Главная // Актуальные документы // МетодикаСПРАВКА
Источник публикации
Документ опубликован не был
Примечание к документу
Название документа
"МИ 1416-86. Вольтметры электростатические. Методика поверки на переменном токе. ОПД.479.022"
(согласовано ВНИИМ 29.06.1972)
(ред. от 18.03.1986)
"МИ 1416-86. Вольтметры электростатические. Методика поверки на переменном токе. ОПД.479.022"
(согласовано ВНИИМ 29.06.1972)
(ред. от 18.03.1986)
Зам. директора ВНИИМ
Ю.В.ТАРБЕЕВ
29 июня 1972 г.
ВОЛЬТМЕТРЫ ЭЛЕКТРОСТАТИЧЕСКИЕ
МЕТОДИКА ПОВЕРКИ НА ПЕРЕМЕННОМ ТОКЕ
ОПД.479.022
МИ 1416-86
| | Список изменяющих документов (в ред. Изменения N 1, ПД.326-86 18.03.1986 г.) | |
Разработана заводом "Точэлектроприбор". Главный инженер завода В. Пушняк. 3 марта 1972 г.
Настоящая методика распространяется на вновь изготовляемые, выпускаемые из ремонта и находящиеся в эксплуатации вольтметры электростатические с конечным значением рабочей части шкалы от 10 В до 3 кВ классов точности 0,1; 0,2; 0,5; 1,0 и 1,5 и устанавливает методы и средства их поверки на переменном токе в диапазоне частот от 20 Гц до 10 МГц.
1.1. Настоящей методикой устанавливаются следующие операции поверки вольтметров:
а) определение основной погрешности на переменном токе в нормальной области частот;
б) изменение показаний прибора в расширенной области частот;
в) определение основной погрешности на переменном токе на частотах выше верхней границы расширенной области;
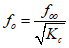
г) определение собственной резонансной частоты вольтметра;
д) определение влияния формы кривой напряжения.
2.1. Для поверки вольтметров на переменном токе в дополнение к средствам поверки, оговоренным в
ГОСТ 8.497-83 и инструкции 184-62 Госстандарта, должна применяться следующая вспомогательная аппаратура:
а) генератор высокой частоты 10 - 150 МГц с погрешностью установки не более +/- 2%;
б) контрольный высокочастотный вольтметр с основной погрешностью в диапазоне частот 10 - 150 МГц не более +/- 10%.
(Изм. 1. ПД 362-86 18.03.86)
2.2. Предпочтительными вспомогательными средствами поверки следует считать:
а) генератор стандартных сигналов Г4-44 с погрешностью установки частоты не более +/- 1%;
б) милливольтметр В3-25 с основной погрешностью в диапазоне частот 10 - 300 МГц не более 10%.
| | ИС МЕГАНОРМ: примечание. Взамен ГОСТ 8711-78 Постановлением Госстандарта России от 10.03.1995 N 182 с 1 января 1996 года введен в действие ГОСТ 8711-93. | |
3.1. При поверке вольтметров должны быть соблюдены условия, указанные в ГОСТ 8711-78 и технических условиях на поверяемый вольтметр.
(Изм. 1. ПД 362-86 18.03.86)
4.1. Основная погрешность вольтметров на переменном токе в нормальной области частот определяется как алгебраическая сумма основной погрешности вольтметра на переменном токе низкой частоты (на любой частоте в диапазоне от 50 до 1000 Гц) и положительной частотной погрешности

в процентах, определяемой по формуле:

, (1)
где f - частота измеряемого напряжения;

- номинальная собственная резонансная частота поверяемого вольтметра, определяемая экспериментально;
U - напряжение, соответствующее поверяемой отметке вольтметра;

- конечное значение рабочей части шкалы поверяемого вольтметра.
При приемочных испытаниях вновь изготовленных, отремонтированных приборов и при поверке приборов, находящихся в эксплуатации, основная погрешность определяется по образцовым приборам и устройствам на постоянном токе и на переменном токе одной из частот в диапазоне от 50 до 1000 Гц, оговоренной в ТУ.
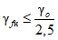
При этом признают годными вольтметры, у которых абсолютная величина алгебраической суммы основной погрешности

на переменном токе (той частоты, при которой производится поверка) и частотной погрешности

на верхней границе нормальной области частот, определяемой по
формуле (1), не превышает абсолютного значения допустимой основной погрешности

, т.е. если выполняется условие:

. (2)
Для приборов классов точности 0,2 и более точных допускается за основную погрешность

при частотах до 1000 Гц принимать погрешность вольтметра на постоянном токе, вычисленную из среднего арифметического результатов измерений при двух полярностях.
При этом значение погрешности должно быть не более

, где

- класс точности прибора.
При государственных и контрольных испытаниях должна проводиться поверка приборов с диапазоном измерений до 300 В во всем рабочем диапазоне частот методом сличения с аттестованными термоэлектрическими преобразователями напряжения.
Примечание. В инструкции по эксплуатации вольтметра должны быть приведены:
формула (1) для определения частотной погрешности, минимальное значение резонансной частоты

, гарантируемое техническими условиями, а также предельные размеры подвижных проводов и их взаимное расположение, при которых нормируются и гарантируются погрешности вольтметра на высоких частотах.
4.2. Изменение показаний вольтметра в расширенной области частот

в процентах при изменении частоты от верхней границы до нормальной области частот, до верхней границы расширенной области определяется по формуле:

, (3)
где

- частотная погрешность вольтметра на верхней границе расширенной области частот, определяемая по
формуле (1);

- частотная погрешность вольтметра на верхней границе нормальной области частот, определяемая по
формуле (1).
4.3. Основная погрешность вольтметров на частотах выше верхней границы расширенной области частот, если она нормируется в технических условиях, определяется по методике
п. 4.1.
4.4. Собственная резонансная частота вольтметров определяется при государственных, типовых и периодических контрольных испытаниях для всех образцов, подвергающихся этим испытаниям, а также для приборов, выпущенных из ремонта.
Собственная резонансная частота вольтметра должна быть не ниже нормируемой в технических условиях.
Собственная резонансная частота вольтметров определяется экспериментально по схеме, изображенной на рисунке.
Схема для определения собственной резонансной частоты:
ГВЧ - генератор высокой частоты (например Г4-44);

- высокочастотный контрольный вольтметр
(например милливольтметр В3-25);
R1 - безреактивный резистор 1000 Ом;
R2 - безреактивный резистор 100 Ом;

- испытуемый прибор; К - ключ.
Изменяя частоту выходного напряжения генератора ГВЧ, устанавливают при разомкнутом ключе К для каждой частоты постоянную величину напряжения на резисторе R2 по вольтметру

, затем замыкают ключ К и отмечают новое показание вольтметра

. По мере приближения к частоте резонанса шунтирующее действие испытуемого вольтметра

при замыкании ключа К усиливается и показания контрольного вольтметра

все более уменьшаются. На частотах выше резонансной шунтирующее действие вольтметра

ослабляется и показания контрольного вольтметра

возрастают.
Собственной резонансной частотой вольтметра

при нулевом положении его указателя является частота первого минимума показаний контрольного вольтметра

при увеличении частоты генератора ГВЧ.
Собственная резонансная частота

вольтметра в конце шкалы определяется по формуле:

, (4)
где

- собственная резонансная частота вольтметра при нулевом положении его указателя, определяемая экспериментально;

- коэффициент увеличения емкости к концу шкалы.
Коэффициент увеличения емкости

определяется по формуле:

, (5)
где

- входная емкость прибора при нулевом положении указателя;

- емкость подводящих проводов;

- приращение емкости при отклонении указателя к концу шкалы.
Все эти величины могут быть измерены с помощью моста переменного тока, причем для измерения величины

необходимо вскрывать вольтметр.
Допускается определять приращение емкости

в пикофарадах без вскрытия вольтметра расчетным путем по известным параметрам измерительного механизма по формуле:

, (6)
где W - момент растяжек по ГОСТ 9444-74, мГсм/90° при длине 100 мм;

- полный угол отклонения подвижной части, рад;

- длина рабочей части растяжки, мм;
U - конечное значение рабочей части шкалы, В.
(Изм 1. ПД:362-86 18.03.86)
Для выпускаемых заводом в настоящее время электростатических вольтметров могут быть приняты коэффициенты, приведенные в таблице.
Заводское обозначение прибора и модификация | Конечное значение рабочей части шкалы, В | Поправочный коэффициент  |
С50/1 | 30 | 1,20 |
С50/2 | 75 | 1,07 |
С50/3 | 150 | 1,05 |
С50/4-9 | 300 - 3000 | 1,00 |
С70М | 10 | 1,20 |
С55 | 50 | 1,20 |
С56 | 30 | 1,30 |
С53/1 | 75 | 1,10 |
С53/2 | 150 | 1,00 |
С53/3-8 | 300 - 3000 | 1,00 |
С700/1-3 | 30 - 75 | 1,10 |
С700/4-5 | 100 - 150 | 1,06 |
С700/6 | 300 | 1,00 |
С700/7 | 600 | 1,00 |
Собственная резонансная частота должна определяться при подключении испытуемого вольтметра в схему проводами, размеры и взаимное положение которых оговорены в технических условиях при нормировании основной погрешности на высоких частотах.
4.5. Изменение показаний электростатических вольтметров

в процентах, вызванное отклонением формы кривой измеряемого напряжения от практически синусоидальной, определяется по формуле:

, (7)
где

- относительное значение n-й гармоники, нормируемое по инструкции 184-62 Госстандарта

;
n - номер гармоники;

- частотная погрешность на верхней границе нормальной области частот, определяемая по
формуле (1).
К МЕТОДИКЕ ПОВЕРКИ ЭЛЕКТРОСТАТИЧЕСКИХ ВОЛЬТМЕТРОВ
НА ПЕРЕМЕННОМ ТОКЕ ОПД.479.022
Завод "Точэлектроприбор" выпускает электростатические вольтметры классов 0,5, 1,0 и 1,5, которые охватывают пределы измерения по напряжению от 3 В до 3 кВ в диапазоне частот от 20 Гц до 5 - 10 МГц.
В настоящее время на заводе разработаны и прошли государственные испытания опытные образцы электростатических вольтметров С500 класса 0,2.
Для поверки электростатических вольтметров такой высокой точности во всем диапазоне измеряемых напряжений и частот в стране отсутствует метрологическая аппаратура.
Создание такой аппаратуры, включая и стабилизированные источники питания высокой частоты (в особенности на высокие напряжения), - задача чрезвычайно сложная, требующая проведения большой научно-исследовательской работы силами крупного научно-исследовательского метрологического института. Разработка такой аппаратуры или ассигнование таких работ заводу не под силу, не говоря уже об аттестации такой аппаратуры. Вполне очевидно, что точность такой аппаратуры может быть установлена только расчетными методами, достаточно обоснованными теоретически.
До настоящего времени определение основной погрешности электростатических вольтметров на высоких частотах производилось расчетно-экспериментальным методом по результатам измерения собственной резонансной частоты вольтметра. Для однопредельных вольтметров, электростатическая схема которых предельно проста (см. рис. 1), правильность определения частотной погрешности по результатам измерения собственной резонансной частоты не вызывает сомнений.

- входная емкость прибора;

- индуктивность подводящих проводов
и внутреннего монтажа.
Рис. 1. Электрическая схема однопредельного
электростатического вольтметра
В электростатических вольтметрах при измерениях на высоких частотах должно быть учтено влияние внешних подводящих проводов, т.е. необходимо нормировать погрешность при определенных их размерах и расположении. Желательно ограничить длину внешних подводящих проводов до минимума с целью получения широкого частотного диапазона точных измерений. С точки зрения эксплуатационной минимальную длину проводников можно принять 30 см. Поэтому и при нормировании погрешностей на высоких частотах следует принять длину подводящих проводов 30 см как максимальную (сечением не менее 0,5 мм2). При этом провода следует бифилировать для получения более определенных их параметров L и C. Как показывают расчеты и опытная проверка, бифилирование проводов снижает частотную погрешность.
Частотная погрешность

вольтметра, вызываемая падением напряжения на индуктивности подводящих проводов (см. векторную диаграмму
рис. 1) определяется выражением:

,
где U - измеряемое напряжение;

- падение напряжения на индуктивности подводящих проводов;

- напряжение, приложенное к измерительному механизму.
Отсюда следует:

,
где

- собственная резонансная частота вольтметра;
f - частота измеряемого напряжения.
Учитывая, что при малых величинах частотной погрешности

, с достаточной степенью точности можно принять

. (1)
Частотная погрешность некомпенсированных электростатических вольтметров всегда положительна.
Напряжение (1) известно в технической литературе (Л1 и Л2).
Резонансная частота прибора определяется формулой:

. (2)
Расчет резонансной частоты по
формуле (2) при экспериментальном определении индуктивности

и входной емкости приборов

, т.е. при допущении, что входная емкость и индуктивность проводов являются сосредоточенными параметрами, может дать только заниженные значения величин собственной частоты, т.е. несколько завышенные значения частотной погрешности при вычислении ее по
формуле (1). При всяком другом определении емкости и индуктивности по цепи частные резонансы ее отдельных участков могут быть только выше.
Более точные результаты можно получить при экспериментальном определении резонансной частоты.
Таким образом, частотная погрешность однопредельного электростатического вольтметра определяется только величинами входной емкости и индуктивности прибора и проводов (включая внутренний монтаж и внешние соединительные провода).
Входная емкость определяется конструкцией прибора, индуктивность подводящих проводов при нормировании их длины, сечения и взаимного расположения является достаточно определенной величиной. Поэтому частотная погрешность прибора определенной конструкции не может выйти за пределы вполне определенной величины.
Частотный диапазон электростатических вольтметров выбран и ограничен так, чтобы частотная погрешность в нормальной области частот не превышала 0,1 - 0,2 от величины допускаемой основной погрешности. Поскольку в однопредельных электростатических вольтметрах никакой компенсации частотной погрешности не производится, то не существует опасности выпуска прибора с "недокомпенсированной" или "перекомпенсированной" частотной погрешностью. Она остается практически одинаковой для всех приборов данной модификации. При приемочных испытаниях достаточно определять основную погрешность на одной из низких частот в нормальной области (в диапазоне 50 - 1000 Гц) и на постоянном токе, а для приборов класса 0,2 и 0,1, ввиду отсутствия аппаратуры, только на постоянном токе. При этом, разумеется, необходимо вводить поправку на частотную погрешность и выпускать приборы с основной погрешностью меньше допустимой на величину частотной погрешности для верхней границы нормальной области частот.
Резонансные частоты рассматриваемых электростатических вольтметров лежат в области частот 30 - 100 МГц. Высокочастотные генераторы для такой области частот, выпускаемые отечественной промышленностью, имеют выходные напряжения не более 1 В. Поэтому собственная резонансная частота электростатических вольтметров с конечным значением шкалы 10 В и выше практически может быть проверена только при нулевом положении указателя, когда входная емкость минимальна.
При полном отклонении указателя прибора, т.е. в конце шкалы, входная емкость несколько увеличивается, а резонансная частота несколько уменьшается.
Поэтому при экспериментальном определении собственной резонансной частоты необходимо вводить поправочный коэффициент.
Оценим приращение входной емкости прибора при отклонении указателя от нулевой отметки шкалы до конечной отметки.
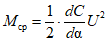
Вращающий момент электростатического вольтметра выражается формулой:

.
В электростатических вольтметрах при небольших углах поворота подвижной части функция

в пределах полного угла

остается практически постоянной и шкала имеет практически квадратичный характер, поэтому можно принять:

,
откуда

, (3)
где

- конечное значение рабочей части шкалы.
Вращающий момент прибора легко определяется по применяемым растяжкам:

, (4)
где W - табличный момент растяжек по ГОСТ 9444-74 при длине l = 100 мм и угле закручивания 90°;

- рабочая длина одной растяжки.
(Изм. 1 ПД.362-86 18.03.86)
Коэффициент увеличения емкости

будет равен:

, (5)
где

- входная емкость прибора;

- емкость подводящих проводов.
Резонансная частота

в конце шкалы будет равна

, (6)
где

- резонансная частота прибора, определенная экспериментально при нулевом положении указателя.
Следовательно, в расчет следует принимать значение резонансной частоты, вычисляемое по
формуле (6).
| | ИС МЕГАНОРМ: примечание. В официальном тексте документа, видимо, допущена опечатка: таблица 4 в тексте документа отсутствует. | |
Для рассматриваемой группы вольтметров в
табл. 1 приведены величины емкости

при нулевом положении указателя, емкость

бифилированных проводов длиной 30 см, сечением 0,5 мм2 и приращение емкости

при полном угле отклонения подвижной части

, вычисленное по
формуле (3). При этом вращающий момент взят по реально применяемым растяжкам. Экспериментальная проверка для ряда модификаций приборов подтверждает расчетные значения

. В табл. 4 приведен и добавочный коэффициент

.
Заводское обозначение прибора | Конечное значение шкалы, В | Вращающий момент  | Полный угол отклонения  | Приращение емкости  | Начальная емкость  | Емкость подводящих проводов  | Коэффициент увеличения емкости к концу шкалы  |
С50 | 30 | 0,063 | 9,5 | 2,4 | 6,5 | 9 | 1,155 |
75 | 0,125 | 10 | 0,78 | 6,0 | 9 | 1,052 |
150 | 0,32 | 10 | 0,5 | 5,8 | 9 | 1,034 |
300 | 0,56 | 10 | 0,22 | 5,3 | 9 | 1,015 |
450 | 0,63 | 10 | 0,11 | 4,6 | 9 | 1,008 |
600 | 0,56 | 10 | 0,06 | 3,6 | 9 | 1,005 |
1000 | 0,45 | 10 | 0,016 | 3,5 | 9 | 1,001 |
1500 | 0,45 | 10 | 0,007 | 3,5 | 9 | 1,0006 |
3000 | 0,45 | 10 | 0,002 | 3,4 | 9 | 1,0002 |
С70М | 10 | 0,032 | 4,5 | 5,0 | 25 | 9 | 1,147 |
С55 | 50 | 0,38 | 10 | 5,8 | 26 | 9 | 1,151 |
С56 | 30 | 0,19 | 9,5 | 7,0 | 20 | 9 | 1,24 |
С500 | 150 | 1,27 | 15 | 8,0 | 20 | 9 | 1,10 |
300 | 1,27 | 15 | 0,75 | 20 | 9 | 1,026 |
С58 | 75 | 0,34 | 10 | 2,18 | 28 | 9 | 1,07 |
150 | 0,34 | 10 | 0,54 | 20 | 9 | 1,019 |
300 | 0,34 | 10 | 0,14 | 20 | 9 | 1,0044 |
450 | 0,34 | 10 | 0,06 | 18,5 | 9 | 1,0022 |
600 | 0,34 | 10 | 0,084 | 17,5 | 9 | 1,0018 |
1000 | 0,53 | 10 | 0,02 | 5,2 | 9 | 1,0014 |
1500 | 0,75 | 10 | 0,012 | 4,6 | 9 | 1,0009 |
3000 | 1,17 | 10 | 0,005 | 4,8 | 9 | 1,0004 |
С700 | 30 | 0,117 | 5,25 | 2,34 | 22 | 9 | 1,076 |
50 | 0,29 | 5,25 | 1,12 | 22 | 9 | 1,068 |
75 | 0,66 | 5,25 | 2,15 | 22 | 9 | 1,070 |
100 | 0,59 | 5,25 | 1,08 | 18 | 9 | 1,040 |
150 | 0,76 | 10,5 | 1,22 | 16,8 | 9 | 1,047 |
300 | 1,5 | 10,5 | 0,61 | 14,8 | 9 | 1,026 |
600 | 1,17 | 10,5 | 0,12 | 12,6 | 9 | 1,006 |
Величина

может быть определена экспериментально, но при этом требуется вскрытие прибора. Для закрытого прибора величина

может быть определена только расчетом по
формуле (3).
Как следует из
табл. 1 поправочный коэффициент

следует вводить только для вольтметров на напряжения до 150 В. Для модификаций на более высокие напряжения этот коэффициент практически мало отличается от единицы и его можно не учитывать.
Как показали расчеты и опытная проверка, частотная погрешность снижается при бифилировании проводов. Увеличение емкости подводящих проводов при этом компенсируется уменьшением их индуктивности. Однако емкость проводов находится на входе измерительной цепи прибора и мало влияет на его резонансную частоту, а следовательно, на частотную погрешность при измерениях. Она уменьшает входное сопротивление прибора.
Поэтому следует нормировать погрешность прибора на высоких частотах при бифилированных проводах, оговаривая это в технических условиях на приборы и в инструкции по эксплуатации.
Проверка показывает, что из радиочастотных кабелей несколько меньшую продуктивность чем бифилирование провода, имеет только кабель РК-150-7-12. Емкость в обоих случаях практически одинакова.
Наконец,
формула (1) выражает относительную частотную погрешность, которая практически постоянна по шкале, а в действительности даже уменьшается к началу шкалы в связи с уменьшением коэффициента

. Абсолютная же частотная погрешность уменьшается к началу шкалы. Поэтому при определении основной погрешности по всей шкале нужно вычислить приведенную частотную погрешность по формуле:

, (7)
где U - напряжение, соответствующее поверяемой отметке;

- конечное значение рабочей части шкалы.
Таким образом, полученное
выражение (7) позволяет определить максимально возможную частотную погрешность на любой отметке шкалы при любой частоте рабочего диапазона.
В технических условиях следует нормировать минимальное значение собственной резонансной частоты прибора и пользоваться им при расчете частотной погрешности по
формуле (7). Эту же формулу следует приводить и в инструкции по эксплуатации для потребителя и для правильного проведения периодических поверок приборов органами Госнадзора.
Действительное же значение резонансной частоты должно быть не ниже минимального значения, оговоренного в технических условиях, при этом действительные значения частотных погрешностей могут быть только меньше рассчитываемых по
формуле (7). Действительное значение резонансной частоты должно проверяться при государственных типовых и контрольных испытаниях.
Исследование ряда схем для экспериментального определения собственной резонансной частоты показало, что наиболее правильные результаты дает схема на
рис. 2.
ГВЧ - генератор высокой частоты (например, Г4-44);

- высокочастотный милливольтметр (например, В3-25),
R1 - безреактивный резистор 1000 Ом;
R2 - безреактивный резистор 100 Ом;

- испытуемый прибор;
К - ключ
Рис. 2. Схема для определения собственной резонансной
частоты прибора
Ввиду того, что сопротивление R1 значительно больше сопротивления R2, схема работает в режиме заданного тока и шунтирование сопротивления R2 вольтметром

практически не меняет нагрузки генератора ГВЧ. Изменяя частоту напряжения генератора, устанавливают для каждой частоты постоянную величину напряжения на R2 по вольтметру

при разомкнутом ключе К, а затем замыкают ключ и отмечают показания прибора

. По мере приближения к резонансной частоте шунтирующее действие вольтметра

при замыкании ключа К усиливается и показания вольтметра

уменьшаются. После прохождения резонансной частоты шунтирующее действие испытуемого вольтметра

ослабляется и показания вольтметра

увеличиваются. Резонансная частота соответствует минимальному показанию вольтметра

. Следует отметить, что в цепи испытуемого вольтметра может наблюдаться несколько резонансных минимумов, поскольку на более высоких частотах возможны частные резонансы на отдельных участках цепи. Во внимание принимается первый минимум кривой, соответствующей частоте всей системы, т.е. прибора, подводящими проводами.
Результаты расчета резонансной частоты по
формуле (2) (по расчетно-экспериментальным результатам определения

и

) и экспериментального определения резонансной частоты по схеме
рис. 2 практически совпадают.
До настоящего времени правильность расчетно-экспериментального метода определения частотной погрешности не могла быть подтверждена опытным путем ввиду отсутствия в стране необходимой аппаратуры.
Поверка вольтметров С500 класса 0,2 во ВНИИМ на опытной установке института (Л5) показала полное совпадение результатов опытной проверки частотной погрешности и расчетно-экспериментального метода: в данном случае можно считать, что осуществлена взаимная поверка двух независимых методов точного измерения напряжения на высоких частотах метода термоэлектрического компарирования и метода измерения электростатическим вольтметром. Оба метода в определенной области частот можно считать равноправными, и следует рекомендовать электростатические вольтметры в качестве образцовых для определения частотных погрешностей приборов других систем, поскольку частотная погрешность электростатических вольтметров в области звуковых частот ничтожно мала.
В прямой связи с частотной погрешностью находится и зависимость показаний электростатических вольтметров от формы кривой измеряемого напряжения. Измерение показаний прибора при наличии в кривой высоких гармоник определяется формулой (Л3):

, (8)
где

- относительное значение n-й гармоники;

- частотная погрешность на верхней границе нормальной области частот;
n - номер гармоники.
Из
формулы (8) следует, что для нормируемого по инструкции 184-62 Госстандарта 10%-го содержания высоких гармоник частотная погрешность (для 5 гармоники) должна удовлетворять условию:

,
где

- допустимая основная погрешность прибора.
(Изм. 1 ПД.326-86 18.03.86)
Верхняя граница нормальной области частот в электростатических приборах выбирается из условия:

,
| | ИС МЕГАНОРМ: примечание. Взамен ГОСТ 8711-78 Постановлением Госстандарта России от 10.03.1995 N 182 с 1 января 1996 года введен в действие ГОСТ 8711-93. | |
поэтому изменение показаний прибора не превысит величины, допускаемой по ГОСТ 8711-78.
(Изм. 1 ПД.326-86 18.03.86)
Это позволяет для электростатических вольтметров не нормировать в технических условиях влияние формы кривой напряжения или, по крайней мере, ограничиваться расчетной поверкой по
формуле (8).
Против такой методики определения влияния формы кривой напряжения для приборов С53 ВНИИМ не возражал и подтвердил это письмом N 01-29-4127 от 24/III-66 г., одновременно направив копию письма в Госстандарт. На основании письма эта методика введена в технические условия на все электростатические вольтметры, выпускаемые нашим заводом.
1. В стране отсутствует метрологическая аппаратура для поверки точных электростатических вольтметров до напряжений 3 кВ на переменном токе в диапазоне частот до 5 - 10 МГц.
Отныне образцы аппаратуры, разработанные на ВНИИМ, позволяют производить точные измерения напряжений до 150 В и не охватывают всего диапазона измерений электростатических вольтметров по напряжению.
2. Опытная проверка частотной погрешности электростатических вольтметров С500 класса 0,2 на опытных образцах метрологической аппаратуры ВНИИМ подтвердила правильность расчетно-экспериментального метода определения частотной погрешности по собственной резонансной частоте прибора, рассчитанной и поверенной экспериментально.
3. Ввиду отсутствия в стране образцовой метрологической аппаратуры для поверки электростатических вольтметров во всем диапазоне частот и измеряемых напряжений разработана и представляется на утверждение в Госкомитете стандартов обоснованная здесь расчетно-экспериментальная методика определения основной погрешности на высоких частотах.
4. При государственных и типовых испытаниях электростатических вольтметров целесообразно производить взаимную сверку показаний вольтметров и образцовой аппаратуры ВНИИМ. Такую сверку следует производить и после изменения конструкции приборов, если это изменение может влиять на их частотные характеристики.
5. При приемочных испытаниях достаточно производить определение основной погрешности только на постоянном токе, а для приборов класса 0,5 и менее точных и на переменном токе низкой частоты в диапазоне 50 - 1000 Гц, вводя при этом поправку на частотную погрешность.
1. ПИГИН С.М. Частотная погрешность электростатических приборов. "Тр. ВНИИЭН" вып. 5 1962 г.
2. Электростатические приборы. Под редакцией С.М. Пигина. ОНТИ. Москва 1967 г.
3. ПИГИН С.М. Влияние формы кривой напряжения на электростатические вольтметры. "Измерительная техника", 1963 г. N 9.
4. Рождественская Т.Б. Электрические компараторы для точных измерений тока, напряжения и мощности. М. Стандартиз, 1964 г.
5. Р.Ф. АКНАЕВ, Т.Б. РОЖДЕСТВЕНСКАЯ. Новая аппаратура для измерения действующего значения напряжения в широком диапазоне частот. "Измерительная техника" N 5, 1970 г.
Приложение. Протокол испытаний электростатических вольтметров С500 класса 0,2 на переменном токе всей рабочей области частот на 7 листах.
Ведущий инженер
А.КИРЕЕНКО
Начальник лаборатории
показывающих приборов
И.ХОДЕЕВ
Главный инженер СКБ
М.ОГОРЕЛИН