Главная // Актуальные документы // МетодикаСПРАВКА
Источник публикации
М.: Издательство стандартов, 1974
Примечание к документу
Название документа
"МИ 14-74. Методика поверки стробоскопических осциллографов"
"МИ 14-74. Методика поверки стробоскопических осциллографов"
МЕТОДИКА
ПОВЕРКИ СТРОБОСКОПИЧЕСКИХ ОСЦИЛЛОГРАФОВ
МИ 14-74
Настоящая методика распространяется на стробоскопические осциллографы, работающие в полосе частот до 5 - 6 ГГц, и устанавливает методы и средства их первичной и периодической поверок.
1. ОПЕРАЦИИ ПОВЕРКИ И СРЕДСТВА ПОВЕРКИ
1.1. При проведении поверки должны выполняться операции и применяться средства поверки, указанные в табл. 1.
Номер п/п | Наименование операций | Номера пунктов методики | Средства поверки и их нормативно-технические характеристики |
1 | Внешний осмотр и опробование | | Генератор импульсов Г5-53 |
Длительность импульсов 0,3 мкс - 1 с Длительность фронта не более 15 нс Амплитуда импульсов не менее 10 В Неравномерность вершины не более 1% |
2 | Определение среднеквадратичного значения уровня собственных шумов | | Генератор импульсов Г5-53 Электронный вольтметр В3-20 |
Пределы измерений 2 мВ - 300 В Диапазон частот 50 Гц - 200 кГц Погрешность измерения +/- 1,5% Входное сопротивление 1 МОм |
| | | Осциллограф С1-65 |
| | | Полоса пропускания 35 МГц Коэффициент отклонения 10 В/дел. - 0,005 В/дел. Коэффициент развертки 50 мс/дел. - 0,01 мкс/дел. |
3 | Определение погрешности калиброванного коэффициента отклонения | | | Генератор импульсов Г5-53 Цифровой вольтметр ВК2-20 |
Пределы измерений 1 мкВ - 200 В Погрешность измерений +  %, где Uпр - предел измерения; Ux - величина измеряемого напряжения Входное сопротивление 1 - 100 МОм |
| Определение погрешности измерения напряжения | |
5 | Определение параметров переходной характеристики каналов вертикального отклонения: времени нарастания выброса на вершине времени установления неравномерности установившегося значения спада установившегося значения | | Генератор импульсов Г5-53 Генератор специальной формы Г6-17 |
Длительность плоской части вершины не менее 5 нс Длительность фронта не более 150 нс Время установления не более 0,5 нс Неравномерность вершины не более 3% |
6 | Определение коэффициента отражения от входа канала вертикального отклонения | | Генератор специальной формы Г6-17 |
7 | Определение временной нестабильности развертки | | Генератор специальной формы Г6-17 |
8 | Определение погрешности калиброванного коэффициента развертки | | Генератор сигналов Г4-102 |
Диапазон частот 0,1 - 50 МГц Погрешность установки частоты 1% Выходное напряжение на нагрузке 50 Ом 0,5 мкВ - 0,5 В |
| | | Генератор сигналов Г4-116 |
| | | Диапазон частот 4 - 300 МГц Погрешность установки частоты 1% Выходное напряжение 0,1 мкВ - 0,5 В |
| | | Генератор сигналов Г4-128 |
| | | Диапазон частот 0,3 - 1,25 ГГц Погрешность установки частоты 0,5% Выход 1 Вт |
| | | Генератор сигналов Г4-94 |
| | | Диапазон частот 0,85 - 1,8 ГГц Погрешность установки частоты 1% Выход 5 Вт на нагрузке 50 Ом |
| | | Генератор сигналов Г4-95 |
| | | Диапазон частот 1,78 - 3 ГГц Погрешность установки частоты 1% Выход 1 Вт на нагрузке 50 Ом |
| | | Генератор сигналов Г4-96 |
| | | Диапазон частот 3 - 5 ГГц Погрешность установки частоты 1% Выход 1 Вт на нагрузке 50 Ом |
| | | Генератор сигналов Г4-97 |
| | | Диапазон частот 5 - 7,5 ГГц Погрешность установки частоты 0,5% Выход 0,1 Вт на нагрузке 50 Ом |
| | | Синхронизатор Я4С-20 |
| | | Диапазон синхронизации до 5 ГГц |
| | | Короткозамкнутая подвижная нагрузка измерительной линии Р1-22 |
| | | Диапазон частот 1 - 7,5 ГГц Волновое сопротивление 50 Ом Собственный к. с. в. не более 1,04 |
| | | Генератор специальной формы Г6-17 |
| | | Генераторы сигналов: |
| Определение погрешности измерения временных параметров | | Г4-102, Г4-116, Г4-128, Г4-94, Г4-95, Г4-96, Г4-97 |
| | | Синхронизатор Я4С-20 |
| | | Генераторы сигналов: |
| Определение полосы пропускания каналов вертикального отклонения | | Г4-37А, Г4-94, Г4-95, Г4-96, Г4-97 |
| | | Коаксиальные вентили: |
| | | Тип Э8-8 Э8-13 Э8-15 Э8-16 Э8-17 | Диапазон частот, ГГц 0,9 - 1,8 1,5 - 3,0 2 - 4 4 - 7 7 - 10 |
| | | Измеритель мощности термисторный МЗ-22 |
| | | Пределы измерения 12 - 6000 мкВт Основная погрешность моста термисторного  %, где A - предел измерения в мкВт; P - измеряемая мощность в мкВт |
| | | Термисторные преобразователи: |
| | | Тип М5-29 М5-30 М5-31 М5-32 | Диапазон частот, ГГц 0,03 - 1 1 - 3 3 - 6 6 - 10 |
1.1.2. При необходимости объем поверки может быть расширен, при этом дополнительные операции поверки проводятся по методике, указанной в эксплуатационной документации на поверяемый прибор и согласованной с органами метрологической службы.
1.1.3. Операция по
п. 10 табл. 1 проводится для стробоскопических осциллографов со временем нарастания переходной характеристики менее 0,3 нс.
1.1.4. Операции по
пунктам 4 и
9 табл. 1 проводятся при наличии в приборе или его комплекте системы измерения временных и амплитудных параметров исследуемых сигналов с отсчетом в цифровой форме.
1.1.5. Допускается применение средств поверки, отличных от рекомендованных, прошедших метрологическую аттестацию в органах Государственной метрологической службы и удовлетворяющих нормативно-техническим характеристикам, указанным в
табл. 1.
2. УСЛОВИЯ ПОВЕРКИ И ПОДГОТОВКА К НЕЙ
2.1. При проведении проверки должны соблюдаться следующие условия:
2.1.1. Прибор должен быть полностью укомплектован, снабжен описанием и инструкцией по эксплуатации.
2.1.2. Прибор и средства поверки должны использоваться в соответствии с инструкцией по эксплуатации на них.
2.1.3. Прибор не должен иметь механических повреждений, влияющих на его работу.
2.1.4. Поверка должна производиться в нормальных условиях, оговоренных ГОСТ 9763-67.
2.1.5. Допускается проведение поверки в рабочих условиях, если нормы на определяемый параметр поверяемого прибора гарантируются в этих условиях и обеспечиваются нормативно-технические характеристики используемых при этом средств поверки.
2.1.6. Все операции поверки, за исключением особо оговоренных в эксплуатационной документации, должны проводиться в режиме "нормально".
2.1.7. Перед каждой операцией поверки необходимо установить коэффициент передачи по петле обратной связи в соответствии с инструкцией по эксплуатации.
2.1.8. Перед поверкой стробоскопический осциллограф и контрольно-измерительная аппаратура должны быть прогреты в течение времени, указанного в эксплуатационной документации.
2.1.9. Допускается проведение опробования прибора сразу после его включения.
2.1.10. Сроки проведения поверки и периодичность поверки устанавливаются нормативно-технической документацией на приборы.
2.1.11. При проведении поверки гнезда защитного заземления поверяемого прибора и применяемой контрольно-измерительной аппаратуры должны быть соединены общим проводом и заземлены.
2.1.12. При проведении поверки должны соблюдаться правила по технике безопасности, изложенные в нормативно-технической документации на поверяемый прибор и применяемую контрольно-измерительную аппаратуру.
3.1.1. При внешнем осмотре необходимо установить отсутствие механических повреждений, влияющих на работу прибора.
3.1.2. Комплектность поверяемого прибора определяют сличением представленного на поверку состава прибора с комплектом поставки, приведенным в эксплуатационной документации.
3.1.3. При внешнем осмотре должно быть установлено, что указатели положений переключаемых устройств поверяемого прибора совпадают с отсчетными рисками и обозначениями.
3.1.4. Отсчетные шкалы и устройства должны обеспечивать правильность определения величины регулируемого параметра.
3.2.1. Включить осциллограф, установить автоколебательный режим запуска, проверить наличие развертки на экране электронно-лучевой трубки (ЭЛТ).
3.2.2. При наличии у поверяемого прибора калибратора напряжения поочередно соединить выход калибратора со входами каждого из каналов вертикального тракта. Проверить наличие калибрационного напряжения и откалибровать коэффициенты отклонения осциллографа, если это предусмотрено инструкцией по эксплуатации.
3.2.3. При наличии у поверяемого прибора калибратора времени соединить выход калибратора со входом одного из каналов вертикального тракта. Проверить наличие калибрационного сигнала и откалибровать коэффициент развертки, если это предусмотрено инструкцией по эксплуатации.
3.2.4. Собрать измерительную схему в соответствии с
рис. 1. На оба канала вертикального отклонения одновременно подать через тройник, входящий в комплект поверяемого осциллографа, основной импульс с генератора Г5-53, выход синхронизации генератора соединить со входом низкочастотной (НЧ) синхронизации осциллографа. Установить амплитуду основного и запускающего импульса генератора в соответствии с допустимыми значениями для поверяемого типа осциллографа. Перевести осциллограф в режим внешнего запуска и с помощью органов регулировки чувствительности и подстройки синхронизации осциллографа получить устойчивое изображение импульса генератора на экране ЭЛТ. Проверить возможность правильной установки коэффициента передачи по петле обратной связи обоих каналов вертикального отклонения органами подстройки. Проверить основные режимы и рабочие функции осциллографа, приведенные в инструкции по эксплуатации на поверяемый прибор.
3.3. Определение среднеквадратичного значения уровня собственных шумов
3.3.1. Уровень собственных шумов стробоскопического осциллографа определяют как среднеквадратичное значение напряжения шума на выходе аналогового сигнала "Y" тракта, приведенное ко входу.
3.3.2. Для определения уровня собственных шумов собрать измерительную схему в соответствии с
рис. 2. Поверяемый осциллограф включить в режим внешнего запуска, синхронизацию производить от генератора импульсов Г5-53, частоту запуска установить равной 10 кГц. К выходу аналогового сигнала подключить вольтметр В3-20, установить минимальный коэффициент отклонения и замерить уровень шумов одного из каналов. Подключить основной выход импульсов генератора Г5-53 ко входу поверяемого канала прибора, установить длительность импульса 1 мкс, амплитуду 200 мВ. К выходу аналогового сигнала поверяемого прибора подключить осциллограф С1-65 и замерить по нему амплитуду импульса на выходе аналогового сигнала. Определить коэффициент передачи K
п от входа поверяемого осциллографа до выхода аналогового сигнала по формуле

,
где Uвых - амплитуда, замеренная на выходе аналогового сигнала;
Uвх - амплитуда на входе одного из каналов.
3.3.3. Среднеквадратичное значение уровня шумов поверяемого прибора определить по формуле

,
где Uизм - измеренное значение шумового напряжения на выходе аналогового сигнала.
Среднеквадратичное значение уровня собственных шумов определить для каждого канала вертикального отклонения.
3.4. Определение погрешности калиброванного коэффициента отклонения
3.4.1. Погрешность калиброванного коэффициента отклонения определяется как отклонение действительного значения видимого размера изображения калиброванного по амплитуде сигнала на рабочем участке по оси Y от номинального, соответствующего кратным значениям основных делений масштабной сетки.
3.4.2. Для определения погрешности калиброванного коэффициента отклонения собрать измерительную схему в соответствии с
рис. 3. В качестве источника калиброванного сигнала используется импульсный генератор Г5-53, у которого постоянное напряжение, определяющее амплитуду выходного импульсного напряжения, измеряется цифровым вольтметром ВК2-20. Основной выход генератора через аттенюатор, входящий в комплект поверяемого осциллографа, соединить с тройником. Ослабление аттенюатора выбрать таким, чтобы напряжение сигнала на входе осциллографа не превышало предельно допустимых значений.

Один выход тройника соединить со входом Y тракта осциллографа, другой подключить ко входу цифрового вольтметра ВК2-20. Выход синхронизации генератора Г5-53 соединить со входом НЧ синхронизации осциллографа. Установить внутренний запуск генератора, длительность импульса 5 мкс, период 10 мкс. Установить максимальный коэффициент отклонения осциллографа и с помощью органов подстройки синхронизации добиться устойчивого изображения импульсного сигнала на экране ЭЛТ. Регулируя амплитуду выходного напряжения генератора, установить размер изображения сигнала, соответствующий двум большим делениям в нижней рабочей части ЭЛТ по оси Y, и совместить изображение с рисками шкалы. Переключатель полярности выхода генератора перевести в положение постоянного напряжения и произвести отсчет величины напряжения U1 по цифровому вольтметру ВК2-20. Переключатель запуска генератора перевести в положение разового пуска и произвести отсчет величины напряжения U2. Разность этих напряжений является калиброванной величиной импульсного напряжения. Далее регулировкой смещения по оси Y установить изображение сигнала в центре рабочей части ЭЛТ по вертикали. Вновь совместить изображение регулировкой амплитуды импульса генератора с рисками двух делений вертикальной шкалы. Затем произвести отсчет установленного напряжения. Аналогичным образом произвести измерение в верхней рабочей части ЭЛТ по оси Y.
3.4.3. Вновь установить изображение в центре рабочей части ЭЛТ, размер изображения, соответствующий 60%, и совместить его с отсчетными рисками масштабной шкалы; сделать отсчет установленного напряжения. Аналогичным образом произвести измерение при размере изображения, соответствующего 100% рабочей части по вертикали.
Для всех остальных значений калиброванных коэффициентов отклонения измерение произвести при размере изображения, равном 80% рабочей части по оси Y.
3.4.4. Для каждого измерения подсчитать погрешность калиброванного коэффициента отклонения по формуле

,
где Uн - номинальное значение напряжения, соответствующее установленному размеру по оси Y;
Uд - действительное значение напряжения, соответствующее установленному размеру по оси Y; Uд = U1 - U2.
Погрешность калиброванного коэффициента отклонения каждого канала в рабочей части экрана ЭЛТ во всех диапазонах коэффициентов отклонения не должна превышать норм, установленных на поверяемый прибор.
3.5. Определение погрешности измерения напряжения
3.5.1. Погрешность измерения напряжения исследуемых сигналов определяют для стробоскопических осциллографов, имеющих автоматизированную систему измерения с отсчетом в цифровой форме.
3.5.2. Погрешность измерения напряжения определяют как отклонение измеренного значения напряжения от действительного.
3.5.3. Погрешность измерения напряжения определяют измерением автоматизированной системой осциллографа, калиброванного по амплитуде импульсного сигнала.
3.5.4. Для определения погрешности измерения напряжения собрать измерительную схему в соответствии с
рис. 3. В качестве источника калиброванного по амплитуде импульсного сигнала используется генератор Г5-53, у которого постоянное напряжение формирования импульсного сигнала измеряется цифровым вольтметром ВК2-20 аналогично методике определения погрешности калиброванного коэффициента отклонения. Перед измерениями откалибровать прибор и проверить правильность установки числа точек стробирования. Установить по цифровому вольтметру минимальную амплитуду, при которой нормируется погрешность измерения в технической документации на поверяемый прибор. Произвести измерение автоматизированной системой осциллографа в соответствии с инструкцией по эксплуатации. Далее установить среднее значение напряжения, при котором нормируется погрешность, и провести измерение. Аналогичным образом измерить максимальное значение напряжения, при котором нормируется погрешность.
3.5.5. После каждого измерения определить погрешность по формуле

,
где Uизм - величина амплитуды, измеренная осциллографом;
Uд - действительное значение амплитуды, установленное по цифровому вольтметру.
Значение полученной от каждого измерения погрешности не должно превышать нормы, установленной на поверяемый осциллограф.
3.6. Определение параметров переходной характеристики
3.6.1. При снятии переходной характеристики тракта вертикального отклонения стробоскопического осциллографа определяют следующие параметры:
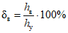
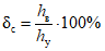
а) амплитуду установившегося значения hу - разность напряжений между значением в точке, определяемой пересечением фронта импульса с линией, аппроксимирующей вершину, и исходного уровня в паузе;
б) время нарастания

- временной интервал между уровнями 0,1 и 0,9 установившегося значения переходной характеристики;
в) выброс hв - максимальное превышение переходной характеристики от установившегося значения, следующее непосредственно за нарастанием;
г) время установления

- временной интервал от уровня 0,1 до момента, когда значение переходной характеристики после выброса достигает величины неравномерности установившегося значения, заданной на поверяемый прибор;
д) неравномерность установившегося значения hн - отклонение от линии установившегося значения;
е) спад установившегося значения hс - уменьшение установившегося значения на заданном временном интервале, началом которого служит точка пересечения фронта с линией установившегося значения. Приведенные выше параметры определяют подачей на вход стробоскопического осциллографа импульсного испытательного сигнала и измерения параметров его изображения на экране индикатора поверяемого прибора.
3.6.2. Для определения параметров переходной характеристики стробоскопического осциллографа собрать измерительные схемы в соответствии с
рис. 4, а,
б и
в. При высокоомном входе пробника собирают схему
рис. 4, а. На входе пробника ставят согласующую нагрузку, входящую в комплект поверяемого осциллографа. При низкоомном входе смесителя, работающего на проход, собирают схему
рис. 4, б. В этом случае испытательный сигнал подают на вход Y тракта одного из каналов осциллографа, а согласующую нагрузку из комплекта прибора включают на выходе подключенного канала. Для низкоомного согласованного входа стробоскопического осциллографа с нагрузкой внутри прибора собирают схему
рис. 4, в.
Рис. 4, а, б и в
3.6.3. Для стробоскопических осциллографов и сменных блоков вертикально отклоняющих трактов со временем нарастания переходной характеристики 0,3 нс и более время нарастания, выброс и время установления определяют испытательным сигналом генератора Г6-17. При использовании генераторов других типов или формирователей параметры испытательного сигнала должны соответствовать требованиям, указанным в табл. 2.
Таблица 2
Определяемый параметр переходной характеристики | Параметры испытательного импульса |
Амплитуда | Длительность фронта не более | Время установления не более | Длительность плоской части | Выброс не более | Неравномерность не более | Спад не более |
время нарастания  | соответствует 80% рабочего участка ЭЛТ по оси Y | переходной характеристики | переходной характеристики | переходной характеристики | hв переходной характеристики | hн переходной характеристики | 5% |
время установления  | - | - | - | - | - | - | - |
выброс hв | - | - | - | - | - | - | - |
неравномерность установившегося значения hн | | переходной характеристики <*> | переходной характеристики | значения наибольшего измеряемого временного интервала | 10% | 0,5 hн переходной характеристики <**> | - |
спад установившегося значения hс | - | - | - | - | - | - | 0,3 hс переходной характеристики |
--------------------------------
<*> Допускается использование двух генераторов испытательных импульсов. В этом случае время установления испытательного импульса второго генератора, выдающего более длинный импульс, должно составлять не более 0,1 длительности импульса первого генератора.
<**> Допускается учет неравномерности плоской части испытательного импульса.
3.6.4. Неравномерность и спад установившегося значения переходной характеристики стробоскопического осциллографа определяют с использованием в качестве источника испытательного сигнала генератора Г5-53.
3.6.5. Поверяемый осциллограф запускают импульсом синхронизации генератора испытательного сигнала. С помощью органов регулировки синхронизации добиваются устойчивого изображения сигнала на экране ЭЛТ при размере изображения не менее 80% рабочей части по вертикали. Коэффициент развертки должен быть выбран таким, чтобы временной интервал измеряемого параметра занимал не менее одного большого деления по оси X ЭЛТ. Параметры переходной характеристики определяют в положении максимального коэффициента отклонения испытательными импульсными сигналами положительной и отрицательной полярности. Параметры переходной характеристики определяют для каждого канала вертикального отклонения и совместно с дополнительными устройствами тракта вертикального отклонения, входящими в состав комплекта поверяемого стробоскопического осциллографа, для которых эти характеристики нормированы.
3.6.6. Относительные значения параметров переходной характеристики
(рис. 5) находят по следующим формулам:
выброс переходной характеристики

,
неравномерность установившегося значения

,
спад установившегося значения

.
3.6.7. Для стробоскопических осциллографов и сменных блоков вертикально отклоняющих трактов со временем нарастания переходной характеристики менее 0,3 нс при невозможности определения времени нарастания, выброса и времени установления переходной характеристики испытательным сигналом предварительно определяют длительность фронта изображения испытательного сигнала генератора Г6-17 на экране поверяемого осциллографа.
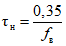
Если измеренная длительность фронта не превосходит величины 0,35 нс, определяется полоса пропускания поверяемого тракта по методике, приведенной в
п. 3.11, а время нарастания переходной характеристики находят по формуле

,
где fв - верхняя граничная частота полосы пропускания.
При длительности фронта изображения испытательного сигнала более 0,35 нс дальнейшая поверка прибора или сменного блока не производится и прибор бракуется.
3.6.8. Если генератор испытательного сигнала не может обеспечить амплитуду на входе стробоскопического осциллографа, соответствующую 80% рабочей части ЭЛТ по вертикали в положении максимального коэффициента отклонения, допускается использование других значений коэффициента отклонения при размере изображения не менее 30% рабочего участка ЭЛТ по вертикали. При этом отношение сигнала к среднеквадратичному значению шума должно составлять

.
3.6.9. При наличии на вершине изображения испытательного импульса генератора Г6-17 неравномерности, обусловленной отражениями в тракте передачи от генератора ко входу осциллографа, ее необходимо исключить из учета определения допустимой величины неравномерности. Неравномерность, обусловленную отражениями, определить путем изменения длины тракта передачи сигнала от генератора к поверяемому осциллографу. Изображение сигнала при этом должно сохранять свою форму и перемещаться вдоль оси X осциллографа. Временное положение неравномерности, обусловленной отражениями и подлежащей исключению, должно измениться относительно изображения фронта испытательного сигнала.
3.7. Определение коэффициента отражения от входа канала вертикального отклонения
3.7.1. Коэффициент отражения определяют как отношение амплитуд падающего и отраженного импульсных сигналов от входа вертикального отклоняющего тракта поверяемого осциллографа.
3.7.2. Коэффициент отражения определяют измерением амплитуд падающего и отраженного импульсных сигналов на экране ЭЛТ поверяемого осциллографа.
3.7.3. Для определения коэффициента отражения собирают измерительную схему в соответствии с рис. 6.
Рис. 6
Выход генератора Г6-17 подключить к тройнику, один выход тройника соединить непосредственно со входом 1-го канала поверяемого осциллографа, ко второму выходу разветвителя подключить кабель длиной 0,3 - 0,5 м. Выход импульса синхронизации генератора подключить ко входу внешнего запуска осциллографа, переключатель рода работ поставить в положение двухканальной работы. Переключатель коэффициента отклонения поставить в положение 200 мВ/дел., коэффициент развертки установить 0,5 - 1 нс/дел.
Регулировками задержки и подстройки синхронизации получить устойчивое изображение импульса генератора на экране ЭЛТ.
Определить место отражения перепада напряжения генератора Г6-17 от конца ненагруженного кабеля и его амплитуду Uп. Подключить кабель ко входу II канала осциллографа, установить минимальный коэффициент отклонения входа I канала и замерить амплитуду отраженного от согласованного входа II канала перепада напряжения Uотр. Подключить тройник ко входу II канала и аналогичным образом измерить амплитуду отраженного сигнала от входа I канала.
Коэффициент отражения определить по формуле

,
где Uотр - амплитуда отраженного сигнала, когда вход осциллографа согласован;
Uп - амплитуда отраженного сигнала, равная величине падающего сигнала, на ненагруженном конце кабеля.
3.7.4. Коэффициент отражения определить для каждого канала всех сменных блоков поверяемого осциллографа, у которых этот параметр нормируется.
3.8. Определение временной нестабильности развертки
3.8.1. Временная нестабильность развертки определяется как величина размытости фронта импульсного сигнала по оси X при синхронизации развертки испытуемым сигналом.
3.8.2. Для определения временной нестабильности развертки собрать измерительную схему в соответствии с рис. 7.
Рис. 7
Выход II генератора Г6-17 через тройник и аттенюатор подключить ко входу линии задержки поверяемого осциллографа, второй выход разветвителя соединить со входом синхронизации осциллографа. Установить минимальный калиброванный коэффициент развертки, регулировкой задержки и подстройки синхронизации добиться устойчивого изображения перепада напряжения в центре рабочей части ЭЛТ, коэффициент отклонения выбрать таким, чтобы фронт перепада имел предельную крутизну, но при этом не наблюдались шумы осциллографа. Отсчитать по калиброванной шкале величину размытости фронта изображения перепада напряжения. Величина размытости не должна превышать допустимых значений для поверяемого осциллографа.
3.8.3. Временная нестабильность ВЧ синхронизации определяется одновременно с определением погрешности калиброванного коэффициента развертки. Временная нестабильность ВЧ синхронизации определяется на частотах, оговоренных в эксплуатационной документации на поверяемый прибор. Амплитуда синусоидального сигнала на входе ВЧ синхронизации должна соответствовать минимальному значению, при котором гарантируется допустимая величина нестабильности. Нестабильность ВЧ синхронизации отсчитывается по калиброванной шкале осциллографа как величина размытости синусоидального сигнала на экране ЭЛТ.
3.9. Определение погрешности калиброванного коэффициента развертки
3.9.1. Погрешность калиброванного коэффициента развертки определяется как отклонение действительного значения видимого размера изображения временного интервала на рабочем участке по оси X от номинального, соответствующего кратным значениям основных делений масштабной сетки.
3.9.2. Определение действительного значения коэффициента развертки производится подачей на вход осциллографа синусоидального сигнала, частота (период) которого может быть отсчитана по шкале генератора либо подачей импульсного сигнала и сдвига его по времени с помощью калиброванной задержки.
3.9.3. Для определения погрешности калиброванного коэффициента развертки по синусоидальному сигналу необходимо собрать измерительную схему в соответствии с
рис. 8. В качестве источников калиброванных сигналов используют генераторы Г4-102, Г4-116, Г4-128, Г4-94, Г4-95, Г4-96. Выход генератора через аттенюатор, входящий в комплект поверяемого осциллографа, соединить с тройником. Ослабление аттенюатора выбрать таким, чтобы напряжение сигнала на входе осциллографа не превышало предельно допустимого для поверяемого типа прибора. Один выход тройника соединить со входом Y тракта одного из каналов осциллографа, другой со входом НЧ или ВЧ (в зависимости от частоты синусоидального сигнала) синхронизации. Переключатель коэффициента отклонения поставить в положение максимального коэффициента отклонения. Ручку плавной регулировки коэффициента развертки поставить в положение "калибровано". Установить частоту генератора такой, чтобы на рабочей части ЭЛТ по оси X наблюдалось количество периодов синусоиды, равное числу больших делений шкалы X. Ручкой регулировки выхода генератора установить размах изображения, составляющий не менее 80% рабочей части ЭЛТ по оси Y. Ручками подстройки синхронизации осциллографа получить на экране устойчивое изображение и смещением по вертикали установить его в центре рабочей части. Плавно меняя частоту генератора и задержку осциллографа, совместить начало первого и конец третьего периода синусоидального сигнала с рисками шкалы X ЭЛТ так, чтобы эти три периода занимали три больших деления шкалы X ЭЛТ в начале ее рабочей части. Произвести отсчет установленной частоты по шкале генератора. Аналогичным образом совместить три периода синусоидального сигнала с рисками трех больших делений в центре рабочей части шкалы X, а затем на конце шкалы и произвести отсчеты частоты по шкале генератора. Определить погрешность калиброванного коэффициента развертки для каждого измерения по формуле

, (1)
где tн - номинальное значение длительности развертки, соответствующее трем большим делениям шкалы X осциллографа;
tд - действительное значение длительности трех периодов,

, где f - частота, установленная по шкале генератора.
В диапазоне частот, превышающих предельную частоту синхронизации поверяемого осциллографа, сигнал синхронизации подать через синхронизатор Я4С-20.
3.9.4. При коэффициентах развертки, на которых невозможно наблюдение числа периодов синусоидального сигнала, равного числу делений шкалы X ЭЛТ, погрешность калиброванного коэффициента определяют сдвигом во времени импульсного сигнала калиброванной линией задержки.
Для определения погрешности коэффициентов развертки менее 1 нс/дел. собрать измерительную схему в соответствии с рис. 9.

Выход I генератора Г6-17 подключить через аттенюатор, входящий в комплект поверяемого осциллографа, к тройнику. Ослабление аттенюатора выбрать таким, чтобы напряжение сигнала на входе осциллографа не превышало предельно допустимого для поверяемого типа прибора. Один выход тройника соединить со входом Y тракта одного из каналов осциллографа, второй - с короткозамкнутой подвижной нагрузкой измерительной линии Р1-22. Запустить осциллограф импульсом синхронизации генератора Г6-17, регулировкой задержки вывести изображение отраженного от короткозамкнутой линии сигнала в конец рабочей части ЭЛТ по оси X при максимальной длине короткозамыкателя. Совместить фронт перепада напряжения с последней риской шкалы. Плавно перемещая короткозамыкатель линии, переместить фронт на три деления влево и отсчитать длину перемещения поршня. Действительное значение временного интервала длительности развертки, соответствующего трем делениям шкалы X осциллографа (в нс), определить по формуле
tд = 0,0066l,
где l - длина перемещения поршня короткозамыкателя в мм.
Аналогичным образом произвести измерение по трем делениям в центре и начале шкалы X. Погрешность калиброванного коэффициента развертки определить на трех участках шкалы X по
формуле (1).
3.9.5. Измерение провести на всех диапазонах калиброванных коэффициентов развертки. Погрешность калиброванного коэффициента развертки в рабочей части ЭЛТ во всех диапазонах для каждого измерения не должна превышать норм, установленных на поверяемый прибор.
Участки развертки, для которых погрешности калиброванных коэффициентов имеют отличные от всего рабочего диапазона нормы, измеряются отдельно на оговоренных участках.
3.10. Определение погрешности измерения временных параметров
3.10.1. Погрешность измерения временных параметров исследуемых сигналов определяется для стробоскопических осциллографов, имеющих автоматизированную систему измерения с отсчетом в цифровой форме.
3.10.2. Погрешность измерения временных параметров определяют как отклонение измеренного значения временного параметра от действительного.
3.10.3. Погрешность измерения временных параметров определяют измерением автоматизированной системой осциллографа калиброванного периода синусоидального сигнала. Для определения погрешности измерения временных параметров собрать измерительную схему в соответствии с
рис. 9.
В качестве источника калиброванного сигнала используют генераторы стандартных сигналов типов Г4-116, Г4-128, Г4-94, Г4-95, Г4-96.
Перед измерением откалибровать прибор и проверить правильность установки числа точек стробирования. Выход генератора соединить с согласованным разветвителем, один выход разветвителя соединить со входом синхронизации, а другой - со входом одного из каналов поверяемого осциллографа. Подстройкой синхронизации добиться устойчивого изображения на экране ЭЛТ. По шкале генератора установить период синусоидального сигнала, соответствующий минимальной длительности нормируемой погрешности измерения поверяемого прибора, и произвести измерение, используя автоматизированную систему осциллографа, в соответствии с инструкцией по эксплуатации. Далее установить среднее значение длительности нормируемой погрешности и произвести измерение. Аналогичным образом измерить максимальное значение нормируемой длительности поверяемого осциллографа. После каждого измерения определять погрешность по формуле

,
где Tизм - длительность периода синусоидального сигнала, измеренная автоматизированной системой осциллографа;
Tд - действительное значение периода синусоидального сигнала, установленное по шкале генератора.
3.10.4. Значение полученной от каждого измерения погрешности не должно превышать нормы, установленной на поверяемый осциллограф.
3.11. Определение полосы пропускания каналов вертикального отклонения
Полоса пропускания канала вертикального отклонения стробоскопического осциллографа определяется как диапазон частот, в котором размер изображения на экране ЭЛТ имеет снижение, не превышающее 0,7 от размера изображения на опорной частоте при постоянстве уровня входного сигнала. Для определения полосы пропускания стробоскопического осциллографа собрать измерительную схему в соответствии с
рис. 10. В качестве источников синусоидального сигнала используются генераторы сигналов типов Г4-116, Г4-128, Г4-94, Г4-95, Г4-96, Г4-97. Постоянный уровень сигнала на входе стробоскопического осциллографа поддерживается с помощью измерителя мощности М3-22 с комплектом термисторных преобразователей М5-29, М5-30, М5-31, М5-32. На выходе генератора сигналов включаются коаксиальные вентили типов Э8-8, Э8-13, Э8-15, Э8-16, Э8-17, в зависимости от установленной частоты генератора. Уровень мощности P
уст на входе осциллографа устанавливается по шкале прибора М3-22 и определяется по формуле
Pуст = 5 мвт · Kп,
где Kп - коэффициент передачи термисторного преобразователя на установленной частоте, указанный в его паспорте.

Полоса пропускания стробоскопического осциллографа определяется в диапазоне частот, указанных в эксплуатационной документации на поверяемый прибор. Измерения проводятся на калиброванных по K
п частотах термисторного преобразователя. На каждой частоте измерения производится установка уровня мощности с генератора сигналов с помощью измерителя мощности М3-22, после чего сигнал подается на вход поверяемого осциллографа. Осциллограф включить в автоколебательный режим, установить коэффициент отклонения 200 мВ/дел.; через коаксиальный вентиль подключить вход одного из каналов вертикального отклонения, замерить размах изображения сигнала по вертикали на экране ЭЛТ на измеряемой частоте. Измерения провести для каждого канала вертикального отклонения поверяемого осциллографа. Полосу пропускания определить как диапазон частот, в котором размер изображения сигнала по вертикали имеет снижение до 0,7 от размера, соответствующего опорной частоте, равной

, где f
в - верхняя граничная частота полосы пропускания поверяемого осциллографа.
4. ОФОРМЛЕНИЕ РЕЗУЛЬТАТОВ ПОВЕРКИ
4.1. Результаты поверки должны быть оформлены протоколом, в котором указываются следующие данные:
объем поверки;
определяемые параметры;
условия поверки;
применяемые средства поверки;
результаты операций поверки, оформленные в форме таблиц или графиков;
заключение по результатам поверки;
должность и фамилия оператора, производившего поверку.
4.2. Если один из параметров поверяемого стробоскопического осциллографа выходит за допустимые пределы, дальнейшая поверка прибора прекращается.
4.3. На стробоскопические осциллографы, прошедшие поверку, выдается свидетельство установленной формы с указанием времени проведения поверки.
4.4. При ведомственной поверке допускается вместо оформления свидетельства делать отметку в паспорте о произведенной поверке.
4.5. Стробоскопические осциллографы, не удовлетворяющие требованиям нормативно-технической документации, в обращение не допускаются, и на них выдают справку с указанием причин непригодности к эксплуатации.