Главная // Актуальные документы // Методическое пособиеСПРАВКА
Источник публикации
М., 2020
Примечание к документу
Текст документа приведен в соответствии с публикацией на сайте https://www.faufcc.ru по состоянию на 24.11.2021.
Название документа
"Методическое пособие. Математическое (численное) моделирование ветровых нагрузок и воздействий"
"Методическое пособие. Математическое (численное) моделирование ветровых нагрузок и воздействий"
МАТЕМАТИЧЕСКОЕ (ЧИСЛЕННОЕ) МОДЕЛИРОВАНИЕ
ВЕТРОВЫХ НАГРУЗОК И ВОЗДЕЙСТВИЙ
Методическое пособие разработано в развитие положений
СП 20.13330.2016 "СНиП 2.01.07-85* Нагрузки и воздействия" в части математического (численного) моделирования ветровой аэродинамики на основе численных схем решения трехмерных уравнений движения жидкости и газа с современными моделями турбулентности, реализованных в верифицированных лицензионных программных комплексах вычислительной гидрогазодинамики.
В пособии представлены теоретические основы математического (численного) моделирования ветровых нагрузок (основной и пиковой) и параметров пешеходной комфортности, а также требования к расчетным моделям, схема (порядок) расчетных исследований и интерпретации их результатов, особенности программной реализации численной методики.
Пособие содержит также примеры математического (численного) моделирования ветровых нагрузок/воздействий и параметров пешеходной комфортности для представительного набора объектов: жилого комплекса, промышленного и энергетического объектов.
Пособие разработано авторским коллективом ЗАО "Научно-исследовательский центр СтаДиО" (руководитель - д-р техн. наук А.М. Белостоцкий, д-р техн. наук П.А. Акимов, канд. техн. наук И.Н. Афанасьева, инж. О.С. Горячевский, инж. И.Ю. Ланцова, инж. Н.А. Бритиков).
Настоящее пособие распространяется на расчет ветровых нагрузок на несущие и ограждающие (фасадные) конструкции зданий, сооружений и комплексов со значимым аэродинамическим взаимным влиянием и на все случаи, не представленные в
разделе В.1 СП 20.13330.2016 (иные очертания, учет при надлежащем обосновании других направлений ветрового потока или составляющих общего сопротивления тела по другим направлениям, необходимость учета влияния близстоящих зданий и сооружений, рельефа местности и т.п.) в соответствии с положениями
ГОСТ 27751. Пособие распространяется на разработку архитектурно-планировочных решений городских кварталов, а также планирование возведения зданий внутри существующих городских кварталов в части оценки параметров "ветровой" комфортности пешеходных зон.
В настоящем методическом пособии приведены ссылки на следующие нормативные документы:
ГОСТ 27751-2014 Надежность строительных конструкций и оснований. Основные положения
ГОСТ Р 56728-2015 Здания и сооружения. Методика определения ветровых нагрузок на ограждающие конструкции
СП 20.13330.2016 "СНиП 2.01.07-85* Нагрузки и воздействия" (с изменениями N 1, N 2, N 3)
СП 43.13330.2012 "СНиП 2.09.03-85 Сооружения промышленных предприятий" (с изменениями N 1, N 2)
Примечание - При пользовании настоящим пособием целесообразно проверить действие ссылочных документов в информационной системе общего пользования - на официальном сайте федерального органа исполнительной власти в сфере стандартизации в сети Интернет или по ежегодному информационному указателю "Национальные стандарты", который опубликован по состоянию на 1 января текущего года, и по выпускам ежемесячного информационного указателя "Национальные стандарты" за текущий год. Если заменен ссылочный документ, на который дана недатированная ссылка, то рекомендуется использовать действующую версию этого документа с учетом всех внесенных в данную версию изменений. Если заменен ссылочный документ, на который дана датированная ссылка, то рекомендуется использовать версию этого документа с указанным выше годом утверждения (принятия). Если после утверждения настоящего пособия в ссылочный документ, на который дана датированная ссылка, внесено изменение, затрагивающее положение, на которое дана ссылка, то это положение рекомендуется применять без учета данного изменения. Если ссылочный документ отменен без замены, то положение, в котором дана ссылка на него, рекомендуется применять в части, не затрагивающей эту ссылку. Сведения о действии сводов правил целесообразно проверить в Федеральном информационном фонде стандартов.
3 Термины, определения, обозначения и единицы измерения
3.1 Термины и определения
В настоящем методическом пособии использованы следующие термины с соответствующими определениями:
3.1.1 геометрическая модель: Объемная модель расчетной области воздуха вокруг исследуемого Объекта.
3.1.2 расчетная модель: Дискретная (как правило, конечнообъемная) модель, содержащая объемную сетку с заданными граничными и начальными условиями, свойствами воздуха и другими необходимыми в конкретной задаче параметрами.
3.1.3 конечнообъемная сетка: Объемная сетка, аппроксимирующая расчетную область воздуха вокруг исследуемого Объекта на основе метода конечных объемов.
3.1.4 метод конечных объемов: Численный метод решения задач сплошных сред, основанный на применении интегральной формулировки законов сохранения.
Примечание - Узлы, в которых ищется решение, как правило, находятся в центрах указанных объемов. Для каждого объема должны выполняться законы сохранения массы, количества движения и энергии.
3.1.5 модель турбулентности: Математическая модель, позволяющая упрощенно моделировать турбулентные потоки, не решая напрямую уравнения Навье-Стокса.
3.1.6 пиковое ветровое давление: Максимальное (минимальное) ветровое давление на ограждающие (фасадные) конструкции с учетом средней и пульсационной составляющей.
3.1.7 огибающие пикового ветрового давления: Максимальные (минимальные) значения пикового ветрового давления среди всех направлений ветра в каждой точке ограждающих (фасадных) конструкций.
3.1.8 математическая модель: Основные закономерности и связи, присущие изучаемому явлению и выраженные в виде формул, уравнений, наборов правил или соглашений, записанных в математической форме.
3.1.9 программное средство; ПС: Программа (код), комплекс программ (программный комплекс, ПК), программно-алгоритмический комплекс, библиотека данных, самостоятельный программный модуль или их совокупность, предназначенные для численного моделирования проявления объектов, физических и других процессов.
3.1.10 верификация ПС: Обоснование возможности применения ПС, а также реализуемых в ПС моделей и методов в заявленной области применения, выявление погрешности оценки параметров моделируемых объектов путем сравнения результатов с экспериментальными данными, расчетными данными, полученными по альтернативным ПС, результатами аналитических тестов, теоретического анализа; определение состава возможностей программы, соответствия фактических возможностей ПС декларациям разработчиков, требованиям организации, проводящей верификацию, правильности решения верификационных задач; оценка качества функционирования ПС и соответствия результатов расчета моделям, которые положены в основу разработки.
3.1.11 пограничный слой: Тонкий слой газа над поверхностью обтекаемого тела, в котором проявляются эффекты вязкости.
3.1.12 физическое время счета: Время, принятое в математической модели исследуемого процесса.
3.1.13 начальные условия: Условия, которым должно удовлетворять решение системы уравнений сплошной среды в начальный момент физического времени (t = 0) во всех точках пространства, занятого сплошной средой.
3.1.14 граничные условия: Условия, которые должны выполняться на границах расчетной модели сплошной среды при ее движении в любой момент времени.
3.1.15 компонента сбора аэродинамической нагрузки: Поверхность интегрирования ветрового давления и кинетической энергии турбулентности для определения суммарных ветровых нагрузок.
3.1.16 стационарный расчет: Аэродинамический расчет в стационарной постановке (решение уравнений аэродинамики в предположении, что характеристики потока ветра не меняются со временем).
3.1.17 нестационарный расчет: Аэродинамический расчет в нестационарной постановке (решение уравнений аэродинамики с учетом изменения характеристик потока ветра во времени).
3.2 Обозначения и единицы измерения
Таблица 3.1
Термин | Обозначение, единица измерения | Определение | Примечание |
Суммарные расчетные ветровые нагрузки | FX, FY, кН | Проекция суммарной ветровой нагрузки на соответствующую горизонтальную ось | Вычисляются интегрированием по поверхностям всего сооружения |
Векторная сумма нагрузки | FR, кН | Суммарная ветровая нагрузка в горизонтальной плоскости | Вычисляется интегрированием по поверхностям всего сооружения |
Суммарная вертикальная сила | FZ, кН | Проекция суммарной ветровой нагрузки на вертикальную ось | Вычисляется интегрированием по поверхностям всего сооружения |
Суммарный расчетный крутящий момент | MZ, кН·м | Суммарный момент от ветровых нагрузок относительно вертикальной оси сооружения, проходящей через геометрический центр | Вычисляется интегрированием по поверхностям всего сооружения |
Средняя составляющая ветрового давления | P, Па (кПа) | Осредненное по времени значение ветрового давления | - |
Пульсационная составляющая ветрового давления | Ppuls, Па (кПа) | Вычисленная пульсационная компонента ветрового давления | Вычисляется по результатам стационарного расчета |
Суммарное ветровое давление | Psum, Па (кПа) | Сумма средней и пульсационной составляющих | - |
Максимальное и минимальное значения ветрового давления | Pmax, Pmin, Па (кПа) | Вычисленные максимум и минимум ветрового давления по времени | - |
Положительная и отрицательная пульсационные составляющие ветрового давления | Ppuls,+, Ppuls,-, Па (кПа) | Разности максимального (минимального) значения и средней составляющей ветрового давления | Вычисляются по результатам нестационарного расчета |
Средняя составляющая погонной ветровой силы | f, кН/м | Собранное на линию среднее ветровое давление | - |
Пульсационная составляющая погонной ветровой силы | fpuls, кН/м | Собранное на линию пульсационное ветровое давление | - |
Суммарная составляющая погонной ветровой силы | fsum, кН/м | Собранное на линию суммарное ветровое давление | - |
Коэффициент "пульсаций" | kpuls | Отношение пульсационной составляющей ветровой нагрузки к ее средней составляющей | - |
Аэродинамический коэффициент | ce | Отношение расчетной средней составляющей ветрового давления к расчетному ветровому напору согласно СП 20.13330 | - |
Среднеквадратичное отклонение (стандарт) ветровых давлений |  , Па | Квадратный корень из суммы квадратов разностей ветрового давления, вычисленного в точке, и среднего ветрового давления | Статистическая величина. Вычисляется по результатам нестационарного расчета |
Коэффициенты обеспеченности |  ,  | Характеристика диапазона разброса давлений | - |
Кинетическая энергия турбулентности | k, TKE, м2/с2 | Средняя кинетическая энергия вихрей в турбулентном потоке | - |
Интенсивность турбулентности | I | Отношение среднеквадратичного отклонения скорости потока ветра к его среднему значению | - |
Скорость диссипации энергии |  , м 2/с 3 | Скорость рассеяния турбулентной кинетической энергии турбулентности | - |
4.1 При определении ветрового нагружения проектируемых зданий, сооружений и комплексов необходимо руководствоваться законом [
1,
статья 16],
разделом 11 СП 20.13330.2016 и
подразделом 6.6 СП 296.1325800.2017.
| | ИС МЕГАНОРМ: примечание. В официальном тексте документа, видимо, допущена опечатка: пункт В.1 в данном документе отсутствует. Возможно, имеется в виду пункт В.1 СП 20.13330.2016. | |
| | ИС МЕГАНОРМ: примечание. В официальном тексте документа, видимо, допущена опечатка: пункт 4.7 в данном документе отсутствует. Возможно, имеется в виду пункт 4.7 СП 20.13330.2016. | |
Для сооружений повышенного уровня ответственности, которые указаны в [
2,
статья 48.1, часть 2] или в
примечании 2, а также во всех случаях, не предусмотренных
В.1 (иные формы сооружений, учет при надлежащем обосновании других направлений ветрового потока или составляющих общего сопротивления тела по другим направлениям, необходимость учета влияния близстоящих зданий и сооружений, рельефа местности и аналогичные случаи), аэродинамические коэффициенты устанавливаются в рекомендациях, разработанных с учетом
4.7 на основе результатов:
1) физического (экспериментального) моделирования - испытаний в аэродинамических трубах;
2) математического (численного) моделирования ветровой аэродинамики на основе численных схем решения трехмерных уравнений движения жидкости и газа с адекватными моделями турбулентности, реализованных в современных верифицированных лицензионных программных комплексах вычислительной гидрогазодинамики.
Аэродинамические коэффициенты
cp,+ и
cp,- определяются на основе результатов модельных испытаний сооружений в аэродинамических трубах, численного моделирования или с учетом данных, опубликованных в технической литературе (
пункты 11.1.7,
11.2 СП 20.13330.2016).
Согласно
пункту 13.1.3 СП 267.1325800.2016 в рамках проведения научно-технического сопровождения строительства и эксплуатации высотных зданий и комплексов необходимо выполнение аэродинамический испытаний моделей зданий для определения нагрузок от ветра.
4.2 При определении ветрового нагружения необходимо учитывать
[15]:
- объемно-планировочные, архитектурные и конструктивные решения проектируемых зданий, сооружений и комплексов;
- локальный рельеф местности природного и техногенного характера;
- влияние близкорасположенных зданий и сооружений (окружающую застройку);
- влияние технологического оборудования и трубопроводов (
пункт 8.1.7 СП 43.13330.2012);
- метеорологическую информацию о районе строительства.
4.3 При определении расчетных направлений ветра следует помимо прочих рассмотреть направления ветра, параллельные главным осям здания или сооружения.
4.4 При определении параметров ветровой комфортности пешеходных зон помимо факторов из
пункта 4.2 также необходимо учитывать существующие и планируемые зеленые насаждения, рекламные щиты и малые архитектурные формы.
4.5 При проектировании зданий, сооружений и комплексов необходимо определять:
4.5.1 Ветровые нагрузки на несущие конструкции:
- средняя и пульсационная (амплитуда или полуразмах) составляющие суммарных расчетных ветровых нагрузок на несущие конструкции в осях здания или сооружения
[8],
[9], либо в осях ветра (например,
FX - сила лобового сопротивления,
FY - сила поперек потока ветра, векторная сумма нагрузки
FR и крутящий момент относительно центральной оси здания
MZ для расчетных направлений ветра;
- средняя f, пульсационная (амплитуда или полуразмах, fdyn) составляющие погонной ветровой силы и коэффициент "пульсаций" (kpuls = fpuls/|f|) на перекрытия каждого этажа здания или сооружения для расчетных направлений ветра;
- средняя P, пульсационная (амплитуда или полуразмах, Ppuls) составляющие ветрового давления и коэффициент "пульсаций" (kpuls = Ppuls/|P|) на поверхностях покрытия здания или сооружения для расчетных направлений ветра;
- значения аэродинамического коэффициента c на поверхностях здания или сооружения для расчетных направлений ветра (при необходимости);
- в случаях, когда здание, сооружение или его часть имеет конструктивную схему, для которой принципиально невозможно определение погонных ветровых нагрузок, следует определять среднюю P, пульсационную Ppuls составляющие ветрового давления и коэффициент "пульсаций" на поверхностях исследуемого объекта;
- для башенных сооружений, мачт, труб, решетчатых конструкций и т.п. следует определять среднюю f, пульсационную (амплитуда или полуразмах, fpuls) составляющие погонной ветровой силы и коэффициент "пульсаций" (kpuls = fpuls/|f|) по длине сооружения.
4.5.2 Ветровые нагрузки на ограждающие (фасадные) конструкции:
- огибающие максимального и минимального значений пикового давления на ограждающие (фасадные) конструкции для всех направлений ветра;
- огибающие вычисленных поэтажно максимальных и минимальных значений ветрового давления на ограждающие (фасадные) конструкции; картины верхней огибающей максимальных значений ветрового давления, нижней огибающей минимальных значений ветрового давления и соответствующих углов атаки ветра, при которых реализуются эти огибающие;
- средняя и пульсационная составляющие расчетных величин ветрового давления на ограждающие (фасадные) конструкции для наиболее опасных направлений ветра.
4.5.3 Ветровые воздействия в пешеходных зонах (оценка ветровой комфортности):
- расчетные поля коэффициентов усиления скоростей ветра (относительные скорости ветра в порывах) в пешеходной зоне (на высоте 1,5 м);
- вычисленные уровни ветровой комфортности (повторяемость скорости ветра в порывах) по трем нормативно регламентированным критериям (для г. Москвы
[3]).
4.5.4 Возможность возникновения аэроупругой неустойчивости зданий, сооружений (размеры которых соответствуют условию
h/
d > 7, где
h - высота,
d - поперечный минимальный размер) и их отдельных конструктивных элементов
[12],
[18],
[21]:
- резонансного вихревого возбуждения;
- галопирования и галопирования в спутной струе;
- дивергенции (для зданий с несимметричной формой поперечного сечения типовых этажей, а также в тех случаях, когда центр масс типовых этажей не совпадает с их центром жесткости);
- флаттера (для рекламных щитов, установленных на зданиях и сооружениях, а также для навесных фасадных конструкций).
4.5.5 Уровень комфортности пребывания людей в зданиях (динамическая комфортность) при действии ветровой нагрузки. Согласно
СП 20.13330 при оценке динамической комфортности в качестве расчетной ветровой нагрузки принимается нормативное значение ее пульсационной составляющей, умноженной на коэффициент 0,7: 0,7
fn,puls, 0,7
Pn,puls.
5 Численное моделирование ветровых воздействий на здания, сооружения и комплексы
5.1 Теоретические основы математического (численного) моделирования ветровых нагрузок и воздействий
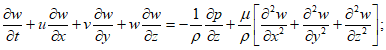
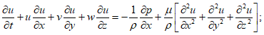
Расчеты ветровых потоков и воздействий сводятся в общем случае к численному решению системы трехмерных нестационарных нелинейных уравнений гидрогазодинамики. В практических задачах определения ветровых нагрузок и воздействия на здания и сооружения с практически обоснованным упрощением ветровые потоки принимаются несжимаемыми

, изотермическими (
T = const), а внешние массовые силы не учитываются
(ГОСТ Р 56728). Тогда нестационарные уравнения гидрогазодинамики примут следующий вид
[4],
[5]:
- уравнения движения (Навье-Стокса)

(5.1)
- уравнения неразрывности и состояния

(5.2)

(5.3)
Здесь u, v, w - искомые компоненты вектора скорости (по осям x, y, z);
p - давление;
t - время;

- динамический коэффициент вязкости для воздуха;

- плотность.
Прямое решение
уравнений (5.1) -
(5.3) с учетом вихрей всех масштабов (DNS, Direct Numerical Simulation) при современных возможностях ЭВМ практически реализуемо только для очень малых скоростей потока и чисто исследовательских задач.
Разработаны и используются следующие подходы к моделированию турбулентности
[6],
[7],
[23],
[27],
[28]:
- Large Eddy Simulation - LES (моделирование крупных вихрей): этот подход является вторым по трудоемкости из существующих после DNS. Идея подхода состоит в "фильтрации" характеристик турбулентного течения от коротковолновых неоднородностей - пространственном осреднении по областям с размерами порядка фильтра. Таким образом, вихревые структуры размерами, превышающими размеры фильтра, решаются "точно", а для вихревых структур меньших размеров используются "подсеточные" модели турбулентности. Одна из наиболее распространенных "подсеточных" моделей турбулентности: модель Смагоринского-Лилли
[33];
- Unsteady Reynolds Averaged Navier-Stokes - RANS/URANS (осредненные по Рейнольдсу уравнения Навье-Стокса): подход основан на разложении скорости на осредненную во времени и пульсационную составляющие

. В результате соответствующих преобразований уравнений Навье-Стокса появляются дополнительные неизвестные (сдвиговые "рейнольдсовы" напряжения). Система получается незамкнутой и для единственности решения требуются дополнительные соглашения - модели турбулентности (см. далее);
- Detached Eddy Simulation - DES (метод моделирования отсоединенных вихрей): этот подход является комбинацией LES и RANS. Он заключается в том, что отсоединенные энергонесущие вихри в отрывных зонах моделируются подходом LES, а области присоединенных пограничных слоев моделируются подходом RANS.
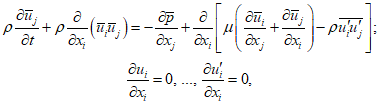
Для решения практических наукоемких инженерных задач в современной расчетной практике преобладает применение подхода RANS/URANS. Система уравнений для подхода RANS:

(5.4)
где

- осредненное по времени давление, индексы
i = 1, 2, 3 и
j = 1, 2, 3 соответствуют координатам
x,
y,
z. Сдвиговые (рейнольдсовы) напряжения

являются дополнительными шестью неизвестными к параметрам осредненного движения

и аппроксимируются, как правило, по гипотезе Буссинеска
[22]

(5.5)
где

- дополнительная вязкость, вызванная пульсациями;

- осредненная энергия турбулентных пульсаций (
TKE);

- символ Кронекера.
Система (5.4) -
(5.5) является незамкнутой и требует дополнительных соглашений (моделей турбулентности).
Решение
уравнений (5.4) может проводиться как в нестационарной, так и в стационарной постановке. Дискретный аналог стационарной задачи решается итерационным методом для редкозаполненной системы линейных алгебраических уравнений, с узловыми давлениями, компонентами скоростей и мерами локальной турбулентности (в частности,
TKE) в качестве неизвестных.
По совокупности своих качеств одной из оптимальных RANS/URANS моделей турбулентности является модель Ментера (Menter Shear Stress Transport Turbulence Model, сокращенно SST модель)
[24]. SST модель представляет собой комбинацию

и

моделей турбулентности, обеспечивающую сочетание лучших качеств этих моделей. Модель

хорошо справляется с расчетом струйных и сдвиговых течений, а модель

обеспечивает более точное описание пристеночных пограничных слоев. В модели SST комбинируются

и

с помощью сконструированной для этого эмпирической функции, которая обеспечивает близость суммарной модели к модели

вдали от твердых стенок и к модели

в пристеночной части потока
[25].
Модель SAS-SST (Scale-Adaptive Simulation SST) - наиболее продвинутая среди URANS моделей. Обычные модели URANS воспроизводят только крупномасштабные возмущения, а модель SAS-SST позволяет точнее определить турбулентный спектр в отсоединенном потоке. Модель SAS-SST основывается на введение линейного масштаба Кармана в уравнение масштаба турбулентности, что позволяет, в отличие от модели SST, воспроизводить мелкомасштабные возмущения в областях потока, деформированных присутствующим в нем телом. В невозмущенных областях потока модель ведет себя так же, как модель SST.
Рекомендуемая приоритетность подходов и моделей турбулентности для аэродинамических исследований такова:
- подход URANS/RANS моделью турбулентности SST или SAS-SST для зданий и сооружений сложных форм и/или их комплексов;
- подход DES для тех же зданий и сооружений при наличии достаточных вычислительных ресурсов;
- подход LES для отдельных конструкций и зданий простых форм при наличии значительных вычислительных ресурсов.
5.2 Требования к расчетной модели
5.2.1 Размеры расчетной области воздуха
Расчетная область формируется, как правило, в форме параллелепипеда или цилиндра.
Для расчетной области воздуха в форме параллелепипеда боковая граница должна быть расположена на расстоянии не менее 5
H от центра застройки (где
H - высота самого высокого здания или сооружения), задняя граница области ("выход", расположена по потоку за моделируемой застройкой) - не менее 10
H, передняя граница области ("вход", расположена по потоку перед моделируемой застройкой) - не менее 5
H [31].
Для расчетной области воздуха в форме цилиндра радиус составляет не менее 10H.
Высота верхней границы области (высота расчетной области) - не менее 5H.
В качестве характеристик набегающего потока (граничные условия на "входе" (INLET)) в стационарной или нестационарной постановках для подходов RANS/URANS или DES используются профили расчетной скорости ветра и характеристик турбулентности
[18] -
[20],
[31] (кинетическая энергия турбулентности и скорость диссипации энергии), соответствующие расчетным значениям нагрузок заданного ветрового района и типа местности по
СП 20.13330, локальным нормативным актам или на основе данных местных метеостанций.
Профиль расчетной скорости ветра рассчитывается по
формуле (5.6). Профили кинетической энергии турбулентности и скорости диссипации энергии задаются по
формулам (5.7) и
(5.8) соответственно:

(5.6)

(5.7)

(5.8)
где

- плотность воздуха;

- коэффициент надежности по нагрузке;
w0 - нормативное ветровое давление (принимается согласно
СП 20.13330);
k(
z) для различных типов местности принимается по
таблице 11.2 СП 20.13330.2016);
z - высота над уровнем земли;
I(
z) - профиль интенсивности турбулентности, масштаб турбулентности
L(
z) может быть принят постоянным и равным 300 м или задан в виде зависимости
[18],
[32].
Профиль интенсивности турбулентности
I(
z) может быть определен по расчетным значениям пульсационной составляющей ветровой нагрузки согласно
СП 20.13330, данным, представленным в технической литературе
[18],
[20],
[31],
[32] или экспериментальным данным. Для более точного учета эффектов турбулентности следует напрямую моделировать рельеф и окружающую застройку.
В качестве характеристик набегающего потока (граничные условия на "входе" (INLET)) в нестационарной постановке для подхода LES используется динамический профиль ветра, генерируемый на основе спектральной функции плотности для соответствующего ветрового района и типа местности
[18] -
[20].
На "выходе" (OUTLET) используются "мягкие" граничные условия по Нейману (равенство нулю производных) с нулевыми дополнительными давлениями и такими же параметрами турбулентности, как и на "входе".
На верхней и боковых (для расчетной области в форме параллелепипеда) границах расчетной области используются условия симметрии потока.
На нижней границе расчетной области (земле) и на всех поверхностях зданий и сооружений используется условие "стенки с прилипанием" (u = v = w = 0 м/с), исключающее проникновение вещества через поверхность.
На поверхностях исследуемых зданий и сооружений возможно задание эквивалентной шероховатости материала. Крупномасштабную шероховатость (балконы, оконные проемы) необходимо моделировать непосредственно.
На нижней границе расчетной области (земле) возможно использование функций стенки, моделирующих атмосферный пограничный слой. Предпочтительным является непосредственное моделирование рельефа и окружающей застройки.
В качестве начальных условий для нестационарной постановки во всей расчетной области, исключая границу "входа", используются нулевые скорости (u = v = w = 0 м/с), нулевые дополнительные давления и характеристики турбулентности, соответствующие потоку на "входе".
Альтернативным является использование в качестве начальных условий результатов предварительных расчетов в стационарной постановке. Второй способ улучшает сходимость нестационарного решения.
5.2.4 Геометрическая модель
5.2.4.1 Объемная геометрическая модель здания, сооружения или комплекса выполняется согласно исходным данным - архитектурным и конструктивным чертежам. При создании трехмерной геометрической модели объекта детализация выбирается в соответствии с поставленной задачей:
- подробная детализация при создании геометрии здания или сооружения, воспроизведение реальной формы фасадов (балконов, оконных проемов, пожарных отсечек, козырьков и т.п.) необходима для адекватной оценки распределения аэродинамических давлений и их локальных экстремумов;
- в случае определения только интегральных аэродинамических нагрузок на несущие конструкции допускается разумное упрощение геометрических форм здания или сооружения.
5.2.4.2 При моделировании реальной застройки рассматривается близлежащая территория радиусом, достаточным для учета аэродинамического влияния окружающей застройки (для крупных объектов, как правило, от 1 до 3 км). Окружающая застройка моделируется упрощенно согласно исходным данным - чертежам ситуационного плана. При построении геометрической модели застройки учитывается реальное расположение зданий/сооружений относительно целевого объекта, их высота и сечение в плане, а также локальный рельеф местности (перепады высот вблизи целевого объекта).
5.2.4.3 Объемная геометрическая модель представляет собой объем воздуха, как правило, в виде параллелепипеда или цилиндра, из которого "вычтены" объемы, занимаемые целевыми зданиями и сооружениями, окружающей застройки, локальным рельефом местности и др.
5.2.5 Пространственная дискретизация модели
5.2.5.1 В настоящее время наиболее эффективным методом дискретизации континуальной задачи является метод конечных объемов (МКО)
[9], не требующий столь детального моделирования пограничного слоя
[10], как метод конечных элементов (МКЭ), и существенно более универсальный при описании сложных расчетных областей реальных зданий и сооружений, чем метод конечных разностей (МКР).
5.2.5.2 В объемной геометрической модели создается комбинированная конечнообъемная сетка: неструктурированная сетка из тетраэдров, призм и пирамид в геометрически "сложных" областях и структурированная сетка из гексаэдров в геометрически "простых" областях (
рисунки 5.1 -
5.2).
а - гексаэдр; б - пирамида; в - призма; г - тетраэдр
Рисунок 5.1 - Конечные объемы
а - неструктурированная из тетраэдров и призм;
б - структурированная из гексаэдров
Рисунок 5.2 - Примеры конечнообъемных сеток
Рекомендуемые размеры конечнообъемных сеток для проведения основных аэродинамических расчетных исследований следующие:
- у поверхности целевого объекта и приземном воздушном слое (~ 4 м от земли) - 0,25 - 1 м;
- в ближней зоне целевого объекта (в радиусе 0,3 - 0,5 км) у поверхностей соседних зданий и сооружений и приземном воздушном слое достигают - 1,5 - 3 м;
- на достаточном удалении от целевого объекта размеры у поверхностей зданий/сооружений окружающей застройки - 6 - 10 м, а в приземном слое - 4 - 6 м.
5.2.5.3 Для корректного учета аэродинамических процессов, происходящих в пограничном слое поверхностей целевого объекта, рекомендуется дискретизация пограничного слоя рядом тонких (в нормальном к поверхности направлении) объемов
(рисунок 5.2). В нестационарном расчете (см.
5.3.1) детальная дискретизация пограничного слоя рядом тонких объемов обязательна.
Параметры дискретизации пограничного слоя зависят от скорости потока ветра, размеров и формы целевого объекта.
Рекомендуется дискретизировать пограничный слой в нормальном к поверхностям направлении не менее, чем 10 объемами. Размер элементов в нормальном к поверхностям направлении (толщина) рекомендуется не менее 10 см. Размер элементов в других направлениях должен быть не больше, чем 20 толщин.
5.2.5.4 Для учета влияния окружающей застройки, технологического оборудования, трубопроводов, лестниц и т.п. допускается использование технологии их моделирования методом погруженных границ
[25],
[26], обеспечивающим также обоснованную экономию вычислительных ресурсов.
Технология применения метода погруженных границ заключается в следующем: создаются отдельные конечнообъемные модели твердотельных объектов, которые "погружаются" в основную расчетную сетку.
5.2.5.5 Перед проведением цикла основных аэродинамических расчетов здания или сооружения с учетом окружающей застройки и локального рельефа местности необходимо проводить серию верификационных и валидационных расчетных исследований (проверка сеточной сходимости) без учета застройки и рельефа с целью выбора оптимальных параметров расчетной конечнообъемной сетки непосредственно у поверхности и вблизи исследуемого объекта
[11]. Рекомендуемая начальная величина поверхностной сетки на целевом объекте не должна превышать характерные размеры фасадных конструкций (~ 1 м). Серия валидационных расчетов завершается по достижении сеточной сходимости результатов.
5.2.6 Параметры численных расчетов
Физическое время счета при численном решении нестационарных задач должно быть достаточным для корректного определения максимального, минимального и среднего ветровых давлений, а также частот пульсаций. Физическое время счета должно быть достаточным, чтобы средняя составляющая и стандарт (дисперсия) давлений на поверхностях целевого объекта не изменялись при его дальнейшем увеличении.
Шаг по времени выбирается таким образом, чтобы число Куранта C0 удовлетворяло соотношению

(5.9)
где

- минимальный линейный размер конечного объема сетки по потоку;
Vmax - максимальная скорость потока.
Применяются схема адвекции высокого разрешения и неявная схема интегрирования по времени второго порядка
[34],
[35].
Критерии сходимости и окончания счета:
- для стационарной постановки - достижение заданного уровня максимальных невязок 10-3 - 10-5 и асимптотическое поведение зависимостей аэродинамических сил от номера шага (условного времени);
- для нестационарной постановки - выход на устойчивый режим течения, который отслеживается по временным зависимостям (периодическим) аэродинамических сил и достижение заданного уровня максимальных невязок 10-3 - 10-5. При этом максимальное количество итераций на шаге принимается равным 5 - 10.
5.3 Расчетная оценка средней и пульсационной составляющей ветровых нагрузок
5.3.1 Нестационарный аэродинамический расчет
В результате расчетов аэродинамики в нестационарной постановке непосредственно определяются значения ветровых давлений и кинетической энергии турбулентности на поверхности зданий и сооружений для всех временных шагов решения.
При анализе результатов нестационарного расчета необходимо "отбросить" из анализа результаты начального периода физического времени (поток воздуха должен минимум один раз пройти всю расчетную область), т.к. эти результаты подвержены значительным вычислительным погрешностям.
Значения максимального Pmax, минимального Pmin и среднего ветрового P давления в каждой точке поверхности объекта определяются по следующим формулам:

(5.10)
где pi - давление на i-ом временном шаге;
n - количество временных шагов;
m - шаг, с которого начинается обработка результатов.
Пульсационные составляющие ветровой нагрузки определяются по следующим формулам:
Ppuls,+ = Pmax - P; Ppuls,- = Pmin - P. (5.11)
Для уточнения результатов стационарных расчетов необходимо также вычислить

- среднеквадратическое отклонение (стандарт) давлений по следующей формуле

(5.12)
Основной характеристикой диапазона разброса давлений на поверхности зданий и сооружений служат коэффициенты обеспеченности. Их величины определяются по результатам нестационарных расчетов по соотношениям
[13]:

(5.13)
где
Pmax,
Pmin,
P - вычисленные значения минимумов, максимумов и среднего давлений в точке поверхности
(формулы (5.10));
Суммарные нагрузки на поверхности (компоненты сбора аэродинамических нагрузок) по результатам нестационарных расчетов определяются с помощью численного интегрирования по соответствующим поверхностям для всех рассчитанных моментов времени.
Спектральные характеристики ветровых нагрузок определяются с помощью дискретных преобразований Фурье над временным рядом ветровых нагрузок.
5.3.2 Стационарный аэродинамический расчет
Ввиду высокой ресурсоемкости вариантных нестационарных расчетов и для минимизации их объема может применяться инженерная методика оценки максимальных и минимальных значений ветрового давления (
Pmax и
Pmin) по результатам стационарных расчетов с учетом энергии турбулентных пульсаций
TKE и осредненных коэффициентов обеспеченности

и

.
При этом необходимо предварительно сопоставить величины
P и
TKE в стационарном и нестационарном расчетах. Для реальных конструкций, как правило, средние давления отличаются в стационарном и нестационарном расчетах незначительно. Кинетическая энергия турбулентности в стационарных расчетах нередко занижается, что можно компенсировать соответствующим увеличением коэффициентов обеспеченности
[13],
[17].
Основные расчетные соотношения методики, основанные на гипотезе об изотропности турбулентности и статистических зависимостях
[11],
[29]:

(5.14)
где

- среднеквадратичное отклонение (стандарт) давлений
P;
I - интенсивность турбулентности (стандарт пульсаций скорости);

- коэффициент корреляции давлений на поверхностях
[16] (для предварительных оценок допускается применять значение по
СП 20.13330).
Для предварительных расчетов допускается принять

и
[29]. Уточнение коэффициентов обеспеченности выполняется по результатам нестационарных расчетов
(формулы (5.13)).
Суммарные нагрузки на поверхности (компоненты сбора аэродинамических нагрузок) по результатам расчетов определяются с помощью численного интегрирования по соответствующим поверхностям.
5.4 Расчетная оценка пиковых ветровых давлений на ограждающие конструкции
В отличие от определения расчетных аэродинамических нагрузок, для которых, как правило, вполне достаточно ограничиться 4 - 8 направлениями ветра, для расчета локальных минимумов и максимумов (пиковых давлений на ограждающие конструкции) необходимо проводить расчет для репрезентативного набора направлений ветра, поскольку априори неизвестно, при каком из них реализуются экстремальные значения давлений.
Для оценки пиковых значений давления необходимо по одной из методик
5.3 необходимо определять максимальные и минимальные расчетные давления (
Pmax и
Pmin) в каждой точке поверхности здания для всех направлений ветра.
Для построения картин распределения пиковых ветровых давлений на поверхностях здания следует в каждой точке выбирать максимальное
Pmax и минимальное
Pmin значения среди всех расчетных направлений ветра
[17]. Полученные картины пиковых ветровых давлений называют верхней огибающей максимальных ветровых давлений и нижней огибающей минимальных ветровых давлений.
Дополнительной информацией о значениях пиковых ветровых давлений служат картины распределения углов направлений ветра, при которых реализуются максимальные значения Pmax и минимальное значения Pmin среди всех расчетных направлений ветра.
Изложенная выше методика предполагает, что конструктивные элементы ограждения и узлы их крепления к зданию или сооружению достаточно жесткие и в них не возникают заметные динамические усилия и перемещения. В случае, если собственные частоты системы "элементы ограждения - их несущие конструкции - элементы их крепления" менее предельных значений, определяемых в соответствии с
пунктом 11.1.10 СП 20.13330.2016, расчетные значения пиковой ветровой нагрузки должны быть уточнены на основе аэроупругих расчетов.
5.5 Расчетная оценка пешеходной комфортности
Для оценки пешеходной комфортности требуются данные метеонаблюдений: роза ветров и повторяемость распределения скоростей ветра на территории строительства. Из аэродинамических расчетов определяется максимальные скорости
Vmax (с учетом пульсаций) в точках рассматриваемой зоны на расчетной высоте 1,5 м для расчетных направлений ветра
[14]. В результате нестационарных расчетов максимальная скорость
Vmax определяется как максимальная по времени. По результатам стационарных расчетов определятся средняя скорость
Vm, а максимальная вычисляется по формуле

(5.15)
где I - интенсивность турбулентности (стандарт пульсаций скорости);

- коэффициент обеспеченности по заданию на расчет (обычно в диапазоне от 1 до 3).
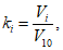
Оценка пешеходной комфортности состоит в вычислении времени наблюдения определенных скоростей ветра и сравнении полученных результатов с критериальными значениями. Оценка проводится с помощью розы ветров, в которой для каждого направления ветра указаны промежутки скоростей и соответствующее количество часов в год наблюдения конкретного промежутка. Чтобы не выполнять большое количество расчетов для каждого направления ветра при разных скоростях, допускается масштабировать расчетную скорость, которая использовалась в расчетах нагрузок на несущие и ограждающие конструкции, до необходимой с помощью следующего коэффициента

(5.16)
где Vi - среднеарифметическое промежутков скоростей в таблице метеоданных на высоте 10 м (розе ветров) для каждого промежутка;
V10 - средняя скорость входного потока на отметке 10 м.
Тогда отмасштабированные для разных интервалов значения максимальной скорости ветра вычисляются по следующей формуле
Vmax,i = ki·Vmax. (5.17)
Далее для каждой точки рассматриваемой зоны вычисляется время дискомфорта
l-го уровня
Kl (
l = 1, 2, 3 согласно
[3]) следующим образом: если расчетная максимальная скорость
Vmax,i превышает критическую скорость
Vcr,l для
l-го уровня комфортности, тогда по данным метеонаблюдений для соответствующего интервала скоростей и направления ветра применяется статистическая длительность скорости ветра, ч, за год. Таким образом в каждой точке для всех направлений ветра вычисляется "время дискомфорта
l-го уровня" (длительность превышения критических скоростей, ч/год)

(5.18)
где

- признак (0 или 1) превышения локальной скоростью ветра в точке
Vmax,i критического значения
Vcr,l для уровня комфорта
l;
Tij - продолжительность (по метеоданным, часов в год) ветрового воздействия направления j и скорости Vmax,i.
Зоны, где Kl > Kcr,l (l = 1, 2, 3) - зоны ветрового "дискомфорта".
5.6 Схема расчетных исследований
Схема расчетных исследований сформирована на основе
подразделов 5.2 -
5.5. Укрупненная схема расчетных исследований ветровых нагрузок и воздействий методами математического (численного) моделирования приведена на
рисунке 5.3 с последующей ее детализацией в перечислениях а) - к):
а) анализ ветровых режимов района строительства, локального рельефа местности площадки строительства, сложившейся и перспективной застройки и конструктивно-архитектурных особенностей исследуемого объекта (см.
пункты 4.2 -
4.4);
б) разработка трехмерных расчетных моделей ветровой аэродинамики исследуемого объекта без учета окружающей застройки и локального рельефа местности (см.
пункты 5.2.2,
5.2.4 -
5.2.6);
в) валидация численной модели на расчетных сетках с разной степенью дискретизации (проверка сеточной сходимости). Выбор основных параметров сетки у поверхностей исследуемого объекта, на границах и внутри расчетной области для проведения основных многовариантных расчетных исследований. При наличии ранее проведенной валидации модели схожего объекта (близкие форма и размеры зданий, незначительная разница в граничных условиях) возможно использование результатов этой валидации для нового объекта (см.
подпункт 5.2.5.5);
г) разработка трехмерных моделей ветровой аэродинамики исследуемого объекта с учетом окружающей застройки и локального рельефа местности (см.
пункты 5.2.4 -
5.2.5);
д) проведение стационарных аэродинамических расчетов двух моделей (с учетом и без учета окружающей застройки и рельефа) для репрезентативных, в аэродинамическом смысле, направлений ветра (как правило, не менее 24 направлений). Между теми направлениями ветра, для которых расчетами выявлены наиболее высокие ветровые нагрузки на объект, с целью повышения точности рекомендуется рассмотрение дополнительных расчетных направлений ветра (см.
пункты 4.3,
5.2.6);
е) по результатам многовариантных аэродинамических расчетов в стационарной постановке определяются:
- ветровые нагрузки на ограждающие (фасадные) конструкции (см.
пункты 4.5.2,
5.4);
- ветровые воздействия в пешеходных зонах (оценка ветровой комфортности) (см.
пункты 4.5.3,
5.5);
- возможность возникновения аэроупругой неустойчивости (типа галопирования, галопирования в спутной струе и дивергенции) зданий, сооружений и их отдельных конструктивных элементов (см.
пункт 4.5.4);
- уровень комфортности пребывания на верхних этажах здания посетителей, сотрудников и обслуживающего персонала при действии ветровой нагрузки (см.
пункт 4.5.5);
ж) в результате анализа полученных результатов многовариантных аэродинамических расчетов в стационарной постановке определяются наиболее опасные направления ветра с точки зрения реализации максимальных суммарных нагрузок на несущие конструкции и максимальных пиковых давлений на ограждающие (фасадные) конструкции; усилений скоростей ветра в пешеходных зонах, не удовлетворяющих критериям пешеходной комфортности; ускорений перекрытий здания/сооружения больше 0,08 м/с
2; а также возможности возникновения аэроупругих колебаний в результате ветрового воздействия
[18] (см.
пункты 4.5.1 -
4.5.5);
к) для выбранных направлений ветра выполняются расчеты в нестационарной постановке. При обнаружении существенных отличий в средних, максимальных или минимальных значениях давлений, выявлении значительных нестационарных эффектов может оказаться необходимым выполнить нестационарные расчеты для дополнительных расчетных направлений ветра (см.
пункты 5.2.3,
5.2.6,
5.3.1);
л) по результатам выполненных аэродинамических расчетов в нестационарной постановке определяются:
- уточненные значения пульсационной составляющей критериальных параметров (расчетных значений давления и скорости ветра, суммарных нагрузок на несущие конструкции), кинетической энергии турбулентности (см.
пункт 5.3.2);
- частотные характеристики ветрового воздействия, спектры пульсаций давления в характерных точках поверхностей объекта (см.
пункт 5.3.2);
- уточненные оценки параметров пешеходной комфортности (см.
подраздел 5.5);
- возможность возникновения аэроупругой (типа вихревой резонанс и флаттер) неустойчивости зданий, сооружений и их отдельных конструктивных элементов
[18];
- уровень динамической комфортности пребывания на верхних этажах здания для посетителей, сотрудников и обслуживающего персонала при действии ветровой нагрузки (
раздел В.3 СП 20.13330.2016).
Рисунок 5.3 - Краткая схема типовых расчетных исследований
ветровых нагрузок и воздействий
5.7 Программная реализация численной методики определения ветровых воздействий
Рассмотренные выше математические модели и численные схемы решения задач гидрогазодинамики реализованы в исследовательских (в т.ч., с открытым исходным кодом) и коммерческих программных продуктах (программных комплексах (ПК)).
Функционально ПК состоит из трех относительно независимых модулей ("препроцессора", "решателя" и "постпроцессора"):
- задачи "препроцессора" - импортирование расчетной сетки, задание типа решаемой проблемы, назначение среды моделирования и расстановка начальных и граничных условий;
- "решатель" обладает рядом особенностей, позволяющих гибко и эффективно организовывать процесс расчета; в некоторых ПК имеется возможность проведения параллельных вычислений;
- "постпроцессор" поддерживает необходимые функции по анализу, обработке и визуализации информации, возможности создания графиков, картин, эпюр и анимаций.
Для проведения большого объема многовариантных расчетов (в частности, при различных направлениях ветра) важное достоинство ряда ПК - наличие встроенного языка программирования, поддерживающего параметры, массивы, запрос информации из баз данных, ввод-вывод в текстовые файлы, циклы, условные переходы, встроенные математические функции, макросы, шифрование и др., возможность создавать собственные типовые модели - "примитивы", включать свои алгоритмы.
В практических задачах определения ветровых нагрузок и воздействий на здания и сооружения (влияющих на последующую оценку параметров механической безопасности) необходимо использовать верифицированные программные комплексы вычислительной гидрогазодинамики.
6. Примеры использования численной методики определения ветрового нагружения зданий, сооружений и комплексов
6.1 Расчетное определение ветровых нагрузок на несущие и фасадные конструкции и параметров пешеходной комфортности многофункционального жилого комплекса
6.1.1 Общие сведения
Приведен пример математического (численного) моделирования ветровых нагрузок и воздействий на многофункциональный жилой комплекс (далее - МЖК). Требуется определить ветровые нагрузки на несущие и фасадные конструкции, а также оценить пешеходную комфортность, для чего решены следующие задачи:
- проведен анализ ветровых режимов района строительства, сложившейся застройки, локального рельефа местности и конструктивно-архитектурных особенностей многоэтажных зданий МЖК;
- разработаны и верифицированы трехмерные расчетные модели аэродинамики МЖК с учетом существующей окружающей застройки в радиусе 1,1 км и высотой 0,15 км;
- определены средние и пульсационные составляющие ветровых нагрузок на несущие конструкции при 24-х направлениях ветра (через 15°) в стационарной постановке для МЖК в окружающей застройке (см.
пункт 5.3.2);
- определены пиковые (минимальные и максимальные) давления на фасадные конструкции при 24-х направлениях ветра (через 15°) в стационарной постановке для МЖК в окружающей застройке; расчетные значения "огибающих" максимального и минимального значений ветрового давления на фасадные конструкции; огибающие вычисленных поэтажно максимальных и минимальных значений ветрового давления на фасадные конструкции; картины верхней огибающей максимальных значений ветрового давления, нижней огибающей минимальных значений ветрового давления и соответствующих углов атаки ветра, при которых реализуются эти огибающие (см.
подраздел 5.4);
- определены ветровые воздействия в пешеходных зонах на высоте 1,5 м и 6,9 м от уровня земли (оценка параметров пешеходной комфортности): расчетные поля коэффициентов усиления скоростей ветра; уровни пешеходной комфортности по трем нормативно регламентированным критериям (см.
пункт 5.5).
6.1.1.1 Краткая характеристика МЖК
МЖК состоит из двух групп жилых домов:
- пяти одиннадцатиэтажных односекционных корпусов (башни) регулярно и со смещением
(рисунок 6.1);
- трех двухсекционных корпусов (пластины), размещенных по южной стороне участка вдоль железной дороги и образующих шумозащитный экран для дворовой части МЖК
(рисунок 6.2).
Рисунок 6.1 - Фасад в осях 1 - 58
Рисунок 6.2 - Фасад в осях 54 - 1
Жилые корпуса расположены на двухэтажной подземной части. Входы в жилые секции расположены на уровне земли без ступеней и пандусов.
Максимальная высота МЖК не превышает 100,00 м от отметки +/- 0,000. В соответствии с
[2] - уникальный объект.
6.1.1.2 Площадка строительства и окружающая застройка
Участок, предназначенный для МЖК, располагается на территории Москвы.
Территория участка имеет трапециевидную в плане форму, приближенную к прямоугольной, ориентировочными размерами 170 x 240 м. Площадь земельного участка составляет 4,0185 га. Рельеф участка со значительным уклоном к юго-востоку. Максимальный перепад высот составляет более 14 м.
Верхняя отметка корпусов 1 - 5 проектируемого многофункционального жилого комплекса достигает 43,5 м, верхняя отметка корпусов 6 - 8 достигает 39,9 м. С северо-восточной стороны от целевого объекта на расстоянии ~ 0,2 км располагаются здания существующего жилого комплекса, высота которых достигает 36 м. При таком взаимном расположении зданий рассматриваемый МЖК находится в зоне "затенения" при северо-восточном направлении ветра, что приводит к снижению средних аэродинамических нагрузок. В радиусе ~ 1 км от целевого объекта расположены здания, высота которых не превышает 75 м. На территории МЖК помимо исследуемых корпусов 1 - 8 присутствуют небольшие здания и сооружения, стилобатная часть и сложный рельеф. В аэродинамических расчетах учитывались эти особенности.
За пределами исходной схемы планировочной организации земельного участка для близлежащей территории, окружающие здания моделировались упрощенно по фотографиям и информации из Интернета. Для справки приводятся характерные виды
(рисунок 6.3).
а - схема планировочной организации земельного участка;
б - эскиз МЖК
6.1.1.3 Ветровые режимы зоны строительства
В расчетах ветровых нагрузок на МЖК принят первый ветровой район (согласно
СП 20.13330), тип местности B - городские территории, лесные массивы и другие местности, равномерно покрытые препятствиями высотой более 10 м.
Значение нормативного давления равно 230 Па, что соответствует скорости ветра на высоте 10 м над землей 19,2 м/с. Расчетное ветровое давление с учетом коэффициента надежности по нагрузке 1,4 и с учетом коэффициента для типа местности k (ze = 10 м) = 0,65, равняется 209,3 Па, что соответствует скорости ветра на высоте 10 м над землей 18,3 м/с.
6.1.2 Разработка расчетной модели
6.1.2.1 Геометрическая модель МЖК в окружающей застройке
Практическая подготовка модели начинается с создания геометрической объемной модели целевых сооружений, окружающей застройки (в радиусе 1,1 км) и локального рельефа местности. Геометрия строений жилого комплекса выполнена согласно исходным данным. При создании геометрической модели комплекса жилых зданий в программном комплексе максимально учитывалась реальная геометрия фасадов (парапеты, оконные проемы и т.п.) для адекватной оценки аэродинамических давлений, их локальных экстремумов и распределения по поверхности здания. Геометрия окружающей застройки и локального рельефа местности создавалась на основе ситуационного плана и общедоступных веб-карт
(рисунок 6.4).
а - вид с ЮВ; б - изометрия
Рисунок 6.4 - Геометрическая модель комплекса зданий
с учетом локального рельефа местности и окружающей застройки
6.1.2.2 Расчетная модель
Расчетная модель формируется следующим образом. После создания в программном комплексе объемной геометрической модели МЖК, она "вычитается" из модели воздушного пространства (в форме цилиндра высотой 0,15 км и радиусом 1,1 км). Далее, на основе геометрической модели, создается конечнообъемная сетка
(рисунок 6.5).
а - сетка на поверхности МЖК и на близлежащих зданиях;
б - КО-сетка расчетной области радиусом 1,1 км
(18 041 041 конечных объемов)
В ближайшей зоне для сгущения сетки около каждого из строений комплекса создается объем в виде прямоугольного параллелепипеда с отступом от габаритов соответствующего строения 3 м. Далее вокруг комплекса создается эллипс с полуосями 200 м и 140 м и высотой 150 м, затем создаются цилиндры радиусами 275 м, 550 м и 1100 м и высотой 150 м.
Для проведения аэродинамических расчетных исследований МЖК приняты следующие размеры конечных объемов сетки:
- у поверхностей целевых строений МЖК в ближайшем объеме - 0,5 м;
- у поверхностей застройки в пределах площадки строительства - вплоть до 0,5 м, в пределах эллипса - 1,5 м;
- в цилиндрическом объеме радиусом 275 м и высотой 150 м у поверхности земли - 1,5 м, в остальной части объема - 2,5 м;
- в цилиндрическом объеме радиусом 550 м у поверхностей застройки и земли - не более 3 м, в остальной части объема - до 9 м;
- в цилиндрическом объеме радиусом 1100 м у поверхности застройки и земли - до 9 м, в остальной части объема - до 18 м.
Общий размер основных расчетных конечнообъемных моделей составил ~ 18,0 млн конечных объемов (КО).
6.1.2.3 Граничные условия
Области расчета присвоены следующие физические параметры: тип среды - несжимаемый воздух при температуре 25 °C и давление 1 атм.
Граничные условия на "входе" (INLET) соответствуют 1-му ветровому району, типу местности В "городские территории, лесные массивы и другие местности, равномерно покрытые препятствиями высотой более 10 м" в соответствии с
СП 20.13330. Профили давлений и пульсаций пересчитаны для ввода в программный комплекс в аналогичные зависимости от вертикальной координаты для скорости, кинетической энергии турбулентности и скорости диссипации энергии, соответствующие расчетным значениям нагрузок с учетом коэффициента надежности по нагрузке 1,4. Масштаб турбулентности принят равным 300 м в соответствии с
[18].
На "выходе" (OUTLET) и на верхней границе области ветровому потоку назначены "мягкие" граничные условия с нулевыми дополнительными давлениями и такими же параметрами турбулентности, как и на "входе".
На "земле" и на здании использовалось условие "стенки с прилипанием" (u = v = w = 0 м/с), исключающее проникновение вещества через поверхность.
а - профили кинетической энергии турбулентности TKE
(синяя линия), м2/с2, и горизонтальной составляющей скорости
ветра u (красная линия), м/с, для первого ветрового района,
тип местности B ("пригород"); б - расчетная область
с обозначенными граничными условиями для угла атаки ветра 0°
Рисунок 6.6
6.1.2.4 Параметры расчета
Наиболее опасные направления ветра определялись на основе выполненных трехмерных расчетных исследований в стационарной постановке с применением модели турбулентности SST (подход RANS) при 24-х направлениях ветра (углы атаки ветра от 0° до 345° с шагом 15°).
Критерием окончания счета назначено максимальное количество итераций - 100 или достижение максимальных невязок по давлению и по всем компонентам скорости 10-3 - 10-4.
Минимальные и максимальные значения локальных давлений оценивались с использованием вычисленных средних значений давлений и кинетической энергии турбулентности из стационарного расчета. Коэффициенты обеспеченности

и

для определения пиковых значений и пульсационной составляющей давления приняты согласно
пункту 5.3.2.
6.1.3 Результаты расчетов
Фрагменты результатов многовариантных расчетных исследований, которые проводились с учетом рельефа и окружающей застройки - МЖК в окружающей застройке приведены ниже.
Ветровые нагрузки на несущие конструкции:
- средние значения суммарных расчетных ветровых нагрузок на несущие конструкции МЖК
(рисунок 6.7) в заданных фиксированных осях (
FX,
FY, тс), векторная сумма нагрузки (
FR, тс) и крутящий момент относительно начала координат (
Mz, тс·м) для 24-х направлений (шаг по углу 15°);
- средняя (f, Н/м), пульсационная (амплитуда или полуразмах, fpuls, Н/м) составляющие погонной силы и коэффициент "пульсаций" (kpuls = fpuls/|f|) для соответствующей компоненты (поверхность сбора аэродинамической нагрузки в уровне перекрытия) каждого этажа МЖК.
а - корпус 1; б - корпус 6
Рисунок 6.7 - Средние суммарные ветровые нагрузки
на корпуса ЖК в зависимости от направления ветра, тс;
FR - равнодействующая сила, FX, FY - проекции FR на оси
координат (значения приведены по модулю)
Ветровые нагрузки на фасадные конструкции:
- картины огибающих пиковых значений давления на фасады МЖК для всех направлений ветра и картины соответствующих углов атаки ветра, при которых реализуются эти огибающие (
рисунки 6.8 -
6.10);
- поэтажные максимальные и минимальные значения огибающих пикового ветрового давления на фасадные конструкции
(рисунок 6.11).
а - корпус 1; б - корпус 6
Рисунок 6.8 - Огибающие максимального (синяя линия)
и минимального (зеленая линия) значений давления на фасады
корпуса ЖК в зависимости от направления ветра, Па
(значения приведены по модулю)
а, б - корпус 1 МЖК; в, г - корпус 6 МЖК; а, в - верхняя
огибающая максимальных значений ветрового давления, Па,
на фасадные конструкции ЖК; б, г - углы атаки ветра, °,
при которых реализуется верхняя огибающая максимальных
значений ветрового давления на фасадные конструкции ЖК
Рисунок 6.9
а, б - корпус 1 МЖК; в, г - корпус 6 МЖК; а, в - нижняя
огибающая максимальных значений ветрового давления, Па,
на фасадные конструкции ЖК; б, г - углы атаки ветра, °,
при которых реализуется нижняя огибающая максимальных
значений ветрового давления на фасадные конструкции ЖК
а - корпус 1; б - корпус 6
Рисунок 6.11 - Поэтажные огибающие минимального Pmin
и максимального Pmax значений давления, Па, на фасадные
конструкции МЖК с учетом всех направлений ветра
Расчетная оценка пешеходной комфортности:
- распределение скоростей ветра в порывах для пешеходных зон МЖК при 24-х направлениях ветра (через 15°) в стационарной постановке с учетом рельефа местности и основных близкорасположенных зданий
(рисунок 6.12);
- расчетные оценки уровней пешеходной комфортности по трем нормативно регламентированным критериям (
рисунки 6.13 -
6.15).
а - отметка уровня 1,5 м; б - отметка уровня 6,9 м;
красным пунктиром отмечены области возвышений рельефа
Рисунок 6.12 - МЖК в окружающей застройке. Коэффициенты
усиления средней скорости ветра в пешеходной зоне.
Угол атаки ветра 210°
а - отметка уровня 1,5 м; б - отметка уровня 6,9 м;
красным пунктиром отмечены области возвышений рельефа,
красными крестиками отмечено расположение деревьев
согласно схеме озеленения
Рисунок 6.13 - 1-й уровень пешеходной комфортности -
превышение Vcr1 = 6 м/с не чаще Kcr1 = 1000 ч/год
в пешеходной зоне
а - отметка уровня 1,5 м; б - отметка уровня 6,9 м;
красным пунктиром отмечены области возвышений рельефа,
красными крестиками отмечено расположение деревьев
согласно схеме озеленения
Рисунок 6.14 - 2-й уровень пешеходной комфортности -
превышение Vcr2 = 12 м/с не чаще Kcr2 = 50 ч/год
в пешеходной зоне
а - отметка уровня 1,5 м; б - отметка уровня 6,9 м;
красным пунктиром отмечены области возвышений рельефа,
красными крестиками отмечено расположение деревьев
согласно схеме озеленения
Рисунок 6.15 - 3-й уровень пешеходной комфортности -
превышение Vcr3 = 20 м/с не чаще Kcr3 = 5 ч/год
в пешеходной зоне
6.1.4 Анализ результатов и выводы
Для МЖК были определены расчетные средние и пульсационные составляющие ветровых нагрузок на несущие конструкции и расчетные пиковые нагрузки на фасадные конструкции при 24-х направлениях ветра. С точки зрения реализации максимальной равнодействующей аэродинамической силы FR были определены наиболее характерные и опасные углы атаки ветра: для корпуса 1 МЖК - 195°, 345°; для корпуса 2 МЖК - 180°, 345°; для корпуса 3 МЖК - 345°, 195°; для корпуса 4 МЖК - 210°, 300°; для корпуса 5 МЖК - 90°, 135°; для корпуса 6 МЖК - 135°, 345°; для корпуса 7 МЖК - 165°, 300°; для корпуса 8 МЖК - 180°, 135°.
Выявлено, что здания МЖК оказывают друг на друга значительное влияние с точки зрения аэродинамики.
На основе полученных результатов была проведена оценка пешеходной комфортности по трем нормативно регламентированным критериям
[3]:
| | ИС МЕГАНОРМ: примечание. В официальном тексте документа, видимо, допущена опечатка: рисунок 6.1.12 отсутствует. Возможно, имеется в виду рисунок 6.12. | |
- выполнение допустимого уровня (1000 ч/год) пешеходной комфортности по первому критерию (
Vcr1 = 6 м/с) показано голубым цветом
(рисунок 6.1.12). Остальные цветовые зоны соответствуют зонам превышения допустимого уровня пешеходной комфортности по первому критерию и наблюдаются во внутренней дворовой зоне между рассматриваемыми зданиями МЖК и на возвышенностях;
- выполнение допустимого уровня (50 ч/год) пешеходной комфортности по второму критерию (
Vcr2 = 12 м/с) показано голубым цветом
(рисунок 6.13). Остальные цветовые зоны соответствуют зонам превышения допустимого уровня пешеходной комфортности по второму критерию и носят локальный характер во внутренней дворовой зоне между рассматриваемыми зданиями МЖК и на возвышенностях;
- выполнение допустимого уровня (5 ч/год) пешеходной комфортности по третьему критерию (
Vcr3 = 20 м/с) показано голубым цветом
(рисунок 6.14). Остальные цветовые зоны соответствуют зонам превышения допустимого уровня пешеходной комфортности по третьему критерию и носят локальный характер с превышением в два раза в непосредственной близости и угловых зонах корпусов 1 - 5 и на возвышенностях.
Область превышения критериев пешеходной комфортности внутри МЖК почти полностью перекрывается областью зеленых насаждений, отображенных в исходных данных. Поэтому следует ожидать значительного улучшения пешеходной комфортности в указанной зоне.
6.2 Расчетное определение ветровых нагрузок на копер ствола рудника
6.2.1 Общие сведения
Приведен пример математического (численного) моделирования ветровых нагрузок на промышленное сооружение (копер ствола рудника) с целью определения аэродинамических коэффициентов. Для выполнения поставленной цели были решены следующие задачи:
- проведен анализ ветровых режимов района строительства, окружающей застройки и локального рельефа местности и конструктивно-архитектурных особенностей исследуемого копра ствола рудника;
- разработана и верифицирована трехмерная расчетная модель аэродинамики комплекса сооружений объекта, учитывающая следующие здания и сооружения: копер башенного типа с учетом лестницы, здание клетьевой подъемной машины с канатной галереей, здание скиповой подъемной машины, надшахтное здание с механизированным вагонообменом, технологические здания (2 шт.), установка кондиционирования рудничного воздуха (УКРВ), градирня УКРВ, градирня, насосная станция, ТП 6/0,4 кВ общих потребителей, эстакада, конвейерная галерея для выдачи руды, здания и сооружения соседних аналогичных объектов, находящиеся в радиусе 500 м от исследуемого объекта;
- определены аэродинамические коэффициенты и ветровое давление на несущие конструкции исследуемого копра башенного типа с учетом окружающей застройки при 24-х направлениях ветра (через 15°);
- проведено сравнение аэродинамических коэффициентов ce, определенных на основе математического (численного) моделирования, с нормативными значениями.
6.2.1.1 Краткая характеристика комплекса сооружений ствола рудника
Район строительства комплекса сооружений расположен в Красноярском крае. Назначение зданий - промышленные здания и сооружения. Уровень ответственности - 1 (повышенный). Исследуемый копер - башенного типа
(рисунок 6.16).
Рисунок 6.16 - здание копра СКС-1, фасады Д - А и 7 - 1
6.2.1.2 Площадка строительства и окружающая застройка
Участок под строительство комплекса сооружений рудника располагается в Красноярском крае, вблизи г. Норильск
(рисунок 6.17) и соответствует ветровому району V и типу местности "A".
а - Генеральный план участка строительства в радиусе 500 м
от копра СКС-1 временного периода; б - фрагмент генерального
плана участка строительства постоянного периода
В зоне площадки строительства объекта перепад рельефа местности достигает 30 м. В радиусе 100 м от исследуемого копра перепад рельефа не превышает 3 м, что позволяет определять ветровые нагрузки без учета рельефа.
6.2.1.3 Ветровые режимы зоны строительства
Участок строительства объекта находится на территории Норильского промышленного района Красноярского края. В соответствии с
СП 20.13330.2016 значение нормативного давления равно 600 Па, что соответствует скорости ветра на высоте 10 м над землей 31,4 м/с. Расчетное ветровое давление с учетом коэффициента надежности по нагрузке 1,66 и с учетом коэффициента для типа местности
k (10 м) = 1,00 равняется 1000 Па, что соответствует скорости ветра на высоте 10 м над землей 40,4 м/с. Роза ветров показана на
рисунке 6.18.
Рисунок 6.18 - Направление и повторяемость ветров, %
(по данным, взятым из Интернета)
6.2.2 Разработка расчетной модели
6.2.2.1 Геометрическая модель комплекса сооружений
Практическая подготовка модели начинается с создания геометрической объемной модели сооружения. Геометрия исследуемых сооружений выполнена согласно исходным данным. Построенные геометрические трехмерные модели сооружений объекта с учетом окружающей застройки показаны на
рисунке 6.19.
а - вид 1; б - вид 2; в - вид 3
Рисунок 6.19 - Геометрическая модель сооружений
Сооружения, которые не могут оказывать значимого влияния на ветровые нагрузки, приходящиеся на несущие конструкции копра СКС-1, не учитывались в геометрической модели:
а) здания главной понизительной подстанции (ГПП), фильтрокомпенсирующего устройства и распределительной трансформаторной подстанции:
- представляют собой продуваемые сквозные этажерки с контейнерами;
- имеют меньшую высоту, чем находящиеся между ними и копром здание клетевой подъемной машины с канатной галереей и технологическое здание N 1, находящиеся между ними и копром;
б) необшитые сквозные опоры конвейерной галереи, верхний и нижний необшитые ярусы трехэтажной эстакады, средняя необшитая опора трехэтажной эстакады, их наружные лестницы, сквозная необшитая одноярусная технологическая эстакада до ГПП, т.к. представляют собой продуваемые сквозные конструкции, которые не оказывают существенного влияния на ветровые нагрузки, приходящиеся на несущие конструкции исследуемого копра.
6.2.2.2 Расчетная модель
Расчетная воздушная область формируется следующим образом. После создания в программном комплексе объемная геометрическая модель сооружений объекта и окружающей застройки "вычитается" из модели воздушного пространства (в форме цилиндра высотой 0,3 км, радиусом 1,0 км). Далее полученная расчетная область разбивается на конечные объемы.
Лестница, примыкающая к башне копра, моделировалась с помощью метода "погруженных границ".
Для проведения основных аэродинамических расчетных исследований были приняты следующие характерные размеры конечных элементов:
- у поверхности сооружений и земли в радиусе 0,1 км от оси ствола принят равными 0,75 м;
- с удалением от целевого объекта у поверхности земли - до 9 м, у поверхности зданий - до 6 м;
- максимальный размер элементов в расчетной области - 18 м (в радиусе 555 - 1000 м).
Общий размер основной расчетной конечнообъемной модели составил: 6,7 млн. элементов.
Рисунок 6.20 - Конечнообъемная модель воздушного
пространства (6 706 062 КО) и сетка на поверхности зданий
(размер элемента ~ 0,75 м)
6.2.2.3 Граничные условия
Область расчета имеет следующие физические параметры: тип среды - несжимаемый воздух при температуре 25 °C и давление 1 атм.
Граничные условия на "входе" (INLET) соответствуют ветровому району V и типу местности A ("открытая местность"). Профили давлений и пульсаций пересчитаны для ввода в программный комплекс в аналогичные зависимости от вертикальной координаты для скорости, кинетической энергии турбулентности и скорости диссипации энергии, соответствующие расчетным значениям нагрузок с учетом коэффициента надежности по нагрузке 1,66. Масштаб турбулентности принят равным 300 м в соответствии с
[18].
На "выходе" (OUTLET) и на верхней границе области потоку назначаются "мягкие" граничные условия (Opening) с нулевыми дополнительными давлениями и такими же параметрами турбулентности, как и на "входе".
На земле и на всех зданиях применялось условие "стенки с прилипанием" (u = v = w = 0 м/с), исключающее проникновение вещества через поверхность.
а - профили кинетической энергии турбулентности TKE
(красная линия), м2/с2, и горизонтальной составляющей
скорости ветра V (синяя линия), м/с, тип местности A
("открытая местность"); б - расчетная область
с обозначенными граничными условиями для угла атаки
ветра 0°
Рисунок 6.21
6.2.2.4 Параметры расчетов
Наиболее опасные направления ветра определялись на основе выполненных расчетных исследований в стационарной постановке с использованием модели турбулентности SST (подход RANS) для сооружений ствола рудника при 24-х направлениях ветра (через 15°).
Критерием окончания счета назначено максимальное количество итераций - 150 или достижение максимальных невязок по давлению и по всем компонентам скорости 10-4.
Минимальные и максимальные значения локальных давлений оценивались с применением вычисленных средних значений давления и значений кинетической энергии турбулентности из стационарного расчета. Коэффициенты обеспеченности

и

для определения пульсационной составляющей ветрового давления приняты согласно методике
(пункт 5.3.2).
6.2.3 Результаты расчетов
Фрагменты результатов многовариантных расчетных исследований ветровых нагрузок на копер ствола рудника с учетом окружающей застройки и без учета окружающего рельефа приведены ниже:
- средние значения суммарных расчетных ветровых нагрузок на несущие конструкции копра ствола рудника в строительных осях сооружений (
FX,
FY, кН) и векторная сумма нагрузки (
FR, кН) для рассматриваемых направлений ветра
(рисунок 6.22);
- средняя
P и пульсационная
Ppuls, Па, составляющие ветрового давления и расчетное значение ветрового давления (
Psum =
P +
kpulsP) на поверхностях копра ствола рудника в графическом виде (для
P пример на
рисунке 6.23) и в табличном виде
(таблица 6.1) для компонент сбора аэродинамической нагрузки
(рисунок 6.25);
- аэродинамические коэффициенты
ce ветрового давления на компоненты сбора аэродинамических нагрузок для копра ствола рудника в графическом
(рисунок 6.24) в табличном виде
(таблица 6.2).
FR - равнодействующая сила; FX, FY - проекции FR на оси
координат (значения приведены по модулю)
Рисунок 6.22 - Средние суммарные ветровые нагрузки на копер
в зависимости от направления ветра, кН
а, б - виды с наветренной стороны;
в, г - виды с подветренной стороны
Рисунок 6.23 - Средние значения давлений, Па, на поверхности
сооружений. Угол атаки ветра 150°. Max = 1,61 кПа,
Min = -2,57 кПа
а, б - виды с наветренной стороны;
в, г - виды с подветренной стороны
Рисунок 6.24 - Значения аэродинамического коэффициента ce
на поверхности сооружений. Угол атаки ветра 150°.
Max = 0,93, Min = -1,49
Рисунок 6.25 - Схема компонентов сбора
аэродинамической нагрузки для копра
Таблица 6.1
Расчетные значения давлений, Па, Psum на компонентах
копра СКС-1 в зависимости от направления ветра
Направление ветра | A1 | A2 | A3 | A4 | A5 | A6 |
0° | -965 | -743 | -1455 | -1002 | -1378 | -964 |
15° | -736 | -676 | -628 | -659 | -705 | -715 |
30° | -691 | -1038 | -972 | -913 | -1083 | -897 |
45° | -827 | -1074 | -1091 | -992 | -1116 | -1029 |
Таблица 6.2
Значения аэродинамического коэффициента давления ce
на компонентах копра СКС-1 в зависимости
от направления ветра
Направление ветра | A1 | A2 | A3 | A4 | A5 | A6 |
0° | -0,56 | -0,43 | -0,84 | -0,58 | -0,80 | -0,56 |
15° | -0,43 | -0,39 | -0,36 | -0,38 | -0,41 | -0,41 |
30° | -0,40 | -0,60 | -0,56 | -0,53 | -0,63 | -0,52 |
45° | -0,48 | -0,62 | -0,63 | -0,57 | -0,64 | -0,60 |
6.2.4 Анализ результатов и выводы
В результате анализа полученных результатов выявлено, что максимальное расчетное значение средней составляющей равнодействующей аэродинамической силы FR на несущие конструкции исследуемого копра ствола рудника реализуется при угле атаки ветра 345° и составляет 2647 кН. Также опасный угол атаки ветра - 150°, для которого значение средней составляющей равнодействующей аэродинамической силы FR составляет 2622 кН.
С точки зрения реализации максимальной равнодействующей аэродинамической силы FR наиболее характерными и опасными углами атаки ветра для копра являются 150° (близок к наиболее повторяемому ЮВ направлению ветра), 345°. С точки зрения прочностных расчетов характерные и опасные направления угла атаки ветра - также 0° и 270°.
Угол атаки ветра 180° не опасен для копра, так как в этом случае здание копра находится в следе сооружений соседних площадок строительства.
В результате сопоставления значений аэродинамического коэффициента
ce, полученных в результате численного моделирования и по
СП 20.13330, сделаны следующие выводы:
а) значения аэродинамических коэффициентов ce на наветренной стороне исследуемого копра, определенные в результате математического (численного) моделирования, меньше нормативных значений;
б) значения аэродинамических коэффициентов ce на подветренной стороне исследуемого копра, определенные в результате математического (численного) моделирования, по модулю меньше нормативных для большинства компонент. На остальных компонентах значения, определенные с помощью численного моделирования, превышают по модулю нормативные значения максимум на 18%;
в) значения аэродинамических коэффициентов ce на кровле исследуемого копра, определенные в результате математического (численного) моделирования, по модулю меньше нормативных для большинства компонент. На остальных компонентах значения, определенные с помощью численного моделирования, превышают по модулю нормативные значения максимум на 51%;
г) в целом нормативные значения аэродинамических коэффициентов
ce, определенные согласно
СП 20.13330 выше, чем определенные с помощью численного моделирования. В прочностных расчетах можно применять "в запас" нормативные значения аэродинамических коэффициентов
ce.
6.3 Расчетное определение ветровых нагрузок на фундамент ветроэнергетической установки
6.3.1 Общие сведения
Приведен пример расчетного математического (численного) моделирования ветровых нагрузок на фундаменты ветроэнергетической установки с фиксированными лопастями (далее - ВЭУ) с целью определения средней и пульсационной составляющих ветровых нагрузок на фундаментные конструкции ВЭУ. Для выполнения поставленной цели решены следующие задачи:
- проведен анализ ветровых режимов района строительства и конструктивно-архитектурных особенностей исследуемой ВЭУ;
- разработаны и верифицированы трехмерные расчетные модели аэродинамики для двух вариантов фиксации положения лопастей;
- определены средняя и пульсационная составляющие ветровых нагрузок на фундаментные конструкции ВЭУ при различных направлениях ветра (шаг 45°) в трехмерной нестационарной постановке для двух вариантов фиксации положения лопастей.
6.3.1.2 Краткая характеристика ВЭУ
Площадка под проектируемый комплекс ВЭУ находится в Ульяновской области. Рельеф местности без значимых перепадов высот, а окружающая застройка отсутствует.
Для ветровой турбины используется башня в виде стальной трубы. Высота башни составляет 88 м, а высота оси турбины 90 м. Общий вид ВЭУ показан на
рисунке 6.26.
При ураганном ветре лопасти находятся во флюгерном положении.
Рисунок 6.26 - Общий вид ВЭУ
6.3.1.3 Ветровые режимы зоны строительства
Площадка под проектируемую ВЭУ, расположенная в Ульяновской области, соответствует ветровому району - II, типу местности A - открытые побережья морей, озер и водохранилищ, сельские местности, в том числе с постройками высотой менее 10 м, пустыни, степи, лесостепи, тундра.
Таким образом, в соответствии с
СП 20.13330 значение нормативного давления составляет 300 Па, что соответствует скорости ветра на высоте 10 м над землей 21,9 м/с. Расчетное ветровое давление с учетом коэффициента надежности по нагрузке 1,4 и коэффициента для типа местности
k (10 м) = 1 составляет 355 Па, что соответствует расчетной скорости ветра на высоте 10 м над землей 25,9 м/с.
Рассматриваемая ВЭУ проектировалась согласно
[30], поэтому рекомендации по расчету на экстремальные параметры ветрового потока принимаются согласно этому стандарту. Экстремальный ветровой поток характеризуется следующими явлениями:
а) среднесрочное появление ураганного значения скорости ветрового потока;
б) появление экстремальной турбулентности ветрового потока на высоте оси ВЭУ;
в) экстремальная смена направления ветрового потока (косой обдув).
Появления штормового значения скорости ветрового потока осредненного за 10-минутный интервал времени принято рассматривать за период 50 лет. Для высоты оси ВЭУ значения штормовых скоростей можно определить из выражения
Ve50 = 1,4Vref.
Значение экстремальной турбулентности определяется исходя из того, что вертикальный профиль ветрового потока имеет нормальное распределение. Тогда значение среднеквадратичного отклонения продольной составляющей

определяется выражением
c = 2 м/с.
Экстремальная смена направления ветрового потока характеризуется углом

, который может меняться в пределах +/- 180°.
Рисунок 6.27 - Сравнение профилей горизонтальной
составляющей скорости ветра u, м/с, согласно СП 20.13330
для ветрового района II, типа местности A "чистое поле"
и согласно IEC 61400-1
6.3.2.1 Геометрические модели ВЭУ
Практическая подготовка модели начинается с создания геометрической объемной модели сооружения. Геометрия одиночной ВЭУ выполнена согласно исходным данным. При создании трехмерной геометрической модели ВЭУ в программном комплексе максимально учитывалась реальная геометрия (башня, гондола, лопасти и т.п.), что немаловажно для адекватной оценки аэродинамических давлений, их локальных экстремумов и распределения по поверхности ВЭУ
(рисунок 6.28).
Рисунок 6.28 - Геометрическая модель одиночной ВЭУ
6.3.2 Разработка и верификация расчетной модели
Поскольку после остановки ВЭУ направление ветра может резко меняться, а ВЭУ при этом может не успевать реагировать (принять положение, при котором направление ветра перпендикулярно плоскости вращения лопастей), рассматривались несколько направлений ветра (от 0 до 180 с шагом 45, в силу симметрии задачи) для определения наихудшего с точки зрения нагрузок на несущие конструкции и фундамент случая. Также для определения влияния лопасти на башню, рассматривались два фиксированных положения лопастей, изображенных на
рисунке 6.29.
Рисунок 6.29 - Положения лопастей для расчетных исследований
6.3.2.2 Расчетная модель
Расчетная модель формируется следующим образом: после создания в программном комплексе объемной геометрической модели ВЭУ, она "вычитается" из модели воздушного пространства (в форме цилиндра высотой 250 м и радиусом 300 м). Далее полученная область разбивается на конечные объемы.
Во всей модели около ВЭУ построен пограничный слой. Размеры элементов были приняты следующие:
- расстояние до первого узла от стенки в пограничном слое - 0,0003 м;
- вдоль окружности - 0,03 м;
- по высоте башни - 0,1 м;
- на поверхностях лопастей и гондолы - 0,1 м;
- в ближайшем объеме около ВЭУ - 0,13125 м;
- максимальный размер элемента в объеме - 9 м.
Рисунок 6.30 - Фрагменты КО-сетки расчетной области
радиусом 300 м. Количество узлов/конечных объемов ~ 31 млн
6.3.2.4 Граничные и начальные условия
Области расчета присвоены следующие физические параметры: тип среды - несжимаемый воздух при температуре 25 °C и давление 1 атм.
Граничные условия на "входе" (INLET) задавались в соответствии с
[30]. Зависимости от вертикальной координаты для скорости, кинетической энергии турбулентности и скорости диссипации энергии:
Ve50(z) = 1,4Vref(zhub)0,11;
Vref = 37,5 м/с; zhub = 90 м;
c = 2 м/с;
Vave(z) = 0,2·Vref; Vhub = 1,4·Vref; Iref = 0,16;
Согласно этим формулам, на входе задавались интенсивность турбулентности и масштаб турбулентности, равный 42 м в соответствии с рекомендациями
[30].
На "выходе" (OUTLET) из области потоку назначаются "мягкие" граничные условия с нулевыми дополнительными давлениями (Opening) и такими же параметрами турбулентности, как и на "входе".
Сверху области задается условие "стенки с проскальзыванием".
На "земле" и на всех зданиях задано условие "стенки с прилипанием" (u = v = w = 0 м/с), исключающее проникновение вещества через поверхность.
В качестве начальных условий во всей области использовались нулевые скорости (u = v = w = 0 м/с) и нулевые дополнительные давления.
Рисунок 6.31 - Профиль горизонтальной составляющей скорости
ветра u, м/с, согласно [30] для экстремального
ветрового потока
6.3.2.5 Параметры расчета
Средние и пульсационные ветровые нагрузки на фундамент, а также главные частоты срыва вихрей определялись нестационарным расчетом с использованием модели турбулентности DES SST
[28].
Физическое расчетное время составило 30 с. В процессе расчета отслеживались аэродинамические нагрузки на все части ВЭУ. Собранные данные обрабатывались для получения средней и пульсационной составляющей и частоты срыва вихрей. Обработка происходила после 15 секунд физического времени, когда колебания "устанавливаются".
6.3.3 Результаты расчетов
Полученные результаты многовариантных расчетных исследований приведены ниже:
- суммарные силы на фундамент ВЭУ от времени и спектральные плотности мощности суммарных сил на фундамент ВЭУ для угла атаки 0° (
рисунки 6.32 -
6.33);
- изоповерхности мощности локального "закручивания" для демонстрации картины обтекания ВЭУ
(рисунок 6.34).
Рисунок 6.32 - Изолинии скоростей на высоте 6 м (слева),
изменение силы FY, кН, на секцию (выделена красным)
и ее спектральная мощность
а - модель 1, одна из лопастей направлена вниз;
б - модель 2, одна из лопастей направлена вверх
Рисунок 6.33 - Значение суммарной ветровой нагрузки FR
на фундамент от направления ветра, кН
(значения приведены по модулю)
Рисунок 6.34 - Изоповерхности мощности локального
"закручивания". Цветовые картины скоростей, м/с. Модель 1.
Угол атаки ветра 45°. Физический момент времени - 20 с
6.3.4 Анализ и обобщение результатов
Результаты показали, что главные частоты срыва вихрей существенно меняются по высоте башни. Этот факт обусловлен изменениями по высоте горизонтальной составляющей скорости, диаметра башни, а также наличием лопасти, чье сечение также сильно изменяется по высоте. На спектральной плотности мощности суммарной нагрузки на фундамент можно наблюдать множество частот срыва вихрей.
В результате проведенных расчетных исследований (при пяти направлениях ветра) аэродинамики ВЭУ для двух положений лопастей определены наиболее опасные расчетные углы атаки ветра.
Для ВЭУ с первым положением лопастей (одна из них направлена вниз) максимальное расчетное значение средней составляющей равнодействующей аэродинамической силы FR на фундамент реализуется при угле атаки ветра 90° и составляет 613 кН.
Для ВЭУ со вторым положением лопастей (одна из лопастей направлена вверх) максимальное расчетное значение средней составляющей равнодействующей аэродинамической силы FR на несущие конструкции реализуется при угле атаки ветра 90° и составляет 561,5 кН.
С точки зрения реализации максимальной равнодействующей аэродинамической силы FR наиболее характерный и опасный угол атаки ветра - 90° для обеих положений лопастей.
Для ВЭУ с первым положением лопастей (одна из лопастей направлена вниз) опасные с точки зрения средней составляющей изгибающих моментов MX, MY на фундамент - углы атаки ветра 90° и 135°.
Для ВЭУ со вторым положением лопастей (одна из лопастей направлена вверх) опасные с точки зрения средней составляющей изгибающих моментов MX, MY на фундамент - углы атаки ветра 90° и 135°.
[1] Федеральный
закон от 30 декабря 2009 г. N 384-ФЗ "Технический регламент о безопасности зданий и сооружений"
[2] Федеральный
закон от 29 декабря 2004 г. N 190-ФЗ "Градостроительный кодекс Российской Федерации"
[3]
МДС 20-1.2006 Временные нормы по назначению нагрузок и воздействий, действующих на многофункциональные высотные здания и комплексы в Москве
[4] Седов Л.И. Механика сплошной среды. Том 1. - М.: Наука, 1973. - 536 с.
[5] Седов Л.И. Механика сплошной среды. Том 2. - М.: Наука, 1973. - 584 с.
[6] Годунов С.К. (ред.) Численное решение многомерных задач газовой динамики. - М.: Наука, 1976. - 400 с.
[7] Роуч П. Вычислительная гидродинамика. - М.: Мир, 1980. - 618 с.
[8] Симиу Э., Сканлан Р. Воздействие ветра на здания и сооружения - Пер. с англ. Б.Е. Маслова, А.В. Швецовой. Под ред. Б.Е. Маслова. // М.: Стройиздат, 1984. - 360 с.
[9] Волков К.Н., Емельянов В.Н. Вычислительные технологии в задачах механики жидкости и газа. - М.: Физматлит, 2012. - 468 с.
[10] Шлихтинг Г. Теория пограничного слоя. - М.: Наука, 1974. - 713 с.
[11] Белостоцкий А.М., Акимов П.А., Афанасьева И.Н. Вычислительная аэродинамика в задачах строительства. М., Издательство АСВ, 2017, 720 с.
[12] Казакевич М.И. Основы расчетов сооружений на ветровые воздействия. Монография. - М.: МГСУ, 2019. - 180 с.
[13] Белостоцкий А.М., Дубинский С.И., Афанасьева И.Н. Численное моделирование задач строительной аэродинамики. Разработка методик расчета ветровых воздействий и исследование реальных объектов // Вестник МГСУ. 2010. N 4 - 5. С. 182 - 185
[14] Белостоцкий А.М., Афанасьева И.Н., Ланцова И.Ю. Оценка пешеходной комфортности на основе численного моделирования ветровой аэродинамики зданий в окружающей застройке // International Journal for Computational Civil and Structural Engineering, 2019, 15, с. 24 - 39
[15] Травуш В.И., Попов Н.А. Особенности определения ветровых нагрузок, действующих на высотные здания комплекса "Москва-Сити" // Вестник отделения строительных наук РААСН, Вып. 9, Белгород, 2005
[16] Гувернюк С.В., Гагарин В.Г. Компьютерное моделирование аэродинамических воздействий на элементы ограждений высотных зданий // Журнал АВОК. 2006. N 8, с. 18 - 24; 2007, N 1, с. 16 - 22
[17] Дубинский С.И., Болотов П.Е. Верификация методики компьютерного моделирования для расчета распределения давлений воздуха на наружные поверхности наружных ограждающих конструкций // Вестник МГСУ. 2011. N 7. С. 276 - 282
[18] Eurocode 1: Actions on structures - Part 1-4: General actions - Wind actions, CEN, 2011
[19] Davenport A.G. Gust loading factors // Proc. of American soc. of civil Engineering, 1967, Vol. 93(1), No. ST3
[20] Davenport A.G. The application of statistical concepts to the wind loading of structures // Proc. Civ. Engineers., Vol. 19, August 1961, pp. 449 - 472
[21] Donea J., Giuliani S., Halleux J.P. An arbitrary Lagrangian - Eulerian finite element method for transient dynamic fluid-structure interactions // Computer Methods in Applied Mechanics and Engineering, 1982, 33, pp. 689 - 723
[22] Raw M. A Coupled Algebraic Multigrid Method for the 3D Navier-Stokes Equations // Proceedings of the 10th GAMM Seminar, 1995
[23] Wilcox D.C. Turbulence Modelling for CFD. DCW Industries Inc., California, 1993
[24] Menter F.R. Zonal two-equation

turbulence models for aerodynamic flows. AIAA Paper 1993-2906
[25] Peskin C.S. Flow Patterns Around Heart Valves: A numerical Method // Journal of computational physics, Vol. 10, 1972, pp. 252 - 271
[26] Iaccarino G., Verzicco R. Immersed boundary technique for turbulent flow simulations // Appl. Mech. Rev., Vol. 56(3), May 2003, pp. 331 - 347
[27] Zheng, X., Montazeri, H., & Blocken, B. CFD simulations of wind flow and mean surface pressure for buildings with balconies: Comparison of RANS and LES // Building and Environment, Vol. 173, 2020
[28] Rezaeiha, A., Montazeri, H., & Blocken, B. On the accuracy of turbulence models for CFD simulations of vertical axis wind turbines // Energy, Vol. 180, 2019, pp. 838 - 857
[29] NRC NBC USERS GUIDE, 2015 Edition, 2015 - User's Guide - NBC 2015 Structural Commentaries (Part 4 of Division B)
[30] IEC 61400-1. Wind turbines - Part 1: Design requirements, Third edition, IEC, 2005
[31] Tominaga, Y., Mochida, A., Yoshie, R., Kataoka, H., Nozu, T., Yoshikawa, M., Shirasawa, T., 2008. AIJ guidelines for practical applications of CFD to pedestrian wind environment around buildings // Journal of Wind Engineering and Industrial Aerodynamics, 96(10-11), pp. 1749 - 1761
[32] ASCE/SEI 7-17 Minimum Design Loads and Associated Criteria for Buildings and Other Structures, 2017
[33] D.K. Lilly. A Proposed Modification of the Germano Subgrid-Scale Closure Model. Physics of Fluids. 4. Pp. 633 - 635. 1992
[34] Barth, T.J., and Jespersen, D.C, "The Design and Application of Upwind Schemes on Unstructured Meshes", AIAA Paper 89-0366, 1989
[35] Joel H. Ferziger, Milovan

. Computational Methods for Fluid Dynamics. 3., rev. ed. - Berlin; Heidelberg; New York; Barcelona; Hong Kong; London; Milan; Paris; Tokyo: Springer, 2002
|
Ключевые слова: здания и сооружения, ветровые воздействия, ветровая нагрузка, пешеходная комфортность, модели турбулентности, метод конечных объемов |