Главная // Актуальные документы // МетодикаСПРАВКА
Источник публикации
М.: Стройиздат, 1986
Примечание к документу
Название документа
"Руководство по оценке и регулированию ветрового режима жилой застройки"
"Руководство по оценке и регулированию ветрового режима жилой застройки"
ПО ОЦЕНКЕ И РЕГУЛИРОВАНИЮ ВЕТРОВОГО РЕЖИМА ЖИЛОЙ ЗАСТРОЙКИ
Рекомендовано к изданию решением секции по проблеме оздоровления городской среды Научно-технического совета ЦНИИП градостроительства Госгражданстроя.
На основе результатов натурных лабораторных исследований, теоретических расчетов определена эффективность различных архитектурно-планировочных решений застройки с точки зрения создания комфортных условий аэрации.
Приведены расчетные методы оценки и прогнозирования ветрового режима в жилой застройке на стадии детального проектирования, доступные по сложности для использования их архитекторами, проектировщиками.
Для научных работников, инженеров, архитекторов, студентов, занимающихся вопросами оздоровления окружающей среды городов.
Табл. 21, рис. 20.
Проблема охраны окружающей среды приобретает в настоящее время все большее экономическое и социальное значение. От правильного и своевременного решения этой проблемы зависит здоровье и благосостояние не только ныне живущих, но и будущих поколений людей.
Охрана и улучшение окружающей среды как одна из проблем градостроительства - составная часть проектно-планировочных работ на всех стадиях проектирования, начиная с генеральной схемы расселения в масштабе страны, региона и кончая проектом детальной планировки и технорабочими проектами отдельных элементов города. На каждом уровне проектирования имеется своя специфика в постановке целей, задач и выборе методов исследований и оценки.
На каждой стадии проектирования необходимо учитывать комплекс факторов, влияющих на биолого-гигиеническое состояние окружающей среды. По происхождению эти факторы делятся на природные и антропогенные. К природным относятся климат, рельеф, почвы, растительность, поверхностные и подземные воды и др. Среди антропогенных факторов можно выделить физические техногенные (шум, электромагнитные излучения и т.д.), химические техногенные (загрязненность атмосферного воздуха, гидросферы, почв) и механические техногенные (нарушение рельефа и почвенного покрова, вырубка лесов и др.). Существуют факторы, активизирующие друг друга: туманы и выброс токсических веществ в атмосферу, низкие температуры воздуха и сильный ветер, солнечная радиация и выбросы автотранспорта и др. Некоторые из них обладают способностью к потенцированию в окружающей среде, что ведет к резкому увеличению интегрального показателя, отражающего совокупное воздействие всех факторов городской среды на здоровье человека.
К числу климатических факторов, оказывающих существенное влияние на формирование внешней среды, относится ветер.
Ветер способствует переносу воздушных масс с разными физическими свойствами (теплых и холодных, сухих и влажных), выравнивает температурные различия между отдельными районами города, оказывает существенное влияние на состояние загрязненности воздушного бассейна города.
Анализ градостроительной практики в нашей стране наряду с примерами правильного учета ветровых условий при строительстве новых и реконструкции старых городов (Волгоград, Магнитогорск, Тольятти, Балхаш) выявил случаи недостаточного использования возможностей регулирования ветрового режима архитектурно-планировочными средствами, а кое-где и несоответствие планировки и застройки природно-климатическим условиям, усугубившее дискомфорт аэрационного режима местности.
Отчасти это объясняется тем, что в действующих в настоящее время нормативных документах указания по учету ветрового режима касаются лишь случаев выбора места расположения селитебных и промышленных территорий в системе городской застройки относительно преобладающих ветров (повторяемость и скорость ветра по направлениям в холодный и теплый периоды года). Специальные указания, связанные с учетом и регулированием ветрового режима при проектировании жилой застройки, в действующих строительных нормах отсутствуют.
Специфика природно-климатических условий и, в частности, ветрового режима до настоящего времени учитывается лишь при разработке отдельных проектов, в основном экспериментальных. Нет дифференцированного подхода к планировке и застройке городов, расположенных в разных ветровых условиях, и городских территорий в системе одного города.
В настоящее время отсутствует пособие, в котором были бы изложены научно обоснованные методы оценки и прогнозирования ветрового режима при проектировании застройки. Необходимость восполнить этот пробел и определила подготовку данной работы.
Руководство разработано ЦНИИП градостроительства Госгражданстроя (канд. техн. наук К.И. Семашко).
1.1. Ветер (векторный фактор, характеризующийся скоростью и направлением) является одним из ведущих климатических факторов; он оказывает наибольшее влияние на формирование микроклимата внешней среды (распределение температуры и влажности воздуха и др.), теплоощущение человека и состояние загрязненности атмосферного воздуха.
1.2. Основной задачей разработки Руководства является обеспечение проектировщиков довольно простыми методами оценки и прогнозирования ветрового режима с целью оптимизации санитарно-гигиенических условий жилой застройки.
1.3. Оценку и прогнозирование ветрового режима следует рассматривать как составную часть работ, осуществляемых при разработке раздела "Охрана природы..." (
Руководство по составлению раздела "Охрана природы и улучшение окружающей среды градостроительными средствами в проектах планировки и застройки городов, поселков и сельских населенных мест". М., Стройиздат, 1982) в процессе градостроительного проектирования.
1.4. Вопросы учета ветрового режима должны решаться на всех стадиях градостроительного проектирования, начиная от системы расселения и кончая проектами детальной планировки, при этом методы оценки и приемы регулирования ветрового режима специфичны для каждой стадии градостроительного проектирования.
1.5. Учет и регулирование ветрового режима необходимо осуществлять в комплексе с другими факторами окружающей среды (радиационный и тепловой режим, загрязненность атмосферного воздуха и др.).
1.6. Оценка существующего состояния ветровых условий (аэрация) территории строительства должна производиться до начала разработки проектных решений застройки и служить основанием для принятия тех или иных планировочных решений.
1.7. Оценка специфики местных природных условий и разработанная на основе оценки существующего состояния ветровых условий карта аэрации территории должна служить основанием для размещения городов с разным народнохозяйственным профилем в системе расселения и различных функциональных зон в системе города с тем, чтобы избежать сноса загрязненного воздуха с промышленных городов и объектов на города другого народнохозяйственного профиля и селитебные зоны.
1.8. Города промышленного профиля и крупные промышленные зоны в системе города следует проектировать с подветренной стороны по отношению к другим городам данной агломерации и к селитебным зонам города, руководствуясь при этом преобладающим направлением ветра на дискомфортный для данной местности период года. Строительство крупных промышленных объектов допускается также вверх или вниз относительно преобладающего направления ветра на город, что должно определяться повторяемостью ветров других румбов, которые могут служить дополнительным источником загрязнения атмосферного воздуха города.
1.9. Особый учет ветра необходим при выборе территории под промышленную и селитебную зоны в районах с долинными и закрытыми формами рельефа с уклонами, превышающими 4%, так как одновременно с перераспределением скорости и направления основного ветрового потока он влияет на перераспределение концентраций загрязнений в атмосферном воздухе. При этом необходимо учитывать возможности образования застоя холодных воздушных масс над пониженными участками территории, "островов тепла", инверсий, которые способствуют образованию в дневные часы пелены дыма.
1.10. С целью оздоровления жилой среды селитебную зону следует проектировать с наветренной стороны для ветров преобладающего направления, а также выше по течению рек по отношению к промышленным и сельскохозяйственным предприятиям с технологическими процессами, являющимися источниками выделения в окружающую среду вредных веществ. При этом учет ветра необходимо производить на дискомфортный для данной местности период года, используя для этого данные многолетних наблюдений станций Гидрометеослужбы и Справочника по климату СССР (суточный ход, повторяемость ветров благоприятных и неблагоприятных румбов, средней и максимальной скорости ветров неблагоприятных румбов), а также критерии комфортных скоростей ветра для данного района.
1.11. Раздел "Охрана природы и улучшение окружающей среды градостроительными средствами" в проектах планировки и застройки городов должен включать:
оценку существующего состояния ветровых условий территории;
зонирование территории по эффективности ветрового режима (выявление участков, характеризующихся комфортными и дискомфортными скоростями ветра);
прогноз изменения ветровых условий в связи с намечаемым направлением развития города и проектируемой застройкой (этажность, протяженность, ориентация, конфигурация зданий, плотность застройки);
разработку конкретных мероприятий по регулированию ветрового режима с целью создания комфортных условий аэрации территории.
1.12. Критериями оценки степени комфортности ветрового режима служат биолого-гигиенические нормативы и коэффициенты скорости ветра K (величина, характеризующая отношение скорости ветра в районе строительства или в том или ином приеме застройки к скорости ветра по данным близрасположенной метеостанции).
1.13. "Руководство по оценке и регулированию ветрового режима жилой застройки" предназначено для использования при застройке свободных территорий, а не для решения вопросов регулирования аэрационного режима в условиях реконструкции, хотя и в этих условиях оно частично применимо.
2. БИОЛОГО-ГИГИЕНИЧЕСКИЕ КРИТЕРИИ ОЦЕНКИ ВЕТРОВОГО РЕЖИМА
2.1. Критерием оценки суммарного воздействия температуры и относительной влажности воздуха, силы и направления ветра, уровня солнечной радиации и других факторов на организм является теплоощущение человека, которое должно служить основой для оценки комфортности среды. Тепловой комфорт - это комплекс метеорологических условий, при которых терморегуляторная система находится в состоянии наименьшего напряжения. Скорость ветра в большей степени, чем другие климатические факторы, влияет на теплоощущение человека как результат изменения интенсивности теплопотерь за счет испарения с поверхности кожи, а также теплоотдачи через конвекцию и излучение.
Изменение теплоощущений человека в зависимости от скорости ветра определяется температурным фоном, влажностью воздуха, теплоизоляционными свойствами одежды, физической нагрузкой и т.д. В летнее время ветер "снимает" ощущение перегрева, а в зимнее время увеличивает ощущение холода: усиление ветра на 1 - 2 м/с эквивалентно понижению температуры на 2 - 3°. Влияние подвижности воздуха на изменение теплоотдачи за счет конвекции и излучения приведено в
табл. 1 прил. 1.
2.2. При выявлении влияния на организм человека скорости ветра необходимо учитывать температуру воздуха, так как охлаждающее действие ветра зависит от температуры движущегося воздуха (тепловой эквивалент скорости движения воздуха). При скорости ветра 1,5 м/с тепловой эквивалент для нормально одетого человека составит: при температуре плюс 21 °C - 5°, при температуре плюс 32 °C - 2,5 °C, при температуре плюс 43 °C - 1° (что равнозначно снижению температуры воздуха соответственно на 5, 2,5 и 1°).
2.3. При определении комфортности окружающей человека среды следует использовать показатели комплексного воздействия на человека скорости ветра, температуры и влажности воздуха, то есть эквивалентно-эффективные температуры - ЭЭТ. Так, например, увеличение скорости движения воздуха от 0 до 3,5 м/с снижает ЭЭТ на 3,5°. Уменьшение относительной влажности воздуха от 100 до 20% при неподвижном воздухе снижает ЭЭТ на 7°. Зависимость ЭЭТ от скорости движения воздуха дана в
табл. 2, а условия одинакового теплоощущения человека при положительных и отрицательных температурах воздуха приведены в
табл. 3 и
4 прил. 1.
2.4. Гигиенические исследования теплового самочувствия человека при ветре различной силы и в разных климатических условиях позволили установить величины комфортных скоростей ветра, которые необходимо учитывать при проектировании городской застройки. Комфортными скоростями ветра следует считать:
для северных районов СССР с температурой воздуха от минус 15 до минус 30 °C - скорость ветра в пределах 0,5 - 2 м/с;
для средней полосы СССР с температурой воздуха от плюс 10 до минус 15 °C - скорость ветра в пределах 0,6 - 2,5 м/с;
для южной полосы СССР с температурой воздуха от плюс 10 до плюс 25 °C - скорости ветра в пределах 1 - 3 м/с;
для южных городов, расположенных в защищенных и котловинообразных формах рельефа, с температурой воздуха от минус 4 до плюс 30 °C - скорость ветра в пределах 1 - 3,5 м/с на летний период;
для условий Средней Азии с температурой воздуха выше плюс 40 °C на летний период - скорость ветра в пределах 1 - 4 м/с.
Скорость ветра выше 5 м/с воспринимается человеком неудовлетворительно.
3. МЕТОДИКА ОЦЕНКИ ВЕТРОВОГО РЕЖИМА ЖИЛОЙ ЗАСТРОЙКИ
Фоновая оценка района строительства
3.1 Для целей градостроительства необходимо учитывать ветровые условия на основе комплексной карты районирования территории СССР по скоростям ветра на контрастные и наиболее дискомфортные - летний и зимний периоды года, которая дает общее представление о ветровом режиме разных участков территории СССР (см.
рис. 1 прил. 2).
3.2. При определении условий возможного застоя воздуха и оценке потенциала загрязнения следует использовать данные Справочника по климату СССР по повторяемости скорости ветра 0 - 1 м/с (по месяцам и в различные часы суток) и карту районирования территории СССР по повторяемости скорости ветра 0 - 1 м/с (см.
рис. 2 прил. 2). На территории СССР есть обширные районы, где скорость ветра 0 - 1 м/с наблюдается в 60% времени года и более (в Восточной Сибири 70 - 80%). На карте-схеме выделены следующие районы с различной повторяемостью скорости ветра 0 - 1 м/с: район I - 20%, район II - 20 - 40%, район III - 41 - 59%, район IV - 60 - 70%.
3.3. Города, расположенные в разных широтах, подвергаются воздействию характерных для данной местности воздушных течений. Местные ветры возникают под влиянием особенностей рельефа земной поверхности, близости моря и характера береговой линии: они зависят от термических условий земной поверхности и характеризуются разной скоростью и различным суточным ходом ее.
В связи с решением задач архитектурно-планировочного характера существенное значение имеют локально обусловленные и локально ограниченные ветры, носящие местные названия: бризы, горно-долинные ветры, нисходящие ветры (фены, бора) и др. В
табл. 5 прил. 2 приведена классификация местных ветров и дана их оценка с градостроительной точки зрения.
3.4. В связи со строительством высотных зданий и сооружений необходимо использовать данные по расчетным скоростям ветра на высоте 100 и 200 м. Карта-схема с распределением скоростей ветра на этих высотах (по М.В. Завариной) приведена на
рис. 3 прил. 2, а расчетные скорости ветра на этих высотах, возможные раз в пять лет, приведены в
табл. 6 прил. 2.
3.5. Для определения районов с идентичными требованиями к планировке и застройке следует использовать карту-схему районирования территории Союза (по И.В. Бутывой), характеризующую комфортное теплоощущение человека (см.
рис. 4 прил. 2). На картах-схемах выделены четыре зоны с различной повторяемостью ЭЭТ (17 - 22° на 13 ч в летние месяцы): 1-я менее 30% дней за месяц - зона "минимального комфорта", занимающая европейскую часть СССР от северных побережий до широты 52°; 2-я - 30 - 50% дней за месяц - зона "достаточного комфорта", занимающая центральные районы, между 52 - 55° и 46 - 47° с. ш.; 3-я - 50 - 70% дней за месяц - зона "оптимального комфорта", занимающая юг европейской территории СССР и центральную и южную части Казахстана; 4-я - более 70% дней за месяц - зона "максимального комфорта", занимающая низкогорные районы Средней Азии.
Из приведенного районирования следует, что на территории СССР, лежащей к северу от 47 - 50° с. ш., охлаждающее влияние ветра приводит к малой повторяемости комфортных для человека условий.
Использование ветрозащитных мероприятий смещает и резко увеличивает зоны комфорта (см.
рис. 4 прил. 2).
3.6. Для оценки эффективности ветрозащиты следует пользоваться графиком, представленным на
рис. 5 прил. 2 (по А.В. Яковлеву). Показателем суровости биотермических условий является отношение гигиенически недопустимых условий к холодным в процентах. Критерием суровости служит ее 20%-ная вероятность.
Оценка ветрового режима с учетом физико-географических условий местности
3.7. Около 50% всей территории СССР относится к изрезанному, холмистому и горному рельефу. В этом случае учет только фоновых характеристик ветрового режима недостаточен: необходимо определить конкретные микроклиматические особенности ветрового режима на отдельных участках территории строительства с учетом данных условий рельефа местности.
3.8. Рельеф местности вызывает изменение воздушных течений, господствующих над относительно ровными участками территории. Воздушный поток под влиянием рельефа может расширяться или сужаться, что вызывает уменьшение его скорости в первом случае и увеличение во втором.
3.9. При оценке ветрового режима в связи с рельефом местности используются: коэффициенты изменения скорости ветра в холмистой местности в зависимости от форм рельефа для скоростей ветра от 2 до 7 - 8 м/с по сравнению с открытым ровным местом; коэффициенты изменения скорости ветра 3 - 5 и 6 - 10 м/с в различных условиях рельефа по сравнению с открытым ровным местом на высоте 2 м над поверхностью земли; коэффициенты скорости ветра на высоте 2 и 10 м в зависимости от форм рельефа (показатели отношения к скорости ветра на открытом ровном месте); коэффициенты изменения скорости ветра в условиях строительства на сложном рельефе (см.
табл. 7 -
10 прил. 2).
3.10. При проведении анализа и оценки ветрового режима территории застройки необходимо использовать следующие материалы: Справочник по климату СССР; материалы: ГГО им. Воейкова, Гидрометеослужбы, санитарно-эпидемиологических станций, местной Гидрометеообсерватории; местных научно-исследовательских и проектных организаций; литературные источники, касающиеся характеристики природных условий района строительства или города.
3.11. Оценка ветрового режима может быть выражена путем использования графического метода изображения, позволяющего выделить на плане местности участки, характеризующиеся различными скоростями ветра (карты ветрового режима).
3.12. Карты ветрового режима проектируемой территории должны составляться на гипсометрической основе в масштабе 1:10 000 и 1:50 000 (по В.П. Лидову и др.), при этом следует учитывать следующие морфологические характеристики проектируемой территории:
углы наклона местности с подразделением относительно ровных мест на повышенные (плоские водоразделы) и пониженные участки территории;
ориентацию склонов относительно преобладающего направления ветра (наветренные, подветренные и параллельные ветру);
подразделение склонов на три части, включая верхнюю, среднюю и нижнюю части холмов;
донные части долин, котловин, оврагов, продуваемых или не продуваемых ветров;
холмы с плоскими вершинами и пологими склонами;
длину линий стока воздуха при горном рельефе.
3.13. При составлении карты ветрового режима за основу принимаются две схемы, вычерченные на топографической основе: схема распределения склонов по экспозициям и схема углов наклона местности.
Изменение ветровых характеристик зависит от того, в какой части склона (верхней, средней или нижней) находится данный участок (крутизна склона при этом почти не имеет значения) и какое он занимает положение относительно преобладающего ветра (наветренный, подветренный и т.д.).
Как правило, схема распределения склонов для относительно спокойного рельефа местности (с уклонами до 3°) дается по четырем экспозициям: север, юг, восток, запад. В условиях сильно изрезанного рельефа (с уклонами более 10°) число учитываемых экспозиций может быть увеличено до восьми (включая промежуточные экспозиции: северо-восток, юго-восток, юго-запад и северо-запад).
Методика построения схемы распределения склонов по экспозициям дана в прил. 2 на
рис. 6 (по Ф.Л. Серебровскому).
Схема углов наклона местности вычерчивается на отдельном экземпляре топографической основы. Угол падения склона

может быть вычислен по формуле:

, (1)
где h - высота сечения рельефа горизонталями; L - заложение (расстояние) между горизонталями.
Чтобы не производить подобные вычисления и облегчить определение наклона земной поверхности, под нижней рамкой топографических карт крупного масштаба (по 1:100 000 включительно) помещается шкала заложений, по которой графически можно определить угол падения склона в любом месте. Методика построения углов наклона местности дана в прил. 2 на
рис. 7.
Для получения карты ветрового режима (аэрации) местности карты-схемы экспозиции склонов и углов наклона рельефа следует совместить, выделив границы экспозиции склонов и границы переходов уклонов, при этом все склоны необходимо расчленить на три части: верхнюю, среднюю и нижнюю. Располагая характеристикой ветрового режима анализируемой территории (см. Справочник по климату СССР или материалы наблюдений ближайшей метеостанции), а также коэффициентами скорости ветра на рельеф, выделяем соответствующей штриховкой участки, характеризующиеся различным режимом аэрации (см.
рис. 8 прил. 2). При этом в первую очередь необходимо учитывать скорость и направление ветра, характерное для наиболее дискомфортного периода года (в большинстве районов нашей страны это зимний период). Используя данные метеостанции, можно получить абсолютные скорости ветра на интересующих нас участках территории.
| | ИС МЕГАНОРМ: примечание. В официальном тексте документа, видимо, допущена опечатка: имеется в виду приложение 2, а не приложение 3. | |
3.14. Для определения скорости ветра на высоте 2 м над поверхностью земли (микроклимат человека), следует пользоваться таблицей пересчета скорости ветра с высоты флюгера метеостанции на эту высоту или графиком, приведенным в прил. 3 (см.
табл. 11 и
рис. 9) (по А.В. Яковлеву).
3.15. Зависимость скорости ветра V от высоты h следует определять по формуле
V = a + b·lg(h + c), (2)
где a, b, c - постоянные, определенные из наблюдений.
Распределение скорости ветра по высоте не всегда может быть выражено простой логарифмической прямой, поэтому для определения ее есть степенное выражение:

. (3)
Наиболее простым выражением скорости ветра на интересующей нас высоте при n = 4 (по Э.И. Реттеру) при известной скорости ветра на высоте флюгера V0 является формула

, (4)
где V - скорость ветра в интересующей нас точке на высоте h.
Для расчета скорости ветра U на нужной нам высоте z пользуются еще двумя рабочими формулами (по С.А. Сапожниковой):
вверх от 10 м - формулой
Uz = U10(b + 0,6) (5)
где U10 - скорость ветра по флюгеру на высоте 10 м; b - переменный член, зависящий от высоты z, для которой определяется скорость ветра;
вниз от 10 м - формулой
Uz = U10(c + 0,8). (6)
| | ИС МЕГАНОРМ: примечание. В официальном тексте документа, видимо, допущена опечатка: имеется в виду таблица 12 приложения 2, а не таблица 12 приложения 3. | |
Пользуясь этими формулами, получаем при скорости ветра 10 м/с на высоте флюгера для высоты 1,5 - 2 м скорость 7 м/с на участке при отсутствии снежного покрова и 8,5 м/с над выровненной снегом поверхностью. Существующую скорость ветра на нужной нам высоте необходимо учитывать в зависимости от проектируемой этажности застройки. В пределах высот флюгера от 6 до 20 м скорость ветра меняется в среднем на 0,082 м/с при подъеме на 1 м.
Комплексная оценка с учетом проектируемой застройки (прогноз)
3.16. Комплексная оценка ветрового режима включает следующие этапы работ (см.
рис. 10 прил. 2):
анализируется ветровой режим на участке, подлежащем застройке, относительно данных местной метеостанции; вводятся поправки на рельеф. Выявляется господствующее направление ветров по временам года: особое внимание уделяется зимним ветрам;
разрабатываются градостроительные требования с учетом специфики ветрового режима данной территории (снижение или повышение исходной скорости ветра, процентное соотношение защищенных от ветра и проветриваемых участков территории). Они могут быть различными для ветров, преобладающих в зимний и летний периоды года. В этом случае в первую очередь учету подлежит ветер, преобладающий в наиболее дискомфортный период года;
оценивается ветровой режим вариантов застройки с помощью расчетных графоаналитических методов и номограмм при использовании эскиза планировки и застройки микрорайона с указанием этажности зданий и учитываемого направления ветра (см.
рис. 11 -
15 прил. 2). Результатом оценки является карта аэрации территории проектируемой застройки (
рис. 16 прил. 2). Такие карты могут служить для коррегирования ветрового режима на стадии проектирования: в случае необходимости в эскиз планировки и застройки микрорайона вносятся изменения ориентации зданий, их этажности, протяженности, используются элементы благоустройства и озеленения с целью повышения комфортности режима аэрации территории застройки.
3.17. Критерием эффективности планировочного решения в аспекте аэрации следует принимать отношение между площадью территории с благоприятным ветровым режимом и всей территорией микрорайона. В условиях повышенных скоростей ветра (преобладание ветров по данным метеостанции со средней скоростью более 5 - 7 м/с) площадь ветрового затенения должна быть максимальной, а в штилевых условиях - минимальной. Для средней скорости ветра 7 м/с на высоте 1,5 - 2 м от поверхности земли допустимые условия обеспечиваются при снижении исходной скорости ветра на 50% (так как верхний предел допустимой для человека скорости ветра по данным гигиенистов составляет 3,5 м/с). Критерием оценки в этих случаях будет максимум площади территории, двора, улицы, микрорайона и т.д. (но не менее 65 - 70%), над которой коэффициент скорости ветра составит 0,1 - 0,5 скорости свободного его потока (K = 1).
Величину зон оптимальных скоростей ветра следует вычислять в процентах ко всей исследуемой территории, свободной от застройки. По данным расчета должны быть проведены изоанемоны, которые ограничивают территории, характеризующиеся перепадами скорости ветра в 0,25 от скорости свободного его потока ("порог ощущения" скорости ветра).
3.18. Оценка ветрового режима планировочных вариантов необходима для оптимального размещения жилых и общественных зданий с учетом форм и размеров территории зон усиления скорости ветра. Количественное выражение зависимости между соотношением длины и ширины фасада отдельного здания и длиной ветровой тени - основа методики планировки в сложных ветровых условиях.
Для оценки ветрового режима территории на план эскиза планировки и застройки микрорайона (с указанием этажности зданий) согласно расчетам следует нанести контуры ветровой тени (иначе - зон оптимальных скоростей ветра) и вычислить процентное соотношение защищенных от ветра пространств ко всей территории микрорайона, свободной от застройки. В случае наличия больших зон, характеризующихся дискомфортным режимом аэрации, в эскиз планировки и застройки микрорайона необходимо внести соответствующие изменения.
Аэрационный режим макета окончательного варианта планировки и застройки микрорайона можно исследовать в аэродинамической трубе как с целью получения количественных характеристик ветрового режима, так и для получения общей картины аэрации микрорайона (с помощью запыления макета застройки ликоподием) с целью определения мест размещения детских игровых площадок, мест отдыха детей и взрослого населения без дополнительных расчетов (см.
рис. 17 и
18 прил. 2).
3.19. Для расчета длины (или глубины) ветровой тени за зданиями в зависимости от изменения их высоты, протяженности и направления ветра к фасаду здания следует использовать графики, приведенные на
рис. 11 и
12 прил. 2, пользуясь которыми, можно определить зоны комфортных скоростей ветра на территории проектируемой застройки с целью корректировки планировочного решения и выбора участков под размещение детских учреждений, игровых площадок, зон отдыха и др. Длина ветровой тени изменяется от 1,5H (что соответствует отношению длины фасада здания к высоте 1:3) до 12H (при отношении длины фасада здания к высоте 20:1) при ветре под углом 90° к фасаду. В условиях сложного рельефа местности следует использовать графики, приведенные на
рис. 13 прил. 2 (по Т.Г. Махарашвили).
| | ИС МЕГАНОРМ: примечание. В официальном тексте документа, видимо, допущена опечатка: имеется в виду приложение 2, а не приложение 3. | |
Методика проведения расчета зон оптимальных скоростей ветра с помощью графика
рис. 11 приведена в прил. 3.
Пример. Рассчитаем глубину зоны оптимальных скоростей ветра за зданием протяженностью 80 м, высотой 27 м (9 этажей) и направлением ветра под углом 90° к фасаду здания: 80:27 = 3. На оси абсцисс L/H восстанавливаем перпендикуляр при значении L/H, равном 3, и продолжаем его до пересечения с кривой. Значение ординаты, соответствующей этой точке графика, равно 4. Таким образом, глубина зоны оптимальных скоростей ветра за 9-этажным зданием протяженностью 80 м составит 4H (4 x 27 м), или 108 м.
На
рис. 12 прил. 2 график расчета этой зоны дан с учетом градаций снижения скорости ветра от 40 до 70% по отношению к скорости его свободного потока (по С.Д. Соколову).
3.20. Расчет глубины зоны оптимальных скоростей ветра
l в зависимости от протяженности
L и высоты
H здания может быть произведен также с помощью формулы

. (7)
Полученная
зависимость (7) правомерна при отношении протяженности дома к его высоте, равном от 1 до 24, и дает возможность простым способом рассчитать глубину зоны оптимальных скоростей на территории застройки в зависимости от заданных параметров зданий.
Пример. Определить размер глубины ветровой тени за зданием протяженностью L = 60 м и высотой H = 36 м (12 этажей).
l = 36·3,64 = 131 м.
Увеличение протяженности здания будет способствовать росту площади оптимальных скоростей. Величину площади ветрового затенения S можно определить по формуле
S = 0,8·L·l. (8)
Для взятых нами параметров площадь ветрового затенения составит
S = 0,8·60·131 = 0,63 га.
3.21. В условиях сильных ветров лучшая ветрозащита обеспечивается применением протяженных многосекционных зданий, расположенных поперек господствующего направления ветра. Влияние этажности и протяженности дома на величину зоны оптимальных скоростей ветра приведено в
табл. 13 прил. 2. По сравнению с 5-этажным домом эта зона за 16-этажным зданием увеличивается вдвое. При увеличении протяженности в 1,5 раза и этажности дома в 3 раза зона оптимальных скоростей ветра увеличивается в 2,5 раза. Здание, расположенное под небольшим углом (до 45°) к господствующему ветру, способствует сокращению этой зоны в 2 - 2,5 раза.
3.22. Для определения параметров застройки при не слишком больших градиентах коэффициентов скорости ветра на территории застройки при разрывах между линейными зданиями, не превышающими 10 - 12H (что не идет в разрез с градостроительными требованиями), следует пользоваться номограммой N 1, представленной на
рис. 14 прил. 2.
Описание номограммы дано в приложении.
Примеры пользования номограммой N 1
Пример 1. Выбор оптимальной высоты застройки при заданных параметрах расстояния между зданиями
N, угла направления ветра к фасаду здания

протяженности дома
L и

:
N = 100 м;

;

;
L = 60 м.
Пользуясь табл. (
табл. 16 прил. 2), определяем, что при

и направлении ветра

высота застройки не может превышать 27 м. Таким образом, может быть выбрана 5- и 9-этажная застройка. Остается определить, какая из них наиболее соответствует заданным условиям. По заданным значениям
N и

находим сомножитель
A, который равен 0,42.
Возьмем застройку при H = 15 м. Определим при N = 100 м по номограмме значение B. Оно равно 0,05. Для H = 15 м, D = 17,2 При этом B·D = 0,86. По формуле
Km - K5 = A·B·D (9)
находим, что

. Отсюда

, что удовлетворяет заданному значению.
Теперь рассмотрим 9-этажную застройку при тех же параметрах:
H = 27 м,
B = 0,035,
D = 11,25. Произведение
BD равно 0,39, а

равно 0,16, что не удовлетворяет заданным условиям.
Таким образом, 5-этажная застройка при заданных параметрах является оптимальной. Значения
A,
B,
D приведены в
табл. 14 и
15 прил. 2. Значения
K5 для разных этажностей при различном направлении ветра к фасаду здания даны в
табл. 16 и
17 прил. 2.
Примечание. Возможны случаи, когда рассмотренные высоты застройки не дают точного совпадения с заданными значениями

. В этом случае следует остановиться на значении

, наиболее близком к заданному.
Пример 2. Выбор оптимального разрыва
N между зданиями при заданных параметрах высоты застройки
H, угла направления ветра к ней

и протяженности дома
L:
H = 36 м (12 этажей);

;
L = 60 м.
Критерием выбора оптимального расстояния между домами N будем считать наименьшее значение Km.
По данным значениям
H и
L находим множитель
D. Он равен 6,5. Выбираем желаемое для нас значение
N, например
N = 80 м. По номограмме находим значения
A(
N) и
B(
N), равные соответственно 0,19 и 0,095. Тогда

;

. Из таблицы значений
K5 находим, что для 12-этажной застройки при
L = 60 м и
K = 0,57, а
Km = 0,57 + 0,12 = 0,69.
Следовательно, выбранное расстояние между домами может быть принято нами, но оно не является оптимальным, поскольку максимальные скорости ветра могут быть снижены выбором наиболее соответствующего расстояния между домами.
Зададимся значением N = 70 м. Тогда B = 0,14; A = 0,15; D = 6,5, а Km - K5 = 0,14; Km = 0,14 + 0,43 = 0,57. Такой разрыв между домами является более оптимальным с позиции создания комфортных для человека условий ветрового режима на территории застройки.
Примечание. Если значение
Km задано заранее, то ширина разрыва между зданиями
N выбирается та, которая обеспечивает значение

, наиболее близкое к заданному.
Пример 3. Выбор оптимальной протяженности дома
L при заданных параметрах высоты застройки
H, расстояния между зданиями
N и угла направления ветра к застройке

: H = 27 м (9 этажей);

;
N = 120 м.
По заданным значениям
N,
H и

по номограмме находим значения
A и
B, которые соответственно равны 0,52 и 0,001.
Допустим, что L = 150 м. Тогда D (для H = 27 м) будет равно 19,2, а Km - K5 = 0,52. 0,001·19,2 = 0,01; Km = 0,01 + 0,72 = 0,73.
Для другой длины дома, например L = 120 м, коэффициент D будет равен 17,5. Следовательно, Km - K5 = 0,52 x 0,001 x 17,5 = 0,009.
Для протяженности дома L = 90 м коэффициент D = 15,5, а Km - K5 = 0,52 x 0,01 x 15,5 = 0,008; Km ~= 0,73.
Таким образом, при заданных параметрах застройки и направлении к ней ветра под углом 45° изменение одной лишь протяженности зданий не оказывает какого-либо существенного влияния на режим аэрации территории. Последний изменяется существенно, если мы одновременно с протяженностью зданий будем изменять величину разрыва между ними или ориентацию их относительно господствующего ветра.
Пример 4. Определение

и
Km. Пользуясь номограммой, можно определить значения

и
Km в существующей застройке.
По известным значениям
H,
N и
L с помощью описанной выше методики определяем сомножители
A,
B и
D и, следовательно, значения (
Km -
K5) для любых направлений ветра

.
Пусть
H = 27 м;
L = 60 м;
N = 90 м;

.
По номограмме определяем: A = 0,23; B = 0,06; D = 11,25. Отсюда Km - K5 = 0,16. K5, согласно таблице и заданных параметров, равно 0,71. Тогда Km = 0,71 + 0,16; Km = 0,87.
Таким образом, пользуясь номограммой N 1, мы можем определить наиболее оптимальные параметры в застройке с точки зрения учета господствующего ветра. Могут быть выбраны несколько разрывов между зданиями, в достаточной мере отвечающих заданным условиям, а уже выбор какого-либо одного разрыва из отобранных должен осуществляться с точки зрения экономической, рельефа и других факторов.
3.23. Расчет режима аэрации магистралей или территории застройки между параллельно стоящими зданиями можно также производить с помощью формулы. Рабочая формула к номограмме N 1 имеет следующий вид:
Kx =
K5 +
g[
C(
N - 5)]
2 -
g[
X -
C(
N - 5)]
2, (10)
где
Kx - искомый коэффициент скорости ветра;
K5 - коэффициент скорости ветра в 5 м от подветренного фасада здания (данные
K5 для некоторых параметров зданий рассчитаны и приведены в
табл. 17 прил. 2);
g - коэффициент, выражающий крутизну кривой изменения скорости ветра между преградами (значение
g выведено нами и равно:
g = 10
-4(
H/N - 0,011·
H + 0,066)·(24,5 - 30
H/
L);
N - ширина магистрали или величина разрыва между двумя противоположно поставленными зданиями;
X - заданная величина расстояния в метрах от подветренного фасада здания;

.
Формула эта проста в обращении и не требует длительных расчетов.
Пример. Определить коэффициент скорости ветра на расстоянии
X = 55 м от подветренного фасада здания при следующих параметрах:
H = 36 м (12-этажное здание);
N - расстояние между зданиями, равное 60 м;

- направление ветра к фасаду здания, равное 45°;
L - протяженность дома, равная 120 м;
K5 для заданных параметров, согласно таблице, равно 0,48;

.
Выводим значение коэффициента g:
g = 10-4(0,6 - 0,396 + 0,066)(24,5 - 9) = 10-4 x 4,18;
C = (0,5 + 0,0033·45) = 0,648; C(N - 5)]2 = (0,648·55)2 = 1276;
g[C(N - 5)]2 = 10-4·4,18·1276 = 10-4·5296 = 0,52; [X - C(N - 5)]2 = (55·35,6)2 = 376,4;
g[X - C(N - 5)]2 = 10-4·4,18·376,4 = 10-4·1573 = 0,16.
Подставив все вычисленные значения в
формулу (10), получим:
Kx = 0,48 + 0,52 - 0,16;
Kx = 0,84.
Следовательно, коэффициент скорости ветра в 55 м от подветренного фасада здания при вышеперечисленных выбранных нами параметрах будет равен 0,84 от скорости свободного потока ветра. Снизить или повысить скорость ветра на заданном расстоянии от здания можно, например, изменив ориентацию дома. Для уменьшения скорости ветра следует увеличить угол направления преобладающего ветра к фасаду здания, а для увеличения скорости - уменьшить его.
3.24. Номограмма N 2 (см.
рис. 15 прил. 2) позволяет провести более детальный анализ ветровой обстановки на территории застройки и определить значения коэффициентов скорости ветра в любой точке между параллельно стоящими зданиями (
описание номограммы N 2 дано в прил. 2).
Расчет режима аэрации с помощью номограммы N 2 производится следующим образом.
Пример. Дано - направление ветра к фасадам зданий

, высота 5-этажного здания
H = 15 м, ширина магистрали (или расстояние между двумя параллельно стоящими зданиями)
N = 80 м.
Определить: X, то есть на каком расстоянии от подветренной стороны фасада наветренного здания наблюдается максимальный коэффициент скорости ветра при заданной ширине магистрали N, и значение коэффициента скорости ветра Kx на расстоянии 40 м от подветренного фасада наветренного здания.
Решение. На графике справа в первой части номограммы N 2 из точки, соответствующей

, восстанавливаем перпендикуляр до пересечения с синусоидой и определяем значение функции
A. Для заданного значения

функция
A = 0,007. Из точки, соответствующей заданной высоте застройки (
H = 15 м), восстанавливаем перпендикуляр до пересечения с прямой

, соответствующей найденному значению
A. Из места их пересечения проводим прямую, параллельную оси
N, до пересечения ее с перпендикуляром, соответствующим ширине магистрали
N = 80. Таким образом, получаем, что максимальная скорость ветра при заданных параметрах наблюдается на расстоянии 48 м от подветренной стороны фасада наветренного здания, т.е.
Xm = 48 м. Значение
A дано в
прил. 2. Вторая часть номограммы служит для определения значений
Kx (по функциям
B и
C).
Определим коэффициент скорости ветра на расстоянии 40 м от подветренного фасада здания.
На оси X из точки X = 40 м восстанавливаем перпендикуляр до пересечения его с прямой B(X) для Xm = 48 м и находим значение функции B, которое равно 2,2. Значение функции C, соответствующее X = 40 м и Xm = 48 м, равно 0,44. Подставив полученные значения в формулу (11), получим:
(Kx - K5)/(Km - K5) = B·C; (11)
(K40 - K5)/(Km - K5) = 2,2·0,44 = 0,96.
Положив Km = 0,9, а K5 = 0,26, согласно таблице, получим:
(K40 - 0,26)/(0,9 - 0,26) = 0,96; K40 = 0,87.
Таким образом, с помощью номограммы N 2 мы можем определить значение коэффициентов скорости ветра в любой точке между двумя параллельно стоящими зданиями.
Номограммный метод дает возможность решать и обратные задачи - выбрать дом соответствующей этажности, протяженности и ориентации, который обеспечил бы необходимые условия аэрации территории застройки (т.е. прогнозировать ветровой режим территории на стадии проектирования).
Номограммы N 1 и 2 следует применять для анализа ветрового режима в условиях как проектируемой, так и существующей застройки при параллельном размещении зданий (вдоль магистралей и на межмагистральной территории). При ином расположении зданий оценка и прогнозирование ветрового режима могут быть выполнены с помощью графоаналитического метода расчета (см.
пп. 3.19 и
3.20).
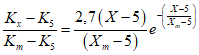
3.25. Расчет режима аэрации может быть произведен также с помощью формулы. Рабочая формула к номограмме N 2 имеет следующий вид:

, (12)
где
Kx - искомый коэффициент скорости ветра;
K5 - коэффициент скорости ветра в 5 м от подветренного фасада здания;
Km - коэффициент максимальной скорости ветра;
X - заданная величина расстояния, м, от фасада здания;
H - высота здания, м;
N - расстояние между двумя параллельно стоящими зданиями;

- угол направления ветра к фасаду здания.
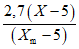
Пример. Определить значение
Kx на расстоянии X = 25 м от подветренного фасада здания при следующих заданных параметрах:
H = 27 м (9 эт.);
N = 90 м;

;
K5 = 0,63 (для заданных параметров согласно таблице);
Km = 0,9 (принятая средняя величина).

;
Kx = 0,63 + 0,24e-0,32 = 0,63 + 0,24·0,72; Kx = 0,8
Таким образом, пользуясь этой формулой, мы можем определить скорость ветра в любой точке между параллельно стоящими зданиями, параметры которых выбраны при помощи рабочей формулы к номограмме N 1. Такая детальная оценка ветрового режима на территории застройки может понадобиться для определения границ размещения детских учреждений, зон отдыха, озеленения территории и др.
4. ПРИНЦИПЫ И СРЕДСТВА РЕГУЛИРОВАНИЯ ВЕТРОВОГО РЕЖИМА ЖИЛОЙ ЗАСТРОЙКИ
Функциональное зонирование территории застройки с учетом условий аэрации (ветрового режима)
4.1. Основой для рационального размещения функциональных зон может служить составленная для конкретного города карта-схема районирования территории по температурно-ветровому режиму (см.
рис. 19 прил. 3).
4.2. Взаиморасположение промышленных предприятий и селитебных зон в значительной мере предопределяет состояние воздушного бассейна территории жилой застройки. Селитебную зону следует размещать с наветренной стороны для ветров преобладающего направления и на возвышенных, хорошо аэрируемых участках городской территории. В районах с одинаковой повторяемостью ветров противоположных направлений на летний и зимний периоды года селитебные зоны следует располагать слева и справа от ветров этих направлений по отношению к промышленным предприятиям, являющимся источниками выделения вредных веществ.
4.3. Планировка и застройка жилых районов осуществляется с учетом ландшафтно-климатических условий местности, которые предопределяют в каждом отдельном случае функциональное зонирование территории, трассировку и ориентацию улиц; приемы застройки, озеленения и благоустройства; типы жилых и общественных зданий и пр. При этом в районах с эффективным ветровым режимом ориентировать улицы следует под углом к направлению господствующего ветра, а в районах с ослабленным режимом аэрации - по направлению господствующих ветров благоприятных румбов.
4.4. При выборе территории для функциональных зон жилого района основной задачей является создание наиболее здоровых условий для жизни и труда населения с рациональным использованием естественных особенностей местности на основе ее микроклиматической оценки.
4.5. Для жилых районов и микрорайонов следует отводить территории, наиболее полно отвечающие санитарно-гигиеническим требованиям (сухие, хорошо инсолируемые и проветриваемые участки, защищенные от проникновения холодных сильных ветров, горячих суховеев, пыльных бурь и т.д.), по возможности приближенные к открытым водоемам и зеленым массивам.
4.6. Для улучшения микроклимата необходимо предусматривать мероприятия, направленные на создание оптимальных условий проветривания (максимальное использование естественного фактора подвижности воздуха и местных конвективных токов, защита от неблагоприятных ветров и снегозаносов) и радиационного режима (оптимальная инсоляция, защита от избыточной прямой солнечной радиации, снижение интенсивности воздействия отраженной и излученной солнечной радиации в условиях перегрева среды).
4.7. Функционально-пространственная организация жилой застройки (размещение проездов, пешеходных дорожек, озелененных участков, участков школ, детских дошкольных учреждений, мест отдыха детей и взрослого населения, спортивных площадок и т.д.) должна решаться с учетом интенсивности и направления как господствующих ветров, так и ветров, трансформируемых местными условиями (рельеф, застройка, зеленый массив, водные поверхности и т.п.). Выбор участков, в наибольшей степени отвечающих данному виду их использования, должен производиться на основе оценки аэрационного режима территории с целью улучшения существующих микроклиматических и санитарно-гигиенических условий.
Для этой цели направление пешеходных дорожек по возможности следует сочетать с направлением благоприятных потоков воздуха; площадки для детей располагать на участках, характеризующихся оптимальными условиями аэрации; использовать поверхности, характеризующиеся разным нагревом, для создания конвективных токов.
Приемы планировки и застройки, обеспечивающие оптимальные условия ветрового режима
4.8. Для создания комфортных условий микроклимата необходим дифференцированный подход к застройке отдельных районов города в связи с рельефом местности и местоположением участка в системе города относительно господствующего направления ветра с целью обеспечения допустимой скорости движения воздуха на большей части застраиваемой территории.
Застройка изменяет скорость и направление ветра, господствующего на открытой незастроенной территории, и в зависимости от архитектурно-планировочной композиции создает определенный ветровой режим. Угол направления господствующего ветра изменяется на 30 - 90°, а коэффициент скорости ветра колеблется в пределах от 0,1 до 1,2 по отношению к коэффициенту скорости ветра по данным метеостанции, принимаемому за 1.
Влияние на аэродинамику застройки оказывают положение ее в системе города и ориентация зданий или приемов планировки относительно господствующих ветров: коэффициент скорости ветра на участках застройки, расположенной на наветренной границе города, на 0,1 - 0,2 выше, чем в аналогичных приемах застройки, расположенной под защитой предшествующей застройки.
4.9. Критерием оптимальности архитектурно-планировочной композиции застройки в условиях повышенных скоростей ветра является такое ее решение, при котором практически вся площадь территории застройки характеризуется коэффициентом скорости ветра, равным 0,1 - 0,5 от исходной скорости ветра (K = 1); в условиях низких скоростей ветра критерием оптимальности является такое планировочное решение, при котором коэффициент скорости ветра равен 0,5 - 1 и более. К созданию таких условий ветрового режима и следует стремиться при выборе композиции застройки для повышения комфорта окружающей человека среды.
4.10. Здание, расположенное фасадом перпендикулярно или под небольшим углом (до 30°) к господствующему ветру, является лучшим барьером на его пути в застройку. За зданием образуется зона пониженных скоростей ветра, глубина которой составляет от 3 до 7H ветрозащитного дома. Для расчета площади "штилевой" зоны за зданием можно использовать формулу (13) (по Ф.Л. Серебровскому):

(13)
в зависимости от направления господствующего ветра

, длины дома
l и глубины ветровой тени
b.
Для определения размеров ветровой тени за зданием Nm, имеющим длину менее 10H, можно использовать формулу (по Г.К. Гольдштейн):
Nm = (10,84H - W)K, (14)
где
W - ширина корпуса здания, м;
K - коэффициент, учитывающий длину здания, принят согласно расчету по данным Н.М. Томсона; значение его приведено в
табл. 18 прил. 3.
Величина ветровой тени зависит от геометрических размеров здания. Ее размеры увеличиваются с увеличением высоты или длины дома и уменьшением его ширины.
4.11. Расстояние между фасадами зданий следует принимать с учетом их расположения относительно направления преобладающих благоприятных ветровых потоков: параллельном - 2H; под углом 45° - 3H; перпендикулярном - в зависимости от числа рядов - от 3 до 5H. Разрывы между торцами зданий, расположенных фасадом к направлению господствующих ветров, следует принимать: с целью менее эффективного проветривания территории застройки - до 1H, а с целью эффективной аэрации территории - от 1 до 1,5H и более.
4.12. При застройке территории следует стремиться к оптимальному архитектурно-планировочному и конструктивному решению застройки, то есть к такому, которое обеспечивает комфортные или близкие к ним условия при наименьших затратах на естественное и искусственное регулирование микроклимата в течение длительного времени: при строчной застройке с разрывами между зданиями менее 2,5H дополнительные теплопотери находятся на уровне 5% основных; увеличение разрывов до 3H приводит к возрастанию дополнительных теплопотерь до 16 - 18% основных (по Ф.Л. Серебровскому). Ориентация зданий с учетом господствующих в зимний период года ветров снижает их дополнительные теплопотери на 10 - 15%, что имеет большое экономическое значение.
4.13. Планировка и застройка участков городской территории, расположенной в условиях повышенных скоростей ветра, должна осуществляться с учетом направления господствующего ветра неблагоприятных румбов и рельефа местности, способствующего искажению направления и изменению скорости свободного ветрового потока. Выбор оптимальных архитектурно-планировочных решений должен производиться для создания комфортных условий ветрового режима на территории будущей застройки.
Для этого следует:
основные магистрали на вновь застраиваемых городских территориях проектировать под углом не менее 40 - 50° к направлению преобладающих неблагоприятных ветров. При этом следует учитывать, что наиболее комфортные условия складываются на магистралях шириной от 25 до 60 м;
озеленять наветренные и возвышенные участки городской территории многорядной посадкой ширококронных и вечнозеленых деревьев с кустарником (K = 0,2 - 0,5);
использовать наиболее возвышенные участки городской территории и наветренные их склоны под строительство общественных зданий и сооружений повышенной этажности и значительной протяженности, обращенных фасадами в сторону ветра неблагоприятных румбов, для создания барьера на его пути в застройку; скорость ветра на вершинах возвышенностей, высотой 80 - 100 м, в 2 - 3 раза выше скорости ветра у их основания;
помимо общественных зданий на наветренных границах жилых районов и микрорайонов с целью защиты от ветра территории застройки и квартир использовать жилые ветрозащитные комплексы со специальной планировкой квартир, при которой на наветренную сторону горизонта обращены лестничные клетки, подсобные помещения и общие комнаты в многокомнатных квартирах;
ветровое затенение городских территорий целесообразно обеспечивать путем членения их на отдельные "самозатеняющиеся" жилые и общественные пространства. При этом максимальным разрывом между комплексами ветрозащитной застройки следует считать разрыв 10 - 12H в условиях спокойного рельефа местности. При увеличении протяженности и высоты зданий увеличивается и процент территории, характеризующейся комфортными условиями аэрации;
в пространстве между ветрозащитными комплексами принимать свободную постановку линейных и точечных зданий при соблюдении нормы инсоляции;
на участках территории, открытых доступу ветра, использовать П-, Г-, Т-, и У-образные группировки зданий, обращенные сблокированным углом на наветренную сторону горизонта (K = 0,2 - 0,5);
для снижения ветрового напора на ветрозащитные здания, а также для ликвидации зон усиления скорости ветра в разрывах между зданиями (K = 0,8 - 1,1) использовать древесно-кустарниковые группы или полосы ажурной конструкции; непосредственно за полосой озеленения шириной 10 м скорость ветра снижается до K = 0,2 от его скорости с наветренной стороны полосы, а на территории застройки, в 40 - 50 м от полосы озеленения, коэффициент скорости ветра составляет 0,4 - 0,5;
детские учреждения размещать в зоне ветровой тени, обеспечиваемой ветрозащитной застройкой, то есть на расстоянии до 7 - 8H от подветренного фасада ветрозащитного дома.
Наиболее оптимальный ветровой режим складывается на территории дворовых пространств площадью от 0,35 (для 5-этажной застройки) до 1,4 га (для 9 - 12-этажной застройки); допускается увеличение площади двора до 1,8 га. При этом разрыв между зданиями, расположенными фасадами к направлению господствующего ветра, формирующими дворовое пространство, не должен превышать 3 - 4H.
В
табл. 19 прил. 3 представлены приемы архитектурно-планировочной композиции застройки с целью ветрозащиты территории, а на
рис. 20 прил. 3 показаны размеры зон ветровой тени (
K <= 0,5) в зависимости от параметров зданий, в пределах которой могут быть размещены детские учреждения и площадки отдыха.
4.14. Планировка и застройка территорий, расположенных в районах со слабо выраженными ветрами, должна производиться с учетом направления преобладающих ветров благоприятных румбов. В этом случае при выборе оптимальных архитектурно-планировочных решений особое внимание должно быть направлено на создание условий наиболее эффективного проветривания территории застройки. Для этого следует:
основные магистрали и улицы проектировать по направлению ветров благоприятных румбов или под углом к ним не более 30 - 40°. Поперечный профиль наветренных участков улиц следует расширять (оптимальная ширина 90 - 120 м) с целью более свободного доступа ветра в глубь застройки, выполненной легко обтекаемыми зданиями, обращенными торцами к улице под углом не более 45° относительно направления благоприятного ветра (коэффициент скорости ветра составит 0,5 - 1,2);
наветренные и возвышенные участки городской территории застраивать легко обтекаемыми зданиями башенного типа, линейными короткокорпусными зданиями или зданиями большой протяженности и повышенной этажности, обращенными торцами в сторону благоприятного ветра. При этом, изменяя величину разрыва между зданиями, можно регулировать скорость ветра. Наиболее оптимальными являются разрывы между зданиями в пределах до 2 - 3H;
разрывы между линейными зданиями, расположенными фасадами к ветру, принимать не менее 5 - 7H;
этажность застройки повышать постепенно от наветренной к подветренной стороне города;
избегать замкнутых приемов застройки;
площадь дворовых пространств принимать более 1,8 га. Эффективно проветриваются дворовые пространства площадью 4 га, формируемые 5-этажной застройкой, при разрывах между зданиями, расположенными фасадами к направлению господствующего ветра, более 5H;
систему озеленения городской территории направлять на усиление скорости ветра, поступающего на территорию города.
В
табл. 20 прил. 3 представлены приемы архитектурно-планировочной композиции застройки с целью усиления проветривания территории.
Используя найденные закономерности и предложенные методы расчета ветрового режима, можно уже на стадии разработки проектных решений заложить основу комфортности ветрового режима территории будущей жилой застройки.
Приемы озеленения и благоустройства для регулирования ветрового режима
4.15. Основным средством регулирования ветрового режима в городской среде является застройка. Однако только постановкой зданий тех или иных параметров, ориентацией, группировок не всегда можно создать желаемый микроклиматический эффект. Дополнительным средством регулирования режима аэрации может служить озеленение. При чередовании с застройкой зеленые насаждения могут регулировать ветровой режим на локальных участках.
Вопрос ветрозащиты территории при помощи зеленых насаждений играет особую роль в районах с сильным ветром. Следует знать, что при приближении к большому зеленому массиву на 50 - 70 м скорость ветра снижается в два раза. Небольшой зеленый массив оказывает смягчающее действие на расстоянии до 150 м, массив более 3 га - до 200 м, массив в 15 га - до 800 м. При размещении лесной полосы в застройке область ветровой тени охватывает только 18 единиц площади, а при размещении ее перед застройкой защищаемая площадь увеличивается в два раза (по В.Н. Адаменко). Расстояние, на которое распространяется влияние полосы, не превышает 15-кратной высоты насаждений. Зелеными насаждениями можно снизить скорость ветра более чем на 50%. Количественные результаты ветрозащитных свойств полос озеленения приведены в
табл. 21 прил. 3.
Лесные полосы можно также использовать и с целью интенсификации проветривания территории застройки (каналы-воздуховоды и др.).
4.16. Для получения быстрого микроклиматического эффекта необходимо применять высоковозрастной посадочный материал - различные вьющиеся растения, - увивающие козырьки, беседки, а также перголы различной формы.
Принимая во внимание гигиеническое значение солнечной радиации, на части детских площадок предпочтительны породы деревьев с ажурной и пирамидальной кроной.
4.17. Правильный режим проветривания жилой территории можно обеспечить соответствующими приемами озеленения. Для этого следует избегать загущенных посадок деревьев, число и размещение которых должно удовлетворять требованиям ограничения инсоляции и частичной ветрозащиты; на локальных участках можно использовать газон и низкий кустарник, деревья с высоким штамбом (не менее 3 м); избегать высоких живых изгородей (не выше 0,75 м); ориентацию аллей, разрывы в зеленых насаждениях и обсадку площадок определять с учетом основных направлений ветров; использовать разновысотные объемы зеленых насаждений в целях создания местных токов воздуха.
Примечание. Размещение зеленых насаждений в каждом конкретном случае должно производиться с учетом режима аэрации проектируемой жилой застройки.
4.18 Для обеспечения оптимальных условий проветривания жилой территории дворовое пространство следует раскрывать в сторону зеленых массивов, водных поверхностей и др.; разрывы между домами озеленять; использовать малые формы - беседки, перголы, навесы и другие элементы благоустройства, конструкции которых одновременно обеспечивают ветрозащиту локальных участков территории и достаточный воздухообмен.
4.19. Для ветрозащиты жилой территории на границе ее, обращенной в сторону неблагоприятных ветров, необходимо предусмотреть пояс из нескольких полос зеленых насаждений шириной 20 - 25 м, расположенный на расстоянии четырех высот зданий от застройки, а также ветрозащитные посадки на эффективно продуваемых участках территории (не менее двух рядов с ажурностью 25 - 40%, предпочтительно из вечнозеленых лиственных и хвойных пород деревьев).
Примечание. Полоса из трех рядов деревьев, расположенная на расстоянии четырех высот зданий от застройки, уменьшает давление ветра в три раза.
4.20. Зоны отдыха и детские игровые площадки следует озеленять с наветренной стороны.
Возможность прогнозирования ветрового режима на стадии проектирования с помощью предлагаемых методов была опробирована на проектах застройки районов Москвы (Вешняки-Владычино, Марьино, Тропарево, Ивановское, Ясенево, Орехово-Борисово и др.), Балакова, Барнаула и других городов, а также на двух вариантах планировки микрорайонов, разработанных на основе существующего проектного решения: первый вариант - с целью максимальной ветрозащиты территории, второй - с целью максимального проветривания территории застройки. Результаты оценки ветрового режима проектного решения микрорайона с целью ветрозащиты территории показали, что в комфортных ветровых условиях находится 87,5% территории, свободной от застройки. Проект застройки микрорайона с целью усиления проветривания территории показал, что на территории застройки нет ветровых условий, которые характеризовались бы коэффициентами скорости ветра ниже 0,5 от скорости его свободного потока: вся территория микрорайона проветривалась эффективно.
Следовательно, используя найденные закономерности и применив предложенную методику, можно уже на стадии разработки проектных решений заложить основу комфортности ветрового режима территории будущей жилой застройки.
КРИТЕРИИ ОЦЕНКИ ВЕТРОВОГО РЕЖИМА
Таблица 1
Теплоотдача конвекцией и радиацией при различной скорости
движения воздуха и температуре +25 °C
Скорость движения воздуха, м/с | Теплоотдача, % | Скорость движения воздуха, м/с | Теплоотдача, % |
радиацией | конвекцией | радиацией | конвекцией |
0,09 | 52 | 48 | 0,81 | 26 | 74 |
0,25 | 39 | 61 | 1,21 | 23 | 47 |
0,36 | 35 | 65 | 2,25 | 18 | 82 |
0,49 | 31 | 69 | 4,0 | 14 | 86 |
Таблица 2
Зависимость ЭЭТ от скорости движения воздуха
Скорость движения воздуха, м/с | ЭЭТ, °C | Скорость движения воздуха, м/с | ЭЭТ, °C |
0,0 | 31 | 1,0 | 29,8 |
0,25 | 30,8 | 2,5 | 28,2 |
0,5 | 30,3 | 3,5 | 27,5 |
Таблица 3
Условия одинакового теплоощущения человека
при положительных значениях температуры воздуха
Температура воздуха, °C | Относительная влажность воздуха, % | Скорость ветра, м/с | Температура воздуха, °C | Относительная влажность воздуха, % | Скорость ветра, м/с |
22 | 80 | 0 | 24 | 100 | 2 |
25 | 55 | 1 | 27 | 70 | 5 |
27 | 40 | 2 | 30 | 25 | 5 |
Таблица 4
Условия одинакового теплоощущения человека
при отрицательных значениях температуры воздуха
Температура воздуха, °C | Скорость ветра, м/с | Температура воздуха, °C | Скорость ветра, м/с |
-25 | 0,5 | -11 | 10,5 |
-21 | 4,5 | -5 | 14,5 |
МЕТОДИКА ОЦЕНКИ ВЕТРОВОГО РЕЖИМА
Рис. 1. Комплексная карта районирования территории СССР
по средней скорости ветра на зимний и летний периоды года

- средняя скорость ветра в январе, м/с, (
1);

- средняя скорость ветра в июле, м/с, (
2);
3 - зона, характеризующаяся средней скоростью ветра 7 м/с;
4 - то же, 5 м/с; 5 - то же, 3 м/с; 6 - то же, 1 м/с;
7 - зона характеризующаяся разной скоростью ветра
на зимний и летний периоды года
Рис. 2. Карта-схема районов (
I -
IV) повторяемости
скорости ветра 0 - 1 м/с
I - 20%; II - 20 - 40%; III - 41 - 59%; IV - 60 - 70%
Таблица 5
Классификация местных ветров (по Э.А. Бурману)
Ветер | Генетическая характеристика | Морфологическая характеристика | Общепринятое определение ветра | Градостроительная оценка местных ветров (по К.И. Семашко) |
особенность топографии | особенность возмущения основной циркуляции | пространственно-кинематическая | временная |
| Ветры ослабленной циркуляции | Реверсивные ветры | | |
Бриз | Соседство суши и моря (озера) | Термическое периодическое (градиент температуры суша-море) | Обращение направления с высотой | Суточная периодичность направления и скорости | Дует днем с моря на сушу, а ночью с суши на море | Благоприятный ветер для проветривания городской территории. Господствует он в городах, расположенных на берегах крупных водных бассейнов, и приносит с собой в жаркие дневные часы на городскую территорию более прохладные воздушные массы с водной поверхности |
Горно-долинный | Горные склоны и долины | Термическое периодическое (градиент температуры склон - свободная атмосфера) | То же | То же | Дует днем из долин в горы, а ночью с гор в долину | В дневные часы - слабые ветры, не способствующие охлаждению городской среды, направленные от города к горам. В вечерние часы они направлены с гор на городскую территорию и эффективно снимают тепло с нагретых в дневные часы поверхностей. В это время они могут достигать больших скоростей и действуют на человека охлаждающе |
Ледниковый | То же | Термическое периодическое (градиент температуры ледник - свободная атмосфера) | То же | Суточная периодичность скорости | Дует днем и ночью с ледника в долину | Холодные неблагоприятные ветры, выдвигающие требование ветрозащиты территории |
| Ветры направленной циркуляции | Катабатические ветры | | |
Фен | Горные хребты | Механическое непериодическое, при обтекании горного препятствия в вертикальной плоскости | Нисходящие потоки умеренной силы и значительной вертикальной мощности | Непериодический ветер | Теплый и сухой, дует с гор | Благоприятный ветер. Господствует в городах, расположенных в горных районах, в зимнее время года и приносит с собой на городскую территорию повышение температуры воздуха |
| Сильный катабатический ветер | | | | | |
Бора | Невысокие горные хребты на берегах морей (озер) | Механическое непериодическое, при сужении потоков по вертикали и падении | Нисходящие потоки большой и очень большой силы и малой вертикальной мощности | Ветер периодический, иногда усиливающийся ночью | Холодный очень сильный с невысокого берега в море | Неблагоприятный ветер больших скоростей. Преобладает в холодное время года. Наибольшей силы достигает в бухтах, открытых в сторону моря. Приносит много разрушений городам, расположенным у бухт |
Стоковые | Длинные, покрытые льдом и снегом склоны | | Уменьшение скорости с высотой | | | |
Сильный ветер в горных проходах | Сужение долин, горные проходы, выходы из узких ущелий на равнину | Механические непериодические, при сужении потока в горизонтальной, а иногда в вертикальной плоскости | Нисходящие потоки большой горизонтальной скорости и малой вертикальной мощности и малого поперечного сечения. Уменьшение скорости с высотой | Непериодический ветер | Сильный, дующий у выхода узких горных проходов | Неблагоприятный ветер для городов, расположенных у выхода долин. Скорость его с высотой уменьшается |

Рис. 3. Схематическое районирование территории СССР
по расчетным скоростям ветра на высоте 100 и 200 м
Таблица 6
Расчетные скорости ветра на высотах, м/с
Hм | Районы |
I | II | III | IV | V | VI |
10 - 12 | 21 | 24 | 27 | 30 | 34 | 37 |
100 | 27 | 31 | 34 | 38 | 42 | 46 |
200 | 30 | 34 | 38 | 42 | 46 | 51 |
300 | 32 | 36 | 40 | 44 | 49 | 54 |
500 | 34 | 39 | 44 | 49 | 54 | 58 |
Примечание. Для сравнения в
табл. 6 приведены расчетные скорости ветра на высоте флюгера (10 - 12 м), принятые за нормативные, согласно СНиП.
Условные обозначения |
- 1 | минимум комфортных дней |
- 2 | 10 - 15 комфортных дней |
- 3 | 16 - 21 комфортных дней |
- 4 | максимальное число комфортных дней (> 21) |
Рис. 4. Карты распределения повторяемости комфортных условий
теплоощущений человека в равнинных районах
Советского Союза в июне
а - в естественных условиях; б - при защите от ветра
Рис. 5. Эффективность ветрозащиты
1 - суровость зимних биотермических условий;
2 - допустимый предел суровости зимних
биотермических условий; 3 - пурговые условия;
4 - допустимый предел пурговых условий
Таблица 7
Коэффициенты изменения скорости ветра в холмистой местности
в зависимости от форм рельефа (для скоростей ветра
от 2 до 7 - 8 м/с) по сравнению с ровным открытым местом
Форма рельефа | Коэффициенты при ветрах, дующих к оси хребта или долины |
параллельно | перпендикулярно | под углом 45° |
Открытое ровное место | 1,0 | 1,0 | 1,0 |
Вершины открытых возвышенностей (  более 50 м, уклон более 10°): | 1,3 - 1,4 | 1,4 - 1,5 | 1,4 - 1,5 |
Верхняя часть наветренных склонов этих возвышенностей | | | |
Вершины небольших пологих возвышенностей (  менее 50 м, уклон менее 10°). Верхняя треть наветренных склонов этих же возвышенностей | 1,0 - 1,1 | 1,1 - 1,2 | 1,1 - 1,2 |
Средние части наветренных открытых склонов | 1,0 - 1,1 | 1,0 - 1,1 | 1,0 - 1,1 |
Наветренные склоны небольших возвышенностей, обращенные к долинам | - | 0,9 - 1,0 | 0,9 - 1,0 |
Подветренные склоны возвышенностей (  более 50 м, уклон более 10°) | От 0,9 - 1,0 в верхней части до 0,6 внизу склона |
Подветренные склоны возвышенностей (  менее 50 м, уклон менее 10°) | 0,6 - 0,7 | 0,6 - 0,7 | - |
Дно долин, лощин, оврагов, открытых ветру, если ветер дует снизу вверх по долине | 1,0 - 1,2 | 0,6 - 0,7 | - |
Дно долин, лощин, оврагов, параллельных ветру, если он дует сверху вниз по долине | - | - | 0,7 - 0,8 |
Дно небольших закрытых котловин | 0,4 - 0,5 | - | - |
Таблица 8
Коэффициенты изменения скорости ветра в различных условиях
рельефа по сравнению с открытым ровным местом
(на высоте 2 м)
Форма рельефа | Коэффициент при скорости ветра на ровном месте, м/с |
3 - 5 | 6 - 10 |
Открытое ровное место | 1,0 | 1,0 |
Вершины открытых возвышенностей: | | |
 более 50 м | 1,45 | 1,15 |
 менее 50 м | 1,35 | 1,1 |
Наветренные склоны крутизной 3 - 10°: | | |
верхняя часть | 1,25 | 1,1 |
средняя часть | 1,05 | 1,0 |
нижняя часть | 1,0 | 0,95 |
Параллельные, ветру склоны крутизной 3 - 10°: | | |
верхняя часть | 1,15 | 0,95 |
средняя часть | 0,95 | 0,85 |
нижняя часть | 0,85 | 0,75 |
Подветренные склоны крутизной 3 - 10°: | | |
верхняя часть | 0,85 | 0,85 |
средняя часть | 0,85 | 0,85 |
нижняя часть | 0,75 | 0,65 |
Дно лощин, долин, оврагов: | | |
продуваемых ветром | 1,15 | 1,05 |
непродуваемых ветром | 0,75 | 0,65 |
замкнутых | 0,6 и менее |
Холмы с плоскими вершинами и пологими склонами крутизной 1 - 3°: | | |
вершины, верхние части наветренных и подветренных склонов | 1,3 | - |
средние и нижние части таких склонов | 1,0 | - |
Таблица 9
Скорость ветра на высоте 2 и 10 м в зависимости
от форм рельефа, выраженная в отношениях
к скорости на открытом ровном месте
Форма рельефа | Высота, м | Характеристика склонов |
2 | 10 |
Вершина крутой возвышенности | 1,4 - 1,6 | 1,3 - 1,4 | Крутизна склона 12° |
Наветренные и параллельные ветру склоны холма: | | | |
верх | 1,3 - 1,5 | 1,2 - 1,4 | Верхняя часть склона ниже вершины на 5 - 10 м. Возрастающее падение склонов крутизной 6 - 12° |
середина | 1,1 - 1,2 | 1,1 |
низ | 1,0 | 1,0 |
Вершина пологого склона | 1,1 - 1,2 | 1,1 | Крутизна склона 7 - 12°, разность высот 10 - 50 м |
Наветренные склоны холма | | | |
верх | 1,2 | 1,1 | Средняя часть склона ниже вершины на 10 - 20 м. Равномерное падение склонов крутизной 8 - 10° |
середина | 0,9 | 0,9 |
низ | 0,6 | 0,7 |
Лощина | 0,9 | 0,9 | Убывающее падение склонов крутизной 3 - 6° |
Овраг | 0,5 - 0,6 | 0,6 - 0,7 | Склон лощин, крутизной 3 - 4° |
Таблица 10
Коэффициенты изменения скорости ветра
в условиях строительства на сложном рельефе
Форма рельефа | Крутизна склона, град | Коэффициенты скорости ветра при направлении |
северном | южном |
Северный склон: | | | |
верхняя часть | 0 - 10 | 0,9 - 0,8 | 0,7 - 0,6 |
10 - 20 | 1,0 - 0,9 | 0,6 - 0,5 |
нижняя часть | 0 - 10 | 0,7 - 0,6 | 0,5 - 0,4 |
10 - 20 | 0,8 - 0,7 | 0,4 - 0,3 |
Южный склон: | | | |
верхняя часть | 0 - 10 | 0,7 - 0,6 | 1,0 - 0,9 |
10 - 20 | 0,6 - 0,5 | 1,5 - 1,4 |
нижняя часть | 0 - 10 | 0,5 - 0,4 | 0,9 - 0,8 |
10 - 20 | 0,4 - 0,3 | 1,1 - 1,0 |
Западный склон: | | | |
верхняя часть | 0 - 10 10 - 20 | 0,8 - 0,7 | 0,7 - 0,6 |
нижняя часть | 0 - 10 | | |
10 - 10 | 0,7 - 0,6 | 0,6 - 0,5 |
Восточный склон: | | | |
верхняя часть | 0 - 10 10 - 20 | 0,7 - 0,6 | 0,8 - 0,7 |
нижняя часть | 0 - 10 | | |
10 - 20 | 0,6 - 0,5 | 0,7 - 0,6 |
Вершины сопок | - | 1,1 - 1,0 | 1,0 - 1,1 |
Плоские водоразделы | - | 1,1 - 1,0 | 1,0 - 1,1 |
Долины рек широтного простирания | - | 0,5 - 0,6 | 0,5 - 0,6 |
Долины рек меридианального простирания | - | 1,5 - 1,4 | 1,5 - 1,4 |
Долины рек меридианального простирания, защищенные с наветренной стороны | - | 1,0 - 0,9 | 1,0 - 0,9 |
Побережье морей | - | 0,9 - 1,0 | 1,0 - 1,1 |
Мысы | - | 1,2 - 1,1 | 1,2 - 1,1 |
Хорошо защищенные участки | - | 0,6 - 0,5 | 0,6 - 0,5 |
Методика построения карты аэрационного режима территории на стадии разработки генерального плана города
Анализ ветрового режима проектируемой территории производится с помощью карты аэрационного режима, основой которой служат две схемы: распределения склонов по экспозициям и углов наклона местности.
Рис. 6. Построение карты-схемы экспозиция склонов
а - построение контуров участков различных склонов;
б - схема экспозиции склонов
В качестве примера рассмотрим процесс построения карты аэрационного режима для участка местности, включающего один холм.
Для составления схемы распределения склонов по экспозициям берется либо прямоугольный треугольник с углами 45° (для выделения склонов по четырем экспозициям), либо треугольник с углами 22°30
', 67°30
' и 90° (для выделения склонов по восьми экспозициям) и перемещается по топооснове так, чтобы его катеты все время оставались параллельными направлениям север - юг и восток - запад. На горизонталях в точках касания гипотенузы треугольника делаются засечки. Точки касания соединяются по направлению числа принятых нами экспозиций склонов и в результате получаются контуры участков склонов соответствующих экспозиций (
рис. 6,
а), которые выделяются различной штриховкой (
рис. 6,
б).
В случае наличия ровных мест и относительных понижений рельефа, плоских водоразделов и вершин они также должны быть выделены на схеме.
Вторым этапом работы является составление схемы углов наклона местности на отдельном экземпляре топографической основы.
Угол падения склона может быть вычислен по формуле

,
где
h - высота сечения рельефа горизонталями;

- заложение (расстояние) между горизонталями.
Для того чтобы не производить подобные вычисления и облегчить определение наклонов земной поверхности, под нижней рамкой топографических карт крупного масштаба (по 1:100 000 вкл.) помещается шкала заложений. По ней графически можно сразу определить угол падения склона в любом месте.
Прежде чем приступить к составлению карты углов наклона местности, нужно выработать легенду с указанием градации углов наклона земной поверхности. Шкала может быть различной. Во "Временной инструкции по производству экспедиционных почвенно-эрозионных исследований равнинных областей СССР" рекомендуется выделять склоны: до 2°, от 2 до 8°, от 8 до 12°, от 12 до 18° и св. 18°. При необходимости более детального изображения углов наклона земной поверхности предлагается другая шкала: до 8° - с интервалом в 1°, до 12° - с интервалом в 2°, далее с интервалом в 3° и т.д.
После того как легенда выработана, при помощи шкалы заложений на карте проводят границы участков с соответствующими углами наклона земной поверхности. Практически при этом можно пользоваться измерителем или скопированной на восковку шкалой заложений. Восковку кладут на топографическую карту и перемещают по горизонталям, отбивая необходимые границы (рис. 7).
Рис. 7. Построение карты-схемы углов наклонов
а - схема построения контура участков различных наклонов;
б - график заложений; в - приспособление для построения
карты углов наклонов
Графически осредненный склон можно передать в виде прямой линии, соединяющей вершину водораздела и дно долины.
Составление карт углов склонов сравнительно просто, если уже имеются карты длин заложения склонов (заменяющих карты густоты расчленения) и относительных превышений (глубины расчленения). Они сразу дают готовые величины
h и

, а угол вычисляется по формуле. Такие карты для территории СССР частично разработаны. С.С. Соболевым составлена карта средних уклонов поверхности европейской части СССР; поэтому при застройке ЕТС можно пользоваться готовой картой углов наклона местности.
Рис. 8. Карта ветрового режима территории.
Скорость ветра в коэффициентах
1 - K = 1,5; 2 - K = 1,3; 3 - K = 1,2; 4 - K = 1,1;
5 - K = 1,0; 6 - K = 0,9; 7 - K = 0,8
В дополнение к вышеперечисленным картам-схемам могут быть составлены количественные показатели рельефа; при этом общая площадь района, км2, принимается за 100%, и относительно нее вычисляется процент территории, занятый под разными формами рельефа и склонами разной крутизны. ("Методические указания по производству микроклиматических обследований в период изысканий". Л., Гидрометеоиздат, 1969).
Полученные карты-схемы экспозиции склонов и углов наклона рельефа совмещаются. На окончательном чертеже отмечаются границы экспозиции склонов и границы перехода уклонов, при этом все склоны расчленяются на три части: верхнюю, среднюю и нижнюю.
Рис. 9. Снижение скорости ветра на высоте 1,5 - 2,0 м
H2
от уровня земли относительно скорости ветра на высоте
флюгера метеостанции Hф
Таблица 11
Данные пересчета скорости ветра, полученной
по показателям флюгера метеостанции, на высоту 2 м
Скорость ветра, м/с | Скорость ветра, м/с |
по флюгеру | на высоте 2 м | по флюгеру | на высоте 2 м |
1 | 0,7 | 9 | 6,0 |
2 | 1,3 | 10 | 6,7 |
3 | 2,0 | 11 | 7,3 |
4 | 2,7 | 12 | 8,0 |
5 | 3,3 | 13 | 8,7 |
6 | 4,0 | 14 | 9,3 |
7 | 4,7 | 15 | 10,0 |
8 | 5,3 | 16 | 10,7 |
Для составления карты аэрации получаем характеристику ветрового режима анализируемой территории из "Справочника по климату СССР" или из материалов наблюдений ближайшей метеостанции. При этом в первую очередь необходимо учитывать скорость и направление ветра, характерные для наиболее дискомфортного периода года (в большинстве районов нашей страны таковым является зимний период).
На окончательном чертеже, полученном после совмещения схем склонов и углов наклона местности, выделяем различной штриховкой участки, характеризующиеся различным режимом аэрации, для чего пользуемся поправочными коэффициентами на рельеф (
табл. 7 -
10), данными в прил. 2. Используя данные метеостанции, мы можем получить абсолютные скорости ветра на интересующих нас участках территории
(рис. 8).
Карты аэрации необходимы для выбора наиболее комфортных участков местности под селитебные зоны.
Таблица 12
Значение b и c для расчета скоростей ветра
на разных высотах
Параметры | Высота, м |
2 | 3 | 5 - 7 | 8 - 14 | 15 - 24 | 25 - 30 |
b | 0,1 | 0,2 | 0,3 | 0,4 | 0,5 | 0,6 |
c | 0,05 | 0,1 | 0,1 | - | - | - |
Методика проведения расчета зон оптимальных скоростей ветра с помощью графоаналитического метода расчета
На основании выведенных нами закономерностей распределения ветрового потока в застройке в зависимости от изменения высоты и протяженности зданий при направлении ветра под углом 90° к фасаду были построены графики, представленные на
рис. 11 и
12 прил. 2, с помощью которых можно определить зоны комфортных скоростей ветра на территории проектируемой застройки.
Расчет зон оптимальных скоростей ветра с помощью разработанного нами графоаналитического метода расчета производится следующим образом.
На плане микрорайона графически показываем преобладающее направление ветра, которое, например, выдвигает требование ветрозащиты территории. Измеряем протяженность дома, перпендикулярно к направлению ветра. Делим протяженность дома на его высоту и полученную величину откладываем по графику на оси абсцисс: L/H(y). Из этой точки восстанавливаем перпендикуляр до пересечения с кривой на оси ординат l/H(x), где мы и находим глубину зоны оптимальных скоростей. Полученную величину следует отложить с подветренной стороны здания. Форма этой зоны будет зависеть от угла наклона ветра к зданию.
Рис. 10. Методология комплексного подхода
к учету ветрового режима в процессе проектирования
Рис. 11. Зависимость отношения глубины зоны оптимальных
скоростей к высоте дома l/H от отношения протяженности
дома к его высоте L/H
Рис. 12. Зависимость длины ветровой тени отдельного здания
от отношения длины фасада здания к высоте при направлении
ветра под углом 90° к фасаду. Снижение скорости ветра
I - на 70%; II - на 60%; III - на 50%; IV - на 40%
Рис. 13. Расчет длины ветровой тени за зданием
при разных уклонах местности

- 0%;

- 10%;

- 30%;

- 50%
Расчет производится относительно каждого здания.
С помощью этих графиков можно определить зоны, характеризующиеся снижением скорости, свободного потока от 40 до 70%.
Таблица 13
Сопоставление глубины зон оптимальных скоростей ветра
за зданием разной этажности и одинаковой протяженности
Протяженность дома, м | Этажность дома, H | Высота дома, м | Глубина зоны оптимальных скоростей ветра, м |
90 | 5 | 15 | 7H - 105 |
96 | 16 | 48 | 4,5H - 216 |
150 | 5 | 15 | 9,5H - 144 |
144 | 16 | 48 | 5,5H - 264 |
В условиях сложного рельефа следует пользоваться графиком на
рис. 13.
Для построения номограммы N 1 использован следующий вид рабочей формулы, по которой можно определить оптимальные параметры застройки для получения комфортных условий ее аэрации:

.
Рис. 14. Номограмма N 1, определяющая зависимость
между скоростью ветра на жилой территории
и параметрами застройки
Введем следующие обозначения для сомножителей в правой части формулы:
[C(N - 5)]210-4 = A(N);

;

.
Тогда Km - K5 = A(N)B(N,H)Д(H,L).
За основную ось номограммы N 1 принимаем ось
N. Строим семейство кривых
A(
N) для различных значений
C. Ось
A наносим в правой части номограммы. Пользуясь той же самой осью
N, как осью абсцисс, строим семейство кривых
B(
N) для различных значений
H. Ось
B нанесена в левой части номограммы (см.
рис. 14). Расчет значений параметров
A,
B, и
D вышеприведенной формулы дан в табл. 14 и
15 прил. 2. Пользуясь этим семейством кривых, мы можем найти значения
A и
B для заданного значения
N.
Таблица 14
Расчет значений члена A формулы к номограмме N 2
N | C(N - 5) | C(N - 5)2·10-4 | N | C(N - 5) | C(N - 5)2·10-4 |
| C = 0,5 | | C = 0,59 |
10 | 2,5 | 6,25·10-4 | 10 | 2,95 | 8,7·10-4 |
20 | 7,5 | 5,6·10-3 | 20 | 8,85 | 7,8·10-3 |
30 | 12,5 | 1,56·10-2 | 30 | 14,75 | 2,17·10-2 |
50 | 22,5 | 5,0·10-2 | 50 | 26,55 | 7,05·10-2 |
100 | 47,5 | 0,22 | 100 | 56,05 | 0,3 |
150 | 72,5 | 0,52 | 150 | 85,55 | 0,73 |
200 | 97,5 | 0,95 | 200 | 115,05 | 1,3 |
250 | 122,5 | 1,5 | 250 | 147,5 | 2,17 |
390 | 147,5 | 2,17 | 300 | 174,05 | 3,03 |
| C = 0,64 | | C = 0,69 |
10 | 3,2 | 1,02·10-3 | 10 | 3,45 | 1,19·10-3 |
20 | 9,6 | 9,22·10-3 | 20 | 10,35 | 1,07·10-2 |
30 | 16,0 | 0,25·10-2 | 30 | 17,25 | 2,97·10-2 |
50 | 28,8 | 0,83·10-2 | 50 | 31,05 | 9,64·10-2 |
100 | 60,8 | 0,37 | 100 | 65,55 | 0,43 |
150 | 92,8 | 0,86 | 150 | 100,05 | 1,0 |
200 | 124,8 | 1,56 | 200 | 134,55 | 1,81 |
250 | 156,8 | 2,46 | 250 | 169,05 | 2,86 |
300 | 188,8 | 3,56 | 300 | 203,55 | 4,14 |
| C = 0,78 | | | |
10 | 3,9 | 1,52·10-3 | | | |
20 | 11,7 | 1,37·10-2 | | | |
30 | 19,5 | 3,8·10-2 | | | |
50 | 35,1 | 0,12 | | | |
100 | 74,1 | 0,55 | | | |
150 | 113,1 | 1,28 | | | |
200 | 152,1 | 2,31 | | | |
250 | 191,1 | 3,65 | | | |
300 | 230,1 | 5,29 | | | |
Таблица 15
Расчет значений параметров B и D к номограмме N 1
Этажность дома, H | Высота дома, м | | | | 0,011H | 0,011H - 0,036 | |
5 | 15 | 0,25 | 7,5 | 17,0 | 0,165 | 0,099 | 0,151 |
9 | 27 | 0,45 | 13,5 | 11,0 | 0,297 | 0,231 | 0,219 |
12 | 36 | 0,6 | 18,0 | 6,5 | 0,396 | 0,330 | 0,270 |
16 | 48 | 0,8 | 24,0 | 6,5 | 0,548 | 0,462 | 0,338 |
Ось D для определения третьего сомножителя формулы проводится перпендикулярно оси N в нижней части номограммы. Член D не зависит от N, а зависит от H и L. В качестве оси аргумента H используем горизонтальную ось, совпадающую с осью N или проведенную несколько ниже нее. Отсчетные точки H (H = 15, H = 27, H = 48 м соответственно для 5-, 9-, 12-, и 16-этажной застройки) выбираем в местах пересечения с осью H кривых H(N).
В системе координат HD откладываем значение D, вычисленное по формуле для H = 15, 27, 36 и 48 м при определенных значениях параметра L (протяженность дома). Для построения номограммы взяты значения L = 60, 90, 120 и 150 м.
Таким образом, задавшись, например, величиной H, по оси D находим значение третьего сомножителя D(H) для данного (или определенного) значения H.
Значение Km - K5 теперь легко определяется произведением этих трех сомножителей.
Значение
K5, полученное из статистической обработки экспериментальных данных (в зависимости от высоты застройки и направления ветра к ней), приведены в
табл. 16, а среднее значение
K5 по всем этажностям - в
табл. 17.
Значения [C(N - 5)]210-4 для зданий разной этажности составят:
для 5-этажной застройки

;
для 9-этажной "

;
для 12-этажной "

;
для 16-этажной "

.
Подставив значение K5 в определенное по формуле с помощью номограммы значение Km - K5, определяем значение максимального коэффициента скорости ветра для данного приема застройки.
Номограмма N 1 применима для определения параметров застройки при не слишком больших градиентах коэффициентов скорости ветра на территории застройки, а следовательно, при разрывах между линейными зданиями, не превышающими 10 - 12H.
Статистическая обработка экспериментальных данных позволила выявить влияние на коэффициент скорости ветра ширины магистрали, высоты зданий и направления ветра. Как показал графический анализ, коэффициент максимальной скорости ветра Km не имеет ярко выраженной зависимости от этих факторов. Местоположение же коэффициента максимальной скорости ветра Xm, напротив, сильно зависит от этих факторов. Таким образом, влияние ширины магистрали (или расстояния между двумя зданиями), высоты застройки и направления ветра выражается в местоположении Km.
Таблица 16
N, м | | Z = 60 м | Z = 120 м |
15 | 27 | 35 | 13 | 27 | 35 |
45 | 0 | 0,82 | 0,72 | 0,75 | 0,8 | 0,88 | 0,87 |
30 | 0,68 | 0,67 | 0,4 | 0,74 | 0,7 | 0,58 |
45 | 0,66 | 0,78 | 0,48 | 0,72 | 0,73 | 0,62 |
60 | 0 49 | 0,52 | 0,32 | 0,6 | 0,52 | 0,4 |
90 | 0,2 | 0,1 | 0,15 | 0,2 | 0,15 | 0,15 |
| | | | | | | |
60 | 0 | 0,71 | 0,68 | 0,75 | 0,84 | 0,86 | 0,8 |
30 | 0,57 | 0,67 | 0,43 | 0,73 | 0,71 | 0,63 |
45 | 0,53 | 0,72 | 0,43 | 0,71 | 0,73 | 0,6 |
60 | 0,45 | 0,57 | 0,38 | 0,6 | 0,5 | 0,4 |
90 | 0,1 | 0,1 | 0,15 | 0,15 | 0,2 | 0,2 |
| | | | | | | |
90 | 0 | 0,67 | 0,82 | 0,79 | 0,77 | 0,82 | 0,9 |
30 | 0,56 | 0,73 | 0,57 | 0,65 | 0,72 | 0,63 |
45 | 0,44 | 0,71 | 0,55 | 0,64 | 0,72 | 0,59 |
60 | 0,26 | 0,63 | 0,51 | 0,36 | 0,4 | 0,5 |
90 | 0,1 | 0,2 | 0,25 | 0,1 | 0,2 | 0,25 |
Таблица 17
Значения K5 для разных этажностей
при различном направлении ветра к фасадам зданий
| | ИС МЕГАНОРМ: примечание. Текст в графе 2 дан в соответствии с официальным текстом документа. | |
Этажность, H | Укол направления ветра к фасадам зданий,  |
0 | 30 | 45 | 60 | 90 |
5 | 0,75 | 0,53 | 0,50 | 0,38 | 0,28 |
9 | 0,7 | 0,67 | 0,55 | 0,5 | 0,2 |
12 | 0,7 | 0,48 | 0,43 | 0,38 | 0,18 |
16 | 0,74 | 0,48 | 0,35 | 0,35 | 0,31 |
По всем этажностям | 0,72 | 0,51 | 0,46 | 0,40 | 0,24 |
Для построения номограммы N 2 использована формула

.
Обозначив

через
B(
X,
Xm), а параметр

через
C(
X,
Xm), получим вид формулы, удобной для графического построения:

,
где
X - текущая координата;
Xm - параметр, зависящий от ширины магистрали
N, высоты дома
H и направления ветра

.
Рис. 15. Номограмма N 2 для детального анализа
ветрового режима при проектирования застройки
Номограмма N 2 состоит из двух частей
(рис. 15). Первая часть служит для определения
Xm по заданным параметрам застройки и объединяет три координаты - оси

,
H,
N. В правой части рисунка построена функция

. По оси абсцисс отложены значения

, по оси ординат - значения
A. К оси
A примыкает график зависимости
Xm/
N(
H), таким образом, что значение
A на оси соответствует
Xm/
N при
H = 50. Для того чтобы найти значения
Xm/
N при
H /= 50, нужно спуститься по прямой
Xm/
N, соответствующей данному значению
A, до значения, равного
H заданному. Соответствующее значение
Xm/
N находим на оси слева.
Значения коэффициента
A в зависимости от угла направления ветра

, град, к застройке:

, град.
A
0 .............................. 0 ..............................
30 .............................. 0,011 ..........................
45 .............................. 0,01 ...........................
60 .............................. 0,008 ..........................
90 .............................. 0 ..............................
Сетка слева от оси Xm/N дает возможность сразу определить Xm в метрах для полученного значения Xm/N при заданном значении N. Таким образом, Xm определено.
Пользуясь второй частью номограммы, определяем (Kx - K5)./(Kx - K5) для любого значения X и определенного выше значения Xm (то есть графически решаем приведенное выше уравнение).
Значение функции B находим на оси B в правой части номограммы, пользуясь заданными значением X и семейством прямых для различных значений Xm.
Значение функции C находим на оси C в левой части номограммы, используя семейство кривых C(X) для значения Xm.
Перемножив найденные значения B и C, получаем значение (Kx - K5)/(Km - K5).
Значение
Km можно принять равным 0,9 для всех значений

кроме

, где
Km = 0,45. Значение
K5 для разных протяженностей зданий даны в
табл. 16, приведенной к номограмме N 1.
Таким образом, оптимальные параметры застройки могут быть выбраны с помощью номограммы N 1, основанной на использовании коэффициентов скорости ветра, а номограмма N 2 позволяет провести более детальный анализ ветровой обстановки и определить значение коэффициента скорости ветра в любой точке между двумя параллельно стоящими зданиями.
Результатом оценки аэрационного режима является карта аэрации территории проектируемой застройки (рис. 16).
Рис. 16. Карта аэрации территории проектируемой застройки,
полученная с помощью расчетных методов
1 - K = 0,1 - 0,5; 2 - K = 0,5 - 0,75; 3 - K = 0,75 - 1,0
Оценка ветрового режима окончательного варианта застройки может быть получена в аэродинамической трубе как количественной характеристикой (рис. 17), так и общей картиной аэрации микрорайона
(рис. 18).
Рис. 17. Количественная оценка в аэродинамической трубе
1 - K = 0,1 - 0,5; 2 - K = 0,5 - 0,75; 3 - K = 0,75 - 1,0
Рис. 18. Продувка макета застройки в аэродинамической трубе
с целью получения картины аэрации территории
СРЕДСТВА РЕГУЛИРОВАНИЯ ВЕТРОВОГО РЕЖИМА
Наиболее рациональное градостроительное освоение территории с точки зрения охраны окружающей среды может быть осуществлено на основе схемы районирования участка местности по температурно-ветровым характеристикам (рис. 19).
Рис. 19. Карта-схема районирования территории
по температурно-ветровому режиму для целей
градостроительства
1 - комфортный район города; 2 - район, требующий
регулирования ветрового режима
Таблица 18
Значение K в зависимости от длины и высоты здания
Высота, м | Длина, м |
40 | 80 | 120 | 160 | 200 |
12 | 0,5 | 0,75 | 1,0 | 1,1 | 1,2 |
16 | 0,5 | 0,7 | 0,9 | 1,0 | 1,1 |
Таблица 19
Варианты группировки жилых зданий различной конфигурации
с целью ветрозащиты территории
| Направление ветра к застройке |
Приемы застройки | Коэффициенты скорости ветра |
| 0,4 - 0,5 |
| 0,35 - 0,45 |
| 0,35 - 0,5 |
| 0,3 - 0,4 |
| 0,25 - 0,35 |
| 0,2 - 0,3 |
| 0,2 - 0,5 |
| 0,1 - 0,4 |
Рис. 20. Размеры зон ветровой тени (
K <= 0,5)
в зависимости от параметров зданий
Таблица 20
Варианты группировки жилых зданий различной конфигурации
с целью усиления проветривания территории
| Направление ветра к застройке |
Приемы застройки | Коэффициенты скорости ветра |
| 0,9 - 1,2 |
| 0,75 - 0,95 |
| 0,7 - 0,9 |
| 0,6 - 0,8 |
| 0,5 - 0,75 |
| 0,45 - 0,65 |
| 0,4 - 0,7 |
| 0,4 - 0,5 |
| 0,3 - 0,5 |
Таблица 21
Оценка ветрозащитного влияния различных конструкций полос
аллейного типа (по С.Д. Соколову)
I. Многосекционное здание |
высота полосы относительно высоты здания (H = 15 м) | интервал между полосой и зданием, H | средний процент снижения скорости ветра | Примечания |
А. Непродуваемая конструкция полосы |
1/4 | 1 - 5 | 5 - 10 | Различия 10 - 45% |
1/2 | 3 - 5 | 25 - 40 |
3/4 | 1 - 3 | 10 - 15 |
3/4 | 3 - 5 | 40 - 50 |
3/4 | 1 - 3 | 15 - 20 |
Б. Продуваемая конструкция полосы |
1/4 | 1 - 5 | 35 - 45 | Различия в пределах точности опыта |
1/2 | 1 - 5 | 35 - 45 |
3/4 | 1 - 5 | 35 - 40 |
В. Ажурная конструкция полосы |
1/4 | 1 - 5 | 45 - 55 | То же |
1/2 | 1 - 5 | 50 - 55 |
3/4 | 1 - 5 | 45 - 55 |
II. Точечное здание |
интервал, м | Средний процент снижения скорости ветра |
за полосой озеленения | за полосой озеленения при наличии здания |
А. Непродуваемая конструкция полосы |
45 | 55 | 24 |
15 | 30 | 21 |
Б. Продуваемая конструкция полосы |
45 | 30 | 15 |
15 | 25 | 15 |
В. Ажурная конструкция полосы |
45 | 60 | 15 |
15 | 60 | 20 |