Главная // Актуальные документы // Методические указанияСПРАВКА
Источник публикации
Документ опубликован не был
Примечание к документу
Название документа
"РД 34.20.184-91. Руководящий документ. Методические указания по районированию территорий энергосистем и трасс ВЛ по частоте повторяемости и интенсивности пляски проводов"
(утв. Росэнерго 15.11.1991)
"РД 34.20.184-91. Руководящий документ. Методические указания по районированию территорий энергосистем и трасс ВЛ по частоте повторяемости и интенсивности пляски проводов"
(утв. Росэнерго 15.11.1991)
Управлением эксплуатации,
ремонта и технического
перевооружения электросетей
15 ноября 1991 года
РУКОВОДЯЩИЙ ДОКУМЕНТ
МЕТОДИЧЕСКИЕ УКАЗАНИЯ
ПО РАЙОНИРОВАНИЮ ТЕРРИТОРИЙ ЭНЕРГОСИСТЕМ И ТРАСС ВЛ
ПО ЧАСТОТЕ ПОВТОРЯЕМОСТИ И ИНТЕНСИВНОСТИ ПЛЯСКИ ПРОВОДОВ
РД 34.20.184-91
Разработано Всесоюзным научно-исследовательским институтом электроэнергетики (ВНИИЭ).
Исполнитель В.А. Шкапцов.
Утверждено Управлением эксплуатации, ремонта и технического перевооружения электросетей 15.11.1991.
Начальник И.И. Батюк.
Пляска является одной из наиболее опасных разновидностей, вызываемых ветром колебаний проводов ВЛ. Известны случаи пляски проводов горных линий, возбуждаемой интенсивной стриммерной короной; пляска при сильных ливневых дождях; пляска в летнее время витых проводов с повышенной рельефностью наружного повива при косых ветрах, направленных под острым углом к трассе ВЛ. Однако наиболее часто встречающимися и наиболее опасными являются случаи пляски проводов ВЛ с односторонними отложениями в виде мокрого снега, гололеда или изморози при скоростях поперечно направленных ветров от 6 до 25 м/с.
Стабильная пляска в виде стоячих волн с амплитудами от нескольких метров до значений, достигающих стрелы провеса провода, может продолжаться от нескольких часов до нескольких суток и прекращается лишь с изменением метеоусловий. От частоты повторяемости и интенсивности пляски зависит выбор конструкции ВЛ и мероприятий по защите проводов от пляски. Поскольку такие мероприятия связаны со значительным увеличением капитальных вложений на стадии строительства или эксплуатации линии, большое значение имеет выявление территорий, где пляска наиболее опасна и защитные меры будут наиболее эффективными.
Исследования и наблюдения пляски проводятся во многих странах мира, начиная с 20-х годов этого столетия, и особенно активно в последние 20 лет. За период с 1981 г. во ВНИИЭ накоплен значительный опыт анализа данных о случаях пляски в энергосистемах страны, опыт разработки и экспериментальной проверки средств защиты проводов от пляски. Обобщение результатов экспериментальных и теоретических исследований положено в основу данных Методических указаний, практическое использование которых позволит более обоснованно подходить к выбору конструкций вновь проектируемых линий, к реализации мероприятий по защите от пляски существующих ВЛ в районах с повышенной опасностью пляски.
Настоящие Методические указания распространяются на проектируемые, сооружаемые и находящиеся в эксплуатации ВЛ напряжением 35 - 750 кВ в части оценки опасности пляски проводов, определения территорий энергосистем и участков ВЛ, для которых характерны высокая частота повторяемости и интенсивность пляски, дополняют существующие Правила устройства электроустановок (разд. "Расположение проводов и тросов и расстояния между ними").
2. ПЛЯСКА ПРОВОДОВ ВЛ, ОСНОВНЫЕ ОПРЕДЕЛЕНИЯ
2.1. Причины возникновения, характеристики пляски
2.1.1. Пляской проводов с односторонними либо с асимметричными отложениями различной плотности (гололед, мокрый снег, смесь, изморозь) называются вызываемые ветром устойчивые периодические низкочастотные колебания натянутого в пролете ВЛ провода, образующие стоячие волны с числом полуволн от одной до двадцати.
2.1.2. Наиболее опасными и наиболее часто встречающимися являются случаи пляски с 1, 2 и 3 полуволнами колебаний. Размах пляски 2A (удвоенная амплитуда колебаний или перемещение провода от крайней нижней точки движения до крайней верхней, называемое амплитудой "пик-пик") наибольших значений достигает при колебаниях с одной полуволной в пролете. В пролетах небольшой длины (до 150 м) размах однополуволновых колебаний в пучности может превышать по значению стрелу провеса провода и достигать 4 - 6 м
(рис. 1, а). В пролетах большой длины размах однополуволновой пляски может достигать стрелы провеса, но обычно не превышает 6 - 10 м
(рис. 1, б). Пляска с двумя полуволнами
(рис. 2, а) чаще всего происходит с амплитудами "пик-пик" 1,5 - 3 м, однако есть данные о колебаниях с размахом до 4 - 6 м. Размах пляски с тремя полуволнами
(рис. 2, б) по имеющимся данным не превосходит 4 м. Реже встречаются случаи менее опасной многополуволновой пляски с четырьмя и более полуволнами в пролетах ВЛ.

Рис. 1. Пляска с одной полуволной в пролете:
а - малой длины; б - большой длины
Рис. 2. Многополуволновые формы пляски в пролете:
а - две полуволны; б - три полуволны
2.1.3. Характерный диапазон частот колебания проводов при пляске 0,2 - 1 Гц. Частота колебаний при пляске с определенным числом полуволн зависит от тяжения провода, погонной массы провода с гребешком осадка, длины пролета, конструкции пролета (анкерный, промежуточный и т.д.) и скорости ветра.
2.1.4. Пляска является результатом воздействия на провод периодически изменяющейся подъемной силы, возникающей при его обтекании равномерным и поперечно направленным воздушным потоком скоростью от 6 до 25 м/с. Значения и направления подъемной силы и аэродинамического крутящего момента зависят от угла атаки воздушного потока по отношению к профилю гололеда [
1,
2]. Как вертикальные, так и крутильные колебания провода вызывают изменение угла атаки, которые, синхронизируясь с одной из низших собственных частот провода в пролете, являются причиной развития пляски (рис. 3,
4).
Рис. 3. Угол атаки неподвижно закрепленного провода
с гололедом, имеющим толщину стенки h
Рис. 4. Изменение углов атаки провода с гололедом,
движущегося со скоростью V в поперечном воздушном потоке
2.1.5. Отложения на проводах в виде мокрого снега появляются при температурах воздуха от +2 до -2 °C. Гололед образуется при выпадении переохлажденного дождя или при переохлажденном тумане при температурах от 0 до -5 °C. Изморозь образуется на проводах при температурах воздуха от -3 до -15 °C. Известны также случаи пляски проводов в северных районах при температурах ниже -30 °C, причиной которых, очевидно, является образование сублимационной изморози.
Пляска может возникать при отложении тонкого слоя гололеда, малозаметного с земли. Наиболее характерными для отечественных энергосистем являются случаи пляски с отложениями гололеда толщиной от 3 до 20 мм.
Как правило, образование отложений на проводах сочетается с действием ветра. Однако в процессе формирования отложений или после его завершения скорость и направление ветра могут меняться, вызывая усиление, ослабление или прекращение пляски.
2.1.6. Благоприятными для развития интенсивной пляски являются ровная открытая местность и вершины холмов. Пляске подвержены также линии, проходящие по гребням невысоких горных хребтов, и участки линий, пересекающие горные долины. Закрытые для действия ветра участки трасс ВЛ (высокая застройка, лес, сильно изрезанный рельеф местности) являются препятствиями для пляски.
2.1.7. Пляске подвержены провода практически любой конструкции и любого диаметра. Исключение составляют лишь провода марки Т-2, выпускаемые фирмой Кайзер Алюминиум (США), представляющие собой два провода одинакового диаметра, скрученные с определенным шагом
[3].
Провода расщепленных фаз в большей мере подвержены пляске, чем одиночные, поскольку наличие внутрифазовых дистанционных распорок способствует увеличению эксцентричности гололедного отложения. Кроме того, провода, расщепленные на три составляющие и более, имеют близкие значения частот одинаковых форм вертикальных и крутильных колебаний, что увеличивает вероятность интенсивной пляски.
2.2. Виды повреждений и аварийных отключений ВЛ, вызываемых пляской
2.2.1. Имеющиеся данные
[4] показывают, что до 90% случаев пляски приводят к нарушению режима работы ВЛ или к повреждению их элементов, причем только в 30% случаев нарушения ограничиваются кратковременными отключениями ВЛ и не сопровождаются перебоями в работе линий продолжительностью от нескольких часов до нескольких суток. В некоторых случаях ремонтно-восстановительные работы требуют значительных затрат и длительного отключения линии.
2.2.2. Сближение проводов разных фаз на линиях с вертикальным или треугольным расположением проводов является причиной междуфазовых замыканий при пляске. Реже происходят замыкания на землю, причиной которых является нарушение изолирующего воздушного промежутка между проводом и грозозащитным тросом, либо между проводом и заземленными конструкциями опор, перекрытия на близкорастущие деревья. Следствием действия больших токов короткого замыкания являются ожоги на проводах и грозозащитных тросах, повреждения коммутационной аппаратуры, а в отдельных случаях и силового электрооборудования.
2.2.3. В процессе интенсивной пляски провода линейная арматура, изолирующая подвеска и элементы опор испытывают действия значительных циклических нагрузок. Амплитудные значения переменной составляющей тяжения одиночного провода либо каждого из проводов расщепленной фазы достигают 1 - 4 т
[5]. На изолирующую подвеску и траверсы опор ВЛ с расщеплением фаз на N составляющих передаются соответственно динамические нагрузки, достигающие

. Следствием длительного воздействия таких нагрузок являются обрывы проводов, разрушения вязок проводов распределительных сетей, разрушение подвесной и сцепной арматуры, повреждение дистанционных распорок, повреждение элементов опор, падение опор и т.д.
3. ОПРЕДЕЛЕНИЕ ИНТЕНСИВНОСТИ И ЧАСТОТЫ ПОВТОРЯЕМОСТИ ПЛЯСКИ
3.1. Регистрация и накопление данных о случаях пляски проводов ВЛ
3.1.1. Данные непосредственных наблюдений пляски проводов ВЛ необходимы для совершенствования методов проектирования ВЛ по условию предотвращения механических повреждений и перекрытий между проводами по причине пляски, при разработке устройств защиты линий от пляски, для определения района пляски.
3.1.2. Для обеспечения квалифицированных наблюдений при пляске проводов на ВЛ предприятиям электросетей необходимо выделить из числа инженерно-технического персонала ПЭС сотрудников, не входящих в состав ремонтно-восстановительных бригад. Эти сотрудники должны владеть настоящей методикой наблюдения пляски проводов. После получения сообщений о возникновении пляски проводов или об отключениях линии при характерных для пляски метеоусловиях (ветер скоростью 6 - 20 м/с, отложения на проводах, туман или моросящий дождь при температуре воздуха ниже 0 °C) должен быть организован выезд выделенных для наблюдения сотрудников на участки ВЛ, где замечена или предполагается пляска проводов.
3.1.3. При наблюдениях необходимо фиксировать характер и параметры пляски, географические и метеорологические условия, вызываемые пляской нарушения в работе ВЛ и повреждения ее элементов. Все данные, полученные во время наблюдений, заносятся в ведомость учета пляски проводов (табл. 1). Образец заполнения ведомости дан в
табл. 2.
Графы 1 -
7,
9,
10 ведомости заполняются в предприятии электросетей. Остальные графы - при непосредственном наблюдении пляски.
Ведомость учета пляски проводов
ПОЭЭ __________________
| Дата пляски | Наименование линии, напряжение, кВ, общая длина линии, км, год ввода в эксплуатацию | Расчетный климатический район (по проекту ВЛ ветровой и гололедный) | Марка провода троса | Расположение проводов на опоре (схема с размерами) | Расположение проводов в фазе (схема с размерами). Тип дистанционных распорок фазы троса | Участок пляски | Метеоусловия при пляске | Характер пляски | Последствия пляски. Характер и место расположения повреждений. Количество отключений | |
Номер опор | | Тяжение  , кг/мм2 при 0 °C провода троса | | Ветер | Отложения | °C | Число полуволн в пролете провода троса | Двойная амплитуда (2A), м, провода троса | Продолжительность, ч. Причина прекращения пляски |
| Направление, угол к линии, град. | Характер, форма с размерами (эскиз) |
1 | 2 | 3 | 4 | 5 | 6 | 7 | 8 | 9 | 10 | 11 | 12 | 13 | 14 | 15 | 16 | 17 | 18 | 19 | 20 |
| | | | | | | | | | | | | | | | | | | |
Ведомость учета пляски проводов (образец заполнения)
ПОЭЭ __Павлодарэнерго__
N п.п. | Дата пляски | Наименование линии, напряжение, кВ, общая длина линии, км, год ввода в эксплуатацию | Расчетный климатический район (по проекту ВЛ ветровой и гололедный) | Марка провода троса | Расположение проводов на опоре (схема с размерами) | Расположение проводов в фазе (схема с размерами). Тип дистанционных распорок фазы троса | Участок пляски | Метеоусловия при пляске | Характер пляски | Последствия пляски. Характер и место расположения повреждений. Количество отключений | Примечание |
Номер опор | Длина пролетов, м | Тяжение  , кг/мм2 при 0 °C провода троса | Характер местности | Ветер | Отложения | t °C | Число полуволн в пролете провода троса | Двойная амплитуда (2A), м, провода троса | Продолжительность, ч. Причина прекращения пляски |
Скорость м/с | Направление, угол к линии, град. | Характер, форма с размерами (эскиз) |
1 | 2 | 3 | 4 | 5 | 6 | 7 | 8 | 9 | 10 | 11 | 12 | 13 | 14 | 15 | 16 | 17 | 18 | 19 | 20 |
1 | 20.12.1986 | Экибастуз-Челябинск, 1150 кВ, 1500 км, 1983 г. | III ветровой; III гололедный | 8АС330/43 2АС70/72 | | 8РГ-4-400В РГИ-3-400 | 63-66 | 400 м | 8 кг/мм2 12 кг/мм2 | Ровная | 18 м/с | С-В, 80° | | 0 - 1 °C | 3 (фаза B) 2,5 (фаза C) | 4 м (фаза B) 2,5 м (фаза C) | 2,5 Ветер изменил направление | Повреждены изоляторы на фазе C опоры 64 (5 шт.). Деформированы рамы дистанционных распорок по 3 - 5 шт. в каждом пролете. Отключений не было | При колебаниях гирлянд отклонения их от вертикали составляли 25° на фазе B и 15° на фазе C. Траектория движения фаз |
| | | | | | | | | | | | | | | | | | | Параметр | Фаза |
B | C |
x , м | 0,5 | 0,3 |
y , м | 4 | 2,5 |
| 10 | 12 |
| | | | | | | | | | | | | | | | | | | На фазе B отмечались крутильные движения пучка, синхронные с поступательными, угол закручивания фазы 10° |
2 | 20.12.1986 | Экибастуз-Челябинск, 1150 кВ, 1500 км, 1983 г. | III ветровой; III гололедный | 8АС330/43 2АС70/72 | | 8РГ-4-400В РГИ-3-400 | 66-68 | 390 м | 8 кг/мм2 12 кг/мм2 | Ровная | 18 м/с | С-В, 80° | | 0 - 1 °C | 2 (фаза C), трос спокоен | 8 м | 2,5. Ветер изменил направление на 90° | Повреждено 3 изолятора в гирлянде опоры 67. Деформировано по 2 дистанционных распорки в каждом пролете. Отключений не было | Отклонения гирлянды от вертикали -15°. Траектория движения провода: x = 1 м, y = 8 м,  . Отмечены крутильные движения пучка, синхронные с поступательными, угол закручивания фазы -15° |
3.1.4. Во время наблюдений необходимо зафиксировать, какие провода и тросы находятся в состоянии пляски (отметить их звездочкой на схеме
гр. 6), определить число полуволн колебаний на разных проводах
(гр. 16), характер волн - стоячие или бегущие
(гр. 20).
Наибольшее значение двойной амплитуды колебаний, т.е. расстояние между нижним и верхним положением провода
(гр. 17), при пляске с одной, двумя и большим числом полуволн в пролете может быть определено одним из следующих способов.
I. С помощью угломерных инструментов (теодолит, угломер) по формуле

, (1)
где B - расстояние между местом установки инструмента и линией, м;

- угол между верхним и нижним положениями провода, град.
II. Приближенно с помощью масштабной линейки.
Наблюдатель отходит от линии на 50 - 60 м и, держа на вытянутой руке масштабную линейку, отмечает на ней разницу между верхним и нижним положениями провода при пляске (см). Значение двойной амплитуды пляски (м) подсчитывается по формуле

, (2)
где 2a - разница между верхним и нижним положениями провода по масштабной линейке, см;
B - расстояние между наблюдателем и линией, м;
b - расстояние от глаза наблюдателя до линейки, см.
Чтобы избежать ошибки из-за неустойчивости вытянутой руки, рекомендуется опереться ею на какой-либо неподвижный предмет (воткнутая в грунт палка, кузов автомашины и т.п.).
В
гр. 12 -
15 фиксируются метеорологические условия при пляске: температура воздуха, скорость ветра, его направление и угол между направлением ветра и осью пролетов линий, подвергшихся пляске. Направление ветра должно быть показано стрелкой на схеме
гр. 6 и эскизе
гр. 14.
В
гр. 14 ведомости учета пляски, кроме формы и размеров отложений на проводах, необходимо указать их характер. В соответствии с принятой в стране классификацией отложения на проводах ВЛ делятся на следующие пять основных групп:
А. Гололед-осадок прозрачного, полупрозрачного или непрозрачного льда. Чистый прозрачный гололед имеет плотность 0,9 г/см3. Гололед непрозрачный содержит воздушные включения и имеет плотность 0,6 - 0,8 г/см3.
Б. Зернистая или плотная изморозь представляет собой осадок белого цвета, напоминающий снег. Плотность осадка этого вида 0,1 - 0,3 г/см3.
Гололед и зернистая изморозь - обледенения, возникающие на проводах в результате осаждения и замерзания переохлажденной воды.
В. Кристаллическая изморозь - слой кристаллического льда белого цвета, ажурного строения, по своему внешнему виду не отличающаяся от инея. Плотность ее в среднем 0,05 г/см3. Кристаллическая изморозь образуется в туманную погоду при затишье или слабом ветре путем непосредственного перехода в твердую фазу паров воды, возникающих при испарении капель тумана, в отсутствие тумана - за счет паров воды, содержащихся в воздухе.
Г. Смешанное отложение представляет собой последовательное наслоение гололедных и изморозевых образований. Наблюдается при периодическом изменении погодных условий. В зависимости от соотношения толщины слоев гололеда и изморози объемная масса смеси меняется преимущественно в пределах 0,15 - 0,6 г/см3.
Д. Мокрый снег по своему виду не отличается от обычного, но обладает большой липкостью. Объемная масса мокрого снега колеблется в пределах 0,2 - 0,6 г/см3.
Характер, размеры отложений на проводах и ориентация их по отношению к ветру во время пляски определяются с помощью бинокля. После окончания пляски желательно собрать гололедные отложения, упавшие на землю (при наличии таковых), и зарисовать формы их поперечного сечения в середине пролета и у опор.
В
гр. 11 Ведомости учета пляски вносится характер местности, по которой проходят участки ВЛ, подвергшиеся пляске. Открытой считается ровная местность без препятствий на пути ветрового потока. Пересеченная - местность холмистая или ровная, но имеющая много препятствий (например, высокие деревья и пр.). Отдельно должны быть отмечены пролеты, проходящие по склону возвышенности, пересекающие долины, по гористой местности.
В
гр. 18 указывается продолжительность процесса пляски в часах, а также причина ее прекращения - опадание или значительное нарастание гололеда, прекращение ветра или изменение его направления и скорости.
Графа 19 должна содержать сведения о последствиях пляски: количество отключений ВЛ, ожоги, повреждения или обрывы проводов, расстояния от мест повреждения проводов до ближайших опор (указать номера опор), случаи повреждения элементов конструкции опор, линейной арматуры и др.
Графа 20 ведомости должна по возможности включать следующие данные, весьма ценные при изучении процесса пляски и разработке средств защиты от нее:
а) при наблюдении за поведением гирлянды изоляторов на поддерживающих опорах необходимо зафиксировать их отклонения от вертикального положения;
б) при наблюдении вдоль оси линии следует определить размеры эллиптической траектории движения пляшущего провода в пучности волны в плоскости, перпендикулярной оси линии. Эти размеры желательно показать на эскизе (рис. 5), стрелкой отметив направление движения провода по эллипсу и направление ветра;
Рис. 5. Эскиз эллиптической траектории
движения провода при пляске:
x - малая ось эллипса; Y - большая ось эллипса;

- угол наклона большой оси эллипса к вертикали
в) следует отметить наличие крутильных колебаний пучка вокруг его оси; оценить наибольший угол поворота пучка и наличие (или отсутствие) синхронизма крутильных колебаний пучка с его поступательными движениями, а также несинхронность и несовпадение форм колебаний отдельных проводов пучка;
г) по возможности следует фиксировать количество циклов колебаний пляшущей фазы (троса) в секунду.
3.2. Определение максимальной ожидаемой амплитуды пляски одиночных проводов
3.2.1. Оценка максимальной ожидаемой амплитуды пляски проводов для ВЛ с данными конструктивными параметрами при отсутствии специальных устройств защиты от пляски дает возможность определить междуфазовые расстояния на промежуточных опорах по условию предотвращения перекрытий между проводами по причине пляски проводов.
3.2.2. Данный способ оценки максимальных ожидаемых амплитуд пляски основан на методе, впервые разработанном в "Alcoa Conductor Products Company". Автор метода - C.B. Rawlins [
6,
7]. Настоящая методика, базируясь на указанном методе, использует результаты анализа собранных ВНИИЭ данных наблюдений 110 случаев пляски проводов ВЛ в энергосистемах страны. Методика распространяется на промежуточные пролеты ВЛ 110 и 220 кВ с одиночными проводами, поскольку о случаях пляски проводов этих ВЛ накоплено наибольшее количество достоверной информации. По мере накопления данных о случаях пляски ВЛ других классов напряжений с расщепленными проводами область применения настоящей методики будет расширена.
3.2.3. Параметрами, позволяющими с наибольшей вероятностью определить предрасположенность пролета линии к пляске, а также возможные амплитуды пляски, являются следующие:
M' - параметр, характеризующий склонность пролетов различных видов к многополуволновой пляске.
Значение параметра M' для конкретного промежуточного пролета ВЛ вычисляется по формуле

, (3)
где f - стрела провеса провода, м;

- длина поддерживающей гирлянды изоляторов, м;
l - длина пролета, м.
Другим параметром пролета, влияющим на значение ожидаемой амплитуды пляски, является параметр T / W, где T - тяжение провода, кгс; W - масса единицы длины провода, кгс/м. Поскольку тяжение провода в пролете влияет на частоту колеблющегося провода, параметр T / W определяет частоту собственных колебаний пролета, т.е. одну из возможных форм пляски.
3.2.4. По данным конкретного пролета (f,

, l, T, W) вычисляются значения параметров M' и T / W. Затем используются представленные на рис. 6 кривые, с помощью которых при данных значениях M' и T / W определяется значение отношения ожидаемой двойной амплитуды пляски к длине пролета (2A / l). Смысл каждой кривой, представленной на рис. 6, состоит в том, что левее каждой из них не ожидается значений отношения 2A / l, превосходящих значения, указанные на данной кривой.
Рис. 6. Зависимость отношения максимальной ожидаемой
амплитуды пляски к длине пролета от обобщенных
параметров пролета M' и T / W
По отношению 2A / l для данного пролета может быть легко определено значение максимальной ожидаемой амплитуды пляски пролета (2A).
3.3. Проверка правильности выбора расстояний между проводами (проводами и тросами) из условия недопустимости их схлестывания в пролетах ВЛ
3.3.1. При выборе конструкции ВЛ для районов с частой и интенсивной пляской проводов необходимо принимать меры по предотвращению схлестывания проводов, междуфазных перекрытий, а также перекрытий фаза-трос путем увеличения расстояний между проводами (проводами и тросами) с учетом возможных траекторий перемещений проводов при пляске.
Для выбора расстояний между проводами по условию пляски следует принять, что траектории движений провода в пучности волны пляски ограничены площадью эллипса, расположенного в плоскости, перпендикулярной оси линии. Соотношения между размерами эллипса пляски и стрелой провеса провода, угол наклона к вертикали большой оси (рис. 7) и прочие параметры, необходимые для определения допустимых расстояний между проводами (проводами и тросами) на промежуточных опорах, представлены в
табл. 3.
Рис. 7. Схема построения эллипсов пляски и отклонения
грозозащитного троса на промежуточных опорах для определения
возможности опасных сближений проводов и тросов
Соотношения между параметрами пляски,
используемые при построении эллипсов пляски
Наименование расчетных параметров | Обозначение параметра на рис. 7 | Значение параметра для |
ВЛ 35 кВ | ВЛ 110 кВ | ВЛ 150 кВ | ВЛ 220 кВ | ВЛ 330 кВ | ВЛ 500 кВ | ВЛ 750 кВ |
1. Большая ось эллипса | a | 0,5f | 0,5f | 0,5f | 0,5f | 0,75f | f | f |
2. Малая ось эллипса | b = 0,5a | 0,25f | 0,25f | 0,25f | 0,25f | 0,375f | 0,5f | 0,5f |
3. Угол отклонения провода | | 15° | 15° | 15° | 15° | 10° | 10° | 10° |
4. Угол отклонения троса по дуге радиуса  | | |
5. Угол наклона большой оси эллипса к вертикали | | 5° | 5° | 5° | 5° | 10° | 10° | 10° |
6. Малая амплитуда колебаний провода | | 0,2a | 0,2a | 0,2a | 0,2a | 0,2a | 0,2a | 0,2a |
7. Большая амплитуда колебаний провода | | 0,8a | 0,8a | 0,8a | 0,8a | 0,8a | 0,8a | 0,8a |
8. Допустимые наименьшие расстояния между проводами и тросами <*>, м | | 0,10 | 0,25 | 0,35 | 0,55 | 0,80 | 1,15 | 1,50 |
9. То же между проводами разных фаз <*>, м | | 0,20 | 0,45 | 0,60 | 0,95 | 1,4 | 2,0 | 2,6 |
Примечание. f - стрела провеса провода в габаритном пролете при температуре воздуха t = 0 °C;  - стрела провеса грозотроса в габаритном пролете при наибольшей гололедной нагрузке;  - длина изолирующей подвески грозотроса. |
--------------------------------
<*> Для ВЛ с расщеплением фаз и грозотросов определяется с учетом размера D - суммы радиусов наименьших окружностей, описываниях пучок проводов (тросов).
3.3.2. На промежуточных опорах ВЛ, расположенных в районах с частой повторяемостью пляски, для предотвращения междуфазовых перекрытий должны предусматриваться смещения проводов соседних ярусов по горизонтали. Для заданного расстояния по вертикали (H) между точками крепления соседних проводов наименьшее допустимое смещение проводов по горизонтали (S) определяется по формуле

, (4)
где

;

;

;

;
a, b,

,

, - параметры даны в
табл. 3.
В
формуле (4) знак минус означает, что точка крепления более высокого провода располагается левее точки крепления более низкого провода, а знак плюс означает, что точка крепления более высокого провода располагается правее точки крепления более низкого провода.
3.3.3. В районах с повторяемостью пляски проводов более одного раза в пять лет (определяемой из опыта эксплуатации линий электропередачи 35 - 750 кВ) расстояния между проводами соседних фаз должны быть не менее тех, которые указаны в табл. 4. Расстояния между проводами и грозозащитными тросами для указанных районов должны быть не менее тех, что приведены в
табл. 5. Решение о выборе расстояний между проводами (проводами и тросами) по условиям пляски должно приниматься заказчиком ВЛ совместно с проектной организацией с учетом требований к надежности линии. Для линий, требующих повышенной надежности, расстояния между проводами (проводами и тросами) могут быть приняты по табл. 4 и
табл. 5 при повторяемости пляски менее одного раза в пять лет.
Наименьшие смещения проводов соседних ярусов
по горизонтали на промежуточных опорах в районах
с повторяемостью пляски более одного раза в пять лет
Напряжение ВЛ, кВ | Расстояние по вертикали (H), м | Расстояние по горизонтали, м, при стрелах провеса при 0 °C, м |
4 | 5 | 6 | 8 | 12 | 16 | 20 | 30 и более |
35 | 2,5 3,0 3,5 4,0 4,5 5,0 5,5 6,0 6,5 7,0 7,5 | 0 0 0 0 0 0 0 0 0 0 0 | 0,70 0 0 0 0 0 0 0 0 0 0 | 1,20 0,75 0 0 0 0 0 0 0 0 0 | 1,90 1,70 1,45 0,90 0 0 0 0 0 0 0 | 3,10 3,00 2,85 2,70 2,50 2,20 1,80 1,15 0 0 0 | 4,15 4,10 4,05 3,95 3,80 3,65 3,50 3,25 2,95 2,60 2,15 | 5,20 5,15 5,10 5,05 4,95 4,85 4,75 4,60 4,45 4,25 4,00 | 6,25 6,20 6,20 6,15 6,10 6,0 5,90 5,80 5,65 5,55 5,40 |
110 | 3,0 3,5 4,0 4,5 5,0 5,5 6,0 6,5 7,5 8,0 | 0 0 0 0 0 0 0 0 0 0 | 0 0 0 0 0 0 0 0 0 0 | 1,15 0 0 0 0 0 0 0 0 0 | 2,00 1,72 1,30 0 0 0 0 0 0 0 | 3,25 3,10 2,95 2,75 2,50 2,15 1,60 0 0 0 | 4,35 4,25 4,15 4,05 3,90 3,70 3,50 3,25 2,50 1,90 | 5,40 5,35 5,30 5,20 5,10 5,00 4,85 4,70 4,25 4,00 | 6,45 6,40 6,35 6,30 6,25 6,15 6,05 5,90 5,65 5,45 |
150 | 3,5 4,0 4,5 5,0 5,5 6,0 6,5 7,0 7,5 8,0 8,5 | 0 0 0 0 0 0 0 0 0 0 0 | 0 0 0 0 0 0 0 0 0 0 0 | 0,65 0 0 0 0 0 0 0 0 0 0 | 1,90 2,50 0,75 0 0 0 0 0 0 0 0 | 3,25 3,10 2,90 2,85 2,30 1,85 0,95 0 0 0 0 | 4,40 4,30 4,20 4,05 3,85 3,65 3,40 3,10 2,70 2,15 1,15 | 5,50 5,45 5,35 5,25 5,15 5,00 4,85 4,65 4,40 4,15 3,85 | 6,55 6,50 6,45 6,40 6,30 6,20 6,05 5,95 5,75 5,60 5,40 |
220 | 4,0 4,5 5,0 5,5 6,0 6,5 7,0 7,5 8,0 8,5 9,0 | 0 0 0 0 0 0 0 0 0 0 0 | 0 0 0 0 0 0 0 0 0 0 0 | 0 0 0 0 0 0 0 0 0 0 0 | 1,95 1,45 0 0 0 0 0 0 0 0 0 | 3,45 3,25 3,05 2,75 2,35 1,75 0 0 0 0 0 | 4,45 4,55 4,40 4,25 4,05 3,80 3,50 3,15 2,70 2,05 0 | 5,80 5,70 5,60 5,50 5,35 5,20 5,00 4,80 4,55 4,25 3,95 | 6,85 6,80 6,70 6,65 6,55 6,40 6,30 6,15 5,95 5,75 5,55 |
Продолжение таблицы 4
Напряжение ВЛ, кВ | Расстояние по вертикали (H), м | Расстояние по горизонтали, м, при стрелах провеса при 0 °C, м |
4 | 5 | 6 | 8 | 12 | 16 и более |
330 | 5,0 5,5 6,0 6,5 7,0 7,5 8,0 8,5 9,0 9,5 10,0 | 0 0 0 0 0 0 0 0 0 0 0 | 1,20 0 0 0 0 0 0 0 0 0 0 | 2,45 1,85 0 0 0 0 0 0 0 0 0 | 3,80 3,55 3,20 2,80 2,10 0 0 0 0 0 0 | 5,80 5,70 5,55 5,40 5,20 4,95 4,70 4,35 3,95 3,40 2,60 | 7,55 7,45 7,40 7,30 7,20 7,05 6,95 6,75 6,60 6,35 6,10 |
Окончание таблицы 4
Напряжение ВЛ, кВ | Расстояние по вертикали (H), м | Расстояние по горизонтали, м, при стрелах провеса при 0 °C, м |
4 | 5 | 6 | 8 | 12 и более |
500 | 6,0 6,5 7,0 7,5 8,0 8,5 9,0 9,5 10,0 10,5 11,0 | 0 0 0 0 0 0 0 0 0 0 0 | 2,90 2,25 0 0 0 0 0 0 0 0 0 | 3,95 3,55 3,10 2,40 0 0 0 0 0 0 0 | 5,50 5,30 5,05 4,80 4,45 4,05 3,55 2,75 0 0 0 | 8,00 7,90 7,80 7,65 7,55 7,40 7,20 7,00 6,80 6,50 6,20 |
750 | 7,0 7,5 8,0 8,5 9,0 9,5 10,0 11,0 11,5 12,0 12,5 13,0 | 0 0 0 0 0 0 0 0 0 0 0 0 | 2,50 1,20 0 0 0 0 0 0 0 0 0 0 | 3,90 3,45 2,75 1,30 0 0 0 0 0 0 0 0 | 5,70 5,45 5,15 4,80 4,40 3,85 3,10 0 0 0 0 0 | 8,40 8,25 8,15 8,00 7,80 7,60 7,40 6,90 6,55 6,20 5,80 5,25 |
Наименьшие смещения проводов и тросов по горизонтали
на промежуточных опорах в районах с повторяемостью
пляски более одного раза в пять лет
Напряжение ВЛ, кВ | Расстояние по вертикали (H), м | Расстояние по горизонтали, м, при стрелах провеса при 0 °C, м |
6 | 8 | 10 | 12 | 14 | 16 | 20 |
35 | 2,5 3,0 3,5 4,0 4,5 5,0 5,5 6,0 6,5 7,0 7,5 8,0 9,0 | 0 0 0 0 0 0 0 0 0 0 0 0 0 | 1,75 0,70 0 0 0 0 0 0 0 0 0 0 0 | 3,20 2,40 1,40 0,80 0 0 0 0 0 0 0 0 0 | 4,50 3,80 3,00 2,10 0,95 0 0 0 0 0 0 0 0 | 5,75 5,10 4,45 3,65 2,75 1,70 0,35 0 0 0 0 0 0 | 6,95 6,40 5,75 5,05 4,30 3,40 2,40 1,20 0 0 0 0 0 | 9,35 8,85 8,25 7,65 7,0 6,30 5,55 4,70 3,75 2,70 1,45 0 0 |
110 | 3,0 3,5 4,0 4,5 5,0 5,5 6,0 6,5 7,0 7,5 8,0 8,5 9,5 | 0 0 0 0 0 0 0 0 0 0 0 0 0 | 1,00 0 0 0 0 0 0 0 0 0 0 0 0 | 2,60 1,70 0,50 0 0 0 0 0 0 0 0 0 0 | 3,95 3,25 2,35 1,30 0 0 0 0 0 0 0 0 0 | 5,30 4,60 3,85 3,00 2,00 0,75 0 0 0 0 0 0 0 | 6,55 5,90 5,25 4,50 3,65 2,70 1,55 0,10 0 о 0 0 0 | 8,95 8,40 7,80 7,15 6,45 5,75 4,90 4,00 3,00 1,80 0,35 0 0 |
150 | 3,5 4,0 4,5 5,0 5,5 6,0 6,5 7,0 7,5 8,0 8,5 9,0 | 0 0 0 0 0 0 0 0 0 0 0 0 | 0 0 0 0 0 0 0 0 0 0 0 0 | 1,85 0,75 0 0 0 0 0 0 0 0 0 0 | 3,35 2,50 1,50 0,15 0 0 0 0 0 0 0 0 | 4,70 4,00 3,15 2,20 1,00 0 0 0 0 0 0 0 | 6,00 5,35 4,60 3,80 2,85 1,75 0,40 0 0 0 0 0 | 8,50 7,90 7,30 6,60 5,85 5,05 4,15 3,15 2,00 0,65 0 0 |
220 | 4,0 4,5 5,0 5,5 6,0 6,5 7,0 7,5 8,0 8,5 9,0 | 0 0 0 0 0 0 0 0 0 0 0 | 0 0 0 0 0 0 0 0 0 0 0 | 1,15 0 0 0 0 0 0 0 0 0 0 | 2,80 1,85 0,65 0 0 0 0 0 0 0 0 | 4,25 3,45 2,55 1,45 0,50 0 0 0 0 0 0 | 5,55 4,85 4,05 3,20 2,15 0,95 0 0 0 0 0 | 8,10 7,50 6,80 6,10 5,35 4,45 3,50 2,45 1,15 0 0 |
330 | 5,0 5,5 6,0 6,5 7,0 7,5 8,0 8,5 9,0 9,5 10,0 10,5 11,0 | 0 0 0 0 0 0 0 0 0 0 0 0 0 | 1,15 0 0 0 0 0 0 0 0 0 0 0 0 | 3,55 2,65 1,60 0,10 0 0 0 0 0 0 0 0 0 | 5,45 4,80 4,00 3,10 2,05 0,65 0 0 0 0 0 0 0 | 7,25 6,65 6,00 5,30 4,50 3,55 2,50 1,20 0 0 0 0 0 | 8,95 8,40 7,80 7,20 6,50 5,75 4,95 4,05 2,95 1,70 0 0 0 | 9,85 9,25 8,55 7,90 7,10 6,30 5,40 4,35 3,20 1,85 0,50 0 0 |
500 | 6,0 6,5 7,0 7,5 8,0 8,5 9,0 9,5 10,0 10,5 11,0 | 0 0 0 0 0 0 0 0 0 0 0 | 2,75 1,90 0,70 0 0 0 0 0 0 0 0 | 5,15 4,55 3,85 3,05 2,10 0,90 0 0 0 0 0 | 7,25 6,75 6,20 5,60 4,90 4,15 3,30 2,30 1,05 0 0 | 7,75 7,20 6,60 5,95 5,20 4,40 3,50 2,40 1,10 0 0 | 8,20 7,60 6,95 6,25 5,50 4,65 3,65 2,55 1,15 0 0 | 9,00 8,35 7,60 6,65 5,95 5,05 3,95 2,85 1,30 0 0 |
750 | 7,0 7,5 8,0 8,5 9,0 9,5 10,0 10,5 11,0 11,5 | 0 0 0 0 0 0 0 0 0 0 | 1,35 0,70 0 0 0 0 0 0 0 0 | 4,15 3,45 2,55 1,55 0,25 0 0 0 0 0 | 6,45 5,85 5,20 4,50 3,70 2,80 1,70 0,40 0 0 | 6,85 6,25 5,55 4,80 3,90 2,95 1,85 0,40 0 0 | 7,25 6,60 5,85 5,05 4,15 3,15 1,95 0,45 0 0 | 7,95 7,20 6,40 5,50 4,50 3,40 2,15 0,55 0 0 |
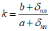
3.4. Экспертная оценка фактора опасности пляски проводов ВЛ
3.4.1. При недостатке объективных данных о пляске факторы, оказывающие наиболее существенное влияние на частоту ее повторяемости и интенсивность, могут быть определены путем экспертной оценки. Обобщенный фактор опасности пляски количественно определяется путем перемножения величин отдельных факторов пляски

,
где R - обобщенный фактор опасности пляски;

- знак произведения значений пяти частных факторов;

- частные факторы опасности пляски.
3.4.2. Фактор ветровой активности

определяется среднемесячной продолжительностью действия ветров скоростью 6 - 20 м/с, направленных под углами от -45 до +45° к трассе предполагаемой ВЛ, в течение гололедного сезона.
Суммарная продолжительность ветров скоростью 6 - 20 м/с, направленных под углами  к оси ВЛ в среднем за месяц в течение гололедного сезона, ч | Значение фактора ветровой активности  |
50 | 0,50 |
100 | 0,75 |
200 | 1,00 |
300 | 1,25 |
500 и более | 1,5 |
3.4.3. Фактор гололедной опасности

определяется числом дней в год, когда на проводах можно ожидать появление отложений гололеда, мокрого снега, смеси или изморози.
Среднегодовое число дней с отложениями гололеда, мокрого снега или изморози на проводах | Значение фактора гололедной опасности  |
Менее 10 | 1 |
20 | 2 |
30 | 3 |
40 | 4 |
50 | 5 |
60 и более | 10 |
3.4.4. Топографический фактор

отражает влияние рельефа местности, наличие растительности и застройки в районе прохождения ВЛ.
Характерные особенности топографии | Значение топографического фактора  |
Территория города с высокой застройкой, лесной массив, трасса вдоль горной долины, высокогорные районы | 0,5 |
Пересеченная местность, редкий или низкорослый лес, невысокая (сельская) застройка | 0,75 |
Отдельные деревья, строения, кустарник | 1,0 |
Ровная открытая местность | 1,5 |
Ровная открытая местность, вершины холмов со снежным покровом более 3 мес. в году, парящий в зимнее время пруд-охладитель | 2,0 |
3.4.5. Конструктивный фактор

характеризует влияние геометрии расположения проводов на опорах, длин пролетов, тип крепления проводов на опорах.
Конструктивные особенности линии | Значение конструктивного фактора  |
Отношение расстояния между проводами соседних фаз по прямой к стреле провеса: | |
анкерное крепление: | |
2 и более | 0,50 |
1 | 0,75 |
0,5 и менее | 1,00 |
на промежуточных опорах: | |
2 и более | 0,50 |
1 | 1,00 |
0,5 и менее | 1,50 |
3.4.6. Фактор влияния расщепления фаз

характеризует рост подверженности пляске с увеличением числа составляющих расщепленной фазы
Число проводов в фазе | Значение фактора расщепления фазы  |
1 | 1,0 |
2 | 1,2 |
3 | 1,4 |
4 | 1,6 |
5 | 1,8 |
8 | 2,0 |
3.4.7. В зависимости от обобщенного фактора опасности пляски, значения которого располагаются в диапазоне от 0,125 до 90, по оценочной шкале может быть определена степень опасности пляски для существующей, проектируемой или сооружаемой линии.
Значение обобщенного фактора опасности пляски R | Оценка степени опасности пляски |
До 1 | Опасность отсутствует |
От 1,1 до 3 | Опасность мала |
От 3,1 до 10 | Опасность реальна |
От 10,1 до 50 | Опасность высока |
От 50,1 до 90 | Опасность тяжелых аварий |
В тех случаях когда значение фактора R >= 10, необходимо в плановом порядке предусматривать мероприятия по изменению конструкции линии, либо по применению устройств защиты от пляски. Если R >= 50, указанные мероприятия необходимо выполнять срочно.
4. УКАЗАНИЯ ПО РАЙОНИРОВАНИЮ ТЕРРИТОРИЙ
ЭНЕРГОСИСТЕМ И ТРАСС ВЛ ПО ЧАСТОТЕ ПОВТОРЯЕМОСТИ
И ИНТЕНСИВНОСТИ ПЛЯСКИ ПРОВОДОВ
4.1. Определение частоты повторяемости и интенсивности пляски проводов для выбора конструкции ВЛ и мероприятий по защите от пляски должно производиться на основании карт районирования территорий энергосистем по пляске проводов с уточнением по материалам многолетних наблюдений гидрометеорологических станций и метеопостов энергосистем за скоростью ветра, интенсивностью и формой отложений гололеда, мокрого снега, смеси или изморози на проводах.
4.2. При составлении карт районирования территорий энергосистем по пляске главным источником информации являются данные о случаях пляски проводов ВЛ 35 - 750 кВ, локализация участков местности и трасс ВЛ, где интенсивная пляска повторяется неоднократно.
При обработке данных наблюдений должно быть учтено влияние микроклиматических особенностей на интенсивность гололедообразования и на скорость ветра как за счет природных условий (рельеф местности, высота над уровнем моря, наличие крупных естественных водоемов), так и за счет существующих и проектируемых инженерных сооружений (парящие пруды-охладители, высотная застройка и т.д.).
4.3. По степени активности пляски, климатическим и топографическим особенностям местности на территории энергосистем (по трассе ВЛ) выделяются районы (участки) в соответствии с
табл. 6. При выделении того или иного района пляски определяющее значение имеют эксплуатационные данные о частоте повторяемости пляски проводов ВЛ 35 - 750 кВ, накопленные за период 5, 10 и 15 лет. В случае отсутствия достоверных данных об амплитуде пляски максимальная ожидаемая амплитуда пляски одиночных проводов определяется по методике, изложенной в
разд. 3.2.
При недостатке или отсутствии эксплуатационной информации о случаях пляски проводов, что характерно для труднодоступных районов, где проведение наблюдений пляски затруднено, а также для вновь осваиваемых районов, выделение ожидаемых районов пляски производится на основании анализа многолетних наблюдений гидрометеослужбы, учета специфики местности, макро- и микрорельефа, по результатам экспертной оценки обобщенного фактора опасности пляски.
4.4. Мероприятия по районированию территорий энергосистем и трасс ВЛ могут быть выполнены персоналом энергосистем, проектными организациями либо ВНИИЭ на договорной основе. Согласование карт районирования территорий энергосистем производится ВНИИЭ.
Характеристики районов пляски
Район пляски | Параметры пляски по данным наблюдений на ВЛ 35 - 750 кВ | Климатические условия, топография местности, экспертная оценка опасности пляски |
Частота повторяемости пляски | Амплитуда пляски "пик-пик", м | Число дней в году с сочетанием ветра 6 - 20 м/с и гололеда (снега, изморози) толщиной 3 - 20 мм | Особенности рельефа и топографии местности | Обобщенный фактор опасности пляски |
1 | 1 раз в 15 лет | До 1,5 | 1 | Редкий или низкорослый лес, кустарник, невысокая или несплошная застройка | 1 - 3 |
2 | 1 раз в 10 лет | 1,5 - 3 | 2 | | 3 - 5 |
3 | 1 раз в 5 лет | 3 - 4 | 3 | Ровная открытая местность | 5 - 10 |
4 | 2 раза в 5 лет | 4 - 6 | 5 | | 10 - 50 |
Особый | Более 2 раз в 5 лет | 6 - 10 | 10 и более | Вершины холмов, гребни хребтов высотой до 1500 м, парящие в зимнее время естественные водоемы или пруды-охладители | 50 - 90 |
5. УКАЗАНИЯ ПО ЗАЩИТЕ ОТ ПЛЯСКИ
5.1. Защита от пляски ВЛ с одиночными проводами
5.1.1. Защите подлежат ВЛ традиционного типа с одиночными проводами, расположенные в 3, 4-м или особом районах пляски (см.
табл. 6). Во 2-м районе пляски защитные мероприятия выполняются в том случае, если требуется повышенная надежность электроснабжения потребителей.
5.1.2. На линиях электропередачи компактного типа (с уменьшенными междуфазовыми расстояниями) защиту следует предусматривать, начиная с 1-го района пляски.
5.1.3. На ВЛ с вертикальным или треугольным расположением фаз при междуфазовых расстояниях менее 3 м рекомендуется применение междуфазовых изолирующих распорок, основным назначением которых является предотвращение междуфазовых перекрытий. Для ВЛ традиционного типа в 3-м районе пляски рекомендуется установка междуфазовых распорок по 2 шт. на пролет (рис. 8), в 4-м и особом районах - по 4 распорки на пролет
(рис. 9). На ВЛ компактного типа с треугольным расположением проводов изолирующие междуфазовые распорки рекомендуется устанавливать по групповой схеме (по 3 распорки в группе) с интервалами между группами распорок 60 - 130 м
(рис. 10).
Рис. 8. Система из двух распорок в пролете
Рис. 9. Система из четырех распорок в пролете
Рис. 10. Установка междуфазовых распорок
по групповой схеме на ВЛ компактного типа
5.1.4. Для ограничения амплитуд пляски с числом полуволн от 1 до 4, предотвращения повреждений изолирующей подвески и элементов опор рекомендуется применение механических гасителей типа эксцентричных грузов фирмой ОРГРЭС и ВНИИЭ разработаны две конструкции гасителей этого типа.
При применении гасителей фирмы ОРГРЭС
[8] предусматривается установка массивных грузов
(рис. 11, а) по два груза на каждом проводе в каждом защищаемом от пляски пролете
(рис. 11, б).
При применении гасителей ВНИИЭ предусматривается установка легких эксцентричных грузов
(рис. 12) массой от 1 до 3 кг, а также грузов-ограничителей закручивания провода. Последние устанавливаются под проводом в вертикальной плоскости и обеспечивают устойчивое горизонтальное положение эксцентричных грузов-гасителей пляски, предотвращая их опрокидывание при любых эксплуатационных воздействиях
[9].
По вопросам выбора параметров и схем установки в пролетах ВЛ каждого из указанных гасителей обращаться соответственно в ОРГРЭС и ВНИИЭ.
Рис. 11. Гаситель пляски конструкции фирмы ОРГРЭС:
а - конструкция гасителя; б - пример расстановки
гасителя на проводе (тросе) в пролете ВЛ
(условно показан один провод)
Рис. 12. Гаситель пляски ВНИИЭ:
а - вдоль линии; б - вид сверху;
1 - груз; 2 - плашечный зажим; 3 - провод;
4 - армирующие прутки
5.2. Защита от пляски пучка из двух проводов
5.2.1. Защите подлежат линии электропередачи, расположенные в 3, 4-м и особом районах пляски, а также не имеющие резервирования радиальные линии во 2-м районе пляски.
5.2.2. Для защиты от пляски рекомендуется применение механических гасителей типа эксцентричных грузов (см.
рис. 12), устанавливаемых в середине каждого подпролета между внутрифазовыми дистанционными распорками
[10] поочередно справа и слева от вертикальной плоскости, проходящей через продольную ось провода (рис. 13),
(рис. 14).
Рис. 13. Расположение эксцентричных грузов
на проводах пучка из двух горизонтально расположенных
составляющих (вид сверху)
Рис. 14. Расположение эксцентричных грузов на проводах пучка
из двух вертикально расположенных составляющих (вид спереди)
5.3. Защита от пляски пучков из трех и более проводов
5.3.1. Защите подлежат ВЛ с многократно расщепленными проводами, расположенные в 3, 4-м и особом районах пляски.
5.3.2. Для защиты от пляски рекомендуется применение гасителей маятникового типа
[11]. Разработаны модификации гасителей для ВЛ 400 и 500 кВ с шагом расщепления между проводами пучка 400 и 600 мм (рис. 15). В зависимости от диаметра проводов и длины пролетов рекомендуется устанавливать от четырех до шести гасителей на пролет с массами маятников от 20 до 30 кг. В пролетах ВЛ 750 кВ с расщеплением фаз на пять составляющих рекомендуется устанавливать 4 - 6 маятниковых гасителей с массами маятников от 30 до 50 кг
(рис. 16). По вопросам выбора параметров и схем установки гасителей пляски маятникового типа в пролетах ВЛ 400, 500 и 750 кВ обращаться во ВНИИЭ.
Рис. 15. Гаситель пляски маятникового типа 3ГП50-400-1
для трех проводов ВЛ 400 и 500 кВ
Рис. 16. Гаситель пляски маятникового типа 5ГП80-400-1
для пяти проводов ВЛ 750 кВ
Список использованной литературы
1. TRANSMISSION Line Reference Book. Wind-induced conductor motion. EPRI, USA.
2. ПУСТЫЛЬНИКОВ Л.Д., Шкапцов В.А. Аэродинамически неустойчивые колебания проводов воздушных линий электропередачи с гололедными отложениями. - Изв. АН СССР. Энергетика и транспорт, 1991, N 2.
3. O'DONNEL J. Anti-galloping conductor passes more field tests. Transmission and Distribution, October, 1983.
4. ЛОВЕЦКАЯ Е.Н., Савваитов Д.С., Шкапцов В.А. Анализ случаев пляски проводов ВЛ 10 - 750 кВ. - Электрические станции, 1987, N 2.
5. YANAGISAVA T. et all. Verification Test of 8-Bundle Conductor on the Oku-Nikko, UHV Test Line.
5-th International Workshop on Atmospheric Icing of Structures, 1990, Tokyo, Japan, report A 7-3.
6. C.B. RAWLINS. Analysis of conductor galloping field observations-single conductors. IEEE Transactions on Power Apparatus and Systems, Vol. PAS-100, N 8, August, 1981.
7. C.B. RAWLINS. Conductor galloping field observation analysis update. ALCOA Conductor Products Company. Technical note N 26, January, 1986.
8. ЯКОВЛЕВ Л.В. Изучение пляски проводов. - Электрические станции, 1970, N 7.
9. А.с. 1584021 СССР. Воздушная линия электропередачи/В.А. Шкапцов и др. - Бюл.: Открытия. Изобретения, 1990, N 29.
10. А.с. 1601679 СССР. Воздушная линия электропередачи/В.А. Шкапцов и др. - Бюл.: Открытия. Изобретения, 1990, N 39.
11. ШКАПЦОВ В.А. и др. Конструкции гасителей пляски маятникового типа для ВЛ 400 - 1150 кВ. - Экспресс-информация. Серия: Линии электропередачи и подстанции. Вып. 8 (М.: Информэнерго, 1990).