Главная // Актуальные документы // Методические указанияСПРАВКА
Источник публикации
М.: Федеральный центр гигиены и эпидемиологии Роспотребнадзора, 2023
Примечание к документу
Текст документа приведен в соответствии с публикацией на сайте https://bi-file.ru по состоянию на 03.04.2024.
Взамен
МУК 4.3.1167-02, утв. Главным государственным санитарным врачом РФ, Первым заместителем Министра здравоохранения РФ 07.10.2002.
Название документа
"МУК 4.3.3921-23. 4.3. Методы контроля. Физические факторы. Определение плотности потока энергии электромагнитного поля в местах размещения радиоэлектронных средств, работающих в диапазоне частот 300 МГц - 300 ГГц. Методические указания"
(утв. Роспотребнадзором 30.06.2023)
"МУК 4.3.3921-23. 4.3. Методы контроля. Физические факторы. Определение плотности потока энергии электромагнитного поля в местах размещения радиоэлектронных средств, работающих в диапазоне частот 300 МГц - 300 ГГц. Методические указания"
(утв. Роспотребнадзором 30.06.2023)
Руководитель Федеральной службы
по надзору в сфере защиты прав
потребителей и благополучия человека,
Главный государственный санитарный врач
Российской Федерации
А.Ю.ПОПОВА
30 июня 2023 года
4.3. МЕТОДЫ КОНТРОЛЯ. ФИЗИЧЕСКИЕ ФАКТОРЫ
ОПРЕДЕЛЕНИЕ ПЛОТНОСТИ ПОТОКА ЭНЕРГИИ ЭЛЕКТРОМАГНИТНОГО ПОЛЯ
В МЕСТАХ РАЗМЕЩЕНИЯ РАДИОЭЛЕКТРОННЫХ СРЕДСТВ,
РАБОТАЮЩИХ В ДИАПАЗОНЕ ЧАСТОТ 300 МГц - 300 ГГц
МЕТОДИЧЕСКИЕ УКАЗАНИЯ
МУК 4.3.3921-23
1. Разработаны ФБУН "Северо-Западный научный центр гигиены и общественного здоровья" (В.Н. Никитина, Н.И. Калинина, Е.Н. Дубровская, В.П. Плеханов); ФГУП Самарское отделение научно-исследовательского института радио (Ю.М. Сподобаев, М.Ю. Маслов); ФГБОУ ВО "Поволжский государственный университет телекоммуникаций и информатики" (В.П. Кубанов) с участием ФГУП "Главный радиочастотный центр" в Северо-Западном федеральном округе (Д.Н. Симонов); ФГБНУ "Научно-исследовательский институт медицины труда имени академика Н.Ф. Измерова" (Н.Б. Рубцова, С.Ю. Перов, О.В. Белая); ФБУН "Федеральный научный центр медико-профилактических технологий управления рисками здоровью населения" (Н.В. Зайцева, А.Л. Пономарев, Т.С. Уланова, О.А. Молок, А.А. Одегов); ФБУЗ "Центр гигиены и эпидемиологии в городе Санкт-Петербурге и Ленинградской области" (И.В. Драй, В.В. Лисичкин); ФГУП "Крыловский государственный научный центр (А.Б. Разлетова, Р.Я. Низкий).
2. Утверждены Руководителем Федеральной службы по надзору в сфере защиты прав потребителей и благополучия человека, Главным государственным санитарным врачом Российской Федерации А.Ю. Поповой 30 июня 2023 г.
3. МУК 4.3.3921-23 введены взамен
МУК 4.3.1167-02 "Определение плотности потока энергии электромагнитного поля в местах размещения радиосредств, работающих в диапазоне частот 300 МГц - 300 ГГц", утвержденных Главным государственным врачом Российской Федерации, Первым заместителем Министра здравоохранения Российской Федерации 07.10.2002.
I. Область применения и общие положения
1.1. В настоящих методических указаниях (далее - МУК) представлены методики расчета и порядок измерения уровней электромагнитных полей (далее - ЭМП), создаваемых в окружающей среде антеннами передающих радиоэлектронных средств (далее - РЭС), работающих в диапазоне частот 300 МГц - 300 ГГц.
1.2. МУК распространяется на радиорелейные системы передачи прямой видимости (далее - РРСП ПВ), тропосферные радиорелейные системы передачи (далее - ТРРСП), спутниковые системы передачи (далее - ССП), радиолокационные станции (далее - РЛС), средства беспроводного доступа к информационно-коммуникационной сети "интернет".
1.3. МУК не распространяется на средства телевидения и базовые станции сухопутной подвижной связи.
1.4. Определение уровней ЭМП проводится с целью прогнозирования и изучения электромагнитной обстановки, определения границ санитарно-защитных зон (далее - СЗЗ) и зон ограничения (далее - ЗО) в местах размещения РЭС.
1.5. Расчетное прогнозирование и измерения уровней ЭМП не проводятся при размещении РЭС вне здания с эффективной излучаемой мощностью передатчика не более 10 Вт в диапазоне частот 300 МГц - 300 ГГц.
Расчетное прогнозирование уровней ЭМП не проводится от средств беспроводного доступа к информационно-коммуникационной сети "интернет".
1.6. МУК предназначены для специалистов органов и организаций Федеральной службы по надзору в сфере защиты прав потребителей и благополучия человека, а также могут быть использованы специалистами испытательных лабораторий (центров), аккредитованными в национальной системе аккредитации в соответствии с законодательством Российской Федерации <1>, проектных организаций и владельцев РЭС.
--------------------------------
<1> Федеральный
закон от 28.12.2013 N 412-ФЗ "Об аккредитации в национальной системе аккредитации".
1.7. МУК носят рекомендательный характер.
II. Общие требования к расчету плотности потока энергии
2.1. Расчет уровней плотности потока энергии (далее - ППЭ) электромагнитных полей проводится:
- для оценки электромагнитной обстановки в местах размещения проектируемых, действующих и реконструируемых РЭС;
- при изменении условий размещения, режимов работы, действующих РЭС, влияющих на интенсивность ЭМП в окружающей среде (например, изменение конструкции и расположения антенн, характеристик диаграмм направленности, мощностей излучения);
- при изменении градостроительной ситуации (этажности и плотности застройки прилегающих территорий).
2.2. Основными данными, необходимыми для расчетного прогнозирования электромагнитной обстановки являются: излучаемая мощность передатчика, рабочая частота (длина волны), коэффициент направленного действия (далее - КНД) антенны, пространственное положение и геометрические размеры излучающих элементов. Характеристики антенн РЭС представлены в
приложении 1 к настоящим МУК.
2.3. В материалы расчетов уровней ЭМП на территории, прилегающей к РЭС, включаются текстовые материалы, результаты расчетного прогнозирования ППЭ, расчетные границы СЗЗ и ЗО, их графическое изображение, выводы по результатам расчетов.
III. Расчет плотности потока энергии
вблизи параболических антенн с круглой апертурой
3.1. ППЭ апертурной антенны в произвольной точке пространства (в рамках энергетического подхода к решению задачи) определяется по
формуле (1):

, где (1)
Па - апертурная составляющая ППЭ;
Побл - составляющая ППЭ, определяемая излучением облучателя;
Пдиф - составляющая ППЭ, обусловленная токами, протекающими вблизи кромки зеркала (дифракционными токами);
Ппр - составляющая ППЭ, возникающая в результате прохождения энергии сквозь основное зеркало антенны, если оно имеет решетчатую структуру.
3.2. Пространство вблизи антенны условно делится на 5 характерных областей (I - V области), которые ввиду симметрии показаны на
рис. 1 только в секторе углов

.
Рис. 1. Области анализа ППЭ
ППЭ в области I определяется апертурной составляющей Па и составляющей облучателя Побл.
В области II - заднем полупространстве антенны ППЭ определяется составляющей Пдиф. Если зеркало выполнено в виде решетчатой структуры, то к дифракционному полю добавляется поле, прошедшее в область II сквозь ячейки решетки - составляющая Ппр.
В области III учитываются составляющие
Побл и
Пдиф. Область III в заднем полупространстве существует только для длиннофокусных антенн, когда

.
В области IV ППЭ определяется в основном составляющими Побл и Пдиф, но рекомендуется также учитывать и Па (особенно вблизи границы раздела областей I и IV).
Область V является областью конструкции антенны и находится внутри гипотетического цилиндра с площадью основания, равной площади апертуры и высотой 2 - 4 диаметра апертуры (эту область иногда называют областью прожекторного луча).
3.3. Используемые допущения:
- амплитудное распределение поля по апертуре задается в виде "параболы на пьедестале",
формула (2):

, где (2)
r - текущее значения координаты на диаметре апертуры; d - диаметр апертуры.
- облучатель и антенна имеют характеристики направленности с осевой симметрией относительно направлений их максимального излучения;
- характеристика направленности облучателя вне сектора углов перехвата энергии основным зеркалом считается неизменной и равной 0,316 по напряженности поля (по мощности 0,1);
- апертура имеет затенение, характеризуемое коэффициентом затенения:

, где
dФ - диаметр "теневого диска"; d - диаметр апертуры.
Расчет плотности потока энергии в области I
3.4. Плотность потока энергии в расчетной точке M
(рис. 2) представляется в виде двух составляющих,
формула (3):

, где (3)
Па - апертурная составляющая ППЭ, Вт/м
2 (рис. 2а);
Побл - составляющая ППЭ, определяемая непосредственно излучением облучателя, Вт/м
2 (рис. 2б).
Рис. 2. К расчету апертурной составляющей ППЭ (а)
и составляющей ППЭ облучателя (б)
В предположении осевой симметрии характеристик направленности апертуры и облучателя составляющие ППЭ имеют выражение,
формулы (4,
5):

(4)

, где (5)
P - мощность, излучаемая антенной, Вт;
D0 - КНД антенны в направлении максимального излучения в дальней зоне (величина безразмерная);
B2(R) - функция, учитывающая зависимость КНД от расстояния;

- нормированная характеристика направленности антенны по мощности;

- сферические координаты расчетной точки;
Dобл - КНД облучателя в направлении максимального излучения;

- нормированная характеристика направленности облучателя по мощности (угол

).
3.5. Электрические параметры апертуры - характеристика направленности и КНД являются функциями расстояния R, при этом данные параметры облучателя не зависят от R, считается, что расчетная точка по отношению к облучателю всегда находится в дальней зоне.
Вводятся переменные:

; (6)
d - диаметр апертуры, м;

- длина волны, м;

- граничное расстояние, начиная с которого допускается считать, что расчетная точка находится в дальней зоне.

, Вт/м
2, где (8)
P - средняя излучаемая мощность.
Если техническое средство работает в импульсном режиме (например РЛС)

, где
Pi - импульсная мощность;

- отношение длительности импульса к периоду его следования.
Перевод размерности ППЭ Вт/м
2 в мкВт/см
2 осуществляется в
выражении (7) умножением на 100.
Переход от абсолютных значений ППЭ к относительным (децибелам относительно 1 мкВт/см
2) осуществляется по
формуле (9):

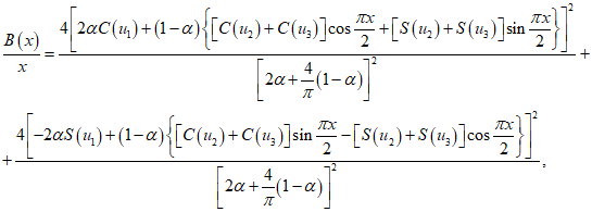
, дБ, где (9)
B(x) - функция, учитывающая изменение КНД в зависимости от относительного расстояния;
F(u,x) - нормированная характеристика направленности апертуры в обобщенных координатах u, x.
С учетом принятых допущений
выражение (4) при переходе к относительным значениям (децибелам относительно 1 мкВт/см
2) приводится к виду,
формула (10):
| | ИС МЕГАНОРМ: примечание. Абзац дан в соответствии с официальным текстом документа. | |

, дБ, где (10)
Аналитическое выражение функции
B(
x)/
x для круглой апертуры с амплитудным распределением типа
(2) имеет вид,
формула (11):

, где (11)
b0, b1, b2, c - коэффициенты.
В области
x < 0,105
функция (10) сильно осциллирующая, а в области
x > 0,105 - изменяется монотонно. Осциллирующую часть функции следует заменить огибающей ее максимумов.
| | ИС МЕГАНОРМ: примечание. В официальном тексте документа, видимо, допущена опечатка: имеется в виду рисунок 20 Приложения 2, а не рисунок 1. | |
На
рис. 1 (приложения 2 к настоящим МУК) приведена функция

. В области
x > 1 функция

.
На
рис. 3 показана круглая апертура с центральным затенением (затенение моделируется отсутствием элементов Гюйгенса в центре апертуры - светлый круг). Поле в точке
M является суперпозицией полей элементов Гюйгенса
dS, расположенных на поверхности раскрыва (апертуре).
Рис. 3. К расчету функции
F(
u,
x)
3.6. Напряженность электрического поля, создаваемая в расчетной точке
M всей совокупностью элементов Гюйгенса, находящихся в апертуре, определяется следующей
формулой (12):

, где (12)

, где

.
В
выражении (12) геометрические параметры

,

,
rS являются функциями

и
R. Нормированная характеристика направленности апертуры имеет вид,
формула (13):

. (13)
В терминах координат
u,
x направленные свойства апертуры характеризуются функцией
F(
u,
x). В процессе расчета каждой функции
F(
u,
x) требуются вычислительные затраты, которые растут с увеличением отношения

. Функции
F(
u,
x) сильно осциллирующие, поэтому в практических расчетах ППЭ следует использовать их гарантированные огибающие. Для удобства практических расчетов гарантированные огибающие табулированы и приведены в
табл. 1,
2 приложения 2 к настоящим МУК. При значениях
x > 1, что соответствует дальней зоне, необходимо пользоваться огибающими для
x = 1.
3.7. Значение КНД облучателя рассчитывается по
формуле (14):

где (14)

;

;
- характеристика направленности облучателя, реализующая амплитудное распределение вида
(2) и обеспечивающая уровень 0,316 вне сектора углов перехвата энергии зеркалом

.
Термин "облучатель" следует понимать, как собственно облучатель в однозеркальной антенне, так и систему "облучатель-вспомогательное зеркало" в двухзеркальной антенне.
| | ИС МЕГАНОРМ: примечание. Здесь и далее в официальном тексте документа, видимо, допущена опечатка: имеется в виду рисунок 21 Приложения 2, а не рисунок 2. | |
График зависимости
DОбл,дБ = 10lg
DОбл как функции аргумента

для усредненной модели антенн приведен на
рис. 2 приложения 2 к настоящим МУК.
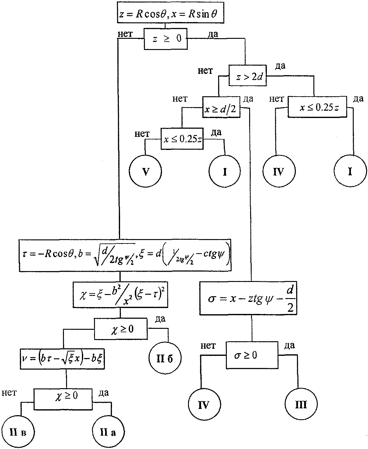
3.8. Постановку задачи при расчете ППЭ в области I вблизи антенны с круглой апертурой иллюстрирует
рис. 4, на котором центр апертуры -
O, а его высота над землей -
HA. Угол

характеризует отклонение направления максимального излучения от плоскости горизонта. Ось Y системы координат XYZ совмещена с проекцией направления максимального излучения на плоскость XOY. Горизонтальная плоскость, на которой определяется ППЭ, находится на высоте
HT над землей. Расчетная точка задается либо через координаты

(расстояние до точки
M вдоль поверхности земли) и

, либо через
y и
x.
Рис. 4. Постановка задачи
Заданными параметрами считаются:
- P - мощность передатчика радиосредства, Вт;
-

- длина волны, м;
- d - диаметр апертуры, м;
- D0 - КНД антенны в направлении максимального излучения в дальней зоне;
-

- угол раскрыва антенны (угол перехвата энергии облучателя зеркалом).
3.9. В области I порядок расчета следующий:
- вычисляется расстояние от центра апертуры до расчетной точки
M,
формула (15):

(15)
- рассчитывается угол между направлением максимального излучения и направлением линии "центр апертуры - расчетная точка
M",
формула (16):

, (16)

. (17)

(18, 19)
- находится значение функции

, дБ (по огибающей);
- вычисляется значение функции 20lgF(u,x), дБ (по огибающей);

, мкВт/см
2 (21)
Методика и порядок расчета имеют ограничение по минимальному удалению расчетной точки от центра апертуры

, что соответствует значению

, где

.
3.10. Расчет ППЭ для относительных расстояний

выполняется с помощью интерполяции. Для этого сначала по
формуле (8) вычисляется

- ППЭ при

. Далее определяется
ПS - усредненное значение ППЭ на апертуре по
формуле (22):

, дБ (22)

мкВт/см
2. (23)
Повторяя операции, предусмотренные порядком расчета ППЭ, последовательно для различных точек выбранного азимута

определяется характер изменения ППЭ вдоль данного азимута, а также отыскивается точка, где ППЭ равно предельно допустимому уровню. Совокупность подобных точек на других азимутальных линиях, проведенных, например, через 1°, определяет границу соответствующей санитарной зоны в области I.
Расчет плотности потока энергии в области II
3.11. В области II поле обусловлено дифракцией электромагнитных волн на кромке параболического зеркала. При этом область II имеет три характерных подобласти
(рис. 5), которые образуются после проведения двух касательных (1 и 2) в точках А и Б. Из подобласти II-а видна вся кромка антенны, из подобласти II-б видна часть кромки, из подобласти II-в кромка не видна.
Рис. 5. К расчету ППЭ в области II
3.12. Исходными данными для расчета являются следующие параметры радиосредства:
- P - мощность излучения, Вт;
-

- длина волны, м;
- d - диаметр антенны, м;
-

- половина угла раскрыва зеркала;
- kип - коэффициент использования поверхности зеркала;
-

- уровень напряженности электрического поля на кромке зеркала. Постановка задачи иллюстрируется на
рис. 6. Сферические составляющие напряженности электрического поля в подобласти II-а имеют вид,
формула (24):

(24)
Рис. 6. К расчету ППЭ методом ГТД
3.13. Последовательность расчетов при использовании метода геометрической теории дифракции (ГТД) следующая:
-

; (25)
-

; (26)
-

; (27)
-

; (28)
-

. (29)

, (30)

, (31)

, (32)
- вычисляются специальные функции - интегралы Френеля,
формула (33):

, где (33)

;

- косинус интеграла Френеля;

- синус интеграла Френеля.

. (34, 35)
- рассчитываются некоторые функции, определяющие дифракцию первичного поля облучателя на кромке зеркала,
формулы (36 -
37):

, (36)

. (37)
В этих выражениях
rn - расстояние от произвольного элемента кромки
ds до расчетной точки определяется
выражением (38):

, где (38)
r - расстояние от центра апертуры до расчетной точки
(рис. 6).
- определяется усредненная ППЭ в центре апертуры,
формула (39):

, мкВт/см
2 (39)
- определяется значение напряженности поля в центре апертуры,
формула (40):
| | ИС МЕГАНОРМ: примечание. Нумерация формул дана в соответствии с официальным текстом документа. | |

, В/м
- рассчитываются сферические компоненты дифракционного поля

,

по
формулам (41 -
42):

, где (41, 42)

- уровень поля на ребре кромки.
- определяются составляющие ППЭ, обусловленные дифракционными компонентами поля

,

, по
формулам (43 -
44):

. (43, 44)
- если требуется найти декартовые составляющие дифракционного поля, то следует воспользоваться следующими
формулами (45 -
47):

; (45)

; (46)

; (47)
3.14. В секторе углов, принадлежащих подобласти II-б, значения сферических компонент дифракционного поля определяется одной "светящейся" точкой (точка А на
рис. 5) по
формулам (48 -
49):

; (48)

. (49)
Переход к декартовым составляющим дифракционного поля осуществляется по
формулам (45 -
47), а к сферическим компонентам ППЭ по
формулам (43 -
44).
В секторе углов подобласти II-в следует принять, что Пдиф = 0.
Расчет плотности потока энергии в области III
3.15. Если зеркало антенны длиннофокусное

, то в области III ППЭ имеет две составляющие. Одна определяется излучением облучателя, другая - дифракцией на части кромки,
формула (50):

. (50)
Составляющая
Побл определяется по
формуле (10) с последующим переходом к мкВт/см
2, а составляющая
Пдиф так же, как для подобласти II-б.
В случае короткофокусной антенны

в области III ППЭ имеет составляющие
Пдиф и
Па. Составляющая
Пдиф рассчитывается так же как для подобласти II-а - по
формулам (30 -
44).
Расчет плотности потока энергии в области IV
3.16. В области IV ППЭ определяется в основном составляющими
Побл и
Пдиф поэтому ППЭ в этой области формально определяется по
формуле (50) с добавлением составляющей
Па. При этом дифракционная составляющая поля определяется так же, как это сделано в подобласти II-а - по
формулам (30 -
44).
Расчет плотности потока энергии в области V
3.17. В этой области ППЭ следует определять по
формуле 50. При этом составляющая П
а рассчитывается по
формулам (22) и
(23), предварительно геометрически определив границу раздела между областями IV и V (значение

) на выбранном азимутальном направлении.
| | ИС МЕГАНОРМ: примечание. В официальном тексте документа, видимо, допущены опечатки: имеются в виду рисунки 22, 23 Приложения 2, а не рисунки 3, 4 соответственно. | |
Алгоритм определения областей и подобластей для расчетной точки и примеры расчета ППЭ приведены на
рис. 3,
4 приложения 2 к настоящим МУК.
IV. Расчет плотности потока энергии вблизи параболических
антенн с квадратной прямоугольной апертурой
4.1. При анализе квадратной апертуры
(рис. 7) используются допущения:
- распределение амплитуды поля в одной из главных плоскостей - "косинус на пьедестале",
формула (51):

, где (51)
a - сторона квадрата;

- текущее значение координаты апертуры в одной из главных плоскостей;
- облучатель и антенна имеют характеристики направленности с осевой симметрией относительно направлений их максимального излучения;
- значение характеристики направленности облучателя вне сектора углов перехвата энергии основным зеркалом равно 0,316 (по напряженности поля).
Рис. 7. Квадратная апертура
4.2. Общая расчетная формула для определения ППЭ -
формула (1). Физический смысл отдельных составляющих прежний. Составляющие
Па и
Поб в децибелах относительно 1 мкВт/см
2 будут иметь вид,
формулы (52 -
53):

, дБ; (52)

, дБ, где (53)
P - мощность, излучаемая антенной, Вт;

- длина волны, м;
a - сторона квадрата (апертуры антенны), м;
D0 - КНД антенны в направлении максимального излучения в волновой зоне;
B(x) - функция, учитывающая изменение КНД квадратной апертуры в зависимости от относительного расстояния;
F(u,x) - нормированная ХН квадратной апертуры в координатах u,x;

- сферические координаты расчетной точки;

- обобщенная координата угла;
x = R/Rгр - относительное расстояние;

- граничное расстояние;
Dобл - КНД облучателя в направлении максимального излучения (величина безразмерная). График зависимости
Dобл,дБ = 10lg
Dобл как функции аргумента

для усредненной модели антенн приведен на
рис. 2 приложения 2 к настоящим МУК.
4.3. Вычисление функции
F(
u,
x) сводится к расчету характеристики направленности линейного синфазного источника
(рис. 8) с распределением амплитуды тока, совпадающем с распределением амплитуды поля в соответствии с
формулой (51).
Рис. 8. К расчету характеристики направленности
4.4. Значение напряженности поля в расчетной точке определяется
формулой (54):

, где (54)

.

определяется распределением поля, а геометрические параметры

,
r являются функциями

.
4.5. Нормированная характеристика направленности апертуры имеет вид,
формула (55):

(55)
В терминах обобщенных координат u,x направленные свойства апертуры характеризуются функцией F(u,x).
Функции
F(
u,
x) сильно осциллирующие, поэтому в практических расчетах ППЭ следует использовать их гарантированные огибающие. Для удобства практических расчетов гарантированные огибающие табулированы и представлены в
таблицах 1,
2 приложения 3 к настоящим МУК. При значениях
x > 1, что соответствует дальней зоне, необходимо пользоваться огибающими для
x = 1.
4.6. Аналитическое выражение функции
B(
x)/
x для квадратной апертуры с амплитудным распределением типа "косинуса на пьедестале" имеет вид,
формула (56):

(56)

- косинус интеграла Френеля;

- синус интеграла Френеля.
В области
x <= 0,15
функция (56) осциллирующая, а в области
x > 1,15 - изменяется монотонно. При расчете ППЭ осциллирующую часть функции следует заменить огибающей ее максимумов.
| | ИС МЕГАНОРМ: примечание. В официальном тексте документа, видимо, допущена опечатка: имеется в виду рисунок 24 Приложения 3, а не рисунок 1 Приложения 2. | |
На
рис. 1 приложения 2 к настоящим МУК приведена функция

. В области
x > 1 функция

.
4.7. Порядок расчета ППЭ в переднем полупространстве не отличается от приведенного для круглой апертуры.
4.8. Для расчета ППЭ в области заднего полупространства вводится понятие эквивалентной круглой апертуры. Диаметр эквивалентной апертуры определяется из условия равенства площадей квадратной и круглой апертур,
формула (57):

. (57)
Угол раскрыва эквивалентной апертуры определяется по
формуле (58):

, где (58)
f - фокусное расстояние зеркала.
4.9. Прямоугольная апертура со сторонами
a и
b показана на
рис. 9.
Рис. 9. Прямоугольная апертура
4.10. Расчетная
формула (59) для апертурной составляющей ППЭ имеет вид:

, (59)
Функции
F(
u,
x), входящие в
(59), вычисляются в соответствии с (
54 -
55) с учетом перехода к обобщенным координатам
u и
x, а функции
B(
x)/
x - по
формуле (56) при
x =
x1 и
x =
x2, соответственно.
4.11. Расчет составляющей ППЭ от облучателя выполняется по
формуле (53). КНД облучателя следует рассчитывать по
формуле (60):

, где (60)
D1 и
D2 определяются по
формуле (14) с учетом различных значений угла

в главных плоскостях.
4.12. Диаметр эквивалентной круглой апертуры, необходимый для расчета дифракционной составляющей ППЭ, определяется из условия равенства площадей прямоугольной и круглой апертур,
формула (61):

. (61)
Угол раскрыва эквивалентной круглой апертуры определяется по
формуле (58).
V. Расчет плотности потока энергии вблизи антенн
типа параболический цилиндр и рупорных антенн
Антенна типа параболический цилиндр
| | ИС МЕГАНОРМ: примечание. В официальном тексте документа, видимо, допущены опечатки: имеются в виду таблицы 1, 2 Приложения 3, а не таблицы 3, 4 соответственно. | |
5.1. Антенна имеет прямоугольную апертуру
(рис. 10). Распределение амплитуды поля вдоль сторон апертуры в главных плоскостях XOZ и ZOY равномерное. Методика расчета ППЭ соответствует случаю прямоугольной апертуры при

. Огибающие
F(
u,
x) для случая

отличаются от аналогичных кривых, соответствующих распределению
(формула 51) не существенно (единицы дБ). Поэтому в практических расчетах можно использовать данные, приведенные в
таблицах 3,
4 приложения 3 к настоящим МУК.
Рис. 10. Антенна типа параболический цилиндр
5.2. Значение КНД облучателя рассчитывается по
формуле (62):

где (62)
L - длина облучателя;

- волновое число;

- интегральный синус.
5.3. В области заднего полупространства расчет ППЭ следует вести по
формуле (53), приняв
Dобл =
D0.
5.4. Пирамидальные
(рис. 11) и конические
(рис. 12) рупорные антенны имеют апертуры с неравномерным и несинфазным возбуждением. Линейные размеры апертур обычно измеряются единицами, реже десятками длин волн электромагнитного излучения (далее - ЭМИ). Расчетные точки, находящиеся на расстоянии нескольких метров от таких антенн, относятся к дальней (волновой) зоне.
Рис. 11. К расчету ППЭ вблизи пирамидального рупора
Рис. 12. К расчету ППЭ вблизи конического рупора
5.5. ППЭ в переднем полупространстве вблизи таких антенн рассчитывается по
формуле (63):

, Вт/м
2, где (63)
P - мощность, излучаемая антенной, Вт;

- характеристика направленности рупора;
Dр - КНД рупора.
5.6. Для пирамидального рупора в расчетах следует принять
формулу (64):

, где (64)
сомножители - это нормированные характеристики направленности рупорной антенны в E и H плоскостях.
5.7. Для расчета характеристики направленности в плоскости
E 
вычисляется функция,
формула (65):

, где (65)

,

;
L, b - геометрические параметры рупора в E плоскости;
C(
w1),
C(
w2) - косинусы интеграла Френеля

;
S(
w1),
S(
w2) - синусы интеграла Френеля

.
Нормированная характеристика направленности имеет вид,
формула (66):

. (66)
5.8. Для расчета характеристики направленности в плоскости
H 
вычисляется функция,
формула (67):

, где (67)

,

;

;

;
L, a - геометрические параметры рупора в H плоскости;
C(v1), C(v2), C(v1), C(v2) - косинусы интеграла Френеля;
S(v1), S(v2), S(v1), S(v2) - синусы интеграла Френеля.
Нормированная характеристика направленности имеет вид,
формула (68):

. (68)
5.9. Значение КНД пирамидальной рупорной антенны рассчитывается по
формуле (69):

, где (69)
C(u1), C(u2), C(u1) - косинусы интеграла Френеля;
S(u1), S(u2), S(u1) - синусы интеграла Френеля.
5.10. Для конического рупора функция

рассчитывается по
формулам (70 -
73). Сначала для заданного угла

вычисляется ненормированная характеристика направленности:

, где (70)

;

;

- функция Ломмеля 1-го порядка;

- функция Бесселя порядка
m = 1 + 2
n аргумента

;

- функция Ломмеля 2-го порядка;

- функция Бесселя порядка
m = 2 + 2
n, аргумента

;
c1 = -0,37, c2 = -0,845, c3 = 0,215 - коэффициенты, соответствующие волне возбуждения H11 (при равномерном возбуждении апертуры c1 = c2 = c3 = 0);

,

- функции Бесселя соответственно нулевого и первого порядка.
Сходимость рядов обеспечивается при n = 40.
Нормированная характеристика направленности имеет вид
(71):

. (71)
Значение КНД конической рупорной антенны рассчитывается по
формуле (72):

. (72)
В области заднего полупространства расчет ППЭ выполняется по
формуле (73):

, Вт/м
2 (73)
VI. Расчет плотности потока энергии вблизи
рупорно-параболической и перископической антенн
6.1. Конструкция типовой рупорно-параболической антенны (далее - РПА) схематично представлена на
рис. 13. Апертура рассчитывается квадратной с размером 2,7 x 2,7 м
2. Методика расчета ППЭ в переднем полупространстве (Y > 0) соответствует приведенной в
главе V для квадратной апертуры с распределением амплитуды поля
(51) - "косинус на пьедестале". Составляющая
Па рассчитывается по
формуле (52), составляющая
Побл - по
формуле (53). При этом угол раскрыва рупора

. Учитывая, что РПА обладает хорошим защитным действием (уровень бокового излучения исключительно низок: почти во всем секторе углов он не превосходит (-60 ... -70 дБ), дифракционную составляющую и составляющую
Побл при расчете ППЭ в области заднего полупространства (Y < 0) не учитывать.
Рис. 13. Рупорно-параболическая антенна
6.2. Перископические антенные системы (далее - ПАС) обычно строятся по трехэлементной схеме
(рис. 14) - первичный рупорный облучатель, нижнее зеркало и верхнее зеркало. Диаметр верхнего зеркала 3,9 м, нижнего 3,2 м. Диаметры апертур с учетом наклонного положения зеркал рекомендуется брать равными 0,7 от реальных диаметров зеркал.
Рис. 14. Перископическая антенная система
6.3. ППЭ в произвольной точке пространства
M определяется тремя составляющими, каждая из которых соответствует одной из трех антенн - A1, A2, A3
(рис. 15).
Рис. 15. К расчету ППЭ вблизи ПАС
Антенна A1 рупорная. Ее вклад в ППЭ определяется в соответствии с методикой, изложенной в
главе V. Антенны A2 и A3 имеют круглые апертуры. Их вклад в значение ППЭ определяется апертурными составляющими, которые рассчитываются по
формуле (9).
Вблизи поверхности земли ППЭ определяется в основном антенной A1 - облучателем, поэтому вклад апертурных составляющих верхнего и нижнего зеркала допускается не учитывать.
В области Y < 0 рекомендуется ограничиться только составляющей от антенны A1, то есть не учитывать составляющие ППЭ, обусловленные дифракцией электромагнитных волн на зеркалах.
VII. Учет влияния решетчатой структуры рефлектора
7.1. Решетчатая структура рефлектора создает повышенную (по сравнению с зеркалом из сплошного листа) ППЭ в области заднего полупространства антенны. При облучении рефлектора электромагнитной энергией происходит ее отражение (полезный эффект, связанный с формированием диаграммы направленности антенны) и частичное прохождение в область заднего полупространства
(рис. 16).
Рис. 16. Прохождение энергии через зеркало
7.2. Значение составляющей
Ппр в точке M, находящейся в области заднего полупространства, определяется по
формуле (74):

, Вт/м
2, где (74)
T - коэффициент прохождения волны через решетчатую структуру (по полю);
P - мощность излучения облучателя, Вт;
Dобл - коэффициент направленного действия облучателя (величина безразмерная);

- характеристика направленности облучателя (величина безразмерная);
R - расстояние от фазового центра облучателя до расчетной точки M, м.
Угловая зависимость коэффициента прохождения не учитывается. Значение T определяется для случая нормального падения плоской волны на безграничную плоскую решетчатую структуру.
7.3. Характеристика направленности облучателя в области углов

имеет вид,
формула (75):

. (75)
7.4. Для случая выполнения рефлектора (зеркала) из сетки линейных проводников
(рис. 17) используется
формула (76) для расчета коэффициента прохождения по полю:

, где (76)

,

- цилиндрические функции Бесселя 3-го рода (функции Ганкеля);
k - волновое число для свободного пространства;
d - расстояние между проводами;

- радиус проводов в сетке.
Рис. 17. Падение плоской волны на проволочную сетку

; (77)

. (78)
Ряд, стоящий в правой части
(78), сходится достаточно быстро (можно ограничиться десятью членами).
7.6. В случае выполнения отражательного зеркала в виде поверхности со щелями
(рис. 18а) при длине щелей, отвечающих условию (
t >
л), считать, что полоски и щели имеют безграничную длину
(рис. 18б).
Рис. 18. К расчету коэффициента прохождения
через поверхность со щелями
Для практически важного случая
формула (79) расчета коэффициента прохождения имеет вид:

. (79)
Для поверхности с круглыми отверстиями
(рис. 19) и расстояниями между центрами отверстий
формула (80) для расчета коэффициента прохождения имеет вид:

, где (80)
d - расстояние между щелями;
D - диаметр щели;
t - толщина отражающей поверхности.
Рис. 19. К расчету коэффициента прохождения
через поверхность с отверстиями
7.7. В тех случаях, когда геометрические параметры решетчатой структуры не позволяют рассчитать коэффициент прохождения, или структура решетки существенно отличается от рассмотренных, следует брать T = 0,01...0,02
VIII. Порядок измерения уровней электромагнитных полей
8.1. Измерения ЭМП проводятся:
- при вводе РЭС в эксплуатацию для подтверждения расчетов СЗЗ и ЗО, при проведении производственного контроля;
- при изменении состава, характеристик, режимов работы РЭС;
- после проведения защитных мероприятий для определения их эффективности по снижению уровней ЭМП;
- при рассмотрении обращений граждан, юридических лиц и органов власти.
8.2. Для измерения уровней ЭМП используются широкополосные и селективные средства измерения.
При наличии нескольких источников ЭМП, для которых установлены различные предельно допустимые уровни (далее - ПДУ), для проведения измерений применяются селективные СИ или широкополосным прибором измеряются излучения отдельно от каждого из источников при выключенных остальных. В случае невозможности отключения иных источников ЭМП измерения проводятся селективными СИ.
При наличии нескольких источников ЭМП, для которых установлены одни и те же ПДУ, для проведения измерений применяются селективные СИ или измерения проводятся широкополосным прибором последовательно на частоте работы каждого источника ЭМП.
8.3. Определение уровней ЭМП допускается проводить путем измерения напряженности электрического поля с последующим пересчетом на ППЭ по
формуле (81):

, где (81)
ППЭ - плотность потока энергии (мкВт/см2);
E - напряженность электрического поля (В/м).
8.4. Измерения уровней ЭМП, определение условий окружающей среды, расстояний от антенн осуществляются средствами измерения утвержденного типа <2>, в соответствии с методикой, изложенной в руководстве по эксплуатации средств измерений, имеющих на момент проведения работ сведения о поверке.
--------------------------------
<2> Федеральный
закон от 26.06.2008 N 102-ФЗ "Об обеспечении единства измерений".
8.5. Измерения ЭМП от антенн РЛС выполняются с учетом угла места (рабочего угла) и азимутального направления на исследуемую площадку. Используются СИ, предназначенные для регистрации уровней ЭМП соответствующей длительности импульса и частоты его следования, в соответствии с инструкцией по эксплуатации прибора.
Измерения ЭМП от антенн РЛС проводятся при остановленной антенне. Определение плотности потока энергии от антенн РЛС, при остановке которых электромагнитное излучение технически невозможно, производится расчетным методом по изложенной выше методике.
Подготовка к проведению измерений
8.6. Изучение информации о составе, технических характеристиках источников излучения (рабочих частотах, длительности импульса, частоте следования, мощности, режимах сканирования, типах и параметрах антенн), пространственном расположении антенн (высота подвеса, азимут максимального излучения, угол наклона), выбор СИ.
8.7. Анализ результатов расчетного прогнозирования уровней электромагнитных полей, создаваемых антеннами РЭС.
8.8. Ознакомление с ситуационным планом размещения РЭС, характером застройки прилегающей территории, рельефа местности, с целью определения трасс, маршрутов (направлений) и точек измерений ЭМП с учетом сектора излучения. При выборе точек измерений ЭМП учитывается информация о расчетных границах СЗЗ и ЗО.
Выбор трасс и точек измерений
8.9. Число трасс и точек определяется целью измерений. При установлении границ СЗЗ выбирается несколько доступных трасс, точек, определяемых по конфигурации расчетных границ СЗЗ, рельефу местности и прилегающей селитебной территории. Для определения границ ЗО при выборе точек измерений дополнительно к этим данным учитывается высотность зданий на селитебной территории.
8.10. При выборе трасс район, прилегающий к объекту, разбивается на секторы. В каждом секторе выбирается радиальная относительно объекта трасса.
8.11. Измерения уровней ЭМП должны проводиться в зонах (ЭМИ), на границе зданий первой линии относительно РЭС. При наличии в первой линии жилых и общественных зданий (например, лечебно-профилактические, образовательные, детские учреждения) точки измерения выбираются с учетом этих объектов.
8.12. При размещении антенн РЭС на крыше здания измерения проводятся для определения размеров зоны, в пределах которой ЭМП превышают предельно допустимый уровень (далее - ПДУ) для населения, а также на верхнем (обитаемом или техническом этаже здания). В зависимости от результатов измерения выбираются точки контроля ЭМП на соседних зданиях, других этажах и на прилегающей территории.
8.13. Требования к трассе и точкам измерения:
- трасса должна быть открытой, точки (площадки) для проведения измерений должны иметь прямую видимость на антенну излучающего средства;
- вдоль трассы не должно быть переизлучающих конструкций (например, металлические конструкции и сооружения, линии электропередачи) и других затеняющих объектов;
- наклон трассы должен быть минимальным по сравнению с наклоном всех возможных трасс в данном секторе;
- протяженность трассы определяется на основе расчетных границ СЗЗ и ЗО;
- точки (площадки) для проведения измерений при удалении до 100 метров от излучающей антенны следует выбирать с интервалом 5 - 10 метров, при удалении от 100 до 300 метров интервал составляет 10 - 20 метров, при удалении более 300 метров интервал 20 - 50 метров.
8.14. Перед проведением измерений следует определять метеорологические условия (температура воздуха, влажность, атмосферное давление) с помощью соответствующих средств измерений, имеющих сведения о поверке.
8.15. Измерения уровней ППЭ выполняются при максимальной проектной (заявленной) мощности излучения источника ЭМП. Данные о мощности РЭС в момент проведения измерений предоставляются представителем владельца, присутствующим при проведении измерений.
8.16. На селитебной территории измерения выполняются на высоте 2 м от поверхности земли. На крыше зданий измерения ЭМП проводятся на высоте от 0,5 до 2,0 м от уровня крыши. В этих пределах определяется высота, на которой регистрируется наибольшая интенсивность ЭМП.
8.17. Внутри жилых, общественных и производственных помещений измерения уровней ЭМП следует проводить на высоте от 0,5 до 2,0 метров от пола. В этих пределах находится высота, на которой определяется максимальное значение уровня ЭМП от внешних источников (антенн РЭС).
8.18. Измерения в помещениях выполняются в местах, наиболее приближенных к внешнему источнику - на балконах, лоджиях, у открытых окон. При проведении измерений должны быть полностью отключены изделия бытовой техники, являющиеся источниками ЭМП радиочастотного диапазона.
8.19. В каждой точке выполняется не менее 4 измерений уровней ЭМП. Измеренные при этом значения не должны отличаться друг от друга больше, чем на 15 - 20% <3>. Определяющим является максимальное за время регистрации измеренное значение напряженности ЭП, ППЭ ЭМП.
--------------------------------
<3>
Раздел 3 ГОСТ Р 8.736 "Государственная система обеспечения единства измерений (ГСИ). Измерения прямые многократные. Методы обработки результатов измерений. Основные положения", введенный
приказом Росстандарта от 13.12.2011 N 1045-ст.
Обработка и оформление результатов измерений
электромагнитных полей
8.20. При одновременном облучении от нескольких источников ЭМП необходимо рассчитывать суммарную

по
формуле (82):

, где (82)
ППЭi - плотность потока энергии, создаваемая источником ЭМП под i-м номером (мкВт/см2);
n - количество источников ЭМП.
8.21. Результаты измерений представляются с указанием расширенной неопределенности измерений <4>. Расчет представлен в
приложении 5 к настоящим МУК.
--------------------------------
<4>
ГОСТ 34100.1 "Неопределенность измерения. Часть 1. Введение в руководства по выражению неопределенности измерения", введенный
приказом Росстандарта от 12.09.2017 N 1064-ст;
ГОСТ 34100.3 "Неопределенность измерения. Часть 3. Руководство по выражению неопределенности измерения", введенный
приказом Росстандарта от 12.09.2017 N 1065-ст.
8.22. По результатам измерений оформляется протокол.
Перечень рекомендуемой информации, включаемой в протокол, представлен в приложении 4 к настоящим МУК.
к МУК 4.3.3921-23
ХАРАКТЕРИСТИКА АНТЕНН РАДИОЭЛЕКТРОННЫХ СРЕДСТВ
1. Наиболее распространенными в классе радиосредств являются апертурные антенны (с круглой, квадратной, прямоугольной апертурой), рупорно-параболические антенны, перископические антенные системы, вибраторные антенны. Каждая антенна имеет характерные элементы, определяющие конструкцию. Для антенн, построенных на основе вырезки из параболоида вращения - рефлектор (зеркало с соответствующей формой апертуры) и облучатель, расположенный, как правило, в фокусе параболоида.
Рупорно-параболическая антенна - единая конструкция в виде двух совмещенных элементов: рупора и несимметричной вырезки из параболоида вращения. Перископическая антенная система имеет три основных элемента: первичный облучатель, нижнее зеркало и верхнее зеркало.
Рупорная антенна состоит из отрезка волновода постоянного сечения и собственно рупора, представляющего собой волновод с плавно увеличивающимся сечением.
Антенна типа параболический цилиндр - апертурная антенна с рефлектором в виде параболического цилиндра и линейным источником возбуждения.
к МУК 4.3.3921-23
МАТЕРИАЛ ДЛЯ РАСЧЕТА ППЭ ВБЛИЗИ ПАРАБОЛИЧЕСКОЙ АНТЕННЫ
С КРУГЛОЙ АПЕРТУРОЙ
Таблица 1
Функция F(u,x) - круглая апертура, u = 0 - 100
u | Параметр x |
0,005 | 0,01 | 0,02 | 0,03 | 0,04 | 0,1 | 0,15 | 1,0 |
1 | 2 | 3 | 4 | 5 | 6 | 7 | 8 | 9 |
0 | 0 | 0 | 0 | 0 | 0 | 0 | 0 | 0 |
2 | -2,32 | 2,35 | 2,36 | 2,36 | -1,11 | -2,82 | -4,12 | -4,60 |
4 | -3,75 | 2,66 | 2,66 | 2,66 | -1,46 | -5,65 | -9,46 | -16,2 |
6 | -4,25 | 1,42 | 1,43 | 1,43 | -2,0 | -9,16 | -15,1 | -21,9 |
8 | -3,86 | 0,53 | 0,66 | 0,66 | -2,46 | -12,1 | -19,6 | -25,4 |
10 | -3,35 | -0,35 | 0,76 | 0,76 | -3,28 | -15,3 | -22,3 | -27,5 |
12 | -3,67 | -0,91 | 1,36 | 1,36 | -4,50 | -19,1 | -24,7 | -29,4 |
14 | -5,10 | -1,08 | 2,17 | 2,17 | -6,96 | -21,9 | -26,6 | -30,9 |
16 | -5,75 | -0,91 | 2,31 | 0,96 | -10,3 | -24,2 | -28,7 | -32,3 |
18 | -6,00 | -0,12 | 2,16 | -0,78 | -14,1 | -26,0 | -30,1 | -33,5 |
20 | -6,36 | 0,64 | 1,67 | -2,71 | -14,3 | -27,9 | -31,7 | -34,8 |
22 | -5,89 | 1,72 | 0,71 | -4,36 | -16,0 | -29,2 | -32,8 | -35,8 |
24 | -4,32 | 2,28 | 0,10 | -5,93 | -18,3 | -30,0 | -34,2 | -36,9 |
26 | -3,07 | 2,37 | -0,11 | -7,46 | -20,2 | -32,0 | -35,4 | -38,1 |
28 | -2,25 | 2,14 | -0,63 | -10,0 | -22,8 | -33,7 | -36,9 | -39,4 |
30 | -1,78 | 1,71 | -1,18 | -12,2 | -25,0 | -35,4 | -38,4 | -41,0 |
32 | -1,28 | 0,90 | -3,53 | -14,4 | -26,9 | -36,6 | -40,1 | -42,6 |
34 | -1,07 | 0,14 | -5,50 | -16,8 | -29,1 | -37,7 | -41,4 | -43,7 |
36 | -1,21 | 0,22 | -7,48 | -19,4 | -30,0 | -38,6 | -42,6 | -45,8 |
38 | -1,53 | 0 | -9,28 | -20,6 | -31,0 | -39,4 | -43,8 | -46,9 |
40 | -1,67 | 0 | -10,7 | -21,9 | -31,6 | -40,3 | -44,7 | -47,8 |
42 | -1,28 | 0,07 | -12,3 | -22,2 | -32,2 | -40,8 | -45,2 | -48,0 |
44 | -1,07 | 0,30 | -13,8 | -23,1 | -32,4 | -41,1 | -45,0 | -47,7 |
46 | -1,10 | 0,32 | -15,4 | -23,8 | -32,9 | -41,2 | -44,7 | -47,0 |
48 | -1,35 | 0,17 | -16,5 | -24,1 | -33,1 | -41,1 | -44,7 | -46,8 |
50 | -1,46 | 0,05 | -17,4 | -24,4 | -33,2 | -41,2 | -44,5 | -46,9 |
52 | -1,57 | 0,00 | -18,2 | -24,8 | -33,5 | -41,1 | -14,5 | -46,9 |
54 | -2,10 | -0,25 | -19,1 | -25,5 | -33,9 | -41,2 | -44,8 | -47,0 |
56 | -3,35 | -0,70 | -20,0 | -26,2 | -34,3 | -41,6 | -45,3 | -47,4 |
58 | -3,35 | -1,20 | -21,1 | -26,8 | -34,8 | -42,0 | -45,9 | -47,8 |
60 | -3,21 | -1,50 | -22,1 | -27,3 | -35,4 | -42,9 | -46,6 | -48,5 |
62 | -2,78 | -2,02 | -23,2 | -28,1 | -36,3 | -44,0 | -47,7 | -49,5 |
64 | -2,57 | -2,78 | -24,4 | -29,4 | -37,6 | -44,7 | -48,7 | -50,6 |
66 | -2,35 | -3,59 | -25,5 | -30,4 | -39,0 | -45,9 | -49,7 | -51,6 |
68 | -2,46 | -4,50 | -26,6 | -31,1 | -40,1 | -46,9 | -50,4 | -52,6 |
70 | -2,82 | -5,23 | -27,5 | -32,0 | -41,4 | -47,8 | -51,3 | -53,5 |
72 | -3,21 | -6,28 | -28,1 | -32,3 | -41,8 | -48,3 | -52,0 | -54,2 |
74 | -3,46 | -7,37 | -28,7 | -32,8 | -42,0 | -48,7 | -52,2 | -54,6 |
76 | -3,37 | -8,61 | -29,0 | -33,0 | -42,4 | -48,7 | -52,6 | -55,0 |
78 | -3,46 | -9,75 | -29,2 | -33,2 | -41,7 | -48,4 | -52,5 | -55,7 |
80 | -3,72 | -11,0 | -29,5 | -32,9 | -41,2 | -48,1 | -52,5 | -54,7 |
| | ИС МЕГАНОРМ: примечание. Значение в шестом столбце дано в соответствии с официальным текстом документа. | |
|
82 | -3,89 | -12,1 | -29,3 | -33,0 | -4+1,2 | -48,0 | -52,2 | -54,2 |
84 | -3,64 | -12,9 | -29,4 | -33,0 | -41,2 | -48,1 | -52,2 | -53,9 |
86 | -3,60 | -14,4 | -29,6 | -33,1 | -41,3 | -48,2 | -52,0 | -53,9 |
88 | -3,78 | -15,8 | -30,1 | -33,4 | -41,6 | -48,4 | -52,2 | -53,8 |
90 | -4,00 | -16,9 | -30,7 | -33,8 | -42,2 | -48,9 | -52,1 | -54,1 |
92 | -4,14 | -18,1 | -31,2 | -34,3 | -42,6 | -49,3 | -52,4 | -54,4 |
94 | -4,25 | -19,3 | -31,9 | -35,0 | -43,2 | -49,9 | -52,9 | -55,3 |
96 | -4,42 | -20,4 | -32,5 | -35,7 | -43,8 | -52,0 | -53,9 | -55,7 |
98 | -4,89 | -21,6 | -33,2 | -36,4 | -44,4 | -50,6 | -55,0 | -56,8 |
100 | -4,46 | -22,8 | -33,0 | -37,7 | -45,6 | -51,2 | -56,4 | -58,1 |
Таблица 2
Функция F(u,x) - круглая апертура, u = 100 - 760
u | Параметр x |
0,005 | 0,01 | 0,02 | 0,03 | 0,04 | 0,1 | 0,15 | 1,0 |
1 | 2 | 3 | 4 | 5 | 6 | 7 | 8 | 9 |
100 | -4,46 | -22,8 | -33,0 | -37,7 | -45,6 | -51,2 | -56,4 | -58,1 |
110 | -4,71 | -24,3 | -33,5 | -37,0 | -46,1 | -51,9 | -56,5 | -57,9 |
120 | -5,14 | -25,8 | -33,9 | -37,5 | -46,3 | -53,0 | -56,9 | -58,1 |
130 | -6,89 | -27,1 | -34,8 | -38,2 | -46,7 | -53,9 | -58,1 | -59,1 |
140 | -9,48 | -28,5 | -35,6 | -38,9 | -47,3 | -54,9 | -58,9 | -60,4 |
150 | -13,3 | -29,9 | -36,6 | -39,7 | -48,3 | -55,9 | -59,7 | -61,2 |
160 | -17,5 | -30,8 | -37,4 | -40,5 | -49,2 | -56,9 | -60,5 | -61,9 |
170 | -21,9 | -31,8 | -38,3 | -41,3 | -50,2 | -57,9 | -61,3 | -62,7 |
180 | -24,9 | -32,7 | -39,2 | -42,1 | -51,1 | -58,9 | -62,1 | -63,5 |
190 | -27,3 | -33,7 | -40,1 | -42,9 | -52,1 | -59,9 | -62,9 | -64,3 |
200 | -29,1 | -34,7 | -40,9 | -43,9 | -53,0 | -60,8 | -63,8 | -65,1 |
210 | -30,8 | -35,7 | -41,8 | -44,6 | -53,9 | -61,8 | -64,5 | -65,8 |
220 | -32,4 | -36,6 | -42,7 | -45,5 | -54,9 | -62,8 | -65,4 | -66,6 |
230 | -33,4 | -37,6 | -43,7 | -46,3 | -55,9 | -63,7 | -66,2 | -67,4 |
240 | -34,1 | -38,4 | -44,5 | -47,3 | -56,8 | -64,7 | -66,9 | -68,2 |
250 | -34,8 | -39,3 | -45,3 | -48,2 | -57,8 | -65,7 | -67,7 | -68,9 |
260 | -35,7 | -40,0 | -46,1 | -49,1 | -58,7 | -66,6 | -68,6 | -69,7 |
270 | -36,9 | -40,9 | -46,9 | -49,9 | -59,9 | -67,1 | -69,0 | -70,0 |
280 | -38,1 | -41,7 | -47,9 | -50,7 | -60,6 | -68,4 | -70,2 | -71,3 |
290 | -39,4 | -42,7 | -48,7 | -51,6 | -61,6 | -69,2 | -70,9 | -72,0 |
300 | -40,1 | -44,1 | -49,9 | -52,9 | -63,0 | -70,1 | -71,9 | -72,9 |
400 | -50,0 | -54,0 | -60,0 | -63,0 | -73,0 | -80,0 | -82,0 | -83,0 |
500 | -60,0 | -64,0 | -70,0 | -73,0 | -83,0 | -90,0 | -92,0 | -93,0 |
600 | -70,0 | -74,0 | -80,0 | -83,0 | -93,0 | -100 | -102 | -103 |
700 | -80,0 | -84,0 | -90,0 | -93,0 | -103 | -110 | -112 | -113 |
760 | -86,0 | -90,0 | -96,0 | -99,0 | -109 | -116 | -118 | -119 |

Рис. 20. Функция

Рис. 21. Коэффициент направленного действия облучателя
Рис. 22. Алгоритм определения положения расчетной
точки. Случай длиннофокусной антенны

Рис. 23. Алгоритм определения положения расчетной
точки. Случай короткофокусной антенны

к МУК 4.3.3921-23
МАТЕРИАЛЫ РАСЧЕТА ППЭ ВБЛИЗИ ПАРАБОЛИЧЕСКИХ АНТЕНН
С КВАДРАТНОЙ И ПРЯМОУГОЛЬНОЙ АПЕРТУРАМИ
Таблица 1
Функция F(u,x) - квадратная апертура, u = 0 - 100
u | Параметр x |
0,005 | 0,01 | 0,02 | 0,03 | 0,04 | 0,05 | 0,1 | 0,15 | 1,0 |
1 | 2 | 3 | 4 | 5 | 6 | 7 | 8 | 9 | 10 |
0 | 0 | 0 | 0 | 0 | 0 | 0 | 0 | 0 | 0 |
2 | 0 | 0 | 0 | 0 | 0 | 0 | -0,71 | -1,89 | -5,60 |
4 | 0 | 0 | 0 | 0 | 0 | -0,21 | -2,73 | -5,90 | -13,3 |
6 | 0 | 0 | 0 | 0 | 0 | -0,97 | -6,73 | -11,4 | -20,4 |
8 | 0 | 0 | -0,16 | -0,30 | -0,76 | -2,06 | -11,4 | -17,2 | -23,4 |
10 | 0 | 0 | -0,31 | -0,48 | -1,81 | -3,59 | -14,8 | -20,3 | -26,0 |
12 | 0 | 0 | -0,47 | -0,95 | -2,83 | -5,74 | -18,2 | -22,9 | -28,0 |
14 | 0 | 0 | -0,53 | -1,70 | -4,73 | -8,62 | -21,4 | -25,4 | -29,5 |
16 | 0 | -0,12 | -0,74 | -2,52 | -6,94 | -11,8 | -24,0 | -27,4 | -30,8 |
18 | 0 | -0,36 | -1,02 | -3,67 | -9,53 | -14,8 | -25,8 | -29,1 | -31,8 |
20 | 0 | -0,54 | -1,45 | -5,19 | -12,2 | -16,9 | -27,3 | -30,1 | -32,7 |
22 | 0 | -0,62 | -1,77 | -6,95 | -14,7 | -19,7 | -28,3 | -30,9 | -33,6 |
24 | 0 | -0,78 | -2,31 | -8,37 | -17,1 | -21,2 | -29,0 | -31,9 | -34,2 |
26 | 0 | -0,82 | -3,15 | -10,7 | -19,3 | -22,3 | -29,8 | -32,6 | -34,8 |
28 | 0 | -0,86 | -3,81 | -13,6 | -21,5 | -24,9 | -30,5 | -33,4 | -35,6 |
30 | 0 | -1,00 | -5,34 | -15,4 | -22,9 | -26,2 | -31,3 | -34,1 | -36,2 |
32 | -0,11 | -1,12 | -6,96 | -17,8 | -25,1 | -27,4 | -31,9 | -34,5 | -36,7 |
34 | -0,31 | -1,26 | -8,83 | -19,5 | -26,2 | -28,2 | -32,4 | -35,0 | -37,1 |
36 | -0,36 | -1,38 | -10,6 | -21,8 | -27,3 | -29,3 | -32,8 | -35,4 | -37,5 |
38 | -0,42 | -1,60 | -11,6 | -22,4 | -28,1 | -29,9 | -33,1 | -35,8 | -37,9 |
40 | -0,48 | -1,76 | -14,1 | -23,7 | -28,9 | -30,6 | -33,6 | -36,1 | -38,2 |
42 | -0,48 | -1,90 | -15,9 | -25,1 | -29,3 | -31,1 | -34,1 | -36,4 | -38,5 |
44 | -0,48 | -2,04 | -17,5 | -26,0 | -30,0 | -31,6 | -34,4 | -36,9 | -38,9 |
46 | -0,55 | -2,20 | -18,9 | -26,8 | -30,4 | -32 | -34,9 | -37,2 | -39,4 |
48 | -0,55 | -2,40 | -19,9 | -27,6 | -30,8 | -32,6 | -35,4 | -37,6 | -39,8 |
50 | -0,64 | -2,88 | -21,2 | -28,1 | -31,2 | -33,2 | -35,6 | -38,1 | -40,0 |
52 | -0,67 | -3,08 | -22,3 | -28,5 | -31,5 | -33,6 | -36,1 | -38,3 | -40,4 |
54 | -0,77 | -3,30 | -23,6 | -28,9 | -32,0 | -33,9 | -36,4 | -38,6 | -40,6 |
56 | -0,79 | -3,56 | -24,4 | -29,2 | -32,3 | -34,3 | -36,8 | -39,1 | -41,0 |
58 | -0,89 | -3,94 | -25,2 | -29,6 | -32,5 | -34,6 | -37,1 | -39,4 | -41,3 |
60 | -0,95 | -4,46 | -25,8 | -30,0 | -32,9 | -34,9 | -37,3 | -39,6 | -41,4 |
62 | -1,01 | -4,94 | -26,8 | -30,3 | -33,3 | -35,1 | -37,4 | -39,8 | -41,6 |
64 | -1,06 | -5,56 | -27,4 | -30,6 | -33,5 | -35,4 | -37,8 | -40,0 | -41,8 |
66 | -1,11 | -6,44 | -27,9 | -31,1 | -33,8 | -35,6 | -37,9 | -40,3 | -42,1 |
68 | -1,15 | -7,26 | -28,4 | -31,5 | -34,1 | -36,0 | -38,2 | -40,5 | -42,4 |
70 | -1,18 | -8,38 | -28,8 | -31,6 | -34,3 | -36,2 | -38,5 | -40,6 | -42,6 |
72 | -1,29 | -9,36 | -29,3 | -31,9 | -34,6 | -36,4 | -38,6 | -40,9 | -42,7 |
74 | -1,35 | -10,6 | -29,8 | -32,3 | -34,9 | -36,6 | -38,8 | -41,0 | -42,8 |
76 | -1,39 | -11,9 | -30,0 | -32,7 | -35,1 | -36,7 | -39,0 | -41,2 | -43,0 |
78 | -1,45 | -13,0 | -30,2 | -32,9 | -35,3 | -36,8 | -39,1 | -41,5 | -43,3 |
80 | -1,68 | -14,2 | -30,7 | -33,2 | -35,5 | -36,9 | -39,3 | -41,7 | -43,5 |
82 | -1,77 | -15,5 | -30,9 | -33,4 | -35,7 | -37,2 | -39,5 | -41,8 | -43,5 |
84 | -1,96 | -16,5 | -31,4 | -33,6 | -35,4 | -37,3 | -39,6 | -42,0 | -43,7 |
86 | -2,13 | -17,4 | -31,9 | -34,0 | -36,1 | -37,5 | -39,8 | -42,3 | -44,0 |
88 | -2,34 | -18,4 | -32,2 | -34,2 | -36,2 | -37,8 | -39,9 | -42,4 | -44,2 |
90 | -2,58 | -19,8 | -32,5 | -34,5 | -36,4 | -37,7 | -40,0 | -42,5 | -44,5 |
92 | -2,64 | -20,8 | -32,9 | -34,7 | -36,6 | -38,0 | -40,1 | -42,7 | -44,7 |
94 | -2,77 | -21,8 | -33,3 | -34,9 | -36,7 | -38,0 | -40,3 | -42,9 | -44,9 |
96 | -3,05 | -22,7 | -33,6 | -35,1 | -37,1 | -38,3 | -40,4 | -43,0 | -45,1 |
98 | -3,06 | -23,7 | -33,8 | -35,5 | -37,3 | -38,5 | -40,5 | -43,1 | -45,3 |
100 | -3,44 | -24,8 | -34,1 | -35,8 | -37,7 | -38,8 | -40,6 | -43,3 | -45,4 |
Таблица 2
Функция F(u,x) - квадратная апертура, u = 100 - 760
u | Параметр x |
0,005 | 0,01 | 0,02 | 0,03 | 0,04 | 0,05 | 0,1 | 0,15 | 1,0 |
1 | 2 | 3 | 4 | 5 | 6 | 7 | 8 | 9 | 10 |
100 | -3,44 | -24,8 | -34,1 | -35,7 | -37,7 | -38,8 | -40,6 | -43,3 | -45,4 |
110 | -3,75 | -27,1 | -34,8 | -36,8 | -38,8 | -40,5 | -42,1 | -45,0 | -46,4 |
120 | -4,53 | -29,3 | -35,4 | -37,4 | -39,5 | -41,3 | -42,8 | -45,8 | -47,2 |
130 | -5,74 | -30,5 | -36,0 | -37,8 | -40,1 | -41,9 | -43,4 | -46,5 | -47,9 |
140 | -8,14 | -31,4 | -36,6 | -38,5 | -40,7 | -42,5 | -44,1 | -47,2 | -48,7 |
150 | -11,4 | -32,3 | -37,2 | -39,2 | -41,2 | -43,0 | -44,5 | -47,9 | -49,3 |
160 | -15,6 | -33,2 | -37,8 | -39,7 | -41,7 | -43,5 | -44,9 | -48,7 | -49,9 |
170 | -19,7 | -34,1 | -38,4 | -40,0 | -42,1 | -44,0 | -45,7 | -49,1 | -50,7 |
180 | -22,9 | -35,0 | -39,0 | -40,4 | -42,5 | -44,5 | -46,3 | -49,6 | -51,4 |
190 | -25,6 | -35,6 | -39,4 | -41,0 | -42,9 | -45,0 | -46,8 | -50,0 | -52,1 |
200 | -27,5 | -36,2 | -39,9 | -41,5 | -43,3 | -45,6 | -47,5 | -50,6 | -52,6 |
210 | -29,0 | -36,8 | -40,4 | -42,2 | -44,0 | -46,3 | -48,3 | -51,5 | -53,1 |
220 | -30,3 | -37,4 | -41,1 | -42,9 | -44,4 | -47,0 | -49,1 | -51,9 | -53,6 |
230 | -31,3 | -38,0 | -41,8 | -43,6 | -45,4 | -47,0 | -49,8 | -52,5 | -54,1 |
240 | -32,2 | -38,6 | -42,4 | -44,3 | -46,0 | -48,4 | -50,6 | -53,0 | -54,6 |
250 | -33,1 | -39,2 | -43,1 | -45,0 | -46,6 | -49,1 | -51,4 | -53,8 | -55,1 |
260 | -34,0 | -39,8 | -43,8 | -45,9 | -47,2 | -50,0 | -52,2 | -54,5 | -56,1 |
270 | -34,9 | -40,9 | -44,9 | -46,9 | -48,9 | -51,0 | -53,1 | -55,9 | -56,9 |
280 | -36,2 | -41,7 | -45,9 | -47,6 | -49,7 | -52,0 | -54,0 | -56,5 | -57,6 |
290 | -37,5 | -42,9 | -47,2 | -48,6 | -51,0 | -53,2 | -54,9 | -57,4 | -58,7 |
300 | -38,0 | -44,1 | -48,1 | -49,9 | -52,0 | -54,1 | -56,1 | -58,9 | -60,0 |
400 | -48,0 | -54,0 | -58,0 | -60,0 | -62,0 | -64,0 | -66,0 | -69,0 | -70,0 |
500 | -58,0 | -64,0 | -68,0 | -70,0 | -72,0 | -74,0 | -76,0 | -79,0 | -80,0 |
600 | -68,0 | -74,0 | -78,0 | -80,0 | -82,0 | -84,0 | -86,0 | -89,0 | -90,0 |
700 | -78,0 | -84,0 | -88,0 | -90,0 | -92,0 | -94,0 | -96,0 | -99,0 | -100 |
760 | -84,0 | -90,0 | -94,0 | -96,0 | -98,0 | -100 | -102 | -105 | -106 |

Рис. 24. Функция

к МУК 4.3.3921-23
РЕКОМЕНДОВАННЫЙ ПЕРЕЧЕНЬ ИНФОРМАЦИИ, ВКЛЮЧАЕМОЙ В ПРОТОКОЛ
ИЗМЕРЕНИЙ ЭЛЕКТРОМАГНИТНЫХ ПОЛЕЙ
1. Наименование и адрес организации, выполняющей измерения, сведения об аккредитации.
2. Наименование и адрес заказчика.
3. Объект измерений, адрес с указанием координат.
4. Дата и время проведения измерений.
5. Фамилия, имя, отчество (при наличии) и должность уполномоченного представителя объекта, присутствующего при проведении измерений.
6. Место и адрес проведения измерений.
7. Цель проведения измерений.
8. Информация о средствах измерения (наименование, тип, диапазон измерений, дата и срок поверки, погрешность прибора).
9. Нормативные и методические документы, в соответствии с которыми проводились измерения.
10. Технические характеристики РЭС.
11. Условия проведения измерений.
12. Результаты измерений с указанием точек, единиц измерений, уровней ЭМП (фактические значения), расширенной неопределенности измерений.
13. Схема расположения РЭС с указанием точек измерения на ситуационном плане или эскизе.
14. Подписи лиц, проводивших измерения.
к МУК 4.3.3921-23
РАСЧЕТ РАСШИРЕННОЙ НЕОПРЕДЕЛЕННОСТИ ИЗМЕРЕНИЙ
1. Расчет расширенной неопределенности измерений выполняют в следующем порядке.
2. По откорректированным результатам нескольких аналогичных измерений уровней ЭМП, выполненных в одной и той же точке измерения, одним и тем же СИ и по одной и той же методике, вычисляют среднее значение измеренных уровней ЭМП

из n измерений по
формуле (2):
| | ИС МЕГАНОРМ: примечание. Нумерация формул дана в соответствии с официальным текстом документа. | |

(2)
3. Для полученной серии измерений в данной точке измерения оценивают стандартную неопределенность по типу A (
uA) - как среднее арифметическое

из
n измерений, связанную с погрешностями методики измерений и влиянием факторов окружающей среды, по
формуле (3):

(3)
4. Оценивают стандартную неопределенность по типу B (
uB), обусловленную инструментальной погрешностью (например, погрешность СИ, погрешность калибровки) (

, по
формуле (4):

, где (4)

- инструментальная погрешность измерений ЭМП, определяется в соответствии с эксплуатационной документацией СИ.
Если инструментальная (приборная погрешность) выражена в процентах, то стандартная неопределенность по типу B (
uB), вычисляется по
формуле (5):

(5)
Для перевода значений неопределенности из линейных единиц (%) в логарифмические (
dB) (и наоборот) следует использовать
формулы (6) и
(7):

(6)

. (7)
5. Суммарную стандартную неопределенность (
uC) рассчитывают по
формуле (8):

(8)
6. В качестве расширенной неопределенности измерений U(N) исследуемой величины применяют односторонний или двусторонний интервал охвата усредненного уровня ЭМП (с уровнем доверия N% и коэффициентом охвата k).
Вычисление расширенной неопределенности измерений
U(
N) выполняют по
формуле (9):
k - коэффициент охвата, значение которого зависит от распределения возможных значений измеряемой величины и уровня доверия N;
uc - суммарная стандартная неопределенность измерений.
7. Значение коэффициента охвата принимается в зависимости от цели измерений и от вида интервала (односторонний или двусторонний).
При предположении нормального закона распределения значений измеряемой величины коэффициент охвата для одностороннего интервала составляет k = 1,3 при уровне доверия N = 90%; k = 1,65 при N = 95%.
Для двустороннего интервала коэффициент охвата составляет k = 1,65 при N = 90%; k = 2 при N = 95%; k = 3 при N = 99%.
Для равномерного закона распределения принимают k = 1,65 при N = 95% и k = 1,71 при N = 99%.
При неизвестном распределении принимают коэффициент охвата, равный k = 2.
8.
N%-й расширенный интервал охвата определяют по
формуле (10):

(10)
9. Рекомендуется использовать односторонний интервал охвата для сравнения границы этого интервала с некоторым предельно допустимым значением, в качестве коэффициента охвата k для уровня доверия 95% берут значение k = 1,65.
1. Федеральный
закон от 30.03.1999 N 52-ФЗ "О санитарно-эпидемиологическом благополучии населения".
2. Федеральный
закон от 28.12.2013 N 412-ФЗ "Об аккредитации в национальной системе аккредитации".
3. Федеральный
закон от 26.06.2008 N 102-ФЗ "Об обеспечении единства измерений".
4.
СанПиН 2.1.3684-21 "Санитарно-эпидемиологические требования к содержанию территорий городских и сельских поселений, к водным объектам, питьевой воде и питьевому водоснабжению, атмосферному воздуху, почвам, жилым помещениям, эксплуатации производственных, общественных помещений, организаций и проведению санитарно-эпидемиологических (профилактических) мероприятий".
5.
СанПиН 1.2.3685-21 "Гигиенические нормативы и требования к обеспечению безопасности и (или) безвредности для человека факторов среды обитания".
8.
СП 118.13330.2022 "Свод правил. Общественные здания и сооружения. СНиП 31-06-2009".
9.
МУ 4.3.2320-08 "Порядок подготовки и оформления санитарно-эпидемиологических заключений на передающие радиотехнические объекты".
10.
ГОСТ 24375 "Радиосвязь Термины и определения".
11. ГОСТ Р 52003 "Уровни разукрупнения радиоэлектронных средств".
12. ГОСТ Р 55787 "Устройства для радиосвязи, радиовещания и телевидения антенно-фидерные. Термины и определения".
13.
ГОСТ Р 55815 Безопасность объектов и средств радиосвязи. Методы исследований и расчета уровней электромагнитных излучений при проектировании объектов связи".
15.
ГОСТ 23611 "Совместимость радиоэлектронных средств электромагнитная. Термины и определения".
16.
ГОСТ 34100.1 "Неопределенность измерения. Часть 1. Введение в руководства по выражению неопределенности измерения".
17.
ГОСТ 34100.3 "Неопределенность измерения. Часть 3. Руководство по выражению неопределенности измерения".
В целях применения настоящих МУК используются следующие понятия:
Зона ограничения (ЗО) - территория, окружающая передающие радиоэлектронные средства, на внешних границах которой на высоте от поверхности земли более 2 м уровни ЭМП превышают ПДУ.
Общественные здания - здания и сооружения, предназначенные для размещения организаций, учреждений и предприятий (управления, финансирования и кредитования, информационно-технического назначения, проектных и изыскательских, научно-исследовательских), административные, здания образования, здравоохранения и отдыха, торговли, гостиницы, многофункциональные здания и комплексы.
Передающая антенна - устройство, в котором с помощью генератора электромагнитных колебаний создаются переменные токи, излучающие электромагнитные волны в окружающие пространство.
Радиоэлектронные средства - технические средства, предназначенные для передачи и (или) приема радиоволн, состоящие из одного или нескольких передающих и (или) приемных устройств либо комбинации таких устройств и включающие в себя вспомогательное оборудование.
Санитарно-защитная зона (СЗЗ) - территория, окружающая передающие радиоэлектронные средства, на внешних границах которой на высоте 2 м от поверхности земли уровни ЭМП не превышают ПДУ.
Селитебная территория - территория, предназначенная для размещения жилищного фонда, общественных зданий и сооружений, в т.ч. научно-исследовательских институтов и их комплексов, а также отдельных коммунальных и промышленных объектов, не требующих санитарно-защитных зон; для устройства путей внутригородского сообщения, улиц, площадей, парков, садов, бульваров и других мест общего пользования.
Электромагнитная обстановка - совокупность электромагнитных полей и колебаний в заданной области пространства, полосе частот и интервале времени.
Эффективная излучаемая мощность - мощность передатчика, умноженную на произведение коэффициента усиления антенны и коэффициента полезного действия фидерного тракта.