проф., член-корр. РАН М.В. Костенко (СПбГТУ, разделы 6, 7 и 9, приложение 17 - не приводится);
проф., д.т.н. Ф.Х. Халилов (СПбГТУ, раздел 9);
к.т.н. А.И. Таджибаев (ПЭИПК, раздел 9);
к.т.н. Н.И. Гумерова (СПбГТУ, раздел 9, приложения 31 и 33 - не приводятся);
к.т.н. С.М. Попов (АО ВНИИЭ, раздел 9, приложения 31 и 32 - не приводятся);
инженер Б.Б. Бочковский (АО ВНИИЭ, разделы 6 и 7, приложение 22 - не приводится);
д.т.н. Э.М. Базелян (АО ЭНИН, приложение 29 - не приводится);
к.т.н. М.Л. Фельдман (АО "Институт Севзапэнергосетьпроект", подраздел 8.3, приложение 28 - не приводится);
инженер М.Б. Кегелес (АО "Институт Севзапэнергосетьпроект", подраздел 8.3, приложение 30 - не приводится);
д.т.н. Б.В. Ефимов (Кольский НЦ РАН, приложение 21 - не приводится);
к.т.н. Я.А. Цирель (АО НИИПТ, приложение 15 - не приводится);
инженер О.В. Шмараго (АО НИИПТ, приложения 23 и 26 - не приводятся);
к.т.н. В.Я. Ерунов и инженер И.П. Полякова (АО НИИПТ, приложение 34 - не приводится).
С введением в действие "Руководства" утрачивают силу "Руководящие указания по защите электростанций и подстанций 3 - 500 кВ от прямых ударов молнии и грозовых волн, набегающих с линий электропередачи" (ОРГРЭС, 1975).
ЗАЩИТА ОТ ВНУТРЕННИХ ПЕРЕНАПРЯЖЕНИЙ
ЭЛЕКТРИЧЕСКИХ СЕТЕЙ 110 - 1150 кВ
СПИСОК ОСНОВНЫХ ОБОЗНАЧЕНИЙ ЧАСТИ 1
E - амплитуда э.д.с.;

- ожидаемое число воздействий внутренних перенапряжений в год;
P - передаваемая по ВЛ мощность;

- натуральная мощность ВЛ;

- функция распределения вероятностей случайной величины X;

- ресурс пропускной способности ОПН;

- номинальное напряжение;

- наибольшее рабочее напряжение;

- математическое ожидание случайной величины

;
X - реактивное сопротивление системы;

- волновое сопротивление линии;

- коэффициент несимметрии при однополюсном к.з.;
k - амплитуда (кратность) перенапряжений, возникающих в переходном режиме после аварийной или плановой коммутации;

- напряжение, остающееся на резисторе ограничителя;

- ожидаемое число коммутаций в год;

- вынужденная составляющая переходного процесса перенапряжений;

- индекс "е" обозначает ненасыщенное значение вынужденного напряжения;

- коэффициент затухания собственных колебаний электропередачи;

- частоты собственных колебаний электропередачи;

- ударный коэффициент перенапряжений;

- волновая длина линии;

- потокосцепление;

- значение угла между векторами э.д.с.

и

электропередачи;

- дисперсия случайной величины x;
(0); (1); (2) - индексы, определяющие параметры нулевой, прямой и обратной последовательности;
"п" и "р" - индексы, указывающие соответственно на питающий и разомкнутый концы электропередачи.
РАЗДЕЛ 1. ОБЩАЯ ХАРАКТЕРИСТИКА ВНУТРЕННИХ
ПЕРЕНАПРЯЖЕНИЙ В ЭЛЕКТРИЧЕСКИХ СЕТЯХ 110 - 1150 кВ
1.1. Введение. Основные определения
В 1 части даются рекомендации по защите от внутренних, резонансных и коммутационных перенапряжений сетей напряжением 110 - 1150 кВ. Здесь излагаются физическая природа, особенности и требования к защите каждого вида как резонансных, так и коммутационных перенапряжений. К 1 части относятся девять Приложений, в которых приводятся методы расчета всех видов внутренних перенапряжений и некоторые справочные материалы. Для удобства расчетов разработаны три пакета программ:
- расчета резонансных перенапряжений (РЕМА-1);
- расчета ожидаемого срока службы ограничителей перенапряжений 110 - 1150 кВ (РЕМА-2);
- эффективности защиты от грозовых, резонансных и низко- и высокочастотных коммутационных перенапряжений (РВПМ-1).
Изложение сопровождается подробными численными примерами, которые иллюстрируют методики и могут быть использованы в качестве тестовых задач.
Электрические сети напряжением 110 - 1150 кВ работают с эффективно заземленной нейтралью. Под системой с эффективно заземленной нейтралью обычно понимается система, все элементы которой соединены с землей наглухо либо через индуктивное сопротивление, величина которого настолько мала, что коэффициент несимметрии

в любой точке электропередачи не превосходит 1,4 для различных схем и режимов работы системы, возможных в процессе эксплуатации. Под

понимают отношение наивысшего напряжения частоты 50 Гц здоровой фазы в этой точке во время короткого замыкания на землю одной или двух фаз к фазному напряжению рабочей частоты, появляющемуся после устранения повреждения. Эффективное заземление нейтрали сети может быть получено при глухом заземлении нейтралей всех или части силовых трансформаторов системы.
Коэффициент

зависит от соотношения активных и реактивных сопротивлений системы. Требование

приблизительно соблюдается, когда отношение реактивной составляющей входного сопротивления системы, рассчитанного относительно места нарушения симметрии по параметрам нулевой последовательности, к реактивной составляющей того же входного сопротивления, рассчитанного по параметрам прямой последовательности

, т.е. не больше трех. В то же время отношение активной составляющей этого сопротивления, рассчитанного по параметрам нулевой последовательности

, к

не больше 1,0, т.е.

. Активные и реактивные составляющие полного входного сопротивления при этом рассчитываются по значениям переходных реактивностей синхронных машин.
В нормальном режиме напряжение на любых элементах электропередачи не должно повышаться сверх наибольшего рабочего, под которым следует понимать длительное напряжение, т.е. без ограничения времени воздействия, безопасное для изоляции. В табл. 1.1 приведены наибольшие рабочие напряжения

. Повышение напряжения сверх наибольшего рабочего называется перенапряжением. Обычно величина внутренних перенапряжений характеризуется их кратностью k, под которой понимается отношение максимальной амплитуды перенапряжений к амплитуде наибольшего фазного рабочего напряжения.
Таблица 1.1
Наибольшие рабочие напряжения сетей 110 - 1150 кВ
Класс напряжения сети, кВ | 110 | 220 | 330 | 500 | 750 | 1150 |
Наибольшее рабочее напряжение Uм, кВ | 126 | 252 | 363 | 525 | 787 | 1200 |
Выбор изоляции и координация ее с характеристиками защитных средств определяется внутренними перенапряжениями, которые подразделяются на резонансные и коммутационные.
1.2. Резонансные перенапряжения
Резонансные перенапряжения возникают при неблагоприятных сочетаниях как структуры и параметров схемы электропередачи и ее режима, так и структуры и параметров питающей системы. Резонансные перенапряжения могут существовать до тех пор, пока действие различного вида систем релейных защит и автоматики, регуляторов напряжения или вмешательство персонала не приведет к изменению схемы и режима.
В электропередачах, оборудованных выключателями на стороне высокого напряжения, перенапряжения на разомкнутом конце воздействуют как на линейную изоляцию, так и на изоляцию подстанционной аппаратуры (кроме силовых трансформаторов): на изоляцию силовых трансформаторов в этих электропередачах воздействуют перенапряжения, возникающие на питающем конце линии. В таких электропередачах возможны следующие виды резонансных перенапряжений:
- на основной частоте 50 Гц - вынужденное напряжение в симметричном

и несимметричном

режимах (при односторонне питаемой электропередаче);
- в паузе успешного ОАПВ

;
- при неполнофазных режимах;
- на четных, нечетных и дробных высших гармонических - резонанс на частотах

;

и

; k = 1; 2; 3.
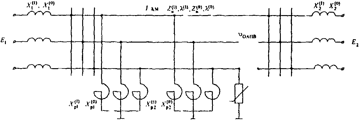
В электропередачах, где все или часть трансформаторов не имеют выключателей на стороне высокого напряжения, далее называемых "блочные электропередачи", на элементы линейной и подстанционной изоляции, включая изоляцию силовых трансформаторов, могут воздействовать перенапряжения, возникающие на разомкнутом конце. В блочных электропередачах, кроме перечисленных, возможно возникновение особого вида резонансных перенапряжений, далее именуемого "переходный феррорезонанс". В схеме рис. 1.1, а переходный феррорезонанс инициируется промежуточными трансформаторами проходных ПС

;...;

, в схеме
рис. 1.1, б - автотрансформатором АТ. При этом наличие или отсутствие трансформаторов

;

;...;

, показанных пунктиром, несущественно. В схеме рис. 1.1 переходный феррорезонанс может возникать при подключении к линии холостого трансформатора, показанного на
рис. 1.1, в.
Рис. 1.1. Схемы электропередач,
подверженных переходному феррорезонансу
В схемах
рис. 1.1, а и
1.1, б линия может быть секционирована выключателями на участки. Часть участков может быть двухцепными или иметь тупиковые отпайки. При этом обязательным условием для возникновения переходного феррорезонанса является одностороннее питание схемы. Такое условие может иметь место в послеаварийных или ремонтных режимах, а также при ТАПВ головного участка секционированной радиальной передачи, если этот участок одноцепный.
Защита от резонансных перенапряжений необходима, если их число, длительность и величина превосходят значения, указанные в табл. 1.2 -
1.4, в которых приведены допустимые повышения напряжения промышленной частоты в зависимости от числа и длительности их воздействия на оборудование 110 - 1150 кВ.
Таблица 1.2
Допустимое повышение напряжения
промышленной частоты на оборудовании 110 - 330 кВ
Оборудование | Допустимое повышение напряжения при длительности воздействия, с |
1200 | 20 | 1 | 0,1 |
Силовые трансформаторы и автотрансформаторы | 1,10 ---- 1,10 | 1,25 ---- 1,25 | 1,90 ---- 1,50 | 2,00 ---- 1,58 |
Шунтирующие реакторы и электромагнитные трансформаторы напряжения | 1,15 ---- 1,15 | 1,35 ---- 1,35 | 2,00 ---- 1,50 | 2,10 ---- 1,58 |
Коммутационные аппараты, емкостные трансформаторы напряжения, трансформаторы тока, конденсаторы связи и шинные опоры | 1,15 ---- 1,15 | 1,60 ---- 1,60 | 2,20 ---- 1,70 | 2,40 ---- 1,80 |
Таблица 1.3
Допустимое повышение напряжения
промышленной частоты на оборудовании 500 и 750 кВ
Кратность амплитуд | 1,0 - 1,025 | 1,025 - 1,05 | 1,05 - 1,075 | 1,075 - 1,1 | 1,1 - 1,15 | 1,15 - 1,20 |
Допустимая длительность одного случая, не более, мин. | 480 | 180 | 60 | 20 | 5 | 1 |
Допустимое число случаев в год, не более | 200 | 125 | 75 | 50 | 7 | 5 |
Интервал между случаями, не менее, час | - | 12 | - | - | 1 | - |
Защита внутренней изоляции оборудования 110 - 1150 кВ от коммутационных перенапряжений необходима, если их кратность превосходит 2,0.
Таблица 1.4
Допустимое повышение напряжения
промышленной частоты на оборудовании 1150 кВ
Оборудование | Допустимое повышение напряжения при длительности воздействия, с |
1200 | 20 | 5 | 3 | 0,15 | 0,05 | 0,03 |
Все оборудование, кроме защитных аппаратов | 1,1 | 1,3 | 1,35 | - | - | - | 1,8 |
Ограничители перенапряжений с уровнем ограничения 1,7 | 1,1 | 1,2 | - | 1,3 | 1,35 | 1,4 | - |
В числителе дроби
табл. 1.2 указаны значения для изоляции фаза - земля в долях амплитуды наибольшего рабочего фазного напряжения, в знаменателе - для изоляции фаза - фаза в долях амплитуды наибольшего рабочего линейного напряжения. Значения напряжения для изоляции фаза - фаза относятся к трехфазным силовым трансформаторам, электромагнитным трансформаторам напряжения, а также к аппаратам в трехполюсном исполнении при расположении трех полюсов в одном баке или на одном магнитопроводе. При этом значения допустимого повышения напряжения 1,6; 1,7 и 1,8 относятся только к внешней междуфазной изоляции аппаратов 110 кВ и 220 кВ.
Если повышение напряжения длительностью 20 мин имело место 2 раза с часовым интервалом, то в течение ближайших 24 часов повышение напряжения в третий раз допускается лишь в случае, если это требуется ввиду аварийной ситуации, но не ранее чем через 4 часа.
Указанные в
табл. 1.2 -
1.4 относительные значения напряжения распространяются также на повышение напряжения, отличающегося от синусоиды частотой 50 Гц за счет наложения гармонических составляющих. Указанные в таблицах значения фазных и междуфазных напряжений представляют собой отношение максимума повышенного напряжения к амплитуде наибольшего рабочего фазного или междуфазного напряжения соответственно.
1.3. Коммутационные перенапряжения
После любой коммутации, как плановой, так и аварийной, возникают коммутационные перенапряжения. Коммутационные перенапряжения образуются при резком изменении структуры и параметров сети из-за заряда и перезаряда ее емкостей в процессе перехода системы от одного состояния к другому.
Наиболее важные виды коммутационных перенапряжений возникают при:
- плановых включениях и отключениях ненагруженных линий, ненагруженных трансформаторов и автотрансформаторов и компенсационных реакторов;
- аварийных разрывах электропередачи в процессе ликвидации короткого замыкания или асинхронного хода;
- работе АВР;
- включении или отключении разъединителями участков холостых шин ОРУ, ЗРУ, КРУЭ.
Если коммутация осуществляется выключателями, то в зависимости от вида возникающих перенапряжений, систем релейной защиты и автоматики, а также схемы и параметров элементов передачи длительность воздействующих на изоляцию коммутационных перенапряжений может находиться в интервале от нескольких десятков миллисекунд до нескольких секунд. При коммутации разъединителями участков холостых шин ОРУ или ЗРУ фронт перенапряжений находится в интервале от 10 мкс до 500 мкс. При коммутации элегазовым разъединителем участков холостых шин элегазовых КРУ (КРУЭ) фронт возникающих высокочастотных коммутационных перенапряжений находится в интервале от 5 нс до 20 нс.
Большинство аварийных коммутаций обычно сопровождается целой серией разного вида коммутационных перенапряжений. Число и длительность каждого вида перенапряжений из этой серии определяется видом коммутации, параметрами коммутируемого участка сети и системой защит и автоматики. При наличии высокочастотных защит длительность режима к.з. составляет

, причем выключатели по обеим сторонам аварийного участка линии работают с разбросом около 0,02 - 0,06 с. Если авария отключается дистанционными защитами, то время от момента возникновения к.з. до отключения выключателя одного из концов аварийного участка линии составляет

; второй выключатель аварийного участка отключается со временем

.
При трехфазном быстродействующем АПВ (БАПВ) длительность бестоковой паузы составляет

. При обычном трехфазном АПВ (ТАПВ) длительность паузы обычно находится в пределах 0,6 - 1,5 с, причем с ростом номинального напряжения электропередачи пауза уменьшается. При однофазном АПВ (ОАПВ) длительность бестоковой паузы обычно колеблется в пределах

.
Режим после повторного включения продолжается от момента повторного включения линии с одной стороны до момента полного смыкания электропередачи. При успешном ТАПВ без улавливания синхронизма и ОАПВ этот режим имеет длительность 0,2 - 0,3 с. При использовании ТАПВ с улавливанием синхронизма этот режим в среднем длится несколько секунд. При неуспешном БАПВ или ТАПВ линия аварийно отключается без выдержки времени выключателем, производившим повторное включение. Этот этап длится

. При неуспешном ОАПВ аварийная линия отключается без выдержки времени с двух сторон, вслед за неуспешным ОАПВ следует цикл ТАПВ.
1.4. Статистическая природа резонансных и коммутационных перенапряжений
При повторении в одной и той же системе коммутации одного и того же вида (например, плановое включение ненагруженной линии, аварийное отключение к.з. и т.п.) кратности возникающих при этом коммутационных и резонансных перенапряжений меняются в широких пределах. Статистика внутренних перенапряжений объясняется влиянием ряда факторов, количественные характеристики которых подвержены случайным изменениям.
Первая группа случайных факторов связана в основном с конструкцией, индивидуальными характеристиками, качеством и регулировкой выключателей и их управления, а в некоторых случаях также с метеорологическими ситуациями на линии. Эти факторы оказывают влияние на интенсивность переходных процессов после коммутации, так как приводят к случайным изменениям фазовых углов э.д.с. при включении отдельных фаз электропередачи и разновременности действия приводов отдельных фаз выключателей, а также к случайным колебаниям величины напряжения, которое остается на неповрежденных фазах к моменту автоматического повторного включения, т.е. по окончании бестоковой паузы

или

и т.п.
Вторая группа случайных факторов связана со схемой и режимом системы. Сюда относятся, например, коммутации и переключения в различных точках питающей системы, включения и отключения компенсационных реакторов и колебания э.д.с. как в результате ведения графика электропередачи, так и действия автоматических устройств регулирования возбуждения, плановых и аварийных ремонтов, случайности местоположения точки к.з. на линии и т.п.
В табл. 1.5 приведены усредненные значения пределов случайных изменений э.д.с. для электропередач, питающихся от шин станции, на генераторах которых имеется автоматическое регулирование возбуждения.
Таблица 1.5
Усредненные оценки пределов случайных изменений
и среднего значения э.д.с. (по данным проф. И.А. Груздева)
Вид коммутации | Системы возбуждения с неуправляемыми полупроводниковыми выпрямителями <*> и электронная система возбуждения | Быстродействующие системы возбуждения с кратностью форсирования 2 - 4 <**> |
Emin | Emax | | Emin | Emax | |
Разрыв передачи вследствие отключения к.з. | 1,0 | 1,2 | 1,1 | 1,05 | 1,25 | 1,15 |
ТАПВ, БАПВ успешное или неуспешное | 1,0 | 1,15 | 1,075 | 1,0 | 1,1 | 1,05 |
Разрыв передачи вследствие качаний или асинхронного хода | 1,0 | 1,25 | 1,125 | 1,0 | 1,3 | 1,15 |
Примечания.
<*> Высокочастотная система возбуждения; бесщеточная система возбуждения; статическая полупроводниковая система возбуждения.
<**> Ионные и тиристорные системы самовозбуждения или независимого возбуждения; система возбуждения с параллельно включенными полупроводниковыми выпрямителями.
В течение года статистические распределения резонансных перенапряжений определяются в основном случайными факторами второй группы; распределения коммутационных перенапряжений - факторами как первой, так и второй групп.
1.5. Учет статистических распределений внутренних перенапряжений при защите изоляции сетей напряжением 110 - 1150 кВ
Учитывая статистический характер внутренних перенапряжений, при координации изоляции линий и подстанций и выборе комплекса защитных средств необходимо учитывать влияние всех возможных в данной электропередаче видов перенапряжений. При этом воздействующие перенапряжения должны характеризоваться как вероятностью, с которой кратность того или иного вида перенапряжений может быть превзойдена в одной коммутации данного вида, так и ожидаемым числом таких коммутаций в течение года.
Результаты расчетов статистических распределений как надежности и эффективности комплекса систем защиты, так и ожидаемой вероятности перекрытия (пробоя) изоляции носят приближенный характер, поэтому расчеты должны обеспечить либо незаниженные оценки этих величин на заданном уровне доверительной вероятности, либо оценки усеченного сверху предела их разброса.
Формулы и исходные данные, необходимые для усредненной оценки ожидаемого в течение года числа амплитуд коммутационных перенапряжений, воздействующих на изоляцию линий электропередачи, элементы изоляции подстанций, и расчета токовых нагрузок на резисторы ограничителей перенапряжений, приведены в
Приложении 1.
Формулы и исходные данные, необходимые для незаниженной оценки надежности работы, т.е. ожидаемого на заданном уровне доверительной вероятности срока безаварийной службы ограничителей перенапряжений (ОПН), являющихся основным элементом любого комплекса защитных мер, приведены в
Приложении 6.
РАЗДЕЛ 2. РЕЗОНАНСНЫЕ ПЕРЕНАПРЯЖЕНИЯ
Резонансные перенапряжения возникают только в односторонне питаемых электропередачах. Исключение составляет успешное ОАПВ, которое существует от момента окончания паузы успешного ОАПВ до момента замыкания второго из выключателей "больной" фазы, т.е. до включения передачи в транзит.
Резонансные перенапряжения должны рассчитываться с учетом диапазона случайных годовых колебаний реактивного сопротивления питающей системы и нелинейности характеристик намагничивания силовых трансформаторов (автотрансформаторов) и компенсирующих реакторов.
Все виды резонансных перенапряжений чувствительны к активным потерям, короне на проводах, нагрузкам и т.д. Так, например, величина вынужденной составляющей переходного процесса перенапряжений частоты 50 Гц слабо зависит от активных потерь, которые оказывают существенное влияние на условия возникновения перенапряжений при делении частоты в продольно и поперечно компенсированных электропередачах.
Необходимо рассмотреть следующие виды резонансных перенапряжений:
- вынужденное напряжение переходного процесса перенапряжений на частоте 50 Гц в симметричном и несимметричном (при ОАПВ и однополюсном к.з.) режимах;
- вынужденное напряжение на частоте 50 Гц в паузе успешного ОАПВ;
- перенапряжения на частоте 50 Гц в неполнофазных режимах;
- перенапряжения при делении частоты в продольно и поперечно компенсированных электропередачах;
- перенапряжения на четных частоты

и нечетных частоты

ультрагармониках при явлениях переходного феррорезонанса;
- феррорезонансные перенапряжения на частоте 50 Гц в электропередачах 220 - 500 кВ с электромагнитными трансформаторами напряжения;
- параметрическое самовозбуждение генераторов, работающих на ненагруженную линию;
- автопараметрическое самовозбуждение ультрагармоник четной кратности.
Статистические характеристики распределения амплитуд резонансных перенапряжений всегда в той или иной мере приближенны. Это вынуждает искать либо незаниженные оценки вероятности того, что амплитуда резонансных перенапряжений не превзойдет их максимального за год значения, либо ориентироваться на ожидаемый на заданном уровне доверительной вероятности верхний предел разброса амплитуд.
В отличие от коммутационных и грозовых перенапряжений, защита от которых состоит в ограничении их амплитуды, защита от резонансных перенапряжений должна быть направлена на то, чтобы полностью исключить возможность возникновения резонансных явлений либо, если это оказывается экономически нецелесообразно, создать такие условия, при которых величина и длительность сопутствующих перенапряжений становятся безопасными для оборудования. Методы расчета резонансных перенапряжений и защита от них изложены в
Приложении 2.
2.2. Параметры схем замещения и количественные оценки основных факторов, влияющих на резонансные перенапряжения
2.2.1. Характеристики намагничивания силовых трансформаторов (автотрансформаторов) и стальных сердечников компенсационных реакторов
Кривую намагничивания шунта намагничивания Т- или Г-схемы замещения как силового трансформатора, так и стальных сердечников компенсационных реакторов следует аппроксимировать полиномом с положительными коэффициентами, содержащим только нечетные степени потокосцепления, согласно измерениям в действующих энергосистемах, для силовых трансформаторов (автотрансформаторов) это выражение имеет следующий вид:

. (2.1а)
Здесь

- мгновенное значение потокосцепления,

- мгновенное значение тока намагничивания, соответствующее этому потокосцеплению;

. (2.1б)
В относительных единицах все многообразие характеристик сводится к двум, которые условно можно назвать "типовыми": характеристика 1 (силовые трансформаторы)

(2.2а)
и характеристика 2 (автотрансформаторы)

. (2.2б)
В качестве базисных единиц в
формулах (2.2а) и
(2.2б) приняты

, кВ;

, 1/с и, если

- паспортное значение тока холостого хода трансформатора (автотрансформатора, в том числе с регулированием в нейтрали), то для характеристики 1 -

, а для характеристики 2 -

.
Отсюда следует для характеристики 1:
для характеристики 2:

(2.2в)
Расчетные величины схемы замещения трансформатора (автотрансформатора) находят следующим образом. По паспортным значениям

,

,

(в %) определяют реактивности рассеяния между обмотками соответственно высокого - среднего, высокого - низкого и среднего - низкого напряжений

,

,

. Паспортные значения

зависят от наличия регулирования в нейтрали, мощности АТ и коэффициентов трансформации

. Реактивности рассеяния находят по формулам:

; (2.2г)
для трансформатора (автотрансформатора), номинальные напряжения и трехфазная мощность которого

(в В) и

(в ВА).
Параметры

,

,

трехлучевой эквивалентной схемы замещения такого трансформатора (автотрансформатора) рассчитываются по формулам:

. (2.2д)
Характеристика намагничивания стальных сердечников компенсационных реакторов в относительных единицах (

, кВ;

, А;

, 1/с) хорошо аппроксимируется следующим двучленом третьей степени:

. (2.3а)
Параметры компенсационных реакторов приведены в табл. 2.1.
Таблица 2.1
Характеристика компенсационных реакторов типа РОДЦ
Uн, кВ | Pф, МВ·А | Iн, А | Lобм, Гн | Rобм, Ом | p | q |
500 | 60 | 198 | 4,88 | 6,0 | 0,872 | 0,128 |
750 | 110 | 242 | 6,0 | 6,0 | 0,903 | 0,097 |
1150 | 300 | 432 | 5,1 | 5,3 | 0,908 | 0,092 |
2.2.2. Дополнительный учет коронного разряда при вычислении параметров схем замещения воздушной линии
На погонные электрические параметры линии, в особенности напряжением 500 - 1150 кВ, оказывает влияние коронный разряд на проводах. Обычно корона учитывается распределенными активной проводимостью

и дополнительной емкостью фазы на землю

:

; (2.4а)

. (2.4б)
В последних формулах

- усредненное вдоль линии значение вынужденного напряжения, рассчитанного с учетом насыщения магнитопроводов. Значение

определяется по формуле:

. (2.4в)
Определенные по параметрам прямой последовательности численные значения

,

и

указаны на
рис. П2.1 и в
табл. П2.2 Приложения 2; E - в
табл. 1.5 Раздела 1.
Входящие в эмпирические
формулы (2.4а) и
(2.4б) величины зависят от конструкции ВЛ и начального напряжения общей короны при хорошей погоде uq. В табл. 2.2 указаны численные значения напряжения начала общей короны uq для некоторых наиболее распространенных ВЛ.
Таблица 2.2
Начальные напряжения общей короны при хорошей погоде
Uн, кВ | Конструкция фазы | Междуфазовое расстояние, м | U0/Uф |
500 | 3АС-500 | 10,5 | 1,32 |
3АС-330 | 11,7 | 1,11 |
3АС-300 | 11,7 | 1,08 |
750 | 5АС-400/51 | 18,0 | 1,17 |
5АС-300 | 13,5 | 1,09 |
5АС-240 | 19,5 | 1,11 |
4АС-600 | 17,5 | 1,11 |
4АС-500 | 19,5 | 1,06 |
4АС-400 | 19,5 | 1,08 |
1150 | 8АС-330 | 24,5 | 1,1 |
6АС-800 | 22,0 | 1,2 |
2.3. Вынужденное напряжение переходного процесса перенапряжений частоты 50 Гц в симметричном режиме
Вынужденное напряжение переходного процесса перенапряжений - это напряжение рабочей частоты, которое устанавливается после затухания электромагнитных переходных процессов, вызванных какой-либо плановой или аварийной коммутацией, обычно через 0,03 - 0,06 с после коммутации. Величина вынужденного напряжения зависит как от схемы электропередачи (длина и конструкция фазы линии, мощность питающей системы, наличие, число и местоположение шунтирующих реакторов), так и от нелинейных характеристик контуров намагничивания силовых трансформаторов (автотрансформаторов) питающей системы и промежуточных подстанций. Учет этих нелинейностей обязателен. Нелинейные характеристики ограничителей перенапряжений и корона на проводах влияют слабо и их учет не требуется.
В симметричном режиме, который имеет место в результате плановых коммутаций включения линии, сброса нагрузки и аварийных - успешного ТАПВ, отключения внешнего короткого замыкания и разрыва передачи при асинхронном ходе, вынужденное напряжение

случайно меняется от минимального за год значения

до максимального

. Случайный характер вынужденного напряжения определяется причинами, указанными в
пункте 1.4 Раздела 1. Методы расчета математического ожидания, дисперсии и статистического распределения случайной величины

изложены в
Приложении 2.
2.4. Вынужденное напряжение частоты 50 Гц в несимметричном режиме при однополюсном к.з.
В несимметричном режиме, который имеет место в результате аварийных коммутаций разрыва передачи вследствие ликвидации несимметричного к.з., возникшего в результате неуспешного ТАПВ или вследствие ошибок оперативного персонала, вынужденное напряжение вычисляется через коэффициент несимметрии

так:

. (2.5)
Оно может изменяться от минимального за год значения

до максимального

. Статистический характер вынужденного напряжения

определяется как факторами, приводящими к случайным изменениям

, так и случайным местоположением вдоль линии точки короткого замыкания. Методы расчета математического ожидания, дисперсии и статистического распределения случайной величины

изложены в
Приложении 2.
2.5. Вынужденное напряжение частоты 50 Гц в несимметричном режиме при успешном ОАПВ
Цикл успешного ОАПВ состоит из трех последовательных коммутаций: однополюсное короткое замыкание одной из фаз, заканчивающееся двусторонним отключением аварийной фазы; автоматическое повторное включение аварийной фазы после бестоковой паузы длительностью

одним из двух линейных выключателей; полное замыкание бывшей "больной" фазы вторым выключателем.
Вынужденное напряжение частоты 50 Гц

- это напряжение, устанавливающееся в промежутке времени между окончанием бестоковой паузы успешного ОАПВ и моментом замыкания фазы в транзит ее вторым линейным выключателем. Математическое ожидание, дисперсия и функция статистического распределения случайной величины

определяются теми же факторами, что и распределения симметричного вынужденного напряжения

, но учет влияния нелинейности характеристик намагничивания силовых трансформаторов (автотрансформаторов) на величину

не требуется. Методы расчета математического ожидания и статистических распределений случайной величины

изложены в
Приложении 2.
2.6. Защита от перенапряжений в паузе успешного ОАПВ на электропередачах 500 кВ, 750 кВ, 1150 кВ
В течение паузы успешного ОАПВ на отключенной фазе (см. рис. 2.1, а) после погасания дуги тока подпитки к.з. на отключенной фазе восстанавливается напряжение

, частота которого близка к 50 Гц. Восстанавливающееся напряжение имеет резонансный характер. Амплитуда

зависит от длины и конструкции ВЛ, числа компенсационных реакторов и отношения

, так как из-за демпфирующего действия короны амплитуда

практически не зависит от номинального напряжения электропередачи.
Рис. 2.1. Напряжение, восстанавливающееся в паузе ОАПВ
на отключенной фазе в зависимости от длины линии, числа
компенсационных реакторов и конструкции фазы
Напряжение начала общей короны:
1 - без учета короны;
2 -

;
3 -

;
4 -

.
Конструкция фазы:
а) Расчетная схема замещения;
б) ВЛ 500 кВ 3хАС-330;

;
в) ВЛ 500 кВ 3хАСО-500;

;
г) ВЛ 750 кВ 4хАСУ-400;

Защита от перенапряжений в паузе успешного ОАПВ необходима, если на рассматриваемой электропередаче восстанавливающиеся напряжения

превышают

, указанные в таблицах
Приложения 4 для ОПН-500 УХЛ или ОПН-750 УХЛ, или ОПН других типов для времени

(см. данные
табл. 2.2 и
рис. 2.1). Эффективна любая из двух следующих мер защиты:
- отключение на время паузы ОАПВ хотя бы одного из компенсационных реакторов

приводит к расстройству резонанса и уменьшению вследствие этого

до значений

, как это видно из кривых (
рис. 2.1, в) и (
рис. 2.1, г);
- использование схемы четырехлучевого реактора, когда звезда компенсационных реакторов

заземляется через нулевой реактор

. При этом перенапряжения, восстанавливающиеся на отключенной фазе в паузе успешного ОАПВ, характеризуется величиной

.
2.7. Перенапряжения на частоте 50 Гц в неполнофазных режимах
Неполнофазные режимы наблюдаются при отказе во включении или отключении одной или двух фаз коммутирующего выключателя. Однако опыт эксплуатации свидетельствует, что вероятность одновременного отказа двух фаз крайне мала и такой режим можно не учитывать.
Возникновение перенапряжений неполнофазного режима при двустороннем питании электропередачи принципиально невозможно.
| | ИС МЕГАНОРМ: примечание. Здесь и далее в официальном тексте документа, видимо, допущена опечатка: имеется в виду рисунок 1.1, а не рисунок 1.2. | |
Перенапряжения на частоте 50 Гц могут возникать только при условии, что одностороннее питание коммутируемой электропередачи осуществляется по блочной или полублочной схеме через трехобмоточный трансформатор (автотрансформатор), одна из обмоток которого замкнута в треугольник. Такие схемы могут иметь место как в показанных на
рис. 1.2 блочных передачах, так и в электропередачах с выключателями на стороне высшего напряжения ВЛ в режимах планового включения или отключения ненагруженной линии (см., например, схему N 3 в
табл. П2.4 Приложения 2).
Перенапряжения на частоте 50 Гц в неполнофазных режимах имеют резонансный характер. Их величина, хотя и ограничивается активными потерями (корона, потери в проводах и др.) и насыщением стальных сердечников трансформаторов (автотрансформаторов), но, как показывает опыт эксплуатации, в областях соотношений параметров элементов электропередачи, близких к точке резонанса, может достигать значения

.
Методы расчета условий возникновения в неполнофазных режимах перенапряжений на частоте 50 Гц, оценка их величины и рекомендации по защите от этих перенапряжений изложены в
Приложении 2.
2.8. Параметрическое самовозбуждение генераторов, работающих на ненагруженную линию
Параметрическое самовозбуждение генераторов, работающих на разомкнутую на конце линию электропередачи, в эксплуатационных условиях недопустимо. Упрощенные оценки границ областей параметров, внутри которых возможно самовозбуждение, с достаточной для практики точностью выполняются с помощью построения, показанного на рис. 2.2. По обеим осям координат выбираются одинаковые масштабы.
Рис. 2.2. Области параметрического самовозбуждения
генераторов, работающих на ненагруженную воздушную
линию электропередачи
Расчеты удобно вести в относительных единицах, приняв за базисную величину волновое сопротивление воздушной линии

, значения которого указаны в
табл. П2.2 Приложения 2. На оси ординат отмечаются две точки:

;

,
где

- реактивность рассеивания обмоток всех параллельно и последовательно соединенных трансформаторов, включенных между генераторами и воздушной линией;

,

и

- соответствующие параметры всех параллельно включенных генераторов, питающих электропередачу, причем

,

,

и

определяются по параметрам прямой последовательности.
Из точки

радиусом

проводится полуокружность, которая ограничивает первую область самовозбуждения. Из точки

радиусом

проводится полуокружность, которая ограничивает вторую область самовозбуждения. Из начала координат ко второй (левой) полуокружности проводится касательная, которая ограничивает третью область самовозбуждения.
Для турбогенераторов, у которых

, не существует первой области самовозбуждения, для генераторов без демпферных обмоток не существует третьей области.
Для того, чтобы исключить самовозбуждение генераторов, точка с координатами

и

должна оказаться вне областей самовозбуждения.
Координаты

и

определяются по следующим формулам.

. (2.8)

. (2.9)
Величину

для обеих схем находят по формуле:

. (2.10)
В
формулах (2.8),
(2.9),
(2.10) можно принять

, где l - длина линии, км;

- активное сопротивление линии, Ом/км;

- волновое сопротивление линии, Ом; величина

указана в
табл. П2.2 Приложения 2;

и

- соответственно активные сопротивления питающих генераторов и трансформаторов. Этими формулами определяется минимальное допустимое по условиям самовозбуждения число генераторов и трансформаторов, от которых может питаться ненагруженная воздушная линия, так как с увеличением числа генераторов и трансформаторов уменьшаются радиусы окружностей, ограничивающих области самовозбуждения, а центры окружностей приближаются к началу координат.
2.9. Перенапряжения на четных частоты

и нечетных частоты

ультрагармониках при явлениях переходного феррорезонанса
Переходный феррорезонанс возможен только в односторонне питаемых блочных или полублочных передачах, где ВЛ коммутируется вместе с невозбужденным или недовозбужденным при разрыве передачи вследствие отключения внешнего к.з. силовым трансформатором (см.
рис. 1.2). Такие коммутации имеют место при плановом включении, ТАПВ, отключении внешнего к.з., а также при подключении к линии невозбужденного трансформатора.
Физическая природа этого вида перенапряжений следующая. В любой из перечисленных коммутаций в магнитной цепи трансформатора начинается переходной процесс установления нового режима. Исходное состояние магнитной цепи скачком измениться не может, поэтому в потокосцеплении, кроме основной гармоники

, должна появиться свободная затухающая апериодическая составляющая

, такая, чтобы в момент t = 0 удовлетворялись следующие начальные условия:

.
Наличие в потокосцеплении апериодической составляющей приводит к появлению в токе намагничивания, кроме основной, как нечетных, так и четных составляющих, которые будут существовать, пока апериодическая составляющая не затухнет. Например, для кубичной характеристики намагничивания
получим:

.
Гармонические составляющие тока намагничивания вызывают на элементах цепи падения напряжения, что по своему действию эквивалентно введению в систему продольных э.д.с. соответствующей частоты, поэтому, если одна или несколько частот свободных колебаний электропередачи, коммутируемой в блоке с невозбужденным трансформатором, близка к частоте какой-либо гармонической в токе намагничивания, возникнут резонансные повышения напряжения соответствующей частоты. Эти перенапряжения будут существовать до тех пор, пока не завершится переходный процесс установления нового режима магнитной цепи или, что то же самое, пока не затухнет апериодическая составляющая потокосцепления. Перенапряжения, возникающие при явлениях переходного феррорезонанса, иллюстрируют осциллограммы, показанные на рис. 2.3, а и
2.3, б.
Рис. 2.3, а. Перенапряжения на частоте 100 Гц
при переходном феррорезонансе. ВЛ Ногинск - Арзамас
Рис. 2.3, б. Перенапряжения на частоте 100 Гц
при переходном феррорезонансе на разомкнутом конце
электропередачи 220 кВ Свирская ГЭС - Ленинград
при отключении внешнего короткого замыкания
Величина и время существования перенапряжений при явлениях переходного феррорезонанса зависят от значения первой собственной частоты электропередачи

и активных потерь в системе, задаваемых в первую очередь активными нагрузками. Такие факторы, как мощность трансформатора, тип выключателя (пофазный или общий привод), характер заземления нейтралей обмоток ВН трансформатора играют второстепенную роль.
Методы оценки предельных возможных величин перенапряжений при явлениях переходного феррорезонанса и способы защиты от них изложены в
Приложении 2.
2.10. Защита от феррорезонансных перенапряжений на частоте 50 Гц, возникающих в электропередачах 220 - 500 кВ после включения холостых шин с электромагнитными трансформаторами напряжения
Рассматриваются случаи, когда в результате плановых или аварийных коммутаций, например сборка схемы, предшествующая включению ВЛ, образуется схема, содержащая электромагнитный трансформатор напряжения (ЭМТН) с подключенной к нему ошиновкой, которая со всех сторон отделена от источников питания емкостями

, шунтирующими контакты выключателей в сетях 220 - 500 кВ <*>.
--------------------------------
<*> В сетях 110 кВ разрывы выключателей емкостями не шунтируются. На электропередачах 750 - 1150 кВ устанавливаются емкостные трансформаторы напряжения.
В таких ситуациях в сетях 220 - 500 кВ образуется схема, представляющая собой колебательный контур, содержащий нелинейную индуктивность высоковольтной обмотки ЭМТН, емкости

между разомкнутыми контактами выключателей и емкостями на землю

всех элементов отключенной части ОРУ - разъединителей, втулок выключателей и входных емкостей трансформаторов тока и напряжения.
В табл. 2.3 приведены численные значения этих емкостей.
Таблица 2.3
Усредненные численные значения емкостей
фаза - земля элементов распределительных устройств
Uн, кВ | 220 | 330 | 500 |
Ошиновка, пФ/м | 8,2 - 8,5 | 9,7 - 10,0 | 10,7 - 13,0 |
Разъединители, пФ/фазу | 100 - 120 | 150 - 180 | 250 - 350 |
Втулки вводов выключателей, пФ | 100 - 150 | 150 - 200 | 250 - 300 |
Трансформаторы тока, пФ | 400 - 450 | 800 - 850 | 900 - 950 |
ЭМТН, пФ | 300 - 350 | 350 - 400 | 500 - 600 |
В таких схемах в зависимости от параметров и начальных условий возможно существование двух принципиально различных периодических режимов. Колебательный процесс на частоте 50 Гц может возникать в линейном контуре, образованном емкостями

и

и большой по величине индуктивностью высоковольтной обмотки трансформатора напряжения без насыщения его магнитопровода. Этот режим соответствует малым токам через обмотки и малым перенапряжениям на трансформаторах напряжения.
При определенных сочетаниях параметров и начальных условий в цепи могут возникать также феррорезонансные явления на рабочей частоте, отличающиеся периодическими насыщениями магнитопровода и связанными с ними перенапряжениями на трансформаторе напряжения и большими токами в высоковольтной обмотке. Результаты исследований суммированы зависимостями, представленными на рис. 2.4 заштрихованными областями: если расчетная точка с координатами

находится в заштрихованной зоне существования феррорезонанса, то перенапряжения на ЭМТН 220 - 500 кВ в этом режиме достигают

, а ток высоковольтной обмотки имеет резко выраженную "пикообразную" форму с амплитудой в несколько ампер. Резкое увеличение тока обмотки по сравнению с номинальным (единицы или десятки миллиампер) приводит к термическому повреждению обмотки трансформатора напряжения, что неоднократно имело место в эксплуатационных условиях.
Рис. 2.4. Области существования феррорезонансных
перенапряжений (заштрихованы):

- суммарная емкость
между разомкнутыми контактами всех выключателей;

- суммарная емкость на землю всех элементов
отключенной части распредустройства
Для защиты ЭМТН необходимо выбрать один из нижеследующих способов подавления феррорезонансных перенапряжений:
- исключение опасного режима работы путем изменения порядка переключений. Например, при аварийном отключении системы шин целесообразно оставлять на ней трансформатор или линию, отключая их со стороны других напряжений либо с другого конца. При плановых отключениях может оказаться целесообразным сначала отключить все выключатели системы шин, кроме одного, затем - их разъединители и после этого снять напряжение с системы шин последним выключателем. В некоторых случаях может оказаться целесообразным вообще отказаться от коммутаций каким-то аппаратом, например, одним из разъединителей, с тем, чтобы исключить опасную схему распределительного устройства;
- монтаж и подключение к шинам дополнительных емкостей, например, конденсаторов связи, при условии, что их емкость достаточна для выхода расчетной точки из заштрихованной зоны на
рис. 2.4;
- отключение разъединителя трансформатора напряжения при аварийном отключении системы шин. Для этого необходим моторный привод разъединителя;
- если речь идет о вновь проектируемой подстанции, то могут быть рассмотрены возможности применения других выключателей с меньшими емкостями между контактами либо подключение электромагнитных трансформаторов напряжения в других точках распределительного устройства. Например, возможен отказ от шинных трансформаторов напряжения и подключение их к линиям.
2.11. Автопараметрическое самовозбуждение ультрагармоник четной кратности частоты 100 Гц и 200 Гц
Физическая природа автопараметрического самовозбуждения ультрагармоник четной кратности такова. Любая электропередача представляет собой многочастотный колебательный контур, в состав которого входит переменная и притом периодически меняющаяся с частотой

индуктивность контура намагничивания силового трансформатора. Колебания индуктивности происходят за счет периодических изменений потокосцепления контура намагничивания трансформатора. Это ведет к автопараметрическому резонансу с нарастанием амплитуды вынужденного напряжения во времени. Опыт эксплуатации показал, что самовозбуждение ультрагармоники 100 Гц может стать причиной повреждения оборудования электропередачи. В
Приложении 2 изложены методы расчета и выбора комплекса мер, которые либо исключают, либо сводят к минимуму вероятность автопараметрического самовозбуждения четных ультрагармоник частоты 100 Гц и 200 Гц.
РАЗДЕЛ 3. ЗАЩИТА ПОДСТАНЦИЙ 110 - 750 кВ С ЭЛЕГАЗОВЫМИ
КОМПЛЕКТНЫМИ РАСПРЕДЕЛИТЕЛЬНЫМИ УСТРОЙСТВАМИ ОТ РЕЗОНАНСНЫХ,
ВЫСОКО- И НИЗКОЧАСТОТНЫХ КОММУТАЦИОННЫХ
И ГРОЗОВЫХ ПЕРЕНАПРЯЖЕНИЙ
Обобщение мирового опыта эксплуатации комплектных элегазовых распределительных устройств (КРУЭ), проведенное СИГРЭ, указывает на то, что аварийность КРУЭ 110 - 550 кВ быстро растет по мере увеличения их номинального напряжения, поэтому для достижения высокой эксплуатационной надежности КРУЭ 330 кВ и выше комплекс средств защиты усложняется.
Все элементы КРУЭ с кабельными и обычными вводами и оборудование ПС, куда относятся: подходы присоединений ВЛ, силовые трансформаторы или автотрансформаторы, измерительные трансформаторы, установленные на стороне ВЛ, компенсационные реакторы 500 и 750 кВ и ограничители перенапряжений и др., - подвергаются воздействию двух различных групп перенапряжений.
Первая группа - это резонансные, низкочастотные коммутационные и грозовые перенапряжения, которые имеют место в электрических сетях 110 - 750 кВ с эффективно заземленной нейтралью. Природа, характеристики и методы расчета этих видов перенапряжений рассмотрены в
разделах первом и
втором части 1-й, в 3-й части и
Приложениях 1 -
3 и
6 настоящего "Руководства".
Вторая группа воздействующих перенапряжений - это высокочастотные с фронтом 5 - 20 нс коммутационные перенапряжения, возникающие при включении или отключении элегазовым разъединителем участков холостых шин КРУЭ. Типичная осциллограмма ВЧ коммутационных перенапряжений показана на
рис. 3.1 <*>.
--------------------------------
<*> На электрических станциях и подстанциях при ВЧ коммутационных перенапряжениях возникают интенсивные электромагнитные импульсные поля, под воздействием которых в микропроцессорах и микроэлектронных устройствах могут наводиться помехи, опасные для работы систем технологического и оперативного диспетчерского управления. Величина помехи пропорциональна амплитуде тока

, протекающего через коммутирующий элегазовый разъединитель.
Рис. 3.1. Высокочастотные коммутационные перенапряжения
При этих коммутациях, как включениях, так и отключениях, кратность перенапряжений может достигать 2,3 - 2,8 по отношению к амплитуде фазного максимального рабочего напряжения

. Конкретные их величины зависят от соотношения волновых сопротивлений шинопроводов, компоновки КРУЭ, длин и конфигурации коммутируемых участков и мгновенных значений напряжений на шинах в моменты пробоя межконтактного расстояния разъединителя. Общее количество пробоев в процессе операции определяется скоростью схождения (расхождения) контактов и может достигать сотен, что предопределяет широкий спектр начальных напряжений

на шинах в диапазоне от

до

. С точки зрения величин перенапряжений наиболее неблагоприятны условия, когда напряжения на контактах разнополярны и максимальны по величине, т.е.

. При операции отключения таким условиям отвечает один из последних пробоев, а при включении - один из первых.
Вследствие компактности КРУЭ (обычно коммутируемые участки шинопроводов имеют длину от единиц до нескольких десятков метров) процессы перезаряда емкостей шин характеризуются очень высокими частотами - до десятков мегагерц. Можно оценить основную частоту k-ой составляющей спектра процесса, определяемую длиной

участка шин между двумя неоднородностями по формуле:

. (3.1)
Такими неоднородностями на участках являются разомкнутые концы шинопроводов, узлы переходов воздух - элегаз, вводы силовых трансформаторов, развилки шин (см., например, рис. 3.2).
Рис. 3.2. Фрагмент компоновки полуторной схемы КРУЭ.
РЭ - коммутирующий элегазовый разъединитель
Составляющие частотного спектра проявляются тем сильнее, чем больше неоднородности на границах участков, т.е. чем больше модули коэффициентов отражения:

, где

и

, Ом, - величины волновых сопротивлений по ходу движения электромагнитной волны, а также на тех участках токопровода, где коэффициенты отражения имеют разные знаки по концам. Самую низкую частоту согласно
(3.1) определяет наиболее протяженный однородный отрезок шинопровода, как правило, от источника - "питающего конца". Колебания, возбужденные в результате многократных преломлений и отражений волн на отрезках токопроводов, взаимно проникая и накладываясь на самую низкочастотную составляющую спектра, при совпадении во времени амплитуд одного знака в какой-то из точек дают наибольшую кратность перенапряжений.
Наиболее вероятно это совпадение в тех фрагментах компоновок КРУЭ, в которых длины всех участков между узлами неоднородности окажутся кратными длине самого короткого из них. Другими словами, если отношения длин коммутируемых токопроводов

и длина максимального из них

будут правильными дробями (

, где

и

- целые числа), то кратность высокочастотных перенапряжений на фазах КРУ, для которых эти условия окажутся выполнены, будут превосходить

. Правильные дроби определяют гармоники по отношению к низкочастотной составляющей спектра и чем выше номер гармоники, тем меньше ее амплитуда.
Обобщение большого числа расчетов показало, что максимальные кратности ВЧ-перенапряжений достигаются при выполнении соотношения

, (3.2)
которое уместно называть "критерием правильных дробей". Этот критерий основывается на предположении, что для Т-образной расчетной схемы-компоновки КРУЭ, типичной для полуторной схемы, максимальные кратности перенапряжений достигаются при равенстве эквивалентных волновых длин коммутируемых разъединителем участков холостых шинопроводов (см.
рис. 3.2). Правильность такого подхода для оценки длин токопроводов расчетной схемы, в которой неограниченные ВЧ-перенапряжения близки к максимальным, иллюстрируется примером показанного на
рис. 3.2 Т-образного фрагмента полуторной схемы (см. также данные табл. 3.1).
Таблица 3.1
N вар. | Относительные длины участков | Критерий (3.2) |
L1 | L2 | L3 | L4 | | L3 + L4 |
1 | 1 | 2/3 | 1/3 | 1/2 | 0,816 | 0,833 |
2 | 1 | 1/3 | 1/4 | 1/3 | 0,577 | 0,588 |
3 | 1 | 1/4 | 1/6 | 1/3 | 0,500 | 0,500 |
4 | 1 | 1/2 | 1/7 | 4/7 | 0,707 | 0,714 |
Критерий правильных дробей
(3.2) позволяет оценить как форму, так и максимальные возможные кратности ВЧ-перенапряжений, так как в относительных единицах они практически неизменны. Это означает, что при равенстве соотношений длин однородных участков шинопроводов и указанных в табл. 3.2 входных емкостей встроенного оборудования (выключателей, разъединителей, трансформаторов тока и напряжения и др.) формы кривых и амплитуды ВЧ-перенапряжений для КРУЭ разных классов номинального напряжения будут подобны.
Таблица 3.2
Усредненные значения входных
емкостей встроенного оборудования
Аппараты | Входная емкость, пФ, при номинальном напряжении, кВ |
110 | 220 | 330 | 500 | 750 |
Силовой трансформатор | 1000 | 2000 | 3000 | 3000 | 5000 |
Силовой автотрансформатор | 1500 | 2000 | 3000 | 5000 | 6000 |
Компенсационный реактор | - | - | - | 2000 | 3000 |
Трансформатор напряжения электромагнитный | 200 | 300 | 400 | 500 | 600 |
Трансформатор тока | 300 | 400 | 500 | 600 | 700 |
Разъединитель | 100 | 100 | 150 | 200 | 250 |
Выключатель | 100 | 150 | 250 | 250 | 350 |
Ограничитель типа ОПН | 60 | 80 | 100 | 150 | 200 |
Естественно, что мероприятия по их ограничению должны быть одинаковы, если уровни изоляции элементов КРУЭ приняты одинаковыми. Если левая и правая части критерия правильных дробей
(3.2) отличаются друг от друга не более чем на +/- (5 - 7)%, то амплитуды ВЧ-перенапряжений будут в пределах

.
3.2. Возможное снижение электрической прочности элегазовой изоляции КРУЭ в процессе его эксплуатации
При тщательно очищенных и полированных металлических поверхностях элементов КРУЭ электрическая прочность элегазовой изоляции при воздействии ВЧ-перенапряжений примерно в полтора раза превосходит прочность этой изоляции при воздействии грозового импульса. При шероховатости электродов порядка 0,1 - 0,3 мм электрическая прочность практически одинакова при воздействии ВЧ-перенапряжений и грозовых импульсов. При появлении на поверхности шинопровода металлических частиц длиной 2 - 6 мм и воздействии ВЧ-перенапряжений электрическая прочность оказывается почти вдвое ниже, чем при воздействии грозовых перенапряжений. Такие свободные металлические частицы, обычно именуемые термином "дефекты", могут появиться во время транспортировки и в процессе эксплуатации КРУЭ.
Выбранная для иллюстрации на
рис. 3.2 полуторная схема компоновки КРУЭ имеет следующие конкретные особенности, видные из расчетной схемы, показанной на
рис. П7.1 Приложения 7. В процессе оперативной коммутации сборки схемы элегазовым разъединителем Р9, когда разъединители Р6 и Р7 и внешний, за разделом "элегаз - воздух", выключатель разомкнуты, на элементах Т-образного фрагмента участков холостых шинопроводов (см.
рис. 3.2) возможно наложение длительного, порядка 80 - 100 часов, квазипостоянного напряжения

на ВЧ-перенапряжения, неограниченная амплитуда которых (см. осциллограммы на
рис. 3.1) может превышать

. Если оперативная коммутация сборки схемы выполняется элегазовым разъединителем Р5 (элегазовый выключатель В2 и разъединители Р1 и Р4 отключены), наложение на ВЧ-перенапряжения квазипостоянного напряжения маловероятно, так как последнее из-за встроенного измерительного трансформатора тока стечет за несколько часов. Постоянное напряжение на холостом шинопроводе снижает электрическую прочность элегазовой изоляции в объеме, что связано с налипанием свободных металлических частиц на шинопровод.
3.3. Технические средства для защиты изоляции КРУЭ и оборудования ПС от перенапряжений
Подстанции 110 - 750 кВ с КРУЭ подвергаются воздействию грозовых, низко- и высокочастотных коммутационных и резонансных перенапряжений и должны быть надежно защищены от них. Комплекс для защиты изоляции газонаполненных элементов КРУЭ и оборудования ПС может включать в свой состав следующие технические средства:
- нелинейные ограничители перенапряжений как обычного исполнения (ОПН), так и в элегазе (ОПНЭ) для ограничения амплитуд низкочастотных коммутационных перенапряжений, возникающих при коммутациях ненагруженных воздушных линий и силовых трансформаторов (автотрансформаторов), и грозовых перенапряжений, набегающих с ВЛ. Защитные и надежностные характеристики ограничителей типа ОПН и ОПНЭ приведены в
Приложении 4;
- предвключаемые резисторы в элегазовых выключателях, снижающие амплитуду низкочастотных коммутационных перенапряжений при плановых включениях линий, а при аварийном отключении ВЛ из-за неуспешного АПВ или ОАПВ снижающие амплитуду и скорость напряжения, восстанавливающегося на контактах коммутирующего элегазового выключателя;
- встроенные в элегазовые разъединители предвключаемые резисторы двустороннего действия, уменьшающие амплитуду и растягивающие фронт высокочастотных коммутационных перенапряжений, возникающих при коммутациях участков холостых шинопроводов КРУЭ в процессе сборки (или разборки) схемы ПС;
- снижение сопротивления заземления опор и повышение эффективности тросовой защиты ВЛ на подходах к ПС, что ограничивает амплитуду и число волн грозовых перенапряжений, набегающих с воздушной линии на подстанцию.
Для каждой ПС с КРУЭ возможно применение нескольких вариантов комплекса защитных средств, в той или иной мере отличающихся как по составу, так и по параметрам входящего в состав защитного комплекса технических средств. Окончательный выбор варианта должен основываться на сопоставлении технико-экономических показателей и прогнозируемого уровня эксплуатационной надежности.
3.4. Защита КРУЭ от резонансных перенапряжений
Защита от резонансных перенапряжений должна быть направлена на то, чтобы либо полностью исключить в соответствующих расчетных режимах (см. в Разделе 2 "Резонансные перенапряжения",
пункт 2.1 "Исходные положения") возможность повышения частоты 50 Гц сверх наибольшего рабочего

, равного:
Uн, кВ | 110 | 220 | 330 | 500 | 750 |
Uм, кВ | 126 | 252 | 363 | 525 | 787 |
либо, если это оказывается экономически нецелесообразным, создать такие условия, при которых резонансные перенапряжения безопасны для КРУЭ и оборудования ПС. В
табл. 1.2,
1.3 указаны допустимые повышения напряжения 50 Гц для оборудования 110 - 750 кВ. Ограничение резонансных перенапряжений осуществляется вне КРУЭ на входящих и выходящих из КРУЭ присоединениях. Методы расчета величины и времени воздействия, а также выбор состава комплекса защитных мер, обеспечивающего ограничение уровня и длительности воздействия резонансных перенапряжений, изложены в
Приложении 2.
Если все элементы КРУЭ и встроенного оборудования выдержали послемонтажные испытания по нормативам МЭК (см.
Приложение 9), а внешний по отношению к КРУЭ комплекс защитных мер и аппаратов ограничивает воздействия:
- на изоляцию вводов "воздух - элегаз", воздушных присоединений, силовых и измерительных трансформаторов 110, 220, 330, 500 и 750 кВ соответственно до 73, 146, 257, 303 и 560 кВ;
| | ИС МЕГАНОРМ: примечание. Здесь и далее в официальном тексте документа, видимо, допущена опечатка: имеются в виду таблицы П4.1.1 - П4.4.1, а не таблицы П4.1 - П4.4. | |
- на ограничители типа ОПН в соответствии с
табл. П4.1 -
П4.4 Приложения 4, то система защиты от резонансных перенапряжений является достаточной.
3.5. Защита КРУЭ от низкочастотных коммутационных перенапряжений
Защита от низкочастотных коммутационных перенапряжений, воздействующих на изоляцию оборудования ПС, в состав которой входят подходы присоединений ВЛ, вводы "воздух - элегаз", измерительные трансформаторы тока и напряжения, установленные на стороне ВЛ, компенсационные реакторы 500 кВ и 750 кВ, элегазовые выключатели, разъединители, шинопроводы, элегазовые измерительные трансформаторы тока и напряжения, осуществляется ограничителями перенапряжений типа ОПН и ОПНЭ. Защитные характеристики ограничителей типа ОПН и элегазовых типа ОПНЭ должны быть одинаковы (см.
Приложение 4).
Если общее число ограничителей ОПН и ОПНЭ, установленных как в самом КРУЭ, так и на всех входящих и выходящих из КРУЭ присоединениях,

, то амплитуда воздействующих на оборудование ПС и газонаполненные элементы КРУЭ низкочастотных коммутационных перенапряжений определяется неравенством:

. (3.3)
Выбор системы защиты от низкочастотных коммутационных перенапряжений состоит в следующем. Если рассчитанное по
формуле (3.3) 
превышает

, которое согласно нормативам МЭК (см.
Приложение 9) равно:
Uн, кВ | 110 | 220 | 330 | 500 | 750 |
kдоп, кВ | - | - | 950 | 1175 | 1425 |
то число ограничителей типа ОПН увеличивается до

, при котором выполняется условие

. (3.4)
По указанным в
Приложении 9 нормативам МЭК выполняются послемонтажные испытания газонаполненных элементов КРУЭ и встроенного оборудования. Если все газонаполненные элементы КРУЭ и встроенного оборудования эти испытания выдержали, то система защиты от низкочастотных коммутационных перенапряжений является достаточной.
3.6. Грозозащита оборудования ПС и КРУЭ
Следует обеспечить грозозащиту как КРУЭ и подходов входящих и выходящих присоединений ВЛ, так и питающих КРУЭ блочных трансформаторов (автотрансформаторов).
Расчеты, целью которых является формирование комплекса мер грозозащиты оборудования КРУЭ и ПС, а также подходов воздушных присоединений, выполняются по методам и программам, изложенным в 3 части настоящего "Руководства". Этот комплекс мер включает средства, направленные на снижение числа набегающих волн за счет повышения грозоупорности ВЛ на подходе к ПС (снижение сопротивления заземления опор, повышение эффективности тросовой защиты) и ограничение амплитуд грозовых воздействий за счет использования ограничителей типа ОПН, элегазовых ограничителей типа ОПНЭ и др. средств. Этот комплекс должен ограничить амплитуды атмосферных перенапряжений, воздействующих на внутреннюю изоляцию компенсирующих реакторов и блочных трансформаторов (автотрансформаторов) до уровня, определяемого нормативами МЭК (см.
Приложение 9), но не более чем до

, т.е. до величины, когда надежность работы внутренней изоляции определяется не грозовыми перенапряжениями, а длительным воздействием рабочего напряжения частоты 50 Гц.
Для того, чтобы амплитуды волн грозовых перенапряжений не превзошли этой величины, защита должна быть выполнена следующим образом. Вблизи, на расстоянии 15 - 20 метров от питающего КРУЭ блочного трансформатора (или АТ) устанавливаются два ограничителя типа ОПН: один - между блочным трансформатором и КРУЭ на входящем в последнее воздушном присоединении, второй - на ВЛ между блочным трансформатором и генераторными шинами. Эффективность такой системы грозозащиты внутренней изоляции блочных трансформаторов (АТ) иллюстрируется примером расчета, изложенным в
Приложении 7.
3.7. Защита КРУЭ от высокочастотных коммутационных перенапряжений
Газонаполненный шинопровод КРУЭ при испытаниях на месте монтажа должен выдержать воздействие грозового импульса, нормируемого МЭК (см.
Приложение 9).
Для обеспечения высокой эксплуатационной надежности КРУЭ 330 - 750 кВ необходима эффективная защита от воздействия высокочастотных коммутационных перенапряжений.
Использование для защиты от высокочастотных коммутационных перенапряжений ограничителей типа ОПНЭ и тем более типа ОПН малоэффективно по следующим причинам. Во-первых, при частотах порядка 5 - 15 МГц ограничитель электрически удален от места появления максимальных перенапряжений. Во-вторых, вольт-амперная характеристика ограничителя при наносекундных воздействиях оказывается заметно выше, чем диктуемый нормативами МЭК уровень защиты от грозовых перенапряжений, поэтому наиболее эффективным средством обеспечения эксплуатационной надежности КРУЭ при ВЧ-коммутационных перенапряжениях является оснащение элегазового разъединителя встроенным предвключаемым резистором двустороннего, на включение и отключение, действия <*>.
--------------------------------
<*> Использование элегазового разъединителя с предвключаемым резистором решает также задачу уменьшения импульсных помех, величина которых прямо пропорциональна амплитуде ВЧ-перенапряжений, где

- волновое сопротивление коммутируемого разъединителем участка шинопровода.
Высокая эксплуатационная надежность работы КРУЭ 330 - 750 кВ обеспечивается, когда амплитуды ВЧ коммутационных перенапряжений ограничиваются до уровня менее

. Для этого величина активного сопротивления предвключаемого резистора должна быть

. (3.5)
Предвключаемый резистор должен быть термостойким, т.е. поглощать без повреждения энергию, выделяющуюся в нем во время коммутации и не должен нарушать общего температурного режима элегазового разъединителя.
РАЗДЕЛ 4. ЗАЩИТА ПРОДОЛЬНО И ПОПЕРЕЧНО КОМПЕНСИРОВАННЫХ
ЭЛЕКТРОПЕРЕДАЧ ОТ КОММУТАЦИОННЫХ И ГРОЗОВЫХ ПЕРЕНАПРЯЖЕНИЙ
Использование в электропередаче одной или нескольких установок продольной емкостной компенсации (УПК) приводит к перенапряжениям, возникающим на поврежденных фазах в переходном режиме после разрыва электропередачи, вызванного отключением аварийного участка. Приводящий к перенапряжениям аварийный процесс распадается на два этапа: режим короткого замыкания, в ходе которого падение напряжения от аварийного тока приводит к перенапряжениям на конденсаторах УПК, и переходный режим после разрыва электропередачи, вызванного отключением ее аварийного участка. В ходе этого переходного процесса возникают как коммутационные, так и резонансные при делении частоты перенапряжения относительно земли, которые локализуются на участке между УПК и выключателем, отключившим аварию (на схеме рис. 4.1, а это точка присоединения реактора

). В зависимости от схемы подстанции перенапряжения могут воздействовать на изоляцию компенсационных реакторов, силовых трансформаторов и другого оборудования, которое подключено к этим шинам. Природа этих перенапряжений и методы защиты от них излагаются ниже в
пунктах 4.2 и
4.3.

Рис. 4.1. Однолинейная схема продольно и поперечно
компенсированной электропередачи (а) и эпюра распределения
напряжения вдоль линии в первый момент после погасания дуги
в выключателе, отключающем аварийный участок
или аварийную фазу (б):

- емкостное сопротивление батареи УПК;

- индуктивное сопротивление
источника питания (станция, система);

- расстояние от точки к.з. до батареи УПК в км;
L и C - индуктивность и емкость ВЛ на 1 км;

и

- линейные выключатели
4.2. Особенности коммутационных и резонансных при делении частоты перенапряжений в продольно и поперечно компенсированных электропередачах
| | ИС МЕГАНОРМ: примечание. В официальном тексте документа, видимо, допущена опечатка: имеется в виду формула (2.3а), а не формула (2.3). | |
Особенности коммутационных и резонансных перенапряжений в продольно и поперечно компенсированных передачах таковы. Если ВЛ оборудована УПК, то цепь статоров генераторов электрических станций представляет колебательный контур. Вследствие этого изменяется характер свободных составляющих тока короткого замыкания. Апериодическая составляющая заменяется медленно затухающими свободными колебаниями. К моменту отключения к.з. на батарее УПК будет повышенное напряжение

(см.
рис. 4.1). Вследствие этого величина коммутационных перенапряжений, воздействующих на реактор

, после гашения выключателем

тока короткого замыкания будет больше, чем в электропередачах, необорудованных УПК. Амплитуда этих перенапряжений слагается из трех составляющих: вынужденного напряжения частоты 50 Гц и двух свободных затухающих - низкочастотной и высокочастотной. Низкочастотная определяется колебательным контуром, состоящим из емкости батареи УПК и суммарной индуктивности

, линии передачи и реактора

. Высокочастотная составляющая в основном определяется наименьшей из частот собственных колебаний ВЛ и источника питания. В первый момент после отключения выключателя

вынужденная и низкочастотная составляющая находятся в фазе друг с другом, а свободная высокочастотная - в противофазе с ними. В переходном режиме аварийного разрыва передачи вследствие ликвидации к.з. во всех случаях, когда длина участка линии l >= 0, батарея УПК оказывается включенной между источником э.д.с. и имеющим нелинейную характеристику намагничивания компенсационным реактором (см.
формулу (2.3) и
табл. 2.1). На схеме
рис. 4.1, а это реактор

. В таких нелинейных колебательных контурах при определенных условиях может возникнуть режим деления частоты на три (режим субгармонического резонанса), при котором полный период повторяемости токов и напряжений, действующих в электрической сети, в три раза превосходит период изменения э.д.с., питающей систему, следовательно, частота колебаний в режиме субгармонического резонанса равна

. Деление частоты опасно как перенапряжениями, которые при этом возникают, так и значительными механическими воздействиями на реактор в виде динамических усилий и вибраций вследствие появления сверхтоков и низкочастотных потоков с большой амплитудой. Режим субгармонического резонанса иллюстрирует рис. 4.2, на котором показаны осциллограммы сверхтоков и низкочастотных перенапряжений, воздействующих в режиме деления частоты на УПК и компенсационный реактор

(осциллограммы получены для электропередачи 500 кВ Волжская ГЭС - переключательный пункт Арзамас).
а)
б)
Рис. 4.2. Схема электропередачи 500 кВ
Волжская ГЭС - Москва (а) и осциллограммы напряжений
и токов при делении частоты (б):

- напряжение на батарее УПК;

- напряжение на реакторе

;

- ток через обмотку реактора

;

; C = 61 мкФ;

Вероятность возникновения режима деления частоты тем больше, чем меньше напряжение

и чем больше напряжение

, показанные на
рис. 4.1, б. Если на продольно и поперечно компенсированной электропередаче возник режим деления частоты, то ограничители перенапряжений, установленные параллельно реакторам для защиты последних от коммутационных и грозовых перенапряжений, не только не выполняют защитных функций, но и сами могут разрушиться (см. схему на
рис. 4.1, а).
4.3. Защита продольно и поперечно компенсированных электропередач от коммутационных и резонансных перенапряжений
Система защиты продольно и поперечно компенсированных электропередач должна решить две взаимосвязанные задачи. Необходимо исключить возможность существования режима деления частоты (режима субгармонического резонанса) и обеспечить такой же срок службы ОПН, как и в передачах без УПК. Обе эти задачи могут быть решены двумя путями. Первый - это установка показанного на
рис. 4.3 разрядника с уставкой

, который должен в режиме к.з. шунтировать батарею УПК.

при этом в послеаварийном режиме разрыва передачи выключателем

уменьшается до нуля, что исключает возможность реализации режима субгармонического резонанса, а коммутационные перенапряжения снижаются до уровня, присущего электропередачам без УПК. Эта цель достигается, если выполнено неравенство

. (4.1а)
Рис. 4.3. Расчетная схема продольно
и поперечно компенсированной электропередачи:

- уставка разрядника, защищающего УПК в режиме к.з.;

- выключатель, отключающий ток короткого замыкания
Здесь

, (4.1б)
где

- нижний предел разбросов пробивного напряжения разрядника;

- емкостное сопротивление батареи УПК;

и

- минимальное и максимальное значения за год индуктивного сопротивления источника питания;

и

- индуктивные сопротивления участков

и

;

и

- индуктивности линии на 1 км, которые в общем случае могут отличаться друг от друга (например,

- двухцепная ВЛ, а

- одноцепная ВЛ);

и

разъяснены в
табл. 1.5. Если расчет показал, что для данной конкретной передачи неравенство
(4.1а) нарушено, то либо следует отказаться от защиты УПК с помощью обычного, в том числе калиброванного герметизированного, искрового промежутка, либо использовать разрядник с искусственным поджигом. Конструкции таких разрядников разработаны как в опорном, так и в подвесном вариантах. Опыт эксплуатации подтвердил их эффективность, но они заметно дороже искрового промежутка без поджига.
Второй способ защиты продольно и поперечно компенсированных электропередач состоит в отказе от использования защитного разрядника и размещении компенсационных реакторов

и

по схеме, показанной на рис. 4.4. Здесь компенсационные реакторы вынесены за линейные выключатели

и

, т.е. установлены не на шинах УПК, а непосредственно на участках ВЛ. Такое размещение реакторов исключает возможность режима деления частоты, так как при любом послеаварийном разрыве электропередачи батарея УПК не может оказаться между нелинейным реактором и источником э.д.с. Однако в схеме рис. 4.4 для защиты шин УПК от коммутационных и грозовых перенапряжений необходима установка двух дополнительных комплектов ограничителей ОПН-2 и ОПН-3.
Рис. 4.4. Размещение реакторов, при котором на продольно
и поперечно компенсированной электропередаче невозможен
субгармоничный резонанс. ОПН-2 и ОПН-3 дополнительные
комплекты ограничителей, необходимые для защиты шин УПК
Их условия работы утяжелены, так как из-за отсутствия разрядника

напряжение

на емкости батареи УПК в режиме к.з. не равно нулю, и, следовательно, уровень неограниченных коммутационных перенапряжений в точке установки ОПН-3 (или ОПН-2) в этой схеме будет выше, чем в электропередачах без УПК.
Расчет статистического распределения амплитуд этих перенапряжений выполняется следующим образом. Рассчитываются минимальное

и максимальное

значения случайных изменений ударных коэффициентов за год по формулам:

, (4.2)
Вынужденное напряжение в месте установки ограничителя ОПН-3 дается следующей формулой:

, (4.3а)
где

(4.3б)
причем входящая в
(4.3а) частота

определяется по номограмме
Приложения 3, т.е. по схеме вида "э.д.с. - предвключенная реактивность

- ВЛ длиной

, так как влияние компенсационных реакторов

и

на частоту

мало.
Подставляя в
формулы (4.3а) и
(4.3б) минимальное

и максимальное

за год значения индуктивного сопротивления источника, а также

и

(см.
табл. 1.5 Раздела 1), находим пределы

и

интервала случайных годовых колебаний вынужденного напряжения. Затем по формулам

(4.4)
рассчитывают границы предела случайных годовых изменений амплитуд неограниченных коммутационных перенапряжений в точке установки ограничителя ОПН-3.
Статистическое распределение кратностей неограниченных коммутационных перенапряжений дается выражением

. (4.5)
Методика оценки надежности, т.е. ожидаемого с доверительной вероятностью

числа лет безаварийной работы ограничителя (в данном случае это ОПН-3 или ОПН-2) излагается в
п. 4 Приложения 6 и иллюстрируется примером, приведенным в
Приложении 8.
ОЦЕНКА ЧИСЛА ВОЗДЕЙСТВИЙ КОММУТАЦИОННЫХ
ПЕРЕНАПРЯЖЕНИЙ НА ИЗОЛЯЦИЮ ЭЛЕКТРОПЕРЕДАЧИ И ТОКОВЫХ
НАГРУЗОК НА РЕЗИСТОРЫ ОПН ЗА ГОД
Накопленная в течение многих лет в различных странах статистика свидетельствует, что в общем числе к.з. доля однофазных увеличивается с ростом номинального напряжения электропередачи. При этом доля неуспешных ОАПВ после грозового поражения и перекрытия вследствие загрязнений гирлянд в среднем составляет 0,25 и 0,35 для ВЛ 110 - 330 кВ и 550 - 1150 кВ соответственно. Из общего числа ТАПВ для всех классов напряжения в среднем 40% бывают неуспешны.
Усредненные значения ожидаемого числа

плановых и аварийных коммутаций и ожидаемого числа к.з. приведены в табл. П1.1.
Таблица П1.1
Усредненное число

ожидаемых за год коммутаций и к.з.
S | Виды аварий или коммутаций | Число ns аварий или коммутаций для электропередач, кВ |
110 | 220 | 330 | 500 | 750 | 1150 |
1 | Плановое включение линии | 5 - 8 | 5 - 8 | 3 - 6 | 3 - 5 | 1 - 3 | 1 - 3 |
2 | Плановое отключение линии и трансформаторов | 5 - 8 | 5 - 8 | 3 - 6 | 3 - 5 | 1 - 3 | 1 - 3 |
3 | К.з. грозового происхождения | По расчету ожидаемого числа грозовых отключений (см. часть 3) |
| Удельное число отключений, т.е. в расчете на 100 км ВЛ по причине: | |
4 | к.з. в нормальном режиме вследствие загрязнений и увлажнений изоляции линии | 2 | 1,2 | 0,16 | 0,13 | 0,12 | 0,15 |
5 | к.з. вследствие устойчивых повреждений (падение деревьев и др.) | 3,3 | 1,0 | 2,7 | 0,65 | 0,1 | 0,14 |
6 | разрыв передачи вследствие асинхронного хода | - | - | 0,02 - 0,03 | 0,04 - 0,05 | 0,06 - 0,07 | 0,05 - 0,06 |
В табл. П1.2 указана доля

однофазных к.з. в общем числе к.з. Усредненное число отключений шунтирующих реакторов (ШР) можно принять 5 - 10 за год для подстанций 1150 кВ; 10 - 20 - для ШР 750 кВ и 20 - 50 - для ШР 500 кВ.
Таблица П1.2
Доля

однофазных к.з. в общем числе к.з.
Uн, кВ | 100 | 220 | 330 | 500 | 750 | 1150 |
| 0,67 | 0,84 | 0,86 | 0,92 | 0,95 | 0,99 |
В зависимости от логики действия защитных устройств и систем автоматики каждое к.з. вызывает ту или иную серию различных аварийных коммутаций.
Наиболее распространены следующие четыре варианта организации релейной защиты и противоаварийной автоматики:
- на электропередаче нет ни ОАПВ, ни ТАПВ. Любое к.з. вызывает двустороннее отключение аварийного участка всеми тремя фазами, которое распадается на две аварийные коммутации. Первая - это трехфазный разрыв передачи (далее именуется "первичное отключение к.з."), после чего с интервалом, определяемым каскадностью действия линейных выключателей поврежденного участка, происходит вторая аварийная коммутация - отключение ненагруженной линии с короткозамкнутой фазой. В обеих коммутациях перенапряжения воздействуют на изоляцию двух фаз изоляции электропередачи и двух из трех резисторов каждого комплекта ОПН;
- на электропередаче установлена система ОАПВ. Если на линии произошло многофазное к.з., то действия защит аналогичны предыдущему случаю (отсутствие на передаче ОАПВ и ТАПВ), но воздействия на изоляцию и ограничители либо вообще отсутствуют, либо перенапряжения воздействуют на изоляцию и резисторы ОПН только одной из трех фаз. Если произошло однополюсное к.з., то двусторонне отключается одна поврежденная фаза, при этом перенапряжения не возникают. После бестоковой паузы фаза включается с одной стороны. При успешности ОАПВ перенапряжения воздействуют на изоляцию и ограничители одной из трех фаз. При неуспешности ОАПВ следуют две аварийные коммутации: трехфазный разрыв передачи (далее именуется "вторичное отключение к.з.") и отключение ненагруженной линии с одной короткозамкнутой фазой. Воздействия на изоляцию аналогичны предыдущему случаю (отсутствие ОАПВ и ТАПВ);
- на электропередаче установлена система ТАПВ. Вначале происходят две аварийные коммутации - первичное отключение к.з. и отключение ненагруженной линии с одной или двумя короткозамкнутыми фазами. В этих коммутациях воздействия на изоляцию аналогичны тем, что возникают в случае отсутствия ОАПВ и ТАПВ. Затем после бестоковой паузы аварийный участок подключается с одной стороны. Если ТАПВ было успешным, то перенапряжения воздействуют на изоляцию и резисторы ОПН всех трех фаз. Если ТАПВ неуспешно, то возникают еще две аварийные коммутации: неуспешное ТАПВ и затем отключение линии с одной короткозамкнутой фазой. В обеих коммутациях перенапряжения при однополюсном к.з. воздействуют на изоляцию фаза - земля двух или трех фаз или при двухполюсном к.з. на землю - только одной из трех фаз;
- на электропередаче имеется как система ОАПВ, так и система ТАПВ. Если произошло многофазное к.з., то воздействия аналогичны таковым на передаче, где есть только ТАПВ. Если произошло однофазное к.з., то работает система ОАПВ и сначала двусторонне отключается только одна короткозамкнутая фаза и воздействия на изоляцию и ограничители не возникают. Если после бестоковой паузы ОАПВ успешно, то воздействия аналогичны тем, что имеют место на передаче, оборудованной только системой ОАПВ. Если ОАПВ неуспешно, то вступает в действие ТАПВ, при этом воздействия аналогичны тем, что имеют место на передаче, оборудованной только системой ТАПВ.
В табл. П1.3 приведены составленные с учетом изложенного формулы для оценки числа внутренних перенапряжений.
Таблица П1.3
Усредненное число ожидаемых
воздействий за год

внутренних перенапряжений
S | Ns | Коммутация | Система АПВ на передаче | Ожидаемое число коммутаций | Ожидаемое число Ns воздействий за год |
на изоляцию | На резисторы ОПН |
Фаза - земля | Фаза - фаза |
1 | N1 | Плановое включение | Любая | n1 | N1 | N1 | N1 |
2 | N2 | Плановое отключение | Любая | n2 | N2 | N2 | N2 |
3 | N3 | Трехфазный разрыв передачи при отключении первичного к.з. | Отсутствует | n3 + n4 + n5 | 2/3N3 | N3 | 2/3N3 |
ОАПВ | (1 -  )( n3 + n4 + n5) | 2/3N3 | 0 | 2/3N3 |
ТАПВ | n3 + n4 + n5 | 2/3N3 | N3 | 2/3N3 |
ОАПВ и ТАПВ | (1 -  )( n3 + n4 + n5) | 2/3N3 | N3 | 2/3N3 |
4 | N4 | Успешное ОАПВ | ОАПВ | 0,75  ( n3 + n4) | 1/3N4 | 1/3N4 | 1/3N4 |
ОАПВ и ТАПВ | 0,75  ( n3 + n4) | 1/3N4 | 1/3N4 | 1/3N4 |
5 | N5 | Успешное ТАПВ | ТАПВ | (0,15  + 0,6)( n3 + n4) | N5 | N5 | N5 |
ОАПВ и ТАПВ | 0,6(1 - 0,75  )( n3 + n4) | N5 | N5 | N5 |
6 | N6 | Неуспешное ТАПВ | ТАПВ | 0,4(1 - 0,75  )( n3 + n4) + n5 | 2/3N6 | 2/3N6 | 2/3N6 |
ОАПВ И ТАПВ | 0,4(1 - 0,75  )( n3 + n4) + n5 | 2/3N6 | 2/3N6 | 2/3N6 |
7 | N7 | Трехфазный разрыв передачи при отключении вторичного к.з. | ОАПВ | 0,25  )( n3 + n4) + n5 | 2/3N7 | 1/3N7 | 1/3N7 |
ОАПВ и ТАПВ | 0,4(1 - 0,75  )( n3 + n4) + n5 | 2/3N7 | 1/3N7 | 1/3N7 |
8 | N8 | Отключение линии с короткозамкнутой фазой | Любая | n2 + n4 + n5 | 2/3N8 | 1/3N8 | 1/3N8 |
9 | N9 | Разрыв передачи при асинхронном ходе | Любая | n6 | N9 | N9 | N9 |
2)

- доля однофазных аварий по отношению к общему числу к.з.
РАСЧЕТА ВЕЛИЧИНЫ РЕЗОНАНСНЫХ ПЕРЕНАПРЯЖЕНИЙ И ОЦЕНКИ
ЭФФЕКТИВНОСТИ МЕР ЗАЩИТЫ ОТ НИХ
2.1. Вынужденное напряжение переходного процесса перенапряжений частоты 50 Гц в симметричном режиме
Расчетная схема для определения вынужденного напряжения в симметричном и несимметричном при однополюсном к.з. режимах одностороннего питания в электропередачах 110, 220 и 330 кВ при всех коммутациях, кроме успешного ОАПВ, показана на рис. П2.1, а. На
рис. П2.1, б показана расчетная схема для определения симметричного и несимметричного вынужденного напряжения в тех же коммутациях для электропередач 500, 750 и 1150 кВ.
Рис. П2.1. Расчетные схемы для определения вынужденного
напряжения во всех коммутациях, кроме успешного ОАПВ.
Для схемы на
рис. П2.1, а вынужденное в симметричном режиме напряжение

и

соответственно на разомкнутом и питающем концах равно:

. (П2.1)
Для схемы
рис. П2.1, б вынужденное напряжение вычисляется так:

, (П2.2а)
где

; (П2.2б)
причем все величины, входящие в
формулы (П2.1),
(П2.2а) и
(П2.2б), определяются по параметрам прямой последовательности. Индекс "е" внизу букв

и

указывает, что они рассчитаны без учета насыщения.
По
формулам (П2.1) или
(П2.2а) и
(П2.2б) при заданных длине и конструкции фазы ВЛ, минимальном

и максимальном

возможных значениях в течение года предвключенной реактивности, а также усредненных (см.
табл. 1.5 Раздела 1) в течение года изменений модулей векторов э.д.с.

и

, конкретной передачи определяются минимальные

и

ненасыщенные значения вынужденного напряжения на питающем конце электропередачи.
Если

, то учитывать насыщение не нужно, положив в
формулах (П2.1) или
(П2.2а) 
и

. Учет насыщения необходим, если

превосходит 1,15.
Учет насыщения производится следующим образом. Вычисляются два значения вспомогательного безразмерного параметра

и

, равные:

(П2.3а)

(П2.3б)

. (П2.3в)
По кривым
рис. П2.2 (силовые трансформаторы, характеристика N 1) или
рис. П2.3 (автотрансформаторы, характеристика N 2) определяют нижнее

и верхнее

значения пределов интервала случайных годовых колебаний насыщенного значения вынужденного напряжения на питающем конце. Затем по формулам (П2.4) определяют минимальное

и максимальное

значения интервала случайных годовых колебаний насыщенного значения вынужденного напряжения на разомкнутом конце передачи:

. (П2.4)
Рис. П2.2. Зависимость насыщенного значения вынужденного
напряжения

от его ненасыщенного значения

и параметра

. Силовые трансформаторы, характеристика
намагничивания N 1
Рис. П2.3. Зависимость насыщенного значения вынужденного
напряжения

от его ненасыщенного значения

и параметра

. Силовые автотрансформаторы, характеристика
намагничивания N 2
Математическое ожидание

и дисперсия

вынужденного напряжения в симметричном режиме частоты 50 Гц на разомкнутом конце передачи вычисляется так:

, (П2.5а)

. (П2.5б)
Таблица П2.1
Численные значения

,

и

реакторов типа РОДЦ
Uн, кВ | 110 | 220 | 330 | 500 | 750 | 1150 |
Zw, Ом | 385 | 405 | 305 | 283 | 265 | 252 |
Xр, Ом | - | 1530 | 1880 | 1600 |
Rр, Ом | - | 6,0 | 6,0 | 5,3 |
Таблица П2.2
Усредненные значения

;

;

;

;

Uн, кВ | 110 | 220 | 330 | 500 | 750 | 1150 |
Zw, Ом | 385 | 405 | 305 | 283 | 265 | 252 |
 , Ом | 845 --- 875 | 785 --- 820 | 645 --- 675 | 560 --- 590 | 485 --- 560 | 390 --- 520 |
 /(10 -3l), радиан | 1,0605 | 1,0704 | 1,0704 | 1,0755 | 1,0804 | 1,0835 |
 /(10 -3l), радиан | 1,5464 ------ 1,5965 | 1,5022 ------ 1,6336 | 1,4902 ------ 1,5341 | 1,5924 ------ 1,6759 | 1,309 ------ 1,7681 | 1,3373 ------ 1,782 |
Xр, Ом | схема без X0 | - | 1530 | 1880 | 1600 |
схема с X0 | - | 1530 + 3X0 | 1880 + 3X0 | 1600 + 3X0 |
Примечание. Для

и

в числителе опоры со сплошными тросами; в знаменателе - с разрезанными тросами.
По формуле

(П2.6)
определяется оценка вероятности того, что в симметричном режиме вынужденное напряжение

частоты 50 Гц на разомкнутом конце передачи не превзойдет своего максимального значения в годовом интервале случайных изменений

.
Из
(П2.6) следует, что распределение

- это семейство кривых с параметрами

и

.
2.2. Вынужденное напряжение частоты 50 Гц в несимметричном режиме однополюсного к.з.
В несимметричном режиме однополюсного к.з. максимальная и минимальная величины ненасыщенного значения вынужденного напряжения частоты 50 Гц

и

соответственно на разомкнутом и питающем концах передачи определяется по формулам:

, (П2.7)
где

и

рассчитывают по
формулам (П2.1),
(П2.2а) и
(П2.2б), а

и

- значения коэффициента несимметрии

при однополюсном к.з. в конце и начале ВЛ соответственно. При этом коэффициент несимметрии

равен

, (П2.8)
где

. (П2.9)

,

,

- входные сопротивления относительно разомкнутого конца электропередачи, рассчитанные соответственно по параметрам нулевой, обратной и прямой последовательности при закороченных зажимах э.д.с. E (см.
рис. П2.1). Для схемы на
рис. П2.1, а:

; (П2.10)

. (П2.11)
Индекс "k" (k = 1; 2; 0) при v указывает на то, что входящие в
формулы (П2.10) и
(П2.11) величины

,

,

и

рассчитывают по параметрам прямой, обратной и нулевой последовательности.

, (П2.12)

. (П2.13)
Математическое ожидание

и функцию распределения вероятностей того, что насыщенное значение

, вынужденного напряжения в несимметричном режиме однополюсного к.з. не превзойдет своего максимального за год значения

определяют по формулам:

; (П2.14а)

. (П2.14б)
| | ИС МЕГАНОРМ: примечание. В официальном тексте документа, видимо, допущена опечатка: имеется в виду формула (П2.14б), а не формула (П2.14). | |
2.3. Вынужденное напряжение частоты 50 Гц в несимметричном режиме при успешном ОАПВ
На рис. П2.4, а показана расчетная схема для определения вынужденного напряжения

в коммутации успешного ОАПВ в электропередачах 220 и 330 кВ. На
рис. П2.4, б приведена расчетная схема для определения

в электропередачах напряжением 500 - 1150 кВ. Необходимые для расчета численные значения волнового сопротивления, волновой длины и компенсационных реакторов по прямой и нулевой последовательности указаны в
табл. П2.2.
Рис. П2.4. Расчетные схемы для определения
вынужденного напряжения в коммутации успешного ОАПВ.
Расчет

выполняется по формуле

, (П2.15)
где

. (П2.16)
Для электропередач 220 и 330 кВ (см. расчетную схему на
рис. П2.4, а) вспомогательные параметры

(i = 0; 1) и m, входящие в
формулу (П2.16), и входящий в
формулу (П2.15) угол

между векторами э.д.с.

и

вычисляют по формуле

, (П2.17)

определяется по параметрам прямой последовательности электропередачи,

- по параметрам нулевой последовательности

. (П2.18)
В последней
формуле индексы (1) и (0) вверху квадратной скобки указывают на то, что соответствующая величина рассчитывается по параметрам прямой или нулевой последовательности электропередачи.

. (П2.19)
Усредненные численные значения отношения

, входящего в
формулу (П2.19), приведены в табл. П2.3.
Таблица П2.3
Усредненные значения

Uн, кВ | 110 | 220 | 330 | 500 | 750 | 1150 |
P/Pнат | 0,7 | 0,65 | 0,85 | 0,75 | 0,8 | 0,7 |

,
где

; (П2.20)

;

вычисляется по параметрам прямой последовательности электропередачи,

- по параметрам нулевой последовательности,

, (П2.21)
причем индекс (1) или (0) вверху квадратной скобки указывает, что эта величина рассчитывается соответственно по параметрам прямой или нулевой последовательности;

. (П2.22)
Для каждой конкретной электропередачи известны величины

;

;

;

;

;

;

;

(см. схемы
рис. П2.4). Случайно, но в известных пределах, изменяются в течение года реактивные сопротивления отправной

и приемной

систем как по прямой, так и по нулевой последовательностям, а в пределах от

до

- э.д.с.

и

(см.
табл. 1.5 Раздела 1). С учетом этого статистические характеристики

определяются следующим образом.

(П2.23)

(П2.24)
Затем по
формулам (П2.15),
(П2.23),
(П2.24) рассчитываются минимальное за год значение вынужденного напряжения при успешном ОАПВ

и его максимальное значение

, которые равны:

(П2.25)
Математическое ожидание

вынужденного напряжения частоты 50 Гц в несимметричном режиме при успешном ОАПВ вычисляется по формуле:

, (П2.26)
а распределение:

, (П2.27)
где

(П2.28)
определяет оценку вероятности того, что в несимметричном режиме успешного ОАПВ вынужденное напряжение частоты 50 Гц

не превзойдет своего максимального значения в интервале годовых случайных изменений

.
2.4. Защита от перенапряжений, возникающих в неполнофазных режимах
2.4.1. Исходные положения
Перенапряжения, возникающие в неполнофазных режимах, имеют резонансный характер. Они могут существовать только в односторонне питаемых блочных или полублочных электропередачах, питаемых от трехобмоточных трансформаторов (автотрансформаторов), третичная обмотка которых замкнута в треугольник. Перенапряжения в неполнофазных режимах возможны при условии, что отрицателен безразмерный параметр

, (П2.29)
формулы для расчета которого приведены в табл. П2.4.
Таблица П2.4
Однолинейные схемы замещения блочных электропередач
и соответствующие им формулы для расчета параметра m
Примечания. Цифры (1) или (0) вверху буквы указывают на то, что ее величина рассчитывается соответственно по параметрам прямой или нулевой последовательности; цифры "1" или "2" внизу буквы - для

или

.

- выключатель, являющийся причиной неполнофазного режима.
При двустороннем питании, отсутствии или разомкнутом треугольнике третичной обмотки перенапряжения неполнофазных режимов невозможны, так как в любом из этих случаев m > 0.
Входящие в состав
формулы (П2.29) реактивности рассеяния

,

и

рассчитывают по
формулам (2.2г) Раздела 2. Параметры эквивалентной трехлучевой схемы замещения трансформатора (автотрансформатора)

,

и

определяют по
формулам (2.2д) Раздела 2.
Кратность перенапряжений относительно земли на недоотключенной (или недовключенной) фазе без учета потерь на корону с достаточной точностью можно оценить по формуле:

. (П2.30)
Учет влияния короны выполняется следующим образом. По кривым
рис. П2.5 и данным
табл. 2.2 Раздела 2 определяется коэффициент

. Кратность неполнофазных перенапряжений, ограниченная потерями активной мощности на корону, вычисляется по формуле

. (П2.31)
Рис. П2.5. Кратность снижения короной перенапряжений
при неполнофазном резонансе в зависимости от напряжения
начала общей короны

:
1 - 0 >= m >= -0,5;

;
2 - 0 >= m >= -0,5;

;
3 - m < -0,5;

;
4 - m < 0,5;

2.4.2. Пример расчета
В качестве примера найдем величины перенапряжений при неполнофазном режиме в схеме N 1 при следующих исходных данных (см.
табл. П2.4):
ВЛ 330 кВ длиной l = 250 км с параметрами

,

,

, радиан,

, начальное напряжение общей короны

.
Питающая система с эквивалентным реактивным сопротивлением

.
Автотрансформатор АТ 330/110/10,5 мощностью

и паспортными значениями

,

,

.

,

,

.
Б. По
формулам (2.2д) Раздела 2 рассчитываем параметры эквивалентной трехлучевой схемы замещения:

;

;

.
В. По формулам для схемы N 1
табл. П2.4 рассчитываем

и

:

;

;

;

.
и по
формуле (П2.30) находим кратность перенапряжений относительно земли на недовключенной фазе без учета влияния короны

.
По кривой 2 на
рис. П2.5 находим величину коэффициента

, который для

и

равен

. По
формуле П2.31 находим кратность перенапряжений при неполнофазном режиме

.
2.4.3. Защита от перенапряжений при неполнофазном резонансе
Защита от перенапряжений при неполнофазном резонансе необходима, если их кратность и длительность воздействия превышают величины, указанные в
табл. 1.2 -
1.4 Раздела 1. Так, полученная в примере кратность перенапряжений в режиме неполнофазного резонанса k = 2,01 допустима, если длительность их воздействия, как видно из
табл. 1.2 Раздела 1, не превысит 1 с. Наиболее рациональным является отказ от схем, в которых возможно образование односторонне питаемых блочных электропередач. Если такое решение невозможно, например в ремонтных режимах или в электропередачах 500 - 1150 кВ с компенсационными реакторами, вынесенными непосредственно на участки ВЛ, т.е. за линейный выключатель, то эффективны следующие релейные защиты или их комбинация:
- защита от повышения напряжения;
- защита от переключения фаз, которая дает команду на отключение двух включенных фаз, когда неполнофазность вызвана отказом при включении выключателем третьей фазы и наоборот дает команду на включение двух отключенных фаз, если неполнофазность вызвана отказом при отключении выключателем третьей фазы.
Полностью снимает проблему перенапряжений при неполнофазном резонансе замыкание электропередачи в транзит выключателем противоположного конца.
2.5. Методы оценки предельной величины перенапряжений при явлениях переходного феррорезонанса и способы защиты от них
Схемы, в которых возможен переходный феррорезонанс, качественно делятся на две группы: слабо демпфированные с наибольшими перенапряжениями и демпфированные с малыми перенапряжениями. Степень демпфирования определяется структурой питающего источника, наличием нагрузки на трансформаторах промежуточных ПС и в меньшей степени активным сопротивлением проводов. По структуре источника питания к демпфированным схемам относится схема на рис. П2.6, а (схема типа "сборные шины"), к слабо демпфированным - источники питания с выделенным ПТ (схема на рис. П2.6, б) или в виде блока генератор - трансформатор (схема на рис. П2.6, в). В слабо демпфированных схемах длительность перенапряжений переходного феррорезонанса составляет 1,0 - 1,5 с; в демпфированных - уменьшается до 0,2 - 0,3 с. В схемах с проходными или отпаечными ПС на коммутируемой линии нагрузка на их понижающих трансформаторах дает заметный демпфирующий эффект даже при значениях, соответствующих минимуму суточного графика нагрузки.

Рис. П.2.6. Принципиальные схемы источника питания:
1 - коммутирующий выключатель, 2 - коммутируемая ВЛ
Как исходное значение, так и время затухания апериодической составляющей потока

и перенапряжения при переходном феррорезонансе на частотах 100 и 200 Гц подвержены большим разбросам, так как определяются большим числом как независимых, так и связанных между собой случайных величин. Сюда относятся случайно меняющиеся от коммутации к коммутации и от одной электропередачи к другой угол включения выключателя, годовые колебания предвключенной индуктивности питающего источника, график передачи мощности по ВЛ, амплитуда основной составляющей потока в точке подключения трансформатора и др. Это вынудило представить опытные материалы в виде показанных на рис. П2.7 кривых 1 и 2 верхних огибающих поля точек. Использование этих кривых гарантирует незаниженность оценки k во всем диапазоне

.
Рис. П2.7. Перенапряжения при переходном феррорезонансе.
Верхние огибающие ноля экспериментальных данных, полученных
в сетях 110 - 500 кВ (239 реализаций) и на моделях
(более 600 реализаций): 1 - слабо демпфированные схемы;
2 - демпфированные схемы
Сопоставление уровней максимальных перенапряжений при переходном феррорезонансе с допустимыми воздействиями показывает, что защита необходима в слабо демпфированных схемах для электропередач 110 - 500 кВ, если определяемая по номограмме
Приложения 3 наименьшая из частот собственных колебаний электропередачи

, и в передачах 750 кВ, если их собственная частота

. В передачах 1150 кВ переходный феррорезонанс опасен для слабо демпфированных схем при собственной частоте

и в демпфированных, если собственная частота

.
Наименьшая из частот собственных колебаний коммутируемой блочной (полублочной) электропередачи определяется по расчетной схеме вида "источник э.д.с. - предвключенная реактивность - линия с распределенными параметрами". При этом понижающие трансформаторы промежуточных ПС на величину

практически не влияют и поэтому учитываться не должны (см.
рис. 1.1 Раздела 1). Значение эквивалентного индуктивного сопротивления питающего источника

должно определяться с замещением генераторов переходной реактивностью

.
Можно рекомендовать любой из следующих способов защиты перенапряжений при явлениях переходного феррорезонанса:
- эксплуатационными инструкциями запретить как коммутации линии в блоке с невозбужденным трансформатором (автотрансформатором), так и подключение к линии невозбужденного трансформатора или АТ. При необходимости подобных коммутаций трансформатор (или АТ) должен быть предварительно возбужден со стороны обмоток НН или СН, если в этих сетях есть генерирующие источники, либо нагружен местной нагрузкой;
- на стороне низшего напряжения трансформатора или АТ, коммутируемого в блоке с воздушной линией, устанавливается реактор, сигнал на кратковременное подключение которого подается одновременно (или с небольшим упреждением) с командой на включение или отключение выключателей блочной электропередачи. При АПВ подключение реактора осуществляется от действия устройств АПВ. Сигнал на отключение реактора подается от появления тока в обмотке реактора с выдержкой времени t >= X/60R, где X и R - соответственно активное и реактивное сопротивление низковольтного реактора. Эффективность этого способа защиты иллюстрируется осциллограммами, показанными на рис. П2.8.
Рис. П2.8. Опытная проверка эффективности защиты
от перенапряжений при переходном резонансе
с помощью низковольтного реактора:
а - схема опыта; б - реактор отключен;
в - реактор подключен
2.6. Автопараметрическое самовозбуждение ультрагармоник четной кратности частоты 100 и 200 Гц
Области, внутри которых возможно автопараметрическое самовозбуждение ультрагармоник 100 и 200 Гц, показаны соответственно на рис. П2.9 и
П2.10. Границы областей зависят от трех параметров: насыщенного значения вынужденного напряжения

частоты 50 Гц, воздействующего на шунт намагничивания трансформатора (или АТ), и эквивалентных квадрата частоты

и затухания

. При этом

характеризует степень нелинейности характеристики намагничивания; величины R и C являются соответственно вещественной и мнимой частью рассчитанного на частоте ультрагармоники комплекса входной проводимости электропередачи, рассматриваемой с зажимов шунта намагничивания трансформатора (или АТ) при закороченных зажимах э.д.с.
Рис. П2.9. Области автопараметрического самовозбуждения
гармоники 100 Гц в электропередачах 500 - 1150 кВ:
Рис. П2.10. Области автопараметрического самовозбуждения
гармоники 200 Гц в электропередачах 500 - 1150 кВ:
Зависимости параметров

и

от характеристик электропередачи

и реактивного сопротивления источника питания

показаны на рис. П2.11.
Рис. П2.11. Зависимость параметров

и

от отношения

(реактивности питающего источника к волновому
сопротивлению ВЛ) и длины линии:
1 - l = 500 км;
2 - l = 600 км;
3 - l = 700 км
Чем больше эквивалентное затухание

, тем уже область самовозбуждения ультрагармоники. При так называемом критическом значении

область стягивается в линию и автопараметрическое самовозбуждение ультрагармоники невозможно ни при каких значениях

и

. Для ультрагармоники частоты 100 Гц

; для ультрагармоники частоты 200 Гц

.
В реальных условиях электропередач 110 - 330 кВ вероятность автопараметрического самовозбуждения ультрагармоник четной кратности настолько мала, что с этим явлением практически можно не считаться.
Для электропередач 500 - 1150 кВ расчет возможности автопараметрического самовозбуждения ультрагармоники частоты 100 Гц выполняется следующим образом.
По
формулам П2.2а и
П2.2б определяется ненасыщенное значение вынужденного напряжения

. Необходимые для этих расчетов численные значения

,

и

указаны в
табл. П2.1,
П2.2. По
формулам П2.3б и
П2.3в вычисляются безразмерные параметры

и

и по зависимостям, показанным на
рис. П2.3, определяются минимальное

и максимальное

случайных за год изменений насыщенного значения параметры

.
По кривым
рис. П2.11 для известных характеристик данной конкретной электропередачи находим численные значения параметров

и

.
Самовозбуждение ультрагармоники частоты 100 Гц возможно только в том случае, если для полученной в результате расчета величины параметра

одновременно выполнены два неравенства
| | ИС МЕГАНОРМ: примечание. Нумерация формул дана в соответствии с официальным текстом документа. | |

, (П2.31)
где

,

и

сопоставляются с границами областей самовозбуждения, показанными на
рис. П2.9.
Для электропередач 500 - 1150 кВ расчет возможности автопараметрического самовозбуждения ультрагармоники частоты 200 Гц выполняется так же и по тем же формулам, что и для ультрагармоники 100 Гц, но минимальное

и максимальное

насыщенные значения параметра

определяются по зависимостям, показанным на
рис. П2.4.
При этом неравенства
(П2.31) должны проверяться применительно к границам областей, показанных на
рис. П2.10.
НОМОГРАММА ДЛЯ ОПРЕДЕЛЕНИЯ НАИМЕНЬШЕЙ ИЗ ЧАСТОТ
СОБСТВЕННЫХ КОЛЕБАНИЙ КОММУТИРУЕМОЙ ЭЛЕКТРОПЕРЕДАЧИ
Рис. П3.1. 1 - для

;
2 - для

; 3 - для

;
4 - для

.

- наименьшая
собственная частота в долях промышленной частоты;

- волновая длина линии в радианах (см.
табл. П2.1;

- сопротивление предвключенной индуктивности
на промышленной частоте, Ом;

- индуктивное
сопротивление линии, Ом, равное

(

- Гн/км)
ОСНОВНЫЕ ХАРАКТЕРИСТИКИ ОПН, ВЫПУСКАЕМЫХ
НПО "ЭЛЕКТРОКЕРАМИКА" (ТАБЛ. П4.1.1 - П4.1.4),
"АВВ - УЭТМ" (ТАБЛ. П4.2.1 - П4.2.5), "ФЕНИКС-88"
(ТАБЛ. П4.3.1 - П4.3.3), "ТАВРИДА-ЭЛЕКТРИК" (ТАБЛ. П4.1)
В этом Приложении приведены основные электрические характеристики ОПН, серийно выпускаемых в России. Характеристики соответствуют техническим требованиям на защитные аппараты, утвержденным РАО "ЕЭС России". Более подробную информацию об ОПН необходимо запрашивать у фирм-поставщиков.
4.1. Электрические характеристики ОПН, выпускаемых НПО "ЭЛЕКТРОКЕРАМИКА" в фарфоровых покрышках
Данные о выпуске и надежности ОПН 110 - 750 кВ производства НПО "Электрокерамика" с 1976 по 1998 гг. (в числителе - общее количество повреждений, в знаменателе - количество повреждений за вычетом случаев нарушения условий эксплуатации и соответствия техническим условиям) приведены в табл. П4.1.1. НПО "Электрокерамика" серийно выпускает также ОПН 0,4 - 35 кВ.
Класс напряжения, кВ | Количество фаз, шт. | Объем эксплуатации, фазо-лет | Количество повреждений | % повреждений на 1 фазу в году |
110 | 4032 | 20950 | 9/6 | 0,043/0,029 |
150 | 455 | 2374 | 3/1 | 0,126/0,042 |
220 | 2827 | 15214 | 8 | 0,053 |
330 | 529 | 2460 | 2/1 | 0,081/0,041 |
500 | 1066 | 6829 | 10/4 | 0,161/0,059 |
750 | 164 | 1312 | 11/6 | 0,762/0,457 |
Примечание. Аналогичные обобщенные данные по ОПН производства "АВВ - УЭТМ", "Феникс-88", "Таврида-Электрик" пока отсутствуют, но могут быть запрошены у соответствующих фирм.
Таблица П4.1.2
Электрические характеристики ОПН 110 - 1150 кВ
Наименование | ОПН-110 УХЛ1 | ОПН-1-110 ХЛ4 | ОПН-220 УХЛ1 | ОПН-1-220 У1 ОПН-1-220 УХЛ4 | ОПН-330 У1 | ОПН-500 УХЛ1 | ОПН-750 У1 | ОПН О-750 У1 | ОПН-1-1150 У1 |
1 | 2 | 3 | 4 | 5 | 6 | 7 | 8 | 9 | 10 |
Класс напряжения, кВ | 110 | 110 | 220 | 220 | 330 | 500 | 750 | 750 | 1150 |
Наибольшее рабочее напряжение, кВ | 73 | 73 | 146 | 146 | 210 | 303 | 455 | 455 | 694 |
Напряжение на ограничителе, кВ дейст., допустимое в течение времени | | | | | | | | | |
8 ч | 81 | | 162 | | 233 | 336 | | | |
3 ч | 83 | | 166 | | 239 | 345 | | | |
1 ч | 85 | | 171 | | 246 | 355 | | | 765 |
20 мин | 88 | 88 | 175 | 175 | 250 | 365 | 545 | 545 | - |
20 с | 95 | 95 | 190 | 190 | 270 | 390 | 590 | 590 | 830 |
3,0 с | - | - | - | - | - | - | - | - | 900 |
3,5 с | 100 | 100 | 200 | 200 | 290 | 420 | 635 | 635 | - |
1,0 с | 105 | - | 210 | - | 305 | 440 | 660 | 660 | - |
0,15 с | 112 | - | 225 | - | 325 | 470 | 705 | 705 | 935 |
0,12 с | - | - | - | - | - | - | - | - | - |
0,05 с | - | - | - | - | - | - | - | - | 970 |
Расчетный ток коммутационного перенапряжения, волна 1,2/2,5 мс, А | 280 | 350 | 420 | 500 | 700 | 1200 | 1800 | 1200 | 2000 |
Остающееся напряжение при расчетном токе коммутационного перенапряжения, кВ, не более | 180 | 175 | 360 | 350 | 520 | 750 | 1125 | 1125 | 1670 |
Остающееся напряжение, кВ, при импульсном токе с длительностью фронта волны 8 мкс с амплитудой не более | | | | | | | | | |
3000 А | | - | | - | | 825 | - | - | - |
5000 А | 250 | 205 | 460 | 410 | 650 | 860 | 1280 | 1300 | - |
7000 А | - | - | - | - | - | 865 | - | - | - |
10000 А | | - | | - | 700 | 920 | 1320 | 1350 | - |
14000 А | - | - | - | - | - | - | - | - | 1900 |
15000 А | - | - | - | - | - | 980 | 1380 | 1420 | - |
30000 А | - | - | - | - | - | - | | | - |
Пропускная способность: | | | | | | | | | |
20 импульсов тока 1,2/2,5 мс с амплитудой, А | 280 | 350 | 420 | 500 | 630 | 1200 | 1800 | 1450 | 2000 |
20 импульсов тока 8/20 мкс с амплитудой, А | 5000 | 5000 | 5000 | 5000 | - | - | - | - | - |
20 импульсов тока 16/40 мкс с амплитудой, А | - | - | - | - | 8000 | 15000 | 15000 | 15000 | 20000 |
2 импульса тока 8/20 мкс с амплитудой, А | 15000 | - | 15000 | - | 24000 | 30000 | 40000 | 30000 | 40000 |
Взрывобезопасность при токах к.з.: | | | | | | | | | |
0,2 с, кА | | 20 | | 20 | | | 20 - 40 | | |
2 с, кА | 0,8 | 0,8 | 0,8 | 0,8 | 0,8 | 0,8 | 0,8 | 0,8 | 0,8 |
Длина пути утечки внешней изоляции, мм, не менее | 2270 | 2270 | 4550 | 4550 | 6600 | 9500 | 14200 | 14200 | 21600 |
Примечания. 1) <*> значения для справок.
2) <**> по требованию заказчика с 2000 г.
3) Прочерк означает, что параметр не нормируется.
Таблица П4.1.3
Электрические характеристики грязестойких ОПН 110 и 220 кВ
Наименование параметра | Норма |
ОПН-110 II УХЛ1 | ОПН-110 IV УХЛ1 | ОПН-220 II УХЛ1 | ОПН-220 IV УХЛ1 |
Класс напряжения, кВ | 110 | 110 | 220 | 220 |
Наибольшее рабочее напряжение, кВ дейст. | 73 | 73 | 146 | 146 |
Напряжение на ограничителе, допустимое в течение времени, кВ дейст. | | | | |
20 мин | 101 | 101 | 201 | 201 |
20 с | 109 | 109 | 217 | 217 |
3,5 с | 114 | 114 | 227 | 227 |
1 с | 120 | 120 | 240 | 240 |
0,15 с | 128 | 128 | 256 | 256 |
Расчетный ток коммутационных перенапряжений на волне 1,2/2,5 мс, А | 280 | 280 | 420 | 420 |
Остающееся напряжение при расчетном токе коммутационных перенапряжений, кВ, не более | 220 | 220 | 435 | 435 |
Остающееся напряжение при импульсном токе с длительностью фронта волны 8 мкс с амплитудой 5000 А, кВ, не более | 285 | 285 | 525 | 525 |
Пропускная способность: | | | | |
20 импульсов тока 1,2/2,5 мс с амплитудой, А | 280 | 280 | 420 | 420 |
20 импульсов тока 8/20 мкс с амплитудой, А | 5000 | 5000 | 5000 | 5000 |
Длина пути утечки внешней изоляции, мм, не менее | 2800 | 3900 | 5700 | 7900 |
Взрывобезопасность при токах к.з.: | | | | |
0,2 с, кА | | | | |
2 с, кА | 0,8 | 0,8 | 0,8 | 0,8 |
Примечание. <*> по требованию заказчика с 2000 г.
Таблица П4.1.4
Электрические характеристики
ОПН для защиты нейтрали трансформаторов
Наименование параметра | Норма |
ОПНН-110 У1 ОПНН-110 ХЛ1 | ОПНН-220 У1 ОПНН-220 ХЛ1 |
Класс напряжения, кВ | 110 | 220 |
Наибольшее рабочее напряжение, кВ действ. | 56 | 115 |
Напряжение на ограничителе, допустимое в течение 1 мин, кВ действ. | 73 | 150 |
Расчетный ток коммутационного перенапряжения, А | | |
волна 30/60 мкс | - | - |
волна 300/800 мкс | 1500 | 1500 |
Остающееся напряжение при расчетном токе коммутационного перенапряжения, кВ, не более | 155 | 310 |
Пропускная способность: | | |
20 импульсов тока 2000 мкс с амплитудой, А | 400 | 400 |
Взрывобезопасность при токах к.з.: | | |
0,2 с, кА | | |
2 с, кА | 0,8 | 0,8 |
Длина пути утечки внешней изоляции, мм, не менее | 1750 | 3600 |
Примечание. <*> по требованию заказчика с 2000 г.
4.2. Электрические характеристики ОПН 110 - 750 кВ, выпускаемых "АВВ - УЭТМ" в фарфоровых покрышках
"АВВ - УЭТМ" производит также ОПН 6 - 35 кВ.
Таблица П4.2.1
Модификации ОПН серии Exlim
для разных уровней загрязнения атмосферы
Уровень загрязнения | Длина удельного пути утечки | Условное обозначение |
I - легкий | 1,6 см/кВ | L |
II - средний | 2,0 см/кВ | M |
III - тяжелый | 2,5 см/кВ | H |
IV - очень тяжелый | 3,1 см/кВ | V |
Таблица П4.2.2
Электрические характеристики ОПН 110 кВ
Характеристика | Тип ограничителя |
EXLIM АВВ с классом энергоемкости |
R | Q | P-A и P-B | T |
1 | 2 | 3 | 4 | 5 | 6 | 7 | 8 | 9 | 10 | 11 | 12 | 13 | 14 | 15 | 16 | 17 | 18 | 19 | 20 |
Наибольшее рабочее напряжение | 77 | 86 | 92 | 106 | 92 | 77 | 86 | 92 | 106 | 108 | 77 | 86 | 92 | 92 | 108 | 77 | 92 | 92 | 108 |
Номинальный разрядный ток 8/20 мкс, кА | 10 | 10 | 10 | 10 | 10 | 10 | 10 | 10 | 10 | 10 | 10 | 10 | 10 | 10 | 10 | 20 | 20 | 20 | 20 |
Квазиустановившиеся перенапряжения, допустимые в течение времени, кВ дейст.: | | | | | | | | | | | | | | | | | | | |
20 мин | 95 | 107 | 119 | 130 | 137 | 93 | 105 | 116 | 128 | 139 | 93 | 105 | 117 | 140 | 139 | 91 | 114 | 132 | 154 |
20 с | 104 | 117 | 130 | 142 | 149 | 104 | 117 | 130 | 142 | 156 | 104 | 117 | 130 | 155 | 156 | 102 | 127 | 146 | 172 |
10 с | 106 | 119 | 132 | 145 | 152 | 106 | 119 | 132 | 145 | 158 | 106 | 119 | 130 | 158 | 158 | 103 | 129 | 149 | 174 |
3,5 с | 108 | 121 | 134 | 147 | 155 | 108 | 121 | 134 | 148 | 162 | 109 | 122 | 135 | 163 | 163 | 106 | 133 | 154 | 180 |
1 с | 110 | 124 | 138 | 152 | 159 | 111 | 125 | 139 | 153 | 167 | 111 | 125 | 139 | 167 | 167 | 109 | 136 | 157 | 184 |
0,15 | 114 | 128 | 143 | 157 | 162 | 116 | 132 | 145 | 160 | 175 | 116 | 131 | 145 | 174 | 173 | 114 | 143 | 165 | 193 |
Остающееся напряжение при расчетном токе коммутационного напряжения, кВ: | | | | | | | | | | | | | | | | | | | |
при волне 1,2/2,5 мс 280 А | 192 | 217 | 240 | 264 | 276 | 185 | 207 | 230 | 252 | 276 | 175 | 198 | 223 | 257 | 257 | 174 | 219 | 251 | 295 |
при волне 2 мс 500 А | 199 | 224 | 248 | 273 | 286 | 188 | 211 | 234 | 257 | 281 | - | - | - | - | - | - | - | - | - |
при волне 2 мс 1000 А | 207 | 232 | 258 | 284 | 298 | 192 | 216 | 239 | 263 | 287 | 187 | 210 | 235 | 280 | 280 | 184 | 230 | 265 | 310 |
Остающееся напряжение при импульсном токе 8/20 мкс с амплитудой, кВ | | | | | | | | | | | | | | | | | | | |
3000 А | - | - | - | - | - | - | - | - | - | - | 198 | 223 | 248 | 297 | 297 | 194 | 242 | 278 | 327 |
5000 А | 240 | 270 | 300 | 330 | 345 | 219 | 246 | 273 | 300 | 327 | 209 | 235 | 261 | 314 | 314 | 203 | 243 | 291 | 342 |
10000 А | 256 | 288 | 320 | 352 | 369 | 231 | 260 | 288 | 317 | 346 | 221 | 249 | 276 | 332 | 332 | 212 | 264 | 304 | 357 |
Максимальный ток короткого замыкания для сброса давления, кА, длительностью | | | | | | | | | | | | | | | | | | | |
0,2 с | 40 | 40 | 40 | 40 | 50 | 65 | 65 | 65 | 65 | 65 | A-65 B-80 | A-65 B-80 | A-65 B-80 | A-65 B-80 | A-65 B-80 | 80 | 80 | 80 | 80 |
1 с | 0,6 | 0,6 | 0,6 | 0,6 | 0,6 | 0,6 | 0,6 | 0,6 | 0,6 | 0,6 | 0,6 | 0,6 | 0,6 | 0,6 | 0,6 | 0,6 | 0,6 | 0,6 | 0,6 |
Таблица П4.2.3
Электрические характеристики ОПН 220 кВ
Характеристика | Тип ограничителя |
EXLIM АВВ с классом энергоемкости |
R | Q | P-A и P-B | T |
1 | 2 | 3 | 4 | 5 | 6 | 7 | 8 | 9 | 10 | 11 | 12 | 13 | 14 | 15 | 16 |
Расчетное (номинальное) напряжение, кВ действ. | 198 | 216 | 228 | 192 | 216 | 240 | 264 | 192 | 228 | 258 | 294 | 264 | 192 | 228 | 264 |
Наибольшее рабочее напряжение ограничителя, кВ действ. | 156 | 156 | 156 | 154 | 174 | 191 | 191 | 154 | 156 | 191 | 191 | 211 | 154 | 182 | 211 |
Номинальный разрядный ток 8/20 мкс, кА | 10 | 10 | 10 | 10 | 10 | 10 | 10 | 10 | 10 | 10 | 10 | 10 | 20 | 20 | 20 |
Квазиустановившиеся перенапряжения, допустимые в течение времени, кВ дейст.: | | | | | | | | | | | | | | | |
а) 20 мин | 196 | 214 | 226 | 186 | 210 | 233 | 256 | 186 | 221 | 250 | 285 | 256 | 182 | 217 | 251 |
б) 20 с | 214 | 233 | 246 | 207 | 233 | 259 | 285 | 207 | 246 | 279 | 318 | 285 | 204 | 242 | 280 |
в) 10 с | 218 | 238 | 251 | 211 | 238 | 264 | 290 | 211 | 251 | 284 | 323 | 290 | 207 | 246 | 285 |
г) 3,5 с | 222 | 242 | 255 | 216 | 243 | 270 | 297 | 217 | 258 | 292 | 332 | 298 | 213 | 253 | 293 |
д) 1 с | 228 | 248 | 262 | 223 | 251 | 278 | 306 | 223 | 264 | 299 | 341 | 306 | 218 | 259 | 300 |
е) 0,15 | 236 | 257 | 271 | 233 | 262 | 292 | 321 | 232 | 276 | 312 | 356 | 319 | 228 | 271 | 314 |
Остающееся напряжение при расчетном токе коммутационного напряжения, кВ | | | | | | | | | | | | | | | |
а) при волне 1,2/2,5 мс 420 А | 400 | 437 | 460 | 372 | 419 | 466 | 513 | 360 | 425 | 482 | 550 | 493 | 353 | 420 | 486 |
б) при волне 2 мс 500 А | 404 | 441 | 465 | 374 | 421 | 468 | 515 | - | - | - | - | - | - | - | - |
в) при волне 2 мс 1000 А | 420 | 458 | 483 | 382 | 430 | 477 | 525 | 374 | 444 | 502 | 572 | 514 | 368 | 437 | 506 |
Остающееся напряжение при импульсном токе 8/20 мкс с амплитудой, кВ | | | | | | | | | | | | | | | |
3000 А | - | - | - | - | - | - | - | 396 | 470 | 532 | 606 | 544 | 387 | 459 | 532 |
5000 А | 488 | 532 | 561 | 436 | 491 | 545 | 600 | 418 | 496 | 562 | 640 | 575 | 405 | 481 | 557 |
10000 А | 521 | 569 | 600 | 461 | 519 | 576 | 634 | 442 | 525 | 594 | 677 | 608 | 423 | 502 | 581 |
Удельная энергоемкость, кДж/кВ, расчетного напряжения | 2,5 | 2,5 | 2,5 | 4,5 | 4,5 | 4,5 | 4,5 | 7,0 | 7,0 | 7,0 | 7,0 | 7,0 | 10,0 | 10,0 | 10,0 |
Полная энергоемкость всего ограничителя, кДж | 495 | 540 | 570 | 864 | 972 | 1080 | 1188 | 1344 | 1596 | 1806 | 2058 | 1848 | 1920 | 2280 | 2640 |
Максимальный ток короткого замыкания для сброса давления, кА, длительностью | | | | | | | | | | | | | | | |
0,2 с | 50 | 50 | 50 | 65 | 65 | 65 | 65 | A-65 B-80 | A-65 B-80 | A-65 B-80 | A-65 B-80 | A-65 B-80 | 80 | 80 | 80 |
2 с | Сброс давления происходит за время от 0,5 с до 1 с, при горении дуги ограничитель термически устойчив |
Испытательные напряжения внешней изоляции: | |
а) коммутационный импульс 250/2500 мкс в сухом состоянии и под дождем, кВ | Должно быть не менее чем на 20% выше остающегося напряжения при токе коммутационного перенапряжения 420 А |
б) полный грозовой импульс, кВ | Должно быть не менее чем на 10% выше остающегося напряжения при токе 5000 А |
Таблица П4.2.4
Электрические характеристики ОПН 330 кВ
Характеристика | Тип ограничителя |
EXLIM АВВ с классом энергоемкости |
Q | P-A и P-B | T |
1 | 2 | 3 | 4 | 5 | 6 | 7 | 8 | 9 | 10 | 11 |
Расчетное (номинальное) напряжение, кВ действ. | 264 | 276 | 288 | 276 | 312 | 336 | 360 | 276 | 288 | 360 |
Наибольшее рабочее напряжение ограничителя, кВ действ. | 211 | 221 | 230 | 221 | 230 | 230 | 267 | 221 | 230 | 267 |
Номинальный разрядный ток 8/20 мкс, кА | 10 | 10 | 10 | 10 | 10 | 10 | 10 | 20 | 20 | 20 |
Квазиустановившиеся перенапряжения, допустимые в течение времени, кВ дейст.: | | | | | | | | | | |
а) 20 мин | 256 | 268 | 279 | 268 | 303 | 326 | 349 | 262 | 274 | 342 |
б) 20 с | 285 | 298 | 311 | 298 | 337 | 363 | 389 | 292 | 305 | 382 |
в) 10 с | 290 | 304 | 317 | 304 | 343 | 370 | 396 | 398 | 311 | 388 |
г) 3,5 с | 297 | 311 | 324 | 312 | 353 | 380 | 407 | 306 | 320 | 400 |
д) 1 с | 306 | 320 | 334 | 320 | 362 | 390 | 418 | 314 | 328 | 410 |
е) 0,15 | 321 | 335 | 350 | 334 | 378 | 407 | 436 | 328 | 343 | 428 |
Остающееся напряжение при расчетном токе коммутацион- ного напряжения, кВ | | | | | | | | | | |
а) при волне 1,2/2,5 мс 630 А | 519 | 542 | 566 | 525 | 592 | 640 | | 518 | 541 | 675 |
б) при волне 2 мс 500 А | 515 | 538 | 562 | - | - | - | - | - | - | - |
в) при волне 2 мс 1000 А | 525 | 549 | 573 | 537 | 607 | 654 | 701 | 529 | 552 | 689 |
Остающееся напряжение при импульсном токе 8/20 мкс с амплитудой, кВ | | | | | | | | | | |
3000 А | - | - | - | 569 | 643 | 693 | 742 | 556 | 580 | 725 |
5000 А | 600 | 627 | 654 | 601 | 679 | 731 | 783 | 582 | 607 | 759 |
10000 А | 637 | 663 | 692 | 635 | 718 | 773 | 828 | 608 | 634 | 792 |
Максимальный ток короткого замыкания для сброса давления, кА, длительностью | | | | | | | | | | |
0,2 с | 65 | 65 | 65 | A-65 B-80 | A-65 B-80 | A-65 B-80 | A-65 B-80 | 80 | 80 | 80 |
1 с, А | 600 | 600 | 600 | 600 | 600 | 600 | 600 | 600 | 600 | 600 |
Таблица П4.2.5
Электрические характеристики ОПН 500 кВ и 750 кВ
Характеристика | Тип ОПН |
Exlim АВВ |
P | T |
500 кВ | 750 кВ |
Расчетное (номинальное) напряжение, кВ действ. | 396 | 468 | 396 | 444 | 588 |
Наибольшее рабочее напряжение ограничителя, кВ действ. | 318 | 350 | 318 | 350 | 462 |
Номинальный разрядный ток 8/20 мкс, кА | 10 | 10 | 20 | 20 | 20 |
Квазиустановившиеся перенапряжения, допустимые в течение времени, кВ дейст.: | | | | | |
а) 20 мин | 384 | 454 | 376 | 422 | 559 |
б) 20 с | 428 | 505 | 420 | 471 | 623 |
в) 10 с | 436 | 515 | 427 | 479 | 635 |
г) 3,5 с | 447 | 529 | 440 | 493 | 653 |
д) 1 с | 459 | 543 | 451 | 506 | 670 |
е) 0,15 | 479 | 566 | 471 | 528 | 700 |
Остающееся напряжение при расчетном токе коммутационного напряжения, кВ | | | | | |
а) при волне 1,2/2,5 мс 1200/1800 А | 778 | 918 | 764 | 857 | 1156 |
б) при волне 2 мс 500 А | - | - | - | - | - |
в) при волне 2 мс 1000 А | 771 | 911 | 758 | 850 | 1125 |
Остающееся напряжение при импульсном токе 8/20 мкс с амплитудой, кВ | | | | | |
3000 А | 816 | 964 | 798 | 894 | 1183 |
5000 А | 862 | 1018 | 835 | 936 | 1239 |
10000 А | 911 | 1077 | 872 | 977 | 1293 |
Удельная энергоемкость, кДж/кВ, расчетного напряжения | 7,0 | 7,0 | 10,0 | 10,0 | 10,0 |
Полная энергоемкость всего ограничителя, кДж | 2772 | 3276 | 3960 | 4440 | 5880 |
Максимальный ток короткого замыкания для сброса давления, кА, длительностью | | | | | |
0,2 с | A-65 B-80 | A-65 B-80 | 80 | 80 | 80 |
2 с | Сброс давления происходит за время до 0,5 с; до 1 с, при горении дуги ограничитель термически устойчив | То же, что 500 кВ |
Испытательные напряжения внешней изоляции: | |
а) коммутационный импульс 250/2500 мкс в сухом состоянии и под дождем, кВ | | |
б) полный грозовой импульс, кВ | |
--------------------------------
<*> Должно быть не менее чем на 20% выше остающегося напряжения при токе коммутационного перенапряжения 1200 А.
<**> Должно быть не менее чем на 20% выше остающегося напряжения при токе коммутационного перенапряжения 1800 А.
<***> Должно быть не менее чем на 10% выше остающегося напряжения при токе 5000 А.
4.3. Электрические характеристики ОПН 110 - 500 кВ, выпускаемых фирмой "ФЕНИКС-88" в полимерных покрышках
"Феникс-88" производит также ОПН 6 - 35 кВ.
Таблица П4.3.1
Электрические характеристики ОПН 110 - 220 кВ
Параметры | ОПН-110/73 | ОПН-110/80 | ОПН-110/88 | ОПН-220/146 | ОПН-220/157 | ОПН-220/176 |
Длительное рабочее напряжение ОПН, кВ | 73 | 80 | 88 | 146 | 157 | 176 |
Класс напряжения сети, кВ | 110 | 220 |
Напряжение, допустимое на ОПН в течение, кВ | 0,1 с | 110 | 120 | 132 | 219 | 236 | 264 |
1,0 с | 105 | 115 | 127 | 210 | 226 | 253 |
10 с | 100 | 110 | 121 | 200 | 215 | 241 |
20 мин | 90 | 98 | 108 | 180 | 193 | 216 |
2 ч | 86 | 94 | 104 | 172 | 185 | 208 |
10 ч | 82 | 90 | 99 | 165 | 177 | 199 |
24 ч | 80 | 88 | 97 | 161 | 173 | 194 |
Остающиеся напряжения, кВ, при импульсе тока с фронтом 30 мкс, с длительностью 60 мкс и с амплитудой: | 250 А, не более | 176 | 193 | 212 | 359 | 386 | 433 |
не менее | 169 | 186 | 204 | 346 | 372 | 417 |
500 А, не более | 180 | 197 | 216 | 365 | 393 | 440 |
не менее | 172 | 189 | 208 | 352 | 378 | 424 |
1000 А, не более | 185 | 203 | 224 | 378 | 407 | 456 |
не менее | 178 | 195 | 215 | 364 | 391 | 438 |
2000 А, не более | 195 | 214 | 235 | 397 | 427 | 479 |
не менее | 187 | 205 | 225 | 381 | 410 | 459 |
Остающиеся напряжения, кВ, при импульсе тока с фронтом 8 мкс, с длительностью 20 мкс и с амплитудой: | 500 А, не более | 180 | 198 | 217 | 366 | 394 | 442 |
не менее | 173 | 190 | 209 | 353 | 380 | 426 |
3000 А, не более | 201 | 220 | 242 | 409 | 440 | 493 |
не менее | 193 | 212 | 233 | 394 | 424 | 475 |
5000 А, не более | 210 | 230 | 253 | 428 | 460 | 516 |
не менее | 202 | 222 | 244 | 412 | 443 | 496 |
10000 А, не более | 226 | 248 | 273 | 461 | 496 | 556 |
не менее | 218 | 238 | 262 | 444 | 477 | 535 |
20000 А, не более | 247 | 270 | 297 | 502 | 540 | 605 |
не менее | 237 | 260 | 286 | 483 | 520 | 583 |
Остающиеся напряжения, кВ, при импульсе тока с фронтом 1 мкс, с длительностью 4 мкс и с амплитудой 10000 А | не более | 246 | 270 | 297 | 501 | 539 | 604 |
не менее | 237 | 259 | 285 | 482 | 518 | 581 |
Амплитуда выдерживаемого не менее 20 раз импульса большой длительности (прямоугольный импульс 2000 мкс), А | 600 |
Длина пути утечки изоляции, см, не менее | 230 | 460 |
Таблица П4.3.2
Электрические характеристики ОПН для защиты
разземленных нейтралей трансформаторов 110 - 220 кВ
Параметры | ОПНН-110 | ОПНН-220 |
Длительное рабочее напряжение ОПН, кВ | 56 | 120 |
Класс напряжения сети, кВ | 110 | 220 |
Напряжение, кВ, допустимое на ОПН в течение | 0,1 с | 84,0 | 180 |
1,0 с | 80,6 | 173 |
10 с | 76,7 | 164 |
60 с | 73,9 | 158 |
20 мин | 68,9 | 148 |
2 ч | 66,1 | 142 |
24 ч | 61,6 | 132 |
Остающиеся напряжения, кВ, при импульсе тока с фронтом 30 мкс, с длительностью 60 мкс и с амплитудой | 250 А, не более | 135 | 295 |
не менее | 130 | 286 |
500 А, не более | 138 | 300 |
не менее | 132 | 290 |
1000 А, не более | 142 | 311 |
не менее | 137 | 301 |
2000 А, не более | 150 | 326 |
не менее | 143 | 316 |
Остающиеся напряжения, кВ, при импульсе тока с фронтом 8 мкс, с длительностью 20 мкс и с амплитудой: | 500 А, не более | 138 | 302 |
не менее | 133 | 293 |
3000 А, не более | 154 | 336 |
не менее | 148 | 325 |
5000 А, не более | 161 | 352 |
не менее | 155 | 341 |
10000 А, не более | 174 | 379 |
не менее | 167 | 368 |
20000 А, не более | 189 | 413 |
не менее | 182 | 402 |
Остающиеся напряжения, кВ, при импульсе тока с фронтом 1 мкс, с длительностью 4 мкс и с амплитудой 10000 А | не более | 189 | 412 |
не менее | 181 | 400 |
Амплитуда выдерживаемого не менее 20 раз импульса большой длительности (прямоугольный импульс 2 мс), А | 600 |
Длина пути утечки изоляции, см, не менее | 150 | 300 |
Таблица П4.3.3
Электрические характеристики ОПН 500 кВ
Параметры | ОПН-500/303 | ОПН-500/333 |
Длительное рабочее напряжение ОПН, кВ | 303 | 333 |
Напряжение, допустимое на ОПН в течение: | 0,15 с | 470 | 520 |
1,0 с | 440 | 485 |
3,5 с | 425 | 470 |
20 с | 390 | 430 |
20 мин | 365 | 400 |
1 ч | 355 | 390 |
3 ч | 345 | 380 |
8 ч | 335 | 370 |
Остающиеся напряжения, кВ, при крутом импульсе тока 1/4 мкс с амплитудой 20000 А | не более | 1060 | 1165 |
не менее | 1020 | 1115 |
Остающиеся напряжения, кВ, при грозовом импульсе тока 8/20 мкс с амплитудой | 1500 А, не более | 790 | 870 |
не менее | 760 | 835 |
10000 А, не более | 910 | 1000 |
не менее | 875 | 960 |
20000 А, не более | 975 | 1070 |
не менее | 940 | 1030 |
40000 А, не более | 1075 | 1180 |
не менее | 1035 | 1135 |
Остающиеся напряжения, кВ, при коммутационном импульсе тока 30/60 мкс с амплитудой: | 500 А, не более | 745 | 820 |
не менее | 720 | 790 |
1000 А, не более | 770 | 845 |
не менее | 740 | 815 |
2000 А, не более | 810 | 890 |
не менее | 780 | 860 |
Амплитуда выдерживаемого не менее 20 раз импульса большой длительности (прямоугольный импульс 2 мс), А | 1200 |
4.4. Электрические характеристики ограничителей серии ОПН-У 110 - 220 кВ, выпускаемых фирмой "ТАВРИДА-ЭЛЕКТРИК" в полимерных покрышках
"Таврида-Электрик" производит также ОПН 6 - 35 кВ.
Таблица П4.4.1
Электрические характеристики ограничителей серии ОПН-У
Наименование параметра, размерность | |
Класс напряжения сети, кВ дейст. | 110 | 220 |
Наибольшее длительно допустимое напряжение ОПН-У, Uнд, кВ дейст. | 73 | 77 | 84 | 146 | 154 | 168 |
Номинальный разрядный ток 8/20 мкс, кА | 10 |
Остающееся напряжение на ОПН-У, кВ макс, не более, при импульсе тока | | | | | | |
| 178 | 186 | 203 | 356 | 372 | 406 |
| 183 | 193 | 211 | 366 | 386 | 422 |
| 185 | 195 | 213 | 370 | 390 | 426 |
5000 А, 8/20 мкс | 218 | 230 | 251 | 436 | 460 | 502 |
10000 А, 8/20 мкс | 233 | 246 | 269 | 466 | 492 | 538 |
20000 А, 8/20 мкс | 251 | 264 | 289 | 502 | 528 | 580 |
Наибольшее напряжение в долях Uнд, допустимое после поглощения ОПН максимальной энергии | |
Примечание. <*> любой импульс с фронтом более 30 мкс, <**> не более и не менее.
Пропускная способность ограничителей ОПН-У обеспечивает без повреждений воздействие 20 импульсов тока прямоугольной формы длительностью 2000 мкс с амплитудой 450 А.
Рис. П4.1. Наибольшее допустимое напряжение
в долях

в зависимости от воздействия
Длины пути утечки по
ГОСТ 16357 и
ГОСТ 9920 - в соответствии с указанной заказчиком степенью загрязнения: для II степени загрязнения - 2,25 см/кВ, для III степени загрязнения - 2,5 см/кВ, для IV - 3,1 см/кВ.
Конструкция ограничителя обеспечивает его взрывобезопасность при протекании тока внутреннего замыкания с действующим значением: 40000 А +/- 10% не менее 0,2 с и 800 А +/- 10% не менее 2 с. Категория взрывобезопасности А по
ГОСТ 16357-83.
НАИМЕНЬШИЕ ДОПУСТИМЫЕ РАССТОЯНИЯ В СВЕТУ
ОТ ТОКОПРОВОДЯЩИХ ЧАСТЕЙ ДО РАЗЛИЧНЫХ ЭЛЕМЕНТОВ
ОРУ 110 - 750 кВ И ЗРУ 110 - 330 кВ, ЗАЩИЩЕННЫХ
ОПН С ЗАЩИТНЫМ УРОВНЕМ ФАЗА - ЗЕМЛЯ 1,8
Применение ОПН вместо разрядников позволяет сократить воздушные изоляционные промежутки и размеры ОРУ и подстанций. Наименьшие допустимые расстояния в свету для ОРУ (ПС) приведены в табл. П5.1.
Таблица П5.1
Наименьшие расстояния в свету от токопроводящих частей
до различных элементов ОРУ (ПС) 110 - 750 кВ, защищенных
ограничителями перенапряжений с защитным уровнем
фаза - земля 1,8
Наименование расстояния | Обозначение | Изоляционное расстояние, мм, для номинального напряжения, кВ |
110 | 220 | 330 | 500 | 750 |
ОПН | ОПН | ОПН | ОПН | ОПН |
От токопроводящих частей, элементов оборудования и изоляции, находящихся под напряжением, до земли и постоянных внутренних ограждений высотой не менее 2 м, а также стационарных межъячейковых экранов и противопожарных перегородок | АФ-З | 600 | 1200 | 2000 | 3000 | 5200 |
От токопроводящих частей, элементов оборудования и изоляции, находящихся под напряжением, до заземленных конструкций: головка аппарата - опора; провод - стойка, траверса; провод - кольцо, стержень | | 600 | 1200 | 1600 | 2700 | 4500 |
Между токопроводящими частями разных фаз | АФ-Ф | 750 | 1600 | 2200 | 3400 | 6000 |
От токопроводящих частей, элементов оборудования и изоляции, находящихся под напряжением, до постоянных внутренних ограждений высотой до 1,6 м, до транспортируемого оборудования | Б | 1350 | 1950 | 2350 | 3450 | 5250 |
Между токопроводящими частями разных цепей в разных плоскостях при обслуживаемой нижней цепи и неотключенной верхней | В | 1800 | 2400 | 2800 | 3900 | 6000 |
От неогражденных токопроводящих частей до земли или до кровли зданий при наибольшем провисании провода | Г | 3300 | 3900 | 4700 | 5700 | 7900 |
Между токопроводящими частями разных цепей в разных плоскостях, а также между токопроводящими частями разных цепей по горизонтали при обслуживании одной цепи и неотключенной другой | Д1 | 2600 | 3200 | 3600 | 4700 | 6500 |
Для элементов изоляции, находящихся под распределенным потенциалом, изоляционные расстояния следует принимать с учетом фактических значений потенциалов в разных точках изоляции. При отсутствии данных о распределении потенциала следует условно принимать линейный закон падения потенциала вдоль изоляции от полного номинального фазного напряжения со стороны токопроводящих частей до нуля со стороны заземленных частей.
Расстояния от токопроводящих частей или элементов изоляции со стороны токопроводящих частей, находящихся под напряжением, до габаритов трансформаторов, транспортируемых по железнодорожным путям, допускается принять менее размера Б, но не менее размера

.
Расстояния

,

и

для ОРУ 220 кВ и выше, расположенных на высоте более 1000 м над уровнем моря, должны быть увеличены в соответствии с требованиями ГОСТ 1516-76, а расстояния

, В и

должны быть проверены по условиям ограничения короны на ошиновке ОРУ (ПС).
Наименьшие допустимые расстояния в свету для ЗРУ приведены в табл. П5.2.
Таблица П5.2
Наименьшие расстояния в свету от токопроводящих частей
до различных элементов ЗРУ 110 - 330 кВ, защищенных
ограничителями перенапряжений типа ОПН с защитным
уровнем фаза - земля 1,8
Наименование расстояния | Обозначение | Изоляционные расстояния, мм, для номинального напряжения, кВ |
110 | 220 | 330 |
От токопроводящих частей до заземленных конструкций и частей здания | АФ-З | 600 | 1200 | 2000 |
Между проводниками разных фаз | АФ-Ф | 750 | 1600 | 2200 |
От токопроводящих частей до сплошных ограждений | Б | 650 | 1250 | 2050 |
От токопроводящих частей до сетчатых ограждений | В | 700 | 1300 | 2100 |
Между неогражденными токопроводящими частями разных цепей | Г | 2800 | 3400 | 4200 |
От неогражденных токопроводящих частей до пола | Д | 3300 | 3700 | 4500 |
От неогражденных выводов из ЗРУ до земли при выходе их не на территорию ОРУ и при отсутствии проезда под выводами | Е | 5400 | 6000 | 6800 |
От контакта и ножа разъединителя в отключенном положении до ошиновки, присоединенной ко второму контакту | Ж | 850 | 1800 | 2500 |
РАСЧЕТА ОЖИДАЕМОГО СРОКА СЛУЖБЫ ОПН 110 - 1150 кВ
Методика расчета ожидаемого срока службы ОПН состоит в проверке надежности его работы при ограничении коммутационных перенапряжений в условиях конкретной электропередачи. Надежность защищающего электропередачу ОПН является достаточной, если ожидаемый с доверительной вероятностью

срок службы

ОПН, т.е. ожидаемое число лет его безаварийной работы, будет не менее нормируемого техническими условиями. Нормы указаны в таблице П6.1.
Таблица П6.1
условиями на ограничители срок службы
Uн, кВ | 110 | 220 | 330 | 500 | 750 | 1150 |
Pдов | 0,98 |
Nсл, лет, не менее | 20 | 20 | 25 | 25 | 30 | 30 |
Методика расчета состоит из следующих этапов:
- расчет статистического распределения амплитуд неограниченных перенапряжений в точке установки ограничителя;
- расчет статистического распределения ресурса, расходуемого резистором ограничителя в течение одного года;
- определение ожидаемого срока службы ограничителя.
Токовые нагрузки на ограничители, установленные на разомкнутом конце, как правило, превосходят токовые нагрузки на ограничители питающего конца
(рис. П2.1), поэтому оценка надежности, т.е. ожидаемого на заданном уровне доверительной вероятности срока безаварийной службы ОПН, должна производиться для ограничителей, установленных как на питающем, так и на разомкнутом конце передачи отдельно. В ряде случаев такой подход может оказаться оправданным экономически.
В симметричном режиме амплитуда неограниченных перенапряжений k есть произведение ударного коэффициента перенапряжений

на вынужденную составляющую переходного процесса перенапряжений

:

. (П6.1)
В несимметричных режимах успешного ОАПВ и при однополюсном к.з. амплитуды неограниченных перенапряжений вычисляются по формулам:

. (П6.2)
В
формулах (П6.1) и
(П6.2) ударный коэффициент характеризует вид коммутации и интенсивность переходного процесса, а вынужденная составляющая - схему и режим электропередачи.
В симметричном режиме математическое ожидание

, среднеквадратичное отклонение

амплитуды неограниченных перенапряжений определяются так:

. (П6.1а)
В несимметричных режимах успешного ОАПВ и однофазного к.з. в качестве

и

имеем:

; (П6.2а)

, (П6.2б)
где

и

- математическое ожидание и дисперсия ударного коэффициента перенапряжений в симметричной коммутации включения ВЛ,

и

- то же самое для вынужденной составляющей перенапряжений в i-ой коммутации.
Если наименьшая из частот собственных колебаний коммутируемой электропередачи

, (П6.3а)
то ударный коэффициент перенапряжений, возникающих на ее разомкнутом конце

, статистически инвариантен относительно структуры и параметров этой передачи. Это означает, что вид закона статистических распределений

определяется только типом коммутации (скажем, включение ВЛ или ТАПВ и т.д.), а параметры этого закона, т.е.

,

и т.д. одинаковы для любой электропередачи независимо от ее сложности и класса номинального напряжения.
Ударный коэффициент перенапряжений, возникающих на питающем конце передачи

, подчиняется тому же закону, что и

. Скажем, если в какой-то коммутации

распределен по нормальному закону, то в этой коммутации

тоже подчиняется нормальному закону, но параметры этого закона другие,

;

.
На
рис. П6.1 показаны зависимости

и

от безразмерного параметра

. (П6.3б)

. (П6.3в)
Рис. П6.1. Зависимость отношений
кружки, треугольники - опытные точки
соответственно

и

;
белые и черные значки - соответственно
ВЛ без заряда и предварительно заряженные
Вольт-амперная характеристика ограничителя при коммутационных перенапряжениях имеет следующий вид:

.
Численные значения параметра A в относительных единицах, т.е.

указаны в табл. П6.2. Расчеты удобно вести в относительных единицах, приняв базисные, указанные в табл. П6.2.
Таблица П6.2
Uн, кВ | 110 | 220 | 330 | 500 | 750 | 1150 |
Uбаз, кВ | 103 | 206 | 297 | 428 | 643 | 937 |
Zбаз, Ом | 570 | 530 | 450 | 365 | 330 | 280 |
Lбаз, Гн | 1,82 | 1,69 | 1,43 | 1,16 | 1,05 | 0,89 |
Cбаз, мкФ | 5,6 | 6,0 | 7,1 | 8,7 | 9,7 | 11,4 |
Iбаз, А | 180 | 390 | 665 | 1170 | 1940 | 3345 |
Aбаз x 10-3 | 84 | 162 | 229 | 323 | 475 | 682 |
A/Aбаз | 1,71 | 1,75 | 1,76 | 1,77 | 1,75 | 1,68 |
6.2. Статистические распределения неограниченных перенапряжений в точке установки ОПН
Статистические распределения амплитуд неограниченных перенапряжений, ударные коэффициенты которых не зависят от времени (это все виды коммутаций, кроме успешного и неуспешного ТАПВ), рассчитывают следующим образом. В табл. П6.3 эти виды коммутаций помечены индексами S = 1; 2; 3; 4; 5; 6 и 9. Численные значения математического ожидания

и среднеквадратичного отклонения

ударных коэффициентов в этих видах перенапряжений, полученные в результате экспериментов в действующих энергосистемах, приведены в табл. П6.3.
Таблица П6.3
Параметры ударных коэффициентов

и

S | 1 | 2 | 3 | 4 | 5 | 6 | |
| 1,61 | 1,39 | 1,55 | 2,04 | 1,4 | 1,34 |  /1,53 |
| 0,183 | 0,197 | 0,15 | 0,352 | 0,128 | 0,132 |  /0,175 |
--------------------------------
<*> Числитель - передачи, оборудованные автоматикой прекращения асинхронного хода (АПАХ) с уставкой

(см. рис. П6.2); знаменатель - передачи без АПАХ.
Рис. П6.2. Зависимость математического ожидания
и среднеквадратичного отклонения ударных коэффициентов
при разрыве электропередачи из-за асинхронного хода
от установки АПАХ
В этих коммутациях статистические распределения амплитуд неограниченных перенапряжений определяются по следующим формулам:
для S = 1; 2; 3

; (П6.4)
для S = 9 с устройством АПАХ

определяется по
формуле (П6.4) при значении

; при отсутствии АПАХ - при значении

.
Статистические распределения амплитуд неограниченных перенапряжений, ударные коэффициенты которых зависят от времени (это успешное и неуспешное ТАПВ, в
табл. П6.3 они помечены индексами S = 7 и S = 8), определяют следующим образом.
Таблица П6.4
Ожидаемое число воздействий
на резистор одной фазы ОПН за год
S | Вид коммутации | для электропередач, кВ |
110 | 220 | 330 | 500 | 750 | 1150 |
1 | Плановое включение ненагруженной линии | 5 - 8 | 5 - 8 | 3 - 6 | 3 - 6 | 1 - 3 | 1 - 3 |
2 | Включение ненагруженной блочной электропередачи | 5 - 8 | 5 - 8 | - |
3 | Успешное ОАПВ | - | - | 2,3·10-3·l | 1,45·10-3·l | 1,2·10-3·l | 9·10-6·l |
4 | Отключение масляными выключателями ненагруженной линии с короткозамкнутой фазой | 3 - 5 | 3 - 5 | - |
5 | Разрыв передачи после неуспешного ОАПВ | - | - | 9,1·10-3·l | 1,35·10-2·l | 6,1·10-3·l | 4·10-6·l |
6 | Трехфазный разрыв передачи вследствие ликвидации несимметричного к.з. | 3,3·10-2·l | 1·10-2·l | 2,7·10-2·l | 6,5·10-3·l | 1·10-3·l | 0,8·10-6·l |
7 | Успешное ТАПВ | 2,3·10-2·l | 6,1·10-2·l | 5·10-4·l | 2,6·10-4·l | 2,4·10-4·l | 1,2·10-6·l |
8 | Неуспешное ТАПВ | 4,4·10-2·l | 2,15·10-2·l | 7·10-3·l | 6,8·10-3·l | 1,2·10-4·l | 0,8·10-6·l |
9 | Разрыв передачи при асинхронном ходе | - | - | 3,5·10-5·l | 5,4·10-5·l | 4,8·10-5·l | 4,5·10-7·l |
Примечание. Для S = 3; 5; 6; 7; 8 и 9 указаны удельные значения на 100 км линии длиной l, км.
| | ИС МЕГАНОРМ: примечание. В официальном тексте документа, видимо, допущена опечатка: имеется в виду формула (2.5а), а не формула (2.5). | |
Коммутация успешного ТАПВ (S = 7). Для известной величины бестоковой паузы

по кривым
рис. П6.3 определяются параметры статистического распределения ударных коэффициентов

и

. По
формуле (П2.5) Приложения 2 рассчитывается математическое ожидание вынужденного напряжения

. По кривой на
рис. П6.5 определяется функция распределения амплитуд неограниченных перенапряжений, которая при успешном ТАПВ дается выражением

, (П6.5а)
где

либо

.
Рис. П6.3. Зависимость параметров распределения ударных
коэффициентов при успешном ТАВП от длительности
бестоковой паузы
Если в электропередачах 110 - 500 кВ ЭМТН вынесены за линейный выключатель, т.е. установлены непосредственно на коммутируемом участке ВЛ, причем на участке ВЛ 500 кВ нет компенсационных реакторов, то независимо от длительности бестоковой паузы

,

.
Коммутация неуспешного ТАПВ (S = 8). Для известной величины бестоковой паузы

по кривым рис. П6.4 определяют параметры статистического распределения ударных коэффициентов

;

;

и

.
Рис. П6.4. Зависимость параметров распределения ударных
коэффициентов при неуспешном ТАПВ от длительности
бестоковой паузы
По кривой
рис. П6.5 определяют две функции статистического распределения амплитуд неограниченных перенапряжений в коммутации неуспешного ТАПВ:

. (П6.5б)
Рис. П6.5. Функция распределения амплитуд
неограниченных перенапряжений (

;

;

) определяются
Распределение амплитуд неограниченных перенапряжений при неуспешном ТАПВ дается следующим выражением:

. (П6.6)
Распределение амплитуд неограниченных перенапряжений при успешном ОАПВ (в
табл. П6.3 эта коммутация помечена индексом S = 3) определяется следующим образом. Для известной величины бестоковой паузы

по
формулам (П2.15) -
(П2.25) Приложения 2 рассчитывают минимальное

и максимальное

значения случайных годовых изменений вынужденного напряжения при успешном ОАПВ. Затем по формулам

; (П6.7а)

(П6.7б)
определяют математическое ожидание и дисперсию вынужденного напряжения при успешном ОАПВ.
По кривой
рис. П6.5 определяют функцию распределения амплитуд неограниченных перенапряжений в коммутации успешного ОАПВ:

. (П6.8)
6.3. Расчет статистического распределения ресурса, расходуемого резистором ОПН в течение одного года
Ресурс, расходуемый резистором ограничителя в течение одного года, равен

, (П6.9)
где

- ожидаемое число воздействий на ОПН в коммутации S-го типа в течение одного года эксплуатации (см.
табл. П6.3);

- математическое ожидание ресурса пропускной способности, расходуемого в одной коммутации S-го типа.
Математическое ожидание ресурса, расходуемого в одной коммутации S-го типа, определяется с помощью графического построения, показанного на
рис. П6.6, где в третьем квадранте откладывается функция

, вычисляемая по формуле:

, (П6.10)
где

- неограниченные перенапряжения в коммутации S-го типа; вспомогательный параметр

для электропередач 110, 220 и 330 кВ равен единице. Для электропередач 500, 750 и 1150 кВ, если в точке установки ограничителя включен компенсирующий реактор, вспомогательный

зависит от амплитуды неограниченных перенапряжений и равен

. (П6.11)
Рис. П6.6. Графическое построение статистического
распределения

и математического ожидания

ресурса, расходуемого в одной коммутации S-го типа,
при заданной доверительной вероятности

Величина коэффициента

указана в табл. П6.5.
Таблица П6.5
Усредненные численные значения коэффициента

Uн, кВ | Величина ks |
1,9 | 2,1 | 2,3 | 2,5 | 2,7 | 2,9 |
500 | 0,25 | 0,29 | 0,32 | 0,34 | 0,36 | 0,38 |
750 | 0,27 | 0,31 | 0,34 | 0,38 | 0,38 | 0,40 |
1150 | 0,30 | 0,35 | 0,38 | 0,40 | 0,42 | 0,44 |
Во втором квадранте на
рис. П6.6 откладывается функция статистического распределения амплитуд неограниченных перенапряжений

, рассчитанная по
формулам (П6.4) -
(П6.6) и указаниям, изложенным в
пункте 2 Приложения 6.
В результате дальнейшего построения, ход которого на
рис. П6.6 показан пунктиром со стрелками, в первом квадранте
рис. П6.6 строится зависимость

- функция статистического распределения ресурса пропускной способности, расходуемого резистором ОПН в одной коммутации S-го типа. Расчет

повторяется для всех S, т.е. для электропередач 110 и 220 кВ пять раз (S = 1 или 2; 4; 6; 7 и 8); для электропередач 330, 500 и 750 кВ семь раз (S = 1; 3; 5; 6; 7; 8 и 9) (см.
табл. П6.3).
На том же
рис. П6.6 показан способ графического определения математического ожидания

, отвечающего заданной доверительной вероятности

. Для этого из точки

проводится показанная на
рис. П6.6 прямая, параллельная оси абсцисс. Затем путем нескольких проб уравниваются площади, помеченные на
рис. П6.6 знаками "+" и "-". Точка пересечения показанной на
рис. П6.6 вертикальной прямой, уравнивающей площади, с осью абсцисс есть искомое значение математического ожидания.
6.4. Определение ожидаемого срока службы ОПН
Математическое ожидание срока службы ОПН определяется по формуле:

, (П6.12)
где

- исходный (располагаемый) ресурс пропускной способности, которым обладает вновь изготовленный ОПН;

- математическое ожидание расходуемого в процессе коммутаций ресурса. Численные значения

даны в
табл. П6.3, а

определено с помощью построения, показанного на
рис. П6.6.
Срок службы ОПН, определенный доверительной вероятностью

, равен:

, (П6.13)
где

дается величиной

, отвечающей

, указанному в
табл. П6.1.
Значения располагаемого ресурса задаются техническими условиями на ОПН. Численные значения

для ограничителей, изготавливаемых НПО "Электрокерамика" (Санкт-Петербург), приведены в табл. П6.6.
Таблица П6.6
Исходный (располагаемый) ресурс пропускной способности ОПН
Uн, кВ | 110 | 220 | 330 | 500 | 750 | 1150 |
Tрасп, отн. ед. | 97 | 26 | 17 | 22 | ОПН-16 | ОПНО-8 | 11 |
6.5. Программа расчета ожидаемого срока службы ограничителей 110 - 1150 кВ
Для оценки надежности работы ограничителей 110 - 1150 кВ, т.е. ожидаемого на заданном уровне доверительной вероятности срока безаварийной службы ОПН, защищающих от коммутационных перенапряжений конкретную электропередачу, в НИИПТ разработана программа расчета (РЕМА-1).
ПРИМЕР ВЫБОРА СИСТЕМЫ ГРОЗОЗАЩИТЫ ИЗОЛЯЦИИ ПИТАЮЩИХ
КРУЭ БЛОЧНЫХ ТРАНСФОРМАТОРОВ (АВТОТРАНСФОРМАТОРОВ)
Для того, чтобы проследить влияние различных элементов комплекса защитных средств, было выбрано наиболее неблагоприятное с точки зрения перенапряжений оперативное состояние электрической схемы КРУЭ 500 кВ, показанное на
рис. П7.1, когда грозовая волна распространялась по линии ВЛ-2, а все другие присоединения, кроме БЛОКА-1, отключены. Такая ситуация может отвечать, например, пусковому этапу. Соответствующая расчетная схема будет иметь вид, показанный на
рис. П7.2. Результаты расчетов, которые выполнялись по программе РВПМ и методам, изложенным в Части 3, суммированы в табл. П7.1.
Таблица П7.1
Грозовые перенапряжения, воздействующие
на блочные трансформаторы КРУЭ 500 кВ
N схемы | Условное изображение схемы: l - расстояние; ОПН - трансформатор | l, м | Входная емкость  трансформатора, пФ |
2,5 | 5,0 | 10,0 |
1 | | 10 | 3,30 | 3,19 | 2,87 |
15 | 3,51 | 3,35 | 3,03 |
2 | | 10 | 2,79 | 2,84 | 2,86 |
15 | 2,95 | 3,00 | 3,00 |
3 | | 10 | 2,64 | 2,69 | 2,71 |
15 | 2,79 | 2,84 | 2,86 |
4 | | 10 | 2,69 | 2,67 | 2,44 |
15 | 2,83 | 2,77 | 2,53 |
5 | | 10 | 2,34 | 2,39 | 2,43 |
15 | 2,44 | 2,49 | 2,52 |
Рис. П7.1. Электрическая схема компоновки КРУЭ 500 кВ.
Полуторная схема 3/2
Рис. П7.2. Расчетная схема КРУЭ 500 кВ, отвечающая
электрической схеме
Из
табл. П7.1 видно, что при воздействии набегающих с ВЛ волн грозовых перенапряжений наилучшие условия работы внутренней изоляции питающего КРУЭ блочного трансформатора обеспечиваются схемой N 5
табл. П7.1. В этой схеме защита осуществляется двумя ограничителями типа ОПН, установленными с двух сторон блочного трансформатора. При этом амплитуда воздействующих на трансформатор атмосферных перенапряжений

не превосходит

.
ПРИМЕРЫ РАСЧЕТА ОЖИДАЕМОГО СРОКА СЛУЖБЫ ОПН
ПРИМЕР П8.1. Расчет вынужденного напряжения переходного процесса перенапряжений частоты 50 Гц
В качестве примера рассмотрим электропередачу 750 кВ, расчетная схема для определения симметричного и несимметричного вынужденного напряжения при всех коммутациях, кроме успешного ОАПВ, показана на
рис. П2.1б, при коммутации успешного ОАПВ - на
рис. П2.4б.
8.1.1. Исходные данные:
ВЛ

длиной l = 400 км. Опоры с разрезанными тросами. Количество реакторов: на питающем конце - 1; на приемном конце - 1. Питающая схема с эквивалентным реактивным сопротивлением X для минимального и максимального режима по прямой и нулевой последовательности:

;

;...;

;

;....
Приемная схема с эквивалентным реактивным сопротивлением X по прямой и нулевой последовательности:

;

.
Реактивное сопротивление реакторов на питающем и приемном концах в схеме без нулевого реактора одинаково

.
Значения модулей векторов э.д.с. E зависят от вида коммутации. Примем для всех коммутаций

, а

в соответствии с диапазоном, указанным в
табл. 1.5.
Для удобства расчетов и наглядности составим рабочую таблицу видов коммутаций для ВЛ 750, используя нумерацию видов из табл. П6.4.
Таблица П8.1
Таблица значений вынужденного напряжения
на разомкнутом конце электропередачи в зависимости
от

и вида коммутации
S | Вид коммутации | Emax | Тип режима | |
1 | Плановое включение ненагруженной линии | 1,0 | Симметричный | 1,14 |
3 | Успешное ОАПВ | 1,15 | Несимметричный | 1,28 |
5 | Разрыв передачи после неуспешного ОАПВ | 1,15 | Несимметричный | 1,2 |
6 | Трехфазный разрыв передачи вследствие ликвидации несимметричного к.з. | 1,15 | Несимметричный | 1,2 |
7 | Успешное ТАПВ | 1,15 | Симметричный | 1,21 |
8 | Неуспешное ТАПВ | 1,15 | Несимметричный | 1,2 |
9 | Разрыв передачи при асинхронном ходе | 1,25 | Симметричный | 1,24 |
8.1.2. Расчет вынужденного напряжения переходного процесса в симметричном режиме
Для ВЛ 750 вынужденное напряжение вычисляется по
формулам П2.2а на разомкнутом

и питающем

концах. По
формуле П2.2б определим вспомогательные параметры, не зависящие от вида коммутации и значения э.д.с. E:

.
Для

:

;

.
Для

, определяя аналогично, получаем:

.
По
формулам П2.2а определим максимальное и минимальное ненасыщенные значения вынужденного напряжения на разомкнутом и питающем концах для различных видов коммутаций и

.
8.1.2.1. Коммутация планового включения

;

.
Поскольку

, то учитывать насыщение не нужно, тогда

и

.
Математическое ожидание

и дисперсия

вынужденного напряжения при плановом включении ненагруженной линии на разомкнутом конце ВЛ 750 вычисляются по
формулам П2.5а,
П2.5б:

.
8.1.2.2. Коммутация успешного ТАПВ
Поскольку

для всех коммутаций принято одинаковым и равным единице, то

также будет одинаковым и равным 1,114. Величина

определяется также, как в
П.2.1, но при значении

.
Получим:

.
Поскольку

, то необходим учет насыщения, который проводится с использованием
формул П2.3в и кривых
рис. П2.2,
П2.3. Расчеты проведены при

.

;

.
По кривым
рис. П2.3 при

и

определяем верхний предел насыщенного значения

. По
формуле П2.4 находим максимальное значение вынужденного напряжения на разомкнутом конце:

.
При

и

определяем математическое ожидание вынужденного напряжения при коммутации успешного ТАПВ:

.
8.1.2.3. Коммутация разрыва передачи при асинхронном ходе
Проводя вычисления, аналогичные приведенным выше, получаем

, определяем насыщенное значение

при

;

;

.
Математическое ожидание вынужденного напряжения

;
дисперсия:

.
8.1.3. Расчет вынужденного напряжения переходного процесса в несимметричном режиме
Определим коэффициент несимметрии

в начале

и в конце

линии при максимальной

и минимальной

реактивностях питающей системы.
Примем входные сопротивления, рассчитанные по параметрам прямой и обратной последовательности, равными

, тогда в соответствии с
формулой (П2.9) 
;

.
Формула (П2.8) примет следующий вид:

.
при


;
при однополюсном к.з. в конце линии

,

,

;
при к.з. в начале линии

;

;
при к.з. на конце линии

;

;

;
при к.з. в начале линии

;

;

.
Полученные четыре значения коэффициента несимметрии

дают максимальные значения в зависимости от режима передачи и местоположения к.з. на линии. Для расчета минимального значения

примем

, для расчета максимального значения

.
| | ИС МЕГАНОРМ: примечание. В официальном тексте документа, видимо, допущена опечатка: имеется в виду пункт 8.1.2.1, а не пункт 1.1. | |
Поскольку для коммутации с несимметричным режимом питания (разрыв передачи после неуспешного ОАПВ, трехфазный разрыв передачи вследствие ликвидации несимметричного к.з. и неуспешное ТАПВ) принято одинаковое значение E = 1,15, то величина

будет вычисляться следующим образом. Расчет

и

при E = 1 (см. в
п. 1.1, коммутация планового включения):

;

.
При E = 1,15:
| | ИС МЕГАНОРМ: примечание. Формула дана в соответствии с официальным текстом документа. | |

;

.
| | ИС МЕГАНОРМ: примечание. В официальном тексте документа, видимо, допущена опечатка: имеется в виду пункт 8.1.2.2, а не пункт 1.2. | |
Поскольку

, то необходим учет насыщения (см.
п. 1.2).
По кривым
рис. П2.3 при

и

определяем насыщенное значение вынужденного напряжения

, тогда

.
Для определения математического ожидания

на разомкнутом конце ВЛ примем

и

, тогда

;

.
8.1.4. Расчет вынужденного напряжения частоты 50 Гц в несимметричном режиме при успешном ОАПВ
Аналогично проведенным выше расчетам вычисляют максимальное

и минимальное

значения вынужденного напряжения, затем по
формуле (П2.26) - математическое ожидание

. Ввиду большого объема вычислений подробный расчет проведем только для

, минимальное значение приведем без промежуточных вычислений.
по параметрам прямой последовательности электропередачи

;

;

;

;

;

;

;
по параметрам нулевой последовательности электропередачи

;

;

;

;

;

;

;
m = (54 x (1 + 0,198) x 0,437)/
/(100 x (1 + 0,437) x 0,198) = 0,994;
q = 1 - (1/1 + 2 x 0,994) x ((1/1 + 0,437) -
- (0,994/1 + 0,198)) = 1,045.
По
формуле П2.24 определяем максимальное значение угла

при

, вычислив предварительно значение аргумента функции arcsin:

;

.
Проведя аналогичные расчеты для

и

, получаем:

,

.
8.2. Расчет ожидаемого срока службы ОПН 750 кВ
8.2.1. Расчет статистического распределения амплитуд неограниченных перенапряжений в точке установки ограничителя
Произведем расчет для ограничителя, установленного на разомкнутом конце электропередачи. Используя значения математического ожидания вынужденного напряжения

, вычисленные для всех видов коммутаций в предыдущем примере, значения параметров ударных коэффициентов из
табл. П6.4,
рис. П6.3,
П6.4, с помощью кривой
рис. П6.5 и
формул П6.4 -
П6.6 вычислим зависимости

- распределение амплитуд неограниченных перенапряжений.
Для коммутаций, ударные коэффициенты которых не зависят от времени (S = 1; 3; 5; 6; 9) распределения амплитуд неограниченных перенапряжений

определяются одинаково. Покажем расчет на примере коммутации S = 1 плановое включение ненагруженной линии.
Для этой коммутации имеем:
| | ИС МЕГАНОРМ: примечание. В официальном тексте документа, видимо, допущена опечатка: имеется в виду формула (П6.4), а не формула (П6.4а). | |

.
Значения аргумента, обозначим его Y, определяют по кривой
рис. П6.5 при заданном значении функции P(Y). Например, для P(Y) = 0,5 получим Y = 0, тогда k = 0,209 x Y + 1,835. Таким образом определяются значения k в диапазоне изменения P(Y) от 0 до 1 и строится зависимость

, показанная на рис. П8.1.
Рис. П8.1. Зависимость P(k)
для коммутации планового включения
Для коммутации N 7 (успешное ТАПВ) значения ударных коэффициентов

и

зависят от величины бестоковой паузы

и определяются по кривым
рис. П6.3. Для принятой величины

получим

;

(см. предыдущий пример). В остальном процедура построения

аналогична приведенной выше.
Для коммутации N 8 (неуспешное ТАПВ) методика построения зависимости

следующая. Для известной паузы

по кривым
рис. П6.4 определяют параметры двух функций

и

:

;

;

;

.
| | ИС МЕГАНОРМ: примечание. В официальном тексте документа, видимо, допущена опечатка: имеется в виду формула (П6.5а), а не формула (П6.5). | |
Подставляя полученные значения параметров в
формулы П6.5 и задавая значения k, например, в диапазоне 1,4 - 2, по кривой
рис. П6.5 определяем две вспомогательные функции

и

. Подставляя полученные значения

и

в
формулу П6.6, получим распределение амплитуд неограниченных перенапряжений при неуспешном ТАПВ.
Для примера определим значение P(k) при k = 1,8. Найдем:

;

;
P(1,8) = 0,55 x 0,26 + 0,85 x 0,86 = 0,87.
Аналогичным образом строится зависимость P(k) в диапазоне от 0 до 1.
8.2.2. Расчет статистического распределения ресурса, расходуемого резистором ОПН в течение одного года
Зависимость между амплитудой неограниченных перенапряжений k и величиной расходуемого ресурса

дается
формулой П6.10. Для ОПН 750 кВ эта формула имеет вид:

.
Решение этого уравнения для нахождения

достаточно трудоемкая задача, поэтому удобнее пользоваться графической зависимостью

, представленной на рис. П8.2.
Рис. П8.2. Зависимость T(k) для ОПН 750 кВ
Используя полученные зависимости

и

, получаем искомые функции

статистического распределения ресурса пропускной способности, расходуемого резистором ОПН в рассматриваемых коммутациях. Для коммутации S = 1 процесс построения и полученная зависимость

приведены на рис. П8.3. На этом же рисунке показан способ графического определения математического ожидания расходуемого ресурса

в данной коммутации.
Рис. П8.3. Зависимость P(T) для коммутации планового
включения. Зависимость строится на основании кривых
соответствует k = 2, этому значению k на кривой
рис. П8.2
соответствует T = 0,002. Следовательно, на рис. П8.3 искомая
точка будет иметь координаты P = 0,8, T = 0,02
Величина

.
Для остальных коммутаций определенные аналогичным образом значения

приведены в следующей таблице П8.2, где также даны величины ожидаемых количеств воздействий

на резистор одной фазы ОПН в год для ВЛ 750 кВ длиной 400 км и величины расходуемого ресурса, определенные при P = 0,98.
S | Вид коммутации | Ns | | Ns Tos | Tos(0,98) |
1 | Плановое включение ненагруженной линии | 3 | 0,019 | 0,057 | 0,1 |
3 | Успешное ОАПВ | 0,48 | 0,05 | 0,024 | 0,185 |
5 | Разрыв передачи после неуспешного ОАПВ | 2,44 | 0,002 | 0,0049 | 0,016 |
6 | Трехфазный разрыв передачи вследствие ликвидации несимметричного к.з. | 0,4 | 0,001 | 0,0004 | 0,008 |
7 | Успешное ТАПВ | 0,1 | 0,18 | 0,018 | 0,67 |
8 | Неуспешное ТАПВ | 0,05 | 0,0004 | 0,00002 | 0,004 |
9 | Разрыв передачи при асинхронном ходе | 0,02 | 0,03 | 0,0006 | 0,16 |
Суммируя данные предпоследнего столбца
табл. П8.2, определим в соответствии со знаменателем
формулы П6.12 математическое ожидание ресурса

, расходуемого во всех коммутациях в течение одного года. В данном примере величина

равна 0,105 о.е., определенное по
формуле П6.12 математическое ожидание срока службы ОПН-750 составит

. Срок службы ОПН-750, оцененный с доверительной вероятностью

, определяется по
формуле П6.13. Величины расходуемого ресурса, отвечающие вероятности P = 0,98, определенные по кривым

, аналогичным
рис. П8.3, приведены в последнем столбце
табл. П8.2. Умножив

на

и просуммировав по всем коммутациям, получаем величину расходуемого ресурса, которая с вероятностью 0,98 не будет превышена в течение одного года работы ОПН. Для данного ОПН-750 получим

,

, т.е. срок службы, оцененный с доверительной вероятностью 0,98, составит не менее 32 лет.
Все приведенные выше оценки сделаны для ОПН, установленного на разомкнутом конце электропередачи. Если провести аналогичные расчеты для ограничителя, установленного на питающем конце, то срок службы, оцененный с доверительной вероятностью 0,98, составит не менее 98 лет. В данном случае разумно использовать на питающем конце электропередачи ограничитель ОПНО-750. Для ОПНО-750 величина располагаемого ресурса (по данным завода-изготовителя) равна:

Тогда срок службы ОПНО-750, оцененный с доверительной вероятностью 0,98, составит не менее 49 лет.
РЕКОМЕНДУЕМЫЕ МЭК ИСПЫТАТЕЛЬНЫЕ НАПРЯЖЕНИЯ
ЭЛЕГАЗОВЫХ КРУ И ВСТРАИВАЕМОГО В НИХ ОБОРУДОВАНИЯ
1. Рекомендуемые МЭК испытательные напряжения приведены в табл. П9.1.
Таблица П9.1
Рекомендуемые МЭК испытательные напряжения
элегазовых КРУ и встраиваемого в них оборудования
Uном, кВ | Грозовой импульс 1,5/40 мкс, кВ | Коммутационный импульс 1,2/2,5 мс, кВ | Напряжение частоты 50 Гц, кВ, 60 с |
полный | срезанный | | между контактами выключателя и разъединителя | относительно земли и между полюсами <**> | между контактами |
Относительно земли и между полюсами | между контактами | Электромагнитные трансформаторы напряжения | | | КРУЭ | измерительные трансформаторы и вводы, испытываемые отдельно | выключатели | разъединители |
| | выключатели | разъединители | | | | | | | |
110 | 550 | | 630 | 550 | - | - | 230 | 230 | 230 | 265 |
220 | 950 | | 1050 | 950 | - | - | 395 | 395 | 325 | 375 |
330 | 1175 | 1380 | | 1175 | | 1095 | 450 | 510 | 575 | |
500 | 1425 | 1725 | | 1425 | | 1330 | 620 | 630 | 815 | |
750 | 2100 | 2550 | | 2100 | | 2000 | 830 | 830 | 1240 | |
--------------------------------
<*> Для вводов "воздух - элегаз" категории размещения I в сухом состоянии и под дождем.
<**> Требование к изоляции между полюсами только для классов напряжения 110 и 220 кВ.
2. Защитные характеристики элегазовых ограничителей типа ОПНЭ и серийных типа ОПН-УХЛ1 или типа ОПН-У1 должны быть идентичны. Эти характеристики приведены в
табл. П4.1 Приложения 4.