Главная // Актуальные документы // МетодикаСПРАВКА
Источник публикации
М.: Издательство стандартов, 1980
Примечание к документу
Название документа
"МИ 214-80. Методика определения погрешности элементарной дозы интегрирующих приборов, построенных на основе преобразователей тока и напряжения в число импульсов"
(утв. Протоколом Научно-технического совета ВНИИМС от 11.04.1980 N 2)
"МИ 214-80. Методика определения погрешности элементарной дозы интегрирующих приборов, построенных на основе преобразователей тока и напряжения в число импульсов"
(утв. Протоколом Научно-технического совета ВНИИМС от 11.04.1980 N 2)
Протоколом Научно-технического
совета ВНИИМС
от 11 апреля 1980 г. N 2
МЕТОДИКА
ОПРЕДЕЛЕНИЯ ПОГРЕШНОСТИ ЭЛЕМЕНТАРНОЙ ДОЗЫ ИНТЕГРИРУЮЩИХ
ПРИБОРОВ, ПОСТРОЕННЫХ НА ОСНОВЕ ПРЕОБРАЗОВАТЕЛЕЙ ТОКА
И НАПРЯЖЕНИЯ В ЧИСЛО ИМПУЛЬСОВ
МИ 214-80
РАЗРАБОТАНА Всесоюзным научно-исследовательским институтом метрологической службы (ВНИИМС)
Директор А.А. ЧерноярскиЙ
Руководитель темы А.Л. Резников
Исполнитель И.Г. Землинская
ПОДГОТОВЛЕНА К УТВЕРЖДЕНИЮ Отделом экспертизы стандартов
Начальник отдела Г.П. Сафаров
УТВЕРЖДЕНА Научно-техническим советом ВНИИМС протокол N 2 от 11 апреля 1980 г.
Настоящая методика распространяется на серийно выпускаемые интегрирующие приборы типов ПВИ-4, С-1М (С-1АМ). Допускается распространение методики на приборы аналогичного назначения, построенные на основе нефункциональных преобразователей тока и напряжения в число импульсов
<*>, имеющих выход непосредственно с указанного преобразователя. Перечисленные приборы предназначены для измерения текущего значения интеграла входного сигнала по времени или среднего значения входного сигнала за заданный интервал времени.
--------------------------------
<*> Аналого-частотные преобразователи накопительного класса (АЧП).
Настоящая методика устанавливает операции по определению характеристик погрешности указанных приборов, контролируемых при типовых и контрольных испытаниях, первичной и периодической поверках.
1. ПРИМЕНЯЕМЫЕ СРЕДСТВА ИЗМЕРЕНИЙ
1.1. При определении характеристик погрешности интегрирующих приборов ПВИ-4, С-1М (С-1АМ) применяют следующие образцовые средства измерений:
источник регулируемого тока (см.
рис. 1) с пределами от 0 до 5 мА, кратковременной стабильностью в течение 0,5 ч не хуже +/- 0,03% от предельного значения тока и внутренним сопротивлением не менее 100 кОм;
потенциометр класса точности не хуже 0,02 (например, Р300, Р368, Р309) или цифровой вольтметр постоянного тока с аналогичными характеристиками;
частотомер, например, Ч3-35, Ч3-12, Ф571;
образцовая катушка сопротивления Р331 100 Ом класса 0,01 (допускается 0,02).
Рис. 1. Электрическая принципиальная схема источника тока
для поверки интегрирующего прибора:
R - магазин сопротивления Р33 класса 0,
2
| | ИС МЕГАНОРМ: примечание. Взамен ГОСТ 8.009-72 Постановлением Госстандарта СССР от 13.07.1984 N 2495 с 01.07.1986 введен в действие ГОСТ 8.009-84. | |
| | ИС МЕГАНОРМ: примечание. МИ 187-79 утратили силу в связи с введением в действие МИ 187-86 "Методические указания. Государственная система обеспечения единства измерений. Достоверность и требования к методикам поверки средств измерений", утв. ВНИИМС 25.07.1986. | |
| | ИС МЕГАНОРМ: примечание. МИ 188-79 утратили силу в связи с введением в действие МИ 188-86 "Методические указания. Государственная система обеспечения единства измерений. ГСИ. Средства измерений. Установление значений параметров методик поверки", утв. ВНИИМС 25.07.1986. | |
1.2. При поверке путем контроля соответствия действительных значений погрешности их допустимым значениям погрешность поверки должна устанавливаться в соответствии с ГОСТ 8.009-72 как функция вероятностей браков поверки. При этом следует руководствоваться методиками МИ 187-79, МИ 188-79.
1.3. Допускается устанавливать погрешность поверки, не превышающую 1/4 допустимого значения контролируемой погрешности, если при этом вероятностные характеристики браков поверки не превышают заданных.
2.1. Испытания по определению характеристик, указанных в
пп. 3.1 -
3.6,
4.1 -
4.2 настоящей методики, проводят при следующих условиях:
температуре окружающего воздуха, °C | 20 +/- 2 |
относительной влажности, % | 30 - 80 |
барометрическом давлении, Па (мм рт. ст.) | 1,01325·105 +/- 0,003333·105 (760 +/- 25) |
отклонении напряжения питания от номинального значения, % | не более +/- 2 |
отклонении частоты питания переменного тока от номинального значения, % | не более +/- 2 |
максимальном коэффициенте высших гармоник, % | 5 |
3. ОПРЕДЕЛЕНИЕ ПОГРЕШНОСТЕЙ
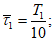
3.1. Погрешность элементарной дозы (единицы дискретности) интегрирующего прибора определяют по формуле
где Ui - заданное значение входного сигнала интегрирующего прибора; Ti - длительность интервала времени между рядом следующими импульсами, измеряемая на выходе преобразователя; q0 = U0T0 - номинальное значение элементарной дозы, мА·с или В·с (U0 - номинальное значение входного сигнала; T0 - номинальная длительность интервала времени между импульсами).
3.1.1. Соотношение между q0 и постоянной интегрирования C, нормируемой в НТД, определяется выражением q0 = 3600/C, где C выражено в ед./(мА·ч) или в ед./(В·ч).
3.2. Определение систематической составляющей основной погрешности интегрирующего прибора осуществляют при указанных в НТД на интегрирующий прибор значениях входного сигнала. При этом выполняют следующие операции.
3.2.1. Для приборов с токовым входом (
рис. 1,
2) ключ
К ставят в положение "разомкнуто", частотомер - в положение "измерение длительности одного периода". При каждом заданном значении входного сигнала
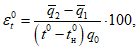
Ui последовательно измеряются длительности десяти интервалов времени между импульсами. Относительное значение систематической составляющей основной погрешности, %, вычисляют по формуле
где j - номер измеряемого интервала времени между импульсами.
Рис. 2. Электрическая схема поверки интегрирующего прибора
с токовым входом:
АТ - автотрансформатор; В - вольтметр; ИП - интегрирующий
прибор; КОС - катушка образцового сопротивления; К - ключ;
R - магазин сопротивления Р33 класса 0,
2;
Пт - потенциометр;
ИТ - источник тока
3.2.2. Для приборов с входом по напряжению
(рис. 3) ключ
К ставят в положение "замкнуто". Остальные операции аналогичны указанным в
п. 3.2.1.
Рис. 3. Электрическая схема поверки интегрирующего прибора
с входом по напряжению:
АТ - автотрансформатор; В - вольтметр; К - ключ; R - магазин
сопротивления Р33 класса 0,
2;
ИРН - источник регулируемого
напряжения; ИП - интегрирующий прибор; Ч - частотомер;
Пт - потенциометр
3.2.3. Допускается для интегрирующих приборов, имеющих малую случайную составляющую основной погрешности, измерять на частотомере суммарную длительность десяти периодов следования импульсов.
3.3. Вычисление среднего квадратического отклонения случайной составляющей основной погрешности, %, осуществляют по экспериментальным данным, полученным в
п. 3.2.1 или
3.2.2, по формуле
Примечание. Для приборов ПВИ 4, С-1М (С-1АМ) определять среднее квадратическое отклонение случайной составляющей основной погрешности нецелесообразно.
3.4. Определение дрейфа систематической составляющей основной погрешности осуществляется при указанном в НТД значении входного сигнала. Для этого необходимо выполнить следующие операции.
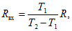
3.4.1. Пять раз с интервалом в один час измерить суммарные длительности десяти периодов следования импульсов T1, T2, T3, T4, T5, контролируя при этом входной сигнал. Значения систематической составляющей основной погрешности прибора, %, для различных моментов времени его работы вычисляют по формулам

...

сравнивают с предельно допустимым значением систематической составляющей основной погрешности.
3.4.2. Значение дрейфа систематической составляющей основной погрешности интегрирующего прибора для различных моментов времени его работы вычисляют по формулам
3.5. Определение дополнительной погрешности интегрирующего прибора от влияния температуры окружающей среды осуществляют в камере тепла (холода) при входном сигнале, равном 60% диапазона. Испытание производят при условиях, оговоренных в
п. 2.1, по методике, описанной в
п. 3.2, при температуре (20 +/- 2) °C и после пребывания прибора в камере при температуре (35 +/- 2) °C в течение 3 ч. Последовательно измеряют суммарные длительности десяти периодов следования выходных импульсов при нормальной температуре
T1 и при повышенной температуре
T2. Дополнительную погрешность, %, вычисляют по формулам
где

- нормальная температура.
Аналогичные испытания приборов производят при температуре (20 +/- 2) °C и после пребывания прибора в камере при температуре (10 +/- 2) °C в течение 3 ч.
3.6. Определение дополнительной погрешности интегрирующего прибора

при изменении напряжения питания от номинального значения осуществляется для входного сигнала, равного 60% диапазона. При нормальных условиях, оговоренных в
п. 2.1, осуществляют измерение суммарной длительности десяти периодов следования выходных импульсов
T1. С помощью автотрансформатора устанавливают по вольтметру последовательно напряжение сети
Uс =
Uном + 10% и
Uс =
Uном - 15%; измеряют последовательно суммарные длительности десяти периодов следования выходных импульсов соответственно
T2,
T3. Дополнительную погрешность, %, вычисляют по формулам
3.7. Определение дополнительной погрешности интегрирующего прибора

при изменении частоты сети от нормального значения в пределах +/- 2% осуществляют по методике, описанной в
п. 3.6.
3.8. Определение дополнительной погрешности интегрирующего прибора

, вызванной влиянием внешнего магнитного поля, производится путем помещения прибора в центре катушки, рекомендованной
ГОСТ 13033-76, и создания равномерного магнитного поля напряженностью 400 А/м. Испытания проводят в трех перпендикулярных направлениях магнитного поля по методике, описанной в
п. 3.6.
4. ОПРЕДЕЛЕНИЕ ВХОДНОГО ИМПЕДАНСА
4.1. Определение входного импеданса интегрирующего прибора осуществляют при указанном в НТД значении входного сигнала. Допускается определение входного активного сопротивления с помощью омметра.
4.2. Для приборов с токовым входом (см.
рис. 1,
2) ключ
К ставят в положение "разомкнуто", по потенциометру с помощью источника регулируемого тока устанавливают заданное значение входного сигнала и с помощью частотомера измеряют суммарную длительность десяти периодов следования импульсов
T1. Замыкают ключ
К. С помощью источника регулируемого тока устанавливают то же, что и ранее, значение входного сигнала. Частотомером измеряют суммарную длительность десяти периодов следования импульсов
T2. Входной импеданс вычисляют по формуле
где Rш - шунтирующее сопротивление, кОм.
4.3. Для приборов с входом по напряжению (см.
рис. 3) ключ
К ставят в положение "замкнуто", по потенциометру с помощью источника регулируемого напряжения устанавливают заданное значение входного сигнала и с помощью частотомера измеряют суммарную длительность десяти периодов следования импульсов
T1. Размыкают ключ
К и повторяют вышеуказанные операции. Входной импеданс вычисляют по формуле
где R - добавочное сопротивление, кОм.
5. ОПРЕДЕЛЕНИЕ ОТСУТСТВИЯ (НАЛИЧИЯ) ПЕРЕХОДНОГО ПРОЦЕССА
ПРИ СКАЧКООБРАЗНОМ ИЗМЕНЕНИИ ВХОДНОГО СИГНАЛА
5.1. Определение отсутствия (наличия)
<*> переходного процесса при скачкообразном изменении входного сигнала осуществляется с помощью схемы, приведенной на
рис. 4. Для этого используют устройство для измерения метрологических характеристик преобразователей тока и напряжения в частоту (УИМХ АЧП) и ЭВМ. Блок-схемы программы и УИМХ АЧП приведены в
приложениях 1,
2.
--------------------------------
<*> Допускается теоретическое обоснование.
Рис. 4. Электрическая схема подключения интегрирующего
прибора к УИМХ АЧП при контроле отсутствия (наличия)
переходного процесса:
Пт - потенциометр; К, К1 - ключи; КОС - катушка образцового
сопротивления; ИП - интегрирующий прибор; Ч - частотомер;
ИРН1, ИРН2 - источники регулируемого напряжения;
ЭВМ - электронная вычислительная машина;
ЦПУ - цифропечатающее устройство; УИМХ АЧП - устройство
измерения метрологических характеристик преобразователей
тока и напряжения в частоту
5.1.1. При входном сигнале
Ua, равном 10% диапазона, измеряют длительность 30 интервалов времени между импульсами

...

. В ЭВМ запоминаются коды, соответствующие измеренным значениям указанных интервалов времени, и осуществляется расчет по формулам

...

5.1.2. При входном сигнале
Ub, равном 90% диапазона, измеряют длительность 30 интервалов времени между импульсами

...

. В ЭВМ осуществляется расчет по формулам.
5.1.3. При скачкообразном изменении входного сигнала
измеряют длительность 30 интервалов времени между импульсами (при t >= t0). В ЭВМ запоминаются коды, соответствующие измеренным значениям указанных интервалов времени, и осуществляется расчет по следующим формулам

...

5.1.4. При скачкообразном изменении входного сигнала
измеряют длительность 30 интервалов времени между импульсами (при t >= t0). В ЭВМ запоминаются коды и осуществляется расчет по следующим формулам

...

5.1.5. Определяют максимум разности
5.1.6. Отсутствие (наличие) переходного процесса определяют следующим образом:
БЛОК-СХЕМА ПРОГРАММЫ ДЛЯ ЭВМ
ОПИСАНИЕ БЛОК-СХЕМЫ УСТРОЙСТВА ДЛЯ ИЗМЕРЕНИЯ МЕТРОЛОГИЧЕСКИХ
ХАРАКТЕРИСТИК ПРЕОБРАЗОВАТЕЛЕЙ ТОКА И НАПРЯЖЕНИЯ В ЧАСТОТУ
СЛЕДОВАНИЯ ИМПУЛЬСОВ (УИМХ АЧП)
УИМХ АЧП предназначено для формирования скачка входного тока и напряжения; преобразования примыкающих интервалов времени между импульсами на выходе АЧП в цифровой код; обеспечения ввода результатов измерения в ЭВМ. Блок-схема устройства показана на рисунке.
Узел формирования скачка тока и напряжения предназначен для создания перепада (заданных регулируемых уровней) тока и напряжения с малым фронтом, синхронизируемого выходными импульсами испытуемого преобразователя.
Узел управления "распаковкой" и связи с ЭВМ предназначен для управления последовательной (по тетрадам) выдачей кода интервала времени с выхода счетчиков 1 (2) на информационные шины схемы "распаковки" тетрад, формирования служебных сигналов для ЭВМ "конец отсчета" и "конец массива".
Схема "распаковки" тетрад предназначена для последовательной выдачи (по тетрадам) кода интервала времени на согласующие ключи.
Узел управления преобразованием интервала времени в код предназначен для управления работой счетчиков 1 и 2. Он коммутирует последовательность импульсов частоты заполнения, поступающую из делителя частоты, на вход счетчиков 1, 2, а также осуществляет сброс счетчиков в начальное состояние.
Кварцевый генератор предназначен для формирования импульсов частоты заполнения, делитель частоты - для создания сетки опорных частот.
Счетчики 1 и 2 предназначены для преобразования интервала времени в код.
Счетчик длины массива предназначен для подсчета числа кодовых посылок, передаваемых в ЭВМ.
Компаратор предназначен для сравнения кода, выставленного на кодовом переключателе длины массива и кода счетчика длины массива. При совпадении указанных кодов компаратор формирует сигнал, поступающий на схему "распаковки" тетрад.
Узел согласующих ключей предназначен для согласования уровней потенциала логических элементов (на которых построено УИМХ АЧП) с уровнями элементов ЭВМ.
Устройство работает следующим образом. Опорная частота с выхода кварцевого генератора поступает на делитель частоты. В зависимости от диапазона измеряемых интервалов времени переключателем П выбирается одна из частот, образуемых делителем частоты. С приходом каждого импульса (с выхода АЧП) узел управления преобразованием интервала времени в код переключает последовательность импульсов с выхода делителя частоты на вход то счетчика 1, то счетчика 2.
После окончания преобразования данного интервала времени в код узел управления "распаковкой" формирует и передает через узел согласующих ключей в ЭВМ служебный сигнал готовности к "распаковке". Одновременно разрешается прохождение старшей тетрады на информационные шины схемы "распаковки" тетрад. Получив сигнал запроса из ЭВМ, очередная кодовая тетрада передается в ОЗУ ЭВМ (через согласующие ключи). При этом формируется сигнал "стоп", который в сдвиговом регистре узла управления "распаковкой" перемещает единицу, разрешая подключение очередной тетрады на информационные шины. После прохождения в ЭВМ младшей тетрады на информационных шинах выставляется служебный сигнал либо "конец отсчета", либо "конец массива".
Для контроля числа отсчетов, введенных в ЭВМ, используют счетчик длины массива и компаратор. На входы компаратора подаются код выходного состояния счетчика длины массива и код состояния переключателя длины массива. При совпадении указанных кодов формируется служебный сигнал "конец массива", в противном случае - "конец отсчета".
При работе узла формирования скачка тока и напряжения предварительно устанавливаются уровни перепада тока (напряжения). Сам перепад синхронизируется первым импульсом, пришедшим с выхода АЧП. УИМХ АЧП реализовано для работы с ЭВМ "Мир-2". Устройство может быть построено для работы с другими ЭВМ, например, М-6000.