Главная // Актуальные документы // МетодикаСПРАВКА
Источник публикации
М.: Стройиздат, 1972
Примечание к документу
Название документа
"Методика обследования и проектирования оснований и фундаментов при капитальном ремонте, реконструкции и надстройке зданий"
"Методика обследования и проектирования оснований и фундаментов при капитальном ремонте, реконструкции и надстройке зданий"
ОБСЛЕДОВАНИЯ И ПРОЕКТИРОВАНИЯ ОСНОВАНИЙ И ФУНДАМЕНТОВ
ПРИ КАПИТАЛЬНОМ РЕМОНТЕ, РЕКОНСТРУКЦИИ И НАДСТРОЙКЕ ЗДАНИЙ
В Методике изложены методы обследования и оценки несущей способности фундаментов и грунтовых оснований эксплуатируемых зданий. Рассмотрены здания с фундаментами из монолитного бетона, кирпича и штучных камней с различными видами перекрытий. Отражены особенности обследования оснований и фундаментов на просадочных грунтах. Приведены основные требования по определению характеристик материалов, необходимых для расчета оснований и фундаментов. Предложена методика обследования и описана аппаратура, используемая при обследованиях оснований и фундаментов инструментальными методами. Представлены конструктивные, расчетные и справочные данные для проектирования капитального ремонта, надстройки, модернизации и реконструкции зданий. Отобраны и систематизированы наиболее широко применяемые в практике экономичные решения и конструкции по усилению оснований и фундаментов.
Методика разработана сектором жилых и коммунальных зданий АКХ и отделом изысканий Мосжилпроекта совместно с ЛНИИ и РНИИ АКХ.
В работе над Методикой принимали участие кандидаты техн. наук Н.Г. Смоленская, Р.Г. Комиссарчик, инженеры Б.Н. Ершов, А.Г. Ройтман и М.П. Филатова.
Методика предназначена для инженерно-технических работников, связанных с капитальным ремонтом и реконструкцией зданий.
ОБСЛЕДОВАНИЕ ОСНОВАНИЙ И ФУНДАМЕНТОВ ЭКСПЛУАТИРУЕМЫХ ЗДАНИЙ
1. ОБЩИЕ ПОЛОЖЕНИЯ, НАЗНАЧЕНИЕ ОБЪЕМОВ ИЗЫСКАТЕЛЬСКИХ РАБОТ
И МЕСТ ВЫРАБОТОК
До начала земляных работ от соответствующих городских организаций в установленном порядке должно быть получено разрешение на копку шурфов, траншей и проходку скважин.
При выполнении земляных работ следует соблюдать правила техники безопасности. После окончания бурения и шурфования выработки должны быть тщательно засыпаны и послойно утрамбованы.
В зависимости от цели обследования здания и предполагаемого вида ремонта всего здания выполняют работы по обследованию оснований и фундаментов, указанные ниже.
Цель обследования здания | Выполняемые работы |
Капитальный ремонт без смены перекрытий и без увеличения нагрузок | Контрольные шурфы |
Надстройка, реконструкция или капитальный ремонт со сменой всех перекрытий. Деформации стен и фундаментов | Исследование грунтов участка бурением. Детальное обследование основания и фундаментов. Лабораторные анализы грунтов и воды, лабораторное исследование материалов фундаментов. Поверочные расчеты оснований и фундаментов |
Выявление причин появления воды или сырости стен в подвале | Исследование грунтов участка бурением. Контрольные шурфы. Проверка наличия и состояния гидроизоляции. Наблюдение за уровнем грунтовых вод |
Контрольные шурфы выполняют для определения конструкций, размеров, материалов фундаментов, уровня заложения и наличия изоляции, для выявления типа грунтов оснований.
Количество контрольных шурфов зависит от цели обследования здания:
Цель обследования здания | Число шурфов |
Реконструкция или капитальный ремонт без увеличения нагрузок | 2 - 3 в здании |
Устранение проникания воды в подвал или сырости стен в подвале и первом этаже | По одному в каждом обводненном или сыром отсеке |
Углубление подвала | По одному у каждой стены углубляемого помещения |
Число закладываемых шурфов при детальном обследовании оснований и фундаментов принимают:
в каждой секции по одному у каждого вида конструкции в наиболее нагруженном месте и ненагруженном участке;
при наличии зеркальных или повторяющихся (по плану и контурам) секций в одной секции отрывают все необходимые шурфы, а в остальных - по 1 - 2 в наиболее нагруженных местах;
дополнительно отрывают для каждого строения 2 - 3 шурфа в наиболее нагруженных местах с противоположной стороны стены, там, где имеется выработка; кроме того, в местах, где предполагают установить дополнительные промежуточные опоры, в каждой секции отрывают по одному шурфу;
при наличии деформаций стен и фундаментов шурфы в этих местах отрывают обязательно; при этом в процессе работы назначаются дополнительные шурфы для определения границ слабых грунтов оснований или границ фундаментов, находящихся в неудовлетворительном состоянии.
Шурфы отрывают ниже уровня подошвы фундамента на 0,5 м. Если на этом уровне обнаружены насыпные, оторфованные, рыхлые или другие слабые грунты, в шурфе должна быть заложена скважина. Минимальный размер шурфов в плане приведен ниже.
Глубина заложения фундамента в м | Площадь сечения шурфов в м2 |
До 1,5 | 1,25 |
1,5 - 2,5 | 2 |
Более 2,5 | 2,5 и более |
В результате инженерно-геологических изысканий устанавливают последовательность и выдержанность напластований, наличие линз и выклинивания случайных пластов в пределах здания. Особенно тщательно выявляют пласты и линзы сильносжимаемых грунтов. Материалы инженерно-геологического обследования представляют в виде геолого-литологического разреза основания.
В процессе бурения определяют характеристики проходимых геологических слоев. Пласты грунтов должны иметь высотные привязки
(рис. 1). Буровой журнал является первичным документом и хранится в архиве. Грунты описывают в соответствии с номенклатурой, предусмотренной
СНиП II-Б.1-62. Число разведочных скважин определяется количеством секций в здании.
Рис. 1. Образец паспорта скважины
Количество секций в здании | Число скважин |
1 - 2 | 4 |
3 - 4 | 6 |
Более 4 | 8 |
Примечание. Указанное число скважин должно быть уменьшено при наличии материалов ранних изысканий и для участков с простым геологическим строением. |
Глубина заложения выработок (скважин) определяется по формуле
h = h1 + hак + C, (1)
где h - глубина выработки в м;
h1 - глубина заложения фундаментов от поверхности земли в м;
hак - глубина активной зоны основания в м;
C - постоянная величина в м, равная для зданий до трех этажей - 2; свыше трех этажей - 3.
В некоторых случаях возникает необходимость произвести контрольные изыскания. Их выполняют, если: а) изменилась привязка пристройки на генплане; б) при составлении рабочих чертежей произошли значительные изменения конструкций по сравнению с заданием на проведение изыскательских работ; в) при отрытии котлована обнаружены грунты, не соответствующие указанным в инженерно-техническом заключении.
При обследовании деформированных зданий на просадочных грунтах основное внимание обращают на определение источника замачивания оснований.
В установленных визуально местах действия источника увлажнения бурят одну-две скважины диаметром до 50 мм. С каждого 1 м глубины скважины отбирают пробы грунта для определения его влажности. На расстоянии около 10 м от здания бурят контрольную скважину, влажность грунта из которой принимают за естественную.
Методика обнаружения утечек воды из водонесущих коммуникаций приведена в
приложении 1.
2. ОБСЛЕДОВАНИЕ ОСНОВАНИЙ ЭКСПЛУАТИРУЕМЫХ ЗДАНИЙ
а) Производство работ по обследованию оснований
В процессе проходки шурфов через каждые 25 - 30 см осматривают грунты и фундаменты. Результаты осмотра отмечают в журнале. Кроме того, в нем обязательно отмечают условия проходки, атмосферные условия, даты проходки. Образец паспорта шурфа приведен на рис. 2.
Рис. 2. Образец паспорта шурфа
При детальном обследовании оснований в открытых шурфах описывают слои в соответствии с номенклатурой
СНиП II-Б.1-62; отмечают характер грунтов оснований непосредственно под подошвой фундамента; отбирают образцы грунта и воды для лабораторных исследований; исследуют грунты оснований.
б) Отбор образцов грунта, их упаковка, хранение
и транспортирование
Образцы связных грунтов твердой и пластичной консистенции отбирают размером не менее 150 x 150 x 150 мм. Образцы грунтов, не сохраняющие форму без жесткой тары, отбирают тонкостенным режущим кольцом (или стаканом со вставленными в него кольцами). Внутренний диаметр режущего кольца должен быть не менее 80 мм, а высота - не более одного и не менее половины его диаметра. Толщина стенок кольца должна быть не более 0,02 диаметра. Режущее кольцо для удобства отбора образца грунта снабжают сверху насадкой. В процессе отбора образца не допускаются перекосы режущего кольца. Если обнаружен перекос, образец бракуют.
На образцах грунта ненарушенного сложения после их извлечения из открытых выработок или скважин сразу ставят надпись "Верх". Затем образцы немедленно упаковывают. При этом:
1) образцы грунтов, отбираемые без жесткой тары, парафинируют, туго обматывая их двумя слоями марли и наблюдая за тем, чтобы вся марля пропиталась парафином; до парафинирования на верхнюю грань образца кладут этикетку, завернутую в кальку, которую покрывают парафином; второй экземпляр этикетки, смоченной парафином, прикрепляют сверху запарафинированного образца;
2) образцы грунтов, отбираемые при помощи жесткой тары, отправляют в лабораторию в этой таре. Открытые грани закрывают жесткими крышками с резиновыми прокладками или заливают парафином. Для увеличения пластичности в парафин добавляют воск (20 - 25% по весу), канифоль (5 - 10%) и минеральное масло (3 - 5%). Если парафина нет, допускается применять заменители, обладающие теми же изолирующими свойствами.
Образцы грунтов нарушенного сложения в целях сохранения их естественной влажности укладывают в стеклянные, металлические или пластмассовые банки (бюксы) с герметически закрывающимися крышками. В банку вкладывают этикетку, завернутую в кальку. Второй экземпляр этикетки наклеивают на боковую поверхность банки.
Образцы грунтов, отбираемые без сохранения естественной влажности, укладывают в любую тару, обеспечивающую сохранность мелких частиц грунта (мешочки из плотной материи или бумаги). Один экземпляр этикетки, завернутый в кальку, вкладывают внутрь тары, второй наклеивают на тару. На этикетке должны быть обозначены:
1) наименование организации, производящей изыскания, название и номер партии (экспедиции);
2) название объекта;
3) название выработки и ее номер;
4) глубина отбора образца с обязательным указанием места отбора;
5) предварительное наименование грунта по визуальному определению;
6) должность и фамилия лица, отобравшего образцы, его подпись;
7) дата взятия образца.
Образцы грунта, предназначенные для определения естественной влажности, хранят после их упаковки при температуре не ниже 2° и не выше 20 °C. Срок хранения не должен превышать 1,5 месяца, считая с момента отбора образца до лабораторного испытания. При более высокой температуре (до 30 °C) срок хранения не должен превышать 10 дней. Образцы грунтов, отправляемые в лаборатории, отдаленные от места отбора, упаковывают в деревянные ящики. В каждый ящик кладут список образцов со сведениями, указанными в этикетке. Свободное пространство между образцами заполняют деревянными опилками, стружками и т.п. Ящики нумеруют, надписывают "Верх", "Не кантовать".
в) Лабораторное определение физико-механических свойств
грунтов оснований
| | ИС МЕГАНОРМ: примечание. Постановлением Госстроя России от 20.12.2000 N 129 с 1 июля 2001 года введен в действие ГОСТ 12071-2000. | |
В лаборатории определяют следующие физические характеристики грунта: гранулометрический состав; удельный вес

; объемный вес с ненарушенной структурой

; весовую влажность
W. Эти характеристики определяются в соответствии с ГОСТ 12071-66.
По этим данным вычисляются следующие характеристики:
объемный вес скелета
пористость
коэффициент пористости
степень влажности
полная влагоемкость
здесь

- объемный вес воды.
Кроме того, в лаборатории определяют механические характеристики грунтов:
| | ИС МЕГАНОРМ: примечание. Постановлением Минстроя России от 01.08.1996 N 18-56 введен в действие с 1 января 1997 года ГОСТ 12248-96. | |
сопротивление грунта срезу, характеризуемое зависимостью

. Построение этой прямой производится по данным испытания на срез; работа выполняется согласно ГОСТ 12248-66. Методика этих испытаний изложена в
приложении 2;
сжимаемость грунтов, определяемая компрессионными испытаниями. Эта работа выполняется в соответствии с ГОСТ 12234-66. Методика компрессионных испытаний приведена в
приложении 3.
Для просадочных грунтов по данным компрессионных испытаний дополнительно рассчитывается коэффициент просадочности:
где hi - высота образца природного сложения и влажности, обжатого давлением проектируемой нагрузки на основание, в см;

- высота того же образца после замачивания при сохранении давления в см;
h0 - высота образца природного сложения обжатого давлением от существующей нагрузки здания в см.
г) Неразрушающие и экспресс-методы оценки состояния
грунтов основания
Определение модуля деформации E и прочности при одноосном
сжатии Rс на грунтовых образцах при помощи
электронно-акустического импульсного метода
Предлагаемый метод основан на получении зависимости между скоростью прохождения через грунт фронта сложного акустического импульса и численным значением прочностных и деформативных характеристик грунта. Для этого применяются электронный микросекундомер, излучатель импульсов и звукоприемник.
Скорость прохождения сигнала определяется в скважине (с помощью зонда) или в лаборатории (на образцах с ненарушенной структурой).
Зависимость между скоростью прохождения сложного акустического сигнала C, величиной модуля деформации E и прочностью при одноосном сжатии Rс выражается следующими формулами:

(2)

(3)
где
n,
n1,

,

- расчетные коэффициенты, величина которых зависит от относительной влажности грунта
W и условной удельной поверхности
F, определяемой по гранулометрическому составу (
рис. 3,
4);
C - скорость распространения сложного акустического импульса в мк/сек;

- относительная деформация, равная абсолютной деформации, отнесенной к диаметру штампа.
Рис. 3. Зависимость расчетных параметров
n и

от влажности
и условной удельной поверхности грунта
Рис. 4. Зависимость расчетных параметров
n1 и

от влажности
и условной удельной поверхности грунта
Удельная поверхность грунтов является характеристикой гранулометрического состава (дисперсности) грунта. От развития этой поверхности зависят: активность грунта при взаимодействии его с водой, способность впитывать и удерживать в себе воду, способность проявлять сцепление, пластичность, набухание и др. Удельная поверхность F - это величина площади поверхности грунтовых частиц в 1 г этого грунта:

(4)
где

;
dqi - вес выделяемой фракции определенного диаметра в г;
q - общая навеска грунта в г;
D - диаметр частиц в см.
Определение плотности и влажности грунтов
радиометрическими методами
По специально отобранным образцам грунтов производят серию замеров интенсивности гамма- или нейтронного излучения импульсов для различных схем замеров
(приложение 4). По этим данным строят тарировочные зависимости

и
J =
f(
W) (рис. 5 и
6).
Рис. 5. График

Импульсы замеряют в центре и по полученным данным
J, пользуясь тарировочными кривыми, находят плотность

и влажность
W грунтов оснований.
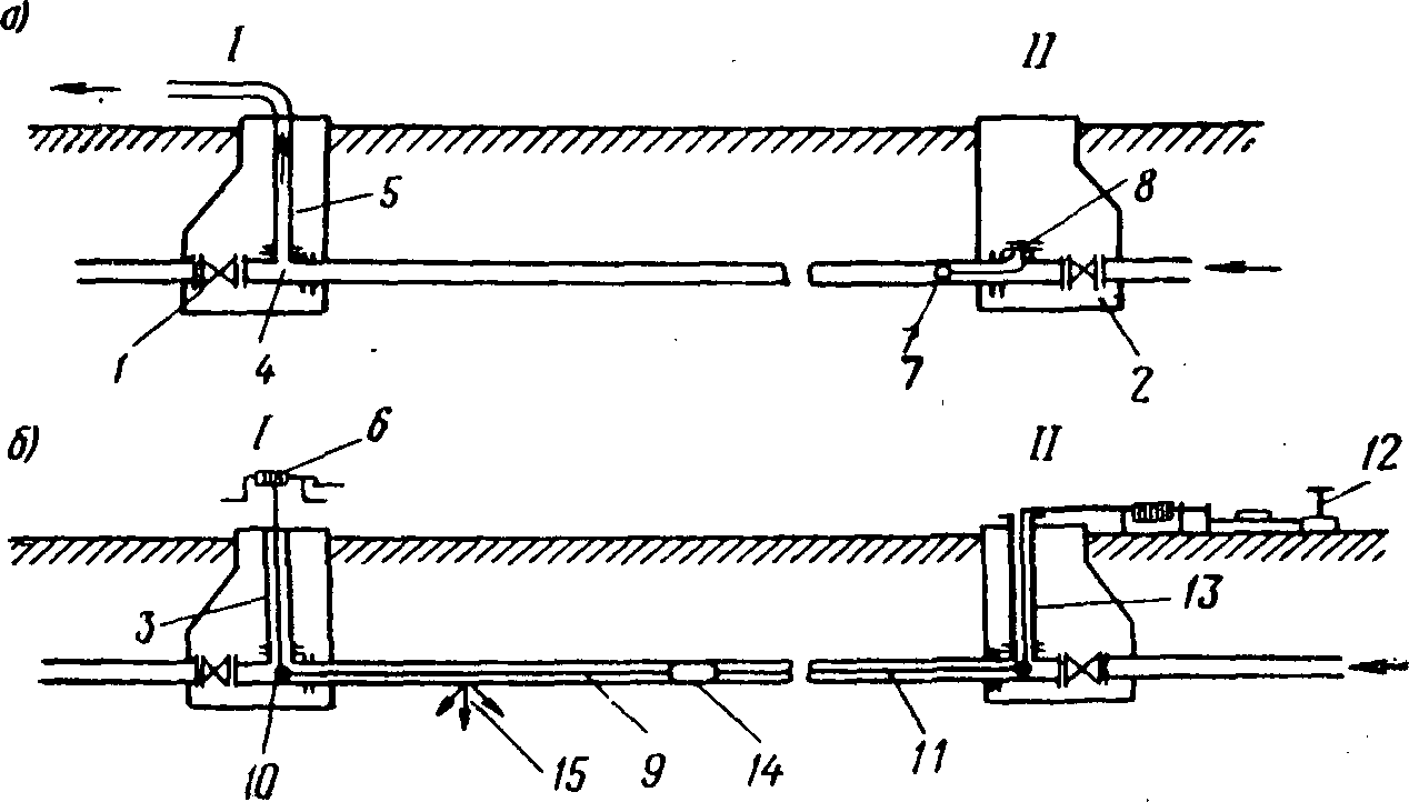
3. ОБСЛЕДОВАНИЕ ФУНДАМЕНТОВ
а) Методика обследования и обмеров
При детальном обследовании фундаментов в открытых шурфах определяют тип фундамента, его форму в плане, размеры, глубину заложения; выявляют выполненные ранее подводки, усиления и другие устройства, а также ростверки и искусственные основания; исследуют механически и электрофизически кладку, выявляют ее дефекты и определяют прочность камня и раствора; устанавливают наличие гидроизоляции.
Ширину подошвы фундаментов и глубину его заложения определяют натурными обмерами. Для этого боковую поверхность фундамента очищают от грунта, а замеры выполняют металлическим метром. В наиболее нагруженных участках ширину подошвы определяют в двусторонних шурфах, в менее нагруженных допускается принимать симметричное развитие фундамента по размерам, определенным в одностороннем шурфе. При этом для определения толщины "глухих" стен и ширины фундамента можно применить сверление и замер металлическим метром, а также подкоп с последующим использованием металлического Г-образного прута. Отметка заложения фундамента и шурфа должна быть выполнена нивелиром.
По результатам обмеров фундаментов для надстраиваемых зданий должны быть получены планы фундаментов и установлены отношения суммарной площади фундаментов к площади застройки.
При наличии свайных фундаментов в каждом шурфе замеряют их диаметр, шаг, средний диаметр и среднее количество на 1 пог. м фундамента.
Визуальная оценка состояния фундаментов должна определять характеристику камня и раствора, постелистость, наличие пустых швов, облицовку, местные разрушения и т.д.
б) Механическое определение прочности материалов фундаментов
Кладку фундаментов и стен подвала исследуют путем простукивания зубилом, ломом, скарпелью, шлямбуром, молотками. При исследовании выявляют однородность, плотность и массивность кладки, а также ориентировочную прочность камня, кирпича или бетона. Прочность известкового бутового камня пониженных марок (100 и ниже) определяют относительной легкостью его разрушения на более мелкие куски от удара ломом или кувалдой. Прочность кирпича пониженных марок (50 и ниже) определяют легкостью разрушения (от одного удара молотком весом 1 кг кирпич превращается в мелкий щебень), а также по глухому звуку при простукивании. Кирпич марки 100 и выше при скользящих ударах молотком искрит, издает чистый звук.
Марку бетона и камня можно определить по воздействию на него непосредственно удара молотком или зубилом, установленного перпендикулярно поверхности. Марку бетона по величине и характеру следа, оставленного на поверхности конструкции, определяют по табл. 1.
Таблица 1
Определение марки бетона
Марка бетона | Способ определения марки бетона |
ребром молотка | зубилом, установленным перпендикулярно поверхности |
Ниже 70 | Остается неглубокий след, звук глухой, края вмятин не осыпаются | Зубило легко вбивается в бетон |
70 - 100 | Остаются вмятины, бетон крошится и осыпается, звук глуховатый | Зубило погружается в бетон на глубину около 5 мм |
100 - 200 | Остается заметный след на поверхности, вокруг которого могут откалываться тонкие листочки | От поверхности бетона отделяются тонкие листочки |
Выше 200 | Остается слабо заметный след на поверхности бетона, звук звонкий | Остается неглубокий след, листочки не отделяются, при царапании остаются малозаметные штрихи |
Марку бетона можно определить шариковым молотком Физделя, эталонным молотком Кашкарова (
приложения 5,
6).
Пробы материалов фундаментов для лабораторных испытаний отбирают в случаях, когда их прочность является решающей при определении возможности дополнительной нагрузки. Пробы допускается отбирать только из ленточных фундаментов. Для испытания на сжатие и изгиб берут 10 кирпичей из разных участков фундамента. Для испытания бутового камня отбирают 5 образцов с минимальными размерами стороны 5 x 10 x 20 см. Количество проб раствора определяется необходимостью склеивания из них пяти кубиков размером 7 x 7 x 7 или 4 x 4 x 4 см. Бетон для лабораторного анализа берут из монолитных фундаментов выбуриванием кернов диаметром 10 см и минимальной длиной 12 см (5 образцов). На отобранные образцы должна быть заполнена сопроводительная ведомость.
в) Неразрушающие методы определения качества фундаментов
Определение прочности бутовых и кирпичных фундаментов
При испытаниях фундаментов акустическим методом на их поверхности разбивают сетку с шагом 40 - 60 см. В точках пересечения устанавливают датчики (приемники). Перед их установкой поверхность в контакте зачищают и выравнивают тонким слоем гипсового раствора. Поверхностное прозвучивание осуществляется при горизонтальном и вертикальном расположении датчиков и приемников
(рис. 7). При испытании фундаментов на прочность первоначально определяют плотность материала с помощью гамма-плотномера, который устанавливают в каждый квадрат сетки, либо в центре двух или четырех смежных квадратов. Для определения влажности материала в каждый квадрат или в центре смежных двух или четырех квадратов устанавливают нейтронный влагомер. Методика определения физических характеристик материала фундаментов изложена в
приложении 7.
Рис. 7. Места установки датчиков и направление прозвучивания
Для определения однородности материала в толще фундамента производят сквозное прозвучивание, причем геометрический центр приемника с другой стороны фундамента должен находиться на нормали к поверхности, опущенной из центра датчика (в этом случае толщина фундамента с вертикальными поверхностями равняется базе измерения).
Расчетную прочность фундаментов определяют по заранее построенным тарировочным кривым.
Высокая влажность и систематическое изменение влажности кладки фундаментов обязывают проводить тарировочные испытания образцов в возможно короткие сроки, так как различие в значениях влажности между материалом фундаментов и образцов может привести к значительному (до 30%) различию в значениях акустических постоянных. При длительных испытаниях необходимо учитывать влияние влажности на акустические параметры.
При значительной скорости импульса в камне, слагающем бутовый фундамент, прочность последнего в основном определяется прочностью раствора. Скорость распространения колебаний в камне (бутовый кирпич) определяется обычным способом, т.е. по результатам прозвучивания самого камня с определением времени распространения колебаний между датчиком и приемником и базы измерения. Для определения скорости в растворе швов, размеры которых малы, используют прозвучивание через камень-раствор-камень при одностороннем расположении датчика и приемника. Значение скорости импульса в растворе определяется по формуле

(5)
где Cр - скорость импульса в растворе в м/сек;
Cк - скорость импульса в камне в м/сек;
t - время прохождения импульса между датчиком и приемником в сек;
a, b1, b2 - размеры кладки в см.
Прежде чем вынуть образцы для тарировки, целесообразно прозвучить в этих местах кладку. Если пробы взяты до прозвучивания, следует прозвучить кладку как можно ближе к месту отбора проб.
Наиболее простым, дающим качественную характеристику состояния фундамента, является способ прямых измерений. Наличие сигнала при сквозном прозвучивании свидетельствует об удовлетворительном качестве материала фундамента по лучу прозвучивания, а отсутствие сигнала - о неудовлетворительном состоянии. Этот метод является первым этапом при испытаниях для выявления здоровых и дефектных мест для дальнейших количественных испытаний.
При обнаружении трещины на поверхности фундамента необходимо определить ширину ее раскрытия, расположение и конфигурацию, а также глубину проникания по падению фиктивной скорости распространения акустического сигнала. Ширину раскрытия и глубину проникания трещины определяют способом последовательного приближения, при котором строится годограф. Глубина трещины определяется по формуле

(6)
где C - средняя скорость акустического импульса, равная тангенсу угла между годографом и осью ординат, в м/сек;
l - база измерения в см;

- приращение времени пробега в мк/сек.
Распространение трещины наблюдают путем попеременной перестановки по вертикали и горизонтали датчиков (приемников); по резкому увеличению времени прохождения импульса в разных точках прослеживают расположение и конфигурацию трещин.
Определение прочности железобетонных фундаментов
Прочность железобетонных фундаментов с помощью импульсного акустического метода определяют эталонным или сравнительным методом. При эталонном методе необходимо построить тарировочную зависимость по образцам-близнецам из того же бетона или по взятым из тела фундамента кернам. Количество образцов и кернов принимают в соответствии с целевым назначением обследования и сложностью здания. Минимальное количество кубов или кернов определяется по формуле:

(7)
где N - минимальное число кубов;
Cvar - коэффициент изменчивости. (В практических условиях при допустимой точности определения значений прочности до 10% принимается

);

- ориентировочная марка бетона.
Расчетная прочность фундаментов определяется по формуле

(8)
где

- расчетная прочность фундаментов в кГ/см
2;
Kодн - коэффициент однородности по прочности (по данным акустических испытаний);

- фактическая прочность материала фундаментов определяется эталонным или сравнительным методом путем построения тарировочных кривых в кГ/см
2.
Определение прочности производят путем прозвучивания материала фундамента и определения скорости прохождения ультразвукового сигнала. Прозвучивание бывает: 1) сквозное; 2) продольное и поверхностное; 3) угловое.
Схемы и методика прозвучивания изложены в
приложении 7. Отсутствие образцов для тарировки и трудности, сопутствующие выпиливанию кернов, приводят к необходимости использовать сравнительный метод определения прочности железобетонных фундаментов. Суть метода заключается в том, что вместо построения собственной для данного бетона тарировочной кривой используют тарировочную кривую для бетона родственного состава. Кроме того, в конструкции выбирают участок, хорошее состояние которого не вызывает сомнения, а прочность бетона может быть определена по паспортным данным. На этом участке определяют скорость, плотность и прочие акустические постоянные и производят корректировку принятой первоначально тарировочной кривой. Дальнейшие операции по определению прочности аналогичны эталонному методу.
ОБЩИЕ ВОПРОСЫ ПРОЕКТИРОВАНИЯ ОСНОВАНИЙ И ФУНДАМЕНТОВ
ПРИ РЕМОНТЕ ЗДАНИЙ
1. ПОСЛЕДОВАТЕЛЬНОСТЬ РАБОТ ПО ПРОЕКТИРОВАНИЮ ОСНОВАНИЙ
И ФУНДАМЕНТОВ СУЩЕСТВУЮЩИХ ЖИЛЫХ И ОБЩЕСТВЕННЫХ ЗДАНИЙ
Рекомендуется следующий порядок проектирования:
1. Анализ исходных данных, включающий в себя изучение технического заключения по инженерно-геологическому обследованию здания, выявление параметров и размеров фундаментов, изучение геологических и гидрогеологических условий площадки. Для зданий, имеющих трещины стен и фундаментов, - тщательное изучение причин деформаций.
2. Осмотр здания и отдельных конструкций в натуре. Выявление конструктивной схемы здания (жесткая или упругая).
3. Определение условия ремонта - наличие жильцов, возможность их выселения, наличие материалов, стесненность площадки и т.д. Очень часто эти условия определяют принципиальное решение по ремонту здания.
4. Сбор нагрузок действующих и проектируемых.
5. Расчет и конструирование фундаментов. Порядок выполнения расчетов различен для существующих опор и для вновь возводимых в ремонтируемом здании:
Для существующих опор | Для новых опор |
1. | Определяются напряжения под подошвой стены (колонны) и под подошвой фундамента | 1. | Выбирается глубина заложения подошвы фундамента обязательно с учетом заложения существующих опор |
2. | Проверяются условия прочности основания и фундаментов; принимается предварительное, принципиальное решение крепления по расчету на прочность | 2. | Выбираются типы фундаментов (жесткие или гибкие) в зависимости от наличия материалов, механизмов и условий работы |
3. | Уточняется решение в зависимости от конкретных условий, конструируются и рассчитываются фундаменты | 3. | Определяются размеры фундаментов |
4. | Выполняются все поверки | 4. | Определяются ожидаемые осадки (и просадки). Проверяются условия деформации новых опор |
5. | Намечается технология выполнения ремонтных работ по усилению фундаментов и оснований | 5. | Окончательно выбираются размеры фундаментов, конструирование, детализация. Выполняются все поверки |
Исходные данные для проектирования включают:
1. Схему всех несущих конструкций по этажам и обмерные разрезы по зданию. Характер конструктивной схемы здания определяется по показателю гибкости

(9)
при t < 1 конструкция рассчитывается как жесткая; при t > 1 - как упругая.
В формуле (9): E - модуль деформации основания фундаментов в кГ/см2;
Eф - модуль упругости материала фундамента в кГ/см2;
b, h - размеры фундамента.
Для предварительных расчетов можно воспользоваться данными табл. 2.
Таблица 2
Максимальные расстояния
Lст между поперечными стенами,
при которых покрытия и перекрытия считаются жесткими опорами
для стен и колонн
Типы перекрытия и покрытия | Группа кладки |
I | II |
А. Железобетонные сборные замоноличенные и монолитные | 54 | 42 |
Б. Сборные железобетонные настилы | 42 | 36 |
В. Деревянные перекрытия | 30 | 24 |
Примечания: 1. При высоте здания 21 - 32 м принимается K, равный 0,9, а при высоте 33 - 48 м - 0,8. 2. В перекрытиях типа А стыки плит должны быть усилены сваркой выпусков арматуры и заделкой швов раствором марки 100, сюда же относятся сводчатые перекрытия из кирпича. 3. В перекрытиях типа Б швы между плитами должны быть заделаны раствором марки 50. 4. К группе кладки I относятся сплошная кладка из кирпича марки 50 и выше на растворе марки 10 и облегченная кладка на растворе марки 25 и выше. К группе II - сплошная кладка из кирпича марки 50 на растворе марок 4, 25 и марки кирпича 35 на растворе марки 10. |
В зданиях, не отвечающих данным
табл. 2, основания и фундаменты рассчитывают как для зданий с упругой конструктивной схемой.
2. Все геометрические размеры существующих фундаментов, включая конструкцию и толщину полов, глубину заложения от планировочных отметок и от пола подвала (или первого этажа), толщины фундаментов и стен (см.
рис. 8).
3. Материал фундаментов - расчетное сопротивление на сжатие кладки (Rфун), марки бетона, камня и раствора, составляющих фундаменты.
4. Литологический разрез участка по скважинам. Глубина скважин должна быть не менее 6 м от уровня заложения фундаментов для пятиэтажных и 9 м для девятиэтажных зданий.
5. Данные лабораторного или полевого исследования грунтов основания площадки:
угол внутреннего трения ................................................................................ |  в град |
нормативное удельное сцепление для глин или нормативный параметр линейности для песков .................................................................................. | C в кг/см2 |
объемный вес грунта ...................................................................................... |  в т/м 3 |
коэффициент пористости .............................................................................. | |
естественная влажность ................................................................................. | W в % |
граница раскатывания .................................................................................... | Wр в % |
граница текучести ........................................................................................... | Wт в % |
модуль деформации ........................................................................................ | E в кГ/см2 |
Расчетная величина каждой указанной характеристики определяется на основе статистической обработки:
Aрас = AнорK. (10)
В формуле (10):
нормативная характеристика
коэффициент однородности
среднеквадратичная ошибка
где
ai - характеристика грунта из опыта (

,
C,

,
E и т.д.);
aср - средняя характеристика;
n - количество опытов (должно быть не менее 6).
Данные лабораторного или полевого исследования грунтов оснований под фундаментами вновь проектируемых опор должны быть приведены для всей сжимаемой толщи через 0,5 - 0,8 м (эта величина не должна превышать 0,4 минимальной ширины фундамента). Характеристики грунтов при расчетах оснований должны определяться, как правило, по результатам исследований. Для предварительных расчетов значения можно принимать по табл. 3 и
4.
Таблица 3
Нормативные и расчетные значения удельных сцеплений Cн
в кГ/см
2 и углов внутреннего трения

в град глинистых
грунтов четвертичных отложений при консистенции 0 <= B <= 1
Влажность грунтов на границе раскатывания Wр в % | Характеристики грунтов | Характеристики грунтов Cн и  при коэффициенте пористости  |
0,41 - 0,5 | 0,51 - 0,6 | 0,61 - 0,7 | 0,71 - 0,8 | 0,81 - 0,95 | 0,96 - 1,1 |
нормативные | расчетные | нормативные | расчетные | нормативные | расчетные | нормативные | расчетные | нормативные | расчетные | нормативные | расчетные |
9,5 - 12,4 | C | 0,12 | 0,03 | 0,08 | 0,01 | 0,06 | - | - | - | - | - | - | - |
| 25 | 23 | 24 | 22 | 23 | 21 | - | - | - | - | - | - |
12,5 - 15,4 | C | 0,42 | 0,14 | 0,21 | 0,07 | 0,14 | 0,04 | 0,07 | 0,02 | - | - | - | - |
| 24 | 22 | 23 | 21 | 22 | 20 | 21 | 19 | - | - | - | - |
15,5 - 18,4 | C | - | - | 0,5 | 0,19 | 0,25 | 0,11 | 0,19 | 0,08 | 0,4 | 0,04 | 0,08 | 0,02 |
| - | - | 22 | 20 | 21 | 19 | 20 | 18 | 18 | 17 | 18 | 16 |
18,5 - 22,4 | C | - | - | - | - | 0,68 | 0,28 | 0,34 | 0,19 | 0,28 | 0,1 | 0,19 | 0,06 |
| - | - | - | - | 20 | 18 | 19 | 17 | 18 | 16 | 17 | 15 |
22,5 - 26,4 | C | - | - | - | - | - | - | 0,82 | 0,36 | 0,41 | 0,15 | 0,36 | 0,12 |
| - | - | - | - | - | - | 18 | 16 | 17 | 15 | 16 | 14 |
26,5 - 30,4 | C | - | - | - | - | - | - | - | - | 0,96 | 0,4 | 0,47 | 0,22 |
| - | - | - | - | - | - | - | - | 16 | 14 | 15 | 13 |
Таблица 4
Нормативные значения модулей деформаций глинистых грунтов
E
в кГ/см2
Происхождение и возраст грунтов | Грунты и их консистенция | Модули деформации грунта E при коэффициенте пористости  |
0,31 0,4 | 0,41 0,5 | 0,51 0,6 | 0,61 0,7 | 0,71 0,8 | 0,81 0,9 | 0,91 1 | 1,01 1,1 | 1,11 1,3 | 1,31 1,5 | 1,51 1,7 |
Четвертичные отложения | аллювиальные, делювиальные, озерно-аллювиальные | Супеси | 0 < B < 1 | - | 320 | 240 | 160 | 100 | 170 | - | - | - | - | - |
Суглинки | 0 < B < 0,15 | - | 340 | 270 | 220 | 170 | 140 | 110 | - | - | - | - |
0,25 < B < 0,5 | - | 320 | 250 | 190 | 140 | 110 | 80 | - | - | - | - |
0,5 < B < 1 | - | - | - | 170 | 120 | 80 | 60 | 50 | - | - | - |
Глины | 0 < B < 0,25 | - | - | 280 | 240 | 210 | 180 | 150 | 120 | - | - | - |
0,25 < B < 0,5 | - | - | - | 210 | 180 | 150 | 120 | 90 | - | - | - |
0,5 < B < 1 | - | - | - | - | 150 | 120 | 90 | 70 | - | - | - |
флювиогляциальные | Супеси | 0 < B < 1 | - | 330 | 240 | 170 | 110 | 70 | - | - | - | - | - |
Суглинки | 0 < B < 0,25 | - | 400 | 330 | 240 | 210 | - | - | - | - | - | - |
0,25 < B < 0,5 | - | 350 | 280 | 220 | 170 | 140 | - | - | - | - | - |
- | - | - | 170 | 130 | 100 | 70 | - | - | - | - |
моренные | Супеси | B = 0,5 | 750 | 550 | 450 | - | - | - | - | - | - | - | - |
Суглинки | B = 0,5 | 750 | 550 | 450 | - | - | - | - | - | - | - | - |
6. Нормативное давление на грунты основания определяют по следующим формулам:

(11)
где
A,
B,
D - безразмерные коэффициенты, зависящие от нормативного угла внутреннего трения, принимаемые по
табл. 5;
b - меньшая сторона прямоугольной подошвы фундамента в м;
h - глубина заложения фундамента от природного уровня грунта или от планировки срезкой до подошвы фундамента в м;
hп - приведенная глубина заложения фундамента в помещении с подвалом, определяемая по формуле
C1 - толщина слоя грунта выше подошвы фундаментов в м;
C2 - толщина конструкции пола подвала в м;

- объемный вес грунта, залегающего выше отметки заложения фундамента, в т/м
3;

- объемный вес материала конструкции пола подвала в т/м
3;
Cн - нормативное удельное сцепление грунта для глин или нормативный параметр линейности для песков, залегающих на уровне подошвы фундамента, в т/м2.
Таблица 5
| | ИС МЕГАНОРМ: примечание. Текст дан в соответствии с официальным текстом документа. | |
Значения коэффициентов
A,
B,
Д в зависимости от угла
внутреннего трения грунтов
Нормативное значение угла внутреннего трения грунта  в град | Коэффициенты |
A | B | D |
0 | 0 | 1 | 3,24 |
2 | 0,03 | 1,12 | 3,32 |
4 | 0,06 | 1,25 | 3,51 |
6 | 0,1 | 1,39 | 3,71 |
8 | 0,14 | 1,55 | 3,93 |
10 | 0,18 | 1,73 | 4,17 |
12 | 0,23 | 1,94 | 4,42 |
14 | 0,29 | 2,17 | 4,69 |
16 | 0,36 | 2,43 | 5 |
18 | 0,43 | 2,72 | 5,31 |
20 | 0,51 | 3,06 | 5,66 |
22 | 0,61 | 3,44 | 6,04 |
24 | 0,72 | 3,87 | 6,45 |
26 | 0,84 | 4,37 | 6,9 |
28 | 0,98 | 4,93 | 7,4 |
30 | 1,15 | 5,59 | 7,95 |
32 | 1,34 | 6,35 | 8,55 |
34 | 1,55 | 7,21 | 9,21 |
36 | 1,81 | 8,25 | 7,98 |
38 | 2,11 | 9,44 | 10,8 |
40 | 2,46 | 10,84 | 11,73 |
42 | 2,87 | 12,5 | 12,77 |
44 | 3,37 | 14,48 | 13,96 |
46 | 3,66 | 15,64 | 14,64 |
Формулы (11) допускается применять при любой форме фундаментов в плане. Для подошвы фундаментов в форме круга или правильного многоугольника принимаются значения

, где
F - площадь подошвы фундаментов данной формы.
Нормативные давления при условии полного насыщения водой песков мелких принимаются с учетом коэффициента условий работ m = 0,8 и для песков пылеватых m = 0,6.
Формулы (11) учитывают, что глубина зоны местного нарушения прочности оснований не превосходит 1/4 ширины фундамента.
Нормативное давление по
формулам (11) определяется для всех расчетных участков с различной глубиной заложения на основании общих для здания расчетных характеристик, полученных после статистической обработки.
Нормативное давление грунта оснований под подошвой существующих фундаментов определяется по формуле
Rн' = RнmK кГ/см2, (12)
где
m - коэффициент, учитывающий изменение физико-механических свойств грунтов оснований за период эксплуатации здания, принимаемый по
табл. 6 в зависимости от отношения давления до надстройки (
Pо) к нормативному давлению (
Rн);
K - коэффициент, зависящий от величины осадки здания, принимаемый по
табл. 7 в зависимости от отношения величины расчетной осадки при давлении, равном нормативному (
SRн), к предельно допустимой осадке (
Sпр.ср) по
СНиП II-Б.1-62.
Таблица 6
Показатель | Отношение  |
более 80 | 80 - 70 | менее 70 |
Коэффициент m | 1,3 | 1,15 | 1,0 |
Таблица 7
Грунты оснований независимо от влажности и плотности | Отношение  |
20 | 70 |
Пески крупные и средней крупности | 1,4 | 1,0 |
Пески мелкие | 1,2 | 1,0 |
" пылеватые | 1,1 | 1,0 |
Связные грунты с B <= 0 | 1,2 | 1,0 |
То же, с B <= 0,5 при сроке эксплуатации более 15 лет | 1,1 | 1,0 |
Примечание. Для промежуточных значений  коэффициент K принимается по интерполяции. |
Относительные деформации прогиба (перегиба) после надстройки не должны превышать значений, рекомендованных
СНиП II-Б.1-62. При этом следует иметь в виду, что при надстройках неравномерные деформации имеют то же направление, что и до надстройки.
При плотности размещения фундаментов в здании более 65% допускается определение величины осадок как для сплошных фундаментных плит.
Плотность размещения фундаментов определяется по формуле

(13)
где

- суммарная площадь фундаментов в здании в м
2;
Fзаст - площадь застройки здания в м2.
В этом случае давление под подошвой фундаментов принимается по формуле

(14)
где

- вес здания в т.
Для глинистых грунтов с консистенцией от мягкопластичной до текуче-пластичной, ленточных суглинков и глин, глинистых грунтов, содержащих растительных остатков до 10% от веса минеральной части, а также для зданий на глинистых грунтах с
B <= 0,5 и сроке эксплуатации менее 15 лет и для зданий на различных грунтах в случае, если расчетная осадка при
P =
Rн превышает 70% предельной осадки, увеличение нагрузок допускается только в пределах
Rн. При этом осадка, разность осадок соседних опор и относительный прогиб после надстройки не должны превышать предельно допустимые по
СНиП II-Б.1-62.
Для всех этих случаев следует проводить дополнительную проверку основания по несущей способности (по первому предельному состоянию).
Возможность повышения давлений должна решаться для каждого отдельного случая в соответствии с результатами исследования грунтов.
Для зданий, возведенных на просадочных грунтах, дополнительно должны быть представлены: коэффициент относительной просадочности

(по компрессионным испытаниям), источник и объем замачивания (при ремонте деформированных зданий).
Для закрепления оснований существующих фундаментов дополнительно должны быть даны: коэффициент фильтрации Kф и содержание в грунтах солей Ca и Mg.
Приложение расчетных усилий принимается исходя из следующих положений. В зданиях с жесткой конструктивной схемой стены 1-го этажа для зданий без подвала
(рис. 8) или стены подвала принимаются за одноярусные стойки с неподвижными шарнирными опорами. При этом равнодействующая всех вышележащих сил (
N1) приложена по оси стены второго этажа для зданий с подвалом. Сила
P1 считается приложенной от внутренней грани стены на расстоянии 1/3 от величины заделки. Колонны в зданиях с жесткой конструктивной схемой рассчитываются на центральное сжатие. В зданиях с упругой конструктивной схемой стены и колонны рассматриваются как одноярусные стойки, защемленные в нижней опоре и шарнирно заделанные в перекрытиях. В этом случае равнодействующая всех вышележащих сил приложена с фактическим эксцентриситетом относительно центра тяжести подошвы фундамента.
Рис. 8. Сбор нагрузок для расчета оснований фундаментов
а - ленточный фундамент в здании с подвалом при жесткой
конструктивной схеме; б - ленточный фундамент в здании
без подвала при жесткой конструктивной схеме; в - ленточный
фундамент в здании с упругой конструктивной схемой;
г - фундамент под отдельно стоящие опоры при любой
схеме здания
В усилие N1 входит вся вышележащая нагрузка от веса стен, перекрытий, кровли и полезная нагрузка. В P3 должен быть учтен вес грунта на обрезах фундамента.
Практически удобно совмещать сбор нагрузок и расчет фундаментов и простенков в одной таблице. Сбор нагрузок начинается сверху. В сечении верхнего этажа усилие Ni включает вес стены верхнего этажа, карниза, стены выше чердачного перекрытия, кровли, снега и чердачного перекрытия с полезной нагрузкой. В каждом сечении полная нагрузка от вышележащих этажей (Ni) находится суммированием полной нагрузки в вышележащем сечении и нагрузки от усилий данного этажа.
В зданиях с упругой конструктивной схемой изгибающие моменты M определяются как алгебраическая сумма моментов от сил N1, P2 и P3 на фактический эксцентриситет относительно вертикальной оси, проходящей через центр тяжести подошвы.
При расчетах оснований эксплуатируемых зданий собирают все нагрузки (существующие и новые). При этом следует обратить внимание на то, что в некоторых зданиях (особенно где ранее была выполнена надстройка) грузовая площадь перекрытий, так же как и сама схема по этажам, может быть различной, часто имеются стены и колонны, идущие не на всю высоту здания, и т.п. Для расчета при сборе нагрузок выбирают как перегруженные, так и незагруженные участки. При больших новых нагрузках целесообразно передавать дополнительные давления на менее загруженные участки стен или на дополнительные промежуточные опоры.
Вес перегородок учитывают по фактическим данным в зависимости от конструкции и схемы опирания их на перекрытия.
Полезная нагрузка в % принимается для этажей:
1-го и 2-го, считая от верха ...................................... 100
3-го и 4-го " " " ......................................... 85
5-го и 6-го " " " ......................................... 70
Нагрузки принимаются расчетные для определения рабочей высоты консоли h0, площади поперечного сечения арматуры Fа, высоты прикладываемых банкетов (расчет фундаментов).
При расчете осадок, ширины подошвы и напряжений принимаются нормативные нагрузки (расчет оснований). Разрешается определять суммарную нормативную нагрузку путем деления суммарной расчетной нагрузки на коэффициент 1,2.
3. АНАЛИЗ ПРИЧИН ДЕФОРМАЦИЙ СТЕН И ФУНДАМЕНТОВ ЗДАНИЙ
При анализе причин деформаций, их объема и характера распространения (местный или общий) очень важно уметь отличать трещины осадочные, связанные с деформациями оснований, от трещин конструктивных.
Осадочные деформации вызываются:
1) наличием под фундаментами зданий участков слабых оснований, отдельных пустот или жестких включений;
2) выемкой грунта вблизи здания (расположение его на призме обрушения);
3) местным замачиванием грунтов или выдавливанием плывунов в открытые траншеи;
4) осадкой новых зданий, возведенных вблизи существующих;
5) расположением подвалов только под частью здания.
Во всех случаях при инженерно-геологическом обследовании должны быть установлены причины деформаций. При анализе деформаций следует отличать трещины в несущих стенах от трещин в перегородках. Особенно часто деформируются перегородки 1-го этажа (в бесподвальных зданиях), основанные на насыпных грунтах.
К наиболее распространенным конструктивным деформациям относятся:
отслоение облицовки (в том числе кирпичной);
усадочные трещины при использовании в кладке материалов с разными физическими свойствами (например, красный и силикатный кирпич);
трещины в местах примыкания внутренних стен к наружным, особенно при разных нагрузках и различных материалах, характерные для верхних этажей зданий;
недостаточная несущая способность кладки.
Главной причиной деформаций зданий на просадочных грунтах является замачивание грунтов в их основаниях.
Основными источниками увлажнения являются:
а) поверхностные (атмосферные) воды, водоразборные колонки и краны, оросительные каналы, ливневая канализация (приемные лотки), фонтаны и др.;
б) подземные утечки из водопровода, канализации, центрального отопления, горячего водоснабжения, грунтовые воды, подземные резервуары и др.
Кроме явных источников увлажнения могут быть скрытые, трудно обнаруживаемые - старые линии водонесущих коммуникаций, локальные участки грунтовых вод и др. Поэтому при обследовании как деформированных зданий, так и зданий, подлежащих надстройке, необходимо, учитывать места расположения вводов и выпусков водонесущих коммуникаций, состояние конструкций отмосток и все расположенные вблизи источники воды.
УСИЛЕНИЕ ОСНОВАНИЙ
1. СИЛИКАТИЗАЦИЯ И ЭЛЕКТРОСИЛИКАТИЗАЦИЯ
Силикатизация оснований существующих фундаментов применяется для увеличения несущей способности мелких и пылеватых песков, плывунов и лессов.
При содержании солей Ca и Mg более 0,6 мг-экв применяется однородная силикатизация (жидкое стекло NaSiO2). При содержании этих солей менее 0,6 мг-экв применяется двухрастворная силикатизация (жидкое стекло и хлористый кальций CaCl2).
При влажности W > 22 лессовых грунтов и коэффициенте фильтрации Kф < 0,1 м/сутки применяется электросиликатизация.
Для силикатизации используются инъекторы из стальных труб диаметром 19 - 38 мм. Длина перфорированной части трубы l0 = 1 м, давление при нагнетании - 3 - 6 атм.
Для расчетов принимаются следующие радиусы закрепления (r):
песок пылеватый ........................................... 0,3 - 0,4 м
" мелкий .............................................. 0,8 - 1 "
плывуны ................................................... 0,3 - 1 "
лесс ...................................................... 0,3 - 1 "
Проектирование укрепления грунтов методом силикатизации ведется в следующей последовательности (для однорастворной силикатизации).
Принимается (подбирается) радиус закрепления от одного инъектора, время нагнетания раствора и режим давления при нагнетании. Иногда радиус закрепления подбирают конструктивно в зависимости от ширины фундамента.
Сначала определяется расстояние между инъекторами в одном ряду и между рядами:
l = 1,73r; lп = 1,5r.
Затем определяется глубина заходки
l = l0 + 0,5r
и число заходок
где z - глубина просадочной толщи ниже подошвы фундаментов в м.
Количество раствора на одну заходку одного инъектора
где

- удельный вес воды в т/м
3;
K - коэффициент наполнения свободных пор раствором в зависимости от степени влажности, принимается по табл. 8.
Таблица 8
Наполнение свободных пор раствором в зависимости
от степени влажности грунта
Степень влажности G | < 0,3 | > 0,3 | 0,4 | < 0,5 | > 0,5 |
K | 0,6 | 0,7 | 0,8 | 0,9 | 1,0 |
Удельный расход жидкого стекла с объемным весом 1 т/м3 на 1 м3 закрепленного грунта определяется по формуле
где h - коэффициент, учитывающий потери влажности монолита в момент его закрепления в лаборатории; по сравнению с влажностью грунта в естественном состоянии h = 1,1;
Rм - максимальная кубиковая прочность закрепления в кГ/см2;
R0 - прочность незакрепленного грунта естественной влажности в кГ/см2;
Rп - проектируемая прочность закрепления в кГ/см2;
b - коэффициент, учитывающий степень нарастания прочности в зависимости от свойств грунтов.
Плотность раствора определяется по формуле
где V - объем закрепления от одной проходки одним инъектором.
В случае высокого расположения уровня грунтовых вод, плохого состояния кладки фундамента или экономической целесообразности прорезки всей просадочной толщи грунта несколькими заходками грунт закрепляют не отдельно расположенными опорами, а в виде сплошной подушки с передачей на нее всей нагрузки Rп.
Напряжение на грунт через подушку закрепляемого грунта определяется по формуле

(15)
| | ИС МЕГАНОРМ: примечание. Обозначение дано в соответствии с официальным текстом документа. | |
где hср - высота подушки закрепляемого грунта в м;
bср - ширина подушки закрепляемого грунта в м;
b - ширина существующего фундамента в м;
P1 - вертикальная нагрузка от конструкций в т;
P2 - вес подушки закрепляемого грунта в т;
P3 - вес грунта на обрезах в т;
P4 - боковое сцепление закрепленного грунта в незакрепленном по данным лабораторных испытаний в т/м2;
P0 - сцепление боковой поверхности подушки из закрепленного грунта с незакрепленным в т/м2;
P0 = P4·2hср.

должно быть меньше
Rнач (начальное просадочное давление) или
Rн.
Расчет двухрастворной силикатизации и электросиликатизации производится в следующем порядке:
количество раствора (в л) на одну заходку определяется аналогично для однорастворной силикатизации;
количество раствора хлористого кальция (по объему) принимается на 10% больше;
количество воды, необходимой для получения раствора жидкого стекла рабочей консистенции:
где a1 - удельный вес исходного раствора жидкого стекла;
a2 - удельный вес конечного раствора жидкого стекла.
Цементация применяется для укрепления крупнообломочных и крупных песков (рис. 9). Для цементации используется раствор цемента в воде (1:1). Марка цемента >= 400. Для нагнетания раствора в основание применяются инъекторы из стальных труб диаметром 27 - 75 мм. Длина перфорированной части 1 - 0,8 м. Давление при нагнетании 3 - 6 атм.
Рис. 9. Усиление оснований фундаментов эксплуатируемых
зданий силикатизацией и цементацией
а - план здания; б - разрез A-A; 1 - зона усиляемого
основания; 2 - инъектор
Радиусы закрепления r принимаются следующие:
трещиноватые скальные породы ............................. 1,2 - 2 м
галечные грунты .......................................... 0,75 - 1 "
пески крупные ............................................ 0,7 - 0,75 "
" средней крупности .................................. 0,3 - 0,5 "
На 1 м3 укрепленного объема грунта расходуется раствора 0,15 - 0,4 м3.
3. ГЛИНИЗАЦИЯ ЛЕССОВЫХ ГРУНТОВ
Радиус глинизации лессовых грунтов принимается по табл. 9 в зависимости от коэффициента фильтрации.
Таблица 9
Радиус глинизации в зависимости от коэффициента
фильтрации грунтов
Коэффициент фильтрации Kф | 0,1 - 0,3 | 0,3 - 0,5 | 0,5 - 1 | 1 - 2 |
Радиус глинизации r в м | 0,3 - 0,4 | 0,4 - 0,5 | 0,5 - 0,6 | 0,6 - 0,7 |
Грунт глинизируется по заходкам сверху вниз. Величина одной заходки равна длине перфорированной части инъектора плюс 0,1r.
Для лучшего проникания суспензии в лессовый просадочный грунт инъекторы следует забивать наклонно, под углом 15 - 20° к вертикали.
Количество глины на 1 м3 глинизируемого основания определяется по формуле
где n1 - пористость глинизируемого грунта (доли единицы);

- удельный вес бетонитовой глины в т/м
3;
W - влажность бетонитовой глины в %.
Удельный вес нагнетаемой суспензии принимают в зависимости от пористости глинизируемого лесса по табл. 10.
Таблица 10
Удельный вес глинистой суспензии для различной пористости
грунтов оснований
Пористость лесса в % | 43 | 44 | 45 | 46 | 47 | 48 | 49 | 50 | 52 |
Удельный вес суспензии  | 1,08 | 1,08 | 1,1 | 1,11 | 1,11 | 1,13 | 1,14 | 1,15 | 1,16 |
Объем водной суспензии глины на 1 м3 грунта равен:
Давление при нагнетании глинистой суспензии должно поддерживаться в пределах 1,5 - 1,6, но не более 2 атм.
Глинизировать основания необходимо под всеми фундаментами здания, независимо от глубины заложения фундаментов, их размеров и нагрузки на них.
4. ПЕСЧАНЫЕ ПОДУШКИ ПОД НОВЫЕ ФУНДАМЕНТЫ
Песчаные подушки используются при устройстве новых фундаментов при залегании под подошвой фундамента грунтов с малым нормативным давлением (2 - 0,5 кГ/см2) для уменьшения размеров фундаментов (рис. 10). Песчаные подушки рекомендуются при ширине фундаментов до 2,5 м. При наличии грунтовых вод подушки не применяются.
Рис. 10. График для расчета песчаной подушки
Отсыпка подушки должна производиться слоями 15 - 20 см с тщательной трамбовкой и проливкой водой.
Расчет песчаной подушки производится в следующей последовательности:
1) задаются допускаемой нагрузкой на песчаную подушку

(в зависимости от крупности зерен и степени уплотнения);
2) определяют размеры фундамента из расчета опирания на подушку

(16)
3) определяют размеры подушки

(17)
Коэффициент
mп, зависящий от

и размеров фундаментов, принимают по кривым, показанным на
рис. 10.
УСИЛЕНИЕ ФУНДАМЕНТОВ
1. УСИЛЕНИЕ СУЩЕСТВУЮЩИХ ФУНДАМЕНТОВ ПРИ УВЕЛИЧЕНИИ НАГРУЗОК
а) Цементация фундаментов
Укрепление фундаментов цементацией используется при марке камня существующего фундамента больше 100. Для крепления стен подвала этот способ применяется только с устройством железобетонной рубашки.
Трубки или инъекторы применяются диаметром 25 мм. Расстояние между ними вдоль фундамента 50 - 100 см. Нагнетается раствор под давлением 2 - 5 атм.
Работы выполняются участками длиной 2 - 2,5 м, раствор нагнетают после засыпки шурфов. Нагнетание прекращается, если в течение 10 - 15 мин раствор не поглощается.
Для цементации используется раствор консистенции 1:1 (цемент:вода). Расход раствора 25 - 35% от объема укрепляемого фундамента. При таком способе укрепления фундаментов применяется цемент марки 300 - 400.
Расчетная прочность усиленного бутового и бутобетонного фундамента может быть принята для раствора марки 50 по
табл. 12.
б) Укрепление фундаментов бетонной
или железобетонной обоймой
Бетонные обоймы применяются для безрастворной кладки или когда требуется уширение на 20 - 30 см. Минимальная толщина обоймы 15 см.
Рекомендуются следующие обязательные размеры бетонной обоймы: минимальная высота обоймы над бутовой кладкой 50 см; минимальная рабочая высота 60 см.
Железобетонная обойма применяется для безрастворной кладки при неудовлетворительном состоянии фундаментов или стен на отдельных участках
(рис. 11). Такая обойма рекомендуется, когда прочность нижележащих стен или фундаментов ниже, чем у вышележащих участков. Обойма стен может быть как односторонней, так и двусторонней. Минимальная толщина обоймы 8 - 10 см. Для железобетонных обойм применяются анкеры диаметром 20 мм, устанавливаемые через 1 - 1,5 м; арматурная сетка 10 - 15 x 10 - 15 см. При этом в нижней части стен ячейки делают чаще, в верхней - реже; стойки для обоймы стены из двутавров N 14 - 16. Нижние их концы заделывают в бетонную подготовку пола, верхние концы приваривают к анкерам.
Рис. 11. Железобетонная обойма
а - односторонняя железобетонная обойма стены подвала;
б - фасад стены; в - двусторонняя железобетонная обойма
фундамента; 1 - существующая стена; 2 - обойма;
3 - арматурный каркас; 4 - анкер; 5 - стойка каркаса
При устройстве бетонных и железобетонных обойм применяется литой бетон марки 150.
Работы выполняются участками длиной 2 - 2,5 м. Кладка перед бетонированием или торкретированием должна быть очищена от грязи и продута сжатым воздухом.
в) Укрепление фундаментов с расширением подошвы
Для расширения подошвы фундаментов (в зависимости от расчета) применяются как односторонние, так и двусторонние банкеты
(рис. 12). При внецентренном сжатии банкет располагают в направлении действия моментов.
Рис. 12. Усиление существующих ленточных фундаментов
монолитными банкетами
а - одностороннее расширение бетонным приливом;
б - двустороннее расширение при большом развитии
существующих фундаментов; в - двустороннее расширение
при незначительном развитии существующих фундаментов;
г - расширение при большой глубине залегания существующих
фундаментов и с усилением оснований цементно-песчаными
сваями; д - расширение жесткими железобетонными банкетами;
е - расширение гибкими железобетонными банкетами;
1 - подкос; 2 - разгружающие балки; 3 - щебеночная
подготовка; 4 - анкеры; 5 - опоры балок; 6 - штыри-связи
через 25 см по высоте; 7 - зачеканка цементным раствором;
8 - цементно-песчаные сваи через 1 м
Минимальная ширина банкета из условий производства работ - 30 см в нижнем обрезе и 20 см - в верхнем.
Минимальное отношение высоты уступов к их длине дано в табл. 11.
Таблица 11
Минимальные отношения высоты уступов к их длине
Для бутовых и бутобетонных фундаментов | Для фундаментов из бетонных блоков |
марка раствора или бетона | давление на грунт в кГ/см2 | марка бетона | давление на грунт в кГ/см2 |
Rн < 2 | Rн > 2 | Rн < 2 | Rн > 2 |
50 - 100 | 1,25 | 1,5 | 150 | 1 | 1,1 |
10 - 35 | 1,5 | 1,75 | 100 | 1,1 | 1,2 |
4 | 1,75 | 2 | 75 | 1,2 | 1,3 |
Высота железобетонного банкета на концах консолей не должна быть менее 20 - 25 см. При этом защитный слой для нижней арматуры принимается >= 70 мм при отсутствии подготовки под банкетом и >= 35 мм при ее наличии.
При заложении банкетов на уровне подошвы фундаментов под банкетами необходимо предусмотреть щебеночную подготовку, а при заложении банкетов выше уровня подошвы фундаментов нижележащий грунт следует усилить цементно-песчаными сваями.
При проектировании следует учитывать следующие конструктивные рекомендации:
1) при ширине уступов существующего фундамента менее 12 см для лучшей связи забивают штыри диаметром 16 мм в шахматном порядке через 25 см по высоте и 1,5 м по длине фундамента. Анкеры применяют диаметром 25 - 30 мм; опоры балки выполняют из швеллера или двутавра N 18 - 16. Разгружающие консоли принимаются по расчету (обычно двутавры или железобетонные перемычки типа БГУ);
2) армируются гибкие железобетонные банкеты расчету. Конструкция сеток аналогична сеткам для новых опор;
3) бетон применяется литой марки 150. Подклинка разгружающих консолей должна выполняться обрезками металла;
4) расширение подошвы фундаментов отдельно стоящих опор необходимо выполнять одновременно с устройством обоймы для колонн со всех сторон
(рис. 13);
5) разгружающие консоли для расширения подошвы колонны применяются только металлические с обязательной их приваркой к стойкам обоймы. Наружное расположение разгружающих консолей (т.е. без заводки их в штрабу в существующем фундаменте) допускается при высоте обоймы более 2 м.
Рис. 13. Усиление фундаментов отдельно стоящих опор
1 - существующий фундамент; 2 - стойки каркаса (уголки);
3 - бетонный банкет; 4 - разгружающие балки; 5 - арматурный
каркас банкета; 6 - щебеночная подготовка
Работы по расширению подошвы ленточных фундаментов должны выполняться участками длиной по 2 - 2,5 м. В проекте должны быть указаны схемы захваток.
При расширении подошвы отдельно стоящих опор работы выполняются поочередно со всех сторон колонн. Последующую штрабу выбирают только после тщательной заделки предыдущей. При выполнении работ необходимо обратить внимание на особую тщательность уплотнения грунта под подошвой банкета и бетона в штрабе после установки разгружающей консоли. Кладка перед бетонированием банкетов должна быть очищена от грязи.
г) Устройство фундаментной плиты
Фундаментная плита
(рис. 14) применяется при слабых грунтах и больших дополнительных нагрузках. Минимальная толщина плиты 25, а ребер 30 x 40 см. Заделки в существующие стены выполняются глубиной 35 - 40 см. Плиту целесообразно расположить на высоте не менее 75 см от подошвы фундаментов. Под нее укладывают щебеночное основание с плотной трамбовкой слоями общей толщиной 15 - 20 см.
Рис. 14. Фундаментная плита
1 - существующий фундамент; 2 - прогон фундаментной плиты;
3 - балки фундаментной плиты; 4 - плита
В местах отдельно стоящих опор в плите делают осадочные швы по 2 - 3 см.
Армирование выполняется по расчету в двух направлениях.
Работы должны выполняться согласно специальному проекту организации работ, в котором указываются последовательность разработки штраб и пробивки отверстий, монтаж сеток и бетонирования. При бетонировании необходимо обратить внимание на тщательность заполнения бетоном штраб и гнезд, выбранных в существующем фундаменте.
2. УСИЛЕНИЕ ДЕФОРМИРОВАННЫХ СТЕН И ФУНДАМЕНТОВ
Для правильного выбора метода "лечения" деформированных стен и фундаментов важное значение имеет определение причин деформаций, их объема и характера (местный или общий). Кроме того, необходимо тщательно изучить конструкции здания, их особенности, условия и схему передачи нагрузок на деформированные участки.
Очень важно уметь отличать деформации, связанные с основанием, от конструктивных деформаций.
При просадочных грунтах особенно важно определять источники замачивания грунтов и проектировать водоотводящие системы.
Сбор нагрузок, предварительное выяснение и соблюдение условий прочности оснований и фундаментов осуществляются аналогично проектированию реконструкции здания.
При проектировании ремонта деформированных стен надо обязательно проверять возможность разгрузки деформированных участков путем передачи нагрузки на другие участки фундаментов и оснований.
Можно применять локальные конструкции, общие и комбинированные решения по усилению.
В качестве локальных конструкций применяются: цементация фундаментов, укрепление фундаментов и стен подвала обоймами, укрепление фундаментов с расширением подошвы (см.
гл. IV-1). Кроме того, используются замена ростверков и настилов, подводка и углубление фундаментов, передача нагрузок на выносные опоры (см.
гл. IV-3).
В качестве общих конструкций используются фундаментные плиты (см.
гл. IV-1) и напряженные пояса.
Для местного крепления стен применяются: разгрузочные балки, скобы-стяжки, накладные пояса.
б) Разгрузочные балки, скобы-стяжки
Разгрузочные балки используются при местных деформациях, при необходимости перераспределить нагрузки с деформированных участков на прочные участки стен и фундаментов и для предотвращения дальнейшего раскрытия трещин.
Разгрузочные балки обычно ставят в уровне верха фундамента или в уровне оконных перемычек 1-го или подвального этажа. Рекомендуются разгрузочные балки из швеллеров N 22 - 27 (рис. 15). При толщине стен более 64 см используются двусторонние балки.
Рис. 15. Разгрузочные балки и скобы-стяжки
а - фасад; б - план продольной стены; в - детали устройства
разгрузочных балок (Д-1); г - скобы-стяжки; 1 - пояс-швеллер
N 22 - 27; 2 - планка-анкер; 3 - анкер диаметром 16 - 20 мм
через 2 - 2,5 м
Односторонние разгрузочные балки анкеруют полосовым или круглым железом через 2 - 2,5 м; двусторонние связывают между собой болтами диаметром 16 - 20 мм через 2 - 2,5 м.
Скобы-стяжки устанавливают на трещине в каждом этаже. В качестве разгрузочной балки используют обрезки проката (лучше швеллер или уголок), а в качестве анкеров - болты диаметром 20 - 22 мм. Минимальная длина балки 2 м. Анкер-болт устанавливают не ближе 65 - 70 см от трещины.
При установке балок необходимо соблюдать следующие условия: глубина штрабы для балки не должна быть меньше ширины полки, отверстия для анкеров разрабатывать только дрелью, после монтажа конструкции штрабу бетонировать бетоном марки 100 и тщательно уплотнять.
Пояса используются для предотвращения дальнейшего развития местных деформаций (рис. 16).
Рис. 16. Накладные пояса
а - фасад; б - план здания; в - детали устройства накладных
поясов (Д-1); 1 - пояса из швеллеров N 12 - 14; 2 - тяж
диаметром 18 - 28 мм
В качестве анкеров в таких конструкциях используют швеллеры N 12 - 14. Тяжи - из круглой стали диаметром 18 - 28 мм. Расчет тяжей ведется по усилию на растяжение кладки. Натяжение производится вручную муфтами с обратными нарезками. Натяжение тяжей по высоте анкеров производится равномерно.
Все металлические детали должны быть покрыты антикоррозионным составом.
Напряженные пояса применяют для увеличения пространственной жесткости здания. Основное назначение поясов - снять с кладки растягивающие напряжения и передать их на металл. В большинстве случаев при деформациях осадочного характера благодаря напряженным поясам прекращается развитие деформаций (рис. 17).
Рис. 17. Напряженные пояса
а - фасад; б - план здания; в - деталь Д-1; г - деталь Д-2
(муфта); 1 - существующая кирпичная стена; 2 - штраба
70 x 80 мм; 3 - угловой анкер; 4 - пояс диаметром
22 - 32 мм; 5 - костыль для крепления поясов к стене;
6 - деревянная пробка; 7 - муфта с двойной нарезкой
Пояса рекомендуются из круглой стали диаметром 22 - 32 мм. Натяжение производится вручную муфтами с обратными нарезками при помощи ломиков.
Напряженные пояса обязательно ставят в плоскости перекрытий. По углам зданий пояса связывают уголками N 100 - 150. Пояса должны быть замкнутыми. Длина большей стороны пояса не должна превышать 1,5 коротких. Длинная сторона обычно составляет 15 - 18 м. Практически деформированная часть здания, взятая в пояса, должна быть закреплена на здоровой части на длину не менее 1,5 длины деформированной части здания. Указанная конструкция напряженных поясов предложена Н.М. Козловым.
Равнодействующую силу натяжения пояса определяют по формулам, рекомендованным Р.С. Погосовым:

(18)
где hп - плечо силы P относительно центра тяжести сохранившегося сечения стены под трещиной в м;
Q0 - вес осевшего диска (стены) в т;
l0 - плечо силы Q0 относительно той же точки в м;
R2 - расчетное сопротивление грунта на деформированном участке;
K2 - коэффициент постели грунтов на деформированном участке;
K1 - коэффициент постели грунтов на здоровом участке;
b2 - толщина стены в м;
l - длина осевшего диска в м;

- ордината эпюры нормальных напряжений под трещиной в стене в т/м
2;
H - высота осевшего диска в м;

;
hк - высота кладки стены между смежными по высоте проемами в м;
Rсрз - расчетное сопротивление кладки срезу в т/м2.
Пояса начинают устанавливать снизу: к каждому последующему переходят после натяжки предыдущего. Натяжение поясов начинают с внутренних стержней (проходящих внутри здания). В поясе от узла ставят две муфты: натяжную и монтажную.
Все металлические детали должны быть покрыты антикоррозионными составами.
3. ЗАМЕНА СУЩЕСТВУЮЩИХ ФУНДАМЕНТОВ И УГЛУБЛЕНИЕ ПОДВАЛОВ
Замена существующих деревянных ростверков и настилов производится обычно при небольших объемах работ, при значительном поражении деревянных конструкций гнилью.
Разобранные деревянные конструкции заменяются бетонными или железобетонными. Бетон применяется литой марок 100 - 150. Армирование выполняется заранее приготовленными каркасами.
Перекладка, углубление и подводка фундаментов используются также при небольших объемах работ, при необходимости углубления отдельных помещений, при примыкании к зданию глубоких пристроек, при наличии насыпных грунтов под подошвой и т.п. При углублении и подводках ширина подошвы может быть расширена или сохранена существующая (по расчету). Принятая величина заглубления подошвы подводимых фундаментов должна быть проверена на выпирание грунта.
Уступы в обоих направлениях при подводках и расширениях подошвы должны отвечать требованиям
табл. 11.
Для подводки целесообразно применять монолитные бетонные фундаменты. Минимальная высота подводимой части фундамента 40 - 50 см.
Нижняя часть нового фундамента армируется конструктивно сеткой с ячейкой 15 x 15 см и рабочей арматурой диаметром 10 - 12 мм, при этом на каждой захватке оставляют концы для приварки сетки следующей захватки. Для фундаментов применяется жесткий бетон марки 100.
Работы выполняют участками длиной 1,5 - 2 м по специально разработанному проекту с указанием последовательности работы на каждой захватке.
Особенно тщательно необходимо выполнять заклинку и зачеканку отверстия при подводке нового фундамента.
При производстве работ с одной стороны после выемки грунта у противоположной стороны обязательно устройство щита опалубки.
Как вариант реконструкции фундаментов применяется передача нагрузок на выносные опоры. Этот метод используется и как крепление фундаментов и как временное мероприятие при ремонте значительных участков существующих фундаментов (охранная конструкция).
В качестве выносных опор чаще используются сваи и оболочки различных конструкций, реже бетонные банкеты (рис. 18). Количество свай или площадь банкетов определяется расчетом. Для передачи нагрузки используются железобетонные и металлические балки. Для равномерной передачи нагрузки на балки-консоли используются распределительные балки, которые подбирают по расчету на смятие кладки над распределительными балками и шагу между балками-консолями.
Рис. 18. Передача нагрузок на выносные опоры
а - использование набивных свай; б - передача нагрузок
на оболочки; в - передача нагрузок на монолитные банкеты;
1 - существующий фундамент; 2 - распределительные балки;
3 - разгрузочные балки; 4 - набивные сваи; 5 - бетонные
оболочки; 6 - бетонные банкеты
4. РАСЧЕТЫ ПО УСИЛЕНИЮ СУЩЕСТВУЮЩИХ ФУНДАМЕНТОВ
а) Расчет ленточных фундаментов
Для расчета принимается участок фундамента длиной в 1 пог. м под расчетным простенком. Все нагрузки наносятся на схему
(рис. 19).
Рис. 19. Схемы для расчетов расширения фундаментов
а - двустороннее расширение ленточных фундаментов
без разгрузочных балок; б - расширение фундаментов
отдельно стоящих опор; в - двустороннее расширение ленточных
фундаментов массивными банкетами; г - то же, гибкими
банкетами; д - одностороннее расширение ленточных
фундаментов
Требуемая ширина фундамента и уширения определяется по формуле

(19)
bуш = b - bсущ см,
где
N1,
P1,
P2,
P3 - усилия в кГ;

;
lпр - длина расчетного участка стены в м;
Rн - нормативное сопротивление грунтов основания в кГ/см2;

- объемный вес грунта в г/см
2;
b, h - размеры фундамента в см.
В зданиях с упругой конструктивной схемой дополнительно определяют приложение равнодействующей всех вертикальных сил относительно стены подвала или фундамента:

(20)
При
C0 <= 0,033 определенная по
формуле (19) величина
b является окончательной. При
C0 > 0,033 уточняют величину
b с учетом действия момента:

(21)
При конструировании фундаментов в этом случае возможно смещение оси фундамента от оси стены за счет несимметричных или односторонних банкетов.
Высота прикладываемых банкетов при соединении "зубом" или перевязкой определяется из условия среза кладки по неперевязанному шву (расчетная нагрузка)

(22)
где Kу = 1 - для одностороннего и Kу = 2 для двустороннего усиления;
Rсрз - прочность кладки на срез: 1,6 кГ/см2 для раствора марки 50 и выше и 1,1 для раствора марки 25;
N - расчетная нагрузка.
Высота банкета при передаче нагрузок металлическими или железобетонными разгружающими консолями-балками определяется из отношения

, которое должно отвечать требованиям минимальных отношений высоты уступов к их длине (см.
табл. 11).
При невозможности соблюсти требования
табл. 11 применяют железобетонные банкеты.
Площадь поперечного сечения рабочей арматуры железобетонных банкетов определяется по формуле

(23)
Разгрузочные консоли подбирают по величине расчетного момента Mкl1, кГ/см, где l1 - расстояние между консолями.
Местное смятие банкета и стены у разгружающей консоли определяется по формуле

(24)
где
Rсм = 2
Rф;
Rф - прочность фундамента на сжатие, принимаемая по
табл. 12 для бута и бутобетона; по
табл. 13 - для кирпичной кладки и по
табл. 14 - для бетона;

- длина опирания консоли на банкет в см;
m - ширина опирания консоли на банкет в см.
Таблица 12
Прочность бутовой кладки и бутобетона на сжатие
Rф
Марка камня | Значения Rф в кГ/см2 для бутовой кладки при марке раствора | Бутобетон невибрированный | Значения Rф в кГ/см2 для бутобетона при марке бетона |
100 | 75 | 50 | 25 | 10 | 4 | 2 | 200 | 150 | 100 | 75 | 50 |
800 | 22 | 20 | 16 | 10 | 7 | 4,5 | 3,3 | С рваным бутовым камнем марки 200 и более | 40 | 35 | 30 | 25 | 20 |
500 | 18 | 15 | 13 | 8,5 | 6 | 3,8 | 2,7 |
400 | 15 | 13 | 11 | 8 | 5,5 | 3,3 | 2,3 |
300 | 13 | 11,5 | 9,5 | 7 | 5 | 3 | 2 | То же, марки 100 | - | - | - | 22 | 18 |
200 | 11 | 10 | 8 | 6 | 4,5 | 2,8 | 1,8 |
100 | 7,5 | 7 | 6 | 5 | 3,5 | 2,3 | 1,5 | То же, марки 50 и на кирпичном щебне | - | - | - | 20 | 17 |
50 | - | - | 4,5 | 3,5 | 2,5 | 2 | 1,3 |
25 | - | - | 3 | 2,5 | 2 | 1,5 | 1 |
Таблица 13
Прочность кирпичной кладки на сжатие
Rф в кГ/см
2
для всех видов кирпича
Марка кирпича | Марка раствора |
100 | 75 | 50 | 25 | 10 | 4 | 2 | 0 |
300 | 33 | 30 | 28 | 25 | 22 | 18 | 17 | 15 |
200 | 27 | 25 | 22 | 18 | 16 | 14 | 13 | 10 |
150 | 22 | 20 | 18 | 15 | 13 | 12 | 10 | 8 |
125 | 20 | 19 | 17 | 14 | 12 | 11 | 9 | 7 |
100 | 18 | 17 | 15 | 13 | 10 | 9 | 8 | 6 |
75 | 15 | 14 | 13 | 11 | 9 | 7 | 6 | 5 |
50 | 15 | 11 | 10 | 9 | 7 | 6 | 5 | 3,5 |
35 | 15 | 9 | 8 | 7 | 6 | 4,5 | 4 | 2,5 |
Примечание. К данным табл. 13 вводятся коэффициенты 0,85 для жестких растворов и 0,9 для цементных растворов без извести. |
Таблица 14
Расчетное напряжение бетона на осевое сжатие
и сжатие при изгибе
Показатель | Конструкция | Марка бетона |
50 | 75 | 100 | 150 | 200 | 300 |
Сжатие при изгибе Rи | Железобетонная | 25 | 37 | 55 | 80 | 100 | 160 |
Бетонная | 22 | 33 | 50 | 70 | 90 | 140 |
Сжатие осевое Rф | Железобетонная | 20 | 30 | 44 | 65 | 80 | 130 |
Бетонная | 18 | 27 | 40 | 60 | 70 | 115 |
Величина m подбирается таким образом, чтобы были соблюдены условия прочности на смятие. При невозможности соблюсти эти условия предусматривают укладку разгрузочных подушек.
б) Расчет фундаментов под отдельно стоящие опоры
Расчет фундаментов под отдельно стоящие опоры выполняют в следующей последовательности.
Определяют усилия, эксцентриситет и размеры подошвы фундамента:

(25)
При C0 <= 0,033 применяют квадратные фундаменты; при C0 > 0,033 целесообразнее применять прямоугольные сечения, для которых определяют длинную сторону прямоугольника, задавшись меньшей величиной a:

(26)
Требуемое уширение сторон определяется
bуш = b - bсущ.
Далее определяется высота банкета:

(27)
где N - расчетное усилие;
Rсрз = 1,6 кГ/см2 для раствора марки 50 и выше и 1,1 кГ/см2 для раствора марки 25.
Если полученная величина больше 1,5 м, то применяют банкет и обойму для колонны. При этом их суммарная высота должна быть не менее величины, определенной по
формуле (27), а высота собственного банкета должна отвечать требованиям
табл. 11.
Рабочую высоту монолитных железобетонных банкетов определяют по формуле:
C0 <= 0,033

(28)
При C0 > 0,033

(29)
Рабочая арматура определяется в двух направлениях:

(30)
Разгрузочные консоли подбирают также в обоих направлениях по величине моментов

и

.
Смятие банкета и колонны у разгружающей консоли проверяют аналогично расчету ленточных фундаментов с учетом того, что усилия N и Mк распределяются обычно на две консоли.
в) Расчет сплошной фундаментной плиты
Для расчета фундаментной плиты задаются примерной схемой и конструкцией плиты.
Собирают все нагрузки (нормативные и расчетные) и наносят на схему (рис. 20).
Рис. 20. Схема для расчетов фундаментной плиты
Для расчета принимают участок стены длиной 1 пог. м.
Требуемая ширина фундамента определяется по формуле

(31)
Расчетные усилия в отдельных элементах конструкции определяются в направлении поперек стены

(32)
и для плиты в направлении стены

(33)
Для второстепенной и главных балок усилия определяют по фактической схеме нагрузки как в балке, шарнирно опертой на двух опорах (это дает некоторый запас).
Определяют моменты в пролете

и

и на опорах

и

и поперечную силу на опоре
Qв.б и
Qг.б.
Определяют сечение рабочей арматуры, задавшись размерами плиты и балок:
арматура плиты в обоих направлениях

(34)
арматура балок

(35)
где h0 - рабочая высота сечения плиты в см;
h - рабочая высота сечения балки в см;
коэффициент

определяется по
табл. 17 в зависимости от коэффициента
m - ширина балки;
| | ИС МЕГАНОРМ: примечание. Текст дан в соответствии с официальным текстом документа. | |
Rи,
Rа,
Rр - принимаются соответственно по
табл. 14,
15,
16.
Таблица 15
Расчетное сопротивление арматуры на растяжение
Rа в кГ/см
2
Вид арматуры | Вид арматурных изделий | Марка бетона | Rа |
Сталь горячекатаная периодического профиля | Во всех изделиях | 100 | 2200 |
Ст. 5 диаметром 10 - 40 мм | >= 150 | 2400 |
Сталь горячекатаная гладкая Ст. 3 диаметром 6 - 40 мм | В сварных каркасах и сетках | 100 | 1900 |
>= 100 | 2100 |
В вязаных каркасах и сетках | 100 | 1900 |
>= 150 | 2100 |
Сталь холодносплющенная периодического профиля Ст. 0 и Ст. 3 диаметром 6 - 32 мм | Во всех изделиях | 100 | 2400 |
Таблица 16
Расчетное сопротивление бетона на растяжение
Rр в кГ/см
2
Марка бетона | 50 | 75 | 100 | 150 | 200 | 300 |
Rр | 2,4 | 3,2 | 4,0 | 5,2 | 6,4 | 9,5 |
Таблица 17
Значение коэффициента

A0 | | A0 | | A0 | | A0 | |
0,995 | 0,010 | 0,930 | 0,130 | 0,865 | 0,234 | 0,800 | 0,320 |
0,990 | 0,020 | 0,925 | 0,139 | 0,860 | 0,241 | 0,795 | 0,326 |
0,985 | 0,030 | 0,920 | 0,147 | 0,855 | 0,248 | 0,790 | 0,332 |
0,980 | 0,039 | 0,915 | 0,155 | 0,850 | 0,255 | 0,785 | 0,337 |
0,975 | 0,048 | 0,910 | 0,164 | 0,845 | 0,262 | 0,780 | 0,343 |
0,970 | 0,058 | 0,905 | 0,172 | 0,840 | 0,269 | 0,775 | 0,349 |
0,965 | 0,077 | 0,900 | 0,180 | 0,835 | 0,275 | 0,770 | 0,354 |
0,960 | 0,077 | 0,895 | 0,188 | 0,830 | 0,282 | 0,765 | 0,359 |
0,955 | 0,085 | 0,890 | 0,196 | 0,825 | 0,289 | 0,760 | 0,365 |
0,950 | 0,095 | 0,885 | 0,203 | 0,820 | 0,295 | 0,755 | 0,370 |
0,945 | 0,104 | 0,880 | 0,211 | 0,815 | 0,301 | 0,750 | 0,375 |
0,940 | 0,113 | 0,875 | 0,219 | 0,810 | 0,309 | 0,745 | 0,380 |
0,935 | 0,121 | 0,870 | 0,224 | 0,805 | 0,314 | 0,740 | 0,385 |
Проверяют необходимость расчета балок на поперечную силу на опорах.
Если

, то отгибов не требуется, а хомуты ставят конструктивно.
Если

, то определяется максимальное расстояние между хомутами:

(36)
Задаются сечением хомутов и расстоянием между ними и по табл. 18 находят усилие, воспринимаемое хомутами.
Таблица 18
Усилие, воспринимаемое одной ветвью хомута на 1 м длины qх
в кГ/см2
Марка стали | Диаметр стержня в мм | Шаг между поперечными стержнями в см вдоль балки |
10 | 12,5 | 15 | 20 | 25 | 30 | 35 | 40 | 45 | 50 |
Проволока арматурная обыкновенная | 3 | 15,6 | 12,5 | 10,4 | 7,8 | 6,2 | 5,2 | - | - | - | - |
3,5 | 21,1 | 16,9 | 14,1 | 10,5 | 8,4 | 7 | 6 | - | - | - |
4 | 27,7 | 22,1 | 18,4 | 13,8 | 11,1 | 9,2 | 7,9 | 6,9 | - | - |
4,5 | 34,8 | 27,8 | 23,2 | 17,4 | 13,9 | 11,6 | 10 | 8,7 | 7,6 | - |
5 | 43,1 | 34,4 | 28,7 | 21,5 | 17,2 | 14,3 | 12,3 | 10,8 | 9,6 | 8,6 |
5,5 | 52 | 42,6 | 34,8 | 26,1 | 20,9 | 17,4 | 14,9 | 13,1 | 11,6 | 10,4 |
6 | 49,5 | 39,6 | 33 | 24,7 | 19,8 | 16,5 | 14,1 | 12,4 | 10,9 | 9 |
7 | 67,5 | 54 | 45 | 28,7 | 27 | 21,5 | 19,2 | 16,9 | 16,9 | 13,5 |
8 | 88 | 70,5 | 58,6 | 44 | 35,2 | 29,3 | 25,2 | 22 | 19,5 | 17,6 |
Сталь гладкая класса А-I | 6 | 48,2 | 38,6 | 32 | 24,1 | 19,3 | 16,1 | 13,8 | 12 | 10,7 | - |
7 | 65,5 | 52,4 | 43 | 32,7 | 26,2 | 21,8 | 18,7 | 16,4 | 14,5 | 13,1 |
8 | 85,5 | 68,4 | 57 | 42,7 | 34,2 | 28,5 | 24,4 | 21,4 | 19 | 17,1 |
9 | 108 | 86,2 | 72 | 54 | 43,1 | 36 | 30,8 | 27 | 24 | 21,6 |
10 | 133,5 | 106,8 | 89 | 66,6 | 53,4 | 44,5 | 38,1 | 33,4 | 29,6 | 26,7 |
12 | 192 | 153,5 | 128 | 96 | 76,6 | 64 | 54,8 | 48 | 42,5 | 38,4 |
Сталь периодического профиля класса А-II | 10 | 168,5 | 135 | 112,5 | 84,2 | 67,1 | 56 | 47,5 | 42 | 37,4 | 33,7 |
12 | 243 | 194 | 162 | 121,5 | 97 | 81 | 59,4 | 60,7 | 54 | 48,8 |
Поперечная сила, воспринимаемая хомутами, определяется по формуле

(37)
Если

, то отгибов не требуется.
Если

, то определяют площадь отгибов под углом 45° к оси балки

(38)
Расчет на смятие кладки в заделке выполняется аналогично расчету на смятие при устройстве разгрузочных консолей по
формуле (24).
ФУНДАМЕНТЫ ПОД НОВЫЕ ОПОРЫ, ВОЗВОДИМЫЕ ПРИ КАПИТАЛЬНОМ
РЕМОНТЕ, НАДСТРОЙКАХ И РЕКОНСТРУКЦИЯХ ЖИЛЫХ ЗДАНИЙ
1. ГЛУБИНА ЗАЛОЖЕНИЯ НОВЫХ ФУНДАМЕНТОВ
Подошва фундаментов должна быть основана на несущих материковых грунтах. По проходке слабых грунтов заглубление фундамента в материковый слой должно составлять не менее 20 см.
Указания по выбору глубины заложения в зависимости от вида грунтов и уровня грунтовых вод даны в табл. 19. Нормативная глубина промерзания Nн принимается в зависимости от климатической зоны. Эта величина может быть уменьшена для регулярно отапливаемых зданий с расчетной температурой не менее 10 °C при полах: на грунте - на 30%; на лагах по грунту - на 20% и на балках с подпольем - на 10%.
Таблица 19
Глубина заложения фундаментов из условий возможности пучения
грунтов основания при промерзании
N п.п. | Грунт | Расстояние от поверхности планировки до грунтовых вод в период промерзания грунтов | Глубина заложения фундаментов от поверхности планировки |
1 | Скальные и крупнообломочные грунты, а также гравелистые, крупные и средней крупности пески | Любое | Не зависит от глубины промерзания |
2 | Пески мелкие и пылеватые, а также супеси твердой консистенции | Превышает расчетную глубину промерзания на 2 м и более | То же |
| Пески мелкие и пылеватые, а также супеси независимо от их консистенции | Менее расчетной глубины промерзания или превышает ее менее чем на 2 м | Не менее расчетной глубины промерзания |
| Супеси пластичной и текучей консистенции | Любое | То же |
5 | Суглинки и глины с консистенцией B < 0,5 | Превышает расчетную глубину промерзания на 2 м и более | Не зависит от глубины промерзания |
| Суглинки и глины текуче-пластичной и текучей консистенции | Любое | Не менее расчетной глубины промерзания |
| Суглинки и глины независимо от их консистенции | Менее расчетной глубины промерзания или превышает ее менее чем на 2 м | То же |
Примечание. Глубина заложения фундаментов стен и колонн зданий, имеющих неотапливаемые подвалы или подполья, при грунтах, указанных в пп. 3, 4, 6 и 7, назначается от пола подвала равной половине расчетной глубины промерзания. |
В непучинистых грунтах (крупный песок, обломочные породы) глубина заложения принимается 0,5 - 0,7 м.
Глубина заложения подошвы фундаментов внутренних стен и колонн в отапливаемых зданиях назначается без учета промерзания грунтов. Заложение подошвы от уровня пола подвала практически принимается не менее 50 - 60 см. Заглубление новых отдельно стоящих опор зависит также от глубины заложения соседних существующих опор.
Новые фундаменты необходимо закладывать так, чтобы их осадка не вызывала дополнительной осадки существующих опор. В случае крайней необходимости непосредственного примыкания новых фундаментов к существующим их следует закладывать на уровне последних с обязательным обеспечением самостоятельной осадки.
Переход от одной глубины заложения фундаментов к другой производится уступами. В плотных грунтах отношение высоты уступа к его длине должно быть не более 1:1, а высота уступа не более 1 м; при неплотных грунтах отношение высоты уступа к его длине должно быть не более 1:2 и высота уступа не более 0,5 м.
При больших нагрузках и малой глубине заложения (особенно при наличии подвалов) необходимо проверять возможность выпирания грунта:

(39)
Таблица 20
Значения коэффициента C
Коэффициент внутреннего трения грунта в град | 20 | 25 | 30 | 35 | 40 | 45 | 50 |
Коэффициент C | 0,125 | 0,089 | 0,059 | 0,039 | 0,024 | 0,018 | 0,009 |
2. КОНСТРУКЦИИ НОВЫХ ФУНДАМЕНТОВ
а) Общие указания по конструированию новых фундаментов
Преимущественно рекомендуется использовать сборные типовые бетонные и железобетонные изделия, выпускаемые заводами, и только при отсутствии таких изделий или при невозможности использовать грузоподъемные механизмы для монтажа сборных изделий допускается применять монолитные конструкции.
При устройстве пристроек для получения минимальных осадок рекомендуются отдельно стоящие опоры с фундаментами квадратного сечения с рандбалками под стены. В местах примыкания новых фундаментов к существующим должны быть обязательно предусмотрены осадочные швы.
Во всех конструкциях фундаментов должна быть предусмотрена горизонтальная гидроизоляция, а при наличии подвалов или заглублении пола 1-го этажа ниже отметки отмостки - и вертикальная гидроизоляция.
В новых фундаментах должны быть предусмотрены отверстия для санитарно-технических и электротехнических устройств.
Толщины подвальной стены и стены 1-го этажа могут отличаться одна от другой не более чем на 25 см. Оси этих стен должны совпадать.
При раскладке фундаментов и стен подвала из сборных блоков необходимо предусмотреть перевязку вертикальных швов и пересечение с поперечными стенами, тщательную заделку швов раствором, армирование первого ряда кирпичной кладки проволокой диаметром 6 мм и по 1 шт. на каждые 1/2 кирпича ширины.
б) Жесткие ленточные фундаменты
Жесткие ленточные фундаменты целесообразно использовать при грунтах с

для зданий до четырех этажей.
При использовании бутовых и бутобетонных фундаментов обратить особое внимание на то, чтобы расчетное сопротивление на сжатие этих фундаментов не было менее прочности кладки стен подвала и 1-го этажа.
Минимальные размеры сечений фундаментов стен и колонн в подвале приведены в табл. 21. Высота уступов для уширения фундаментов в бутобетоне должна быть не менее 30 см, а при бутовой кладке - не менее 40 см. Минимальные отношения высоты уступов к их длине приведены в
табл. 11.
Таблица 21
Минимальные размеры сечения стен и колонн в подвале
Тип конструкции и размеров | Толщина конструкции в см |
из бутового камня | из бутобетона |
Минимальная толщина стен | 50 | 35 |
Минимальные размеры сечения столбов | 60 | 40 |
в) Гибкие ленточные фундаменты
Целесообразно использовать при слабых грунтах с

для зданий до четырех этажей и при любых грунтах для зданий 5 - 12 этажей (рис. 21). Монолитные железобетонные фундаменты армируются по расчету. Примерная конструкция сетки приведена на рис. 21.
Рис. 21. Конструкция новых гибких фундаментов
а - из сборных бетонных и железобетонных блоков;
б - монолитные железобетонные фундаменты; в - сетка
при Aк <= 0,7 м; г - сетка при Aк > 0,7 м; 1 - рабочая
арматура; 2 - распределительная арматура;
3 - железобетонный пояс для неоднородных грунтов;
4 - армированный шов; 5 - защитный слой 4 - 7 см;
6 - гидроизоляция
Минимальная высота фундамента на концах консолей 20 - 25 см. Защитный слой рабочей арматуры в монолитных фундаментах принимается >= 70 мм при отсутствии подготовки под фундаментом и >= 35 мм при наличии подготовки.
Для уменьшения числа типоразмеров сборных блоков можно устраивать под менее нагруженными стенами прерывистые фундаменты из блоков, принятых для более нагруженных (расчетных) стен.
г) Фундаменты под отдельно стоящие опоры
При внецентренном сжатии длинную сторону прямоугольника или тавр располагают в направлении действия момента.
По верху массивных фундаментов под металлические и железобетонные колонны устраивают железобетонный подколонник, армированный сеткой из проволоки диаметром 8 мм с ячейкой 10 - 12 см (рис. 22). Для металлических колонн в этот подколонник заделывают анкерные болты. Минимальная высота подколонника 30 см.
Рис. 22. Схема для расчета железобетонных фундаментов
под отдельно стоящие опоры
Глубина стакана фундамента должна быть не менее большой стороны колонны, толщина стенки стакана - не менее 20 см и не менее 3/4 высоты верхней ступени фундамента. Зазоры между колонной и стаканом должны быть поверху 7,5, понизу - 5 см.
3. РАСЧЕТ НОВЫХ ФУНДАМЕНТОВ
а) Расчет ленточных фундаментов
Для расчета принимается участок стены длиной 1 м. Собираются все нагрузки. Определяется ширина фундамента

(40)
Таблица 22
Значения коэффициента mв при h < 1,15 м
Глубина в м | 1,4 | 1,3 | 1,2 | 1,1 | 1,0 | 0,9 | 0,8 | 0,7 | 0,6 |
Коэффициент mв | 0,97 | 0,93 | 0,9 | 0,87 | 0,83 | 0,8 | 0,77 | 0,73 | 0,7 |
Таблица 23
Значения коэффициента mв при b > 1 м
Грунты | Коэффициент mв при ширине подошвы в м |
1 | 1,5 | 2 | 2,5 | 3 | 3,5 |
Песчаные, кроме пылеватых | 1 | 1,08 | 1,12 | 1,12 | 1,25 | 1,32 |
Пылеватые пески и глинистые | 1 | 1,02 | 1,05 | 1,07 | 1,10 | 1,12 |
Для зданий с упругой конструктивной схемой определяют приложение равнодействующей всех вертикальных сил относительно оси стены подвала - относительный эксцентриситет:

(41)
Для стены подвала и фундаментов, когда их толщина меньше вышележащих стен, согласно
СНиП II-Б.2-62 принимают

(42)
Находят коэффициент

.
При
C0 <= 0,033 найденная по
формуле (40) величина
b является окончательной. При
C0 > 0,033 уточняют величину
b с учетом действия момента:

(43)
При конструктировании фундаментов в этих случаях можно смещать ось фундамента от оси стены на величину эксцентриситета.
Отношение

в жестких фундаментах должно отвечать требованиям минимальных отношений высоты уступов к их длине (см.
табл. 11). При значениях

, меньших данных
табл. 11, применяются гибкие фундаменты.
Для гибких фундаментов определяют усилия и площадь сечения рабочей арматуры аналогично
расчету железобетонных банкетов (см. стр. 55).
Сборные блоки для жестких фундаментов выбирают по каталогу по величине b, а блоки для гибких фундаментов подбирают по расчетным значениям b и Aк.
Для прерывистых фундаментов расстояние между блоками определяется по формуле

(44)
где Nнмин - нормативная нагрузка для стен, менее нагруженных, чем расчетные, в кг;
l - длина блоков в см.
б) Расчет фундаментов отдельно стоящих опор
Усилие, эксцентриситет и размеры подошвы новых фундаментов определяют по формуле аналогично
расчету усиления фундаментов (см. стр. 58).
Сборные фундаменты подбирают по каталогу по величине
b и
Aк. Для монолитных железобетонных фундаментов
определяют рабочую арматуру в двух направлениях по величине изгибающих моментов (см. стр. 59).
Смятие под рандбалкой (рис. 23) проверяют по формуле

(45)
Рис. 23. Схема для расчета на смятие под рандбалкой
Здесь нагрузка для расчета на смятие Nсм определяется как сумма нагрузки от первого перекрытия, если это перекрытие расположено над рандбалкой ниже, чем величина расчетного пролета рандбалки, и собственного веса кирпичной стены высотой 1/3 расчетного пролета рандбалки - для летней кладки и высотой, равной пролету балки, - для зимней кладки (нагрузка расчетная).
для столбов Fсм = b2d см2.
Для стен

.
Коэффициент | | для блоков из ячеистых бетонов; |
| | для остальных случаев; |
Коэффициент | | для бутобетона, бута, кирпича, обыкновенных камней и бетона; кроме ячеистого и крупнопористого; |
| | для блоков из ячеистого и крупнопористого бетона. |
Расчет на продавливание выполняют по формулам:
для квадратных фундаментов

(46)
для прямоугольных фундаментов

(47)
Fгр - площадь фигуры ABCDE (рис. 24).
Рис. 24. Схема для расчета на продавливание
а - для квадратных фундаментов;
б - для прямоугольных фундаментов
4. РАСЧЕТ ОСНОВАНИЙ НОВЫХ ОПОР ПО ДЕФОРМАЦИЯМ
Основания фундаментов должны удовлетворять следующим требованиям:
1) по абсолютным и средним деформациям S <= Sпр. При этом средние деформации определяют по данным осадок не менее чем трех отдельных фундаментов, расположенных в пределах здания, при условии, что отклонение от средней величины осадки не превышает 50% этой величины;
2) по разности осадок соседних опор

;
3) по прогибу - стрела прогиба, отнесенная к длине изогнувшейся части здания f <= fпр.
Таблица 24
Значение допустимых предельных величин
Sпр,

,
fпр
N п.п. | Нормируемые величины | Предельные деформации оснований f для грунтов | Конструкции зданий и тип фундаментов | Предельные величины средних осадок Sпр.ср в см |
песчаных и глинистых при B < 0 | глинистых при B > 0 |
1 | Разность осадок фундаментов колонн зданий: | | | 1. Крупнопанельные и крупноблочные бескаркасные | 8 |
| а) для железобетонных и стальных рамных конструкций | 0,002l | 0,002l | | |
| б) для крайних рядов колонн с кирпичным заполнением фахверка | 0,0007l | 0,001l | 2. Здания с неармированными крупноблочными и кирпичными стенами на ленточных и отдельно стоящих фундаментах при отношении длины стены к ее высоте (считая высоту от подошвы фундамента): | |
| в) для конструкций, в которых не возникает дополнительных усилий при неравномерной осадке фундаментов (l - расстояние между осями фундаментов) | 0,005l | 0,005l | |
| 8 |
| 10 |
2 | Относительный прогиб (перегиб) несущих стен многоэтажных зданий (в долях от длины изгибаемого участка стены): | | | 3. Здания с крупноблочными и кирпичными стенами, армированными железобетонными и армокирпичными поясами (вне зависимости от  ) | |
а) крупнопанельных бескаркасных | 0,0005l | 0,0007l | 15 |
б) крупноблочных и кирпичных неармированных | 0,0007l | 0,001l | 4. В зданиях с каркасом по полной схеме | 10 |
в) крупноблочных и кирпичных, армированных железобетонными и армокирпичными поясами | 0,001l | 0,0013l | 5. Фундаменты одноэтажных промышленных зданий и подобных по конструкциям другого назначения при шаге колонн: | |
6 м | 8 |
12 " | 12 |
При крайней необходимости опирания перекрытий пристроек на существующие стены и при введении новых промежуточных опор в здании должно быть выполнено условие, чтобы абсолютная осадка новых фундаментов не превышала допустимой разницы осадок соседних опор:
Практически наиболее выгодны в этом отношении квадратные фундаменты с песчаными подушками.
Расчет по осадкам должен выполняться для всех новых опор в следующем порядке:
1) рассчитывают геометрические размеры фундаментов по прочности;
2) уточняют размеры путем подбора и проверки осадок;
3) уточняют рабочую арматуру;
4) выполняют необходимые проверки (на продавливание, смятие и т.д.).
При расчетах по деформациям нагрузки принимают нормативные. Разрешается определять суммарную нормативную нагрузку путем деления суммарной расчетной нагрузки на коэффициент 1,2.
б) Определение абсолютных осадок фундаментов
На геологический разрез основания наносят контуры фундамента (рис. 25). Основание разделяют на горизонтальные слои, однородные по сжимаемости, толщина которых не должна превышать 0,4b.
Рис. 25. Схема распределения давления на горизонтальных
сечениях в грунте ниже подошвы фундамента
1 - отметка планировки; 2 - отметка поверхности
существующего рельефа; 3 - отметка заложения подошвы
фундамента; 4 - нижняя граница сжимаемой зоны основания
Вычисляют нормальные давления Pi, возникающие в точке пересечения вертикальной оси, проходящей через центр тяжести подошвы фундаментов с границами выделенных слоев основания. Устанавливают величину сжимаемой толщи, т.е. глубину, где Pz = 0,2Pбz (с точностью до 0,05 кГ/см2).
Величину осадки определяют по формуле

(48)
где n - число слоев, на которые разбито основание;
Pi - полусумма вертикальных нормальных давлений в кГ/см2, возникающих на верхней и нижней границах i-го слоя грунта от давления фундамента, определяемого по формуле
hi - толщина i-го слоя в см;
| | ИС МЕГАНОРМ: примечание. Текст дан в соответствии с официальным текстом документа. | |
Eг - модуль деформации i-го слоя в кГ/см2;

- коэффициент изменения дополнительного давления в грунте в зависимости от коэффициентов формы фундамента (
m и
n), определяется по
табл. 25:
b, l, z - размеры.
Таблица 25
Значение коэффициента

m | Круглые фундаменты | Прямоугольные фундаменты с отношением сторон n | Ленточные фундаменты |
1 | 1,2 | 1,4 | 1,6 | 1,8 | 2 | 2,4 | 2,8 | 3,2 | 4 |
n < 10 | n > 10 |
0,1 | 1 | 1 | 1 | 1 | 1 | 1 | 1 | 1 | 1 | 1 | 1 | 1 | 1 |
0,4 | 0,949 | 0,960 | 0,968 | 0,972 | 0,974 | 0,975 | 0,976 | 0,976 | 0,977 | 0,977 | 0,977 | 0,977 | 0,977 |
0,8 | 0,756 | 0,800 | 0,830 | 0,848 | 0,859 | 0,866 | 0,870 | 0,875 | 0,878 | 0,879 | 0,880 | 0,881 | 0,881 |
1,2 | 0,547 | 0,606 | 0,652 | 0,682 | 0,703 | 0,717 | 0,727 | 0,740 | 0,746 | 0,749 | 0,753 | 0,754 | 0,755 |
1,6 | 0,390 | 0,449 | 0,496 | 0,532 | 0,558 | 0,578 | 0,593 | 0,612 | 0,623 | 0,630 | 0,636 | 0,639 | 0,642 |
2 | 0,285 | 0,336 | 0,379 | 0,414 | 0,441 | 0,463 | 0,481 | 0,505 | 0,520 | 0,529 | 0,540 | 0,545 | 0,550 |
2,4 | 0,214 | 0,257 | 0,294 | 0,325 | 0,352 | 0,374 | 0,392 | 0,419 | 0,437 | 0,449 | 0,462 | 0,470 | 0,477 |
2,8 | 0,165 | 0,201 | 0,232 | 0,260 | 0,284 | 0,304 | 0,321 | 0,350 | 0,369 | 0,383 | 0,400 | 0,410 | 0,420 |
3,2 | 0,130 | 0,160 | 0,187 | 0,210 | 0,232 | 0,251 | 0,267 | 0,294 | 0,314 | 0,329 | 0,348 | 0,360 | 0,374 |
3,6 | 0,106 | 0,130 | 0,153 | 0,173 | 0,192 | 0,209 | 0,224 | 0,250 | 0,270 | 0,285 | 0,305 | 0,320 | 0,337 |
4 | 0,087 | 0,108 | 0,127 | 0,145 | 0,161 | 0,176 | 0,190 | 0,214 | 0,233 | 0,248 | 0,270 | 0,285 | 0,306 |
4,4 | 0,073 | 0,091 | 0,107 | 0,122 | 0,137 | 0,150 | 0,163 | 0,185 | 0,203 | 0,218 | 0,239 | 0,256 | 0,280 |
4,8 | 0,062 | 0,077 | 0,092 | 0,105 | 0,118 | 0,130 | 0,141 | 0,161 | 0,178 | 0,192 | 0,213 | 0,230 | 0,258 |
5,2 | 0,053 | 0,066 | 0,079 | 0,091 | 0,102 | 0,112 | 0,123 | 0,141 | 0,157 | 0,170 | 0,191 | 0,208 | 0,239 |
5,6 | 0,046 | 0,058 | 0,069 | 0,079 | 0,089 | 0,099 | 0,108 | 0,124 | 0,139 | 0,152 | 0,172 | 0,189 | 0,223 |
6 | 0,040 | 0,051 | 0,060 | 0,070 | 0,078 | 0,087 | 0,095 | 0,110 | 0,124 | 0,136 | 0,155 | 0,172 | 0,208 |
6,4 | 0,036 | 0,045 | 0,053 | 0,062 | 0,070 | 0,077 | 0,085 | 0,098 | 0,111 | 0,122 | 0,141 | 0,158 | 0,196 |
6,8 | 0,032 | 0,040 | 0,048 | 0,055 | 0,062 | 0,069 | 0,076 | 0,088 | 0,100 | 0,110 | 0,128 | 0,144 | 0,184 |
7,2 | 0,028 | 0,036 | 0,042 | 0,049 | 0,056 | 0,062 | 0,068 | 0,080 | 0,090 | 0,100 | 0,117 | 0,133 | 0,175 |
7,6 | 0,024 | 0,032 | 0,038 | 0,044 | 0,050 | 0,056 | 0,062 | 0,072 | 0,082 | 0,091 | 0,107 | 0,123 | 0,166 |
8 | 0,022 | 0,029 | 0,035 | 0,040 | 0,046 | 0,051 | 0,056 | 0,066 | 0,075 | 0,084 | 0,098 | 0,113 | 0,158 |
8,4 | 0,021 | 0,026 | 0,032 | 0,037 | 0,042 | 0,046 | 0,051 | 0,060 | 0,069 | 0,077 | 0,091 | 0,105 | 0,150 |
8,8 | 0,019 | 0,024 | 0,029 | 0,034 | 0,038 | 0,042 | 0,047 | 0,055 | 0,063 | 0,070 | 0,084 | 0,098 | 0,144 |
9,2 | 0,018 | 0,022 | 0,026 | 0,031 | 0,035 | 0,039 | 0,043 | 0,051 | 0,058 | 0,065 | 0,078 | 0,091 | 0,137 |
9,6 | 0,016 | 0,020 | 0,024 | 0,028 | 0,032 | 0,036 | 0,040 | 0,047 | 0,054 | 0,060 | 0,072 | 0,085 | 0,132 |
10 | 0,015 | 0,019 | 0,022 | 0,026 | 0,030 | 0,033 | 0,037 | 0,044 | 0,050 | 0,056 | 0,067 | 0,079 | 0,126 |
11 | 0,011 | 0,017 | 0,020 | 0,023 | 0,027 | 0,029 | 0,033 | 0,040 | 0,044 | 0,050 | 0,060 | 0,071 | 0,114 |
12 | 0,009 | 0,015 | 0,018 | 0,020 | 0,024 | 0,026 | 0,028 | 0,034 | 0,038 | 0,044 | 0,051 | 0,060 | 0,104 |
Примечание. Для промежуточных значений m и n величина коэффициента  определяется интерполяцией. |
в) Расчет на просадочность лессовых грунтов
При увеличении нагрузки на основание и устройстве в здании новых стен расчет лессовых оснований производят по формуле
СНиП II-Б.2-62

(49)

(50)
где n - число слоев, на которые разбита сжимаемая толща основания;
Pi - полусумма вертикальных нормальных давлений, возникающих на верхней и нижней границах i-го слоя грунта от давления, передаваемого фундаментом, в кГ/см2;
hi - толщина i-го слоя грунтов в см;
Ei - модуль деформации i-го слоя в кГ/см2;

- безразмерный коэффициент, принимаемый равным 0,8 для всех видов грунтов;

- относительная просадочность, определяемая для каждого слоя лессового грунта при полном давлении, равном сумме природного и дополнительного в середине рассматриваемого слоя;
m - коэффициент условий работы оснований, учитывающий характер и распределение напряжений и деформаций в основании. Этот коэффициент на глубине до 1,5
b принимается равным 2 (для

) и для
b > 2 м, а также в нижеследующих слоях
m = 1.
Деформированные основания в результате увлажнения рассчитывают по формуле

(51)
Коэффициенты просадочности

и

находят из графика зависимости

от нагрузки.
ДЕТАЛИ УСТРОЙСТВА ФУНДАМЕНТОВ И СТЕН ПОДВАЛА
В местах примыкания новых стен и фундаментов к существующим обязательно устраивать осадочные швы. В шов закладывают щит из просмоленных досок

(рис. 26). Конопатку швов производят просмоленным канатом по мере кладки.
Рис. 26. Осадочные швы
а - ленточный фундамент; б - примыкание отдельно стоящего
фундамента к ленточному; 1 - осадочный шов; 2 - зазор;
3 - гидроизоляция; 4 - толь и тщательная конопатка; 5 - щит
из просмоленных досок; 6 - перемычки
При примыкании стен между фундаментом и стеной оставляют осадочный зазор не менее 15 см. При вылете консоли

укладывают металлическую или железобетонную балку-консоль.
Горизонтальная гидроизоляция в месте шва выполняется с компенсатором.
При примыкании новых колонн или дымовых труб часто требуется разборка ниш в существующем фундаменте. В этом случае для разгрузки используют железобетонные перемычки.
б) Цоколи, приямки, люки, подпольные каналы и входы в подвал
Цоколи облицовывают бетоном, штукатуркой, мелкой плиткой, кирпичом, естественным камнем и естественными или искусственными плитами
(рис. 27).
Рис. 27. Облицовка цоколей
а - бетонный цоколь; б - штукатурный цоколь; в - облицовка
естественным или искусственным камнем; г - облицовка
плитами; 1 - тротуар или отмостка; 2 - изоляция; 3 - бетон;
4 - цементная штукатурка; 5 - камень; 6 - искусственные
и натуральные плиты; 7 - анкеры; 8 - пироны
Перевязку цоколей из кирпича, камня и бетона со стеной делают через 12 - 15 см.
Плиты облицовки крепят на закладных деталях-анкерах диаметром 6 - 8 мм и пластинках 30 x 4 мм. Закладные детали должны выполняться из оцинкованного железа.
При устройстве приямков надо обязательно обеспечивать отвод поверхностных вод в дренажную полость с помощью отрезка труб диаметром 25 - 30 мм с уклоном 5%. Дренажную полость выполняют из щебеночной засыпки.
Верх приямка должен быть на 10 - 15 см выше уровня отмостки.
Решетка выполняется из 40 - 50 прутьев диаметром 12 - 16 мм.
Люк для загрузки подвала целесообразно выполнять в монолитном бетоне, в качестве крышки использовать канализационные чугунные люки. Люк в плоскости стены закрывается дверью.
Подпольные каналы в подвалах, цокольных и первых этажах для трубопроводов обязательно должны иметь доступ. Непроходные каналы устраивают только в случае крайней необходимости. При этом они должны иметь съемные половые щиты. При величине заглубления подошвы фундаментов, равной или более двух глубин канала, конструкция таких каналов достаточно простая. При мелком заложении подошвы и глубоких каналах предусматривается дополнительная бетонная нагрузка, рассчитываемая на выпор грунта.
При проектировании водоотводных систем для зданий на просадочных грунтах можно устраивать каналы и с внешней стороны здания.
Наружные входы в подвал выполняют из наборных ступеней по бетонной подготовке. Стены изготовляют из красного кирпича на цементном растворе при глубине пола подвала менее 1 м толщиной 25 см, при глубине до 2,5 м - толщиной 38 см. Первая ступень входа должна быть выше отмостки на 10 - 15 см. На нижней площадке должен быть предусмотрен водоотвод в дренажную полость аналогично приямкам.
в) Изоляция фундаментов. Противонапорные устройства
Обмазочная вертикальная гидроизоляция новых фундаментов и стен подвала должна выполняться горячей мастикой на битуме не менее чем за 2 раза.
Оклеечная вертикальная гидроизоляция выполняется из толя или рубероида на той же мастике в два слоя, слои должны хорошо склеиваться между собой. Расположение швов ковров друг над другом не допускается.
Горизонтальная изоляция новых фундаментов выполняется из двух слоев рубероида на битумной мастике. Поверхность под изоляцию должна быть выровнена и тщательно очищена сжатым воздухом.
От сырости стены защищают оклеечной вертикальной изоляцией со стороны подвала из двух слоев рубероида с устройством дополнительной стенки. Такая защита особенно эффективна в сочетании с аэрацией помещений.
Противонапорные устройства при небольших гидростатических напорах (0,6 м) выполняют в бетоне без армирования. Размеры плиты принимают по табл. 26.
Таблица 26
Размеры неармированных противонапорных плит
Конструкции | Расчетные данные в см при расчетном напоре в см |
до 40 | 40 - 50 | 50 - 60 |
Толщина плиты | 10 | 15 | 20 |
Толщина стенки | 15 | 15 | 20 |
При больших напорах используют железобетонную плиту. Толщина плиты принимается 20 - 22 см, армирование выполняется по расчету.
Гидроизоляция под напорными конструкциями комбинированная из битумной мастики с наполнителями и оклейкой рулонными материалами. Битумная мастика обычно принимается следующего состава: битум марки IV - 45 - 55% (по весу); цемент-порошок - 55 - 45%. Больший или меньший процент добавки определяется на месте работ.
При больших площадях подвальных помещений, особенно при наличии колонн, противонапорные устройства необходимо заанкеровать. Якоря выполняют из круглого железа диаметром 30 мм с бетонным грузом, заделываемым в шурф. Объем (вес) груза и глубину его заложения определяют расчетом. Расчетное усилие на выдергивание определяется по формуле

(52)
где h - глубина заложения якоря в см.
г) Аэрация стен подвала и цокольных этажей. Электроосмос
При заглублении пола ниже уровня отмостки до 1 м целесообразно устраивать снаружи здания воздушную щель (рис. 28) шириной 12 см. Ограждающая кирпичная стенка выполняется из красного кирпича марки 100 толщиной в 1/2 кирпича на цементном растворе марки 50. В нижней части щели устраивают лоток на глубине не менее 30 см от уровня пола. При заглублении пола ниже отмостки более 1 м целесообразно делать воздушную щель с внутренней стороны. При этом ширина щели принимается 5 см, а стенка выполняется в 1/4 кирпича.
Рис. 28. Аэрация стен цокольных этажей
а - фрагмент фасада; б - разрез; в - деталь; 1 - пол
цокольного этажа; 2 - уровень тротуара или отмостки;
3 - канал в стене; 4 - решетка; 5 - зона аэрации;
6 - кирпичная стенка; 7 - лоток;
8 - бетонная подготовка
Вентиляция внутренних и наружных щелей выполняется с помощью каналов 14 x 14 см с жалюзийными решетками на фасаде.
Для ликвидации сырости стен, облицованных снаружи плотными пароизоляционными материалами, в стенах устраивают вытяжки размером 10 x 12 см.
Электроосмотическая осушка стен заключается в создании лучшей электропроводности кладки. Конструкция состоит из системы проводов диаметром 3 - 5 мм и заземления - обрезков оцинкованных труб диаметром 25 - 30 мм.
Стальной провод для длительной работы целесообразно покрыть оловом. Заземления выполняют на пайке через каждые 15 - 20 м по периметру стен. Проводка для присоединения заземления к сети должна быть тщательно изолирована. Горизонтальная система проводов замыкается по периметру и может включать в себя внутренние стены.
д) Конструкции водозащитных устройств для зданий
на просадочных грунтах
Для защиты оснований от аварийных вод применяются:
1) водоотводящие лотки;
2) полупроходные или проходные кирпичные и бетонные каналы в подвале или под полом первого этажа здания, а также вне здания;
3) галереи и каналы для прокладки коммуникаций, проходящие по зданию или вне здания.
Выпуск аварийных вод следует предусматривать в водостоки или канализацию;
4) специальные защитные устройства на канализационных сетях, исключающие затопление подвалов при нарушении их нормальной эксплуатации. Одна из таких конструкций - обратный клапан, разработанный РНИИ АКХ.
Обратный клапан состоит из корпуса, поплавка (полый резиновый шар) и блокирующей решетки. Принцип работы обратного клапана заключается в следующем:
а) в нормальных условиях работы канализационной системы вода, оказавшаяся в подполье, через входные отверстия свободно стекает в полости клапана, а затем через выпуск в канализационный колодец;
б) при нарушении работы канализации и образовании подпора сточная жидкость через аварийный выпуск заполняет полость клапана, поплавок всплывает и перекрывает входное отверстие клапана, ограждая подполье от заполнения сточной водой.
Для установки клапана выбирают самое низкое место в подполье, заканчивающееся водоприемником, куда самотеком по лоткам собираются все аварийные воды.
Если отметка низа трубы выпуска аварийных вод совпадает с дном лотков, производят либо подбетонирование в местах выпусков из подвалов, либо обратный клапан устанавливают в канализационных колодцах.
МЕТОДЫ ОБНАРУЖЕНИЯ УТЕЧЕК ВОДЫ ИЗ ВОДОНЕСУЩИХ КОММУНИКАЦИЙ
С помощью контрольного водомера
Испытываемый участок временно отключают задвижками, устанавливают обводную линию с контрольным водомером у первой (по ходу воды) закрытой задвижки и производят испытание проверяемого участка через обводную линию. При отсутствии утечки водомер не фиксирует никаких показаний. При этом методе выявления утечки задвижки должны обеспечивать полную герметичность и не пропускать воду.
С помощью пресс-насоса
Испытываемый участок трубопровода отключают задвижками, вваривают тройник с манометром и прессом и через него создают повышенное давление в трубопроводе. Если давление в течение 1 ч на участке трубопровода по показанию манометра не падает, то утечки нет.
С помощью двух водомеров
В начале и конце испытываемого участка трубопровода временно устанавливают два водомера. Если на трубопроводе есть утечка, то показания водомеров будут разные (на втором водомере по ходу воды показания меньшие).
С помощью шурфования
При заглублении трубопроводов до 2,5 м по трассе трубопровода после установления наличия утечки отрывают шурфы на некотором расстоянии друг от друга глубиной 0,3 - 0,5 м ниже дна трубы. Приток воды слева и справа показывает место расположения утечки.
С помощью зондов-щупов
На трассе трубопровода щупом (отрезок трубы 19 - 25 мм, заточенный на конце муфтой) исследуют влажность грунта. Наибольшая влажность грунта в одной из взятых проб указывает место утечки. Погружение зондов в грунт начинают с места предполагаемой утечки, расширяя зону исследования направо и налево от исходной точки.
Метод пневматических баллонов
В комплект входят: резиновый баллон, резиновый шланг к баллону, трос для протаскивания баллонов со шлангом, катушка для шланга, катушка для троса, смотровые стояки, направляющие ролики, ручной насос автоматического типа для накачивания воздуха в баллон, манометры, соединительные штуцера и шланги.
Сущность метода состоит в следующем.
1. Участок трубопровода между колодцами I и II выключают задвижками 1 и 2 (рис. 29).
Рис. 29. Схема и конструкция установки по обнаружению утечек
воды из подземных трубопроводов при помощи
пневматических баллонов
а - подготовительные работы; б - испытания;
1 и 2 - задвижки; 3 - смотровой стояк; 4 - пожарный
гидрант; 5 - временный рукав; 6 - катушка; 7 - клубок
тканевого шнура; 8 - фланец; 9 - трос; 10 - ролик;
11 - шланг; 12 - насос; 13 - смотровой стояк в колодце;
14 - баллон; 15 - место утечки воды
2. В колодце I на месте пожарного гидранта 4 временно прикрепляют рукав 5 диаметром 100 - 150 мм и длиной, достаточной для отвода воды на поверхность земли.
3. В колодце II тоже на месте гидранта вводят клубок тканевого шнура 7, один конец которого прижимают фланцем 8. Таким образом, верхний патрубок заглушается. Затем, открыв задвижку 2, пропускают по трубопроводу поток воды до тех пор, пока шнур будет вынесен через рукав на поверхность земли. После этого рукав и фланец 8 снимают.
4. Вынесенный конец шнура присоединяют к тросу 9, предварительно пропустив его через смотровой стояк 3 и ролик 10. После этого стояк устанавливают на фасонную часть, а на стояке крепят катушку с тросом 6.
5. Протаскивают по трубопроводу трос 9 и присоединенный к нему шланг 11, предварительно пропустив его через смотровой стояк и ролик в колодце II.
6. Второй конец шланга 11 соединяют со штуцером в ящике с измерительной аппаратурой (манометр, вентиль и ручной насос 12) для подачи воздуха в баллон. Шланг разматывают с катушки и баллон устанавливают на середине проверяемого участка.
7. Открывают задвижку в одном из колодцев и наполняют водой трубопроводы и стояки 3 и 13.
8. Путем подачи воздуха в баллон перекрывают трубопровод (давление в баллоне 3 - 4 атм).
9. Прекращают поступление воды в трубопровод и по убыванию ее уровня в смотровых стояках определяют, в какой части трубопровода имеется повреждение.
10. Определяют, в какой части трубопровода имеется течь, уточняют места их нахождения, для чего снимают давление в баллоне и передвигают его на 2 м. Операции по обнаружению утечек повторяют до тех пор, пока не обнаружат место утечки. Место скрытых повреждений на трубопроводах определяют замером длины троса или шланга от одного из колодцев до последнего положения баллона в трубопроводе. Для этого трос должен иметь деления.
МЕТОДИКА ЛАБОРАТОРНОГО ОПРЕДЕЛЕНИЯ
СОПРОТИВЛЕНИЯ ГРУНТОВ СРЕЗУ
Общие указания
Сопротивлением срезу песчаных и глинистых грунтов называется наименьшее касательное напряжение, при котором образец грунта срезается по заранее намеченной плоскости при нормальном напряжении. Касательное и нормальное напряжение вычисляют по формулам
и
где Q - касательное усилие, при котором образец грунта срезается по намеченной плоскости, в кГ;
F - площадь среза в см2;
P - нормальное усилие, при котором производят срез, в кГ.
Сопротивление грунта срезу определяют для образцов ненарушенного сложения.
Определение сопротивления грунта срезу всегда производят после его предварительного уплотнения под действием некоторого давления.
Различают случаи предварительного уплотнения грунта давлением: а)

, чем то, при котором будут производить срез, и б) равным тому, при котором будут производить срез.
Величина влажности, значение давления при предварительном уплотнении и давление, при котором будет производиться срез образца грунта, а также число повторных определений устанавливаются заданием.
Сопротивление срезу определяют на одноплоскостных приборах с фиксированной плоскостью среза и поступательным движением нижней части срезной коробки.
Для определения сопротивления срезу применяют образцы грунта:
а) в форме круглого прямого цилиндра диаметром не менее 70 мм и высотой не более 1/2 или не менее 1/3 диаметра;
б) в форме прямоугольного параллелепипеда с меньшей стороной не менее 70 мм и отношением меньшей стороны к большей не менее чем 1:1,5. Высота образца грунта должна быть не менее 1/3 и не более 1/2 меньшей стороны параллелепипеда.
Для насыщения и приготовления образцов грунта применяют преимущественно грунтовую воду, взятую с места отбора образцов, а также пользуются водопроводной или пропущенной через фильтр речной водой.
Уплотнение под действием заданного давления с целью получения образца заданной плотности, а также его срез производят в одной и той же обойме без извлечения из нее грунта.
Заданное давление сообщают образцу грунта ступенями при помощи рычажного пресса. Каждую ступень выдерживают до условной стабилизации деформации сжатия.
За условную стабилизацию деформации принимают величину сжатия грунта, не превышающую 0,01 мм:
для песчаных грунтов ........................................ за 30 мин
" супесей ................................................. " 3 ч
" суглинков и глин ........................................ " 12 "
Сдвигающее усилие может сообщаться образцу грунта:
а) ступенями - в этом случае величина ступени не должна превышать 5% величины заданного давления; каждую последующую ступень прикладывают к образцу грунта после достижения стабилизации деформации сдвига;
б) в виде непрерывно возрастающей загрузки - в этом случае скорость деформации сдвига не должна превышать 0,01 мм/мин.
Измерение деформаций сжатия и сдвига образца грунта производят индикаторами с точностью до 0,01 мм.
Связь между сопротивлением срезу

кГ/см
2 и нормальным напряжением

кГ/см
2 по плоскости среза выражается уравнением
где

- коэффициент внутреннего трения;

- угол внутреннего трения в град;
C - сила сцепления грунта в кГ/см2.
Для определения величины
f и
C испытываемого грунта следует производить срез не менее чем при трех разных заданных значениях

.
Результаты измерения величины

, а также вычислений
f и
C выражают с точностью до двух десятичных знаков; угол внутреннего трения

- с точностью до 1°.
Подготовка образцов грунта к определению сопротивления срезу
По числу заданных испытаний и давлений подготавливают несколько образцов предназначенного для испытания грунта.
Определяют объемный вес образца методом режущего кольца. Выравнивают ножом поверхность монолита или керна испытываемого грунта и ставят на него острым краем режущее кольцо, предварительно определив его внутренний объем и вес.
Надевают на кольцо насадку и, придерживая ее рукой, вырезают столбик грунта под кольцом несколько большего диаметра, чем диаметр кольца. Насаживают кольцо на столбик грунта, слегка нажимая на насадку и не допуская перекосов кольца.
Снимают насадку, срезают избыток грунта, выступающий над кольцом, зачищают ножом поверхность грунта в уровень с краем кольца и накрывают грунт заранее взвешенным плоским стеклом.
Подрезают столбик грунта на расстояние 10 мм ниже уровня края кольца. Перевертывают кольцо с грунтом, кладут на стол и повторяют операцию по зачистке грунта, который с этой стороны также закрывают заранее взвешенным плоским стеклом.
Взвешивают приготовленный образец вместе со стеклом.
Снимают стекла и покрывают образец грунта кружками влажной фильтровальной бумаги, слегка прижимая их к нему для удаления воздуха. Надевают на кольцо насадку и переносят его в ванну прибора.
Определяют влажность грунта. Для этого из монолита или керна рядом с местом вырезки образца отбирают не менее двух проб в стеклянные или алюминиевые стаканчики.
Вычисляют объемный вес

в г/см
3 образца грунта в кольце по формуле
где g - вес грунта в кольце с покрывающими его стеклами в г;
g1 - вес кольца в г;
g2 - вес стекол, покрывающих грунт, в г;
V - объем грунта, принимаемый равным внутреннему объему кольца, в см3.
Значение величины пористости n вычисляют по формуле
Коэффициент пористости

определяют по формуле
Степень влажности G вычисляют по формуле
где

- удельный вес грунта в г/см
3;

- удельный вес воды, принимаемый равным 1 г/см
3;
W - весовая влажность.
Для предварительного уплотнения помещают образец грунта в обойме на площадку рычажного пресса и подвергают давлению ступенями по 0,5 кг/см2 до заданного уплотняющего давления; выполняя последовательно операции, ставят на образец грунта штамп и закрепляют над ним индикатор (один или несколько) так, чтобы ножка его опиралась на штамп или специальную дужку (в зависимости от конструкции прибора), а стрелка малого циферблата индикатора совпадала при сжатой пружине с одним из крайних делений (в зависимости от шкалы индикатора при сжатой пружине стрелка может показывать 1 или 9 мм).
Записывают показания индикатора и в дальнейшем принимают его за начальное.
Если заданное уплотняющее давление не превышает 0,5 кг/см2, образец грунта загружают ступенями по 0,1 - 0,2 кг/см2.
Каждую ступень давления выдерживают при уплотнении:
песчаных образцов грунта .............................. не менее 5 мин
глинистых " " ................................. " " 30 "
Конечную ступень давления выдерживают до условной стабилизации деформации сжатия.
Если заданием предусматривается уплотнение образца грунта с естественной влажностью, то принимают меры по предохранению его от высыхания. Если заданием предусматривается уплотнение образца грунта в условиях насыщения его водой, то принимают меры по предохранению образца от набухания в процессе его увлажнения.
Вычисляют значения величин коэффициентов пористости

.
Соответствующие им величины пористости находят из соотношения
Требования к аппаратуре
Прибор для определения сопротивления грунта срезу
(рис. 30) состоит из следующих основных деталей:
а) срезной коробки, состоящей из неподвижной верхней части 1 и подвижной нижней - каретки 2; на дно каретки помещают гладкую металлическую пластину 3 с вертикальными отверстиями диаметром не более 1 мм; с нижней стороны пластина должна иметь круговые концентрические и радиальные бороздки, обеспечивающие свободное поступление воды к помещенному на пластину образцу грунта и ее отвод;
б) обоймы 4 для образца грунта, которая состоит из двух отдельных равных по высоте частей, скрепляемых болтами или иным приспособлением; между этими частями должен оставаться зазор (1 - 2 мм). Для определения сопротивления срезу образцов грунта нарушенного сложения обойма должна иметь дно такого же устройства, как и металлическая пластина 3;
в) рычажного устройства для передачи нормального усилия образцу грунта при предварительном уплотнении или при сдвиге; рычажное устройство должно обеспечивать центральное приложение нормального усилия к образцу грунта;
г) сдвигающего устройства, усилие сдвига к которому прикладывается с помощью ворота (рычага) или с помощью электромотора; в последнем случае сдвигающее устройство имеет редуктор, пружинный динамометр чувствительностью 0,01 кг/см2 и самописец; сдвигающее усилие должно прикладываться строго в плоскости сдвига и по оси симметрии обоймы; перемещения каретки при сдвиге измеряются индикатором 6;
д) штампа 5 с гладкой нижней поверхностью и вертикальными сквозными отверстиями диаметром не более 1 мм, обеспечивающими свободное поступление воды с поверхности образца грунта и ее отвод.
Рис. 30. Схема прибора для лабораторного определения
сопротивления грунтов срезу
1 - неподвижная часть коробки; 2 - каретка;
3 - металлическая пластинка с отверстиями; 4 - обоймы;
5 - штамп; 6 - индикатор
Обойма, помещаемая в среднюю коробку, должна быть плотно закреплена как в неподвижной верхней, так и подвижной нижней части срезной коробки.
Прибор во время работы не должен подвергаться динамическим воздействиям. Для этого его монтируют на массивном основании.
Если сдвиг осуществляется электромотором, то последний вместе с редуктором должен быть отделен от станины.
Индикатор должен иметь паспорт, подтверждающий возможность производить измерения с точностью до 0,01 мм, и проходить государственную проверку.
Прибор должен иметь тарировочную кривую величин сопротивления каретки сдвигу в зависимости от давления. Тарировку проверяют не реже одного раза в 6 мес. Если измерения сдвигающего усилия производят пружинным динамометром, то последний также тарируют; тарировку проверяют не реже одного раза в 3 мес.
Взвешивание производят на механических весах с точностью до 0,1 г.
Определение сопротивления грунтов срезу
Быстро разгружают уплотненный в объеме образец грунта и переносят его в срезную коробку, не снимая штампа.
Если предварительное уплотнение производилось под водой, то перед разгрузкой удаляют воду из ванны пресса и после разгрузки освобождают образец от арратира.
Устанавливают и закрепляют над штампом индикатор так, чтобы стрелка малого циферблата при сжатой пружине стояла примерно на одном из крайних делений (1 или 9 мм) и отмечают показание индикатора как начальное.
Загружают образец грунта до величины давления, при котором будут производить срез.
Если определение сопротивления срезу производят для грунта в подводном состоянии, то перед загрузкой образца грунта ванну срезной коробки заполняют водой. В процессе испытания поверхность образца должна быть полностью покрыта водой.
Образец грунта загружают теми же ступенями, что и при предварительном уплотнении. Каждую ступень выдерживают не менее 2 мин для песчаных грунтов и не менее 5 мин для глинистых.
Конечную ступень давления выдерживают до условной стабилизации деформации сжатия.
Между верхней и нижней частями обоймы устанавливают зазор. Высоту зазора принимают для гравелистых и крупных песков 2 мм, для остальных грунтов - 1 мм.
Если сдвиг производят при помощи ворота, то:
а) устанавливают и закрепляют индикатор для регистрации деформации сдвига, чтобы стрелка малого циферблата (или шкалы) при сжатой пружине стояла на одном из крайних делений (1 или 9 мм);
б) вычисляют значение веса нагрузок gг кГ для каждой ступени сдвигающего усилия по формуле
gг = 0,05PFN,
где P - вертикальное давление на образец грунта в кГ/см2;
F - площадь поперечного сечения образца грунта в см2;
N - отношение плеч рычага-ворота (например, 1:10);
в) присоединяют сдвигающее устройство к каретке и прикладывают к ней усилие gг. С момента приложения каждой ступени сдвигающего усилия берут показания индикатора через каждые 5 мин - до условной стабилизации деформации сдвига.
Если сдвиг производят при помощи электромотора, то ставят редуктор на скорость 0,01 мм/мин, приводят самописец в исходное положение и включают электромотор. Диаграмму сдвига получают автоматически на барабане самописца.
Опыт по определению сопротивления срезу считают законченным, когда каретка получает не затухающее во времени движение или когда она сместится на 5 мм, а при сдвиге, осуществляемом с помощью электромотора, - когда на диаграмме сдвига образуется горизонтальный участок.
Если сдвиг производился при помощи ворота, то для каждого значения напряжения

кГ/см
2, при котором определялось сопротивление грунта срезу, строят график зависимости деформации сдвига

мм от сдвигающего напряжения

кГ/см
2 и находят в этом графике значение величины сопротивления срезу

кГ/см
2, за которое принимают максимальное значение

при

.
Если сдвиг производился при помощи электромотора, то значение величины сопротивления срезу

кГ/см
2 находят непосредственно на снятой самописцем диаграмме сдвига, когда

.
Количество испытаний по определению сопротивления срезу при каждом заданном давлении для данного грунта должно быть не менее двух.
Если для данного грунта требуется вычислить коэффициент внутреннего трения

, то необходимые для этого значения

должны быть получены с соблюдением условий предварительного уплотнения грунта давлением.
При определении

с соблюдением условия, что давление уплотнения грунта больше, чем величина среза, образцы грунта должны иметь одну и ту же постоянную плотность сложения. Это достигается тем, что все образцы приготовляют в одинаковых условиях и уплотняют при наибольшем заданном давлении.
При этом давлении испытывают на срез не менее двух образцов. Остальные образцы разгружают до заданных меньших давлений, при которых и срезают.
При определении

с соблюдением условия, что давление уплотнения грунта равно величине срезающего усилия, приготовленные образцы срезают при разных плотностях, соответствующих каждому заданному давлению.
Для вычисления
f и
C по полученным значениям строят график зависимости

от

, откладывая по оси абсцисс величины

кг/см
2, а по оси ординат - соответствующие им значения

кг/см
2. Через нанесенные опытные точки значений
t проводят осредняющую прямую до пересечения с осью ординат. Отрезок
C, отсекаемый прямой на оси ординат, принимают численно равным силам сцепления данного грунта.
Коэффициент внутреннего трения f вычисляют по формуле
где значения величин
t2 и
t1, соответствующие некоторым произвольно выбранным значениям

и

, находят по осредненной прямой.
График сопровождают указаниями на условия, при которых было произведено вычисление величин f и C, а именно:
а) вычислены по значениям

, полученным при практически одной и той же плотности сложения грунта, или
б) вычислены по значениям t, полученным при разной плотности сложения грунта.
МЕТОДИКА ЛАБОРАТОРНОГО ОПРЕДЕЛЕНИЯ МОДУЛЯ
ДЕФОРМАЦИИ ГРУНТОВ
Общие указания
Модулем деформации грунта основания, определяемым в лабораторных условиях по вдавливанию штампа площадью 5 см
2, условно называют отношение удельной нагрузки
P, передаваемой штампом на грунт, к относительной деформации

грунта:
где

P - общая нагрузка на штамп в кг;
F - площадь основания штампа в см2;
S - осадка штампа в см;
D - диаметр основания штампа в см.
Различают определение модуля деформации образцов глинистого грунта:
а) ненарушенного сложения и естественной влажности;
б) ненарушенного сложения и естественной влажности после капиллярного насыщения их водой.
Подготовка образцов грунта
Подготавливают образец грунта с ненарушенным сложением и естественной влажностью. Определяют его влажность, отбирая в алюминиевые или стеклянные стаканчики из монолита или керна рядом с местом вырезки образца не менее двух проб грунта. После этого вычисляют объемный вес образца и объемный вес скелета грунта.
Для капиллярного насыщения кольцо-обойму с грунтом ставят в сосуд с водой на пористую пластинку, покрытую листом фильтровальной бумаги. Уровень воды в сосуде должен быть на 2 - 4 мм выше нижней поверхности образца грунта. Надевают сверху на кольцо-обойму насадку и оставляют грунт в таком положении, поддерживая постоянный уровень воды в сосуде. Насыщение считается законченным, когда прибавка в весе за одни сутки окажется не менее 5 г. После этого, сняв насадку, выравнивают поверхность грунта с краями обоймы, взвешивают образец грунта в обойме и вычисляют его объемный вес.
Требования к аппаратуре
Прибор для определения модуля деформации грунта в лабораторных условиях
(рис. 31) состоит из следующих частей:
а) штампа круглого сечения, диаметром 25,2 мм (площадь около 5 см2) весом не более 250 г, поэтому изготовляют его полым). Боковую поверхность затачивают на конус для уменьшения трения о грунт. В верхней части штампа имеются пластинки 2, на которых на равном расстоянии от центра штампа имеются метки для установки индикаторов 5;
б) кольца-обоймы 3 с режущим краем; в кольцо с внутренним диаметром не менее 100 мм помещают грунт. Толщина стенок кольца должна равняться 5 - 6 мм;
в) насадки, надеваемой на кольцо-обойму при вырезке образца грунта;
г) крышки 4, надеваемой на кольцо-обойму для предохранения грунта от высыхания; в центре крышки имеется отверстие с направляющими ребрами для пропуска штампа.
Рис. 31. Схема прибора для лабораторного определения модуля
деформации грунтов
1 - штамп; 2 - пластинки; 3 - обойма; 4 - крышка;
5 - индикаторы
Для вдавливания в грунт штампа применяют рычажный пресс, рычаг пресса должен быть уравновешен. Чувствительность пресса перед опытом должна быть не менее 20 г (на штоке).
Определение модуля деформации
Кольцо-обойму с грунтом закрывают крышкой и переносят на столик пресса, ставят на поверхность образца штамп, обеспечивая плотное прилегание к поверхности грунта, и устанавливают индикаторы. После установки индикаторов записывают их показания.
Дают нагрузку на штамп ступенями: 0,05; 0,1; 0,2; 0,3 и 0,5 и далее по 0,5 кг/см2. Каждую ступень нагрузки выдерживают до условной стабилизации деформации сжатия образца грунта. За условную стабилизацию принимают скорость деформации 0,005 мм за 5 мин. Штамп нагружают до тех пор, пока деформация образца грунта превысит заданную. Записывают значения общей величины нагрузки P, удельной нагрузки P1 и показания индикаторов, отвечающие условной стабилизации деформации сжатия.
Для каждого значения P вычисляют:
а) деформацию образца грунта (осадки штампа) S1 и S2 в сантиметрах, вычитая показания каждого индикатора при каждой нагрузке из его начального показания;
б) среднюю деформацию образца грунта Sср в сантиметрах;
в) относительную деформацию образца грунта
г) модуль деформации грунта

.
Модуль деформации вычисляют с точностью до 1 кг/см2.
Строят графики зависимости

и

.
МЕТОДИКА ОПРЕДЕЛЕНИЯ ПЛОТНОСТИ И ВЛАЖНОСТИ ГРУНТОВ
РАДИОМЕТРИЧЕСКИМИ МЕТОДАМИ
Методика определения плотности
Плотность грунтов определяют методами сквозного просвечивания или рассеяния.
На рис. 32 представлена конструктивная схема датчика сквозного просвечивания. Источник излучения 1, находящийся в защитном контейнере 2, через коллиматор-диафрагму 9 излучает гамма-лучи в образец грунта 8.
Рис. 32. Схема датчика сквозного просвечивания
1 - источник излучения; 2 - контейнер источника;
3 - детектор; 4 - контейнер счетчика; 5 - провод к прибору;
6 - передвижная муфта; 7 - штанга; 8 - образец грунта;
9 - диафрагма
Гамма-кванты, не взаимодействующие с грунтом, через коллиматор попадают на детектор 3, который также находится в защитном контейнере 4. Контейнер источника 2 и контейнер счетчика 4 могут перемещаться по штанге 7 посредством соединительных муфт 6 в зависимости от толщины грунтового образца.
С помощью метода сквозного просвечивания представляется возможным измерять плотность грунтовых толщ от нескольких сантиметров до 1 м.
Метод сквозного просвечивания применяется при толщинах до 100 см, когда возможен двусторонний доступ к испытываемой толще грунта, в противном случае применяется метод рассеяния.
Порядок измерений и определение плотности при радиометрических испытаниях грунта по методу сквозного просвечивания заключается в следующем:
1) измеряют интенсивность гамма-излучения J0 путем непосредственной посылки их на счетчик;
2) измеряют интенсивность гамма-излучения J после их взаимодействия с испытываемым грунтом;
3) измеряют толщину просвечивания слоя грунта по оси, соединяющей источник гамма-излучения и газовый счетчик;
4) по данным измерений подсчитывают линейный коэффициент ослабления

.
Зная для данной измерительной системы и геометрии опыта массовый коэффициент ослабления

, подсчитывают значение плотности испытываемого участка грунта по формуле
Значение массового коэффициента ослабления определяют следующим образом:
1) изготовляют или подбирают серию грунтовых образцов (10 - 15 шт.) размером 20 x 20 x 20 см, у которых объемный вес меняется от 0,5 до 2,5 г/см3;
2) определяют взвешиванием объемный вес каждого образца и его плотность;
3) производят радиометрические испытания каждого образца, в результате которых определяют интенсивность гамма-излучения J0 и J;
4) подсчитывают линейный коэффициент ослабления

;
5) определяют значение массового коэффициента ослабления для каждого образца по формуле
6) принимают среднее значение массового коэффициента, полученного по результатам испытания серии грунтовых образцов, постоянным для данной конструкции выносных элементов, источника излучений и измерительной аппаратуры.
Датчики, работающие по методу рассеяния, позволяют производить определение плотности грунтов при одностороннем доступе к его поверхности. На рис. 33 представлена принципиальная схема поверхностного гамма-плотномера, работающего по методу рассеяния.
Рис. 33. Схема датчика рассеяния
1 - источник; 2 - счетчик; 3 - предусилитель; 4 - защитный
экран; 5 - экран датчиков; 6 - корпус; 7 - исследуемый грунт
Источник 1, находящийся в защитном экране 4, излучает гамма-кванты, которые попадают в исследуемый грунт 7. Здесь они претерпевают рассеяние на электронах вещества и эти рассеянные гамма-кванты попадают на кассету со счетчиками 2. С детекторов передаются импульсы на предусилитель 3 и далее на регистрирующий прибор. Датчик включает в себя также экран 5 защиты счетчиков от прямого воздействия излучения и корпус 6.
Датчики, работающие по методу рассеяния, изготовленные в виде глубинного зонда, позволяют определять плотность грунта на любой глубине без извлечения образцов.
Источник излучении находится в конусообразном конце рубашки штанги с продольными вырезами. От прямого воздействия излучения счетчики закрываются свинцовым экраном, который вставляется в рубашку. Детекторы излучения соединены с блоком предварительного усиления, с которого усиленный сигнал подается на пересчетный прибор. В рабочем положении рубашка навинчивается на соединительную муфту. В положении хранения на конусообразный конец штанги надевается свинцовый экран, обеспечивающий необходимую биологическую защиту.
Метод рассеяния принимается при толщинах испытываемых массивов грунта не менее 15 см. В качестве источника излучения применяется изотоп-137 активностью 0,5 - 4 мг·экв радия.
При испытаниях по методу рассеяния расстояние от края испытываемого грунтового массива до блока счетчиков должно быть не менее 10 - 15 см, в противном случае на результаты измерений будет влиять граничный эффект.
Поверхность грунта, к которой прикладывается датчик плотности, должна быть ровной, без выступов и впадин.
Обработка результатов радиометрических измерений по схеме рассеяния производится по специальному тарировочному графику.
Построение этого графика производится следующим образом:
1) изготовляют или подбирают серию образцов с объемным весом 0,5 - 2,6 г/см3, размером 20 x 50 x 60 см для тарировки поверхностного плотномера, или испытание проводят в деревянном ящике, куда помещают образцы грунта размером 100 x 100 x 100 см для тарировки глубинного плотномера;
2) определяют взвешиванием объемный вес и плотность каждого образца;
3) производят радиометрические испытания каждого образца, по результатам которых строится зависимость
Построенный график является рабочим, и его периодически проверяют.
Методика определения влажности грунтов
Применение нейтронов для определения влажности грунтов расширяет возможности радиометрических методов.
Нейтронный метод базируется на эффекте замедления нейтронов на ядрах водорода (воды). Это свойство используется в нейтронном влагомере. Число медленных нейтронов, образовавшихся в результате замедления в грунте, можно отнести за счет воды (водорода). Нейтроны замедляются до тепловых энергий. Влажность грунтов определяется по плотности нейтронного потока.
В настоящее время для определения влажности грунтов применяются два метода.
1. Метод рассеяния (рис. 34, б и в), при котором расположение датчика и детектора одностороннее. Регистрируя количество медленных нейтронов, судят о влажности материала. Метод рассеяния рекомендуется применять при толщинах грунтов более 250 мм, в противном случае рекомендуется применять дополнительный эталон, компенсирующий недостающую толщину материала.
Рис. 34. Схема измерения влажности
а - схема сквозного просвечивания; б - поверхностное
рассеяние; в - глубинное рассеяние; 1 - источник излучения;
2 - детектор; 3 - прибор
2. При толщине образцов грунта менее 250 мм целесообразно применять схему сквозного просвечивания (рис. 34, а), когда источник и детектор излучения располагаются с двух сторон испытываемого образца.
При определении влажности грунтов с помощью нейтронного метода в настоящее время наибольшее распространение получил плутониево-бериллиевый источник нейтронов, который характеризуется почти полным отсутствием гамма-фона и достаточно большим периодом полураспада (~ 2,4·104 лет).
Методика изменения влажности грунтов заключается в следующем:
1) датчик нейтронного влагомера устанавливают на место, где требуется определить влажность грунта. Место измерений выбирают с учетом влияния граничных условий (расстояние от центра датчика до обреза грунта должно быть не менее 30 см);
2) на месте измерений вывешивают знак радиационной опасности, хорошо видимый с расстояния не менее 3 м;
3) датчик с помощью шланга соединяют с пересчетным прибором;
4) согласно описанию на пересчетный прибор последний включают в работу;
5) снимают показания с прибора и по количеству зарегистрированных импульсов с помощью зависимости тарировочного графика J = f(W) судят о влажности материала. График строят следующим образом:
берут железный ящик размером 100 x 100 x 50 см для поверхностного влагомера и 100 x 100 x 100 см для глубинного;
подготовляют и взвешивают сухой песок и заполняют им ящик, берут первое измерение при 0% влажности, далее добавляют по 0,5 - 1% воды.
МЕТОДИКА ОПРЕДЕЛЕНИЯ ПРОЧНОСТИ БЕТОННЫХ КОНСТРУКЦИЙ
МОЛОТКОМ ФИЗДЕЛЯ
Молоток Физделя с одной стороны заострен, с другой - имеет сферическое гнездо, в котором завальцован свободно сидящий шарик. Высота выступающей части шарика равна 3,5 мм (рис. 35, а).
Рис. 35. Определение прочности конструкций молотком Физделя
а - приборы; б - тарировочная кривая; 1 - молоток;
2 - ручка; 3 - сферическое гнездо; 4 - шарик;
5 - угловой масштаб
Прочность бетона определяют следующим образом. Локтевым ударом молотка средней силы на поверхность бетона наносят отпечаток (лунка) от шарика. Для определения прочности в одном месте конструкции необходимо сделать 10 - 12 таких отпечатков с расстоянием между ними не менее 30 мм. По глубине h или диаметру лунки d можно судить о прочности бетона.
Диаметр лунки замеряют штангенциркулем с помощью увеличительной и проградуированной лупы с точностью до 0,1 мм или с помощью углового масштаба. Для получения более точного результата диаметр каждой лунки измеряют по двум взаимно перпендикулярным направлениям и за основу показания принимают среднее арифметическое значение этих двух величин.
Из общего числа замеров, произведенных на одной поверхности конструкции, исключают наибольший и наименьший результаты, а по остальным вычисляют среднее арифметическое значение.
Прочность бетона в кГ/см
2 определяют по тарировочной кривой (
рис. 35, б) по среднему арифметическому значению всех отпечатков.
Для определения достаточного количества отпечатков, сделанных при испытании конструкции пользуются следующей формулой
где n - минимально необходимое число отпечатков при данном испытании;
Rмакс - максимальное значение прочности по тарировочной кривой в кГ/см2;
Rмин - минимальное значение прочности по тарировочной кривой в кГ/см2;
Rср - среднее значение прочности по тарировочной кривой;
K - коэффициент, зависящий от числа полученных до проверки отпечатков, определяемый по табл. 27.
Таблица 27
Значение коэффициента K в зависимости от числа
сделанных отпечатков
Коэффициент K | Число сделанных отпечаток |
0,43 | 5 |
0,395 | 6 |
0,37 | 7 |
0,35 | 8 |
0,337 | 9 |
0,325 | 10 |
0,292 | 20 |
МЕТОДИКА ОПРЕДЕЛЕНИЯ ПРОЧНОСТИ БЕТОННЫХ КОНСТРУКЦИЙ
МОЛОТКОМ КАШКАРОВА
Молоток Кашкарова состоит из корпуса с металлической рукояткой, на которую надета резиновая ручка, стального шарика, стального эталонного стержня, головки с внутренним упором, пружины для прижатия шарика к эталонному стержню и эталонного стержня для прижатия к внутреннему упору головки (рис. 36, а). Эталонные стержни перед работой протирают досуха обтирочными материалами и бумагой. Площадь очищенной поверхности конструкции для одного испытания должна быть не менее 400 см2.
Рис. 36. Определение прочности конструкций молотком
Кашкарова
а - приборы; б - тарировочная кривая; 1 - корпус;
2 - металлическая рукоятка; 3 - резиновая ручка;
4 - головка; 5 - стальной шарик; 6 - стальной эталонный
стержень; 7 - угловой масштаб
Определение прочности материала молотком Кашкарова заключается в том, что при ударе молотком по поверхности конструкции одновременно образуются два отпечатка диаметром dм (на материале) и dэ (на эталонном стержне).
Прочность определяют следующим образом. Молоток устанавливают перпендикулярно поверхности конструкции в месте замера прочности. В отверстие молотка (над шариком) вставляют металлический эталонный стержень. По стакану измерительного молотка наносят удар средней силы от локтя слесарным молотком.
Ось головки молотка должна быть строго перпендикулярна поверхности. Для определения прочности в одном месте конструкции наносят 10 - 12 ударов с расстоянием между ними не менее 30 мм. Эталонный стержень при этом каждый раз передвигают в отверстие корпуса молотка не менее чем на 10 мм, чтобы отпечатки располагались на одной линии. Для получения отпечатков на конструкции рекомендуется между молотком и поверхностью бетона прокладывать копировальную бумагу. Для удобства обработки результатов испытаний отпечатки на материале нумеруют.
После нанесения определенного числа ударов измеряют диаметры отпечатков на бетоне и соответствующие им отпечатки на эталонном стержне, для чего последний вынимают из молотка. Диаметры лунок на материале и эталонном стержне измеряют с точностью до 0,1 мм угловым масштабом. Для этого угловой масштаб накладывают на лунки и измеряют диаметр отпечатка по миллиметровым делениям масштаба.
За расчетную величину диаметра принимают среднее арифметическое значение полученных замеров. Прочность материала в кГ/см
2 в зависимости от отношения

определяют по тарировочной кривой (
рис. 36, б). Необходимое число отпечатков определяют так же, как для молотка Физделя. Если поверхность конструкции значительно увлажнена, полученную по графику прочность материала умножают на коэффициент 1,4.
Однородность конструкции определяют сравнением отпечатков. Наличие участков, на которых отпечатки отличаются друг от друга более чем на 30 - 40%, дает основание считать, что конструкция уплотнена неравномерно.
МЕТОДИКА ОПРЕДЕЛЕНИЯ ФИЗИЧЕСКИХ ХАРАКТЕРИСТИК МАТЕРИАЛОВ
ФУНДАМЕНТОВ НЕРАЗРУШАЮЩИМИ МЕТОДАМИ
Применяемые приборы
Для определения акустических характеристик материала применяется электронно-акустическая аппаратура, в состав которой входят микросекундомер, датчики - приемники импульсов и токоподводящие провода.
В качестве электронных микросекундомеров применяются серийно выпускаемые приборы УКБ и ДУК.
Переносный импульсный ультразвуковой прибор УКБ-1 предназначен для неразрушающего контроля качества бетона конструкций путем измерения акустических характеристик распространения импульсов ультразвуковых колебаний в бетоне.
Прибор позволяет по измеренной скорости распространения степени затухания в форме огибающей многократных отражений импульсов выявлять внутренние дефекты, определять прочность и однородность бетона. Прибор предназначен для использования в заводских и полевых условиях на полигонах.
Прибор позволяет измерять время распространения импульсов в пределах 0 - 5500 мк/сек.
Прибор ДУК-20 предназначен для тех же целей, что и прибор УКБ-1, для работы в лабораторных и полевых условиях при колебаниях температуры от +10 до +30 °C.
Предел измерения времени распространения переднего фронта волны 0 - 9000 мк/сек. Погрешность измерения - от 20 мк/сек и выше (0,06% + 0,1 мк/сек).
Существует несколько типов микросекундомеров.
Прибор ИСВРИ (измеритель скорости и времени реверберации импульса), разработанный и изготовленный трестом Оргтехстрой Главзапстроя Министерства стройматериалов СССР, позволяет осуществлять весь комплекс измерений по испытанию строительных конструкций и материалов ультразвуковыми методами:
1) определение прочности (марки) бетона;
2) определение скрытых дефектов (трещин, раковин);
3) определение качества инъецирования каналов бетонной массы в строительных конструкциях с последующим натяжением.
Прибор УЗП-61 позволяет определять скорость распространения продольных и поперечных акустических волн в испытываемой конструкции. Точность измерения времени распространения продольных волн составляет 1 мк/сек.
Прибор АМ-У применяется в качестве микросекундомера при испытании конструкции импульсным акустическим методом. Частотная характеристика выполнения зондирующих импульсов имеет широкий сплошной спектр. Точность измерения времени процесса распространения в материалах зондирующих импульсов составляет 0,5 мк/сек. Разработан прибор АКВИА им. Можайского в Ленинграде.
В качестве преобразователей электрических колебаний в механические применяются механические магнитострикционные и пьезоэлектрические датчики. Наибольшее применение получили датчики с пьезоэлементами.
Акустические испытания
При импульсных акустических испытаниях основной измеряемой характеристикой является время прохождения акустического сигнала t между датчиком и приемником в испытываемом материале. На экране электронно-лучевой трубки, время определяется в интервале между зондирующим импульсом и моментом прохождения соответствующей волны.
Чтобы определить истинное время распространения волны, необходимо учитывать потери времени, связанные с обработкой информации в приборе. Эти потери оцениваются двумя способами:
1) перед началом испытаний поверхности датчика и приемника тесно соприкасают друг с другом и определяют время между зондирующим импульсом и первым вступлением приходящей волны. Измеряемое время и есть определяемые потери;
2) на эталонном однородном материале производят прозвучивание с базой измерения в 50 и 100 см. В этом случае
tпр = 2t50 - t100,
где t50 - время распространения колебаний при базе измерения 50 см;
t100 - время распространения колебаний при базе измерения 100 см;
tпр - время, затрачиваемое на обработку информации.
Таким образом, истинное время распространения акустического сигнала в испытываемом материале можно определить по формуле
t = t1 - tпр,
где t - истинное время прохождения импульсов в среде;
t1 - время, измеряемое по прибору.
По известной базе измерения (расстояние в свету между датчиком и приемником) и найденному времени распространения колебаний определяется скорость прохождения импульса
где l - база измерения.
Перед началом прозвучивания необходимо определить акустическую однородность испытываемого материала, для чего при поверхностном прозвучивании измеряют базу измерения. По данным испытания строят годографы продольной волны. Прямолинейный характер годографа свидетельствует о постоянной скорости продольной волны независимо от базы измерения.
Для избежания потерь волновой энергии в контакте между датчиком и испытываемой конструкцией, для создания плотного контакта на поверхность конструкции наносят слой пластилина, технического вазелина, солидола и т.д. Поверхность конструкции с большой шероховатостью перед началом испытаний выравнивают гипсовым раствором или наждаком.
Прижим датчиков производится вручную. Для постоянного длительного прижима их к поверхности конструкции рекомендуется вакуумное крепление.
Плотность материалов конструкции определяют радиометрическим методом с помощью датчика ИП-У и серийно выпускаемых радиометров в соответствии с инструкцией по их эксплуатации. Определение плотности производится по тарировочному графику.