Главная // Актуальные документы // МетодикаСПРАВКА
Источник публикации
М.: ФГБУ "Информавтодор", 2022
Примечание к документу
Текст документа приведен в соответствии с публикацией на сайте https://rosavtodor.gov.ru/ по состоянию на 28.10.2022.
Документ рекомендован к применению с 27.12.2021
Распоряжением Росавтодора от 27.12.2021 N 4782-р.
Название документа
"ОДМ 218.7.2.001-2021. Отраслевой дорожный методический документ. Методические рекомендации по дистанционному определению наличия и степени развития усталостных трещин в элементах металлических пролетных строений автодорожных мостов (включая ортотропные плиты) методом инфракрасной термографии"
(издан на основании Распоряжения Росавтодора от 27.12.2021 N 4782-р)
"ОДМ 218.7.2.001-2021. Отраслевой дорожный методический документ. Методические рекомендации по дистанционному определению наличия и степени развития усталостных трещин в элементах металлических пролетных строений автодорожных мостов (включая ортотропные плиты) методом инфракрасной термографии"
(издан на основании Распоряжения Росавтодора от 27.12.2021 N 4782-р)
дорожного агентства
от 27 декабря 2021 г. N 4782-р
ОТРАСЛЕВОЙ ДОРОЖНЫЙ МЕТОДИЧЕСКИЙ ДОКУМЕНТ
МЕТОДИЧЕСКИЕ РЕКОМЕНДАЦИИ
ПО ДИСТАНЦИОННОМУ ОПРЕДЕЛЕНИЮ НАЛИЧИЯ И СТЕПЕНИ РАЗВИТИЯ
УСТАЛОСТНЫХ ТРЕЩИН В ЭЛЕМЕНТАХ МЕТАЛЛИЧЕСКИХ ПРОЛЕТНЫХ
СТРОЕНИЙ АВТОДОРОЖНЫХ МОСТОВ (ВКЛЮЧАЯ ОРТОТРОПНЫЕ ПЛИТЫ)
МЕТОДОМ ИНФРАКРАСНОЙ ТЕРМОГРАФИИ
ОДМ 218.7.2.001-2021
1 РАЗРАБОТАН Федеральным государственным бюджетным образовательным учреждением высшего профессионального образования "Сибирский государственный университет путей сообщения" (ФГБУ ВПО "Сибирский государственный университет путей сообщения").
2 ВНЕСЕН Управлением научно-технических исследований, информационных технологий и хозяйственного обеспечения Федерального дорожного агентства.
3 ИЗДАН на основании
распоряжения Федерального дорожного агентства от 27.12.2021 N 4782-р.
4 ИМЕЕТ РЕКОМЕНДАТЕЛЬНЫЙ ХАРАКТЕР.
5 ВВЕДЕН ВПЕРВЫЕ.
1.1 Настоящий отраслевой дорожный методический документ (далее - методический документ) устанавливает рекомендации по применению методики определения усталостных трещин в элементах металлических пролетных строений автодорожных мостов (включая ортотропные плиты) методом инфракрасной термографии.
1.2 Данный методический документ рекомендуется для использования при осмотрах, обследованиях, испытаниях и мониторинге технического состояния мостовых сооружений, эксплуатируемых на федеральных автомобильных дорогах Российской Федерации. Для мостовых сооружений, расположенных на дорогах иной подчиненности, этот документ может применяться по решению соответствующих органов управления.
В настоящем методическом документе использованы нормативные ссылки на следующие документы:
СП 79.13330.2012 Мосты и трубы. Правила обследований и испытаний (актуализированная редакция СНиП 3.06.07-86)
Примечание - При пользовании настоящим методическим документом целесообразно проверить действие ссылочных стандартов в информационной системе общего пользования - на официальном сайте Федерального агентства по техническому регулированию и метрологии в сети Интернет или по ежегодному информационному указателю "Национальные стандарты", который опубликован по состоянию на 1 января текущего года, и по соответствующим ежемесячным информационным указателям, опубликованным в текущем году. Если ссылочный стандарт заменен (изменен), то при пользовании данным методическим документом следует руководствоваться заменяющим (измененным) стандартом. Если ссылочный стандарт отменен без замены, то положение, в котором дана ссылка на него, применяется в части, не затрагивающей эту ссылку.
В настоящем методическом документе применены следующие термины с соответствующими определениями:
3.1 абсолютный ноль: Температура 0 К, равная -273,15 °C.
Примечание - Все объекты, температура которых выше абсолютного нуля, обладают тепловым излучением.
3.2 абсолютно черное тело: Идеализированный объект, поглощающий всю энергию падающего инфракрасного излучения (далее - ИК-излучение) для всех длин волн (коэффициенты отражения и пропускания равны 0, коэффициент излучения равен 1), преобразующий ее в собственное инфракрасное излучение и полностью излучающий его.
Примечание - Коэффициенты излучения реальных тел всегда меньше единицы, поскольку часть падающего излучения всегда отражается поверхностью реального тела и частично поглощается. Интенсивность излучения абсолютно черного тела определяется законом Планка.
3.3 адиабатические условия: Условия нагружения конструкции, когда прирост тепла (разогрев) при механическом деформировании существенно превышает отток тепла за счет диффузии в материале и конвекции (рассеивание тепла во внешнюю среду).
Примечание - При адиабатических условиях нагружения оттоком тепла за счет диффузии и конвекции можно пренебречь. Скорость разогрева при механическом деформировании зависит от скорости нагружения и амплитуды напряжений. На мостах под обращающимися грузовыми автомобилями массой более 20 т при скоростях движения более 30 км/ч, как правило, условия нагружения соответствуют адиабатическим.
3.4 микроболометр (тепловой детектор, инфракрасный детектор): Преобразователь (ИК-датчик), который отбирает падающее ИК-излучение и вырабатывает электрический сигнал, пропорциональный общему потоку ИК-излучения, падающему на поверхность детектора.
Примечание - Существует два основных класса инфракрасных детекторов: тепловые (микроболометры) и фотонные. Оба типа реагируют на поглощенные фотоны, но используют разные механизмы отклика, которые приводят к различиям в скорости отклика на инфракрасное воздействие, чувствительности отклика к длине волны спектра (спектральный диапазон) и имеют разные уровни собственных тепловых шумов (NETD). Для теплового неразрушающего контроля мостовых конструкций пригодны тепловые детекторы со средневолновыми (3 - 5 мкм) и длинноволновыми (8 - 14 мкм) инфракрасными диапазонами, скоростью отклика, опосредованно выражаемого через частоту кадров в секунду (не менее 9 Гц, предпочтительно 30 Гц и более), и уровнем NETD не более 0,05 °C.
3.5 время стабилизации температуры: Промежуток времени, требуемый тепловизору для адаптации к температуре окружающей среды на месте проведения измерений.
3.6 градус Кельвина (Кельвин) (К): Единица измерения температуры.
Примечание - 0 К соответствует абсолютному нулю (-273,15 °C).
Перевод из градусов Цельсия в градусы Кельвина К = °C + 273,15.
3.7 градус Цельсия (°C): Единица измерения температуры.
Примечание - При нормальном давлении нулевая отметка по шкале Цельсия (0 °C) является температурой замерзания воды. Перевод из градусов Кельвина в градусы Цельсия C = К - 273,15.
3.8 излучательная способность: Отношение излучения объекта к излучению абсолютно черного тела (выражается числом от 0 до 1).
3.9 инфракрасное (тепловое) излучение (infrared (thermal) radiation): Форма переноса тепловой энергии, связанная с излучением и поглощением электромагнитных волн в диапазоне длин волн от 0,75 (нижняя граница видимого света) до 1000 мкм.
Примечание - В отличие от переноса тепловой энергии за счет теплопроводности и конвекции тепловое излучение может распространяться в вакууме. Тепловое излучение, переносящее энергию от обследуемого объекта до детектора излучения, является основой инфракрасной термографии.
Инфракрасный диапазон электромагнитного излучения делится на ближневолновой (коротковолновой), средневолновой, длинноволновой и дальневолновой. Для технической диагностики строительных объектов обычно применяют тепловизоры, работающие в средневолновом (от 3 до 5 мкм) и длинноволновом (от 8 до 14 мкм) диапазонах ИК-излучения электромагнитного спектра, так как атмосфера в этих диапазонах имеет так называемые атмосферные окна с наибольшими коэффициентами пропускания атмосферы. В длинноволновом диапазоне коэффициент отражения атмосферы меньше, чем в средневолновом, что позволяет работать на большем удалении от объекта с наименьшими помехами.
3.10 калориметрический тепловой метод (калориметрический метод): Метод теплового неразрушающего контроля, основанный на измерении количества теплоты, выделенной объектом контроля.
3.11 компьютерная измерительная система: Комплект электронных приборов, коммуникаций, электронных вычислительных средств и программ для регистрации и обработки результатов измерений.
| | ИС МЕГАНОРМ: примечание. В официальном тексте документа, видимо, допущена опечатка: имеется в виду п. 3.6 СП 79.13330.2012, а не п. 1.6. | |
3.12 конвекция: Перемещение тепла в соответствии с передвижением инфракрасной энергии в жидкости или газе потоками самого вещества (вынужденно или самопроизвольно).
3.13
коэффициент излучения (emissivity)
: Отношение излучения поверхности объекта к излучению абсолютно черного тела при той же температуре и в том же интервале длин волн.
Примечание - Коэффициент излучения изменяется в зависимости от свойств поверхности, материала и температуры объекта (для некоторых материалов). Выражается числом от 0 до 1.
3.14
коэффициент отражения (reflectivity)
: Отношение общей энергии излучения, отраженной поверхностью, к общей энергии излучения, падающего на эту поверхность, показывает степень способности материала отражать ИК-излучение.
Примечание - Справедливо соотношение

(см.
подразделы 3.13 и
3.15). Зависит от свойств поверхности, температуры и типа материала. Для зеркала коэффициент отражения приближается к единице, а для абсолютно черного тела равен нулю. Выражается числом от 0 до 1.
3.15
коэффициент пропускания (tranmissivity)
: Отношение энергии прошедшего через объект ИК-излучения к энергии излучения, упавшего на объект, в заданном диапазоне длин волн.
Примечание - Для металлов коэффициент пропускания равен нулю.
3.16 магнитострикционное устройство: Устройство для высокочастотного механического воздействия на конструкцию путем передачи ультразвуковых колебаний в исследуемую деталь индентором (бойком) под действием динамической силы.
3.17 мгновенное поле зрения (пространственное разрешение, наименьший видимый объект, iFOV): Отношение минимальной горизонтального размера площади поверхности объекта, ИК-излучение которого при заданном угле зрения в горизонтальной плоскости и фокусном расстоянии объектива может быть распознано одним детектором (пикселем микроболометрической матрицы) с расстояния измерения, к этому расстоянию.
Примечание - Пространственное разрешение указывается в миллирадианах (мрад). В паспортных характеристиках тепловизоров указывается для расстояния в 1 м. Существуют математические алгоритмы и готовые калькуляторы для пересчета пространственного разрешения на любое расстояние измерения. Поскольку излучение воспринимается одним пикселем матрицы, то наличие градиентов температур на этой площади выявлено не будет. Для обнаружения таких градиентов, если есть предположение об их наличии (например, в вершинах трещин), следует изменить расстояние измерения (приблизить камеру или изменить угол зрения объектива).
3.18 мгновенное поле зрения по измерению (наименьший измеряемый объект, iFOVmeans): Определяет наименьшую площадь поверхности S измеряемого объекта, для которого возможно точное измерение температуры тепловизором.
Примечание - Измеряемая площадь (размер дефекта) должна быть минимум в три раза больше площади, закрываемой одним пикселем (iFOV): iFOVmeans ~= 3iFOV. Минимальные размеры площади поверхности S = t x t, мм, которая может быть исследована методом инфракрасной термографии, определяют как t = iFOVmeansL, где L - расстояние между тепловизором и объектом исследования, м.
3.19 метод анализа термоупругих напряжений: Дифференциальный метод определения изменения напряжений в элементах конструкций на основе данных о рассеивании энергии при механическом деформировании.
Примечание - В англоязычной среде имеет название Thermoelastic Stress Analysis (TSA). Получение данных о напряжениях основывается на общих принципах метода инфракрасной термографии и законов термодинамики. Позволяет определять изменение напряжений по площади ("полному полю", fullfield) элемента конструкции.
3.20 метод инфракрасной термографии (тепловизионный метод, инфракрасная термография): Метод теплового неразрушающего контроля, основанный на сборе и анализе информации о тепловом излучении контролируемого объекта с помощью тепловизоров или тепловизионных модулей.
Примечание - Дефекты и повреждения обнаруживаются по неравномерностям температурного поля на поверхности объекта. Температурное поле может быть стационарным (неизменяющимся во времени) и нестационарным. При механических нагружениях температурное поле является нестационарным, а источником неравномерностей (температурных аномалий) - повышенная диссипация (рассеивание) энергии в вершинах видимых трещин, зонах микротрещинообразования при деформировании материала (если трещина еще не вышла на поверхность), из-за эффекта внутреннего трения в материале (наличия концентраторов напряжений), возможного взаимного трения берегов при закрытии трещины и т.д.
3.21 микроболометрическая матрица: Конструктивный элемент тепловизора, состоящий из двумерного массива с большим количеством ИК-датчиков (микроболометров).
3.22 мониторинг технического состояния: Контроль во времени физического и напряженно-деформированного состояния сооружения, в том числе инструментальными методами, с целью поддержания необходимого уровня его потребительских свойств.
| | ИС МЕГАНОРМ: примечание. В официальном тексте документа, видимо, допущена опечатка: имеется в виду п. 3.8 СП 79.13330.2012, а не п. 1.9. | |
3.23 нестационарное температурное поле объекта контроля (нестационарное температурное поле): Поле объекта контроля, температура которого изменяется не только по поверхности объекта контроля, но и с течением времени.
3.24 обследование моста: Исследование физического и напряженно-деформированного состояния конструкций, включающее ознакомление с технической документацией, осмотр сооружения, инструментальные измерения, выполняемые с целью оценки уровня потребительских свойств сооружения и выработки рекомендаций по его эксплуатации.
| | ИС МЕГАНОРМ: примечание. В официальном тексте документа, видимо, допущена опечатка: имеется в виду п. 3.10 СП 79.13330.2012, а не п. 1.11. | |
3.25 осмотр моста: Преимущественно визуальное освидетельствование сооружения с составлением ведомости дефектов и повреждений.
| | ИС МЕГАНОРМ: примечание. В официальном тексте документа, видимо, допущена опечатка: имеется в виду п. 3.11 СП 79.13330.2012, а не п. 1.12. | |
3.26 первичная обработка изображения (image processing): Преобразование полученного тепловизором (тепловизионным модулем) инфракрасного изображения в цифровую форму и подготовка данных для передачи на компьютер или для визуального анализа.
Примечание - Такая обработка может включать привязку шкалы температур; измерение температуры участка поверхности; построение температурных профилей; преобразование, вычитание и хранение изображений.
3.27 обработка сигнала (signal processing): Преобразование сигнала с датчика температуры или данных, полученных в результате обработки термограммы, в целях управления процессом.
Примечание - Такая обработка может включать удержание максимального (минимального) значения: усреднение, совмещение, вычитание или фильтрация данных (для тепловизоров).
3.28 пиксель: Синоним элемента изображения, одна точка изображения.
3.29 поле зрения (FOV): Горизонтальное поле зрения инфракрасного объектива тепловизора.
Примечание - Поле зрения указывается как угол в горизонтальной плоскости (например, 32°) и определяет область, попадающую в поле зрения тепловизора. Поле зрения зависит от типа детектора ИК-излучения, применяемого в тепловизоре, и от используемого объектива. Широкоугольный объектив (например, 45°) имеет большое поле зрения, телеобъектив (например, 12°) - малое поле зрения. Широкоугольный объектив может быть полезен для захвата большой площади объекта при съемках с малых расстояний. Телеобъектив может быть применен для исследования малых площадей (например, зон около пят сварных швов) с больших расстояний (более 10 м).
3.30 температурная чувствительность (NETD): Разница температур, эквивалентная шуму детектора.
Примечание - Принимается как среднее значение стандартного отклонения по времени для всех пикселей, полученное из анализа 256 последовательных изображений черного тела. При уровне теплового сигнала, превышающем NETD, как правило, не требуется дополнительная обработка сигнала. В противном случае полезный сигнал оказывается затерянным среди шума и для его выделения необходимо применять специальные методы.
3.31 температурное поле: Распределение значений температуры по поверхности контролируемого объекта.
3.32 тепловизор (инфракрасная камера, infrared thermography camera): Прибор, предназначенный для приема ИК-излучения поверхности обследуемого объекта и преобразования его в видимое изображение и (или) передачи в виде набора массивов радиометрических (цифровых) данных о кажущейся температуре поверхности.
Примечание - Тепловизор измеряет ИК-излучение от поверхности объекта (так называемую кажущуюся температуру), а не ее истинную температуру. Полученное ИК-излучение преобразуется в значения истинной температуры посредством поправочных коэффициентов, учитывающих излучательную способность поверхности, состояние окружающей среды, угол визирования и др.
По типу детекторов тепловизоры делятся на квантовые (фотонные) детекторы, обычно охлаждаемые, и микроболометры, неохлаждаемые.
По способу формирования массива радиометрических данных различают сканирующие и матричные тепловизоры.
Для сканирующих тепловизоров формирование матрицы температур по полю происходит по мере продвижения щели сканера по термочувствительному элементу. Перемещение щели производится механически по вертикали или горизонтали. Тепловизоры имеют высокую чувствительность, но относительно длительную реакцию на тепловое воздействие и требуют охлаждения матрицы до криогенных температур (как правило, жидким азотом). Неприменимы для быстрых процессов (например, для измерения мгновенных изменений теплового излучения с поверхности при проходе отдельных осей нагрузки). Могут быть эффективно использованы при относительно длительных методах наблюдения, где важным контрольным фактором является накопленная энергия. В частности, вершины трещин при их длительном разогреве под длинносоставной проходящей нагрузкой также могут быть выявлены методом накопления. Контрольной характеристикой таких камер является время формирования кадра (например, 0,8; 1,2; 3,1 с).
В матричных тепловизорах с матрицей в фокальной плоскости радиометрические данные формируются по всему полю матрицы одновременно и поэтому могут быть использованы для контроля изменения температур поверхности в быстродействующих процессах, протекающих, например, под воздействиями каждой из осей проходящей нагрузки непосредственно. Контрольной характеристикой таких камер является частота обновления радиометрических данных.
В тепловизорах с микроболометрической матрицей в фокальной плоскости поглощенные фотоны вызывают изменение температуры, которое затем обнаруживается путем измерения температурно-зависимых свойств материала детектора. Входящая в состав прибора оптическая система фокусирует ИК-излучение на микроболометрической матрице, которая состоит из чувствительных элементов (микроболометров, пикселей), расположенных в форме сетки (растра). Каждый пиксель матрицы реагирует на сфокусированное на нем ИК-излучение и генерирует электронный сигнал. Процессор тепловизора принимает сигнал от каждого пикселя матрицы и на основе математического расчета преобразует его в значения температур, которые могут быть переданы в виде радиометрических данных на внешнее устройство для последующей обработки и (или) выведены на экран тепловизора как температурное изображение (тепловое изображение) объекта в соответствии с выбранной цветовой картой видимой температуры.
3.33 тепловизионный модуль: Устройство для приема инфракрасного излучения поверхности обследуемого объекта и передачи его в виде набора массивов радиометрических данных (термограмм) о кажущейся температуре поверхности.
Примечание - В отличие от тепловизора тепловизионный модуль, как правило, не обладает средствами визуализации и первичной обработки термограмм.
3.34 тепловой неразрушающий контроль: Контроль, основанный на анализе температурных (тепловых) полей объекта контроля, при котором не должна быть нарушена пригодность технических устройств, зданий и сооружений к применению и эксплуатации.
3.35 теплопроводность (тепловая проводимость): Передача тепловой энергии между смежными частицами. Энергия всегда передается от более теплых к более холодным частицам. В отличие от конвекции при проводимости частицы не перемещаются.
3.36 термограмма: Тепловое изображение объекта контроля или его отдельного участка.
Примечание - Как правило, это изображение температурных полей контролируемого объекта в видимом диапазоне, получаемое с помощью измерительных приборов (тепловизоров). Распределение температуры на поверхности объектов отображается посредством использования различных цветов для разных значений температуры.
3.37 угол визирования: Угол между нормалью к поверхности элемента и визирной осью тепловизора.
3.38 частота обновления (частота): Техническая характеристика тепловизора, указывающая на количество обновлений радиометрических данных в секунду (например, 9, 30, 60 Гц).
Примечание - Частоту обновления радиометрических данных не следует путать с частотой обновления изображения на экране тепловизора, также часто присутствующей в технических характеристиках прибора.
3.39 шум: Случайное колебание электрического выходного сигнала детектора, не связанное с внешним воздействием.
Примечание - Основными видами шумов, создаваемыми самими детекторами, являются дробь, генерация-рекомбинация, повышенная частота (1/f) и колебания температуры, зависящие от площади детектора, полосы пропускания и температуры. Для повышения температурной чувствительности инфракрасной системы шум необходимо минимизировать.
3.40 эталонная температура: Значение температуры, используемое для сравнения обычных данных измерений.
4.1 Общие сведения о применении метода инфракрасной термографии при обследовании и оценке технического состояния мостов
4.1.1 При обследовании металлических конструкций мостов согласно
подразделу А.9 СП 79.13330.2012 для выявления внутренних дефектов сварных швов наряду с другими методами неразрушающего контроля применяют радиографические методы, использующие в своей работе свойства электромагнитного излучения.
4.1.2 Метод инфракрасной термографии является радиографическим методом неразрушающего контроля, поскольку основан на преобразовании ИК-излучения, испускаемого телом, в электрический сигнал. В отличие от рентгенографии, которая работает с проникающим излучением, создаваемым специальным устройством, инфракрасная термография использует собственное излучение тела в инфракрасном диапазоне электромагнитного спектра. При этом метод инфракрасной термографии является абсолютно безопасным методом по сравнению с методом рентгенографии.
Способность метода инфракрасной термографии к выявлению внутренних дефектов (неоднородностей в металле шва, непроваров) сварных швов и возникающих в процессе эксплуатации повреждений в сварных швах и основном металле конструкции в околошовной зоне (усталостных трещин) основана на различиях в термодинамическом отклике элементов конструкции на механические воздействия в поврежденной и неповрежденной областях.
Метод инфракрасной термографии построен на термодинамических принципах, и поэтому необходимо при его использовании механическое воздействие на конструкцию, измерения должны проводиться под испытательной динамической или обращающейся нагрузками.
Примечание - При проведении качественного анализа, основанного на накоплении (суммировании) максимальных значений температурного отклика, для возбуждения местных механических колебаний в элементе конструкции вблизи зоны исследования может быть использовано высокочастотное механическое воздействие с помощью магнитострикционных устройств. Пример такого устройства приведен в
приложении А.
4.1.3 В основе метода лежит способность тела изменять температуру при деформировании. Эта способность описывается уравнением Кельвина, связывающим изменение напряжений в теле при упругом деформировании с изменением его температуры,

(1)
где

- изменение температуры, К;

- сумма приращения главных напряжений (первый - инвариантом приращения напряжений), МПа;

- коэффициент теплового расширения, К
-1;

- плотность, тс/м
3;
Cp - удельная теплоемкость материала при постоянном давлении, кДж/(кг·К);
T - абсолютная температура, К.
Примечание - Уравнение Кельвина является частью полного дифференциального уравнения теплопроводности.

(2)
где

- изменение температуры в точке (x, y, z) за время

;

- изменение температуры за счет диффузии энергии (теплопередачи)

(3)

- изменение температуры за счет теплоотдачи в окружающую среду (конвекции и радиационного излучения)

(4)
Pq - интенсивность внешних и внутренних источников тепла;

- коэффициент теплопроводности, Вт/(м·К);

- коэффициент теплоотдачи с поверхности, Вт/(м
2·К);
h - параметр открытой поверхности - отношение периметра открытой поверхности к ее площади;
Tс - температура окружающей среды, К.
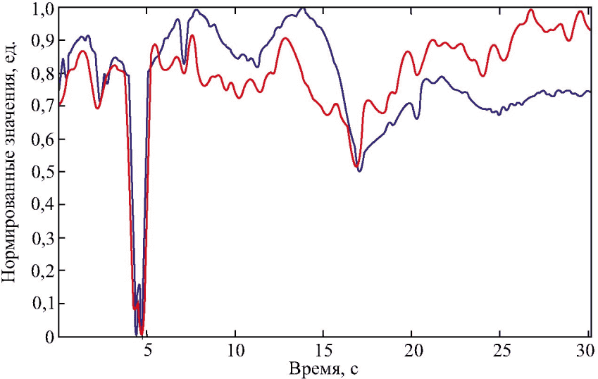
Эффект Кельвина показан на
рисунке 1. Сигналы приведены в нормализованном виде: минимальному значению сигнала соответствует 0, а максимальному - 1. Все значения температурного сигнала умножены на -1. Графики на
рисунке 1 показывают синхронное изменение напряжений и температуры.

- изменение температуры;

- изменение напряжений
Рисунок 1 - Графики изменения напряжений в продольных
ребрах ортотропной плиты под проходящим седельным тягачом,
совмещенные с изменениями температуры (изменения температуры
приняты с обратным знаком)
Упругие деформации составляют обратимую часть термодинамического процесса: при увеличении объема тела с ростом растягивающих напряжений температура падает, а при уменьшении (сжатии) - возрастает. В случае пластической деформации и возникающих при этом разрушениях в кристаллической решетке переход механической энергии деформирования в тепловую энергию становится необратимым. Изменение напряжений

в вершине трещины резко возрастает по сравнению с окружающими ее неповрежденными участками. Согласно
формуле (1) также ощутимо возрастает и тепловыделение в вершине трещины - происходит саморазогрев металла. Интенсивность саморазогрева характеризует интенсивность самого процесса разрушения.
За счет явления теплопереноса (термодиффузии) тепло от места разрушения (вершины трещины) распространяется по ближайшему объему материала и достигает наружной поверхности. Внешне это приводит к повышению температуры поверхности элемента над областью разрушения. Такое повышение температуры носит локальный характер, поэтому область над вершиной трещины становится хорошо различимой в инфракрасном диапазоне на фоне теплового излучения соседних участков. Таким образом, анализируя интенсивность инфракрасного излучения в некоторой области конструкции, имеется возможность выявления фактического положения вершин трещин (концентраторов напряжений), а также прогнозирования их развития.
4.1.4 Достоверность получаемой информации зависит от соответствия применяемых приборов (тепловизоров, тепловизионных модулей) условиям измерения, правильности проведения измерений, а также от методики обработки радиометрических данных.
При обнаружении и контроле развития трещин и микроповреждений методом инфракрасной термографии удаления лакокрасочного покрытия, как правило, не требуется.
Примечание - Данные о некоторых тепловизорах и тепловизионных модулях, выпускавшихся на момент разработки настоящего методического документа, приведены в
приложении А.
4.1.5 По типу детекторов тепловизоры делятся на квантовые (фотонные) детекторы, обычно охлаждаемые, и микроболометры, как правило, неохлаждаемые.
По способу формирования массива радиометрических данных различают тепловизоры сканирующие и матричные.
Для сканирующих тепловизоров формирование матрицы температур по полю происходит по мере продвижения щели сканера по термочувствительному элементу. Перемещение щели производится механически по вертикали или горизонтали. Сканирующие тепловизоры имеют высокую чувствительность, но относительно длительную реакцию на тепловое воздействие и требуют охлаждения термочувствительных элементов до криогенных температур (как правило, жидким азотом), поэтому они неприменимы для быстрых процессов (например, для измерения мгновенных изменений теплового излучения с поверхности при проходе отдельных осей нагрузки). Однако сканирующие тепловизоры могут быть эффективно использованы при относительно длительных методах наблюдения, где важным контрольным фактором является накопленная энергия. В частности, вершины трещин при их длительном разогреве под длинносоставной проходящей нагрузкой также могут быть выявлены методом накопления. Контрольной характеристикой таких камер является время формирования кадра.
Примечание - В сканирующих устройствах формирование кадра происходит перемещением луча оптической системы по термочувствительной подложке. В этом случае время формирования кадра определяется временем перемещения сканирующего луча по всей поверхности подложки. К тепловизорам такого типа в настоящее время в России относятся тепловизоры семейства ИРТИС, имеющие время формирования кадра 0,8; 1,2; 3,1 с.
Основой матричных тепловизоров (тепловизионных модулей, ИК-камер) является матрица термочувствительных элементов (детектор), расположенная в фокальной плоскости объектива. Количество термочувствительных элементов определяет размер матрицы (например, матрица размером 320 x 240 пикселей содержит 76800 термочувствительных элементов).
В матричных тепловизорах радиометрические данные формируются по всему полю матрицы термочувствительных датчиков одновременно и поэтому могут быть использованы для контроля изменения температур поверхности в быстродействующих процессах, протекающих, например, под воздействиями каждой из осей проходящей нагрузки непосредственно. Контрольной характеристикой таких камер является частота обновления радиометрических данных.
В тепловизорах фотоны инфракрасного излучения, падающие на поверхность термочувствительных элементов (датчиков), вызывают изменение их электрического сопротивления или напряжения. Входящая в состав прибора оптическая система фокусирует инфракрасное излучение на микроболометрической матрице, которая состоит из таких термочувствительных элементов, расположенных в форме сетки (растра). Процессор тепловизора принимает электрический сигнал от каждого датчика матрицы и на основе математического расчета преобразует его в значения температур. В частности, встроенным программным обеспечением ИК-камеры выполняются выравнивание интенсивности излучения по всей матрице (устранение краевых искажений, свойственных любой оптической системе - процедура NUC), калибровка (установление соответствия изменения электрического напряжения кажущейся температуре), корректировка кажущейся температуры по задаваемым оператором значениям фоновой температуры (температуры среды) и коэффициента излучения - получение фактической температуры поверхности. Откорректированные таким образом данные, полученные от каждого термочувствительного элемента, записываются в массив радиометрических (цифровых) данных (термограмму) в виде значений температур и могут отображаться на встроенном дисплее ИК-камеры в различных цветовых гаммах, выбираемых оператором, после преобразования значений температур в значения цветов RGB (стандартной системы цветов, принятой в компьютерной графике). Такое отображение может быть сделано также позже пользователем по своим собственным программам компьютерной графики.
Снятие значений с термочувствительных датчиков происходит в течение некоторого времени, называемого временем формирования кадра. В технических характеристиках ИК-камеры это время опосредовано представляется в виде частоты формирования кадров (например, частота 9 Гц означает, что за 1 с детектор может сформировать и записать девять кадров-термограмм,
рисунок 2). Аналогом может являться частота опроса в тензометрических и других электронных измерительных системах.
It(x, y, t) - значение температуры в пикселе (x, y)
в момент времени
Рисунок 2 - Пакет термограмм, записанных за время t
4.1.6 Важными характеристиками приборов являются также поле зрения и мгновенное поле зрения, которые определяются совместно размером матрицы детектора, углом зрения в горизонтальном направлении и фокусным расстоянием объектива (
рисунки 3 и
4).
D1, D2, D3 - расстояние от тепловизора до объекта
измерения, м; X1, X2, X3 - ширина обзора по горизонтали, м;
Y1, Y2, Y3 - ширина обзора по вертикали, м;
S1, S2, S3 - минимальный размер объекта, видимый
на расстоянии соответственно D1, D2, D3, см2
Рисунок 3 - Определение поля зрения (FOV) тепловизоров
Рисунок 4 - Представление мгновенного
поля зрения тепловизора
Пространственное разрешение или мгновенный угол поля зрения iFOV, мрад, приходящийся на один пиксель матрицы детектора, определяют по формуле

(5)
где FOVx - угол поля зрения объектива по горизонтальной оси, град;
n - количество пикселей матрицы детектора по горизонтали.
Как правило, в ИК-камерах для расчета температуры в одном пикселе берется усредненное значение на основе соседних пикселей (обычно 3 x 3 пикселя). Таким образом, минимальный размер объекта Si, мм, температура которого будет распознана на расстоянии D, м, определяется как
Si = iFOVmeans = iFOV x D x 3. (6)
На расстоянии D тепловизор способен различать области с разной температурой, если они имеют размеры более Si. Если же внутри квадрата со стороной Si будет несколько областей, отличающихся по температуре, прибор не сможет их различить и выведет усредненное значение. Таким образом, чем дальше тепловизор находится от объекта, тем больше будет "размыто" изображение.
По этой же причине для корректного измерения температуры объекта необходимо, чтобы он полностью "попадал" в пиксель
(рисунок 5).
а - измерение правильное; б - то же, неправильное
Рисунок 5 - Корректное измерение температуры объекта
Размеры области исследования определяются как по горизонтали X = 2Dtg(FOV
x/2), так и по вертикали Y = 2Dtg(FOV
y/2)
(рисунок 6).
D - расстояние измерения; f - фокусное расстояние объектива
Рисунок 6 - Определение размера области исследования
4.1.7 Для анализа развития трещины при эксплуатационных нагрузках (при возникающих номинальных напряжениях более 30 МПа и скоростях нагружения не менее 600 МПа/с) необходимо обеспечить размер iFOV не более 3 мм. В
приложении А приведены данные по изменению величин iFOV и FOV в зависимости от размеров матрицы детектора, углов зрения объективов, расстояния до области измерения для некоторых типов ИК-камер.
Примечание - Пример тензограммы, полученной в продольном ребре жесткости ортотропной плиты в зоне проведения инфракрасной съемки под проходящим по мосту четырехосным автомобилем-самосвалом, приведен на
рисунке 7. Скорость изменения напряжений составила 1545 МПа/с при амплитуде напряжений около 40 МПа. Измерения деформаций были проведены с помощью системы ТензорМС, включенной в государственный реестр средств измерений.
Рисунок 7 - Тензограмма, полученная под проходящим тяжелым
грузовиком в зоне проведения тепловизионных наблюдений
в продольном ребре жесткости ортотропной плиты
4.1.8 Качество инфракрасного сигнала, полученного с поверхности элемента конструкции под действием переменных механических нагрузок, и возможность его дальнейшего анализа зависят от следующих факторов:
- частоты приложения нагрузки (количества осей нагрузки за период измерения) и скорости движения нагрузки (скорости изменения напряжений при нагружении);
Примечание - При достаточно высокой скорости изменения напряжений (не менее 600 МПа/с), которая напрямую связана со скоростью движения транспортных средств, в элементе конструкции реализуются адиабатические условия, когда рассеиванием тепла в материале и во внешнюю среду можно пренебречь. Как правило, такая скорость нагружения реализуется под всеми проходящими тяжелыми транспортными средствами (грузовыми автомобилями, автомобилями-самосвалами, фурами).
- амплитуды напряжений, вызываемой движущейся нагрузкой;
Примечание - Если амплитуда напряжений вызывает термоупругий отклик, близкий или меньший чувствительности NETD, для сбора и обработки данных следует применять специальные способы, описанные в
приложении Б. Если термоупругий отклик элемента конструкции превышает NETD, использование специальных приемов не является обязательным, но остается желательным, поскольку в любом случае увеличивает качество получаемых данных.
- угла визирования (съемки) и пространственного разрешения оптической системы (объектива) тепловизора (тепловизионного модуля);
Примечание - Углы визирования должны находиться в пределах от 5° до 45°.
- излучательной способности и физического состояние покрытия поверхности: толщины и состояния лакокрасочного покрытия, наличия коррозии, влажности поверхности.
Примечание - Коэффициенты излучения для различных материалов без покрытия и рекомендации по определению фактического значения коэффициентов излучения приведены в
приложении В. Окрашенные поверхности мостовых конструкций, как правило, имеют коэффициент излучения

, что является достаточным для использования метода инфракрасной термографии (как качественной, так и количественной). При необходимости для повышения качества измерений рекомендуется дополнительно покрывать исследуемую область матовым графитовым спреем.
4.1.9 Для выделения полезного сигнала из сильно зашумленного исходного теплового сигнала могут быть использованы два способа, подробно описанных в
приложении Б:
- синхронизация тепловых измерений с данными тензометрических измерений деформаций, принимаемых за эталонные (опорные);
- самосинхронизация тепловых сигналов, полученных из исследуемой и эталонной (заведомо бездефектной) областей конструкции. Такие сигналы извлекаются из одного и того же набора термограмм и, соответственно, не требуют установки тензодатчиков.
Примечание - Ориентировочно изменению температуры на 1 °C соответствует изменение напряжений в стали 1000 МПа. Таким образом, при NETD = 0,05 К изменение напряжений, выше которого могут не потребоваться меры по синхронизации измерений, составит 50 МПа. Однако поскольку уровень изменения напряжений заранее не известен, то указанные процедуры синхронизации измерений следует проводить всегда. Для проведения качественной сравнительной диагностики достаточно использовать метод самосинхронизации тепловых сигналов между собой. Для количественной диагностики применение синхронизации (автокорреляции) тепловых сигналов с сигналами тензодатчиков является предпочтительным
(таблица 1).
Таблица 1
Исходные и обработанные изображения
сильнозашумленного сигнала
Изображение на экране тепловизора (исходное) | Термограмма после выделения полезного сигнала из исходного сильнозашумленного (напряжения вызывали изменения температуры меньше величины NETD) |
| |
| |
4.1.10 Для диагностики и мониторинга технического состояния элементов мостовых конструкций под механическими воздействиями могут быть использованы разновидности метода инфракрасной термографии - методы сравнительной количественной и качественной термографии.
Для выполнения исследовательских работ, целью которых является изучение напряженно-деформированного состояния элементов конструкции, следует применять точный количественный (калориметрический) метод - метод анализа термоупругих напряжений.
4.2 Сравнительная качественная термография
4.2.1 Метод сравнительной качественной термографии (
раздел 4 ГОСТ Р ИСО 18434-1-2013) не требует знания абсолютных значений температуры объекта. В методе используются относительная разница в тепловом отклике на механическое воздействие на участке (площади) контролируемого элемента конструкции для получения необходимой исходной информации с целью оценки состояния элемента, а также накопительная (интегральная) схема выявления неисправностей - для каждого i-го пикселя матрицы за время наблюдения под нагрузкой вычисляется сумма разниц температур I
i. Пиксели с наибольшими значениями I
i указывают на высокую вероятность наличия дефекта или повреждения в пределах площади конструкции, закрываемой этими пикселями
(рисунок 8):
| | ИС МЕГАНОРМ: примечание. Формула дана в соответствии с официальным текстом документа. | |

(7)
где

- изменение температуры поверхности

в i-й точке (пикселе) за время dt;
t1 и t2 - границы суммирования записи по времени в момент прохождения нагрузки над сечением (определяется оператором из условия получения наилучшего результата).
а - образец; б - термограмма; 1 - дефектные зоны (вершины
трещины); 2 - бездефектная область листа настила; 3 - зона
диффузии тепла в материале от разогрева в вершинах трещины
при циклическом нагружении; 4 - ребро жесткости; 5 - зона
микроразрушений по границе сплавления сварного шва
без образования видимой трещины;

- длина трещины (размеры
даны в миллиметрах)
Рисунок 8 - Термограмма пятки сварного шва с зарождающимися
трещинами после интегрирования (суммирования значений)
термографических данных каждого пикселя по времени
4.2.2 Для повышения эффективности измерений рекомендуется использовать радиометрические данные, полученные только в момент прохождения нагрузки. Участки записи без нагрузки (между транспортными средствами) следует отбрасывать.
4.2.3 Метод сравнительной качественной термографии быстр (достаточна длина записи до 10 с), прост в применении, не требует точных настроек тепловизора (тепловизионного модуля) для коррекции на атмосферные условия и условия работы элемента конструкции, а также конкретного знания излучательных свойств и толщины лакокрасочного покрытия. Поэтому для решения задач контроля технического состояния элементов конструкций, решаемых при обследованиях и периодических осмотрах, достаточно использовать только метод сравнительной качественной термографии.
4.2.4 Пример применения метода сравнительной качественной термографии для выявления вершин трещины и измерения ее длины приведен на
рисунке 8. Из этого рисунка видно, что при выборе соответствующего масштаба изображения длина трещины в пятке сварного шва может быть достаточно точно измерена по расстоянию между центрами наиболее ярких точек.
4.3 Сравнительная количественная термография
4.3.1 Метод сравнительной количественной термографии является инструментом для оценки состояния элементов конструкции по приближенным значениям абсолютных температур. Получение точных значений температур по инфракрасному излучению представляет собой весьма сложную задачу. Это объясняется тем, что на измеряемую температуру оказывает влияние большое число факторов. К ним относятся коэффициенты излучения и отражения разных объектов. Знание приближенных значений этих коэффициентов позволяет получать оценки температур со степенью точности, достаточной для практических целей.
4.3.2 Для проведения количественной термографии рекомендуется на месте обследования выполнять измерения и получать фактический коэффициент излучения поверхности исследуемого элемента конструкции. На величину коэффициента излучения оказывают влияние степень загрязнения поверхности, матовость лакокрасочного покрытия, наличие коррозии, толщина краски.
Точное знание абсолютной температуры поверхности необходимо для определения напряжений в элементе конструкции, приближения наступления предельного состояния в материале (образования трещины) и составления прогноза относительно скорости продвижения трещины. Однако для таких выводов необходимо иметь результаты лабораторных исследований изменения температуры объекта, характеризующей выделение теплоты при его циклическом деформировании на всем протяжении от начала нагружения до разрушения при характеристиках цикла нагружения, свойственных фактической работе исследуемого элемента.
Ввиду сложности определения точных значений температур и даже коэффициента излучения поверхности каждого элемента более практичным решением является применение сравнительной количественной термографии (
подраздел 5.2 ГОСТ Р ИСО 18434-1-2013). В этом случае для определения температурных отклонений сравнивают значения температур, полученных с использованием некоторого постоянного коэффициента излучения

поверхностей, обладающих примерно одинаковой излучающей способностью. Поскольку условия окружающей среды и свойства сравниваемых поверхностей за время проведения измерений под проходящим транспортным средством не изменяются, полученная разность температур рассматривается как отклонение температуры обследуемого объекта от его нормальной рабочей температуры.
4.4 Общие требования к средствам измерения
4.4.1 При выборе средств теплового контроля в качестве контрольных параметров рекомендуется использовать величины, указанные в
таблице 2.
Таблица 2
Требуемые параметры тепловизора (тепловизионного модуля)
Наименование параметра | Значение параметра |
1 | 2 |
Основной рабочий спектральный диапазон прибора | От 8 до 14 мкм (допускается от 3 до 5 мкм) |
Абсолютная погрешность измерения температуры | Не более +/- 2 °C |
Формат микроболометрической матрицы | Не менее 320 x 240 элементов |
Тип детектора | Матрица в фокальной плоскости |
Частота обновления радиометрических данных (частота) | Не менее 25 Гц (допускается не менее 9 Гц) |
Температурная чувствительность NETD | <= 0,05 К |
Пространственное разрешение тепловизора или тепловизионного модуля | Необходимое значение определяется задачей измерения |
Примечания
1 Поскольку при качественном анализе знание абсолютной температуры не является обязательным, это требование носит рекомендательный характер. Для количественной термографии для определения абсолютного значения температуры поверхности можно использовать контактные термодатчики (термопары и элементы Пельтье), погрешность которых значительно ниже.
2 Формат (разрешение) микроболометрической матрицы не следует путать с разрешением экрана тепловизора, которое также приводится в технических характеристиках прибора.
3 Минимальная частота обновления данных должна удовлетворять правилу Найквиста - быть больше половины частоты воздействия внешней нагрузки. В большинстве случаев для мостовых конструкций минимальная частота обновления данных 9 Гц соответствует правилу Найквиста, что является приемлемым для проведения качественного анализа.
4 Паспортная чувствительность NETD является некоторой осредненной величиной по площади микроболометрической матрицы. Рекомендации по определению реальной чувствительности NETD, которая может быть существенно выше, приведены в
приложении Г.
5 В паспортных характеристиках тепловизоров приводится пространственное разрешение для расстояния съемки 1 м. Для пересчета на другое расстояние и для разных объективов существуют специальные программы-калькуляторы.
Пространственное разрешение тепловизора или тепловизионного модуля, определяемое сочетанием параметров объектива, формата микроболометрической матрицы и расстояния измерения, должно обеспечивать получение минимального размера области измеряемой поверхности, приходящейся на один пиксель матрицы при принятом расстоянии съемки не более 3 мм.
Тепловизоры должны иметь возможность обмена радиометрическими данными с внешними устройствами обработки данных, возможность синхронизации измерений с дополнительными измерительными устройствами (например, тензоизмерительными системами), рабочий температурный диапазон эксплуатации тепловизоров должен соответствовать условиям применения.
Как правило, для использования качественного метода инфракрасной термографии достаточно применения только тепловизоров или тепловизионных модулей для сбора информации и переносных компьютеров (ноутбуков, нетбуков) с установленным на них специальным программным обеспечением для обработки и анализа данных.
Примечание - Основные алгоритмы для специального программного обеспечения приведены в
приложении Б.
4.4.2 Для повышения качества анализа при необходимости могут быть также использованы:
- электронные толщиномеры покрытий с датчиком, измеряющим толщины диэлектрических покрытий в диапазоне от 0 до 1250 мкм, или другие инструменты для контроля толщины лакокрасочного покрытия;
- тензометрическая система с тензодатчиками с базой не более 5 см для синхронизации изменений инфракрасного сигнала с деформациями элемента при воздействии нагрузки;
- термопары или контактные термодатчики для уточнения коэффициента излучения поверхности;
- анемометры для контроля скорости ветра.
4.5 Неисправности, доступные для контроля методом инфракрасной термографии, и места их возможного появления
4.5.1 В сталежелезобетонных пролетных строениях могут образовываться трещины.
Тип 1 - трещины в металле элемента основного сечения:

тип 1а - трещина в стенках главных продольных балок у верхних концов швов приварки вертикальных ребер жесткости (
рисунок 9 а). Чаще возникает у опорных ребер жесткости и ребер жесткости, к которым крепятся горизонтальные и продольные связи, и, как правило, при наличии зазоров в "сухариках";

тип 1б - трещина в стенках главных балок по линии сплавления шва прикрепления верхнего пояса к стенке балки у вертикальных ребер жесткости. Возникает у вертикальных опорных ребер жесткости и ребер жесткости, к которым крепятся горизонтальные и продольные связи, при наличии зазоров в "сухариках". Часто образуется после возникновения трещины типа 1а. При появлении трещины типа 1б трещина типа 1а перестает интенсивно развиваться, а основной процесс усталостного разрушения переходит в вершины трещины типа 1б;

тип 1в - трещина в вертикальных ребрах жесткости у верхнего пояса балки, начинается от закругленной части выреза в ребре и распространяется под углом 45° (
рисунок 9 б). Как правило, возникают в конструкциях вертикальных ребер жесткости без "сухариков" при наличии прикрепления к ребру жесткости горизонтальных и продольных связей.
а - трещины типа 1а и 1б; б - то же, типа 1в;
в - то же, типа 2а
Рисунок 9 - Места появления трещин
Поскольку появлению трещины типа 1б может предшествовать возникновение трещины типа 1а, рекомендуется при обнаружении трещины типа 1а проверить также зону возможного образования трещины типа 1б.
Тип 2 - трещины в сварном шве прикрепления ребра жесткости к элементу конструкции:

тип 2а - трещина в сварном шве прикрепления вертикальных ребер жесткости к верхним поясам балок без выхода в основной металл (
рисунок 9 в). При своем развитии может переходить в основной металл соединяемых листов. Не зависит от расположения сечения по длине пролета.
4.5.2 В пролетных строениях с ортотропными плитами проезжей части могут образовываться трещины.
Тип 1 - трещины в металле элемента основного сечения в листе настила нижней ортотропной плиты (рисунок 10). Начинаются в сварном шве от выкружки в стенке поперечного ребра жесткости и могут выходить на основной металл стенки.
а - поперечное сечение пролетного строения; б - схема
развития трещины; в - общий вид трещины
(размеры даны в миллиметрах)
Рисунок 10 - Трещины типа 1
Тип 2 - трещины в сварном шве прикрепления ребра жесткости к элементу конструкции:

тип 2а - трещина в сварном шве прикрепления вертикальных ребер жесткости к верхнему листу настила без выхода в основной металл
(рисунок 11). Чаще возникает в ребрах, расположенных под полосами движения колес транспортных средств. Не зависит от расположения сечения по длине пролета. Рекомендуется контролировать каждый такой узел;

тип 2б - трещина в сварном шве прикрепления поперечных ребер жесткости к нижнему листу настила балок коробчатого сечения без выхода в основной металл от кромки продольного ребра в зоне выкружки на примыкании поперечной балки к листу настила
(рисунок 12). Возможен переход в трещину типа 1 с выходом в основной металл. Не зависит от расположения сечения по длине пролета. Рекомендуется контролировать каждый такой узел;

тип 2в - трещина в сварном шве прикрепления полосового продольного ребра жесткости ортотропной плиты к горизонтальному листу настила. Достигает большой длины и может ответвляться в ребро жесткости под углом 45° и в лист настила под углом почти 90°
(рисунок 13). Чаще возникает в ребрах, расположенных под полосами движения колес транспортных средств. Не зависит от расположения сечения по длине пролета. Следует контролировать соединения по всей длине под полосами движения колес транспортных средств.
Рисунок 11 - Трещины (а, б) типа 2а
а - схема развития трещины; б - общий вид
Рисунок 12 - Трещина типа 2б
Рисунок 13 - Трещина типа 2в
5 Проведение теплового контроля
5.1 Перед началом эксплуатации тепловизора (тепловизионного модуля) рекомендуется уточнить область микроболометрической матрицы, имеющую повышенную чувствительность NETD по сравнению с паспортными данными. Как правило, такой является область около центра матрицы, составляющая до 25% площади всей матрицы. Такая оценка может быть выполнена согласно рекомендациям
приложения Г.
В дальнейшем при нацеливании объектива прибора следует стремиться к тому, чтобы интересующая область попадала в область с наибольшей чувствительностью.
5.2 Рекомендуемая дальность съемки тепловизором (тепловизионным модулем) - от 0,2 до 10 м в зависимости от размеров области контроля, размеров предполагаемых дефектов и пространственного разрешения тепловизора (тепловизионного модуля). Для измерений с расстояний больше 10 м следует применять объективы с более узкими углами зрения.
Примечание - Как правило, при диагностировании трещин методом сравнительной качественной термографии при интенсивном воздействии эксплуатационных нагрузок минимальный размер объекта S
i, температура которого будет распознана на расстоянии D (см.
пункт 4.1.6), не должен быть больше 0,28 см.
5.3 Для выполнения измерений необходимо закрепить прибор на земле или опоре путем установки камеры на неподвижный штатив или обеспечить синхронное перемещение прибора вместе с исследуемой областью путем закрепления прибора на конструкции пролетного строения струбцинами, магнитами и т.д., исключив при этом любые другие перемещения прибора. Съемка "с руки" не допускается.
5.4 При необходимости перед началом измерений могут быть выполнены определение и установка в приборе следующих характеристик: фоновой температуры и коэффициента излучения. При использовании методов сравнительной термографии эти величины могут быть заданы приблизительно.
5.5 Для повышения коэффициента излучения область исследования рекомендуется равномерно покрывать матовой графитовой смазкой-спреем следующего состава: графит, диметоксиметан, диметиловый эфир без дополнительных компонент. Толщина такого покрытия не должна быть больше 25 мкм, что обычно достигается за один-два прохода распылителя.
Повышение коэффициента излучения может потребоваться:
- если поверхность исследуемой зоны имеет коэффициент излучения ниже 0,85 (например, на зачищенной до блеска поверхности металла);
- толщина лакокрасочного покрытия больше 200 - 250 мкм, ослабляющая инфракрасный сигнал;
- расстояние съемки и пространственное разрешение ИК-камеры не обеспечивают получение минимального размера объекта Si не более 0,28 см.
Примечания
1 При использовании сравнительных методов термографии (качественного и количественного) знание точного коэффициента излучения желательно, но необязательно, особенно в тех случаях, когда дефекты обнаруживаются на однородном излучательном фоне. Однако при проведении количественного анализа знание коэффициента излучения предпочтительно. Методики определения коэффициента излучения указаны в
приложении В.
2 Как правило, толщина лакокрасочного покрытия мостовых конструкций составляет меньше 250 мкм.
5.6 Подготовка к проведению теплового контроля включает:
- ознакомление с местоположением объекта контроля, выявление наличия мешающих факторов, способных оказать негативное влияние на результаты контроля, определение наличия и пригодности смотровых приспособлений;
- оценку метеорологических параметров в районе объекта контроля;
- проведение визуального контроля состояния поверхности контролируемого объекта и выявление зон, имеющих различные коэффициенты излучения;
- проверку работоспособности средств контроля и их настройки в соответствии с требованиями эксплуатационных документов на средства контроля.
5.7 Тепловой контроль мостовых сооружений и их элементов не рекомендуется проводить в дождь, туман, снегопад, при наличии снега, инея, влаги на поверхности и при скорости ветра больше 7 м/с (для незакрытых от ветра поверхностей). Качество записи улучшается при измерениях на более теплой поверхности, прогретой, например, солнечной радиацией. При отрицательных температурах ИК-камеру не рекомендуется выключать между измерениями.
Примечание - Скорость ветра определяют с помощью анемометра, а при его отсутствии - приблизительно, по шкале Бофорта
(приложение Д). Ветер при скорости 16 км/ч (4,4 м/с) снижает температуру объекта примерно на 50%, а при скорости 24 км/ч (6,67 м/с) - на 75%.
5.8 Следует избегать съемки при температурах, близких или меньших указанных для условий работы в паспортных данных тепловизора. В таких условиях приборы, как правило, автоматически не калибруются.
5.9 Измерения рекомендуется начинать не ранее чем через 10 - 15 мин после включения питания прибора для обеспечения прогрева его электронных компонент.
5.10 Перед началом измерений следует выполнить фокусировку прибора на исследуемую область, которая может быть проведена в автоматическом режиме (если это позволяет сделать конструкция камеры) и обязательно уточняться ручным регулированием. Для этого необходимо переключить камеру на серую шкалу, найти "опорную" острую грань в исследуемой области (если же расстояние съемки невелико и исследуемая область не содержит "опорных" острых граней, то расположить в исследуемой области предмет с острыми краями, например стержень авторучки или металлическую линейку) и регулировать фокусирование камеры до тех пор, пока опорная грань не приобретет четкие границы.
5.11 Измерения следует проводить под движущейся обращающейся или испытательной нагрузками либо при специальном возбуждении механических колебаний с помощью магнитострикционных устройств (
подраздел А.3 приложения А).
5.12 При выполнении измерений под движущейся нагрузкой запись термограмм следует начинать заранее до прохода нагрузки и продолжать некоторое время после ее прохода. Как правило, достаточной является длина записи 10 - 15 с, если это время совпадает с проходом нагрузки, вызвавшей изменения напряжений необходимого уровня.
5.13 Представляющие интерес события в основном кратковременны, случайны и происходят в течение коротких периодов времени. Оптимальная продолжительность времени, необходимого для получения полезного инфракрасного изображения из серии переходных событий, зависит от уровня возникающих напряжений. Качество ответа возрастает с увеличением амплитуды напряжений и общего времени записи - чем выше амплитуда напряжений, тем короче может быть запись.
На длину записи также оказывает влияние частота обновления кадров ИК-камеры. Например, при частоте 9 Гц длина записи должна быть больше, чем при частоте 30 Гц, поскольку возрастает вероятность пропуска существенных значений.
5.14 Качество полученной записи рекомендуется проверять на месте и при необходимости повторять ее. Качественной следует считать запись, на которой при должном уровне напряжений в элементе от проходящей нагрузки саморазогрев четко может быть выделен.
Если саморазогрев не выделяется на всех сделанных записях, то следует убедиться в том, что электроника тепловизора перед измерениями была прогрета, фокусировка камеры сделана правильно, нагрузка создавала достаточный уровень напряжений, а ее скорость была достаточной для обеспечения адиабатических условий. Если указанные условия выполнены, то отсутствие саморазогрева свидетельствует об отсутствии повреждений на контролируемом участке.
5.15 В записях не должно быть ощутимого дрейфа температурного сигнала по времени. Как правило, такой дрейф указывает на неготовность тепловизора к работе или его неисправности либо на неподходящие условия съемки.
Примечание - Все тепловизоры (тепловизионные модули) требуют коррекции (самокалибровки или калибровки) температурного дрейфа, возникающего из-за работы электроники приборов, через определенные промежутки времени. Во время самокалибровки съемка прекращается (камеры "зависают"). Чтобы минимизировать время "зависания", на ряде моделей приборов коррекция теплового дрейфа может быть выполнена с помощью внешнего управления в подходящий момент времени. Если аппаратное управление самокалибровкой невозможно, следует предусмотреть корректировку дрейфа температур программно при обработке полученных радиометрических данных (
пункт Б.2.2 приложения Б).
Многократная самокалибровка свидетельствует о неподходящих условиях съемки (одновременного присутствия в поле зрения объектов с существенно различающейся температурой, например исследуемой поверхности и неба, или при быстроменяющихся условиях окружающей среды - сильном ветре). В этом случае необходимо дождаться стабильных погодных условий или переместить камеру.
5.16 Для идентификации области исследования на термограмме выполняют геометрическую привязку ИК-изображения области сканирования к характерным точкам объекта контроля. Это может быть сделано через совмещение видимого и инфракрасного изображений (при наличии такой возможности тепловизора) или путем включения в поле термограммы ярко выделяющихся в инфракрасном диапазоне характерных элементов конструкции (например, ребер жесткости, сварных швов и т.д.).
6 Обработка результатов контроля
6.1 Выходной сигнал микроболометра тепловизора (тепловизионного модуля) на уровне реализуемых изменений температур в элементах мостовых конструкций под проходящими транспортными средствами является сильно зашумленным и зачастую не может быть прямо отображен на экране тепловизора. Поэтому следует применять методы обработки сигналов, адаптированные к температурным сигналам. К таким методам относятся:
- осреднение сигнала по пространству;
- осреднение сигнала по времени записи;
- синхронизация теплового сигнала во временной и (или) частотной областях с эталонным сигналом, который может быть получен с тензодатчика тензометрической системы (синхронизированная термография) либо по температурному сигналу с эталонного участка исследуемой поверхности после применения одного или обоих типов осреднения (самосинхронизированная термография).
Из-за различий между частотой дискретизации ИК-камеры и тензометрической системы необходимо предусмотреть алгоритм окончательной синхронизации данных, чтобы сопоставить каждое ИК-изображение с соответствующей эталонной нагрузкой.
Могут быть применены и другие обоснованные способы обработки сигналов.
6.2 Осреднение по пространству заключается в получении эталонного (опорного) сигнала при осреднении значения температуры опорного пикселя по соседним пикселям для каждого кадра по времени. Количество соседних пикселей, необходимое для проведения качественного осреднения, зависит от характеристик камеры. Например, для камеры Fluke Ti400 Pro с матрицей 320 x 240 и стандартным объективом 24° x 17° размер зоны осреднения вокруг базового пикселя составляет 20 x 20 пикселей (
подраздел Б.3 приложения Б).
6.3 Осреднение по времени записи может быть выполнено с помощью метода плавающего среднего, осреднения по Гауссу и т.д. Однако применять осреднение по времени следует с осторожностью, чтобы не удалить полезные значения сигнала, соответствующие воздействию осей транспортных средств.
6.4 Синхронизация записи термограмм с данными опорных измерений является эффективным способом выделения полезного сигнала из сильно зашумленных данных. Для этого выбирается эталонный (опорный) сигнал, который предварительно должен быть очищен от шумов. Это может быть сигнал с тензодатчика или такой же тепловой сигнал из области измерения.
В первом случае синхронизация теплового сигнала с сигналом тензодатчика (деформациями конструкции) выполняется с помощью дополнительных аппаратных устройств (
подраздел Б.1 приложения Б). Поскольку сигнал тензодатчика способен различать слабые воздействия, то его использование позволяет выделять соответствующий им полезный температурный сигнал (который, как правило, будет меньше величины NETD) из зашумленного теплового сигнала. Поэтому применение синхронизации тензосистемы и тепловизора является предпочтительным при тепловом контроле усталостных процессов и обязательным при количественном контроле.
Однако из-за различия в шаге дискретизации сигналов тензосистемы и тепловизора требуются дополнительные мероприятия по синхронизации отсчетов, а также установка тензосистемы на конструкции.
Во втором случае нет необходимости в дополнительных устройствах, а также облегчается процесс синхронизации, так как дискретность опорного и изучаемого сигналов одинакова. Такая синхронизация называется самосинхронизацией. Поскольку величины тепловых сигналов (и опорного, и изучаемого), получаемых при упругом деформировании мостовых конструкций, невелики и зачастую не превышают величину NETD, то применимость метода самосинхронизации является ограниченной, однако остается пригодной для качественной диагностики в большинстве случаев.
В обоих случаях синхронизация выполняется на основе метода наименьших квадратов, где в первом случае опорный сигнал выбирается из той же последовательности термограмм, а во втором - является сигналом с тензодатчика тензосистемы.
6.5 Степень опасности дефекта при количественном анализе может быть установлена по величине коэффициентов интенсивности напряжений, определяемых по полученным температурным сигналам на основании
уравнений (1) и
(2) по специально разрабатываемым методикам или по тарировочным кривым, получаемым отдельно в результате экспериментальных исследований узлов и соединений конструкций в лабораторных условиях.
При качественном анализе степень опасности дефекта может быть приблизительно оценена по наличию или отсутствию температурных аномалий (разогрева) на термограммах или по соотношению значений коэффициентов (а)
уравнения (Б.7) в дефектной и бездефектной областях.
7 Интерпретация результатов
В
таблице 3 и
рисунках 14 -
17 приведены критерии оценки результатов диагностики усталостных повреждений методом инфракрасной термографии. Критерии приведены в формате визуального восприятия как наиболее быстрого при экспресс-диагностике. Визуальные изображения построены по результатам обработки термограмм в виде интуитивно понятной расцветки (повышенные температуры отображены более красными "теплыми" тонами, менее нагретые - более "холодными" тонами). Поскольку визуальное изображение является отображением накопленных изменений температур, то оно может служить достаточным индикатором опасности трещины при качественной термографии.
Таблица 3
Критерии оценки результатов диагностики
усталостных повреждений
Описание результатов диагностики | Состояние повреждения | Склонность к развитию | Эскиз |
Разогрев только в вершине трещины | Трещина является четко выраженной, сквозной, незажатой, с большим раскрытием под нагрузкой | Да | |
Разогрев по всей длине (или на части длины) | Трещина несквозная, "волосяного" раскрытия или зажата (по крайней мере, на части длины) | Да | |
Повреждение скрытое, невидимое еще на дневной поверхности | Да | |
Отсутствие температурных аномалий | Отсутствие процесса развития повреждений даже при наличии трещины | Нет | |
а - общий вид; б - термограммы
Рисунок 14 - Разогрев в вершинах сквозных трещин
а - узел с относительно короткой трещиной и термограмма;
б - перерастающая трещина и ее термограмма; в - трещина,
концы которой расположены на гранях ребра жесткости,
и ее термограмма; г - короткая растущая трещина
Рисунок 15 - Разогрев по длине и в вершинах несквозных
коротких трещин по сварному шву
а - общий вид трещин; б - термограммы
Рисунок 16 - Разогрев в носке сварного шва
при отсутствии видимых повреждений
а - общий вид трещин; б - термограммы
Рисунок 17 - Отсутствие разогрева в вершинах трещин
(тепловые аномалии отсутствуют) - трещины не развиваются
На
рисунке 14 а отчетливо прослеживается, что положение вершины трещины на фотографии, которое было зафиксировано в ходе экспертной оценки визуально, отличается от того, которое определяется саморазогревом на итоговом изображении (
рисунок 14 б), что говорит о накоплении повреждений и внутреннем развитии трещины. Сквозные трещины типа 1а и 1б ведут себя схожим образом, это представлено на рисунках ниже.
На
рисунке 15 а представлен узел с относительно короткой трещиной, которая еще находится в торце ребра жесткости и имеет волосяное раскрытие. В данном случае саморазогрев имеет огибающую форму, что говорит об интенсивном трении берегов трещины во время прохода нагрузки.
На
рисунке 15 б представлена трещина, которая перерастает из торца ребра жесткости в его боковые грани, тем самым увеличивая свою ширину раскрытия. Интенсивный саморазогрев по сравнению с предыдущей трещиной наблюдается уже в области одной из вершин (левой), которая смещается к боковой грани ребра.
На
рисунке 15 в представлена трещина, концы которой расположены уже на боковых гранях ребра жесткости, при этом данная трещина имеет уже существенную ширину раскрытия по сравнению с предыдущими в момент прохода нагрузки (подтверждено капиллярной диагностикой). Интенсивный саморазогрев наблюдается в области вершин трещины.
В целом трещины, представленные на
рисунке 15, имеют различную степень развития, но их температурный отклик соответствует результатам экспериментальных исследований, приведенных в
приложении Ж.
В сварных узлах с визуальным отсутствием трещины наличие саморазогрева будет соответствовать активному накоплению повреждений и внутреннему развитию усталостных повреждений. На
рисунке 16 представлены результаты инфракрасной съемки таких узлов без видимых усталостных трещин. При этом ультразвуковой контроль не дал однозначного ответа о наличии здесь скрытых повреждений.
Форма саморазогрева также схожа с формой саморазогрева околошовной зоны на испытательном образце, которая предшествовала образованию видимой усталостной трещины в сварном узле (см.
приложение Ж).
На
рисунке 17 показаны трещины, в вершинах которых отсутствовал саморазогрев. Это указывает на то, что такие трещины "неактивны", т.е. не проявляют тенденции к росту. Этот факт подтвержден длительным визуальным наблюдением за состоянием таких трещин и вихретоковой диагностикой длины трещин.
КРАТКИЕ СВЕДЕНИЯ ОБ УСТРОЙСТВАХ ИЗМЕРЕНИЯ
ИНФРАКРАСНОГО ИЗЛУЧЕНИЯ И ВСПОМОГАТЕЛЬНЫХ УСТРОЙСТВАХ
А.1 Краткие сведения о некоторых устройствах измерения инфракрасного излучения, соответствующих требованиям
подраздела 4.4 и выпускавшихся на момент выхода настоящего методического документа, приведены в
таблице А.1.
Таблица А.1
Тепловизоры и тепловизионные модули
Характеристика | Тепловизоры | Тепловизионные модули |
Fluke Ti 400 | InfraTec VarioCAM HD | Optris PI 450i | Астрон 640/30 с детектором Астрон 640В17 | KS UR-M |
Страна-производитель | США | Германия | Германия | Россия | Россия |
Рабочий диапазон инфракрасного излучения, мкм | 8 - 14 | 8 - 14 | 8 - 14 | 8 - 14 | 8 - 14 |
Разрешение инфракрасного детектора, пиксель | 320 x 240 | 640 x 480 | 382 x 288 | 640 x 480 | 640 x 480 |
Тип детектора | Матрица в фокальной плоскости |
Температура, эквивалентная шуму прибора (NETD) при 30 °C, не более, °C | 0,05 | 0,03 | 0,04 | 0,055 | 0,04 |
Частота съемки, Гц | 9 | 60 | 80 | 25 | 50 |
Мгновенное поле зрения iFOV (пространственное разрешение) <*>, мрад | 1,31 | 0,884 | 1,325 | 0,562 | 0,36 |
Площадь обзора (ширина x высота) с расстояния съемки 1 м <*>, м x м | 0,425 x 0,299 | 0,581 x 0,486 | 0,517 x 0,389 | 0,363 x 0,272 | 0,228 x 0,175 |
Минимальный размер объекта, приходящийся на один пиксель детектора (с расстояния съемки 1 м) <*>, см 2 | 0,133 | 0,091 | 0,135 | 0,057 | 0,035 |
Погрешность измерения температуры (при номинальной температуре 25 °C) | +/- 2 °C или 2% | +/- 1 °C или +/- 2% | +/- 2 °C или 2% | - | +/- 1,5 °C или 1,5% |
Возможность синхронизации с тензосистемой | Нет | Да | Да | Да | Да |
Изображение прибора | | | | | |
--------------------------------
<*> Параметры указаны для объективов с полем зрения (FOV): Fluke Ti400 - 24° x 17°, InfraTec VarioCAM HD - 32,4° x 24,6°, Optris PI 450i - 29° x 22°, Астрон 640/30 - 20,6° x 15,5°.
A.2 Данные по изменению величин iFOV и FOV в зависимости от размеров матрицы детектора, углов зрения объективов, расстояния до области измерения для ИК-камер из
таблицы А.1 приведены в
таблице А.2.
Таблица А.2
Данные по изменению величин iFOV и FOV
Размер детектора (матрицы) тепловизора, пиксель | Поле зрения (FOV), град | Пространственное разрешение (iFOV) | Показатели | Расстояние до объекта, м |
0,5 | 1 | 2 | 3 | 4 | 5 | 10 |
320 x 240 | 24 x 17 | 1,309 | FOVx | 0,213 | 0,429 | 0,850 | 1,275 | 1,700 | 2,126 | 4,251 |
FOVy | 0,149 | 0,299 | 0,598 | 0,897 | 1,196 | 1,495 | 2,989 |
Si, см | 0,066 | 0,133 | 0,266 | 0,399 | 0,531 | 0,664 | 1,328 |
12 x 9 | 0,654 | FOVx | 0,105 | 0,210 | 0,420 | 0,631 | 0,841 | 1,051 | 2,102 |
FOVy | 0,079 | 0,157 | 0,315 | 0,472 | 0,630 | 0,757 | 1,574 |
Si, см | 0,033 | 0,066 | 0,131 | 0,197 | 0,263 | 0,328 | 0,657 |
382 x 288 | 29 x 22 | 1,325 | FOVx | 0,259 | 0,517 | 1,034 | 1,552 | 2,069 | 2,586 | 5,172 |
FOVy | 0,194 | 0,389 | 0,778 | 1,166 | 1,555 | 1,944 | 3,888 |
Si, см | 0,068 | 0,135 | 0,271 | 0,406 | 0,542 | 0,677 | 1,354 |
18 x 14 | 0,822 | FOVx | 0,158 | 0,317 | 0,634 | 0,950 | 1,267 | 1,584 | 3,168 |
FOVy | 0,123 | 0,246 | 0,491 | 0,737 | 0,982 | 1,228 | 2,456 |
Si, см | 0,041 | 0,083 | 0,166 | 0,249 | 0,332 | 0,415 | 0,829 |
640 x 480 | 20,6 x 15,5 | 0,562 | FOVx | 0,182 | 0,363 | 0,727 | 1,090 | 1,454 | 1,817 | 3,635 |
FOVy | 0,136 | 0,272 | 0,544 | 0,817 | 1,089 | 1,361 | 2,722 |
Si, см | 0,028 | 0,057 | 0,114 | 0,170 | 0,227 | 0,284 | 0,568 |
А.3 Общий вид и характеристики магнитострикционного устройства для создания высокочастотных механических воздействий на конструкцию приведены на
рисунке А.1 и в
таблице А.3.
1 - генератор ультразвуковой частоты ИЛ 10-2,5М;
2 - контроллер управления; 3 - магнитострикционный
преобразователь в бачке охлаждения с индентором
Рисунок А.1 - Общий вид устройства
Таблица А.3
Основные технические характеристики устройств
Наименование показателя | Номинальная величина показателя |
Генератор ИЛ 10-2,5М |
Выходная мощность, кВт, не более | 2,5 |
Рабочая частота, кГц | 22 +/- 1,65 |
Потребляемая мощность, Вт, не более | 3500 |
Напряжение питания, В | 220 +/- 10% |
Частота сети питания, Гц | 50 +/- 5% |
Контроллер |
Потребляемая мощность, Вт | 15 |
Напряжение питания, В | 220 +/- 10% |
Частота питания, Гц | 50 +/- 5% |
Магнитострикционный преобразователь в бачке охлаждения |
Собственная частота, кГц | 22 +/- 1,65 |
Напряжение питания, В | 250 +/- 40 |
Потребляемая мощность, кВт, не более | 2,5 |
Ток подмагничивания, А | 7 +/- 3 |
Полное внутреннее сопротивление, Ом | 25 +/- 3 |
Электроакустический КПД, % | 58 |
Количество витков на стержне, шт. | +1 +/- 1 |
МЕТОДИКА СБОРА, ОБРАБОТКИ И АНАЛИЗА ДАННЫХ
Б.1.1 Измерения проводят под движущейся обращающейся или испытательной нагрузками. Если напряжения, возникающие в области измерения от приложенной нагрузки, вызывают изменения температуры, превышающие термочувствительность камеры NETD, то, как правило, дополнительной обработки термограмм не требуется. В противном случае необходимо принимать меры по выделению полезного сигнала из сильно зашумленного исходного теплового сигнала. Для этого используются два способа:
- синхронизация тепловых измерений с данными тензометрических измерений деформаций, принимаемых за эталонные (опорные);
- самосинхронизация тепловых сигналов, полученных из исследуемой и эталонной (заведомо бездефектной) областей конструкции. Такие сигналы извлекаются из одного и того же набора термограмм и, соответственно, не требуют установки тензодатчиков.
Примечание - Для проведения качественной сравнительной диагностики достаточно использовать метод самосинхронизации тепловых сигналов, извлекаемых из одного и того же пакета термограмм, между собой. Для количественной диагностики применение синхронизации тепловых сигналов с сигналами тензодатчиков является предпочтительным.
Одними из эффективных методов являются методы, основанные на получении качественных опорных сигналов по одному пикселю (или небольшому количеству пикселей) и использовании их для выделения полезного инфракрасного сигнала из зашумленных данных путем корреляции сигналов или методом наименьших квадратов. Для получения малошумных опорных сигналов могут быть применены сигналы тензоизмерительной системы (метод синхронизации измерений двух измерительных систем) или инфракрасные сигналы из областей, где такие сигналы могут быть получены с наименьшими помехами (метод самосинхронизации).
Б.1.2 При синхронной термографии тензодатчики для синхронизации измерений следует устанавливать так, чтобы получать информацию о воздействии проходящей нагрузки - на стенке балки, на которой проводятся измерения (желательно вблизи области контроля), на продольных ребрах жесткости ортотропных плит, на средних прогонах сталежелезобетонных конструкций или на поперечных балках при опирании на них плит проезжей части и т.п. Поскольку изменение теплового сигнала прямо пропорционально изменению напряжений (деформаций), то полученные тензограммы будут представлять опорный сигнал для выделения полезного теплового сигнала из записанного пакета термограмм.
Примеры возможного расположения оборудования при синхронизированном измерении приведены на
рисунках Е.3 и
Е.17 приложения Е.
Начальная синхронизация измерения изменения температур (пакета термограмм) и сигналов тензометрической системы может быть выполнена:
- аппаратно, с помощью коммутационного блока тепловизора
(рисунок Б.1) или аналогичного устройства (эти устройства могут поставляться производителем в комплекте с тепловизором или изготавливаются самостоятельно);
- программно, путем совмещения по времени пиков тензо- и термограмм.
Рисунок Б.1 - Коммутационный блок (а, б) тепловизора
InfraTec VarioCAM HD
При аппаратной синхронизации на вход триггера коммутационного блока в некоторый момент времени оператор подает напряжение 5 В. В этот момент на термограмме программно ставится метка (делается запись в массив данных термограммы). Одновременно это же напряжение подается в тензосистему, которая также на тензограмме записывает метку. В дальнейшем оба массива информации с тензосистемы (тензограмма) и тепловизора (пакет термограмм) выравниваются (синхронизируются по времени) по этим меткам в программе обработки данных.
Более сложным приемом (и программно, и аппаратно) может быть автоматическая установка синхронизирующих меток в пакете термограмм по величине изменения сигнала с тензодатчика больше установленного порога (триггерной величины).
Б.1.3 Самосинхронизация инфракрасных сигналов производится только программно. Для этого на термограмме выбирается область, значения пикселей которой будут приниматься за эталонный сигнал. Выбор области эталонного сигнала на конструкции определяется синфазностью (или почти синфазностью) изменений термоупругого сигнала под нагрузкой в эталонной и исследуемой областях. Этого можно достичь, выбирая расположение эталонной области в одном сечении с областью исследования или близкой к нему. Пример корректного выбора опорной области показан на
рисунке Б.2.
а - общий вид; б - термограмма
Рисунок Б.2 - Пример выбора эталонной области
Затем выполняется пространственное осреднение эталонного сигнала по выбранной области размером n x n пикселей в каждый момент времени (для каждой термограммы из пакета термограмм). Размер n эталонной области определяется пробными расчетами начиная с наименьшего значения 3 x 3 и увеличивается до тех пор, пока разница осредненных сигналов не станет пренебрежимо малой. Полученный график изменения средних значений температур по времени принимается за эталонный (опорный) сигнал.
Дальнейшее использование эталонных сигналов синхронной и самосинхронной термографии происходит по одинаковому алгоритму, указанному в
подразделе Б.3.
Б.1.4 Данные измерений, полученные с инфракрасной камеры (тепловизора), не могут быть отправлены на обработку напрямую, поскольку в них присутствует большое количество шумов различной природы. Поэтому, прежде чем приступать непосредственно к обработке результатов, необходимо устранить шумы.
Б.2.1 Виды шумов
Шумы, присутствующие в термоупругом сигнале, можно разделить на несколько видов, каждый из которых имеет различную природу и требует специальных методов обработки:
- пространственный шум, возникающий вследствие перемещения друг относительно друга наблюдаемой конструкции и камеры;
- временной шум, появляющийся из-за особенностей работы электронных компонентов;
- эффект калибровки камеры.
Б.2.2 Выравнивание смещения области измерения в последовательности кадров
Для избавления от эффектов взаимного перемещения камеры и исследуемой конструкции необходимо, чтобы эти взаимные перемещения были достаточно малы. Этого можно достигнуть, закрепив ИК-камеру (тепловизор) от перемещений относительно конструкции с помощью штатива или струбцин.
Для компенсации смещения кадров применяют метод взаимной корреляции (кросс-корреляции). Для этого на первом кадре съемки выбирают участок изображения (шаблон) размером (m1 x n1), включающий объект сцены, содержащий элементы с ярко выраженным температурным контрастом (например, ребро жесткости или специально установленный маркер), которые не изменяют своего положения по отношению к исследуемой конструкции на протяжении всей записи.
В каждом последующем k-ом кадре назначается участок термоизображения f
k размером (m
k x n
k), больший шаблона по размеру на 20% (в зависимости от величины предполагаемого движения объекта)
(рисунок Б.3).
t - шаблон; fk - контрольный участок k-го кадра
для определения параметров выравнивания изображения
Рисунок Б.3 - Принцип кросс-корреляции термоизображений
(термоизображение балки пролетного строения моста
в оттенках серого)
Для каждого кадра в пределах участка f
k, начиная с его верхней левой точки (x
k, y
k), шаблон перемещается на величину

, пока не обойдет весь контрольный участок. Как правило, величина смещения составляет 1 пиксель.
В каждом k-ом кадре для каждого положения шаблона

вычисляются коэффициенты нормализованной взаимной корреляции

по формуле

(Б.1)
где fk(x, y) - значение температуры пикселя (x, y) в контрольной области k-го кадра;

- среднее значение температуры пикселей контрольной области k-го кадра, закрываемой шаблоном в положении (u, v);
t(xk - ut, yk - vt) - значение температуры в пикселе шаблона с координатами (xk - ut, yk - vt);
t - среднее значение температур пикселей шаблона.
По наибольшей величине коэффициента

значения (x
k - u
t)
max, (y
k - v
t)
max принимают за смещение изображения и производят соответствующую коррекцию температур пикселей. При этом участки изображения вдоль краев каждого кадра размером 10 - 15 пикселей в дальнейшем анализе не используются, поскольку для них в процессе коррекции информация теряется.
Полностью процедура выглядит следующим образом:
- на первом кадре съемки выбирается участок изображения, куда попадает ярко выраженный объект, который не изменяет своего положения по отношению к исследуемой конструкции на протяжении всей записи;
- для каждого последующего кадра вычисляются значения коэффициентов корреляции по
формуле (Б.1);
- координаты искомого фрагмента изображения находятся по максимальному значению (arg max) матрицы

как

(Б.2)
по которым определяется смещение текущего кадра относительно первого и выполняется компенсация.
Здесь важны два момента - необходимо иметь четко выраженную границу (ребро) - узкую длинную полосу, температура которой резко отличается от остального изображения на протяжении всей съемки. И правильно выбрать шаблон - установить его размер, включив в него ребра (желательно перекрещивающиеся). Кроме того, важным является выбор размера контрольного участка кадра (xk, yk) - если принять его слишком большим (например, равным всему полю теплового кадра 320 x 240 или 640 x 480), то можно получить ложные результаты. И то же самое получится, если принять его слишком маленьким (например, больше шаблона менее чем на 10%). Последнее особенно существенно при больших перемещениях камеры или объекта.
Б.2.3 Компенсация скачков и тренда записанного сигнала
Электронные элементы тепловизионных камер могут вносить погрешности в записываемый сигнал в виде резких скачков
(рисунок Б.4) и плавного тренда, не связанные с изучаемым явлением.
Примечание - Тренд сигнала присутствует во всех электронных измерительных системах любого назначения.
Рисунок Б.4 - Изображение температурного сигнала
| | ИС МЕГАНОРМ: примечание. Нумерация пунктов дана в соответствии с официальным текстом документа. | |
Б.2.2.1 Компенсация скачков
Скачки, связанные с шумом аппаратуры, отражаются одновременно во всех пикселях матрицы и имеют амплитуду, существенно превышающую среднюю амплитуду записываемого сигнала.
Удаление скачков выполняют для каждого кадра и в следующем порядке:
- из значений температур каждого пикселя текущего кадра

вычитают значения температур соответствующих пикселей первого кадра
фильма


(Б.3)
- выбирают 80 базовых пикселей, произвольно, но равномерно распределенных по термограмме (кадру);
- вычисляют средние значения разности температур

по областям размером 9 x 9 пикселей вокруг каждого базового пикселя с координатами (i, j);
- полученные таким образом значения

осредняют по всем 80 базовым пикселям (определяют одну среднюю величину разности температур

для каждого кадра) по формуле

(Б.4)
- для каждого пикселя из полных значений температур вычитают полученную среднюю величину разности температур

(Б.5)
Примечание - Количество базовых пикселей в кадре 80 и размер области осреднения 9 x 9 для каждого базового пикселя подобраны опытным путем на основе обработки большого количества записей. Однако при необходимости эти величины могут быть изменены для достижения лучшего качества измерений.
Б.2.2.2 Удаление температурного тренда сигнала
Тренд сигнала удаляют после компенсации скачков. Поскольку тренд сигнала может быть выражен не по всей записи, а лишь на отдельных участках, то обработку записи выполняют по группам кадров.
Удаление тренда осуществляется методом наименьших квадратов (МНК). Для этого запись разбивают на группы по 50 кадров. Выбор группы производят по величине среднеквадратичного отклонения температуры в пределах группы. Для дальнейшей обработки оставляют только те группы, где среднее отклонение температур по группе превышает 0,005, иначе - группа исключается из рассмотрения.
Для каждой группы кадров с помощью МНК по записанным данным

вычисляют значения коэффициентов a и b линейного уравнения

.
Затем тренд удаляют из сигнала

(Б.6)
Примечание - Количество кадров 50 подобрано опытным путем на основе обработки большого количества записей. Однако при необходимости эта величина может быть изменена для достижения лучшего качества измерений.
Примеры сигналов с трендом и после его удаления, а также термограмм без удаления тренда и после его удаления показаны на
рисунке Б.5.
а - без удаления тренда сигнала; б - то же, после удаления
Рисунок Б.5 - Результаты обработки термограмм
Б.3 Обработка результатов измерений
Б.3.1 При выполнении измерений методом самосинхронизированной термографии дефектные области определяют путем сравнения температурных данных по каждому пикселю последовательности записанных термограмм с некоторой эталонной (опорной) областью, выбранной из той же последовательности и для которой известно отсутствие в ней повреждений (см.
рисунок Б.5).
Б.3.2 ИК-сигнал в каждом пикселе последовательности термограмм приближается к сигналу пикселей эталонной (опорной) области с помощью МНК.
Для применения МНК необходимо предварительно в дополнение к
подразделу Б.2 подготовить эталонный ИК-сигнал в каждом пикселе ИК-изображения путем его пространственного осреднения.
После обработки сигналов с помощью МНК сигнал дефектной области будет иметь наибольшее отклонение от эталонного сигнала.
Пространственное осреднение сигнала состоит в том, что для итоговой обработки принимается не исходное значение сигнала в i-ом пикселе, а его значение, осредненное по n прилегающим к нему пикселям. Количество прилегающих пикселей, принимаемое для осреднения, определяется пробными расчетами.
Подбор количества прилегающих пикселей осуществляется следующим образом:
- сначала принимают минимальную площадь осреднения размером 3 x 3 пикселя и выполняют обработку пакета термограмм;
- полученный результат анализируют на предмет наличия дефекта;
- если дефект не выявляется или слабо различим, то площадь осреднения увеличивают до тех пор, пока последующее изображение не начнет значительно отличаться (в лучшую сторону) от предыдущего.
Примечание - На основании выполненных многочисленных обработок различного вида усталостных повреждений можно констатировать, что, если при размере эталонной области 25 x 25 пикселей и более температурные аномалии не выделяются, значит, можно говорить об отсутствии дефектов в области измерения.
Например, на
рисунке Б.6 в показано итоговое изображение, которое было получено с использованием эталонного сигнала, сгенерированного с площади 3 x 3. В данном случае выявить наличие дефекта затруднительно. При использовании осреднения с площади 9 x 9 (
рисунок Б.6 г) можно разглядеть пятно, но оно еще недостаточно явное. При площади осреднения 15 x 15 пикселей идентификация саморазогрева становится очевидной. Увеличение площади осреднения необходимо производить до тех пор, пока различие в результатах не станет незначительным. Изображение на
рисунке Б.6 е получено при использовании площади осреднения 25 x 25 пикселей. Очевидно, что оно не уступает по качеству изображению, полученному с применением площади осреднения 15 x 15 пикселей. В таком случае использование площади осреднения 15 x 15 пикселей позволит получить эталонный сигнал, пригодный для его дальнейшего применения.
а - исходная термограмма; б - общий вид трещины;
в - обработанное изображение при осреднении по площади
3 x 3 пикселей; г - то же, 9 x 9 пикселей;
д - то же, 15 x 15 пикселей; е - то же, 25 x 25 пикселей
Рисунок Б.6 - Результаты инфракрасной съемки
Окончательное решение о максимальном количестве пикселей для осреднения принимает оператор.
На
рисунке Б.7 представлены графики сигналов в соответствии с
рисунком Б.5. На приведенных графиках отчетливо прослеживается "очищение" сигнала от шума, при этом осреднение по площади 15 x 15 и 25 x 25 пикселей дает практически одинаковый результат.
а - при осреднении по площади 3 x 3 пикселей;
б - то же, 9 x 9 пикселей; в - то же, 15 x 15 пикселей;
г - то же, 25 x 25 пикселей
Рисунок Б.7 - Изображение температурных сигналов
Если в поле зрения тепловизора попадают несколько элементов снимаемого объекта, расположенные под углом друг к другу (например, стенка и пояс балки), то площадь осреднения должна приниматься по элементу, угол визирования на который является наименьшим, и находиться в пределах этого элемента.
Б.3.3 Коэффициенты метода наименьших квадратов a и b получают минимизацией суммы квадратов разностей между исходным ИК-сигналом в i-ом пикселе y
ni и некоторым эталонным ИК-сигналом f
n, взятым из заведомо бездефектной области, предварительно очищенным от шумов согласно
подразделу Б.2 и осредненным согласно рекомендациям
пункта Б.3.2, по уравнениям

(Б.7)
где n - номер кадра (отсчета) последовательных ИК-изображений;
N - полное количество кадров в записи;
f
n - опорный (бездефектный) ИК-сигнал, очищенный от шумов согласно алгоритмам, указанным в
подразделе Б.2.
О наличии дефектов свидетельствуют экстремальные значения коэффициентов ai и bi, т.е. для сигнала непосредственно в дефектной точке коэффициент ai будет максимальным, а коэффициент bi - минимальным. Поскольку значения ai = 1 и bi = 0 обозначают точное совпадение точки с эталонной, то эти значения должны быть исключены из анализа на экстремум.
Б.3.4 При использовании метода самосинхронизированной термографии эталонный ИК-сигнал должен быть выбран из бездефектной зоны, расположенной максимально близко к сечению с вершиной трещины. Поскольку заранее точное положение вершины трещины неизвестно, то необходимо рассматривать несколько сечений для выбора эталонного сигнала. При совпадении положения сечения с эталонным сигналом с сечением, содержащим вершину трещины, величины коэффициентов примут свои экстремальные значения (максимум для ai и минимум для bi) из всего набора сигналов.
Б.3.5 При использовании метода синхронизации ИК-сигналов с сигналами тензометрической системы эталонным сигналом является сигнал с тензодатчика, поэтому тензодатчики следует располагать как можно ближе к исследуемому сечению.
Как правило, абсолютно точного совпадения эталонного и контрольного сечений для определения положения вершины трещины не требуется.
МЕТОДИКА ОПРЕДЕЛЕНИЯ КОЭФФИЦИЕНТА ИЗЛУЧЕНИЯ
И ВЛИЯНИЯ ОТРАЖЕННОГО ИНФРАКРАСНОГО ИЗЛУЧЕНИЯ
В.1 Общие положения
Интенсивность инфракрасного излучения, излучаемого каждым телом, зависит от температуры, а также от характеристик излучения материала поверхности объекта измерения. Коэффициент излучения

используется как постоянная материала для описания способности тела излучать инфракрасную энергию. Он может находиться в диапазоне от 0 до 1. Коэффициент излучения абсолютно черного тела равен 1,0, зеркала - 0,1.
Низкий коэффициент излучения (отражающие поверхности) несет в себе риск получения неточных результатов измерения из-за помех ИК-излучению, исходящему от фоновых объектов. Чтобы свести к минимуму ошибки измерения в таких случаях, обращение с ним следует выполнять очень осторожно, а прибор необходимо защищать от отражающих источников излучения.
В.2 Определение неизвестной излучательной способности
В.2.1 Метод 1: с помощью термопары или контактного термометра (
пункт A.2.2 ГОСТ Р ИСО 18434-1-2013):
а) устанавливают тепловизор на расстоянии от объекта, при котором будет проводиться обследование;
б) наводят тепловизор на обследуемый объект, осуществляют фокусировку изображения, получают инфракрасное изображение объекта и, по возможности, фиксируют его;
в) используют подходящую функцию тепловизора (перекрестие на дисплее, температуру пятна или изотерму), чтобы отметить точку или область в центре полученного изображения;
г) используют термометр для измерения температуры в точке (области), определенной на этапе в). Регистрируют полученное значение температуры;
д) не перемещая тепловизор, регулируют значение коэффициента излучения до тех пор, пока показываемая температура не будет равной значению, полученному на этапе г). Искомая настройка будет соответствовать коэффициенту излучения поверхности обследуемого объекта при данной температуре;
е) с целью повышения точности повторяют этапы от б) до д) не менее трех раз, после чего усредняют полученные значения

;
ж) вводят полученное усредненное значение

в тепловизор для последующей коррекции результатов измерений температуры поверхности обследуемого объекта.
В.2.2 Метод 2: применение материалов с известной излучательной способностью (
пункт A.2.3 ГОСТ Р ИСО 18434-1-2013):
а) устанавливают тепловизор на расстоянии от объекта, при котором будет проводиться обследование. Наводят тепловизор на обследуемый объект и осуществляют фокусировку изображения;
б) наносят эталонный материал (изоленту, матовый графитовый спрей) с известной излучательной способностью на поверхность обследуемого объекта. Поверхность эталонного материала должна быть сухой, чистой, матовой и иметь хороший контакт с поверхностью объекта;
в) вводят в тепловизор известное значение коэффициента излучения эталонного материала;
г) наводят тепловизор на эталонный материал, осуществляют фокусировку изображения, выдерживают достаточное время для стабилизации температуры, фиксируют полученное изображение и регистрируют показание температуры;
д) наводят тепловизор на область поверхности обследуемого объекта рядом с образцовым материалом или удаляют образцовый материал и наводят на то место, где он был ранее. Осуществляют фокусировку изображения и выдерживают достаточное время для стабилизации температуры;
е) используя зафиксированное изображение, изменяют значение коэффициента излучения до тех пор, пока показываемая температура не будет равной значению, полученному на этапе г). Искомая настройка будет соответствовать коэффициенту излучения

поверхности обследуемого объекта при данной температуре;
ж) с целью повышения точности повторяют этапы от
б) до
е) не менее трех раз, после чего усредняют полученные значения

;
з) вводят полученное усредненное значение

в тепловизор для последующей коррекции результатов измерений температуры поверхности обследуемого объекта.
В.3 Характерная излучательная способность
Можно использовать таблицу средних коэффициентов излучения
(таблица В.1) для неокрашенных материалов. Однако следует иметь в виду, что фактическая излучательная способность материала зависит от многих факторов (отраженная температура; угол визирования; геометрия поверхности; состояние поверхности (полированная, окисленная, шероховатая, отпескоструенная), спектральный диапазон измерения) и поэтому для проведения точных, а не сравнительных измерений фактический коэффициент излучения следует определять согласно рекомендациям
ГОСТ Р ИСО 18434-1-2013 и
пункта Б.2 настоящего методического документа.
Таблица В.1
Таблица коэффициентов излучения металлов в длинноволновом
диапазоне инфракрасного излучения (8 - 14 мкм)
Наименование материала | Коэффициент излучательной способности |
Алюминий: | |
неокисленный | 0,02 - 0,1 |
полированный | 0,02 - 0,1 |
шероховатый | 0,1 - 0,3 |
окисленный | 0,2 - 0,4 |
Латунь: | |
полированная | 0,01 - 0,05 |
шероховатая | 0,3 |
окисленная | 0,5 |
Медь: | |
полированная | 0,03 |
шероховатая | 0,05 - 0,1 |
окисленная | 0,4 - 0,8 |
Железо: | |
неокисленное | 0,05 - 0,2 |
ржавое | 0,5 - 0,7 |
окисленное | 0,5 - 0,9 |
кованое, грубое | 0,9 |
Чугун литой: | |
неокисленный | 0,2 |
окисленный | 0,6 - 0,95 |
Свинец: | |
шлифованный | 0,05 - 0,2 |
шероховатый | 0,4 |
окисленный | 0,2 - 0,6 |
Сталь: | |
полированная (лист) | 0,1 |
нержавеющая | 0,1 - 0,8 |
толстолистовая | 0,4 - 0,6 |
холоднокатаная | 0,7 - 0,9 |
окисленная | 0,7 - 0,9 |
Цинк: | |
полированный | 0,02 |
окисленный | 0,1 |
ПРОЦЕДУРА ТЕСТИРОВАНИЯ ТЕПЛОВИЗОРА НА ЧУВСТВИТЕЛЬНОСТЬ NETD
Процедура тестирования включает следующие действия.
1 В изолированном от внешних воздействий объеме выполнить запись не менее 256 термоизображений.
2 Вычислить средние значения температур для каждого пикселя каждого из 256 кадров.
3 Последовательно вычислить среднеквадратические значения распределения средних температур пикселей для частей изображения, составляющих 100%, 80%, 50% и 25% от размера матрицы детекторов.
4 Область с наименьшим значением среднеквадратического отклонения будет предпочтительной для проведения полевых измерений.
ОПРЕДЕЛЕНИЕ СКОРОСТИ ВЕТРА ПО ШКАЛЕ БОФОРТА
Таблица Д.1
Определение скорости ветра по шкале Бофорта
Баллы Бофорта | Словесное определение силы ветра | Средняя скорость ветра | Действие ветра на суше |
м/с | км/ч |
0 | Штиль | 0 - 0,2 | < 2 | Безветрие. Дым поднимается вертикально, листья деревьев неподвижны |
1 | Тихий | 0,3 - 1,5 | 2 - 5 | Направление ветра заметно по относу дыма, но не по флюгеру |
2 | Легкий | 1,6 - 3,3 | 6 - 11 | Движение ветра ощущается лицом, шелестят листья, приводится в движение флюгер |
3 | Слабый | 3,4 - 5,4 | 12 - 19 | Листья и тонкие ветви деревьев все время колышутся, ветер развевает легкие флаги |
4 | Умеренный | 5,5 - 7,9 | 23 - 28 | Ветер поднимает пыль и мусор, приводит в движение тонкие ветви деревьев |
5 | Свежий | 8,0 - 10,7 | 29 - 38 | Качаются тонкие стволы деревьев, движение ветра ощущается рукой |
6 | Сильный | 10,8 - 13,8 | 39 - 49 | Качаются толстые сучья деревьев, гудят телеграфные провода |
ПРИМЕРЫ ИСПОЛЬЗОВАНИЯ МЕТОДА ИНФРАКРАСНОЙ ТЕРМОГРАФИИ
ДЛЯ ДИАГНОСТИКИ УСТАЛОСТНЫХ ТРЕЩИН В МЕТАЛЛИЧЕСКИХ
ПРОЛЕТНЫХ СТРОЕНИЯХ АВТОДОРОЖНЫХ МОСТОВ
Е.1 Сталежелезобетонное пролетное строение
Мост введен в эксплуатацию в 1986 г., интенсивность движения составляет 24104 авт./сут. Пролетные строения моста - разрезные балочные сталежелезобетонные, выполнены по схеме 42,3 x 63 x 42,3 м применительно к типовому проекту 3.503-50, инв. N 1180/3. Поперечное сечение пролетного строения представлено на
рисунке Е.1. Железобетонная плита проезжей части имеет наращенные консоли.
Рисунок Е.1 - Поперечное сечение сталежелезобетонного
пролетного строения (размеры даны в миллиметрах)
Через 32 года эксплуатации на конструкции были зафиксированы усталостные трещины в сварных швах прикрепления стенки главной балки к верхнему горизонтальному листу и в стенках балок по концам верхних сварных швов
(рисунок Е.2).
а - схема; б - общий вид
(размеры даны в миллиметрах)
Рисунок Е.2 - Усталостные трещины в сварных швах
Из-за резкого увеличения интенсивности движения за последующие четыре года произошло интенсивное развитие имевшихся трещин и появление новых. Динамика развития неисправностей приведена в
таблице Е.1.
Таблица Е.1
Усталостные трещины в сталежелезобетонном пролетном строении
после 32 и 36 лет эксплуатации
Усталостные трещины |
после 32 лет эксплуатации | после 36 лет эксплуатации |
1 | 2 |
| |
ПС1, балка Б1 на опоре N 1, опорное ребро жесткости, длина 200 мм | Балка Б1 на опоре N 1, опорное ребро жесткости, длина 285 мм |
| |
ПС1, балка Б2 на опоре N 1, опорное ребро жесткости (РЖ1), трещина в стенке балки по концу верхнего сварного шва | ПС1, балка Б2 на опоре N 1, опорное ребро жесткости, трещина в стенке балки по концу верхнего сварного шва и новая трещина, отделяющая верхний пояс стальной балки от стенки |
| |
ПС1, балка Б1, ребро жесткости N 16, трещина в стенке балки по концу верхнего сварного шва | ПС1, балка Б1, ребро жесткости N 16, трещина в стенке балки по концу верхнего сварного шва и новая трещина, отделяющая верхний пояс стальной балки от стенки |
Отсутствовала | |
ПС2, балка Б2, ребро жесткости N 20, трещина в металле сварного шва |
Отсутствовала | |
ПС2, балка Б2, ребро жесткости N 20, трещина по сварному шву прикрепления ребра жесткости к верхнему поясу балки |
Отсутствовала | |
ПС2, балка Б1, ребро жесткости N 24, трещина в металле сварного шва |
Отсутствовала | |
ПС3, балка Б2, ребро жесткости N 12, трещина, отделяющая верхний пояс стальной балки от стенки |
Диагностирование усталостных трещин выполнялось с помощью инфракрасной камеры с неохлаждаемым микроболометром Fluke Ti400, имеющей тепловую чувствительность NETD менее 0,05 °C, размер матрицы 320 x 240, объектив 24° x 17° и частоту съемки 9 Гц. В момент съемки с помощью тензосистемы Тензор-МС фиксировались значения нормальных напряжений. Съемка проводилась с расстояния около 20 см. Изображение оборудования представлено на
рисунке Е.3.
а - схема; б - общий вид; Д1 - датчик деформаций;
Lc - дальность съемки
(размеры даны в миллиметрах)
Рисунок Е.3 - Расположение измерительного оборудования
Инфракрасная съемка проводилась в момент прохождения автомобильной нагрузки по мосту. По результатам съемки был получен пакет термограмм, который в последующем был обработан специально разработанным алгоритмом. Результаты обработки представлены на
рисунках Е.4 и
Е.5.
а - исходная термограмма; б - обработанная термограмма;
в - общий вид трещины
Рисунок Е.4 - Результаты инфракрасной съемки трещины типа 1б
а - исходная термограмма; б - обработанная термограмма;
в - общий вид трещины
Рисунок Е.5 - Результаты инфракрасной съемки трещины типа 1а
Как следует из этих рисунков, наилучшим образом разогрев зафиксирован на трещине, отделяющей верхний пояс стальной балки от стенки (см.
рисунок Е.4 б). Значительно меньшая интенсивность диссипации энергии отмечена в вершине трещины в стенке балки по концу верхнего сварного шва (см.
рисунок Е.5 б), это указывает на то, что трещина, показанная на
рисунке Е.4 в, продолжает интенсивно развиваться, и это подтверждается значительным (более 30%) увеличением ее длины за четыре года эксплуатации. Эта трещина привела к снятию поперечных и изгибных воздействий с трещины по концу верхнего сварного шва, и поэтому последняя развития не получила.
Е.2 Подвесное пролетное строение вантового моста
Вантовый мост введен в эксплуатацию в 2000 г. Средняя суточная интенсивность движения по мосту составляет 12712 авт./сут. Поперечное сечение балки жесткости подвесного пролетного строения показано на
рисунке Е.6.
Рисунок Е.6 - Поперечное сечение балки жесткости подвесного
пролетного строения вантового моста и области образования
усталостных трещин
(размеры даны в миллиметрах)
Через 20 лет эксплуатации в балке жесткости пролетного строения были обнаружены множественные трещины (более 40 шт.) по сварному шву прикрепления нижнего поперечного ребра жесткости к листу настила. По степени развития такие трещины разделены на два типа - трещины, которые не имеют выхода в нижний лист настила коробчатого сечения и имеют длину от 5 до 25 мм (тип 1,
рисунок Е.7), и трещины, длина которых варьируется от 25 до 40 мм и которые выходят в нижний лист коробчатого сечения (тип 2,
рисунок Е.8).
а - схема трещины; б, в - общий вид
Рисунок Е.7 - Изображение трещины типа 1,
не имеющей выхода в нижний лист сечения
а - схема трещины; б, в - общий вид
Рисунок Е.8 - Изображение трещины типа 2,
имеющей выходы в стенку и нижний лист сечения
Через год такие же трещины (около 30 шт.) были обнаружены при детальном осмотре балочного (неподвесного) пролетного строения.
Осмотром, проведенным через год после первого обнаружения трещин, было установлено, что некоторые из них получили развитие. Так, например, длина одной из трещин увеличилась в 2,2 раза
(рисунок Е.9).
Рисунок Е.9 - Изображение растущей трещины
Увеличению длины трещины способствует накопление повреждений за каждый цикл приложения нагрузки, при этом, согласно теоретическим выкладкам и экспериментальным работам, накопление повреждений сопровождается выделением энергии, что приводит к саморазогреву материала конструкции.
Для регистрации явления саморазогрева и последующего установления предрасположенности трещины к развитию была выполнена инфракрасная съемка камерой Fluke Ti400, имеющей тепловую чувствительность менее 0,05 °C и частоту съемки 9 Гц. Съемка проводилась с расстояния от 20 до 25 см. Расположение измерительного оборудования представлено на
рисунке Е.10.
а - схема; б - общий вид
(размеры даны в миллиметрах)
Рисунок Е.10 - Расположение съемочного оборудования
Съемка осуществлялась в момент прохождения автомобильной нагрузки по мосту. В качестве объектов исследования были выбраны несколько трещин типа 1 и несколько трещин типа 2. Особое внимание заслуживали трещины типа 1, поскольку по наличию саморазогрева металла
(рисунок Е.11) можно судить о дальнейшем их развитии.
а, в - исходные термограммы; б, г - обработанные изображения
(видны обе трещины)
Рисунок Е.11 - Результаты съемки трещин типа 1
При выполнении работ по диагностике усталостных трещин методом инфракрасной термографии были также зафиксированы случаи, когда "тепловое пятно" в области вершины трещины отсутствовало
(рисунок Е.12), это указывает на то, что на момент наблюдения трещина не развивалась. Это подтверждается визуальной оценкой - спустя семь месяцев трещина не перешла отметку, оставленную по ее вершине в октябре 2020 г.
Рисунок Е.12 - Результаты инфракрасной съемки усталостной
трещины (а, б, в) в сварном шве, вышедшей в нижний лист
Аналогичный результат (отсутствие саморазогрева) можно увидеть при обработке записей, полученных при инфракрасной съемке бездефектных сварных узлов ортотропной плиты проезжей части
(рисунок Е.13).
Рисунок Е.13 - Результаты инфракрасной съемки сварного узла
(а, б, в) ортотропной плиты проезжей части
Е.3 Неразрезное металлическое пролетное строение с ортотропной плитой проезжей части и подпругами
Мост введен в эксплуатацию в 1995 г. Интенсивность движения на мосту составляет 13626 авт./сут. Пролетное строение моста - металлическое балочное неразрезное, выполнено по схеме 84,7 + 136,5 + 168 + 136,5 + 84,7 м. Поперечное сечение пролетного строения состоит из двух несущих коробок с ортотропной плитой проезжей части
(рисунок Е.14).
1 - главная балка; 2 - оторванное ребро;
Д1 - Д4 - датчики деформаций
(размеры даны в миллиметрах)
Рисунок Е.14 - Схема расположения датчиков
на ортотропной плите проезжей части
Первая усталостная трещина в сварном шве прикрепления продольного ребра к листу настила ортотропной плиты проезжей части с выходом в ребро была обнаружена через 26 лет эксплуатации. Еще через 10 лет была зафиксирована вторая аналогичная трещина (
рисунки Е.15 и
Е.16).
Рисунок Е.15 - Схематическое изображение усталостной
трещины, расположенной в продольном ребре
(размеры даны в миллиметрах)
Рисунок Е.16 - Трещины по сварному шву прикрепления
продольного листа к листу настила и продольному ребру,
пролет N 4, панель N 8, ребро N 2 от Б1
Следует отметить, что эти трещины идентичны трещинам, отмеченным на подвесном пролетном строении (см.
подраздел Е.2) - начинаются по сварному шву между стрингером и листом настила и затем раздваиваются, уходя под 45° в ребро жесткости (стрингер) и под 90° - в лист настила. Причем длина трещин в листе настила не превышает 20 мм.
Испытания проводили под проходящей нагрузкой с расстояний не более 0,2 м. Для контроля напряжений и последующей синхронизации данных измерений на ребра жесткости и лист настила устанавливали тензодатчики с базой 50 мм измерительной системы Тензор-МС
(рисунок Е.17).
а - схема; б - общий вид
(размеры даны в миллиметрах)
Рисунок Е.17 - Размещение измерительного оборудования
По итогам испытания были записаны тензограммы изменения напряжений, нормированные значения которых представлены на
рисунке Е.18.

- изменение температуры;

- изменение напряжений
Рисунок Е.18 - Графики изменения напряжений в продольных
ребрах ортотропной плиты (а, б) под проходящим седельным
тягачом, совмещенные с изменениями температуры (изменения
температуры приняты с обратным знаком)
На
рисунках Е.18 а, б изображены сигналы: температурный и изменения напряжений. На графиках приведены нормализованные значения обоих сигналов, нормализация выполнена типа "макс-мин", в этом случае самому минимальному значению сигнала соответствует 0, а максимальному - 1. Все значения температурного сигнала умножены на -1. Графики на
рисунках Е.18 а, б получены в продольном ребре жесткости при прохождении различных транспортных средств и показывают синхронное изменение напряжений и температуры.
С помощью инфракрасной камеры были исследованы усталостные трещины, выходящие в лист настила и в продольное ребро
(рисунок Е.19).
а - обработанная термограмма; б - общий вид
Рисунок Е.19 - Усталостная трещина в листе настила
Как следует из
рисунка Е.19, вершина усталостной трещины в листе настила также уверенно фиксируется, хотя разогрев здесь значительно меньше, чем в ребре.
Е.4 Пролетное строение комбинированной системы "арка-ферма-балка"
Мост был сдан в эксплуатацию в 2004 г. Интенсивность движения по мосту составляет 4300 авт./сут. Пролетное строение моста состоит из балочной неразрезной и комбинированной частей. Комбинированная система типа "арка-ферма-балка" имеет схему 136,5 + 231 + 136,5 м.
Конструкция балочной части комбинированного пролетного строения состоит из четырех главных балок с ортотропной плитой проезжей части. Поперечное сечение пролетного строения представлено на
рисунке Е.20.
Рисунок Е.20 - Поперечное сечение балочной части
комбинированного пролетного строения
(размеры даны в миллиметрах)
При выполнении работ по обследованию моста через 21 год эксплуатации визуальным осмотром и капиллярным методом было выявлено большое количество усталостных трещин в сварных швах прикрепления вертикальных ребер жесткости к верхнему листу главных балок Б2 и Б3. Местоположение и вид трещин показаны на
рисунке Е.21.
а - расположение трещины; б - общий вид
Рисунок Е.21 - Характерная усталостная трещина в сварном шве
прикрепления ребра жесткости к верхнему листу главной балки
Контроль выявленных усталостных трещин был выполнен методом инфракрасной термографии с помощью инфракрасной камеры Fluke Ti400. Для этого камера устанавливалась на расстоянии 20 - 25 см от снимаемой поверхности. Размещение оборудования показано на
рисунке Е.22. Поскольку при проведении капиллярного исследования поверхность металла была зачищена от краски, то для проведения теплового контроля зона трещины была покрыта слоем графитового спрея.
а - схема размещения; б - общий вид
(размеры даны в миллиметрах)
Рисунок Е.22 - Размещение измерительного оборудования
По результатам инфракрасной съемки был получен пакет термограмм, который далее был обработан по алгоритму, описанному в настоящем методическом документе
(рисунок Е.23).
а - исходная термограмма; б - обработанное изображение
Рисунок Е.23 - Результаты инфракрасной съемки
Тепловизионный контроль показал, что капиллярным способом, визуальным осмотром, а также ультразвуковой диагностикой были выявлены не все возможные трещины. На
рисунке Е.24 изображен узел конструкции, не имеющий видимых усталостных повреждений.
Рисунок Е.24 - Сварной шов (а, б) без видимых
усталостных повреждений
На
рисунке Е.25 показан результат обработки пакета термограмм носка сварного шва без видимых трещин. Из этого рисунка видно, что при проходе автомобильной нагрузки в сварном шве наблюдается интенсивный саморазогрев металла, что свидетельствует о протекающем скрытом процессе развития микроповреждений. При этом очертания зоны саморазогрева выглядят более размытыми, чем при наличии видимой трещины (см.
рисунок Е.23).
Рисунок Е.25 - Обработанное инфракрасное изображение
внешне бездефектного носка сварного шва
ЭКСПЕРИМЕНТАЛЬНЫЕ ИССЛЕДОВАНИЯ РАЗВИТИЯ УСТАЛОСТНЫХ ТРЕЩИН
МЕТОДОМ ИНФРАКРАСНОЙ ТЕРМОГРАФИИ
Экспериментальные исследования применения метода инфракрасной термографии для диагностики появления и роста усталостных трещин были выполнены на испытательной установке
[1], показанной на
рисунке Ж.1. Образцы для испытаний представляли собой консольно закрепленный металлический лист размерами 900 x 360 x 12 мм, к которому с двух сторон приварены ребра жесткости размерами 300 x 120 x 10 мм. Сварные швы выполнены полуавтоматической сваркой. Катет сварного шва равен 8 мм. Образцы выполнены из мостовой конструкционной стали 15ХСНД обычного исполнения и для повышения излучательной способности покрыты матовым графитовым спреем.
а - схема; б - общий вид
Рисунок Ж.1 - Испытательный стенд для испытаний
сварных листовых образцов на многоцикловое нагружение
Нагружение образцов выполнялось с помощью вынуждающей силы, создаваемой вибродвигателем, который подключался к частотному преобразователю силы тока. Параметры цикла нагружения были подобраны в соответствии с реальным характером работы пролетных строений под обращающейся нагрузкой.
Исследование процессов диссипации энергии при механическом деформировании образца было выполнено с помощью инфракрасных неохлаждаемых тепловизоров InfraTec VarioCam 680 и Fluke Ti400
(рисунок Ж.2). Характеристики тепловизоров приведены в
таблице А.1.
а - тепловизор InfraTec VarioCam 680;
б - тепловизор Fluke Ti400
Рисунок Ж.2 - Расположение тепловизоров при испытаниях
По результатам инфракрасной съемки были получены термограммы с изображением распределения температур при саморазогреве металла в зоне усталостного разрушения. В
таблице Ж.1 представлены сравнительные результаты исследования развития усталостных трещин методами инфракрасной термографии, а также визуального осмотра и капиллярной дефектоскопии.
Таблица Ж.1
Диагностирование усталостной трещины
при циклическом нагружении
Количество циклов | Вид трещин | Термограмма |
1 | 2 | 3 |
2,450 млн | | | |
Визуально - нет | Капиллярная дефектоскопия - нет | Инфракрасная термография (интенсивный разогрев металла по границе сплавления) - да |
2,470 млн | | |
Визуально, капиллярная дефектоскопия - нет | Инфракрасная термография (интенсивный разогрев металла, вершины трещины сформированы) - да |
2,495 млн | |
Визуально - да |
Как следует из данных
таблицы Ж.1, после примерно 2,450 млн циклов ни визуально, ни с помощью капиллярной дефектоскопии трещина не была обнаружена. Однако с помощью инфракрасной термографии по границе сплавления был зафиксирован саморазогрев, что указывало на наличие повреждений. Очевидно, что в этот момент трещина либо еще не вышла на поверхность, либо имела волосяное раскрытие.
После 2,470 млн циклов на термограмме ясно проявились вершины развивающейся трещины, по-прежнему не обнаруживаемой на поверхности ни визуально, ни методом капиллярной дефектоскопии.
Визуально обнаружить трещину удалось лишь после 2,90 млн циклов. Таким образом, рассеивание энергии, сопровождающее процесс разрушения структуры металла, показало себя хорошим индикатором наличия в материале усталостных трещин задолго до их визуального обнаружения, обычно используемого при осмотрах сооружений.
В ходе другой группы экспериментов, отличавшихся условиями нагружения, был прослежен процесс формирования усталостных трещин от начала испытаний
(таблица Ж.2). Несмотря на отличающиеся условия нагружения, результат применения инфракрасной термографии оказался таким же - на термограммах усталостные повреждения обнаруживаются задолго до их визуального проявления. Кроме того, практически в самом начале испытаний была обнаружена температурная аномалия в сварном шве, от которой в дальнейшем и пошло движение трещины.
Таблица Ж.2
Развитие усталостной трещины при циклическом нагружении
Вид трещины | Термограмма |
| 1 | 2 |
1 | | |
Количество циклов 168000, визуально и капиллярной диагностикой трещина не выявлена, на термограмме выделена область с повышенными температурами - зона концентрации напряжений из-за внутреннего дефекта сварного шва |
2 | | |
Количество циклов 220000, визуально трещина не выявлена, капиллярная диагностика показывает наличие поверхностной трещины, на термограмме выделена область с повышенными температурами - зона разогрева распространяется по границе сварного шва от точки инициации. Трещина несквозная |
3 | | |
Количество циклов 315000, визуально трещина не выявлена, капиллярная диагностика показывает наличие поверхностной трещины, на термограмме выделена область с повышенными температурами - зона разогрева распространяется по границе сварного шва. Граница нагретой области выделена резко, что указывает на возрастание процесса разогрева из-за увеличения напряжений (уменьшение сечения в зоне трещины вызывает увеличение напряжений). Трещина несквозная |
4 | | |
Количество циклов 530000, визуально трещина выявлена, капиллярная диагностика показывает наличие трещины, на термограмме выделена область с повышенными температурами - зона разогрева по границе сварного шва уменьшилась из-за образования сквозной трещины и разгрузки берегов трещины. На участке частичного зацепления берегов трещины сохраняется интенсивный разогрев |
5 | | |
Количество циклов 603000, визуально трещина выявлена, капиллярная диагностика показывает наличие трещины, на термограмме выделена область с повышенными температурами - зона разогрева по границе сварного шва уменьшилась из-за продолжения развития сквозной трещины. На участке частичного зацепления берегов трещины сохраняется интенсивный разогрев. Начало формирования вершины трещины в основном металле |
6 | | |
Количество циклов 770000, визуально трещина выявлена, капиллярная диагностика показывает наличие трещины, на термограмме зона разогрева по границе сварного шва остается стабильной, разогрев распространяется по площади. На участке частичного зацепления берегов трещины сохраняется интенсивный разогрев |
7 | | |
Количество циклов 890000, визуально трещина выявлена, капиллярная диагностика показывает наличие трещины, на термограмме выделена область с повышенными температурами - зона разогрева по границе сварного шва уменьшилась из-за продолжения развития сквозной трещины. На участке частичного зацепления берегов трещины сохраняется интенсивный разогрев |
8 | | |
Количество циклов 1060000, визуально трещина выявлена, капиллярная диагностика показывает наличие трещины, на термограмме выделена область с повышенными температурами - зона разогрева по границе сварного шва уменьшилась из-за продолжения развития сквозной трещины. На участке частичного зацепления берегов трещины сохраняется интенсивный разогрев |
9 | | |
Количество циклов 1200000, визуально трещина выявлена, капиллярная диагностика показывает наличие трещины, на термограмме зона разогрева по границе сварного шва не изменилась. Продолжается разрушение в зоне контакта берегов трещины и ее развитие сквозь лист. На участке частичного зацепления берегов трещины сохраняется интенсивный разогрев |
10 | | |
Количество циклов 1300000, визуально трещина выявлена, капиллярная диагностика показывает наличие трещины, на термограмме выделена область с повышенными температурами - зона разогрева по границе сварного шва уменьшилась из-за продолжения развития сквозной трещины. На участке частичного зацепления берегов трещины сохраняется интенсивный разогрев |
11 | | |
Количество циклов 1400000, визуально трещина выявлена, капиллярная диагностика показывает наличие трещины, на термограмме зона разогрева по границе сварного шва остается стабильной. Увеличения длины трещины не происходит, а разрушаются оставшиеся участки контакта берегов трещины. На участке частичного зацепления берегов трещины сохраняется интенсивный разогрев |
12 | | |
Количество циклов 1570000, визуально трещина выявлена, капиллярная диагностика показывает наличие трещины, на термограмме области с повышенными температурами смещаются к будущим вершинам трещины в основном металле, нагрев в них повышается. Участок остаточного зацепления берегов трещины уменьшился |
13 | | |
Количество циклов 1680000, визуально трещина выявлена, капиллярная диагностика показывает наличие трещины, на термограмме области разогрева сосредоточились в вершинах сквозной трещины. По длине раскрытой трещины разогрев отсутствует |
Таким образом, метод инфракрасной термографии отличает повторяемость результатов, что является важным параметром в метрологическом обеспечении неразрушающих методов контроля.
| Пат. N 2730555 Установка для механических испытаний образцов листовых материалов на усталость при изгибе, 2020 |
|
Ключевые слова: металлические пролетные строения, автодорожные мосты, усталостные трещины, неразрушающий контроль, инфракрасная термография |
Руководитель организации-разработчика
ФГБУ ВПО "Сибирский государственный
университет путей сообщения"
Проректор по научной работе
А.Д.АБРАМОВ