Главная // Актуальные документы // МетодикаСПРАВКА
Источник публикации
М., 1990
Примечание к документу
Взамен ГОСТ 8.441-81, ГОСТ 8.465-82, ГОСТ 8.492-83.
Название документа
"МИ 2188-92. Рекомендация. Государственная система обеспечения единства измерений. Меры частоты и времени. Методика поверки"
(утв. НПО "ВНИИФТРИ" 28.12.1990)
"МИ 2188-92. Рекомендация. Государственная система обеспечения единства измерений. Меры частоты и времени. Методика поверки"
(утв. НПО "ВНИИФТРИ" 28.12.1990)
Первый зам. генерального
директора НПО "ВНИИФТРИ"
Ю.И.БРЕГАДЗЕ
28 декабря 1990 года
РЕКОМЕНДАЦИЯ
ГОСУДАРСТВЕННАЯ СИСТЕМА ОБЕСПЕЧЕНИЯ ЕДИНСТВА ИЗМЕРЕНИЙ
МЕРЫ ЧАСТОТЫ И ВРЕМЕНИ
МЕТОДИКА ПОВЕРКИ
МИ 2188-92
Взамен ГОСТ 8.441-81
8.465-82
8.492-83
1. Разработана и внесена Научно-производственным объединением "Всесоюзный научно-исследовательский институт физико-технических и радиотехнических измерений" (НПО "ВНИИФТРИ").
Исполнитель: В.Н. Титов, канд. техн. наук.
2. Утверждена НПО "ВНИИФТРИ" 28.12.90.
3. Зарегистрирована ВНИИМС.
4. Взамен ГОСТ 8.441-81; ГОСТ 8.465-82; ГОСТ 8.492-83.
Настоящая рекомендация распространяется на меры частоты и времени или меры частоты (далее МЧВ и МЧ), имеющие относительную погрешность по частоте, устанавливаемую за межповерочный интервал, не менее 1 · 10-13, среднеквадратическую относительную погрешность воспроизведения частоты и относительную нестабильность частоты (среднеквадратическое относительное отклонение или среднеквадратическую относительную случайную вариацию частоты) не менее 5 · 10-14 при интервалах времени выборки 1 сут. и времени наблюдения 10 сут. при номинальных значениях частоты выходных сигналов 1 и 5 МГц и (или) 1 Гц устанавливает методику их первичной и периодической поверки.
Для МЧ, относительная погрешность по частоте которых превышает 1,5 · 10
-6, рекомендация распространяется в диапазоне частот 0,1 - 1000 МГц. Допускается проведение поверки в диапазоне частот ниже 0,1 МГц, если при этом относительная погрешность измерения частоты, рассчитанная по
формулам (9),
(10), окажется достаточной для проведения поверки с необходимой точностью.
Для МЧ и МЧВ, относительная погрешность по частоте которых не превышает 1,5 · 10-6, рекомендация распространяется на те МЧ и МЧВ, выходные сигналы которых имеют номинальное значение частоты 1; 5 МГц или выходной сигнал 1 Гц импульсной формы.
Рекомендация распространяется на переносные, стационарные МЧ и МЧВ, а также на встраиваемые в другие средства измерений при их поэлементной поверке или в том случае, если при поверке этих средств измерений требуется определение метрологических характеристик встроенной меры.
1.1. При проведении поверки должны быть выполнены следующие операции:
определение метрологических параметров
(п. 6.3).
1.2. При проведении поверки определяют следующие метрологические параметры:
относительную погрешность по частоте или действительное значение частоты
(п. 6.3.2);
среднеквадратическую относительную погрешность воспроизведения частоты
(п. 6.3.5);
среднеквадратическое относительное отклонение частоты
(п. 6.3.7);
относительное систематическое изменение частоты
(п. 6.3.6);
среднеквадратическую относительную случайную вариацию частоты или среднеквадратическое относительное двухвыборочное отклонение частоты
(п. 6.3.8).
Примечания:
1. При поверке определяют только те метрологические параметры МЧ или МЧВ, которые указаны в эксплуатационной документации на тип поверяемой меры (например, в разделе "Поверка" технического описания). По требованию потребителя при поверке могут быть дополнительно определены параметры, не указанные в эксплуатационной документации поверяемой меры, или, наоборот, мера может быть поверена не по всем указанным в документации параметрам. В этом случае в свидетельстве о поверке МЧ или МЧВ должно быть сделано указание о проведении частичной поверки и о запрещении выполнения с помощью этой меры измерений, требующих соответствия значений параметров, не определенных при поверке, их значениям, указанным в эксплуатационной документации на поверяемую меру.
2. Определение метрологических параметров проводят на основном (основных) выходе. На остальных - только операции опробования. По требованию потребителя эти параметры могут быть определены и на остальных выходах.
3. При поэлементной поверке средства измерений, в состав которого входит встроенная МЧ, определяют только те метрологические параметры МЧ, которые необходимы для этой поэлементной поверки.
2.1. Комплект средств поверки МЧ или МЧВ определяется диапазоном точностей поверяемых мер.
2.2. При проведении поверки МЧ, имеющих относительную погрешность по частоте, большую, чем 1,5 · 10-6 на протяжении межповерочного интервала, должны быть применены средства поверки с характеристиками, указанными в таблице 1.
Наименование средства поверки | Метрологические характеристики |
Электронно-счетный частотомер | Диапазон частот 0,1 Гц - 1000 МГц. Минимальное входное напряжение 0,03 В. Относительная погрешность по частоте встроенного кварцевого генератора после его подстройки к номинальному значению не превышает 5 · 10-7 в течение года. |
Электронный осциллограф | Диапазон частот 0 - 700 МГц. |
Средства поверки с указанными характеристиками и их возможные замены приведены в справочном
Приложении 1.
2.3. При проведении поверки МЧ с относительной погрешностью по частоте от 1 · 10-9 до 1,5 · 10-7 за межповерочный интервал должны быть применены средства поверки, указанные в таблице 2.
Таблица 2
Наименование средства поверки | Метрологические характеристики |
Рубидиевый стандарт частоты и времени | Номинальные значения частот выходных сигналов 0,1; 1 и 5 МГц, среднеквадратическая относительная случайная суточная вариация частоты не более 5 · 10-12. |
Синтезатор частоты типа Ч6-31 | Диапазон частот 50 Гц - 50 МГц, шаг 0,1 Гц. |
Компаратор частоты типа Ч7-39 | Входные сигналы 1, 5 или 10 МГц при напряжении 0,5 - 1,5 В. |
Электронный осциллограф | Диапазон частот 0 - 10 МГц. |
Вольтметр переменного тока | Диапазон частот - до 10 МГц. Диапазон измеряемых напряжений 0,05 - 5 В. |
Устройство цифропечатающее типа Щ68000К | |
Средства поверки с указанными характеристиками и их возможные замены, а также специально разработанные для этой цели поверочные установки - автоматизированные установки для поверки мер частоты АУПМЧ-1 или АУПМЧ-2 - даны в справочном
Приложении 1.
2.4. При проведении поверки МЧВ и МЧ с относительной погрешностью по частоте от 1 · 10-12 до 1 · 10-9 за межповерочный интервал и со среднеквадратической относительной нестабильностью частоты (со среднеквадратическим относительным отклонением частоты или среднеквадратической относительной случайной вариацией частоты), но менее 5 · 10-13 при интервалах времени выборки 1 сут. и интервалах времени наблюдения не менее 10 сут. должны быть применены средства поверки, указанные в таблице 3.
Наименование средства поверки | Метрологические характеристики |
Водородный стандарт частоты | Номинальное значение частоты выходного сигнала 5 МГц, среднеквадратическая относительная случайная суточная вариация частоты не более 7 · 10-14. |
Синхронометр типа Ч7-37 (не менее 2-х штук) | Частоты входных сигналов 1 и (или) 5 МГц, частоты выходных сигналов 100, 10, 1 кГц; 100, 10, 1, 1/10 и 1/60 Гц. |
Электронно-счетный частотомер | Погрешность измерения интервалов времени <= 1 нс. |
Электронный осциллограф | Диапазон частот 0 - 10 МГц. |
Вольтметр переменного тока | Диапазон частот - до 10 МГц. Диапазон измеряемых напряжений 0,05 - 5 В. |
Средства поверки с указанными характеристиками и их возможные замены даны в справочном
Приложении 1.
Примечание. Могут быть применены любые другие средства поверки, не указанные в
таблицах 1 -
3 и в справочном
Приложении 1, если они обладают метрологическими характеристиками, обеспечивающими необходимую точность измерений. Погрешность образцовых мер не должна превышать 1/3 от допускаемой погрешности поверяемых мер. В случае, когда на протяжении межповерочного интервала не производят сличений образцовой меры с мерами высшей точности, за погрешность образцовой меры принимают ее погрешность за межповерочный интервал, заданный в технической документации на эту меру. В случае регулярных сличений образцовой меры с мерами более высокой точности, за погрешность образцовой меры принимают погрешность, накапливаемую ею за интервал времени между сличениями. Эта погрешность в технической документации обычно не задается, и ее надо экспериментально определять при аттестации образцовой меры.
2.5. При работе с компаратором частоты, синтезатором частоты и электронно-счетным частотомером опорный сигнал следует брать не от их внутренних кварцевых генераторов, а от образцового стандарта частоты - рубидиевого или водородного.
2.6. С целью снижения погрешности образцовых мер рекомендуется проводить их регулярные сравнения по частоте с государственным первичным или вторичным (рабочим) эталоном времени и частоты с помощью приемов эталонных сигналов частоты и времени (ЭСЧВ), передаваемых по телевизионным и (или) радиоканалам. Регулярность таких сравнений определяется нестабильностью образцовых мер, требуемой точностью поверки и условиями приема телевизионных и (или) радиостанций, зависящими, в основном, от географического расположения поверочного органа относительно этих станций.
Рекомендуемая для этой цели аппаратура и методы проведения сравнений (контроля) образцовых мер с государственным первичным или вторичными эталонами с помощью ЭСЧВ приведены в рекомендуемом
Приложении 2.
Сравнение образцовых мер с мерами высшей точности (эталонами) может быть произведено при помощи перевозимых квантовых часов (ПКЧ). Методика использования ПКЧ для сравнения шкал времени территориально разнесенных объектов приведена в справочном
Приложении 6.
2.7. Поверка МЧ и МЧВ с относительной погрешностью по частоте меньше 1 · 10
-12 и относительной нестабильностью менее 5 · 10
-13, а также стационарных МЧ и МЧВ требует индивидуального подхода и индивидуального для каждой меры метода ее поверки или аттестации, зависящего от условий эксплуатации меры. Более подробно методы, которые могут быть использованы при поверке или аттестации таких мер, приведены в справочном
Приложении 6.
При проверке МЧ и МЧВ в качестве образцовых мер могут применяться также цезиевые стандарты частоты, выпускаемые промышленностью, такие, например, как "Сапфир" или "Цезий-3". Они имеют меньшую точность, чем водородные стандарты, однако для поверки большинства рубидиевых МЧ и МЧВ они пригодны.
3. Требования безопасности
3.1. При проведении поверки должны быть соблюдены все правила безопасности на МЧ и МЧВ и на средства поверки, изложенные в эксплуатационной документации на эти устройства.
4.1. Если нет особых указаний, при поверке МЧ и МЧВ должны быть выполнены следующие условия:
- температура окружающего воздуха (20 +/- 5) °C при его относительной влажности (65 +/- 15)%,
- напряжение сети 220 +/- 4,4 В с частотой 50 Гц.
5.1. Перед проведением поверки необходимо МЧ или МЧВ включить в сеть для самопрогрева на время, указанное в НТД на нее.
5.2. Средства поверки должны иметь свидетельства об их поверке или о их метрологической аттестации согласно МИ 1318-86.
6.1. Внешний осмотр
6.1.1. При внешнем осмотре устанавливают:
- исправность всех органов управления;
- отсутствие механических повреждений МЧ или МЧВ, могущих воспрепятствовать или затруднить работу с ней;
- соответствие обозначений измеряемых величин на измерительных приборах, встроенных в МЧ или МЧВ;
- комплектность МЧ или МЧВ, состоящей из нескольких отдельных блоков.
6.1.2. При периодической поверке МЧ или МЧВ одновременно с мерой должно представляться свидетельство о предыдущей поверке.
6.2.1. МЧ или МЧВ включают в работу в последовательности, указанной в НТД на нее.
6.2.2. У МЧ или МЧВ, имеющей устройство для контроля режимов, проводят проверку режимов.
6.2.3. При помощи вольтметра переменного тока проверяют напряжения выходных сигналов МЧ или МЧВ на указанном в НТД сопротивлении нагрузки.
6.2.4. При помощи электронного осциллографа просматривают визуально форму сигнала. При этом устанавливается отсутствие сильных (заметных на глаз) искажений, отсутствие низкочастотных модуляций, шумов.
6.2.5. Проверяют при помощи электронно-счетного частотомера соответствие значений частот выходных сигналов их номинальному значению.
6.2.6. Если при внешнем осмотре или при опробовании выявлены несоответствия МЧ или МЧВ требованиям настоящей методики или НТД на МЧ или МЧВ, ее в дальнейшую поверку не допускают.
6.3. Определение метрологических характеристик
6.3.1. Перечень метрологических характеристик МЧ или МЧВ, определяемых при поверке, применяемый метод поверки, точность их определения зависят от точности, стабильности и назначения поверяемой меры.
6.3.2. При определении действительного значения частоты (ДЗЧ) f
д или относительной погрешности по частоте

рекомендуется использование одного из следующих методов измерения:
метода непосредственного измерения частоты с помощью электронно-счетного частотомера;
метода умножения разностной частоты;
фазово-временного метода;
метода использования сигналов частоты и (или) времени, передаваемых по телевизионным и радиоканалам;
метода использования перевозимых квантовых часов.
Эти методы, точность измерения частоты с их помощью указаны в рекомендуемом
Приложении 3.
При выборе метода следует руководствоваться главным образом его точностью. Погрешность определения действительного значения частоты выбранным методом не должна превосходить:
заданного в НТД на поверяемую меру значения этой погрешности (если такая погрешность задана);
1/3 заданного значения погрешности меры при ее выпуске, если на данный тип меры погрешность определения ДЗЧ не задана;
1/3 от заданного допуска на погрешность поверяемой меры за межповерочный интервал, если погрешность меры при ее выпуске также не задана.
Относительная погрешность по частоте и ДЗЧ меры связаны соотношением:

, (1)
где fн - номинальное значение частоты меры.
6.3.3. С целью повышения точности измерения частоты рекомендуется проводить повторные измерения частоты и из полученного ряда наблюдений брать среднее арифметическое значение. При использовании фазово-временного метода, при котором процесс измерения частоты является непрерывным на протяжении всего интервала времени измерения

(такое измерение частоты носит название интегрального), повышение точности измерения достигается увеличением

. Методика выбора значения

в зависимости от требуемой точности измерения дана в рекомендуемом
Приложении 4.
6.3.4. МЧ или МЧВ, у которой значение относительной погрешности по частоте превышает допустимое значение (если оно задано), указанное в НТД, признают негодной к применению.
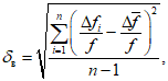
6.3.5. Для определения среднеквадратической относительной погрешности воспроизведения частоты проводят следующие операции.
Одним из методов, указанных в рекомендуемом
Приложении 3, определяют относительную разность между частотой образцовой и поверяемой мер -

, после чего поверяемую меру выключают и дают ей остыть на протяжении не менее 4 час и включают снова. Спустя время, необходимое для самопрогрева, снова определяют относительную разность между частотой образцовой и поверяемой мер. Такую операцию повторяют не менее 10 раз.
Среднеквадратическую относительную погрешность воспроизведения частоты

рассчитывают по формуле:

(2)
где

- относительная разность между частотой образцовой и поверяемой мер при i-м измерении (после i-го прогрева),

- среднее значение относительной разности между частотой образцовой и поверяемой мер для n - наблюдений, равная

. (3)
Среднеквадратическая относительная погрешность воспроизведения частоты не должна превосходить значений, заданных в НТД на поверяемую меру.
Примечание. Под термином "среднеквадратическая относительная погрешность воспроизведения частоты" понимают разные параметры. Описанным выше способом определяют среднеквадратическую относительную погрешность воспроизведения частоты от включения к включению. Может быть определена среднеквадратическая относительная погрешность воспроизведения частоты от настройки к настройке. В этом случае каждый раз после включения МЧ или МЧВ производят его настройку в соответствии с его техническим описанием и инструкцией по эксплуатации.
У МЧ и МЧВ, требующих большого времени для прогрева термостатов, их термостаты оставляют включенными обычно даже тогда, когда эти МЧ и МЧВ находятся в выключенном состоянии. В этом случае и при определении среднеквадратической относительной погрешности воспроизведения частоты на время выключения МЧ и МЧВ их термостаты не следует выключать.
6.3.6. Относительное систематическое изменение частоты

рассчитывают по формуле:

(4)
где

и

- относительная разность между частотой образцовой и поверяемой мер в начале и в конце интервала времени наблюдения

, который не должен быть менее

, где

- интервал времени выборки.
При определении относительного систематического изменения частоты МЧ или МЧВ не допускаются никакие вмешательства в работу меры, например, регулировка режимов или подстройка частоты меры.
В зависимости от единиц времени, в которых измерен интервал времени наблюдения

(в часах, сутках, месяцах), различают часовое

, суточное

, месячное

изменение частоты.
Для определения относительного систематического изменения частоты допускается использовать данные предыдущей поверки, если известно, что за время, истекшее между поверками, никаких регулировок частоты не производилось.
При использовании данных предыдущей поверки считают, что интервал времени между поверками равен интервалу времени наблюдения

. Это значение

подставляют в
формулу (4). Поскольку между поверками режим использования поверяемой меры мог быть различным (мера могла работать непрерывно, вообще не работать, могла включаться эпизодически), полученное таким образом значение

лишь приблизительно характеризует эту величину. Поэтому, если при поверке для определения

были использованы данные предыдущей поверки, в свидетельстве о поверке на обратной стороне следует сделать соответствующее примечание.
В
формуле (4) использованы значения относительной разности между частотой образцовой и поверяемой мер в начале и в конце интервала времени наблюдения. Если на протяжении интервала времени наблюдения делались дополнительные измерения частоты поверяемой меры, значения частоты, полученные в результате этих дополнительных измерений, могут быть использованы для повышения точности определения

. Методы использования значений этих промежуточных измерений приведены в справочном
Приложении 5.
Значение

, полученное при поверке меры, не должно превышать значения

, указанного в НТД на меру.
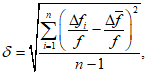
6.3.7. Среднеквадратическое относительное отклонение частоты

определяют следующим образом:
На протяжении интервала времени наблюдения

МЧ или МЧВ должна работать непрерывно. Одним из методов, указанных в рекомендуемом
Приложении 3, через равные интервалы времени выборки

определяют относительные разности

между частотой образцовой и поверяемой мер. Из полученного ряда наблюдений

,

,

...

(число наблюдений n должно быть не менее 10) рассчитывают среднеквадратическое относительное отклонение частоты

по формуле:

(5)
В зависимости от интервала времени выборки

различают суточное

, 1000-секундное

, 100-секундное

, 10-секундное

, секундное

и т.д. среднеквадратическое относительное отклонение частоты.
Значение

, полученное при поверке меры, не должно превышать значения

, указанного в НТД на меру.
6.3.8. Среднеквадратическую относительную случайную вариацию частоты за интервал времени выборки

, равную

, вычисляют по формуле:

(6)
n - число измерений, которое должно быть не менее 10-ти,

- относительное систематическое изменение частоты за интервал времени выборки

(интервал времени выборки

и интервал времени наблюдения

, входящий в
формулу (4), из которой рассчитывают

, должны быть измерены в одних и тех же единицах времени).
В НТД на меру вместо среднеквадратической относительной случайной вариации частоты может быть задано среднеквадратическое относительное двухвыборочное отклонение частоты, равное

, где

- среднеквадратическая относительная случайная вариация частоты, рассчитываемая по
формуле (6).
Значение

, полученное при поверке меры, не должно превышать значения

, указанного в НТД на меру.
Примечание. При определении параметров нестабильности частоты

и

за короткие интервалы времени (1000 с и менее) у мер высокой точности (стандартов) единственным пригодным методом определения относительной разности частот образцовой и поверяемой меры является метод умножения разностной частоты с использованием частотного компаратора. Остальные методы не обеспечивают необходимой точности.
6.3.9. При определении нестабильности частоты у МЧ и МЧВ допускается при отсутствии образцовой меры необходимой точности проводить сличение друг с другом равноценных мер. Полученные при этом параметры нестабильности по
формулам (2),
(5) и
(6) -

,

и

необходимо разделить на

.
6.3.10. Значения

, использованные для вычисления среднеквадратического относительного отклонения или среднеквадратической относительной случайной вариации частоты, могут одновременно быть использованы для определения относительного систематического изменения частоты.
6.3.11. В НТД на МЧВ, кроме перечисленных в
п. 1.2 параметров, могут быть заданы также временные параметры: суточный ход g и среднеквадратическая суточная вариация суточного хода

. Эти параметры рассчитывают по формулам:

(7)
и

, (8)
где

- относительная погрешность по частоте меры,

- среднеквадратическая относительная случайная суточная вариация частоты, а
k - коэффициент, равный 8,64 · 1010 мкс/сут.
6.3.12. По требованию потребителя (или по согласованию с потребителем) после предварительного определения относительной погрешности по частоте поверяемой меры проводят подстройку частоты меры к ее номинальному значению. Для этого частоту меры изменяют так, чтобы непосредственно после подстройки меры ее относительная погрешность по частоте по модулю не превышала значений

и

(или

). Показания лимба подстроечного элемента записывают на оборотной стороне свидетельства о поверке.
У кварцевых генераторов частоту подстраивают с запасом на ее систематическое изменение, то есть значение частоты поверяемой меры устанавливают вблизи края диапазона допускаемых значений относительной погрешности меры по частоте так, чтобы в результате последующего изменения частоты она после проведенной подстройки стремилась бы приблизиться к ее номинальному значению.
7. Оформление результатов поверки
7.1. При положительных результатах поверки на МЧВ или МЧ выдают свидетельство установленной формы.
7.2. На оборотной стороне свидетельства записывают:
действительное значение частоты меры или ее относительную погрешность по частоте, если после поверки меры подстройка ее частоты не производилась;
показания лимбов подстроечных элементов, если таковые имеются (например, кварцевого генератора, поля-С), при которых определялось действительное значение частоты или относительная погрешность по частоте. Если была произведена подстройка частоты меры, то записывают показания лимба как до, так и после подстройки частоты.
Если подстроечный элемент не имеет оцифрованного лимба, после подстройки частоты он должен быть опечатан, опломбирован, то есть закрыт к нему доступ на время между поверками. Если подстроечный элемент меры не имеет оцифрованного лимба и при этом доступ к нему не может быть закрыт, определение действительного значения частоты меры или ее относительной погрешности по частоте не имеет смысла.
Если при поверке были определены параметры, не указанные в
п. 1.2, а также в НТД на меру, эти параметры и их значения, определенные при поверке, также записывают на оборотной стороне свидетельства.
Если была проведена частичная поверка, то есть поверка не по всем параметрам, по которым она должна проводиться в соответствии с НТД на меру, то об этом также делается запись на обратной стороне свидетельства с указанием тех параметров, по которым была проведена поверка.
Если у поверяемой МЧВ или МЧ имеется формуляр, параметры, определенные при поверке, заносят в формуляр.
7.3. На МЧВ и МЧ, забракованные при поверке, выдают извещение о непригодности с указанием причин, и такие меры к дальнейшему применению не допускают.
Начальник НИО-7
В.М.ТАТАРЕНКОВ
Научный сотрудник
В.Н.ТИТОВ
Согласовано
Начальник лаборатории
общей метрологии
А.С.ДОЙНИКОВ
(справочное)
СРЕДСТВ ПОВЕРКИ И ИХ ВОЗМОЖНЫЕ ЗАМЕНЫ
1. Для поверки МЧ с относительной погрешностью по частоте, большей 1,5 · 10-6 за межповерочный интервал, рекомендуются следующие средства поверки:
N | Наименование средства поверки | Рекомендуемые типы | Возможные замены |
1. | Электронно-счетный частотомер | Ч3-63 | Ч3-58 Ч3-64 |
2. | Электронный осциллограф | С1-70 с блоком ЯЧ0-1701 | С1-116 С1-108 С1-97 С1-91/3 |
2. Для поверки МЧ с относительной погрешностью по частоте от 1 · 10-9 до 1,5 · 10-7 за межповерочный интервал рекомендуются следующие средства поверки:
N | Наименование средства поверки | Рекомендуемые типы | Возможные замены |
1. | Рубидиевый стандарт частоты и времени | Ч1-73 | Ч1-69 Ч1-77 Ч1-78 Ч1-74 (СЧВ-74) |
2. | Компаратор частоты | Ч7-39 | Ч7-12 + Ч3-64 Ч7-5 + Ч3-64 |
3. | Электронный осциллограф | С1-70 | С1-82 С1-91/1 С1-94 С1-96 |
4. | Вольтметр переменного тока | В3-56 | В3-39 |
5. | Синтезатор частоты * | Ч6-31 | Ч6-72 |
6. | Устройство цифропечатающее * | Щ68000К | - |
Примечания:
1. Стандарт частоты и времени Ч1-74 (СЧВ-74) не прошел государственных испытаний, то есть является нестандартизированным средством измерений и может применяться только после метрологической аттестации каждого экземпляра.
2. Устройства, обозначенные звездочкой <*>, играют вспомогательную роль, и их применение необязательно.
3. Автоматизированные установки для поверки мер частоты типа АУПМЧ-1 или АУПМЧ-2 полностью обеспечивают поверку МЧ указанной точности и заменяют полностью все рекомендованные для этой цели средства поверки.
3. Для поверки МЧВ или МЧ с относительной погрешностью по частоте от 1 · 10-12 до 1 · 10-9 за межповерочный интервал рекомендуются следующие средства поверки:
NN | Наименование средства поверки | Рекомендуемые типы | Возможные замены |
1. | Водородный стандарт частоты | Ч1-75 | Ч1-46 Ч1-80 Ч1-70 Ч1-76 |
2. | Синхронометр | Ч7-37 | Ч7-15 |
3. | Электронно-счетный частотомер | Ч3-64 | Ч3-34 Ч3-39 Ч3-54 Ч3-65 Ч3-71 |
4. | Электронный осциллограф | С1-70 | С1-82 С1-91/1 С1-94 С1-96 |
5. | Вольтметр переменного тока | В3-56 | В3-39 |
(справочное)
РЕКОМЕНДУЕМАЯ ДЛЯ ПРИЕМА ЭТАЛОННЫХ СИГНАЛОВ ЧАСТОТЫ
И ВРЕМЕНИ, ПЕРЕДАВАЕМЫХ ПО ТЕЛЕВИЗИОННЫМ И РАДИОКАНАЛАМ
Аппаратура для приема эталонных сигналов частоты и времени (ЭСЧВ) выбирается в зависимости от используемых каналов и расположения телевизионного центра или радиостанции, передающей ЭСЧВ, относительно поверочной лаборатории.
Для приема ЭСЧВ, передаваемых по телевизионным каналам, разработаны и в настоящее время серийно выпускаются два типа приемников: приемник-компаратор телевизионный ПКТ, предназначенный только для приема сигналов частоты "1 МГц", и установка приема шкал времени по телевидению УПТВ, предназначенная для приема всех видов ЭСЧВ.
ЭСЧВ, передаваемые по телевизионным каналам, могут быть использованы только в том случае, если в поверочной лаборатории возможен непосредственный прием Московского телецентра или регионального телецентра в том случае, если он ретранслирует передачи 1-й или 2-й общесоюзных программ при условии, что эти программы от Московского до регионального телецентра передаются по наземным (радиорелейным или кабельным) каналам связи. В том случае, если эти сигналы на региональный телецентр передаются через спутник, их использование для поверочных работ становится практически невыполнимым для поверочных лабораторий из-за непрерывно изменяющегося значения времени распространения этих сигналов.
Использование ЭСЧВ, передаваемых по телевизионным каналам, при учете поправок на эти сигналы, публикуемых Государственной службой времени и частоты, дает возможность на протяжении 10 сут. сличить частоту местной МЧ или МЧВ с государственным эталоном с погрешностью не более 10-13.
При приеме ЭСЧВ, передаваемых через специализированные радиостанции, рекомендуется использование приемника-компаратора Ч7-38, который предназначен для приема всех радиостанций, работающих в диапазоне очень низких, низких и высоких частот.
При отсутствии приемника-компаратора Ч7-38 можно использовать ранее широко выпускавшийся приемник-компаратор Ч7-10, предназначенный для приема радиостанции РБУ, расположенной в г. Москве и работающей на частоте 66(6) кГц.
Для поверки по ЭСЧВ мер частоты ограниченной точности (с погрешностью более 1 · 10-9) можно использовать ранее широко распространенные приемники-компараторы ПЧ-66 и ПК-66, предназначенные для приема радиостанций РБУ, или приемник-компаратор ПК-50, предназначенный для приема радиостанции РТЗ (г. Иркутск), работающий на частоте 50 кГц.
Надо иметь в виду, что радиостанции РБУ и РТЗ имеют ограниченную зону действия - около 2000 км для РБУ и 3000 км для РТЗ.
(рекомендуемое)
1. Метод непосредственного измерения частоты электронно-счетным частотомером
Этот метод наиболее прост по исполнению и позволяет измерять в заданном для данного типа частотомера диапазоне.
Для непосредственного измерения частоты при помощи электронно-счетного частотомера его ставят в режим измерения частоты и на его вход подают сигнал частоты с выхода поверяемой меры.
На электронно-счетном частотомере устанавливают максимальное время измерения, но не более 100 с. Действительное значение частоты считывают со светового табло частотомера или записывают автоматически на присоединенном к нему цифропечатающем устройстве.
Точность измерения частоты указанным методом ограничена точностью встроенного в частотомер кварцевого генератора, формирующего опорную частоту.
С целью повышения точности измерения частоты электронно-счетным частотомером опорную частоту встроенного кварцевого генератора необходимо заменить сигналом с внешней образцовой меры, как показано на рис. 1.
┌────────────┐ ┌─────────────┐ ┌────────────┐
│ Образцовая │ 1 или │ Электронно- │ f │ Поверяемая │
│ мера │ 5 МГц │ счетный │ изм │ мера │
│ ├───────────>│ частотомер │<─────────┤ │
└────────────┘ └──────┬──────┘ └────────────┘
│
\/
┌─────────────┐
│ Печатающее │
│ устройство │
└─────────────┘
Рис. 1
Относительная погрешность измерения частоты при помощи электронно-счетного частотомера зависит от его типа. В настоящее время распространено два основных типа таких частотомеров: частотомеры прямого счета и частотомеры вычислительные.
Относительная погрешность измерения частоты при помощи электронно-счетного частотомера прямого счета вычисляется по формуле:

, (9)
где

- относительная погрешность по частоте опорного (встроенного в частотомер) кварцевого генератора, а при использовании сигнала опорной частоты от внешней образцовой меры - относительная погрешность по частоте этой меры,

- измеряемая частота,

- интервал времени измерения.
Относительная погрешность измерения частоты при помощи вычислительного электронно-счетного частотомера вычисляется по формуле:

, (10)

- систематическая погрешность, обусловленная неидентичностью трактов интерполяционного преобразования (ее указывают в ТУ на частотомер для интерполяционных вычислительных частотомеров, обычно

,

- погрешность запуска,

- аппаратурная разрешающая способность (для вычислительных частотомеров указывается в ТУ на них).
Погрешность запуска для синусоидальных сигналов рассчитывают по формуле:

, (11)
где

- среднее квадратическое значение шума измерительного тракта в рабочей полосе частот, приведенное к входу, В (указывается в ТУ на частотомеры),
U
n - пиковое значение помехи входного сигнала в пределах установленного в ТУ допустимого уровня (если помеха имеет случайный характер с эффективным значением

, В, то

),
Um - амплитуда входного сигнала, В,
n - число усредняемых периодов.
2. Метод умножения разностной частоты с использованием частотного компаратора
Этот метод применяют только для сигналов с номинальным значением частоты 1 или 5 МГц при относительной разности между частотами образцовой и поверяемой мер не более 1 · 10-6.
Метод основан на сравнении частоты поверяемой меры с частотой образцовой меры с помощью частотного компаратора, как показано на рис. 2 (схема приведена для частотного компаратора Ч7-12, получившего наибольшее распространение; при использовании частотного компаратора типа Ч7-39 частотомер применять не надо, поскольку компаратор Ч7-39 имеет встроенный электронно-счетный частотомер).
┌─────────────┐ 5 МГц ┌─────────────┐ 1 - 5 МГц ┌─────────────┐
│ Образцовая ├──────────>│ Частотный │<──────────┤ Поверяемая │
│ мера │ │ компаратор │ │ мера │
└──────┬──────┘ 1 МГц └────────┬────┘ └─────────────┘
└─────────────────────┐ │
\/ \/
┌─────────────┐
│ Электронно- │
│ счетный │
│ частотомер │
└───────┬─────┘
\/
┌─────────────┐
│ Печатающее │
│ устройство │
└─────────────┘
Рис. 2
Сигнал образцовой меры частотой 5 МГц и сигнал поверяемой меры подают на входы частотного компаратора. При применении Ч7-12 сигнал с выхода "ВЫХОД 1 MHz" подают на электронно-счетный частотомер, работающий в режиме измерения частоты.
Относительную разность между частотами образцовой и поверяемой мер

при i-м наблюдении определяют по формуле:

, (12)
где k - коэффициент умножения на компараторе,
f1 - номинальное значение частоты сигнала с выхода "ВЫХОД 1 MHz" компаратора, равное 106 Гц,
f2 - номинальное значение частот преобразуемых на компараторе сигналов, по отношению к которому исчисляется коэффициент умножения компаратора, равный 10, 100, 1000 или 10000 (f2 = 106 Гц),
fi - значение частоты, считываемое с табло электронно-счетного частотомера (или записанное на печатающем устройстве).
Для повышения точности измерения рекомендуется проводить повторные измерения и брать среднее значение.
Относительная погрешность измерения частоты

указанным методом при применении электронно-счетного частотомера прямого счета равна:

, (13)
где

- относительная погрешность по частоте образцовой меры,

- интервал времени измерения.
Относительная погрешность измерения частоты

указанным методом при применении вычислительного электронно-счетного частотомера равна:

, (14)
Примечание:
При помощи компаратора Ч7-12 измерение частоты методом умножения разностной частоты может осуществляться различными способами.
| | ИС МЕГАНОРМ: примечание. Текст дан в соответствии с официальным текстом документа. | |
- На электронно-счетный частотомер подают сигнал с выхода блока преобразователя "10 кГц" и измеряют значение частоты выходного сигнала f
i. Относительную разность между частотами образцовой и поверяемой мер вычисляют по
формуле (12), подставляя для значение 10
4 Гц, а вместо k подставляя k-10.
- Сигнал с выхода "10 кГц" подают на электронно-счетный частотомер, работающий в режиме измерения периода, и измеряют его период T
i. Относительную разность частот вычисляют по
формуле (12), подставляя для f
1 значение 10
4 Гц, k-10 вместо k, 1/Т
i вместо f
i.
- С блока фазовых детекторов сигнал разностной частоты подают на частотомер или на самописец. Относительную разность частот вычисляют по
формуле (12), подставляя

вместо f
i - f
1 и k-10 вместо k. Недостаток этого способа состоит в том, что он не позволяет определить знак разностной частоты.
Из всех перечисленных способов наиболее точным является способ измерения периода Ti сигнала с выхода "10 кГц". Относительная погрешность измерения частоты указанным способом будет равна:

, (15)
где

- номинальное значение частоты сигнала с выхода частотного компаратора, то есть

,

- относительная погрешность измерения периода на электронно-счетном частотомере, рассчитываемая по
формуле (14), в которой вместо

надо подставить

.
3. Фазово-временной метод
Этот метод имеет смысл применять при больших временах измерения - 1 час, 1 сут. и более и при поверке МЧ или МЧВ высокой точности.
Фазово-временной метод сравнения частот осуществляется следующим образом: сигнал импульсной формы с частотой 1 Гц от образцовой МЧВ подают на вход "Запуск" электронно-счетного частотомера, работающего в режиме измерения интервалов времени. Сигнал импульсной формы с частотой 1 Гц от поверяемой МЧВ подают на вход "Останов." частотомера. Если производят поверку МЧ, не имеющей выхода сигнала частотой 1 Гц, этот сигнал формируют из сигнала МЧ частотой 5 МГц с помощью синхронометра (например, кварцевого синхронометра Ч7-15), как показано на рис. 3.
┌────────────┐ ┌───────────┐ ┌────────────┐ ┌────────────┐
│ Образцовая │ 1 Гц │Электронно-│ 1 Гц │ │ 5 МГц │ Поверяемая │
│ МЧВ ├─────>│ счетный │<──────┤Синхронометр│<──────┤ МЧ или МЧВ │
│ │ │частотомер │<─ ┐ │ │ │ │
└─────┬──────┘ └───────────┘ │ └────────────┘ └─────┬──────┘
│ 1 - 5 МГц /\ 1 Гц
└────────────────────┘ └─ ─ ─ ─ ─ ─ ─ ─ ─ ─ ─ ─ ─ ─ ─ ┘
Рис. 3
Если поверочный орган не располагает МЧВ, сигнал частотой 1 Гц может быть получен из сигнала образцовой МЧ частотой 5 МГц с помощью синхронометра.
В процессе измерения не допускается производить какие-либо подстройки ручек на блоке интервалов времени, регулирующих уровни запуска и остановки электронно-счетного частотомера.
Измеряют интервалы времени между сигналами частотой 1 Гц, подаваемыми на электронно-счетный частотомер - Ti.
Относительная разность частот за интервал времени

между i-м и i+1-м измерениями равна:

. (16)
С целью повышения точности измерения опорную частоту встроенного в электронно-счетный частотомер кварцевого генератора заменяют частотой внешней образцовой меры.
Относительную погрешность измерения частоты фазово-временным методом определяют по формуле:

, (17)
где

- погрешность измерения интервалов времени электронно-счетным частотомером, с,

- относительная погрешность по частоте образцовой меры,

- интервал времени измерения, с.
4. Метод использования эталонных сигналов частоты и (или) времени, передаваемых по телевизионным и радиоканалам
4.1. Использование эталонных сигналов частоты и (или) времени, передаваемых по телевизионным каналам
В составе телевизионных сигналов, передаваемых по 1-й и 2-й общесоюзным программам центрального телевидения, содержится информация о частоте Государственного первичного эталона времени и частоты (ГЭВЧ) и о шкале времени Советского Союза (ШВСС). Эта информация может быть использована для контроля образцовых МЧВ и МЧ и для поверки средств измерений времени и частоты. Для этой цели используют три типа эталонных сигналов:
- сигналы времени типа "врезка",
- сигналы времени "1 Гц",
- сигналы частоты "1 МГц".
Подробные данные о технических характеристиках этих сигналов регулярно публикуются в бюллетене "В", издаваемом Государственной комиссией единого времени и эталонных частот СССР.
В составе телевизионных передач вместе с передаваемым изображением содержатся специальные синхронизирующие импульсы - кадровые и строчные.
Кадровые импульсы представляют собой непрерывную последовательность сигналов с частотой повторения 50 Гц, то есть разделенных интервалами времени в 20 мс, и представляют собой готовые метки шкалы времени. В качестве характерных точек сигналов времени "врезка" используют срезы этих кадровых импульсов, временное положение которых в момент их излучения с передающей антенны Московского телевизионного центра на время специально выбранных сигналов Государственная служба времени и частоты СССР публикует в специальных бюллетенях в виде таблицы поправок. Под поправкой С понимают интервал времени запаздывания сигнала относительно шкалы времени Советского Союза.
Аппаратура, рекомендуемая для приема телевизионных сигналов, приведена в справочном
Приложении 2.
Принцип использования сигналов "врезка" заключается в следующем. На электронно-счетный частотомер, работающий в режиме измерения интервалов времени, подают сигналы частотой 1 Гц от контролируемой или поверяемой МЧВ (или от МЧ после преобразования сигнала частоты до частоты 1 Гц с помощью синхронометра) на вход "Запуск". На вход "Останов." подают сигналы с выхода приемного устройства, сформированные из кадровых импульсов принимаемого ТВ-сигнала.
Поправка контролируемой или поверяемой МЧ или МЧВ на формируемую ею шкалу времени U равна:

, (18)
где

- значение интервала времени, измеренного частотомером, а

- время распространения сигнала от передающей антенны Московского телецентра до приемного устройства.
Поправку U определяют дважды: в начале - U
1 и в конце - U
2 интервала времени измерения

. Обычно эти поправки определяют через сутки на время сеансов передач, на которые публикуются поправки C.
Относительная погрешность МЧ или МЧВ по частоте будет равна:

. (19)
При использовании сигналов "врезка" следует учитывать тот факт, что между последовательными сигналами интервал времени равен 20 мс, то есть значение

не может превысить 20 мс. Поэтому, если относительное отклонение частоты поверяемой меры от номинального значения превышает 2 · 10
-7, накапливаемая за сутки разность U
1 - U
2 превысит 20 мс, то есть превысит интервал времени между последовательными импульсами "врезки", то при каждом таком превышении

скачком уменьшается на 20 мс. Поэтому при относительной погрешности поверяемой меры, большей 2 · 10
7 (по абсолютной величине), надо учитывать число таких скачков за интервал времени измерения.
Сигналы "1 Гц" введены в шестую строку. В отличие от сигналов "врезка", временное положение которых сильно изменяется в зависимости от вида передач, временное положение сигналов "1 Гц" фиксировано, поправка C на эти сигналы от сеанса к сеансу изменяется мало, поэтому ими можно пользоваться не обязательно в те часы, когда на них определяется поправка с государственной службой времени и частоты. Второе преимущество этих сигналов состоит в том, что они разделены интервалом времени в 1 с, то есть за сутки измерения перескок

происходит в том случае, если относительное отклонение частоты от номинального значения превышает 1 · 10
-5. Недостаток сигналов "1 Гц" состоит в том, что они не всегда присутствуют в составе телевизионных сигналов.
Для наиболее точных измерений следует пользоваться сигналами "1 МГц". В составе телевизионных передач они присутствуют всегда. Их недостатком является то, что интервал времени их повторения (период повторения) равен 1 мкс, то есть имеет смысл ими пользоваться, если наперед известно, что относительное отклонение частоты поверяемой меры от номинального значения не превышает 2 · 10-10.
Время распространения

, входящее в
формулу (18), при вычислении

по
формуле (19) взаимно уничтожается, если за время измерения

оно остается постоянным. При изменении трактов распространения сигналов за время измерения оно может измениться в больших пределах. Если величина этого изменения неизвестна (например, при передачах телевизионных программ через спутники), то такими сигналами пользоваться нельзя.
4.2. Использование эталонных сигналов частоты, передаваемых по радио
Специальные радиостанции РБУ (Москва), РТЗ и РВ-166 (Иркутск), РВ-76 (Новосибирск) передают сигналы частоты, которые могут быть использованы для контроля или поверки МЧ. Относительная погрешность их по частоте не превышает 5 · 10
-12. При использовании поправок на частоту этих сигналов, регулярно публикуемых Государственной службой времени и частоты, точность контроля или поверки можно повысить в несколько раз. Рекомендуемая приемная аппаратура для этих станций приведена в справочном
Приложении 2.
Методы сличения поверяемой МЧ с сигналами частоты, передаваемыми по радио, зависят от применяемой аппаратуры и приведены в технических описаниях этой аппаратуры.
Достоинство сигналов частоты, передаваемых по радио, - постоянство времени распространения, которое поэтому можно не учитывать. Недостаток - ограниченная зона приема этих станций.
Примечания:
1. Ряд станций, передающих сигналы, предназначенные для целей навигации, РНС-Е(А), РНС-Е(Д), УТР-3, УЩЦ-3, УНВ-3, УСБ-2, УПД-8, могут быть использованы для целей контроля и поверки МЧ, поскольку их относительная погрешность по частоте также не превышает 5 · 10-12. Однако приемных устройств для использования этих сигналов для контроля и поверки мер частоты до сих пор промышленность серийно не выпускает.
2. Из-за высокой кратковременной нестабильности эталонных сигналов частоты и времени, передаваемых по телевизионным и радиоканалам, они не пригодны для определения метрологических характеристик поверяемых мер за малые (менее 1000 с) интервалы времени.
(рекомендуемое)
ИНТЕРВАЛА ВРЕМЕНИ ИЗМЕРЕНИЯ ОТ ТОЧНОСТИ
ИНТЕГРАЛЬНЫХ ИЗМЕРЕНИЙ ЧАСТОТЫ
Непрерывное (интегральное) измерение частоты может быть осуществлено при использовании фазово-временного метода или метода приема сигналов, передаваемых по телевизионным и (или) по радиоканалам.
При интегральном измерении частоты в течение интервала времени измерения

измерение частоты производится непрерывно. За интервал времени измерения сигнал поверяемой меры сравнивают с сигналом образцовой меры или с сигналом, принятым по телевизионному или радиоканалу, и определяют изменение разности между фазами образцового сигнала и сигнала поверяемой меры за интервал времени

.
Для фазово-временного метода интервал времени

может быть рассчитан по
формуле (17) рекомендуемого Приложения 3.
Для расчета

в случае использования метода приема сигналов, передаваемых по телевизионным или по радиоканалам, можно также воспользоваться
формулой (17). В этом случае под

следует понимать суммарную погрешность, состоящую из погрешности времени выхода сигнала передающей станции, погрешности, вносимой трактом передачи, и погрешности, вносимой приемным устройством.
Погрешности времени выхода сигналов частоты и времени с передающих антенн радиостанций и Московского телевизионного центра регулярно публикуются в "Бюллетене В", издаваемом Государственной комиссией единого времени и эталонных частот СССР. При использовании поправок на сигналы, передаваемые по телевизионным и радиоканалам, которые два раза в месяц публикуются в "Бюллетене Д", погрешность времени выхода сигналов можно снизить до 0,05 - 0,1 мкс.
Погрешности, вносимые трактами передачи, должны быть определены экспериментально при метрологической аттестации рабочего места.
Погрешности приемных устройств приводятся в нормативно-технической документации на эти устройства и подтверждаются при аттестации рабочего места.
(справочное)
СИСТЕМАТИЧЕСКОГО ИЗМЕНЕНИЯ ЧАСТОТЫ
С ИСПОЛЬЗОВАНИЕМ ПРОМЕЖУТОЧНЫХ ЗНАЧЕНИЙ
При определении

по
формуле (4) использованы значения относительной разности между частотой образцовой и поверяемой мер в начале и в конце интервала времени наблюдения

. Если на протяжении интервала времени наблюдения делались дополнительные измерения частоты поверяемой меры, то значения частоты, полученные в результате этих измерений, могут быть использованы для повышения точности определения

.
Для этой цели может быть использован один из следующих методов:
1. Предполагают, что если бы на протяжении всего интервала времени наблюдения случайные изменения частоты отсутствовали, то ее значение, а следовательно, и относительная разность между частотой образцовой и поверяемой мер изменялась линейно со временем t:

, (20)
где A - начальное (то есть при t = 0) значение.
Пусть измерения

были проведены через равные интервалы времени выборки

. Тогда

, где i принимает последовательно значения 1, 2, 3 ... n (при i = n получим

, то есть

). В результате этих измерений получим ряд значений относительных разностей частот

,

,

...

, которые, кроме систематической компоненты содержат также случайную компоненту нестабильности частоты. Подставляя полученные значения

в
формулу (20), получим систему условных уравнений:

(21)
Неизвестные A и

являются корнями системы нормальных уравнений:

(22)
Решая эту систему относительно

, получим:

. (23)
2. Существует другой более простой способ определения

.
Для этого необходимо, чтобы число наблюдений в ряду наблюдений было кратно 3, то есть n = 3k. Тогда ряд наблюдений можно представить в виде:

. (24)
Систематическое изменение частоты рассчитывают по формуле:

(25)
В эту формулу не входит треть наблюдений, занимающих в ряду наблюдений среднее место. Вес этих наблюдений при расчете

мал, поэтому их отсутствие в
формуле (26) практически не сказывается на достоверности результата, зато применение этого метода намного упрощает расчеты. Точность определения

этим методом всего лишь на несколько процентов ниже, чем точность предыдущего метода.
(справочное)
АТТЕСТАЦИЯ ИЛИ ПОВЕРКА СТАЦИОНАРНЫХ МЧВ
МЧВ, стационарно установленные на объекте потребителя, не могут быть доставлены в поверочную лабораторию для поверки или аттестации, и работы с ними должны производиться непосредственно на месте их размещения у потребителя. Поэтому для возможности проведения таких работ поверочная лаборатория должна располагать транспортируемыми средствами поверки, которые для поверки или аттестации стационарных МЧВ должны доставляться к месту их размещения.
Выбор средств поверки зависит от назначения стационарных МЧВ. Если МЧВ предназначена только для хранения частоты, задачи аттестации или поверки принципиально не отличаются от поверки МЧ или МЧВ в поверочной лаборатории с той лишь разницей, что средства поверки доставляются на место размещения стационарных МЧВ.
При аттестации и поверке стационарных МЧВ образцовой МЧ или МЧВ могут использоваться приемники-компараторы, доставляемые на объект, в том числе и приемники-компараторы или другие приемные устройства, имеющиеся у потребителя. В этом случае необходимо предварительно убедиться в их исправности.
Если стационарные МЧВ предназначены для хранения шкалы времени, то в задачу их аттестации и поверки входит также сравнение шкалы времени, формируемой стационарной МЧВ со шкалой времени Советского Союза (ШВСС).
Поскольку хранение шкалы времени на объекте для поддержания заданного соотношения этой шкалы с ШВСС требует регулярных привязок к ШВСС, стационарные МЧВ обычно снабжены аппаратурой для таких привязок. Поэтому в задачу аттестации или поверки стационарных МЧВ входит также задача определения правильности работы аппаратуры привязки.
Радиосигнал или телевизионный сигнал, приходящий к потребителю непосредственно от Московского телевизионного центра или по наземным каналам через региональный телевизионный центр, требует конечного времени распространения

. Это время учитывается при расчете поправки на шкалу стационарной МЧВ. Значение

может изменяться в течение времени, и в задачу аттестации или поверки требуется его определение на момент ее проведения.
Для этой цели применяют перевозимые квантовые часы (ПКЧ).
ПКЧ представляют собой предназначенный для транспортировки в работающем состоянии квантовый стандарт частоты и времени, снабженный автономным источником питания. Промышленность СССР в настоящее время таких часов не выпускает, поэтому поверочная лаборатория для этой цели должна использовать обычные лабораторные стандарты, снабдив их автономным источником питания (лучше всего аккумуляторной батареей) и амортизатором для предохранения ПКЧ от резких толчков при перевозке. Поскольку в НТД на такой стандарт не задаются параметры таких часов (погрешности, накапливаемые при их транспортировке), эти параметры надо определить при аттестации ПКЧ как образцового средства измерений.
Определение

аппаратуры привязки производится следующим образом.
Перед транспортировкой на объект ПКЧ сличают с образцовой МЧВ поверочной лаборатории и определяют поправку их шкалы относительно ШВСС. Эта поправка равна:

, (26)
где

- разность между шкалой образцовой МЧВ и шкалой ПКЧ, а
Uобр - поправка образцовой МЧВ относительно ШВСС.
В случае необходимости поправка U может быть определена непосредственным сравнением шкалы времени ПКЧ с сигналами времени, передаваемыми телевизионным или радиоканалам. В этом случае поправку вычисляют по формуле:

, (18')
| | ИС МЕГАНОРМ: примечание. Расшифровки к формулам даны в соответствии с официальным текстом документа. | |
где C - поправка на момент выхода сигнала с передающей антенны радиостанции или Московского телевизионного центра, которая публикуется в "Бюллетене Д" или может быть сообщена потребителю по телефону или телетайпу из Главного метрологического центра Государственной службы времени и частоты СССР,
ро - время распространения сигналов от передающей антенны до приемного устройства поверочной лаборатории (определяется при аттестации рабочего места в поверочной лаборатории),
изм - измеренный интервал времени между сигналами времени ПКЧ и соответствующими им сигналами времени, принятыми по радио и телевидению.
Поправка U определяется дважды: перед отправкой ПКЧ на объект (значение - U1) и после возвращения с объекта (значение - U2).
Время распространения

для приемного устройства объекта рассчитывают по формуле:

, (27)
где

- интервал времени между сигналами времени ПКЧ и сигналами времени, принятыми на аппаратуру потребителя,
C' - поправка сигнала времени на момент его выхода,
U' - поправка ПКЧ на момент аттестации или поверки.
Поскольку ПКЧ имеет ход, отличный от нуля, их поправка изменяется во времени. Фактическое поведение часов при транспортировке определить нельзя, поэтому предполагается, что во время транспортировки ход ПКЧ остается постоянным. Тогда

, (28)
где U1 - поправка ПКЧ перед отправкой на объект в момент времени T1,
U2 - поправка ПКЧ после их возвращения с объекта в момент времени T2,
U' - поправка ПКЧ на момент времени T' аттестации или поверки.