Главная // Актуальные документы // МетодикаСПРАВКА
Источник публикации
М.: Издательство стандартов, 1980
Примечание к документу
Название документа
"МИ 192-79. Методика аттестации и поверки импортных комплексов для измерения количества природного газа с помощью диафрагм с фланцевым отбором давления"
(утв. Протоколом НТС КФ ВНИИФТРИ от 20.04.1979 N 6)
"МИ 192-79. Методика аттестации и поверки импортных комплексов для измерения количества природного газа с помощью диафрагм с фланцевым отбором давления"
(утв. Протоколом НТС КФ ВНИИФТРИ от 20.04.1979 N 6)
Протоколом
Научно-технического совета
КФ ВНИИФТРИ
от 20 апреля 1979 г. N 6
МЕТОДИКА
АТТЕСТАЦИИ И ПОВЕРКИ ИМПОРТНЫХ КОМПЛЕКСОВ ДЛЯ ИЗМЕРЕНИЯ
КОЛИЧЕСТВА ПРИРОДНОГО ГАЗА С ПОМОЩЬЮ ДИАФРАГМ
С ФЛАНЦЕВЫМ ОТБОРОМ ДАВЛЕНИЯ
МИ 192-79
РАЗРАБОТАНА ВНПО "Союзгазавтоматика"
Главный инженер М.М. Майоров
Руководитель темы В.А. Айрапетов
Исполнители: Б.Т. Шохов, Р.Ф. Каширова
РАЗРАБОТАНА Казанским филиалом Всесоюзного ордена Трудового Красного Знамени научно-исследовательского института физико-технических и радиотехнических измерений (КФ ВНИИФТРИ)
Директор Н.М. Хусаинов
Исполнители: Г.П. Куцаков, В.Д. Куликов
ПОДГОТОВЛЕНА К УТВЕРЖДЕНИЮ Научно-исследовательской лабораторией КФ ВНИИФТРИ
Руководитель лабораторией П.А. Гаршип
Исполнители: Р.А. Смирнов, Б.В. Савиных
УТВЕРЖДЕНА Научно-техническим советом КФ ВНИИФТРИ 20 апреля 1979 г. (протокол N 6)
Настоящая методика распространяется на импортные комплексы для измерения количества природного газа с помощью диафрагм с фланцевым отбором давления, находящиеся в промышленной эксплуатации, и устанавливает порядок представления их на аттестацию, методы и средства поверки.
Аттестации и поверке подлежат следующие измерительные системы комплекса:
стабилизации и сужения потока газа - прямые участки измерительных трубопроводов с диафрагмами;
пораздельного измерения параметров потока, входящих в уравнение количества газа: самопишущий дифманометр, манометр и термометр, барометр, средства измерений плотности газа при нормальных условиях, содержания азота и углекислого газа, влажности газа, планиметры;
автоматизации процесса решения уравнения количества газа - вычислительное устройство с измерительными преобразователями и цифропечатью (в зависимости от степени автоматизации и функциональной возможности вычислителя).
1. НАЗНАЧЕНИЕ И ПРИНЦИП ДЕЙСТВИЯ ИЗМЕРИТЕЛЬНЫХ КОМПЛЕКСОВ
1.1. Измерительный комплекс предназначен для определения при взаимных коммерческих расчетах объема природного газа, прошедшего через диафрагмы, установленные в трубопроводах, по которым разветвлен контролируемый поток, и выдачи в автоматизированную систему управления (АСУ) исходной информации, необходимой для расчета этого количества газа.
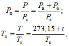
В соответствии с
ГОСТ 2939-63, устанавливающим условия определения объема газа при взаимных расчетах, количество газа определяют в кубических метрах при нормальных условиях: температуре
Tн = 293,15 К (20 °C), абсолютном давлении
Pн = 0,101325 МПа (760 мм рт. ст.) и относительной влажности
aв = 0.
Все расчетные формулы справедливы при следующих условиях <*>:
--------------------------------
<*> Условные обозначения величин и единицы измерения, принятые в методике, приведены в
прил. 1.
где

(1)
при этом природный газ должен содержать азота и углекислого газа соответственно не более 16 и 4%, а также отвечать требованиям государственных стандартов.
Диафрагма, прямые участки измерительных труб и их взаимное расположение должны отвечать требованиям Правил 28-64.
1.2. Принцип действия измерительного комплекса основан на зависимости от объемного расхода газа при нормальных условиях
Qн и плотности газа при рабочих условиях (давлении
P и температуре
T)

, а также перепада давления

, образующегося на диафрагме с диаметром цилиндрической части отверстия
dо в результате частичного перехода потенциальной энергии потока в кинетическую:

, (2)
где

- коэффициент расхода диафрагмы;

- поправочный множитель на расширение газа;
Kв - поправочный множитель на влажность газа;

- плотность газа при нормальных условиях.
Если плотность газа

при рабочих условиях [
P и
T] определяют через его плотность

при нормальных условиях по формуле

, (3)
то

, (4)
где Kс - коэффициент сжимаемости газа.
1.2.1. Коэффициент расхода диафрагмы

характеризует зависимость перепада давления от относительного диаметра диафрагмы

, неравномерности распределения скоростей по сечению потока, обусловленной влиянием вязкости газа

и трения его о трубопровод и диафрагму; остроты входной кромки диафрагмы.
Коэффициент расхода диафрагмы рассчитывают по формуле

, (5)
где

- исходный коэффициент расхода диафрагмы;
Kр, Kш, Kп - соответственно поправочные множители на число Рейнольдса, шероховатость внутренней поверхности прямых участков труб и притупление входной кромки диафрагмы.
Исходный коэффициент расхода диафрагмы

, (6)
где

;

,

при

;

,

при

;

,

при

;

.
Поправочный множитель на число Рейнольдса

, (7)
где число Рейнольдса

,
где динамическая вязкость газа

(8)
где приведенные значения давления и температуры газа

(9)
где псевдокритические значения давления и температуры газа

(10)
где N2 и CO2 - объемные доли содержания в смеси природного газа соответственно азота и углекислого газа.
Поправочные множители на притупление входной кромки диафрагмы Kп и шероховатость внутренней поверхности Kш прямых участков труб для D >= 300 мм равны единице каждый. При D < 300 мм их значения будут определять по результатам исследований в процессе аттестации по методике, согласованной с Казанским филиалом ВНИИФТРИ.
1.2.2. Поправочный множитель на расширение газа

учитывает изменение плотности газа в связи с изменением давления при прохождении через отверстие диафрагмы.
Поправочный множитель

зависит от относительного диаметра диафрагмы

, отношения перепада давления на диафрагме к давлению газа

и от показателя адиабаты

.
Поправочный множитель рассчитывают по формуле

, (11)
где коэффициенты адиабаты

. (12)
1.2.3. Поправочный множитель на влажность газа
Kв позволяет обеспечить в соответствии с требованиями
ГОСТ 2939-63 определение количества только сухого газа. Если содержание влаги в виде паров составляет
aв объемных долей от всей смеси газа, то
Kв = 1 - aв. (13)
Через относительную влажность газа поправочный множитель на влажность газа Kв определяют по формуле

,
где

- относительная влажность природного газа в долях единицы

.
В случае отсутствия средств определения содержания паров воды в газе, его можно определить по температуре точки росы tр:

, (14)
причем

, (15)
1.2.4. Плотность газа при нормальных условиях при отсутствии плотномера

определяют пикнометрическим методом по ГОСТ 17310-71

, (16)
где

(17)

, (18)
где mж, mо, mг - массы пикнометра соответственно с дистиллированной водой, с сухим воздухом, с сухим газом;
V - объем пикнометра;

- плотность дистиллированной воды;
tо - температура окружающего пикнометр воздуха;
Pн - нормальное давление по
ГОСТ 2939-63 в единицах измерения барометрического давления
Pб.
1.2.5. Коэффициент сжимаемости газа, характеризующий отклонение природного газа от законов идеального, может быть определен по формуле

(19)
где

;

;
При 0,0147 <= Pс <= 1,3 и 0,84 <= Tс <= 1,09;
При 0,0147 <= Pс <= 2 и 1,09 <= Tс <= 1,4
Pс = 0,6714Pп;
Tс = 0,71892Tп;
Поскольку приведенные формулы сложны для ручного расчета коэффициента сжимаемости газа, целесообразно использовать таблицу, рассчитанную на ЭВМ (см.
прил. 3).
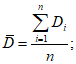
1.2.6. Количество газа за отчетный период времени

определяют интегрированием
зависимостей (2) и
(4) с последующим суммированием результатов интегрирования расходов газа по всем
n трубопроводам, по которым разветвлен контролируемый поток:

(20)
или

. (21)
Рекомендации по определению количества газа в различных конкретных случаях приведены в
прил. 4.
Интегрирование расхода газа и суммирование его количества по всем трубопроводам обеспечивают измерительным комплексом путем преобразования независимых параметров
уравнений (20) и
(21) в удобную для обработки информацию.
1.3. Измерительный комплекс включает в себя следующие системы: разветвления, стабилизации и сужения потока газа; пораздельного измерения параметров потока, входящих в одно из
уравнений (20) и
(21) количества газа; полной и частичной автоматизации процесса решения уравнения количества газа.
Примерная функциональная схема измерительного комплекса пункта учета количества газа представлена на
рисунке.
Примечание. Обозначения 1.1; 1.3; 1.5; п. 1; п. 3; п. 5; п 7; п. 8 указывают на соединения между собою на объекте трубопроводами, а 1,2; 1.4; 1.6; п. 2, п. 4; п. 6 соответственно электрическими кабелями.
1.3.1. Система разветвления, стабилизации и сужения потока газа состоит из коллекторов с коленами
1 для разветвления потока газа по нескольким трубопроводам; запорной арматуры
2 для отсечения трубопровода при снижений расхода газа, а также для профилактических работ по поверке измерительного комплекса; прямых участков измерительных трубопроводов
3 для обеспечения возможности выравнивания (стабилизации) профилей скоростей по сечению потока после гидравлических сопротивлений (коллекторов, колен, кранов, диафрагм и др.); минимальные длины которых в зависимости от типа гидравлических сопротивлений и относительного диаметра диафрагмы приведены в
табл. 1; диафрагм
6 для сужения потока газа с целью обеспечения перепада давления, зависящего от расхода и плотности газа.
Таблица 1
Минимальные длины прямых участков измерительного
трубопровода до ближайшего к диафрагме сопротивления
| Расположение местных сопротивлений по отношению к диафрагме |
за | перед |
Все местные сопротивления этой таблицы | Одно колено 90° или тройник | Два или более колен под 90° | Сужение | Расширение от 0,5D до D на длине D - 2D | Полностью открытый вентиль | Полностью открытая задвижка | |
в одной плоскости | в различных плоскостях | от 2D до D на длине 1,5D - 3D | внезапное |
1 | 2 | 3 | 4 | 5 | 6 | 7 | 8 | 9 | 10 | 11 |
0,20 | 4 | 10 | 14 | 34 | 5 | 30 | 16 | 18 | 12 | 100 |
0,25 | 4 | 10 | 14 | 34 | 5 | 16 | 18 | 12 |
0,30 | 5 | 10 | 16 | 34 | 5 | 16 | 18 | 12 |
0,35 | 5 | 12 | 16 | 36 | 5 | 16 | 18 | 12 |
0,40 | 6 | 14 | 18 | 36 | 5 | 30 | 16 | 20 | 12 | 100 |
0,45 | 6 | 14 | 18 | 38 | 5 | 17 | 20 | 12 |
0,50 | 6 | 14 | 20 | 40 | 6 | 18 | 22 | 12 |
0,55 | 6 | 16 | 22 | 44 | 8 | 20 | 24 | 14 |
0,60 | 7 | 18 | 26 | 48 | 9 | 30 | 22 | 26 | 14 | 100 |
0,65 | 7 | 22 | 32 | 54 | 11 | 25 | 28 | 16 |
0,70 | 7 | 28 | 36 | 62 | 14 | 30 | 32 | 20 |
0,75 | 8 | 36 | 42 | 70 | 22 | 38 | 36 | 24 |
Примечание: Минимальные длины прямых участков измерительного трубопровода между двумя ближайшими к диафрагме сопротивлениями, расположенными до нее (вверх по потоку), независимо от значения

будут равны соответственно
графам 3 -
11 табл. 1: 14; 18; 31; 7; 15; 15; 16, 10; 50.
1.3.2. Система пораздельного измерения параметров потока, входящих в одно из уравнений газа, состоит из приборов: манометра
12, дифференциального манометра
14, термометра
16 и влагомера
26 (наличие последнего необязательно, если влияние влажности газа на определение его количества менее 0,1%). Кроме того, в систему входят не показанные на
рисунке комплекты приборов для определения плотности газа при нормальных условиях пикнометрическим способом, содержания в газе азота и углекислого газа, а также планиметры для обработки записей суточных диаграмм самопишущих приборов. Она предназначена для резервирования системы полной или частичной автоматизации процесса решения уравнения количества газа при ее неисправности или отключении электропитания.
1.3.3. Система полной или частичной автоматизации процесса решения уравнения количества газа состоит из измерительных преобразователей давления 13, перепада давления 15, температуры 17, предназначенных для преобразования контролируемых параметров в электрический сигнал; плотномера 20; вычислителей количества и расхода газа 22 и суммарного количества и расхода газа 24, цифропечатающего устройства 25 и согласующего устройства с каналом телеизмерений 23.
Вычислители количества и расхода газа предназначены для обработки сигналов измерительных преобразователей и автоматического решения уравнения количества газа по каждой измерительной трубе и выдачи результатов интегрирования расхода газа на многоразрядный счетчик его количества и на вход вычислителя суммарного количества газа, который выдает информацию о суммарном количестве газа, прошедшего через все измерительные трубопроводы, а также на многоразрядный счетчик, цифропечатающее устройство и в канал телеизмерения.
1.3.4. Отборы перепада давления 5 расположены на расстоянии 25 мм от обоих торцов диафрагм.
Отборы давления 4 расположены на расстоянии 25 мм от входного торца диафрагмы.
Термобаллон 7 и термометр сопротивления 8 расположены за диафрагмой на расстоянии, определенном необходимой длиной прямого участка.
Отбор пробы газа 9 для плотномера и чувствительный элемент преобразователя влажности газа 10 расположены за диафрагмой, на коллекторе.
Вся трубная обвязка с диафрагмами, термобаллоном, термометром сопротивления и чувствительным элементом преобразователя влажности газа расположены на открытом воздухе.
Самопишущие приборы, измерительные преобразователи перепада давления, давления, температуры и плотномер с редуктором 18 и фильтром-осушителем 19 расположены в отапливаемом взрывоопасном помещении 11.
Все вторичные электронные приборы расположены в отапливаемом взрывобезопасном помещении 21.
2. ПОРЯДОК ПРЕДСТАВЛЕНИЯ ИЗМЕРИТЕЛЬНЫХ КОМПЛЕКСОВ
НА АТТЕСТАЦИЮ И ПОВЕРКУ
2.1. Аттестацию и поверку измерительных комплексов проводят территориальные лаборатории госнадзора (ЛГН).
2.2. Представляет измерительный комплекс на аттестацию и поверку организация, эксплуатирующая его.
2.3. Измерительный комплекс представляют на аттестацию с технической документацией и вспомогательным оборудованием, необходимым для его нормального функционирования.
2.3.1. В техническую документацию, представляемую вместе с измерительным комплексом на аттестацию, должны входить:
фирменные проспекты;
техническое описание и инструкция по эксплуатации с указанием в них методов и средств испытаний и поверки на русском языке;
принципиальные схемы или блок-схемы измерительного комплекса и его узлов;
проект паспорта на измерительный комплекс по
форме (примеру), приведенной в прил. 5;
проект
свидетельства о метрологической аттестации, приведенной в прил. 6.
На повторную аттестацию или поверку представляют измерительный комплекс с вспомогательным оборудованием и проекты паспорта и свидетельства о метрологической аттестации.
2.4. По требованию ЛГН организация, представляющая измерительный комплекс на аттестацию или поверку, обеспечивает проведение аттестации необходимыми образцовыми средствами поверки.
2.5. Аттестацию и поверку измерительного комплекса проводят на месте его эксплуатации.
2.6. Расходы на проведение аттестации или поверки оплачивает в установленном порядке организация, представляющая измерительный комплекс на аттестацию или поверку.
2.7. Аттестацию проводят в два этапа: первичная и вторичная (повторная) аттестация.
2.8. Организация, представляющая измерительный комплекс на первичную аттестацию, за три месяца до ее проведения направляет всю техническую документацию по измерительному комплексу в ЛГН.
2.9. ЛГН в месячный срок устанавливает полноту и правильность оформления представленной документации и на этом основании выносит решение либо о дополнении представленной документации, либо о сроке проведения первичной аттестации.
2.10. Организация, представляющая измерительный комплекс на первичную аттестацию, за месяц до срока ее проведения уведомляет ЛГН о готовности.
2.11. ЛГН проводит первичную аттестацию в согласованные с организацией, представляющей измерительный комплекс на аттестацию, сроки в соответствии с настоящей методикой и назначает срок проведения повторной аттестации не раньше чем через три и не позже чем через шесть месяцев с целью уточнения и определения постоянства метрологических характеристик измерительного комплекса и установления межповерочного интервала.
2.12. Организация, представляющая измерительный комплекс на повторную аттестацию или поверку, за месяц до их проведения по установленному плану уведомляет ЛГН о готовности.
2.13. В случае обоснованной необходимости ЛГН может назначить дополнительную (третью) аттестацию.
2.14. В процессе последней аттестации должны быть установлены межповерочный интервал и минимальный объем поверки измерительного комплекса.
3. ОПЕРАЦИИ АТТЕСТАЦИИ И ПОВЕРКИ И ПРИМЕНЯЕМЫЕ
ПРИ ЭТОМ СРЕДСТВА ИЗМЕРЕНИЙ
3.1. При проведении аттестации и поверки выполняют операции и применяют средства, указанные в
табл. 2.
Наименование операции | Номер пункта методики | Наименование средства аттестации и поверки и его техническая характеристика |
Проверка технической документации | | |
Поверка длин прямых участков* | | Рулетка стальная - 5 м |
Поверка местоположения отборов давлений у диафрагмы* | | Штангенциркуль ШЦ-11-200 +/- 0,05 мм |
Определение внутренних диаметров измерительных трубопроводов* | | Нутрометры микрометрические: НМ-1250 +/- 0,01 мм; НМ-150 +/- 0,01 мм; НМ-75 +/- 0,01 мм |
Определение диаметра цилиндрической части отверстия диафрагм | | То же |
Определение наличия выступов* | | То же |
Определение смещения осей диафрагмы и трубопровода* | | Штангенрейсмусы: ШР-250М +/- 0,05 мм; ШР-1000 +/- 0,1 мм |
Проверка выполнения Правил 28-64 | | Угольник УЛ; Набор щупов N 1, N 2, N 3, N 4; Линейка лекальная ЛЛ-320 мм кл. 1; Штангенциркуль ШЦ-11-200 +/- 0,05 мм; Угломер с нониусом УН-11; Профилограф-профилометр модель 201-ПГ-7 |
Проверка режимов работы приборов и преобразователей | | |
Проверка герметичности системы | | Грузопоршневые манометры МП-2, кл. 0,02, МП-60 и МП-600 кл, 0,05 |
Определение метрологических характеристик системы пораздельного контроля | | То же, термостат, термометр ТЛ-4 (N 4, N 3, N 2) с ценой деления 0,1 °C |
Определение метрологических параметров системы автоматического учета газа | | То же, частотомер Ч3-33, барометр типа КР +/- 0,05 м бар; весы лабораторные равноплечие типа ВЛР-200-01; набор гирь типа Г3-1110 |
Расчет общей погрешности определения количества газа всей измерительной системы | | Клавишная вычислительная машина Б3-18А |
Проверка герметичности эксплуатационной системы | | |
Примечание. Операции, помеченные *, проводят только при аттестации
4. ПРОВЕДЕНИЕ АТТЕСТАЦИИ И ПОВЕРКИ
4.1. Проверка технической документации.
4.1.1. При проведении проверки должны быть установлены:
полнота предъявленной документации;
соответствие технических характеристик, приведенных в фирменных проспектах и технических описаниях, действительным значениям; соответствие изложенных в фирменных технических описаниях и инструкциях по эксплуатации методов поверки требованиям настоящей методики;
возможность обслуживания измерительного комплекса ЛГН или ведомственной метрологической службой (МС).
4.1.1.1. Полноту предъявленной документации определяют путем сопоставления ее перечня с требованиями
п. 2.3.1 и с составом измерительного комплекса.
4.1.1.2. Соответствие технических характеристик, приведенных в фирменных проспектах и технических описаниях, действительным значениям определяют путем сопоставления этих характеристик с результатами аттестации.
При наличии расхождений МС организации, эксплуатирующей измерительный комплекс, должна дать оценку целесообразности закупки по импорту рассматриваемых устройств в будущем.
4.1.1.3. Соответствие изложенных в фирменных технических описаниях и инструкциях по эксплуатации методов поверки требованиям настоящей методики определяют путем сличения и анализа рассматриваемых методов.
При наличии расхождений необходимо дать оценку целесообразности применения того или иного метода поверки, исходя из возможности получения достоверных данных и простоты контроля.
4.1.1.4. Возможность метрологического обслуживания измерительного комплекса ЛГН или ведомственной метрологической службой определяют исходя из ведомственной принадлежности организации, которые производят между собой коммерческие расчеты, и технической оснащенности ведомственных МС.
Если ведомственная МС имеет право на поверку средств измерений расхода и количества газа, и коммерческие операции производят между организациями одного ведомства, то поверка может быть поручена ведомственной метрологической службе.
4.2. Поверка длин прямых участков.
4.2.1. Поверку длин прямых участков измерительных трубопроводов производят, измеряя стальной рулеткой расстояния от диафрагмы до ближайших по обе стороны от нее сопротивлений в виде колен, кранов и др., а также между двумя ближайшими к диафрагме сопротивлениями, расположенными до диафрагмы (вверх по потоку). Измеренные расстояния должны быть не меньше значений, указанных в
табл. 1.
Кроме того, должно быть установлено, что гильзы чувствительных элементов термометров, чувствительные элементы измерительных преобразователей плотности и влажности газа и отборы газа для определения его характеристик находятся за пределами длин прямых участков, установленных в
табл. 1.
4.3. Перед поверкой должно быть визуально установлено, что:
каждый дифманометр и измерительный преобразователь перепада давления имеет свою отдельную пару отверстий для отбора давления, расположенных по обе стороны от диафрагмы;
каждый манометр и измерительный преобразователь давления имеет свое отдельное отверстие для отбора давления, расположенное перед диафрагмой (вверх по потоку);
отверстия для отборов перепада давления и давления разобщены и расположены в верхней половине измерительного трубопровода (камера для установки диафрагм).
Каждое из расстояний осей отверстий для отбора давлений от торцов диафрагмы определяют как среднее арифметическое значение результатов двух измерений штангенциркулем: от торца диафрагмы до ближайшей и наиболее удаленной образующей цилиндрической поверхности, ограничивающей отверстие. Результат определения каждого из расстояний должен соответствовать 25 +/- 1 мм.
4.4. Определение внутреннего диаметра измерительных трубопроводов.
4.4.1. Внутренний диаметр Di каждого измерительного трубопровода определяют как среднее арифметическое значение результатов двенадцати измерений нутромером микрометрическим диаметров в двух сечениях, расположенных перед диафрагмой на расстоянии 25 мм и 2 D от входного его торца (в каждом сечении по шесть измерений диаметров, образующих между собой приблизительно равные углы). Отклонение каждого результата измерения, выполненного с относительной погрешностью не более +/- 0,05%, от среднего арифметического значения, не должно превышать +/- 0,3%, т.е.

(22)

. (23)
Среднее арифметическое значение внутреннего диаметра измерительного трубопровода, расположенного за диафрагмой, определенное по результатам измерений в любом из направлений и сечений, находящихся на расстоянии до 2 D от заднего торца диафрагмы, не должно отличаться от Di более чем на +/- 2%.
В процессе определения внутреннего диаметра Di должна быть определена возможность осреднения диаметров всех измерительных трубопроводов.
Если диаметры
Di каждого измерительного трубопровода отличаются от их среднего арифметического значения

не более чем на +/- 0,1%, то такое осреднение возможно, т.е.

(24)

. (25)
В этом случае для всех измерительных трубопроводов принимают один диаметр -

, а погрешность его определения рассчитывают по формуле

. (26)
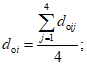
4.5. Определение диаметра цилиндрической части отверстия диафрагмы.
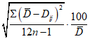
4.5.1. Диаметр dоi цилиндрической части отверстия каждой диафрагмы определяют как среднее арифметическое значение результатов четырех измерений нутромером микрометрическим диаметров, образующих между собой приблизительно равные углы. Отклонение каждого результата измерения, выполненного с относительной погрешностью не более +/- 0,01%, от среднего арифметического значения не должно превышать +/- 0,05%, т.е.

(27)

. (28)
В процессе определения диаметра dоi должна быть определена возможность осреднения диаметров диафрагм всех измерительных трубопроводов.
Если диаметры
dоi каждой диафрагмы отличаются от их среднего арифметического значения

не более чем на +/- 0,02%, то такое осреднение возможно, т.е.

(29)

. (30)
В этом случае для всех диафрагм принимают диаметр цилиндрической части ее отверстия равным

, а погрешность его определения рассчитывают по формуле

. (31)
Кроме того, должны быть рассчитаны относительный диаметр

и исходный коэффициент расхода диафрагмы по
(6).
4.6. Определение наличия выступов.
4.6.1. Наличие выступов, уступов, наростов, неровностей и т.п. определяют визуальным осмотром внутренней поверхности измерительных труб. На внутренней поверхности измерительных трубопроводов на расстоянии 2D по обе стороны от диафрагмы не должно быть выступов, уступов, наростов, неровностей и т.п.
4.6.2. При составных конструкциях прямых участков измерительных трубопроводов на расстоянии более 2D перед диафрагмой допускают уступы, если они не превышают +/- 0,15% по отношению к диаметру D, т.е.

. (32)
Если уступ между двумя любыми участками более +/- 0,15%, но соответствует условиям

(33)
то к погрешности определения количества газа арифметически добавляется погрешность

. (34)
Диаметры D2 и D1 стыкуемых трубопроводов определяют нутромером микрометрическим.
Расстояние от места стыка до диафрагмы l определяют стальной рулеткой.
Уступы за диафрагмой могут быть в три раза больше уступов перед диафрагмой и должны располагаться от нее на расстоянии более 2D.
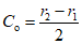
4.7. Определение смещения осей диафрагмы и трубопровода.
4.7.1. Смещение осей цилиндрической части отверстия Cо диафрагмы и измерительного трубопровода определяют путем последовательного измерения штангенрейсмусом кратчайших расстояний от цилиндрической части отверстия диафрагм до внутренней поверхности измерительного трубопровода в различных диаметральных направлениях. Половина разности наибольшего r2 и наименьшего r1 результата измерения соответствует смещению осей, т.е.

. (35)
Смещение осей Cо не должно превышать значения

. (36)
При

(37)
к погрешности определения количества газа арифметически прибавляется погрешность

.
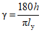
4.8. Поверка выполнения требований Правил 28-64.
4.8.1. Поверку выполнения требований Правил 28-64 осуществляют с помощью следующих средств поверки:
угольника и щупов для определения неперпендикулярности торца диафрагмы к его оси. Отклонение от перпендикулярности определяют по формуле

, (38)
где h - толщина щупа, мм; lу - длина угольника, мм;
лекальной линейки и щупов для определения неплоскостности (волнистости) диафрагмы;
штангенциркуля для определения толщины диска E и длины цилиндрической части отверстия e диафрагмы, диаметров отверстий для слива конденсата, отборов давления и соединительных линий;
угломера с нониусом для определения угла скоса отверстия диафрагмы и наклона линий сопряжений трубопроводов и отверстий для отбора давлений;
образцов шероховатости для определения шероховатости входного торца диафрагмы;
отраженного луча света для определения остроты входной кромки диафрагмы.
Примечания: 1. Допускается за результат измерения некоторых параметров, определение которых требует разборки трубопровода и которые длительное время могут оставаться без изменения (например: местоположений отборов давления у диафрагмы по
п. 4.3; внутренних диаметров измерительных трубопроводов по
п. 4.4; наличия уступов по
п. 4.6; смещения осей диафрагмы и трубопровода по
п. 4.7; диаметров отверстий для слива конденсата и отборов давлений по п. 4.8; углов наклона линий сопряжения трубопроводов и отверстий для отбора давлений по п. 4.8 и т.д.), брать данные из сертификаторов фирм-поставщиков, если в приемке участвовали представители советской стороны, или данные, определенные представителями ЛГН в процессе монтажных работ, если в сертификатах отсутствует подпись советских представителей.
2. Допускается измерение стабильных параметров, перечисленных выше, а также поверку длин прямых участков по
п. 4.2 производить один раз за весь срок службы, если не проводилась реконструкция измерительных трубопроводов.
3. Рекомендуется чаще производить измерение параметров диафрагмы.
4.9. Проверка режимов работы приборов и преобразователей.
4.9.1. В ходе проверки работы приборов и преобразователей измерительного комплекса для систем пораздельного измерения параметров потока и автоматизации процесса решения уравнения количества газа должны быть установлены:
диапазоны изменения входных независимых параметров (

,
Pи,
Pб,
T,

,
Kв и содержания азота и углекислого газа) и среднесуточного расхода газа
Qн, а также их производных (

,

, Re
D,
Kр);
расчетные формулы определения количества газа;
расхождения (суточные и многосуточные) в определении количества газа по двум системам измерения;
стабильность работы отдельных приборов, преобразователей, узлов и систем в целом;
условия эксплуатации и поверки.
4.9.2. Диапазоны изменения входных параметров определяют по результатам анализа суточных диаграмм и записей в журналах наблюдений.
Первоначально определяют изменения независимых параметров:

; (39)

(40)

; (41)

; (42)

, (43)
где Xп - значения параметров, которые обязательно должны использоваться при поверке систем измерения;

- среднее значение параметра за межаттестационный период;

- наибольшее за весь анализируемый период относительное изменение среднесуточного значения параметра;

,

- соответственно верхнее и нижнее среднесуточные значения параметров за весь анализируемый период, полученные в результате планиметрирования диаграмм или периодических измерений;
Xу - значения параметров, которые обязательно должны использоваться при определении значений производных параметров;

- наибольшее за весь анализируемый период суточное относительное изменение мгновенного значения параметра;
Xj+1, Xj - соответственно верхнее и нижнее мгновенные значения параметров за сутки (для параметров, измеряемых периодически, их значения на границах периода, т.е. значения двух последовательных измерений);
mj - количество дней.
Путем подстановки наибольших и наименьших значений параметров
Xу в соответствующие расчетные
формулы (7) -
(12) и
(19) определяют верхние (
Xj+1) и нижние (
Xj) значения производных параметров уравнения количества газа.
Кроме того, в процессе анализа изменений во времени параметров уравнения количества газа должны быть проанализированы аналогичным путем их изменения по измерительным трубопроводам.
4.9.3. Расчетные формулы определения количества газа устанавливают на основании предшествующего анализа изменения параметров и погрешностей их измерений по выполнению
условий (74),
(76),
(77) и
(78), приведенных в прил. 4.
В результате анализа этих условий должны быть определены параметры, которые могут быть вынесены за знаки суммирования результатов изменений по времени и по измерительным трубопроводам, т.е. определены структурные формулы расчета количества газа в соответствии с
прил. 4.
4.9.4. Расхождения в определении количества газа по двум системам измерения.
Анализ расхождений в определении количества газа по двум системам измерения проводят в межаттестационный период в следующем порядке.
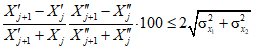
4.9.4.1. По результатам определения количества газа системами пораздельного измерения параметров потока Vпj и автоматизации процесса решения уравнения количества газа Vаj определяют ежесуточные расхождения в результатах:

. (44)
Если

, (45)
где

и

- соответственно средние квадратические погрешности определения
Vп и
Vа (паспортные данные), то необходимо выяснить причину несоблюдения этого условия.
Подобными причинами могут быть: отключение электропитания у системы автоматизации процесса решения уравнения количества газа; преждевременное или запоздалое снятие показаний с ее вычислителя (обычно эти показания должны быть скомпенсированы последующими показаниями); большие изменения параметров уравнения количества газа, не учтенные при обработке диаграмм (диаграммы не обрабатывались по секторам); уход настройки приборов контроля; засорение импульсных линий; несоблюдение условий эксплуатации и т.д.
Если причина несоблюдения
условия (45) установлена, то эти результаты должны быть исключены из дальнейшего рассмотрения.
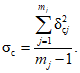
4.9.4.2. Далее, определяют среднее квадратическое расхождение результатов ежесуточного определения количества газа:

(46)
При этом проверяют условие

. (47)
Те значения

, для которых
условие (47) не соблюдено, исключают из дальнейшего рассмотрения как промахи, если их количество не превышает 0,05
mj, и вновь определяют

и соблюдение
условия (47).
Среднее квадратичное расхождение результатов ежесуточного определения количества газа

считают определенным, если выполнено
условие (47).
После того, как известно среднее квадратичное отклонение

, определяют соблюдение
условия (48).

. (48)
Если
условие (48) не соблюдено, то тщательно проверяют правильность определения

и

.
Если

и

определены правильно, а
условие (48) не соблюдено, то назначают дополнительную аттестацию (не раньше чем через шесть месяцев) и к наблюдению за работой измерительного комплекса в межаттестационный период привлекают головную метрологическую службу Мингазпрома.
Если
условие (48) соблюдено, то определяют неучтенные систематические расхождения

, (49)
которые приравнивают к неучтенной систематической погрешности.
После определения

в паспорте должны быть скорректированы погрешности определения количества газа:

(50)
или произведена перенастройка измерительных систем.
4.9.5. Стабильность работы отдельных приборов, преобразователей, узлов и систем в делом определяют на основании предшествующего анализа и записей в журнале наблюдений. При этом тщательно анализируют данные по результатам настройки и изменения метрологических характеристик системы автоматизации процесса решения уравнения количества газа.
Если за межаттестационный период наблюдали изменение метрологических характеристик, то устанавливают межповерочный интервал, равный межаттестационному периоду.
Если изменения метрологических характеристик не наблюдали, то межповерочный интервал будет равен одному году.
В процессе проведения поверок межповерочный интервал может уточняться.
4.9.6. При аттестации должно быть проверено соответствие условий эксплуатации условиям фирменных проспектов и техническим описаниям, а при несоответствии организация, эксплуатирующая измерительный комплекс, должна установить это несоответствие.
При поверке измерительного комплекса должны фиксироваться температура окружающей измерительные преобразователи и приборы среды, а также напряжение электропитания.
Если приборы подвержены вибраций, то должны также фиксироваться ее параметры.
Примечание. Если к периоду проведения первичной аттестации отсутствуют какие-либо данные для проведения анализа по всему п. 4.9, то необходимо провести анализ со слов представителей эксплуатирующей организации, а при проведении вторичной аттестации уточнить ранее предложенные рекомендации. В межаттестационный период организация, эксплуатирующая измерительный комплекс, должна высылать в адрес ЛГН и головной метрологической службы сводку изменения независимых параметров и их производных.
4.10. Проверка герметичности системы.
4.10.1. Для проведения поверки систем пораздельного измерения параметров потока газа и автоматизации процесса решения уравнения количества газа необходимо все самопишущие приборы и измерительные преобразователи отсоединить от измерительного трубопровода и подсоединить к образцовым грузопоршневым манометрам.
После этого необходимо произвести проверку герметичности системы, состоящей из соединительных линий, рабочих и образцовых средств измерений.
Проверку герметичности системы производят путем создания в ней соответствующих проспектным данным давлений и поддержания их в течение 10 мин. После этого выходы грузопоршневых манометров перекрывают и проверяют показания самопишущих приборов и выходные сигналы измерительных преобразователей.
Систему считают герметичной, если в течение 15 мин изменения показаний самопишущих приборов и выходных сигналов измерительных преобразователей не превышают одной четвертой части их основной погрешности.
4.11. Определение метрологических характеристик системы пораздельного контроля.
| | ИС МЕГАНОРМ: примечание. Постановлением Госстандарта России от 02.06.1994 N 160 с 01.01.1995 введен в действие ГОСТ 16920-93. | |
4.11.1. Определение метрологических характеристик самопишущих приборов перепада давления, избыточного давления и температуры, барометра и планиметров производят в соответствии с требованиями действующих стандартов: ГОСТ 8146-75, ГОСТ 15614-70, ГОСТ 8624-71, ГОСТ 18248-72. В результате поверки определяют основные приведенные погрешности

,

,

,

и

(планиметра и интегратора) проверяемых приборов, погрешность скорости вращения (хода) диаграмм

для самопишущих приборов и устанавливают их пригодность для определения количества газа.
4.11.2. Определение метрологических характеристик средств контроля влажности и содержания азота и углекислого газа в природном газе производят по "Методике поверки кулонометрических влагомеров газов" (МИ 47-75) и "Методическим указаниям по нормированию метрологических характеристик, градуировке, поверке хроматографических приборов универсального назначения и оценке точности результатов хроматографических измерений". В результате поверки должны быть определены основные относительные погрешности

,

, и

.
4.11.3. Относительную погрешность определения плотности газа при нормальных условиях пикнометрическим методом

рассчитывают по формуле

. (51)
Относительную погрешность плотномеров нормальной плотности газа определяют по трем - пяти газовым смесям, плотность

которых определена пикнометрическим методом, по формуле

, (52)
где

- нормальная плотность газа, определенная по показаниям плотномера.
Наибольшая погрешность, определенная по
соотношению (52), должна быть принята как относительная погрешность плотномера.
4.12. Определение метрологических характеристик системы автоматического учета газа.
4.12.1. Метрологические характеристики системы автоматизации процесса решения уравнения количества газа (вычислительного устройства с измерительными преобразователями перепада давления, давления, температуры и др.) определяют путем подачи на входы преобразователей соответствующих воздействующих параметров, изменения которых учитывают автоматически, и сопоставления показаний счетчика с расчетными значениями. При этом должна быть обеспечена стабилизация воздействующих параметров (в пределах чувствительности образцовых средств поверок) на время снятия показаний. Изменение показаний счетчика за время снятия показаний определяют по формуле

, (53)
где Qн и Qн - соответственно поверяемое и максимальное значения часового количества газа, м3/ч;

- абсолютная погрешность отсчета времени, мин;

- погрешность вычислительного устройства с измерительными преобразователями, автоматически учитывающими изменение параметров уравнений количества газа в %;
Cб - степень влияния погрешности отсчета на определение погрешности (обычно Cб = 5);
Nв - количество делений счетчика вычислительного устройства, соответствующее максимальному значению часового количества газа.
4.12.1.1. Относительную погрешность вычислительного устройства определяют по времени следования заданного количества импульсов выходного счетчика:

. (54)
Расчетное значение следования заданного количества импульсов выходного счетчика определяют по одной из формул

(55)
или

(56)
где дополнительный индекс р - означает расчетное значение параметра, соответствующее максимальному значению часового количества газа (расходу); параметры без дополнительного индекса р соответствуют параметрам, изменение которых автоматически учитывает вычислительное устройство. Параметры, изменения которых не учитывает вычислительное устройство, приводят также с индексом р, и тогда они не будут входить в
выражения (55) и
(56), так как взаимно сократятся с расчетными значениями.
Относительную погрешность вычислительного устройства определяют при следующих значениях параметров
выражений (55) и
(56):
а) относительное изменение перепада давлений

принимает последовательно следующий ряд значений: 0,09 - 0,25 - 0,49 - 0,7225 - 1,0, при этом всегда соблюдается условие

. (57)
Если
условие (57) не соблюдено, то верхнее и нижнее значения соответственно изменяются;
б) всем параметрам задают расчетные значения, а изменению подвергают только относительный перепад давления (в соответствии с
п. 4.12.1.1.а);
в) последовательно по одному из параметров задают первоначально наименьшее, затем наибольшее значение, а изменению в каждом случае подвергают только относительный перепад давления (в соответствии с
п. 4.12.1.1. а), остальные параметры имеют расчетное значение;
г) всем параметрам задают такие значения, чтобы их произведение принимало последовательно наименьшее и наибольшее значения, а изменению в каждом случае подвергают только относительный перепад (в соответствии с
п. 4.12.1.1. а).
Наибольшая погрешность, рассчитанная по
(54), должна быть принята как относительная погрешность вычислительного устройства в целом.
4.13. Расчет общей погрешности определения количества газа всей измерительной системы.
4.13.1. Расчет общей погрешности определения количества газа измерительных систем производят на основе анализа структуры
выражений (20) и
(21) и погрешностей параметров, входящих в эти выражения.
4.13.1.1. Погрешность определения перепада давления, давления и температуры, если их значения автоматически не учитывает вычислительное устройство, а определяют с помощью самопишущих приборов, рассчитывают по найденным значениям основных погрешностей

,

,

(приведенным значениям), относительной погрешности скорости вращения диаграммы

, приведенной погрешности планиметра (интегратора)

и абсолютной погрешности измерения барометрического давления по следующим формулам:
для перепада давления

; (58)
для абсолютного давления

, (59)
для абсолютной температуры газа

, (60)
где "в" и "н" индексы, означающие соответственно верхний и нижний пределы измерения; "ср" - индекс, означающий среднее значение параметра, определенное по
п. 4.9.2.
Если барометрическое давление не измеряют, то за абсолютную погрешность

его определения принимают среднегодовое отклонение барометрического давления от его значения, которое учитывают при расчете абсолютного давления.
4.13.1.2. Погрешность определения произведения исходного коэффициента расхода газа на диаметр цилиндрической части отверстия диафрагмы рассчитывают по формуле

(61)
при


.
4.13.1.3. Погрешность определения поправочного множителя на шероховатость измерительных труб

устанавливают в процессе аттестации.
4.12.1.4. Погрешность определения поправочного множителя на притупление входной кромки цилиндрической части отверстия диафрагмы

устанавливают в процессе аттестации.
4.13.1.5. Погрешность определения поправочного множителя на число Рейнольдса определяют по формуле

, (62)
где

.
4.13.1.6. Погрешность определения поправочного множителя на расширение газа рассчитывают по формуле

, (63)
где

.
4.13.1.7. Погрешность определения коэффициента сжимаемости газа рассчитывают по формуле

, (64)
где

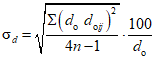
- погрешность определения плотности газа при нормальных условиях;

- методическая погрешность определения коэффициента сжимаемости газа

;

- погрешность определения содержания азота в смеси природного газа;

- погрешность определения содержания углекислого газа в смеси природного газа.
4.13.1.8. Погрешность определения поправочного коэффициента на влажность газа рассчитывают по формуле

. (65)
4.13.1.9. Общую погрешность определения количества газа, протекающего по одному измерительному трубопроводу при пораздельном контроле параметров потока, рассчитывают для
выражения (20) по формуле

; (66)

. (67)
4.13.2. При определении погрешности системы автоматического изменения количества газа, погрешности всех параметров, измерение которых учитывают автоматически, заменяют на одну погрешность

.
4.13.3. Общую относительную погрешность определения количества газа, протекающего по всем измерительным трубопроводам, рассматривают исходя из следующих условий:
для параметров, определяемых для каждого трубопровода в отдельности, погрешности должны быть умножены на коэффициент

, (68)
где

- относительное отклонение перепада давления по каждому трубопроводу от их среднего значения;
погрешность вычислительного устройства не изменяют, если оно производит автоматическое суммирование количества газа по всем измерительным трубопроводам.
4.13.4. Общую предельную погрешность определения количества газа

находят как сумму удвоенной относительной погрешности

и неучтенной систематической погрешности (от смещения осей диафрагмы и трубопровода, наличия выступов и т.д.).
4.14. После проведения поверки всего комплекса в целом и восстановления всех монтажных соединений проверяют герметичность эксплуатационной системы, обмыливая все пневматические соединения. Отсутствие утечки (мыльных пузырей) свидетельствует о готовности измерительного комплекса к эксплуатации.
5. ОФОРМЛЕНИЕ РЕЗУЛЬТАТОВ АТТЕСТАЦИИ И ПОВЕРКИ
5.1. Результаты аттестации или поверки заносят в паспорт по
форме, приведенной в прил. 5, с указанием даты. Паспорт подписывает руководитель организации (подразделения), проводившей аттестацию.
5.2. Оценки о целесообразности закупки по импорту аттестуемых устройств в будущем при несоответствии метрологических характеристик данным фирменных проспектов и об изменении методов поверки на методы, изложенные в фирменных инструкциях, необходимо передать в головную метрологическую службу Мингазпрома - ВНПО "Союзгазавтоматика".
5.3. После проведения окончательной аттестации измерительный комплекс регистрируют в организации, проводившей аттестацию, а основные сведения о результатах аттестации передают в головную метрологическую службу Мингазпрома - ВНПО "Союзгазавтоматика".
На измерительный комплекс должно быть оформлено свидетельство о метрологической аттестации по
форме, приведенной в прил. 6.
УСЛОВНЫЕ ОБОЗНАЧЕНИЯ И ЕДИНИЦЫ ИЗМЕРЕНИЯ
количество газа:
Vн - при нормальных условиях (Pн, Tн, aв = 0), м3;
Vнj - определенное системой пораздельного измерения параметров потока, м3;
Vаj - определенное системой автоматизации процесса решения уравнения количества газа, м3;
V - объем пикнометра, л;
Qн - объемный расход газа при нормальных условиях (Pн, Tн и aв = 0) в момент измерения, м3/ч;
Qв - верхний предел измерения расхода газа при нормальных условиях, м3/ч;

- относительная влажность газа;
P - абсолютное давление газа перед диафрагмой в момент измерения, МПа;

- среднее за межповерочный период значение среднесуточных значений абсолютного давления газа перед диафрагмой, МПа;

- среднесуточное значение абсолютного давления газа перед диафрагмой, МПа;
Pн - нормальное абсолютное давление газа (по
ГОСТ 2939-63 Pн = 0,101325 МПа);
Pб - барометрическое давление, МПа;
Pи - избыточное давление, МПа;

- среднесуточное значение избыточного давления по планиметру, МПа;

- среднее значение среднесуточных значений избыточного давления за межаттестационный период, МПа;
Pк - псевдокритическое давление смеси природного газа, МПа;

- приведенное давление;

- перепад давления на диафрагме в момент измерения, МПа;

- верхний предел измерения перепада давления на диафрагме, МПа;

- среднесуточное значение перепада давления на диафрагме по планиметру, МПа;

- среднее значение среднесуточных значений перепада давления за межаттестационный период, МПа;
Pв п - парциальное давление насыщенного водяного пара в газе, МПа;
Pв.п.м - наибольшее возможное давление водяного пара во влажном газе при температуре t, МПа;
t - температура газа в момент измерения, °C;
T - то же, К;
Tн - температура газа в нормальных условиях (по
ГОСТ 2939-63 Tн = 293,15 К),
К;
Пределы измерения температуры газа прибором, °C:
tн - нижний,
tв - верхний;

- среднесуточное значение температуры газа по планиметру, К;

- среднее значение среднесуточных значений температуры газа, К;
tр - температура точки росы по воде, °C;
tо - температура окружающей среды, °C;

- абсолютная погрешность измерения температуры окружающей среды, °C;
Tк - псевдокритическая температура смеси природного газа, К;
Tп - приведенная температура;
Kс - коэффициент сжимаемости смеси природного газа;

- среднесуточное значение коэффициента сжимаемости смеси природного газа;

- плотность природного газа в рабочих условиях (
P и
T), в момент измерения, кг/м
3;

- среднесуточное значение плотности газа при рабочих условиях (
P и
T), кг/м
3;

- плотность сухого газа при нормальных условиях (
Pн и
Tн), в момент измерения, кг/м
3;

- среднесуточное значение плотности газа при нормальных условиях (
Pн и
Tн), кг/м
3;

- плотность сухого воздуха при нормальных условиях (
Pн и
Tн) = 1,2046 кг/м
3;

- плотность дистиллированной воды (
Pб,
tо), кг/м
3;
D - внутренний диаметр измерительного трубопровода перед диафрагмой, мм;

- среднее значение внутреннего диаметра по всем измерительным трубопроводам, мм;
dо - диаметр цилиндрической части отверстия диафрагмы, мм;

- среднее значение диаметра цилиндрической части отверстия по всем диафрагмам, мм;

- относительный диаметр диафрагмы;
ReD - число Рейнольдса, отнесенное к диаметру D;
Reн - нижнее предельное значение числа Рейнольдса;

- коэффициент расхода диафрагмы;

- исходный коэффициент расхода диафрагмы.
Поправочные множители:

- на расширение газа;
Kш - на шероховатость внутренней поверхности измерительного трубопровода;
Kп - на неостроту входной кромки диафрагмы;
Kр - на число Рейнольдса;
Kв - на влажность газа;

- среднесуточный поправочный множитель на влажность газа;

- показатель адиабаты;

- динамическая вязкость природного газа;

- абсолютная погрешность аналитических весов, г;
Масса пикнометра:
mг - с сухим природным газом;
mо - с сухим воздухом;
mж - с дистиллированной водой;
mj - количество дней;
m - количество интервалов времени осреднения контролируемых параметров;

- интервал времени осреднения контролируемых параметров;

- отчетный период времени определения количества газа, г;

- абсолютная погрешность отсчета времени по образцовому прибору, мин;

- время следования заданного количества импульсов счетчика количества газа, мин;

- расчетное время следования заданного количества импульсов счетчика количества газа, мин;

- средняя квадратическая случайная относительная погрешность, %;

- предельная погрешность, %.
Примечание. При определении давления в килограмм-силах на квадратный сантиметр (кгс/см
2) необходимо учитывать коэффициент перевода мегапаскаля (МПа) в килограмм-силу на квадратный сантиметр. Основные формулы методики при этих условиях даны в
прил. 2.
При определении давления и перепада давления в килограмм-силах на квадратный сантиметр (кгс/см2) в формулах методики должны быть изменены числовые размерные коэффициенты. В этом случае они примут следующий вид:
ЗНАЧЕНИЕ КОЭФФИЦИЕНТОВ СЖИМАЕМОСТИ ПРИРОДНОГО ГАЗА
| | ИС МЕГАНОРМ: примечание. При публикации в официальном издании допущен типографский брак. Текст, не пропечатанный в официальном тексте документа, в электронной версии данного документа выделен треугольными скобками. | |
Pп | Tп |
1,90 | 1,88 | 1,86 | 1,84 | 1,82 |
0,02 | 1,0000 | 1,0000 | 1,0000 | 1,0000 | 1,0000 |
0,04 | 0,9994 | 0,9993 | 0,9993 | 0,9993 | 0,9992 |
0,06 | 0,9986 | 0,9985 | 0,9985 | 0,9984 | 0,9983 |
0,08 | 0,9979 | 0,9977 | 0,9976 | 0,9975 | 0,9974 |
0,10 | 0,9971 | 0,9970 | 0,9968 | 0,9967 | 0,9965 |
| | | | | |
0,12 | 0,9963 | 0,9962 | 0,9960 | 0,9958 | 0,9956 |
0,14 | 0,9956 | 0,9954 | 0,9952 | 0,9949 | 0,9947 |
0,16 | 0,9949 | 0,9946 | 0,9944 | 0,9941 | 0,9938 |
0,18 | 0,9941 | 0,9938 | 0,9935 | 0,9932 | 0,9929 |
0,20 | 0,9934 | 0,9931 | 0,9927 | 0,9924 | 0,9920 |
| | | | | |
0,22 | 0,9927 | 0,9923 | 0,9919 | 0,9916 | 0,9911 |
0,24 | 0,9919 | 0,9915 | 0,9911 | 0,9907 | 0,9903 |
0,26 | 0,9912 | 0,9908 | 0,9903 | 0,9899 | 0,9894 |
0,28 | 0,9905 | 0,9900 | 0,9896 | 0,9891 | 0,9885 |
0,30 | 0,9898 | 0,9893 | 0,9888 | 0,9882 | 0,9876 |
| | | | | |
0,32 | 0,9891 | 0,9885 | 0,9880 | 0,9874 | 0,9868 |
0,34 | 0,9884 | 0,9878 | 0,9872 | 0,9866 | 0,9859 |
0,36 | 0,9877 | 0,9871 | 0,9865 | 0,9858 | 0,9851 |
0,38 | 0,9870 | 0,9864 | 0,9857 | 0,9850 | 0,9843 |
0,40 | 0,9863 | 0,9856 | 0,9849 | 0,9842 | 0,9834 |
| | | | | |
0,42 | 0,9856 | 0,9849 | 0,9842 | 0,9834 | 0,9826 |
0,44 | 0,9849 | 0,9842 | 0,9834 | 0,9826 | 0,9818 |
0,46 | 0,9842 | 0,9835 | 0,9827 | 0,9818 | 0,9809 |
| | ИС МЕГАНОРМ: примечание. Значение во втором столбце таблицы дано в соответствии с официальным текстом документа. | |
|
0,48 | 9,9836 | 0,9828 | 0,9820 | 0,9811 | 0,9801 |
0,50 | 0,9829 | 0,9821 | 0,9812 | 0,9803 | 0,9793 |
| | | | | |
0,52 | 0,9823 | 0,9814 | 0,9805 | 0,9795 | 0,9785 |
0,54 | 0,9816 | 0,9807 | 0,9797 | 0,9787 | 0,9777 |
0,56 | 0,9810 | 0,9800 | 0,9790 | 0,9780 | 0,9769 |
0,58 | 0,9803 | 0,9793 | 0,9783 | 0,9772 | 0,9761 |
0,60 | 0,9797 | 0,9787 | 0,9776 | 0,9765 | 0,9753 |
| | | | | |
0,62 | 0,9790 | 0,9780 | 0,9769 | 0,9757 | 0,9745 |
0,64 | 0,9784 | 0,9773 | 0,9762 | 0,9750 | 0,9737 |
0,66 | 0,9778 | 0,9766 | 0,9755 | 0,9742 | 0,9729 |
0,68 | 0,9772 | 0,9760 | 0,9748 | 0,9735 | 0,9722 |
0,70 | 0,9765 | 0,9753 | 0,9741 | 0,9728 | 0,9714 |
| | | | | |
0,72 | 0,9759 | 0,9747 | 0,9734 | 0,9720 | 0,9706 |
0,74 | 0,9753 | 0,9740 | 0,9727 | 0,9713 | 0,9699 |
0,76 | 0,9747 | 0,9734 | 0,9720 | 0,9706 | 0,9691 |
0,78 | 0,9741 | 0,9728 | 0,9714 | 0,9699 | 0,9684 |
0,80 | 0,9735 | 0,9721 | 0,9707 | 0,9692 | 0,9676 |
| | | | | |
0,82 | 0,9729 | 0,9715 | 0,9700 | 0,9685 | 0,9669 |
0,84 | 0,9723 | 0,9709 | 0,9694 | 0,9678 | 0,9661 |
0,86 | 0,9718 | 0,9703 | 0,9687 | 0,9671 | 0,9654 |
0,88 | 0,9712 | 0,9697 | 0,9681 | 0,9664 | 0,9647 |
| | | | | |
0,90 | 0,9706 | 0,9690 | 0,9674 | 0,9657 | 0,9639 |
0,92 | 0,9700 | 0,9684 | 0,9668 | 0,9650 | 0,9632 |
0,94 | 0,9695 | 0,9678 | 0,9662 | 0,9644 | 0,9625 |
0,96 | 0,9689 | 0,9672 | 0,9655 | 0,9637 | 0,9618 |
0,98 | 0,9684 | 0,9667 | 0,9649 | 0,9630 | 0,9611 |
| | | | | |
1,00 | 0,9678 | 0,9661 | 0,9643 | 0,9624 | 0,9604 |
1,02 | 0,9673 | 0,9655 | 0,9636 | 0,9617 | 0,9597 |
1,04 | 0,9667 | 0,9649 | 0,9630 | 0,9614 | 0,9590 |
1,06 | 0,9662 | 0,9643 | 0,9624 | 0,9604 | 0,9583 |
1,08 | 0,9656 | 0,9638 | 0,9618 | 0,9608 | 0,9576 |
| | | | | |
1,10 | 0,9651 | 0,9632 | 0,9612 | 0,9591 | 0,9570 |
1,12 | 0,9646 | 0,9626 | 0,9606 | 0,9585 | 0,9563 |
1,14 | 0,9641 | 0,9621 | 0,9600 | 0,9579 | 0,9556 |
1,16 | 0,9636 | 0,9615 | 0,9594 | 0,9572 | 0,9550 |
1,18 | 0,9630 | 0,9610 | 0,9589 | 0,9566 | 0,9543 |
| | | | | |
1,20 | 0,9625 | 0,9604 | 0,9583 | 0,9560 | 0,9536 |
1,22 | 0,9620 | 0,9599 | 0,9577 | 0,9554 | 0,9530 |
1,24 | 0,9615 | 0,9594 | 0,9571 | 0,9548 | 0,9524 |
1,26 | 0,9610 | 0,9589 | 0,9566 | 0,9542 | 0,9517 |
1,28 | 0,9605 | 0,9583 | 0,9560 | 0,9536 | 0,9511 |
| | | | | |
1,30 | 0,9601 | 0,9578 | 0,9555 | 0,9530 | 0,9504 |
1,32 | 0,9596 | 0,9573 | 0,9549 | 0,9524 | 0,9498 |
1,34 | 0,9591 | 0,9568 | 0,9544 | 0,9518 | 0,9492 |
1,36 | 0,9586 | 0,9563 | 0,9538 | 0,9513 | 0,9486 |
1,38 | 0,9582 | 0,9558 | 0,9533 | 0,9507 | 0,9480 |
| | | | | |
1,40 | 0,9577 | 0,9553 | 0,9528 | 0,9501 | 0,9474 |
1,42 | 0,9572 | 0,9548 | 0,9522 | 0,9496 | 0,9468 |
1,44 | 0,9568 | 0,9543 | 0,9517 | 0,9490 | 0,9462 |
1,46 | 0,9563 | 0,9538 | 0,9512 | 0,9485 | 0,9456 |
1,48 | 0,9559 | 0,9533 | 0,9507 | 0,9479 | 0,9450 |
| | | | | |
1,50 | 0,9554 | 0,9529 | 0,9502 | 0,9474 | 0,9444 |
1,52 | 0,9550 | 0,9524 | 0,9497 | 0,9468 | 0,9439 |
1,54 | 0,9546 | 0,9519 | 0,9492 | 0,9463 | 0,9433 |
1,56 | 0,9541 | 0,9515 | 0,9487 | 0,9458 | 0,9427 |
1,58 | 0,9537 | 0,9510 | 0,9482 | 0,9452 | 0,9422 |
| | | | | |
1,60 | 0,9533 | 0,9506 | 0,9477 | 0,9447 | 0,9416 |
1,62 | 0,9529 | 0,9501 | 0,9472 | 0,9442 | 0,9411 |
1,64 | 0,9525 | 0,9497 | 0,9468 | 0,9437 | 0,9405 |
1,66 | 0,9521 | 0,9492 | 0,9463 | 0,9432 | 0,9400 |
1,68 | 0,9516 | 0,9488 | 0,9458 | 0,9427 | 0,9394 |
| | | | | |
1,70 | 0,9512 | 0,9484 | 0,9453 | 0,9422 | 0,9389 |
1,72 | 0,9509 | 0,9479 | 0,9449 | 0,9417 | 0,9384 |
1,74 | 0,9505 | 0,9475 | 0,9444 | 0,9412 | 0,9379 |
1,76 | 0,9501 | 0,9471 | 0,9440 | 0,9408 | 0,9374 |
Продолжение
Pп | Tп |
1,80 | 1,78 | 1,76 | 1,74 | 1,72 |
0,02 | 1,0000 | 1,0000 | 1,0000 | 1,0000 | 1,0000 |
0,04 | 0,9992 | 0,9991 | 0,9991 | 0,9990 | 0,9990 |
0,06 | 0,9982 | 0,9981 | 0,9981 | 0,9980 | 0,9979 |
0,08 | 0,9973 | 0,9972 | 0,9970 | 0,9969 | 0,9967 |
0,10 | 0,9963 | 0,9962 | 0,9960 | 0,9958 | 0,9956 |
| | | | | |
0,12 | 0,9954 | 0,9952 | 0,9950 | 0,9947 | 0,9945 |
0,14 | 0,9945 | 0,9942 | 0,9939 | 0,9936 | 0,9933 |
0,16 | 0,9935 | 0,9932 | 0,9929 | 0,9926 | 0,9922 |
0,18 | 0,9926 | 0,9922 | 0,9919 | 0,9915 | 0,9911 |
0,20 | 0,9917 | 0,9913 | 0,9909 | 0,9904 | 0,9900 |
| | | | | |
0,22 | 0,9907 | 0,9903 | 0,9899 | 0,9894 | 0,9889 |
0,24 | 0,9898 | 0,9893 | 0,9888 | 0,9883 | 0,9878 |
0,26 | 0,9889 | 0,9884 | 0,9878 | 0,9873 | 0,9867 |
0,28 | 0,9880 | 0,9874 | 0,9868 | 0,9862 | 0,9856 |
0,30 | 0,9871 | 0,9865 | 0,9859 | 0,9852 | 0,9845 |
| | | | | |
0,32 | 0,9862 | 0,9856 | 0,9849 | 0,9842 | 0,9834 |
0,34 | 0,9853 | 0,9846 | 0,9839 | 0,9831 | 0,9823 |
0,36 | 0,9844 | 0,9837 | 0,9829 | 0,9821 | 0,9812 |
0,38 | 0,9835 | 0,9827 | 0,9819 | 0,9810 | 0,9801 |
0,40 | 0,9827 | 0,9818 | 0,9810 | 0,9800 | 0,9791 |
| | | | | |
0,42 | 0,9818 | 0,9809 | 0,9800 | 0,9790 | 0,9780 |
0,44 | 0,9809 | 0,9800 | 0,9790 | 0,9780 | 0,9770 |
0,46 | 0,9800 | 0,9791 | 0,9781 | 0,9770 | 0,9759 |
0,48 | 0,9792 | 0,9782 | 0,9771 | 0,9760 | 0,9749 |
0,50 | 0,9783 | 0,9773 | 0,9761 | 0,9750 | 0,9738 |
| | | | | |
0,52 | 0,9775 | 0,9764 | 0,9752 | 0,9740 | 0,9728 |
0,54 | 0,9766 | 0,9755 | 0,9743 | 0,9730 | 0,9717 |
0,56 | 0,9757 | 0,9746 | 0,9733 | 0,9720 | 0,9707 |
0,58 | 0,9749 | 0,9737 | 0,9724 | 0,9710 | 0,9696 |
0,60 | 0,9741 | 0,9728 | 0,9715 | 0,9701 | 0,9686 |
| | | | | |
0,62 | 0,9733 | 0,9719 | 0,9706 | 0,9691 | 0,9676 |
0,64 | 0,9724 | 0,9710 | 0,9696 | 0,9681 | 0,9666 |
0,66 | 0,9716 | 0,9702 | 0,9687 | 0,9672 | 0,9656 |
0,68 | 0,9708 | 0,9693 | 0,9678 | 0,9662 | 0,9645 |
0,70 | 0,9700 | 0,9685 | 0,9669 | 0,9653 | 0,9635 |
| | | | | |
0,72 | 0,9692 | 0,9676 | 0,9660 | 0,9643 | 0,9626 |
0,74 | 0,9684 | 0,9668 | 0,9651 | 0,9634 | 0,9616 |
0,76 | 0,9676 | 0,9659 | 0,9642 | 0,9624 | 0,9606 |
0,78 | 0,9668 | 0,9651 | 0,9633 | 0,9615 | 0,9596 |
0,80 | 0,9660 | 0,9642 | 0,9624 | 0,9606 | 0,9586 |
| | | | | |
0,82 | 0,9652 | 0,9634 | 0,9616 | 0,9596 | 0,9576 |
0,84 | 0,9644 | 0,9626 | 0,9607 | 0,9587 | 0,9567 |
0,86 | 0,9636 | 0,9618 | 0,9598 | 0,9578 | 0,9557 |
0,88 | 0,9628 | 0,9610 | 0,9590 | 0,9569 | 0,9547 |
| | | | | |
0,90 | 0,9621 | 0,9601 | 0,9581 | 0,9560 | 0,9538 |
0,92 | 0,9613 | 0,9594 | 0,9573 | 0,9551 | 0,9528 |
0,94 | 0,9606 | 0,9586 | 0,9564 | 0,9542 | 0,9519 |
0,96 | 0,9598 | 0,9578 | 0,9556 | 0,9533 | 0,9509 |
0,98 | 0,9591 | 0,9570 | 0,9547 | 0,9524 | 0,9500 |
| | | | | |
1,00 | 0,9583 | 0,9562 | 0,9539 | 0,9515 | 0,9491 |
1,02 | 0,9576 | 0,9554 | 0,9531 | 0,9507 | 0,9481 |
1,04 | 0,9569 | 0,9546 | 0,9523 | 0,9498 | 0,9472 |
1,06 | 0,9561 | 0,9538 | 0,9514 | 0,9489 | 0,9463 |
1,08 | 0,9554 | 0,9531 | 0,9506 | 0,9481 | 0,9454 |
| | | | | |
1,10 | 0,9547 | 0,9523 | 0,9498 | 0,9472 | 0,9445 |
1,12 | 0,9540 | 0,9516 | 0,9490 | 0,9464 | 0,9436 |
1,14 | 0,9533 | 0,9508 | 0,9482 | 0,9455 | 0,9427 |
1,16 | 0,9526 | 0,9501 | 0,9474 | 0,9447 | 0,9418 |
1,18 | 0,9519 | 0,9493 | 0,9466 | 0,9438 | 0,9409 |
| | | | | |
1,20 | 0,9512 | 0,9486 | 0,9459 | 0,9430 | 0,9400 |
1,22 | 0,9505 | 0,9478 | 0,9451 | 0,9422 | 0,9392 |
1,24 | 0,9498 | 0,9471 | 0,9443 | 0,9414 | 0,9383 |
1,26 | 0,9491 | 0,9464 | 0,9435 | 0,9406 | 0,9374 |
1,28 | 0,9484 | 0,9457 | 0,9428 | 0,9398 | 0,9366 |
| | | | | |
1,30 | 0,9478 | 0,9450 | 0,9420 | 0,9389 | 0,9357 |
1,32 | 0,9471 | 0,9443 | 0,9413 | 0,9382 | 0,9349 |
1,34 | 0,9464 | 0,9436 | 0,9405 | 0,9374 | 0,9340 |
1,36 | 0,9458 | 0,9429 | 0,9398 | 0,9366 | 0,9332 |
1,38 | 0,9451 | 0,9422 | 0,9391 | 0,9358 | 0,9324 |
| | | | | |
1,40 | 0,9445 | 0,9415 | 0,9383 | 0,9350 | 0,9315 |
1,42 | 0,9439 | 0,9408 | 0,9376 | 0,9342 | 0,9307 |
1,44 | 0,9432 | 0,9401 | 0,9369 | 0,9335 | 0,9299 |
1,46 | 0,9426 | 0,9395 | 0,9362 | 0,9327 | 0,9291 |
1,48 | 0,9420 | 0,9388 | 0,9355 | 0,9320 | 0,9283 |
| | | | | |
1,50 | 0,9414 | 0,9381 | 0,9348 | 0,9312 | 0,9275 |
1,52 | 0,9407 | 0,9375 | 0,9341 | 0,9305 | 0,9267 |
1,54 | 0,9401 | 0,9368 | 0,9334 | 0,9297 | 0,9259 |
1,56 | 0,9395 | 0,9362 | 0,9327 | 0,9290 | 0,9252 |
1,58 | 0,9389 | 0,9355 | 0,9320 | 0,9283 | 0,9244 |
| | | | | |
1,60 | 0,9383 | 0,9349 | 0,9313 | 0,9276 | 0,9236 |
1,62 | 0,9378 | 0,9343 | 0,9307 | 0,9269 | 0,9228 |
1,64 | 0,9372 | 0,9337 | 0,9300 | 0,9262 | 0,9221 |
1,66 | 0,9366 | 0,9331 | 0,9293 | 0,9255 | 0,9214 |
1,68 | 0,9360 | 0,9325 | 0,9287 | 0,9248 | 0,9206 |
| | | | | |
1,70 | 0,9355 | 0,9318 | 0,9280 | 0,9241 | 0,9199 |
1,72 | 0,9349 | 0,9312 | 0,9274 | 0,9234 | 0,9192 |
1,74 | 0,9343 | 0,9306 | 0,9268 | 0,9227 | 0,9184 |
1,76 | 0,9338 | 0,9301 | 0,9261 | 0,9220 | 0,9177 |
Продолжение
Pп | Tп |
1,70 | 1,68 | 1,66 | 1,64 | 1,62 |
0,02 | 1,0000 | 1,0000 | 1,0000 | 1,0000 | 1,0000 |
0,04 | 0,9989 | 0,9989 | 0,9988 | 0,9988 | 0,9987 |
0,06 | 0,9978 | 0,9977 | 0,9975 | 0,9974 | 0,9973 |
0,08 | 0,9966 | 0,9964 | 0,9962 | 0,9961 | 0,9959 |
0,10 | 0,9954 | 0,9952 | 0,9950 | 0,9947 | 0,9945 |
| | | | | |
0,12 | 0,9942 | 0,9939 | 0,9937 | 0,9934 | 0,9931 |
0,14 | 0,9930 | 0,9927 | 0,9924 | 0,9920 | 0,9917 |
0,16 | 0,9919 | 0,9915 | 0,9911 | 0,9907 | 0,9902 |
0,18 | 0,9907 | 0,9903 | 0,9898 | 0,9893 | 0,9888 |
0,20 | 0,9895 | 0,9890 | 0,9885 | 0,9880 | 0,9874 |
| | | | | |
0,22 | 0,9884 | 0,9878 | 0,9873 | 0,9867 | 0,9860 |
0,24 | 0,9872 | 0,9866 | 0,9860 | 0,9853 | 0,9846 |
0,26 | 0,9861 | 0,9854 | 0,9847 | 0,9840 | 0,9833 |
0,28 | 0,9849 | 0,9842 | 0,9835 | 0,9827 | 0,9819 |
0,30 | 0,9838 | 0,9830 | 0,9822 | 0,9814 | 0,9805 |
| | | | | |
0,32 | 0,9826 | 0,9818 | 0,9809 | 0,9800 | 0,9791 |
0,34 | 0,9815 | 0,9806 | 0,9797 | 0,9787 | 0,9777 |
0,36 | 0,9804 | 0,9794 | 0,9784 | 0,9774 | 0,9764 |
0,38 | 0,9792 | 0,9782 | 0,9772 | 0,9761 | 0,9750 |
0,40 | 0,9781 | 0,9770 | 0,9760 | 0,9748 | 0,9736 |
| | | | | |
0,42 | 0,9770 | 0,9759 | 0,9747 | 0,9735 | 0,9723 |
0,44 | 0,9759 | 0,9747 | 0,9735 | 0,9722 | 0,9709 |
0,46 | 0,9747 | 0,9735 | 0,9723 | 0,9709 | 0,9695 |
0,48 | 0,9736 | 0,9724 | 0,9710 | 0,9696 | 0,9682 |
0,50 | 0,9725 | 0,9712 | 0,9698 | 0,9684 | 0,9669 |
0,52 | 0,9714 | 0,9701 | 0,9686 | 0,9671 | 0,9655 |
0,54 | 0,9703 | 0,9689 | 0,9674 | 0,9658 | 0,9641 |
| | | | | |
0,56 | 0,9692 | 0,9678 | 0,9662 | 0,9645 | 0,9628 |
0,58 | 0,9682 | 0,9666 | 0,9650 | 0,9633 | 0,9615 |
0,60 | 0,9671 | 0,9655 | 0,9638 | 0,9620 | 0,9602 |
| | | | | |
0,62 | 0,9660 | 0,9644 | 0,9626 | 0,9608 | 0,9589 |
0,64 | 0,9649 | 0,9632 | 0,9614 | 0,9595 | 0,9575 |
0,66 | 0,9639 | 0,9621 | 0,9602 | 0,9583 | 0,9562 |
0,68 | 0,9628 | 0,9610 | 0,9590 | 0,9570 | 0,9549 |
0,70 | 0,9617 | 0,9599 | 0,9579 | 0,9558 | 0,9536 |
| | | | | |
0,72 | 0,9607 | 0,9588 | 0,9567 | 0,9546 | 0,9523 |
0,74 | 0,9596 | 0,9576 | 0,9555 | 0,9533 | 0,9510 |
0,76 | 0,9586 | 0,9565 | 0,9544 | 0,9521 | 0,9497 |
0,78 | 0,9576 | 0,9555 | 0,9532 | 0,9509 | 0,9484 |
0,80 | 0,9565 | 0,9544 | 0,9521 | 0,9497 | 0,9472 |
| | | | | |
0,82 | 0,9555 | 0,9533 | 0,9509 | 0,9485 | 0,9459 |
0,84 | 0,9545 | 0,9522 | 0,9498 | 0,9473 | 0,9446 |
0,86 | 0,9534 | 0,9511 | 0,9486 | 0,9461 | 0,9434 |
0,88 | 0,9524 | 0,9500 | 0,9475 | 0,9449 | 0,9421 |
| | | | | |
0,90 | 0,9514 | 0,9490 | 0,9464 | 0,9437 | 0,9408 |
0,92 | 0,9504 | 0,9479 | 0,9453 | 0,9425 | 0,9396 |
0,94 | 0,9494 | 0,9468 | 0,9443 | 0,9413 | 0,9383 |
0,96 | 0,9484 | 0,9458 | 0,9430 | 0,9401 | 0,9371 |
0,98 | 0,9474 | 0,9448 | 0,9419 | 0,9390 | 0,9359 |
| | | | | |
1,00 | 0,9464 | 0,9437 | 0,9408 | 0,9378 | 0,9346 |
1,02 | 0,9455 | 0,9427 | 0,9397 | 0,9367 | 0,9334 |
1,04 | 0,9445 | 0,9416 | 0,9386 | 0,9355 | 0,9322 |
1,06 | 0,9435 | 0,9406 | 0,9376 | 0,9343 | 0,9310 |
1,08 | 0,9426 | 0,9396 | 0,9365 | 0,9332 | 0,9298 |
| | | | | |
1,10 | 0,9416 | 0,9386 | 0,9354 | 0,9321 | 0,9286 |
1,12 | 0,9407 | 0,9376 | 0,9343 | 0,9310 | 0,9274 |
1,14 | 0,9397 | 0,9366 | 0,9333 | 0,9298 | 0,9262 |
1,16 | 0,9388 | 0,9356 | 0,9322 | 0,9287 | 0,9250 |
1,18 | 0,9378 | 0,9346 | 0,9312 | 0,9276 | 0,9238 |
| | | | | |
1,20 | 0,9369 | 0,9336 | 0,9301 | 0,9265 | 0,9226 |
1,22 | 0,9360 | 0,9326 | 0,9291 | 0,9254 | 0,9215 |
1,24 | 0,9350 | 0,9316 | 0,9281 | 0,9243 | 0,9203 |
1,26 | 0,9341 | 0,9307 | 0,9270 | 0,9232 | 0,9192 |
1,28 | 0,9332 | 0,9297 | 0,9260 | 0,9221 | 0,9180 |
| | | | | |
1,30 | 0,9323 | 0,9287 | 0,9250 | 0,9210 | 0,9169 |
1,32 | 0,9314 | 0,9278 | 0,9240 | 0,9200 | 0,9158 |
1,34 | 0,9305 | 0,9268 | 0,9230 | 0,9189 | 0,9146 |
1,36 | 0,9296 | 0,9259 | 0,9220 | 0,9178 | 0,9135 |
1,38 | 0,9288 | 0,9250 | 0,9210 | 0,9168 | 0,9124 |
| | | | | |
1,40 | 0,9279 | 0,9240 | 0,9200 | 0,9157 | 0,9113 |
1,42 | 0,9270 | 0,9231 | 0,9190 | 0,9147 | 0,9102 |
1,44 | 0,9262 | 0,9222 | 0,9180 | 0,9137 | 0,9091 |
1,46 | 0,9253 | 0,9213 | 0,9171 | 0,9127 | 0,9080 |
1,48 | 0,9244 | 0,9204 | 0,9161 | 0,9116 | 0,9069 |
| | | | | |
1,50 | 0,9236 | 0,9195 | 0,9152 | 0,9106 | 0,9058 |
1,52 | 0,9228 | 0,9186 | 0,9142 | 0,9096 | 0,9048 |
1,54 | 0,9219 | 0,9177 | 0,9133 | 0,9086 | 0,9037 |
1,56 | 0,9211 | 0,9168 | 0,9124 | 0,9076 | 0,9027 |
1,58 | 0,9203 | 0,9160 | 0,9114 | 0,9067 | 0,9016 |
| | | | | |
1,60 | 0,9195 | 0,9151 | 0,9105 | 0,9057 | 0,9006 |
1,62 | 0,9187 | 0,9143 | 0,9096 | 0,9047 | 0,8996 |
1,64 | 0,9179 | 0,9134 | 0,9087 | 0,9037 | 0,8985 |
1,66 | 0,9171 | 0,9126 | 0,9078 | 0,9028 | 0,8975 |
1,68 | 0,9163 | 0,9117 | 0,9069 | 0,9018 | 0,8965 |
| | | | | |
1,70 | 0,9155 | 0,9109 | 0,9060 | 0,9009 | 0,8955 |
1,72 | 0,9147 | 0,9101 | 0,9052 | 0,9000 | 0,8945 |
1,74 | 0,9140 | 0,9092 | 0,9043 | 0,8991 | 0,8935 |
1,76 | 0,9132 | 0,9084 | 0,9034 | 0,8981 | 0,8926 |
Продолжение
Pп | Tп |
1,60 | 1,58 | 1,56 | 1,54 | 1,52 |
0,02 | 1,0000 | 1,0000 | 1,0000 | 1,0000 | 1,0000 |
0,04 | 0,9987 | 0,9986 | 0,9985 | 0,9985 | 0,9984 |
0,06 | 0,9972 | 0,9970 | 0,9969 | 0,9968 | 0,9966 |
0,08 | 0,9957 | 0,9955 | 0,9953 | 0,9951 | 0,9948 |
0,10 | 0,9942 | 0,9939 | 0,9937 | 0,9934 | 0,9931 |
| | | | | |
0,12 | 0,9927 | 0,9924 | 0,9920 | 0,9917 | 0,9913 |
0,14 | 0,9913 | 0,9909 | 0,9904 | 0,9900 | 0,9895 |
0,16 | 0,9898 | 0,9893 | 0,9888 | 0,9883 | 0,9877 |
0,18 | 0,9883 | 0,9878 | 0,9872 | 0,9866 | 0,9860 |
0,20 | 0,9869 | 0,9862 | 0,9856 | 0,9849 | 0,9842 |
| | | | | |
0,22 | 0,9854 | 0,9847 | 0,9840 | 0,9832 | 0,9824 |
0,24 | 0,9839 | 0,9832 | 0,9824 | 0,9815 | 0,9807 |
0,26 | 0,9825 | 0,9816 | 0,9808 | 0,9799 | 0,9789 |
0,28 | 0,98<...>0 | 0,9801 | 0,9792 | 0,9782 | 0,9771 |
0,30 | 0,9796 | 0,9786 | 0,9776 | 0,9765 | 0,9754 |
| | | | | |
0,32 | 0,9781 | 0,9771 | 0,9760 | 0,9748 | 0,9736 |
0,34 | 0,9767 | 0,9756 | 0,9744 | 0,9732 | 0,97<...>9 |
0,36 | 0,9752 | 0,9740 | 0,9728 | 0,9715 | 0,9701 |
0,38 | 0,9738 | 0,9725 | 0,9712 | 0,9698 | 0,9684 |
0,40 | 0,9724 | 0,9710 | 0,9696 | 0,9682 | 0,9666 |
| | | | | |
0,42 | 0,9709 | 0,9695 | 0,9680 | 0,9665 | 0,9649 |
0,44 | 0,9695 | 0,9680 | 0,9665 | 0,9649 | 0,9631 |
0,46 | 0,9681 | 0,9665 | 0,9649 | 0,9632 | 0,9614 |
0,48 | 0,9667 | 0,9650 | 0,9633 | 0,9616 | 0,9597 |
0,50 | 0,9652 | 0,9635 | 0,9618 | 0,9599 | 0,9579 |
| | | | | |
0,52 | 0,9638 | 0,9621 | 0,9602 | 0,9583 | 0,9562 |
0,54 | 0,9624 | 0,9606 | 0,9587 | 0,9566 | 0,9545 |
0,56 | 0,9610 | 0,9591 | 0,9571 | 0,9550 | 0,9527 |
0,58 | 0,9596 | 0,9576 | 0,9555 | 0,9534 | 0,9510 |
0,60 | 0,9582 | 0,9562 | 0,9540 | 0,9517 | 0,9493 |
| | | | | |
0,62 | 0,9568 | 0,9547 | 0,9525 | 0,9501 | 0,9476 |
0,64 | 0,9554 | 0,9532 | 0,9509 | 0,9485 | 0,9459 |
0,66 | 0,9541 | 0,9518 | 0,9494 | 0,9469 | 0,9442 |
0,68 | 0,9527 | 0,9503 | 0,9479 | 0,9453 | 0,9425 |
0,70 | 0,9513 | 0,9489 | 0,9463 | 0,9437 | 0,9408 |
| | | | | |
0,72 | 0,9499 | 0,9474 | 0,9448 | 0,9421 | 0,9391 |
0,74 | 0,9486 | 0,9460 | 0,9433 | 0,9405 | 0,9374 |
0,76 | 0,9472 | 0,9446 | 0,9418 | 0,9389 | 0,9358 |
0,78 | 0,9459 | 0,9431 | 0,9403 | 0,9373 | 0,9341 |
0,80 | 0,9445 | 0,9417 | 0,9388 | 0,9357 | 0,9324 |
| | | | | |
0,82 | 0,9432 | 0,9403 | 0,9373 | 0,9341 | 0,9307 |
0,84 | 0,9418 | 0,9389 | 0,9358 | 0,9325 | 0,9290 |
0,86 | 0,9405 | 0,9375 | 0,9343 | 0,9310 | 0,9274 |
0,88 | 0,9392 | 0,9361 | 0,9328 | 0,9294 | 0,9257 |
| | | | | |
0,90 | 0,9378 | 0,9347 | 0,9313 | 0,9278 | 0,9241 |
0,92 | 0,9365 | 0,9333 | 0,9299 | 0,9263 | 0,9224 |
0,94 | 0,9352 | 0,9319 | 0,9284 | 0,9247 | 0,9208 |
0,96 | 0,9339 | 0,9305 | 0,9269 | 0,9232 | 0,9192 |
0,98 | 0,9326 | 0,9291 | 0,9255 | 0,9216 | 0,9175 |
| | | | | |
1,00 | 0,9313 | 0,9277 | 0,9240 | 0,9201 | 0,9159 |
1,02 | 0,9300 | 0,9264 | 0,9226 | 0,9186 | 0,9143 |
1,04 | 0,9287 | 0,9250 | 0,9211 | 0,9171 | 0,9127 |
1,06 | 0,9274 | 0,9237 | 0,9197 | 0,9155 | 0,9111 |
1,08 | 0,9261 | 0,9223 | 0,9183 | 0,9140 | 0,9095 |
| | | | | |
1,10 | 0,9249 | 0,9210 | 0,9169 | 0,9125 | 0,9079 |
1,12 | 0,9236 | 0,9196 | 0,9155 | 0,9110 | 0,9063 |
1,14 | 0,9223 | 0,9183 | 0,9140 | 0,9095 | 0,9047 |
1,16 | 0,9211 | 0,9170 | 0,9126 | 0,9080 | 0,9032 |
1,18 | 0,9198 | 0,9157 | 0,9112 | 0,9066 | 0,9016 |
| | | | | |
1,20 | 0,9186 | 0,9143 | 0,9099 | 0,9051 | 0,9000 |
1,22 | 0,9174 | 0,9130 | 0,9085 | 0,9036 | 0,8985 |
1,24 | 0,9161 | 0,9117 | 0,9071 | 0,9022 | 0,89<...>9 |
1,26 | 0,9149 | 0,9104 | 0,9057 | 0,9007 | 0,8954 |
1,28 | 0,9137 | 0,9092 | 0,9044 | 0,8993 | 0,8939 |
| | | | | |
1,30 | 0,9125 | 0,9079 | 0,9030 | 0,8978 | 0,8923 |
1,32 | 0,9113 | 0,9066 | 0,9016 | 0,8964 | 0,8908 |
1,34 | 0,9101 | 0,9053 | 0,9003 | 0,8950 | 0,8893 |
1,36 | 0,9089 | 0,9041 | 0,8990 | 0,8936 | 0,8878 |
1,38 | 0,9077 | 0,9028 | 0,8976 | 0,8922 | 0,8863 |
| | | | | |
1,40 | 0,9066 | 0,9016 | 0,8963 | 0,8908 | 0,8848 |
1,42 | 0,9054 | 0,9003 | 0,8950 | 0,8894 | 0,8834 |
1,44 | 0,9042 | 0,8991 | 0,8937 | 0,8880 | 0,8819 |
1,46 | 0,9031 | 0,8979 | 0,8924 | 0,8866 | 0,8804 |
1,48 | 0,9019 | 0,8967 | 0,8911 | 0,8852 | 0,8790 |
| | | | | |
1,50 | 0,9008 | 0,8955 | 0,8898 | 0,8839 | 0,8775 |
1,52 | 0,8997 | 0,8943 | 0,8886 | 0,8825 | 0,8761 |
1,54 | 0,8985 | 0,8931 | 0,8873 | 0,8812 | 0,8747 |
1,56 | 0,8974 | 0,8919 | 0,8860 | 0,8798 | 0,8733 |
1,58 | 0,8963 | 0,8907 | 0,8848 | 0,8785 | 0,8719 |
| | | | | |
1,60 | 0,8952 | 0,8895 | 0,8835 | 0,8772 | 0,8705 |
1,62 | 0,8941 | 0,8884 | 0,8823 | 0,8759 | 0,8691 |
1,64 | 0,8930 | 0,8872 | 0,8811 | 0,8746 | 0,8677 |
1,66 | 0,8920 | 0,8861 | 0,8799 | 0,8733 | 0,8663 |
1,68 | 0,8909 | 0,8849 | 0,8787 | 0,8720 | 0,8650 |
| | | | | |
1,70 | 0,8898 | 0,8838 | 0,8775 | 0,8707 | 0,8636 |
1,72 | 0,8888 | 0,8827 | 0,8763 | 0,8695 | 0,8623 |
1,74 | 0,8877 | 0,8816 | 0,8751 | 0,8683 | 0,8610 |
1,76 | 0,8867 | 0,8805 | 0,8739 | 0,8670 | 0,8597 |
Продолжение
Pп | Tп |
1,50 | 1,48 | 1,46 | 1,44 | 1,42 |
0,02 | 1,0000 | 1,0000 | 1,0000 | 1,0000 | 1,0000 |
0,04 | 0,9983 | 0,9982 | 0,9981 | 0,9981 | 0,9980 |
0,06 | 0,9964 | 0,9963 | 0,9961 | 0,9959 | 0,9957 |
0,08 | 0,9946 | 0,9943 | 0,9941 | 0,9938 | 0,9935 |
0,10 | 0,9927 | 0,9923 | 0,99<...>0 | 0,9916 | 0,9912 |
| | | | | |
0,12 | 0,9909 | 0,9994 | 0,9900 | 0,9895 | 0,9890 |
0,14 | 0,9890 | 0,9885 | 0,9879 | 0,9874 | 0,9667 |
0,16 | 0,9871 | 0,9865 | 0,9859 | 0,9852 | 0,9845 |
0,18 | 0,9853 | 0,9846 | 0,9839 | 0,9831 | 0,9823 |
0,20 | 0,9834 | 0,9826 | 0,9818 | 0,9809 | 0,9800 |
| | | | | |
0,22 | 0,9816 | 0,9807 | 0,9798 | 0,9788 | 0,9778 |
0,24 | 0,9797 | 0,9788 | 0,9777 | 0,9767 | 0,9755 |
0,26 | 0,9779 | 0,9768 | 0,9757 | 0,9745 | 0,9733 |
0,28 | 0,9760 | 0,9749 | 0,9737 | 0,9724 | 0,9710 |
0,30 | 0,9742 | 0,9729 | 0,9716 | 0,9702 | 0,9688 |
| | | | | |
0,32 | 0,9723 | 0,9710 | 0,9696 | 0,9681 | 0,9665 |
0,34 | 0,9705 | 0,9691 | 0,9676 | 0,9660 | 0,9643 |
0,36 | 0,9686 | 0,9671 | 0,9655 | 0,9638 | 0,9620 |
0,38 | 0,9668 | 0,9652 | 0,9635 | 0,9617 | 0,9598 |
0,40 | 0,9650 | 0,9633 | 0,9615 | 0,9596 | 0,9576 |
| | | | | |
0,42 | 0,9631 | 0,9613 | 0,9595 | 0,9574 | 0,9553 |
0,44 | 0,9613 | 0,9594 | 0,9574 | 0,9553 | 0,9531 |
0,46 | 0,9595 | 0,9575 | 0,9554 | 0,9532 | 0,9508 |
0,48 | 0,9577 | 0,9556 | 0,9534 | 0,9511 | 0,9486 |
0,50 | 0,9558 | 0,9537 | 0,9514 | 0,9489 | 0,9464 |
| | | | | |
0,52 | 0,9540 | 0,9518 | 0,9494 | 0,9468 | 0,9441 |
0,54 | 0,9522 | 0,9499 | 0,9474 | 0,9447 | 0,9419 |
0,56 | 0,9504 | 0,9480 | 0,9453 | 0,9426 | 0,9397 |
0,58 | 0,9486 | 0,9460 | 0,9433 | 0,9405 | 0,9374 |
0,60 | 0,9468 | 0,9441 | 0,9413 | 0,9384 | 0,9352 |
| | | | | |
0,62 | 0,9450 | 0,9422 | 0,9393 | 0,9363 | 0,9330 |
0,64 | 0,9432 | 0,9403 | 0,9373 | 0,9342 | 0,9308 |
0,66 | 0,9414 | 0,9384 | 0,9354 | 0,9320 | 0,9285 |
0,68 | 0,9396 | 0,9366 | 0,9334 | 0,9299 | 0,9263 |
0,70 | 0,9378 | 0,9347 | 0,9314 | 0,9279 | 0,9241 |
| | | | | |
0,72 | 0,9360 | 0,9328 | 0,9294 | 0,9258 | 0,9219 |
0,74 | 0,9342 | 0,9309 | 0,9274 | 0,9237 | 0,9197 |
0,76 | 0,9325 | 0,9291 | 0,9254 | 0,9216 | 0,9175 |
0,78 | 0,9307 | 0,9272 | 0,9235 | 0,9195 | 0,9153 |
0,80 | 0,9289 | 0,9253 | 0,9215 | 0,9174 | 0,9131 |
| | | | | |
0,82 | 0,9272 | 0,9235 | 0,9195 | 0,9153 | 0,9<...>09 |
0,84 | 0,9254 | 0,9216 | 0,9176 | 0,9133 | 0,9087 |
0,86 | 0,9237 | 0,9198 | 0,9156 | 0,9112 | 0,9065 |
0,88 | 0,9219 | 0,9179 | 0,9137 | 0,9091 | 0,9043 |
| | | | | |
0,90 | 0,9202 | 0,9161 | 0,9117 | 0,9071 | 0,9021 |
0,92 | 0,9185 | 0,9142 | 0,9098 | 0,9050 | 0,8999 |
0,94 | 0,9167 | 0,9124 | 0,9078 | 0,9030 | 0,8978 |
0,96 | 0,9150 | 0,9106 | 0,9059 | 0,9009 | 0,8956 |
0,98 | 0,9133 | 0,9088 | 0,9040 | 0,8989 | 0,8934 |
| | | | | |
1,00 | 0,9116 | 0,9070 | 0,9021 | 0,8968 | 0,8913 |
1,02 | 0,9099 | 0,9052 | 0,9002 | 0,8948 | 0,8891 |
1,04 | 0,9081 | 0,9034 | 0,8982 | 0,8928 | 0,8870 |
1,06 | 0,9065 | 0,9016 | 0,8963 | 0,8908 | 0,8848 |
1,08 | 0,9048 | 0,8998 | 0,8944 | 0,8888 | 0,8827 |
| | | | | |
1,10 | 0,9031 | 0,8980 | 0,8925 | 0,8867 | 0,8806 |
1,12 | 0,9014 | 0,8962 | 0,8907 | 0,8847 | 0,8784 |
1,14 | 0,8997 | 0,8944 | 0,8888 | 0,8828 | 0,8763 |
1,16 | 0,8981 | 0,8927 | 0,8869 | 0,8808 | 0,8742 |
1,18 | 0,8964 | 0,8909 | 0,8851 | 0,8788 | 0,8721 |
| | | | | |
1,20 | 0,8947 | 0,8892 | 0,8832 | 0,8768 | 0,8700 |
1,22 | 0,8931 | 0,8874 | 0,8814 | 0,8749 | 0,8679 |
1,24 | 0,8915 | 0,8857 | 0,8795 | 0,8729 | 0,8658 |
1,26 | 0,8898 | 0,8840 | 0,8777 | 0,8709 | 0,8637 |
1,28 | 0,8882 | 0,8822 | 0,8758 | 0,8690 | 0,8617 |
| | | | | |
1,30 | 0,8866 | 0,8805 | 0,8740 | 0,8671 | 0,8596 |
1,32 | 0,8850 | 0,8788 | 0,8722 | 0,8651 | 0,8575 |
1,34 | 0,8834 | 0,8771 | 0,8704 | 0,8632 | 0,8555 |
1,36 | 0,8818 | 0,8754 | 0,8686 | 0,8613 | 0,8535 |
1,38 | 0,8802 | 0,8738 | 0,8668 | 0,8594 | 0,8514 |
| | | | | |
1,40 | 0,8786 | 0,8721 | 0,8651 | 0,8575 | 0,8494 |
1,42 | 0,8771 | 0,8704 | 0,8633 | 0,8556 | 0,8474 |
1,44 | 0,8755 | 0,8688 | 0,8615 | 0,8538 | 0,8454 |
1,46 | 0,8740 | 0,8671 | 0,8598 | 0,8519 | 0,8434 |
1,48 | 0,8724 | 0,8655 | 0,8580 | 0,8500 | 0,8414 |
| | | | | |
1,50 | 0,8709 | 0,8639 | 0,8563 | 0,8482 | 0,8395 |
1,52 | 0,8694 | 0,8623 | 0,8546 | 0,8464 | 0,8375 |
1,54 | 0,8679 | 0,8607 | 0,8529 | 0,8445 | 0,8356 |
1,56 | 0,8664 | 0,8591 | 0,8512 | 0,8427 | 0,8336 |
1,58 | 0,8649 | 0,8575 | 0,8495 | 0,8409 | 0,8317 |
| | | | | |
1,60 | 0,8634 | 0,8559 | 0,8478 | 0,8391 | 0,8298 |
1,62 | 0,8619 | 0,8543 | 0,8462 | 0,8374 | 0,8279 |
1,64 | 0,8605 | 0,8528 | 0,8445 | 0,8356 | 0,8260 |
1,66 | 0,8590 | 0,8513 | 0,8429 | 0,8339 | 0,8241 |
1,68 | 0,8576 | 0,8497 | 0,8412 | 0,8321 | 0,8223 |
| | | | | |
1,70 | 0,8562 | 0,8482 | 0,8396 | 0,8304 | 0,8204 |
1,72 | 0,8548 | 0,8467 | 0,8380 | 0,8287 | 0,8186 |
1,74 | 0,8533 | 0,8452 | 0,8364 | 0,8270 | 0,8168 |
1,76 | 0,8520 | 0,8437 | 0,8348 | 0,8253 | 0,8150 |
Продолжение
Pп | Tп |
1,40 | 1,38 | 1,36 | 1,34 | 1,32 |
0,02 | 1,0000 | 1,0000 | 1,0000 | 1,0000 | 1,0000 |
0,04 | 0,9979 | 0,9978 | 0,9977 | 0,9976 | 0,9974 |
0,06 | 0,9955 | 0,9953 | 0,9951 | 0,9948 | 0,9946 |
0,08 | 0,9932 | 0,9928 | 0,9925 | 0,9921 | 0,9918 |
0,10 | 0,9908 | 0,9904 | 0,9899 | 0,9894 | 0,9889 |
| | | | | |
0,12 | 0,9885 | 0,9879 | 0,9873 | 0,9867 | 0,9860 |
0,14 | 0,9861 | 0,9854 | 0,9847 | 0,9840 | 0,9832 |
0,16 | 0,9837 | 0,9830 | 0,9821 | 0,9812 | 0,9803 |
0,18 | 0,9814 | 0,9805 | 0,9795 | 0,9785 | 0,9774 |
0,20 | 0,9790 | 0,9780 | 0,9769 | 0,9758 | 0,9746 |
| | | | | |
0,22 | 0,9767 | 0,9755 | 0,9743 | 0,9730 | 0,9717 |
0,24 | 0,9743 | 0,9730 | 0,9717 | 0,9703 | 0,9688 |
0,26 | 0,9720 | 0,9706 | 0,9691 | 0,9676 | 0,9659 |
0,28 | 0,9696 | 0,9681 | 0,9665 | 0,9648 | 0,9630 |
0,30 | 0,9672 | 0,9656 | 0,9639 | 0,9621 | 0,9601 |
| | | | | |
0,32 | 0,9649 | 0,9631 | 0,9613 | 0,9593 | 0,9572 |
0,34 | 0,9625 | 0,9606 | 0,9587 | 0,9566 | 0,9543 |
0,36 | 0,9602 | 0,9581 | 0,9560 | 0,9538 | 0,9514 |
0,38 | 0,9578 | 0,9557 | 0,9534 | 0,9510 | 0,9485 |
0,40 | 0,9554 | 0,9532 | 0,9508 | 0,9483 | 0,9456 |
| | | | | |
0,42 | 0,9531 | 0,9507 | 0,9482 | 0,9455 | 0,9427 |
0,44 | 0,9507 | 0,9482 | 0,9456 | 0,9428 | 0,9398 |
0,46 | 0,9484 | 0,9457 | 0,9429 | 0,9400 | 0,9369 |
0,48 | 0,9460 | 0,9432 | 0,9403 | 0,9372 | 0,9339 |
0,50 | 0,9436 | 0,9407 | 0,9377 | 0,9344 | 0,9310 |
| | | | | |
0,52 | 0,9413 | 0,9383 | 0,9351 | 0,9317 | 0,9281 |
0,54 | 0,9389 | 0,9358 | 0,9324 | 0,9289 | 0,9251 |
0,56 | 0,9366 | 0,9333 | 0,9298 | 0,9261 | 0,9222 |
0,58 | 0,9342 | 0,9308 | 0,9272 | 0,9233 | 0,9193 |
0,60 | 0,9319 | 0,9283 | 0,9246 | 0,9206 | 0,9163 |
| | | | | |
0,62 | 0,9295 | 0,9258 | 0,9219 | 0,9178 | 0,9134 |
0,64 | 0,9272 | 0,9234 | 0,9193 | 0,9150 | 0,9104 |
0,66 | 0,9248 | 0,9209 | 0,9167 | 0,9122 | 0,9075 |
0,68 | 0,9225 | 0,9184 | 0,9141 | 0,9094 | 0,9045 |
0,70 | 0,9201 | 0,9159 | 0,9114 | 0,9067 | 0,9016 |
| | | | | |
0,72 | 0,9178 | 0,9134 | 0,9088 | 0,9039 | 0,8986 |
0,74 | 0,9155 | 0,9110 | 0,9062 | 0,9011 | 0,8957 |
0,76 | 0,9131 | 0,9085 | 0,9035 | 0,8983 | 0,8927 |
0,78 | 0,9108 | 0,9060 | 0,9009 | 0,8955 | 0,8897 |
0,80 | 0,9085 | 0,9035 | 0,8983 | 0,8927 | 0,8868 |
| | | | | |
0,82 | 0,9061 | 0,9011 | 0,8957 | 0,8899 | 0,8838 |
0,84 | 0,9038 | 0,8986 | 0,8931 | 0,8872 | 0,8809 |
0,86 | 0,9015 | 0,8961 | 0,8904 | 0,8844 | 0,8779 |
0,88 | 0,8992 | 0,8937 | 0,8878 | 0,8816 | 0,8749 |
| | | | | |
0,90 | 0,8968 | 0,8912 | 0,8852 | 0,8788 | 0,8720 |
0,92 | 0,8945 | 0,8888 | 0,8826 | 0,8760 | 0,8690 |
0,94 | 0,8922 | 0,8863 | 0,8800 | 0,8732 | 0,8660 |
0,96 | 0,8899 | 0,8839 | 0,8774 | 0,8705 | 0,8631 |
0,98 | 0,8876 | 0,8814 | 0,8748 | 0,8677 | 0,8601 |
| | | | | |
1,00 | 0,8853 | 0,8790 | 0,8722 | 0,8649 | 0,8571 |
1,02 | 0,8830 | 0,8765 | 0,8696 | 0,8622 | 0,8542 |
1,04 | 0,8808 | 0,8741 | 0,8670 | 0,8594 | 0,8512 |
1,06 | 0,8785 | 0,8717 | 0,8644 | 0,8566 | 0,8483 |
1,08 | 0,8762 | 0,8693 | 0,8618 | 0,8539 | 0,8453 |
| | | | | |
1,10 | 0,8739 | 0,8668 | 0,8592 | 0,8511 | 0,8424 |
1,12 | 0,8717 | 0,8644 | 0,8567 | 0,8484 | 0,8394 |
1,14 | 0,8694 | 0,8620 | 0,8541 | 0,8456 | 0,8365 |
1,16 | 0,8672 | 0,8596 | 0,8515 | 0,8429 | 0,8335 |
1,18 | 0,8649 | 0,8572 | 0,8490 | 0,8401 | 0,8306 |
| | | | | |
1,20 | 0,8627 | 0,8548 | 0,8464 | 0,8374 | 0,8276 |
1,22 | 0,8604 | 0,8525 | 0,8439 | 0,8347 | 0,8247 |
1,24 | 0,8582 | 0,8501 | 0,8413 | 0,8319 | 0,8218 |
| | | | | |
1,26 | 0,8560 | 0,8477 | 0,8388 | 0,8292 | 0,8189 |
1,28 | 0,8538 | 0,8454 | 0,8363 | 0,8265 | 0,8160 |
| | | | | |
1,30 | 0,8516 | 0,8430 | 0,8338 | 0,8238 | 0,8131 |
1,32 | 0,8494 | 0,8407 | 0,8312 | 0,8211 | 0,8102 |
1,34 | 0,8472 | 0,8383 | 0,8287 | 0,8184 | 0,8073 |
1,36 | 0,8450 | 0,8360 | 0,8262 | 0,8157 | 0,8044 |
1,38 | 0,8429 | 0,8337 | 0,8238 | 0,8131 | 0,8015 |
| | | | | |
1,40 | 0,8407 | 0,8314 | 0,8213 | 0,8104 | 0,7986 |
1,42 | 0,8386 | 0,8291 | 0,8188 | 0,8078 | 0,7958 |
1,44 | 0,8364 | 0,8268 | 0,8164 | 0,8051 | 0,7929 |
1,46 | 0,8343 | 0,8245 | 0,8139 | 0,8025 | 0,7901 |
1,48 | 0,8322 | 0,8222 | 0,8115 | 0,7999 | 0,7873 |
| | | | | |
1,50 | 0,8301 | 0,8200 | 0,8091 | 0,7973 | 0,7845 |
1,52 | 0,8280 | 0,8177 | 0,8067 | 0,7947 | 0,7817 |
1,54 | 0,8259 | 0,8155 | 0,8043 | 0,7921 | 0,7789 |
1,56 | 0,8238 | 0,8133 | 0,8019 | 0,7895 | 0,7761 |
1,58 | 0,8218 | 0,8111 | 0,7995 | 0,7870 | 0,7733 |
| | | | | |
1,60 | 0,8197 | 0,8089 | 0,7971 | 0,7844 | 0,7706 |
1,62 | 0,8177 | 0,8067 | 0,7948 | 0,7819 | 0,7679 |
1,64 | 0,8157 | 0,8045 | 0,79<...>5 | 0,7794 | 0,7652 |
1,66 | 0,8137 | 0,8024 | 0,7902 | 0,7769 | 0,7625 |
1,68 | 0,8117 | 0,8002 | 0,7879 | 0,7744 | 0,7598 |
| | | | | |
1,70 | 0,8097 | 0,7981 | 0,7856 | 0,7720 | 0,7572 |
1,72 | 0,8077 | 0,7960 | 0,7833 | 0,7695 | 0,7545 |
1,74 | 0,8058 | 0,7939 | 0,7811 | 0,7671 | 0,7519 |
1,76 | 0,8039 | 0,7918 | 0,7788 | 0,7647 | 0,7493 |
Продолжение
Pп | Tп |
1,30 | 1,28 | 1,26 | 1,24 | 1,22 |
0,02 | 1,0000 | 1,0000 | 1,0000 | 1,0000 | 1,0000 |
0,04 | 0,9973 | 0,9972 | 0,9971 | 0,9970 | 0,9968 |
0,06 | 0,9943 | 0,9941 | 0,9938 | 0,9935 | 0,9932 |
0,08 | 0,9914 | 0,9909 | 0,9905 | 0,9901 | 0,9896 |
0,10 | 0,9884 | 0,9878 | 0,9872 | 0,9866 | 0,9859 |
| | | | | |
0,12 | 0,9854 | 0,9846 | 0,9839 | 0,9831 | 0,9823 |
0,14 | 0,9824 | 0,9815 | 0,9806 | 0,9796 | 0,9786 |
0,16 | 0,9793 | 0,9783 | 0,9772 | 0,9761 | 0,9749 |
0,18 | 0,9763 | 0,9752 | 0,9739 | 0,9726 | 0,9712 |
0,20 | 0,9733 | 0,9720 | 0,9706 | 0,9691 | 0,9675 |
| | | | | |
0,22 | 0,9703 | 0,9688 | 0,9672 | 0,9656 | 0,9638 |
0,24 | 0,9672 | 0,9656 | 0,9638 | 0,9620 | 0,9601 |
0,26 | 0,9642 | 0,9624 | 0,9605 | 0,9585 | 0,9563 |
0,28 | 0,9612 | 0,9592 | 0,9571 | 0,9549 | 0,9526 |
0,30 | 0,9581 | 0,9560 | 0,9537 | 0,9513 | 0,9488 |
| | | | | |
0,32 | 0,9551 | 0,9528 | 0,9503 | 0,9478 | 0,9450 |
0,34 | 0,9520 | 0,9495 | 0,9469 | 0,9442 | 0,9412 |
0,36 | 0,9489 | 0,9463 | 0,9435 | 0,9406 | 0,9374 |
0,38 | 0,9459 | 0,9431 | 0,9401 | 0,9369 | 0,9336 |
0,40 | 0,9428 | 0,9398 | 0,9367 | 0,9333 | 0,9298 |
| | | | | |
0,42 | 0,9397 | 0,9366 | 0,9332 | 0,9297 | 0,9259 |
0,44 | 0,9366 | 0,9333 | 0,9298 | 0,9260 | 0,9220 |
0,46 | 0,9336 | 0,9300 | 0,9263 | 0,9224 | 0,9182 |
0,48 | 0,9305 | 0,9268 | 0,9229 | 0,9187 | 0,9143 |
0,50 | 0,9274 | 0,9235 | 0,9194 | 0,9150 | 0,9104 |
| | | | | |
0,52 | 0,9243 | 0,9202 | 0,9159 | 0,9113 | 0,9065 |
0,54 | 0,9212 | 0,9169 | 0,9124 | 0,9076 | 0,9025 |
0,56 | 0,9180 | 0,9136 | 0,9089 | 0,9039 | 0,8986 |
0,58 | 0,9149 | 0,9103 | 0,9054 | 0,9002 | 0,8946 |
0,60 | 0,9118 | 0,9070 | 0,9019 | 0,8965 | 0,8906 |
| | | | | |
0,62 | 0,9087 | 0,9037 | 0,8984 | 0,8927 | 0,8867 |
0,64 | 0,9056 | 0,9004 | 0,8949 | 0,8890 | 0,8826 |
0,66 | 0,9024 | 0,8971 | 0,8913 | 0,8852 | 0,8786 |
0,68 | 0,8993 | 0,8937 | 0,8878 | 0,8814 | 0,8746 |
0,70 | 0,8962 | 0,8904 | 0,8842 | 0,8776 | 0,8705 |
| | | | | |
0,72 | 0,8930 | 0,8870 | 0,8807 | 0,8738 | 0,8665 |
0,74 | 0,8899 | 0,8837 | 0,8771 | 0,8700 | 0,8624 |
0,76 | 0,8867 | 0,8803 | 0,8735 | 0,8662 | 0,8583 |
0,78 | 0,8836 | 0,8770 | 0,8699 | 0,8624 | 0,8542 |
0,80 | 0,8804 | 0,8736 | 0,8663 | 0,8585 | 0,8501 |
| | | | | |
0,82 | 0,8773 | 0,8703 | 0,8627 | 0,8547 | 0,8460 |
0,84 | 0,8741 | 0,8669 | 0,8591 | 0,8508 | 0,8418 |
0,86 | 0,8709 | 0,8635 | 0,8555 | 0,8469 | 0,8377 |
0,88 | 0,8678 | 0,8601 | 0,8519 | 0,8431 | 0,8335 |
| | | | | |
0,90 | 0,8646 | 0,8567 | 0,8483 | 0,8392 | 0,8293 |
0,92 | 0,8615 | 0,8534 | 0,8447 | 0,8353 | 0,8251 |
0,94 | 0,8583 | 0,8500 | 0,8410 | 0,8313 | 0,8209 |
0,96 | 0,8551 | 0,8466 | 0,8374 | 0,8274 | 0,8166 |
0,98 | 0,85<...>9 | 0,8432 | 0,8337 | 0,8235 | 0,8124 |
| | | | | |
1,00 | 0,8488 | 0,8398 | 0,8301 | 0,8196 | 0,8081 |
1,02 | 0,8456 | 0,8364 | 0,8264 | 0,8156 | 0,8039 |
1,04 | 0,8424 | 0,8330 | 0,8227 | 0,8117 | 0,7996 |
1,06 | 0,8393 | 0,8296 | 0,8191 | 0,8077 | 0,7953 |
1,08 | 0,8361 | 0,8262 | 0,8154 | 0,8037 | 0,7910 |
| | | | | |
1,10 | 0,8329 | 0,8228 | 0,8117 | 0,7998 | 0,7867 |
1,12 | 0,8298 | 0,8194 | 0,8081 | 0,7958 | 0,7824 |
1,14 | 0,8266 | 0,8159 | 0,8044 | 0,7918 | 0,7780 |
1,16 | 0,8234 | 0,8126 | 0,8007 | 0,7878 | 0,7737 |
1,18 | 0,8203 | 0,8091 | 0,7970 | 0,7838 | 0,7693 |
| | | | | |
1,20 | 0,8171 | 0,8057 | 0,7933 | 0,7798 | 0,7650 |
1,22 | 0,8140 | 0,8023 | 0,7897 | 0,7758 | 0,7606 |
1,24 | 0,8108 | 0,7989 | 0,7860 | 0,7718 | 0,7562 |
1,26 | 0,8077 | 0,7955 | 0,7823 | 0,7678 | 0,7519 |
1,28 | 0,8045 | 0,7921 | 0,7786 | 0,7638 | 0,7475 |
| | | | | |
1,30 | 0,8014 | 0,7888 | 0,7750 | 0,7598 | 0,7431 |
1,32 | 0,7983 | 0,7854 | 0,7713 | 0,7558 | 0,7387 |
1,34 | 0,7952 | 0,7820 | 0,7676 | 0,7518 | 0,7344 |
1,36 | 0,7921 | 0,7786 | 0,7640 | 0,7478 | 0,7300 |
1,38 | 0,7889 | 0,7753 | 0,7603 | 0,7438 | 0,7256 |
| | | | | |
1,40 | 0,7858 | 0,7719 | 0,7566 | 0,7398 | 0,7212 |
1,42 | 0,7828 | 0,7686 | 0,7530 | 0,7359 | 0,7169 |
1,44 | 0,7797 | 0,7652 | 0,7494 | 0,7319 | 0,7125 |
1,46 | 0,7766 | 0,7619 | 0,7458 | 0,7279 | 0,7082 |
1,48 | 0,7736 | 0,7586 | 0,7422 | 0,7240 | 0,7038 |
| | | | | |
1,50 | 0,7705 | 0,7553 | 0,7386 | 0,7201 | 0,6995 |
1,52 | 0,7675 | 0,7520 | 0,7350 | 0,7162 | 0,6952 |
1,54 | 0,7645 | 0,7487 | 0,7314 | 0,7123 | 0,6909 |
1,56 | 0,7615 | 0,7454 | 0,7279 | 0,7084 | 0,6866 |
1,58 | 0,7585 | 0,7422 | 0,7243 | 0,7045 | 0,6824 |
| | | | | |
1,60 | 0,7555 | 0,7390 | 0,7208 | 0,7007 | 0,6782 |
1,62 | 0,7526 | 0,7358 | 0,7<...>73 | 0,6969 | 0,6740 |
1,64 | 0,7496 | 0,7326 | 0,7139 | 0,6931 | 0,6699 |
1,66 | 0,7467 | 0,7<...>94 | 0,7104 | 0,6893 | 0,6657 |
1,68 | 0,7438 | 0,7263 | 0,7070 | 0,6856 | 0,6617 |
| | | | | |
1,70 | 0,7410 | 0,7232 | 0,7036 | 0,6819 | 0,6576 |
1,72 | 0,7381 | 0,7201 | 0,7003 | 0,6782 | 0,6536 |
1,74 | 0,7353 | 0,7171 | 0,6969 | 0,6746 | 0,6497 |
1,76 | 0,7325 | 0,7140 | 0,6936 | 0,6710 | 0,6458 |
ОПРЕДЕЛЕНИЕ КОЛИЧЕСТВА ГАЗА ПО РЕЗУЛЬТАТАМ ИЗМЕРЕНИЯ
1. Количество газа, прошедшее через измерительный комплекс, определяют:
непосредственно по показаниям
Vн счетчика суммарного количества газа, если измерительный комплекс автоматически решает одно из
уравнений (20) или
(21);
расчетным путем в соответствии с одной из
формул (69) или
(70) при пораздельном определении каждого из параметров путем планиметрирования суточных диаграмм по секторам выбранного уравнения, т.е. при полном отсутствии автоматизации процесса измерения количества газа:

; (69)

, (70)
причем

; (71)
расчетным путем в соответствии с одной из
формул (72) или
(73) при частичной (неполной) автоматизации процесса измерения количества газа, причем они могут видоизменяться в зависимости от функциональной возможности вычислительного устройства (

- отсчетный период времени):

; (72)

, (73)
где n - количество измерительных трубопроводов;
m - количество интервалов времени j в отсчетном периоде;
черточка над обозначением параметров указывает на то, что значение параметров осреднено за выбранный интервал времени

.
Под знаком интеграла стоят функции, решаемые вычислительным устройством. Изменение параметров, стоящих под интегралом, автоматически учитывают вычислительным устройством.
Знаки суммирования по измерительным трубопроводам и по интервалам времени могут меняться местами.
2. Вычисления количества газа в конкретных случаях могут быть упрощены путем вынесения некоторых параметров за знаки суммирования при соблюдении следующих условий для параметров, изменения которых не учитывает вычислитель.
если в течение всего расчетного периода суммирования наибольшее изменение одноименных параметров во всех измерительных трубопроводах, выраженное в процентах от их среднего значения, не превышает 1/3 погрешности их определения, т.е. при

, (74)
где Xi - любой из параметров уравнений количества газа, а

(75)
то эти параметры могут быть вынесены за знак суммирования по измерительным трубопроводам

; к ним, как правило, относят

,
Kш,
Kп,
dо,

(при

),
Kв,

,

,
P,
T,
Kс (последние четыре параметра в случае, если сечение коллектора равно сумме сечений измерительных трубопроводов);
если в течение всего отсчетного периода определения количества газа

между двумя любыми измерениями одного из параметров наибольшее изменение, выраженное в процентах по отношению к сумме результатов измерений, не превышает одной трети погрешности их определения, т.е. при

, (76)
то эти параметры могут быть вынесены за знак суммирования по времени

; к ним, как правило, относят

,
Kш,
Kп,
dо,
Kр, (последний параметр в случае, если Re
D >= 10
6);
если
условие (76) не соблюдено, но в течение всего отсчетного периода определения количества газа

произведение, выраженное в процентах, наибольших относительных изменений для любых параметров
X' и
X" за один и тот же интервал времени

не превышает удвоенного значения их суммарной погрешности, т.е. при

, (77)
то параметр с наименьшим относительным изменением может быть вынесен за знак суммирования по времени

, к ним, как правило, относятся
Kр,
Kв,

,
Kс и в некоторых случаях
T,

и
P;
если
условие (77) соблюдено не для всех параметров, то для всех оставшихся весь расчетный период определения количества газа необходимо разбить на интервалы времени таким образом, чтобы было соблюдено
условие (71) и следующее:

, (78)
причем нет необходимости добиваться, чтобы все интервалы были равны между собой;
при соблюдении
условий (74),
(76) и
(77) для всех параметров, кроме

, и их пораздельном измерении расчет количества газа можно производить по одной из формул

(79)
или

. (80)
3. При вычислении количества газа средние значения параметров определяют следующим образом:
по результатам планиметрирования диаграммных записей - для параметров, значения которых непрерывно регистрируют: перепада давления

, избыточного давления

и температуры

;
по среднему значению результатов периодических измерений

(81)
причем, если параметр измеряют одни раз в сутки (

,
Pб,
aв,
tр), то среднее значение определяют как среднее арифметическое двух значений (за текущие и предшествующие сутки);
по паспортным данным - для параметров, значения которых определяют в процессе аттестации и поверки: диаметра цилиндрической части отверстия dо, внутреннего диаметра измерительного трубопровода D;
по
формулам (6) -
(19) с применением средних значений параметров, определенных выше для параметров, зависящих от
dо,
D,

,
P,
T,

,
aв, (
tр),
Qн.
СССР
МИНИСТЕРСТВО ГАЗОВОЙ ПРОМЫШЛЕННОСТИ
Всесоюзное производственное объединение
"________________________________"
Производственное объединение "_________________"
__________________ ЛПУ
измерительного комплекса (наименование)
пункта коммерческого учета количества газа
_________________________
(наименование пункта)
Пуск в эксплуатацию с __________________
Периодичность поверки ... раз в год
19__ г.
1. Длины прямых участков измерительных трубопроводов по направлению потока газа, м, приведены в
табл. 1.
Участок | Номер трубопровода |
1 | 2 | 3 | 4 |
От коллектора до крана N 1 | - | - | - | - |
От крана N 1 до колена N 1 | 4,5 | 4,5 | 4,5 | 4,5 |
От колена N 1 до колена N 2, перпендикулярного к колену N 1 | 15 | 13 | 10,5 | 8,4 |
От колена N 2 до диафрагмы | 41 | 39 | 36,5 | 34,4 |
От диафрагмы до колена N 3 | 11,5 | 11,5 | 11,3 | 11,3 |
--------------------------------
<*> Соответствует
п. 4.2 настоящей методики.
2. Местоположения измерительных преобразователей относительно нормализованной диафрагмы по направлению потока газа, м, приведены в
табл 2.
Местоположение и наименование преобразователя | Номер трубопровода |
1 | 2 | 3 | 4 |
Перед диафрагмой | | | | |
Термометр ртутный | 30,8 | 30,8 | 30,8 | 30,8 |
Отбор (+) перепада давления и давления газа | 0,0252 | 0,0250 | 0,0253 | 0,0251 |
За диафрагмой | | | | |
Отбор (-) перепада давления | 0,0248 | 0,0250 | 0,0249 | 0,0251 |
Термометр сопротивления | 5 | 5 | 5 | 5 |
Термометр манометрический | 5,5 | 5,5 | 5,5 | 5,5 |
Манометр показывающий | 7,5 | 7,5 | 7,5 | 7,5 |
Отбор газа для преобразователей плотности газа и определение его влажности с коллектора | С коллектора |
--------------------------------
<*> Соответствует
п. 4.2 настоящей методики.
3. Средние по шести различным диаметральным направлениям в двух поперечных сечениях (на расстоянии 25 мм и 2
D перед и 2
D за диафрагмой) значения внутренних диаметров измерительных трубопроводов, определенные по результатам измерений (протокол N 1 от 15.03.78), приведены в
табл. 3.
Характеристика | Номер трубопровода | Средний диаметр по всем трубопроводам |
1 | 2 | 3 | 4 |
Средние значения внутренних диаметров (за/перед) | 726,92 ------ 727,97 | 727,12 ------ 727,00 | 727,18 ------ 727,24 | 727,14 ------ 726,99 | 727,30 |
Отклонение диаметров от их среднего значения (за/перед) | 0,02 ----- 0,01 | 0,004 ------ 0,007 | 0,01 ----- 0,03 | 0,007 ----- 0,008 |
--------------------------------
<*> Соответствует
п. 4.4 настоящей методики.
4. Средние по различным диаметральным направлениям (четыре направления) значения диаметров отверстий диафрагм, определенные по результатам измерений (протокол N 1 от 15.03.78), приведены в
табл. 4.
Характеристика | Номер трубопровода | Средний диаметр по всем трубопроводам |
1 | 2 | 3 | 4 |
Средние значения диаметров | 489,69 | 489,61 | 489,53 | 489,64 | 489,62 |
Отклонение диаметров от их среднего значения | 0,015 | 0,002 | 0,018 | 0,005 |
--------------------------------
<*> Соответствует
п. 4.5. настоящей методики.
Для всех диафрагм принимают

, так как

, то

;
A = 0,36078;

[(см.
формулу (6)]
5. Диаметры трех секций, мм, и относительные величины выступов (
h/
D·100), %, между фланцами секций прямого участка измерительных трубопроводов на расстоянии 5,4 и 17,7 м от нормализованной диафрагмы приведены в
табл. 5.
Характеристика | Номер трубопровода |
1 | 2 | 3 | 4 |
Диаметр секций | | | | |
первой | 726,84 | 726,84 | 727,55 | 726,31 |
второй | 726,86 | 726,86 | 728,43 | 726,65 |
третьей | 726,89 | 726,89 | 727,40 | 727,10 |
h/D·100 на расстоянии 17,7 м | 0,06 | 0,06 | 0 | 0,02 |
h/D·100 на расстоянии 5,4 м | 0,003 | 0,003 | 0,12 | 0,05 |
--------------------------------
<*> Соответствует
п. 4.6. настоящей методики

.
6. Смещения осей цилиндрической части отверстия диафрагмы и измерительного трубопровода у трубопроводов N 1, 2, 3, 4 равно 0,4; 0,3; 0,2 и 0,5 мм соответственно, что соответствует
п. 4.7 настоящей методики.
7. Поправочный множитель на шероховатость внутренней поверхности измерительных трубопроводов
Kш по
п. 1.2.1 равен единице, так как
D > 300 мм;

.
8. Поправочный множитель входной кромки диафрагмы
Kп по
п. 1.2.1 равен единице, так как
D >= 300 мм;

.
9. Условия эксплуатации средств измерений (см.
п. 4.9.6 настоящей методики).
9.1. Измерительные трубопроводы с диафрагмами, термометры сопротивления, ртутные и манометрические, а также манометры показывающие и преобразователь влажности расположены на открытом воздухе при температуре окружающей среды в диапазоне от -40 до -50 °C.
9.2. Измерительные преобразователи перепада давления, давления, плотности газа при нормальных условиях, самопишущие приборы перепада давления и давления расположены во взрывоопасном помещении при температуре окружающей среды от 10 до 50 °C.
9.3. Вычислительное устройство и самопишущие приборы температуры расположены в обычном помещении при температуре окружающей среды от 20 до 50 °C.
Условия эксплуатации соответствуют условиям фирмы.
10. Диапазоны изменений контролируемых параметров, %, определенные на основе изучения диаграмм самопишущих приборов (протокол N 2 от 20.03.78) и соответствующие техническим характеристикам фирмы приведены в
табл. 6
Контролируемый параметр | Данные за наблюдаемый период |
| Наибольшее изменение относительно среднего значения, %, (41) | Максимальное отклонение параметров за сутки, %, (43) |
Перепад давления на диафрагме  | 0,15 | +/- 10 | 40 |
Абсолютное давление газа P | 50 | +/- 8,0 | 1,0 |
Температура газа T | 308 | +/- 3,0 | 1,5 |
Плотность газа при нормальных условиях  | 0,759 | +/- 1,5 | 0,00 |
Коэффициент сжимаемости газа Kс | 0,899 | +/- 1,0 | 0,003 |
Количество газа в сутки Vн | 60 | +/- 20 | 1,5 |
Коэффициент расширения газа  | 0,9983 | +/- 0,08 | 0,00 |
Поправочный множитель на число Рейнольдса Kр | 1,0003 | +/- 0,01 | 0,00 |
Поправочный множитель на влажность газа Kв | 0,9994 | +/- 0,04 | 0,00 |
Перепады давления на нормализованных диафрагмах возрастают от 14 до 25% в зависимости от возрастания порядковых номеров измерительных трубопроводов, в которые они вмонтированы, т.е. потоки газа по измерительным трубопроводам распределены неравномерно.
Остальные параметры для всех измерительных трубопроводов одинаковы.
11. Метрологические характеристики измерительных средств и погрешности определения параметров уравнений расчета количества газа.
11.1. Поверенные средства измерений приведены в
табл. 7.
Наименование средства измерений | Погрешность |
Вид | Значение по паспорту |
Самопишущие дифманометры фирмы "Фоксборо" (диапазон измерения 0 - 0,25 кгс/см2) | Приведенная записи показаний  , % | 1 |
Относительная скорости перемещения диаграммы  , % | 0,2 |
Самопишущий манометр фирмы "Фоксборо" (диапазон измерения 0 - 80 кгс/см2) | Приведенная записи показаний  , % | 1,0 |
Относительная скорости перемещения диаграммы  , % | 0,2 |
Самопишущий манометрический термометр фирмы "Фоксборо" (диапазон измерений 0 - 100 °C) | Приведенная записи показаний  , % | 1 |
Относительная скорости перемещения диаграммы  , % | 0,2 |
Планиметр корневой фирмы "Фоксборо" | Приведенная интегрирования  , % | 0,3 |
Термометр ртутный с ценой деления 0,1 °C | Абсолютная  , °C | 0,1 |
Весы аналитические ВЛА-200 | Абсолютная  , мг | 0,2 |
Средства измерений компонентного состава | Относительная  ,  , % | 5 |
Барометр МД-49-2 | Абсолютная  , мм. рт. ст. | 0,08 |
Средства измерений влажности газа | Приведенная  , % | 4 |
Метрологические характеристики поверенных средств измерений соответствуют требованиям
пп. 4.11.1 и
4.11.2 настоящей методики.
11.2. Вычислительное устройство с измерительными преобразователями.
Вычислительное устройство с измерительными преобразователями перепада давления, давления и температуры газа решает уравнение следующего типа:

,
где Vн - количество газа, прошедшее через отверстие диафрагмы, м3;
K - постоянная уравнения

;

- перепад давления на диафрагме, кгс/см
2;
P и T - соответственно значения абсолютного давления и температуры газа, кгс/см3 и К;

- бесконечно малый отрезок времени, ч;

- отрезок времени, в течение которого определяют количество газа, ч.
Результаты определения предельной относительной погрешности вычислительного устройства, %, по трем измерениям при каждом из значений

,
P и
T приведены в
табл. 8.
P, кгс/см2 | T, К |  при  , % |
1,0 | 0,7225 | 0,49 | 0,25 | 0,09 |
30,0332 | 323,15 | - | -0,12 | -0,13 | -0,14 | -0,67 |
40,0332 | 323,15 | - | -0,21 | -0,40 | -0,60 | -0,97 |
50,0332 | 293,15 | -0,32 | -0,15 | -0,24 | -0,34 | -1,35 |
| 323,15 | -0,22 | -0,15 | -0,36 | -0,58 | -0,71 |
80,0332 | 323,15 | -0,52 | -0,61 | -0,64 | -0,68 | -1,00 |
50,0332 | 353,15 | +0,17 | +0,11 | +0,31 | +0,52 | +0,96 |
Принимая во внимание диапазон изменений контролируемых параметров (см.
п. 10 паспорта), а также максимальную проектную способность пункта учета количества газа (0,8 млн. м
3/ч x 4 трубы = 76,8 млн. м
3 в сут) и экспериментальные данные определения предельной относительной погрешности (см.
табл. 8 паспорта), делают следующие выводы):
рабочий диапазон измерения количества газа лежит в пределах

;
предельная относительная погрешность решения уравнения для определения количества газа в рабочем диапазоне пропускной способности пункта учета, лежащего в пределах от 50 до 100%, не превышает

(см.
табл. 8 паспорта);
предельная относительная погрешность решения уравнения для определения количества газа в диапазоне от 30 до 100% пропускной способности пункта учета не превышает

(см.
табл. 8 паспорта);
относительная погрешность в обоих диапазонах измерения несет случайный характер, на что указывает наличие отрицательных и положительных значений.
11.3. Плотномер относительной плотности фирмы "Дебро".
Результаты определения предельной погрешности относительной плотности по трем измерениям при помощи плотномера и пикнометрическим методом приведены в
табл. 9.
Метод измерения | Номер измерения |
1 | 2 | 3 |
| 0,660 | 0,718 | 0,757 |
| 0,665 | 0,721 | 0,762 |

соответственно измерениям 0,76, 0,42, 0,66.
11.3.1. Предельная относительная погрешность определения относительной плотности газа при нормальных условиях плотномером фирмы "Дебро" N 76832 составляет

.
11.4. Условия испытаний.
11.4.1. В процессе испытаний вычислительное устройство находилось в помещении с температурой 21 - 23 °C, а измерительные преобразователи перепада давления, давления, плотномер - в помещении с температурой 12 - 13 °C, что соответствует условиям фирмы.
12. Общая относительная погрешность системы определения количества газа.
12.1. Погрешности параметров уравнения количества газа приведены в
табл. 10.
Параметр уравнения количества газа | Источник исходных данных | Средняя квадратическая случайная относительная погрешность, % |
Плотность газа при нормальных условиях  (по пикнометру с V = 0,2 л) | | |
Перепад давления  (по самописцу) | | |
Давление P (по самописцу) | | |
Температура T по самописцу | | |
Коэффициент расхода диафрагмы  | | |
Поправочный множитель на число Рейнольдса Kр | | |
Поправочный множитель на расширение газа  | | |
Коэффициент сжимаемости газа Kс (при N2 = 0,035). | | |
Коэффициент влажности газа  | | |
12.2. Общая предельная относительная погрешность измерения количества газа по
п. 4.13.1.9 системой пораздельного контроля параметров потока

,
12.3. Общая предельная относительная погрешность измерения количества газа по
п. 4.13.1.9 системой автоматического контроля

.
13. Формула расчета количества газа.
Так как для различных измерительных трубопроводов одноименные параметры уравнения, за исключением перепада давления, в любой момент времени равны между собой (см.
п. 10 паспорта), а такие параметры, как
Kп = 1,
Kш = 1,
Kр = 1,00004,

,
dо = 489,60, не изменяют в течение межповерочного интервала, а максимальное попарное произведение относительного изменения параметров за период наблюдения, выраженное в процентах, менее удвоенной погрешности их определения (см. прил. 4
(77), т.е. (см.
табл. 7 паспорта):
или

,
то расчет суточного количества газа по показаниям самопишущих приборов следует производить по формуле, соответствующей
формуле (70) в прил. 4 настоящей методики,

,
где
P,
T,
Kс,

и

определяют ежесуточно.
При этом параметры
P и
T следует брать по третьему измерительному трубопроводу, а при выходе из строя приборов этого трубопровода необходимо брать по второму измерительному трубопроводу. При

,
Kср = 0,94,

,

,

.
Количество газа по показаниям Vс вычислительного устройства рассчитывают по формуле

,
где Vс - показание счетчика вычислителя за сутки.
При этом

,

и
Kс определяют ежемесячно.
14. Заключение.
14.1. Измерительный комплекс удовлетворяет требованиям настоящей методики.
СВИДЕТЕЛЬСТВО N __________
о метрологической аттестации средств измерений
Выдано _____________________________________________________
(наименование организации, выдавшей свидетельство)
Измерительный комплекс для определения количества природного газа с помощью диафрагм с фланцевым отбором давления - фирма "Инстромет" (Голландия).
Назначение: измерительный комплекс предназначен для определения при взаимных коммерческих расчетах количества природного газа, прошедшего через пункт его учета компрессорной станции Александров Гай по газопроводу Оренбург - Новопсков.
Основной параметр | Данные фирмы | Фактические условия эксплуатации |
Абсолютное давление газа, МПа | 6,0 +/- 2,0 | 5,0 +/- 0,5 |
Температура газа, К | 330 +/- 30 | 310 +/- 10 |
Относительная плотность газа при нормальных условиях, кг/м3 | 0,75 +/- 0,50 | 0,76 +/- 0,02 |
Влажность газа | - | - |
Точка росы по воде, °C | 10 +/- 30 | -7,5 +/- 5 |
Содержание азота в газе, % | 1,5 +/- 0,2 | 1,0 +/- 0,1 |
Содержание углекислого газа в газе, % | 1,0 +/- 0,5 | 1,2 +/- 0,2 |
Барометрическое давление, МПа | 0,101 +/- 0,005 | 0,101 +/- 0,003 |
Перепад давления, МПа | 0,014 +/- 0,011 | 0,015 +/- 0,006 |
Относительная погрешность определения количества газа, % | 1,0 | |
Диаметр отверстия диафрагмы, мм | 489,62 | 489,62 |
Предельная относительная погрешность измерения количества газа у систем:
пораздельного контроля параметров потока - 1,2%;
автоматического контроля - 1,0%.
По результатам метрологической аттестации (см.
паспорт прил. 5) измерительный комплекс допускается к применению в качестве коммерческого средства измерения с предельной относительной погрешностью 1,0%.
поверку
Очередную ────────────── провести не позднее
аттестацию
" " ___________ 19 г.
М.П.
Подпись руководителя организации (подразделения),
проводившей аттестацию.