Главная // Актуальные документы // Методические рекомендацииСПРАВКА
Источник публикации
М.: Федеральный центр гигиены и эпидемиологии Роспотребнадзора, 2010
Примечание к документу
Документ
введен в действие с 10 декабря 2009 года.
Название документа
"МР 1.2.2566-09. 1.2. Гигиена, токсикология, санитария. Оценка безопасности наноматериалов in vitro и в модельных системах in vivo. Методические рекомендации"
(утв. Роспотребнадзором 10.12.2009)
"МР 1.2.2566-09. 1.2. Гигиена, токсикология, санитария. Оценка безопасности наноматериалов in vitro и в модельных системах in vivo. Методические рекомендации"
(утв. Роспотребнадзором 10.12.2009)
Руководитель Федеральной
службы по надзору в сфере
защиты прав потребителей
и благополучия человека,
Главный государственный
санитарный врач
Российской Федерации
Г.Г.ОНИЩЕНКО
10 декабря 2009 года
1.2. ГИГИЕНА, ТОКСИКОЛОГИЯ, САНИТАРИЯ
ОЦЕНКА БЕЗОПАСНОСТИ НАНОМАТЕРИАЛОВ IN VITRO
И В МОДЕЛЬНЫХ СИСТЕМАХ IN VIVO
МЕТОДИЧЕСКИЕ РЕКОМЕНДАЦИИ
МР 1.2.2566-09
Дата введения
10 декабря 2009 года
1. Разработаны Федеральной службой по надзору в сфере защиты прав потребителей и благополучия человека (Г.Г. Онищенко); Учреждением Российской академии медицинских наук Научно-исследовательским институтом питания РАМН (В.А. Тутельян, И.В. Гмошинский, С.А. Хотимченко, С.А. Шевелева, Н.Р. Ефимочкина, И.В. Аксенов, Е.А. Арианова, В.В. Бессонов, В.М. Верников, М.М. Гаппаров, Р.В. Распопов, О.И. Передеряев, О.Н. Тананова); Учреждением Российской академии медицинских наук Научно-исследовательским институтом эпидемиологии и микробиологии им. Почетного академика Н.Ф. Гамалеи РАМН (А.Л. Гинцбург, Б.С. Народицкий, М.М. Шмаров, Д.Ю. Логунов, Л.Н. Нестеренко, Н.А. Зигангирова, Ю.М. Романова, А.Ф. Мороз, М.В. Мезенцева, Д.В. Щебляков, И.Л. Тутыхина, Л.В. Черенова, А.И. Тухватулин, И.Ю. Грибова); Учреждением Российской академии наук Институтом проблем экологии и эволюции им. А.Н. Северцова РАН (Д.С. Павлов, Ю.Ю. Дгебуадзе, Е.С. Бродский, Е.Ю. Крысанов, Т.Б. Демидова, А.В. Купцов, Л.А. Пельгунова); Государственным учебно-научным учреждением Биологический факультет Московского государственного университета им. М.В. Ломоносова (М.П. Кирпичников, К.В. Шайтан, А.П. Бонарцев, А.В. Феофанов); Центром "Биоинженерия" РАН (К.Г. Скрябин); Учреждением Российской академии наук Институтом биохимии им. А.Н. Баха РАН (В.О. Попов, Б.Б. Дзантиев, А.В. Жердев, Н.В. Голуб); Федеральным государственным унитарным предприятием "Всероссийский научно-исследовательский институт метрологической службы" (ФГУП ВНИИМС) (С.А. Кононогов, С.С. Голубев); ООО "Интерлаб" (А.Н. Веденин, Г.В. Казыдуб).
2. Рекомендованы к утверждению Комиссией по государственному санитарно-эпидемиологическому нормированию при Федеральной службе по надзору в сфере защиты прав потребителей и благополучия человека (протокол от 03.12.09 N 3).
3. Утверждены Руководителем Федеральной службы по надзору в сфере защиты прав потребителей и благополучия человека, Главным государственным санитарным врачом Российской Федерации Г.Г. Онищенко 10 декабря 2009 г.
4. Введены в действие 10 декабря 2009 г.
5. Введены впервые.
Использование нанотехнологий и наноматериалов рассматривается в настоящее время как новая промышленная революция, происходящая в XXI веке. Уникальные свойства, которые приобретают вещества традиционного химического состава в форме наночастиц, открывают широкие перспективы в целенаправленном получении материалов с новыми свойствами, такими как уникальная механическая прочность, особые спектральные, электрические, магнитные, химические, биологические характеристики.
В ближайшей перспективе следует ожидать во всем мире и, в частности, в России резкого увеличения объемов производства ряда приоритетных наноматериалов, таких как наночастицы оксидов кремния, титана, цинка, железа, церия, алюминия, металлические наночастицы железа, меди, кобальта, никеля, алюминия, серебра, золота, углеродные нанотрубки, фуллерены, наночастицы биополимеров и рекомбинантных вирусов. Это с неизбежностью приведет к поступлению значительных количеств наноматериалов в окружающую среду, их накоплению в компонентах биоты и абиотических средах с последующей возможной передачей человеку.
В настоящее время накоплен значительный экспериментальный материал относительно возможных вредных воздействий некоторых наноматериалов на живые организмы. Однако большинство исследований по изучению токсического действия наночастиц и наноматериалов выполнено на большом числе разнообразных, недостаточно стандартизированных методик и тест-систем, результаты которых часто не сопоставимы. В связи с этим большое значение приобретает разработка системы стандартных тестов, позволяющих оценивать безопасность новых искусственных наноматериалов по их воздействию на показатели жизнедеятельности избранных биологических систем, в роли которых выступают патогенные, условно-патогенные и симбиотические микроорганизмы, культуры клеток высших животных, репрезентативные компоненты водных биоценозов (ракообразные, рыбы), организмы млекопитающих.
Настоящие методические рекомендации разработаны в рамках реализации Федеральной целевой
программы "Развитие инфраструктуры наноиндустрии в Российской Федерации на 2008 - 2010 гг." в целях внедрения единого, научно обоснованного подхода к оценке безопасности искусственных наноматериалов.
1.1. Настоящие методические рекомендации используются при проведении тестирования безопасности наночастиц и наноматериалов искусственного происхождения на модельных биологических объектах, включая культуры симбиотических, условно-патогенных и патогенных микроорганизмов, культуры клеток различных тканей высших животных, гидробионты (ракообразные, рыбы), организмы лабораторных животных.
1.2. Положения, изложенные в настоящих методических рекомендациях, применяются в ходе установления безопасности наноматериалов на стадиях их производства, оборота и использования в Российской Федерации в целях принятия решений по оценке рисков, связанных с данными процессами.
1.3. Методические рекомендации разработаны с целью обеспечения единства измерений и адаптации имеющихся методов и средств измерений в ходе оценки безопасности наноматериалов искусственного происхождения.
1.4. Методические рекомендации предназначены для специалистов учреждений Федеральной службы по надзору в сфере защиты прав потребителей и благополучия человека, а также научно-исследовательских организаций гигиенического профиля, медицинских учебных заведений и иных организаций и учреждений, занимающихся вопросами оценки безопасности наноматериалов.
2.1. Федеральный
закон от 30 марта 1999 г. N 52-ФЗ "О санитарно-эпидемиологическом благополучии населения".
2.2. Федеральный
закон от 2 января 2000 г. N 29-ФЗ "О качестве и безопасности пищевых продуктов".
2.3. Федеральный
закон от 27 декабря 2002 г. N 184-ФЗ "О техническом регулировании".
2.4. Федеральный
закон от 10 января 2002 г. N 7-ФЗ "Об охране окружающей среды".
2.5.
Постановление Правительства Российской Федерации от 21 декабря 2000 г. N 987 "О государственном надзоре и контроле в области обеспечения качества и безопасности пищевых продуктов".
2.6.
Постановление Правительства Российской Федерации от 21 декабря 2000 г. N 988 "О государственной регистрации новых пищевых продуктов, материалов и изделий".
2.7.
Постановление Правительства Российской Федерации от 18 мая 2002 г. N 320 "О подписании Российской Федерацией Стокгольмской конвенции о стойких органических загрязнителях".
2.8.
Постановление Главного государственного санитарного врача Российской Федерации от 23 июля 2007 г. N 54 "О надзоре за продукцией, полученной с использованием нанотехнологий и содержащей наноматериалы".
2.9.
Постановление Главного государственного санитарного врача Российской Федерации от 31 октября 2007 г. N 79 "Об утверждении Концепции токсикологических исследований, методологии оценки риска, методов идентификации и количественного определения наноматериалов".
2.10.
МУ 1.2.2520-09 "Токсиколого-гигиеническая оценка наноматериалов".
2.11.
Приказ Министерства здравоохранения СССР от 12 августа 1977 г. N 755 "О мерах по дальнейшему совершенствованию организационных форм работы с использованием экспериментальных животных".
2.12.
Приказ Министерства здравоохранения Российской Федерации от 19 июня 2003 г. N 267 "Об утверждении Правил лабораторной практики" (зарегистрирован Минюстом России 25.06.03 N 4809).
2.13.
Приказ Федеральной службы по надзору в сфере защиты прав потребителей и благополучия человека от 19 июля 2007 г. N 224 "О санитарно-эпидемиологических экспертизах, обследованиях, исследованиях, испытаниях и токсикологических, гигиенических и иных видах оценок" (зарегистрирован Минюстом России 20.07.07 N 9866).
2.14. Методические
указания по разработке нормативов предельно допустимых вредных воздействий на водные объекты. Утверждены Первым заместителем Министра природных ресурсов Российской Федерации и Первым заместителем Председателя Государственного Комитета Российской Федерации по охране окружающей среды от 26 февраля 1999 г.
3.1. Проведение исследований по определению безопасности наноматериалов на модельных биологических тест-системах определяется правилами надлежащей лабораторной практики.
3.2. Стандартные наноматериалы.
3.2.1. Для верификации, стандартизации и калибровки методов, применяемых при определении безопасности наноматериалов на модельных биологических тест-системах, используются стандартные образцы наноматериалов (стандарты).
3.2.2. Каждый стандартный образец наноматериала должен быть охарактеризован по показателям химического состава (включая наличие примесей), размеру и форме частиц, удельной площади поверхности, типу кристаллической структуры. Указанные характеристики определяются с использованием методов масс-спектрометрии с индуктивно связанной плазмой, трансмиссионной электронной микроскопии, определения изотерм адсорбции инертных газов, рентгенофазового (рентгенодифракционного) анализа. В случае стандартных образцов фуллеренов следует использовать метод обращеннофазной ВЭЖХ.
| | ИС МЕГАНОРМ: примечание. Взамен ГОСТ 30333-95 Приказом Ростехрегулирования от 12.08.2008 N 164-ст с 1 января 2009 года введен в действие ГОСТ 30333-2007. | |
3.2.3. Каждый стандартный образец наноматериала должен быть снабжен "Паспортом безопасности наноматериалов", который должен быть составлен в соответствии с ГОСТ 30333-95 "Паспорт безопасности вещества (материала)".
3.2.4. Стандартные образцы наноматериалов должны быть упакованы для защиты при транспортировке от загрязнения или порчи.
3.2.5. Хранение стандартных образцов наноматериалов осуществляется отдельно от остальных применяемых веществ с соблюдением условий хранения, указанных в "Паспорте безопасности", на протяжении всего срока годности образца.
3.2.6. Хранение и использование стандартных образцов наноматериалов осуществляется в соответствии с утвержденным протоколом исследования.
3.3. Используемое оборудование.
3.3.1. Организации, проводящие определение безопасности наноматериалов на модельных биологических тест-системах, должны быть оснащены необходимым оборудованием, прошедшим метрологический контроль и калибровку в установленном порядке.
3.3.2. Эксплуатация оборудования проводится в соответствии с техническим паспортом и инструкцией по применению. Результаты проведения калибровки и текущего ремонта оборудования фиксируются в специальном журнале, доступном в любое время сотрудникам, эксплуатирующим оборудование или обеспечивающим его обслуживание.
3.4. Планирование и проведение исследований.
3.4.1. Определение безопасности наноматериалов на модельных биологических тест-системах проводится по утвержденному плану с ведением протокола и составлением отчета, в который заносятся все результаты исследований.
3.4.2. Тесты по определению безопасности наноматериалов, требующие использования лабораторных животных, проводятся только на здоровых животных, прошедших карантин.
3.4.3. Помещения для лабораторных животных должны обеспечивать изоляцию (карантин) поступающих животных, больных животных и животных, подозреваемых в носительстве инфекций; позволять осуществлять раздельное содержание различных видов животных и животных одного вида; соответствовать санитарно-эпидемиологическим и ветеринарным требованиям.
3.4.4. Корма, оборудование и инвентарь для ухода за животными необходимо хранить в помещениях, изолированных от мест содержания животных.
3.4.5. Исследования безопасности наноматериалов на животных проводятся в соответствии с установленными правилами. Исполнителем должен быть обеспечен контроль за соблюдением правовых и этических норм использования лабораторных животных в соответствии с утвержденным протоколом (
п. 3.4.7).
3.4.6. Корма и вода для животных должны обеспечивать пищевые потребности в соответствии с протоколом исследования и действующими нормативными документами.
3.4.7. Данные исследования безопасности наноматериалов на модельных биологических тест-системах заносятся в протокол, в котором отражены цели работы и методы, используемые в работе. Протокол исследования утверждается руководителем организации, проводящей исследования, и включает: цель и задачи исследования, имеющиеся сведения о тестируемом наноматериале (физические, химические, биологические, токсикологические свойства), используемые стандарты, схему проведения тестирования и ее обоснование, методы введения наноматериала в биологический объект, применяемые дозы наноматериала, методы исследования, определяемые показатели, результаты исследований, метрологическую характеристику анализа, статистическую обработку результатов исследования, заключение, список используемой литературы.
3.4.8. Вносимые в протокол исследования изменения и отклонения от протокола (незапланированные события, непредвиденные обстоятельства и т.д.) записываются, пронумеровываются, подписываются руководителем исследования, датируются в приложении с указанием причин и утверждаются руководителем организации.
3.5. Оформление отчета.
3.5.1. По окончании проведенных исследований безопасности наноматериалов на модельных биологических тест-системах оформляется отчет, в котором должны быть представлены: название, адрес организации, даты начала и завершения исследований, цель и задачи исследования; характеристика тестируемого наноматериала, включая имеющиеся сведения о физических, химических, биологических, токсикологических свойствах; перечень протестированных образцов наноматериала и применяемых стандартов, метод введения наноматериала в биологический объект, схема проведения исследования, описание методов статистической обработки результатов, результаты исследования, представленные в виде обобщающих таблиц, рисунков с соответствующей статистической обработкой, обсуждение результатов, выводы, список использованной литературы.
3.5.2. Отчет о результатах проведенного исследования составляется ответственным исполнителем, утверждается руководителем организации и скрепляется печатью организации.
3.6. Система обеспечения качества исследований по определению безопасности наноматериалов на модельных биологических тест-системах.
3.6.1. Контроль за качеством проведения исследований по определению безопасности наноматериалов на модельных биологических тест-системах включает в себя оформление перечня исследований, проводимых в организации, с указанием для каждого исследования руководителя и заказчика, названия определяемого наноматериала, даты начала и состояния каждого исследования на текущий момент времени, оценку протоколов и методов исследования на соответствие правилам лабораторной практики, мониторинг текущих исследований, отчет о проведенных проверках и рекомендации по устранению недостатков.
3.6.2. Для осуществления контроля качества руководитель организации, проводящей тестирование безопасности наноматериалов на модельных биологических тест-системах, назначает в соответствии с правилами надлежащей лабораторной практики ответственных лиц за мониторинг исследования из числа сотрудников, не участвующих в исследовании.
3.7. Стандартные операционные процедуры.
3.7.1. Стандартные операционные процедуры разрабатываются организацией, проводящей исследования безопасности наноматериалов на модельных биологических тест-системах, на все производственные операции, включая: поступление, идентификацию, маркировку, отбор, обработку проб, использование и хранение исследуемых проб, хранение и аттестацию стандартов; обслуживание и калибровку измерительных приборов и оборудования; ведение биологических тест-систем и их поддержание в функциональном состоянии; приготовление реактивов, ведение записей, отчетов и их хранение; обслуживание помещений; обезвреживание или утилизация наноматериалов и содержащих их образцов (если это необходимо); осуществление программы по обеспечению качества, и утверждаются руководителем организации.
3.7.2. Соблюдение стандартных операционных процедур осуществляется в целях обеспечения качества, достоверности и воспроизводимости результатов исследования.
3.7.3. Отклонения от стандартных операционных процедур должны быть документально оформлены, подписаны руководителем исследования и утверждены руководителем организации.
3.7.4. Организация, проводящая исследование по определению безопасности наноматериалов на модельных биологических тест-системах, обязана:
- иметь утвержденный порядок приема и учета поступления анализируемых проб и стандартов наноматериалов;
- проводить учет анализируемых проб и стандартов наноматериалов при поступлении, расходовании, возврате заказчику или их утилизации;
- принимать меры по обеспечению идентификации исследуемых веществ (название, химическая формула, номер серии, дата выпуска, условия хранения и срок годности) и их стабильности на протяжении всего исследования. Для образцов наноматериалов на этикетке дополнительно должны указываться степень дисперсности, размер, форма частиц, при необходимости удельная площадь поверхности и кристаллическая структура.
3.8. Меры конфиденциальности.
3.8.1. Сотрудники, принимающие участие в проведении исследований по безопасности наноматериалов на модельных биологических тест-системах, обязаны соблюдать конфиденциальность в отношении любых данных, полученных в ходе исследования, в соответствии с законодательством Российской Федерации.
3.8.2. Организация, проводящая исследования по определению безопасности наноматериалов, должна обеспечить конфиденциальность результатов исследований в рамках принятых ею обязательств и в соответствии с законодательством Российской Федерации.
4. Оценка безопасности наноматериалов в модельных системах
in vitro, содержащих культуры микроорганизмов
4.1. Метод оценки безопасности наноматериалов в модельной
системе нормальной микрофлоры кишечника человека
в условиях in vitro
4.1.1. Принцип метода
Безопасность наноматериалов в отношении их влияния на микроорганизмы нормальной микрофлоры кишечника человека в условиях in vitro оценивают по влиянию наночастиц на ростовые, культуральные, морфологические, биохимические свойства этих микроорганизмов. Образцы наноматериалов в разных концентрациях одновременно с культурами основных видов нормальной микрофлоры кишечного тракта вносят в среду роста и проводят культивирование по стандартной методике.
4.1.2. Характеристика используемых организмов и тест-систем
В качестве тест-микроорганизмов используют выделенные из стандартизированных коммерческих препаратов пробиотиков ("Лактобактерина", "Бифидумбактерина" и "Колибактерина") штаммы следующих микроорганизмов: Lactobacillus plantarum, Lactobacillus fermentii, Lactobacillus acidophilus, Bifidobacterium bifidum, Escherichia coli.
4.1.3. Приборы и оборудование
Термостат, поддерживающий рабочую температуру 28 - 45 °C с отклонением от заданной +/- 1 °C | ТУ 64-1-1382-72 |
Шейкер фирмы "Elmi" или аналогичный | |
Ламинарный шкаф марки ЛШ1 фирмы "Biokom" или аналогичный | |
Центрифуга со скоростью вращения ротора до 12000 об./мин для пробирок объемом 15 см3 | |
Встряхиватель вибрационный типа "Вортекс" со скоростью вращения до 3000 об./мин | |
Холодильник бытовой электрический | |
Весы лабораторные общего назначения 2-го класса точности | |
Мембранные установки для получения деионизированной воды | ОСТ 11-029.003-80 |
Анализатор потенциометрический с погрешностью измерений рН +/- 0,01 | |
Облучатель бактерицидный настенный ОБН-150 | ТУ 954-001-0492102-01 |
Дозаторы с переменным объемом дозирования фирмы "Gilson": | |
0,2 - 2,0 мм3 с шагом 0,01 мм3 и точностью +/- 1,2%; | |
2 - 20 мм3 с шагом 0,01 мм3 и точностью +/- 0,8%; | |
1 - 10 см3 с шагом 0,1 см3 и точностью +/- 0,5% или аналогичные | |
Дозаторы с переменным объемом дозирования фирмы "Ленпипет": | ТУ 9452-002-33189998-2002 |
0,5 - 10,0 мм3 с шагом 0,01 мм3 и точностью +/- 0,8%; | |
20 - 200 мм3 с шагом 0,1 мм3 и точностью +/- 0,6%; | |
100 - 1000 мм3 с шагом 1 мм3 и точностью +/- 3,0% | |
Пробирки стерильные типа "Эппендорф", объемом 1,5 см3 | |
Пробирки стерильные с крышкой фирмы "Costar", вместимостью 15 см3 или аналогичные | |
Наконечники пластиковые, объемом 1 - 200 мм3 | |
Наконечники пластиковые, объемом 200 - 1000 мм3 | |
Перчатки резиновые | |
Колбы плоскодонные конические разной вместимости | |
Цилиндры стеклянные мерные лабораторные, вместимостью 25, 100, 1000 см3 | |
Воронки стеклянные | |
Флаконы стерильные, объемом 100 и 200 см3, фирмы "Costar" или аналогичные | |
4.1.4. Материалы и реактивы
Питательные среды:
- среда Бактофак (или другие аналогичные среды) для культивирования бифидобактерий;
- MRS agar (или другие аналогичные среды) для культивирования лактобацилл;
- среда Эндо для культивирования Escherichia coli;
- тиогликолевая среда для выращивания тест-микроорганизмов.
Физиологический раствор (0,85% NaCl) для титрования микроорганизмов.
Допускаются к использованию реагенты и материалы аналогичного назначения других изготовителей, разрешенные к применению в установленном порядке и с характеристиками, обеспечивающими проведение исследований в соответствии с данным документом.
4.1.5. Стандартные образцы наноматериалов
При калибровке метода используют следующие стандартные образцы:
Образец N 1:
- Наименование (тривиальное): псевдоаденовирусные наночастицы.
- Название химическое (по номенклатуре IUPAC): не имеют.
- Происхождение: Российская Федерация, изготовитель: НИИЭМ им. Н.Ф. Гамалеи РАМН.
Образец N 2:
- Наименование (тривиальное): наноразмерные частицы серебра "AgБион-2".
- Название химическое (по номенклатуре IUPAC): серебро.
- Происхождение: Российская Федерация, изготовитель: АНО "Институт нанотехнологий Международного фонда конверсии".
4.1.6. Методика введения тестируемого образца
Образцы наноматериалов в различных концентрациях вносят дозатором в пробирки, содержащие определенные разведения бактериальных культур видов нормальной микрофлоры кишечника человека.
4.1.7. Методика проведения анализа
4.1.7.1. Для оценки роста культур в присутствии наноматериалов проводят наращивание микробной массы тест-микроорганизмов с дальнейшим титрованием методом десятикратных серийных разведений от 108 до 102 КОЕ/мл.
4.1.7.2. Проводят сравнение двух рядов пробирок по 10 см3 тиогликолевой среды (опытных и контрольных) с исследуемыми разведениями тест-микроорганизмов.
4.1.7.3. В опытные ряды вносятся испытуемые наноматериалы. В контрольных содержатся только тест-микроорганизмы. Инкубируют опытные и контрольные пробирки в термостате при 37 °C в течение 72 ч.
4.1.7.4. По окончании инкубирования проводят высевы из тиогликолевой среды опытных и контрольных серий на плотные питательные среды (Бактофок, MRS agar и среду Эндо) для подсчета выросших колоний микроорганизмов.
4.1.7.5. Сравнивают число колоний тест-микроорганизмов в опытных и контрольных рядах, результаты оформляют в виде таблицы.
Проверку морфологических, культуральных, ростовых и биохимических качеств тест-микроорганизмов проводят с использованием стандартных систем API Ana, API 20E.
4.1.8. Обработка данных
Исследуют качество выросших тест-микроорганизмов из опытных и контрольных серий по следующим показателям:
- визуальные признаки роста типичных колоний;
- культуральные, морфологические и биохимические свойства.
Окончательный результат количественного учета выводят из 3 параллельных посевов. Учитывается наличие и количество неспецифической в отношении тест-штаммов микрофлоры. Пример учета результатов культивирования тест-микроорганизмов представлен в табл. 4.1.8.1.
Таблица 4.1.8.1
ПРИМЕР
УЧЕТА РЕЗУЛЬТАТОВ КУЛЬТИВИРОВАНИЯ ТЕСТ-МИКРООРГАНИЗМОВ
Микроорганизм | E. coli |
Наноматериал | Титр микроорганизмов до инкубации | Титр микроорганизмов после инкубации | Титр микроорганизмов до инкубации | Титр микроорганизмов после инкубации |
Опытная серия | Контрольная серия |
| 102 | 105 | 102 | 105 |
| 104 | 107 | 104 | 107 |
| 106 | 109 | 106 | 109 |
Используются следующие критерии оценки воздействия нанопрепаратов на микрофлору:
- если количество КОЕ/мл тест-штаммов в средах с испытуемым наноматериалом и в средах без него достоверно не отличается, то делается вывод об отсутствии влияния испытуемой концентрации наноматериала в модели in vitro;
- в случае достоверного превышения КОЕ/мл тест-штаммов в средах с испытуемым наноматериалом и в средах без него не менее чем на один логарифмический порядок делается вывод о стимулирующем действии данного наноматериала в модели in vitro;
- в случае достоверного уменьшения КОЕ/мл тест-штаммов в средах с испытуемым наноматериалом и в средах без него не менее чем на один логарифмический порядок делается вывод об ингибирующем действии данного наноматериала в модели in vitro.
4.1.9. Представление результата
Результат предоставляется в виде таблицы, пример которой представлен в табл. 4.1.9.1.
Таблица 4.1.9.1
ПРИМЕР ПРЕДСТАВЛЕНИЯ РЕЗУЛЬТАТОВ ТЕСТОВ ПО ОЦЕНКЕ
БЕЗОПАСНОСТИ НАНОМАТЕРИАЛОВ НА МОДЕЛЬНОЙ СИСТЕМЕ НОРМАЛЬНОЙ
МИКРОФЛОРЫ КИШЕЧНИКА ЧЕЛОВЕКА В УСЛОВИЯХ IN VITRO
Среда инкубации | Исходный/конечный титр микроорганизмов, КОЕ/см3 |
E. coli | Lactobacillus acidophilus | Bifidobacterium bifidum | Staphylococcus saprophyticus |
Тиогликолевая среда | | | | |
Образец N 1 (в концентрации...) | | | | |
Образец N 1 (в концентрации...) | | | | |
Образец N 2 (в концентрации...) | | | | |
Образец N 2 (в концентрации...) | | | | |
Контроль 0,85% NaCl | 106/106 | 106/104 | 106/103 | 106/105 |
4.2. Метод оценки безопасности наноматериалов на модельной
системе патогенной бактерии Chlamydia trachomatis
4.2.1. Принцип метода
Безопасность наноматериалов в отношении влияния на рост патогенов оценивают по воздействию наночастиц на размножение этих микроорганизмов. В качестве модельного объекта используют культуру внутриклеточной патогенной бактерии Chlamydia trachomatis в условиях in vitro. Для оценки ингибирующего эффекта образцов наноматериалов на развитие С. trachomatis проводят анализ жизнеспособности этого патогена, культивируемого в присутствии различных концентраций наночастиц. Образцы наноматериалов в разных концентрациях одновременно с патогеном вносят в культуру клеток и проводят культивирование по стандартной методике. Эффект оценивают методом прямой иммунофлуоресценции и количественным методом на основе ИФА в сравнении с контрольным образцом (клетки, зараженные С. trachomatis без наночастиц).
В основе иммуноферментного анализа лежит иммунная реакция антигена (Аг) с антителом (Ат), а присоединение к антителам ферментной метки позволяет учитывать результат реакции антиген-антитело по появлению ферментативной активности. Модификация метода для количественного учета хламидийной инфекции основана на выявлении антигена хламидий в составе хламидийных включений в культуре клеток, культивируемых в 96-луночной плашке. Величина оптической плотности, полученная после проведения стандартной реакции ИФА и учета результатов с помощью спектрофотометра, прямо пропорциональна уровню инфекции в определенных лунках. Измерение для каждого варианта проводится в 2 повторах. Положительным контролем является лунка, содержащая клетки, зараженные лабораторным штаммом хламидий в такой дозе, чтобы множественность инфекции (МОИ) составляла 1:1. Отрицательным контролем является лунка, содержащая клетки, зараженные лабораторным штаммом хламидий в дозе МОИ 1:1 и культивируемые в присутствии ингибирующей концентрации азитромицина (2 мг/см3). Исследуемым образцом является лунка, содержащая клетки, зараженные лабораторным штаммом хламидий в дозе с МОИ 1:1 и культивируемые в присутствии исследуемых наноматериалов в изучаемых концентрациях. Учет результатов проводится через 48 часов после заражения. Результаты количественного учета хламидийной инфекции выражают в процентах по отношению к положительному контролю.
4.2.2. Характеристика используемых организмов и тест-систем
Chlamydia trachomatis - патогенный для человека прокариотический микроорганизм, относится к III группе патогенности. Этот вид является возбудителем заболеваний с урогенитальной патологией, чаще всего передающихся половым путем. С. trachomatis также, как другие хламидии, имеет сложный жизненный цикл, который включает переход от элементарных телец к ретикулярным тельцам через промежуточные формы. Проникая в клетки организма хозяина путем эндоцитоза, хламидии персистируют в эпителиальных клетках, распространяясь по организму хозяина внутри моноцитов периферической крови. С. trachomatis паразитируют внутри вакуолей (фагосом) клетки-хозяина и препятствуют их слиянию с лизосомами, что предотвращает гибель патогена внутри клетки и приводит к длительному персистированию хламидий в макроорганизме.
В работе используют клеточную линию мышиных фибробластов McCoy, чувствительную к хламидийной инфекции.
4.2.3. Приборы и оборудование
Центрифуга с бакет- (горизонтальным) ротором с контейнерами для планшет Rotanta 460R фирмы "Hettich", Германия, или Jouan BR 3.111, Франция, или аналогичная | |
Магнитная мешалка Heidolph MR 3001 или аналогичная | |
Люминесцентный микроскоп ЛЮМАМ РПО 11, МИКМЕД 2 с комбинацией фильтров СЗС24, БС8-3 ФС-4 с зеленой боковой пластиной | |
Окуляры x 5, объектив для масляной иммерсии x 100 | |
Инвертированный микроскоп Nicon eclipse TS 100 | |
Окуляры C-W 10 x 5В/22, объектив x 20 | |
Водяная баня с подогревом до 95 °C или СВЧ-печь | |
Шкаф сушильный стерилизационный ШСС-80П или аналогичный, позволяющий поддерживать температуру (160 +/- 5) °C | ТУ 64-1-28-70-76 |
Холодильник бытовой электрический | |
Морозильная камера, обеспечивающая температуру (-70) °C | |
CO2-инкубатор Sanyo или аналогичный | |
Флаконы культуральные стерильные, объемом 100 - 200 см3 | |
Флаконы культуральные стерильные фирмы Costar или аналогичные, площадь 25 см2 | |
Стерильные 96-луночные плоскодонные планшеты для клеточных культур фирмы Costar или аналогичные | |
Стерильные 24-луночные плоскодонные планшеты фирмы "Costar" или аналогичные | |
Стерильные пластиковые пипетки, объемом 1,0, 2,0, 5,0, 10,0 см3 | |
Покровные круглые стекла, диаметром 12 - 13 мм | |
Весы лабораторные общего назначения 2-го класса точности | |
Мембранные установки для получения деионизированной воды | ОСТ 11-029.003-80 |
Анализатор потенциометрический с погрешностью измерений рН +/- 0,01 | |
Облучатель бактерицидный настенный ОБН-150 | ТУ 954-001-0492102-01 |
Дозаторы с переменным объемом дозирования фирмы "Gilson": | |
0,2 - 2,0 мм3 с шагом 0,01 мм3 и точностью +/- 1,2%; | |
2 - 20 мм3 с шагом 0,01 мм3 и точностью + 0,8%; | |
1 - 10 см3 с шагом 0,1 см3 и точностью +/- 0,5% или аналогичные | |
Дозаторы с переменным объемом дозирования фирмы "Ленпипет": | ТУ 9452-002-33189998-2002 |
0,5 - 10,0 мм3 с шагом 0,01 мм3 и точностью +/- 0,8%; | |
20 - 200 мм3 с шагом 0,1 мм3 и точностью +/- 0,6%; | |
100 - 1000 мм3 с шагом 1 мм3 и точностью +/- 3% | |
Наконечники пластиковые, объемом 1 - 200 мм3 | |
Наконечники пластиковые, объемом 200 - 1000 мм3 | |
Перчатки резиновые | |
Колбы плоскодонные конические разной вместимости | |
Цилиндры стеклянные мерные лабораторные, вместимостью 25, 100, 1000 см3 | |
Воронки стеклянные | |
4.2.4. Материалы и реактивы
Среда RPMI 1640 с глутамином ("ПанЭко", Москва) без антибиотиков, хранение при температуре 4 °C
Фетальная сыворотка крупного рогатого скота (Hyclone, США), хранение при -20 °C
Раствор трипсина и раствор версена в соотношении 1:1, хранение при 4 °C
0,5 М раствор стерильной глюкозы. Приготовление раствора: 10,66 г глюкозы растворяют в 100 мл среды RPMI 1640, стерилизуют через фильтры Millipore (размер пор 0,45 мкм). Разливают по ампулам. Хранят при температуре -20 °C 0,2%-й раствор циклогексимида (Koch Light Lab Ltd. Colnbrook Bucks, Англия). Приготовление раствора: 0,2 г циклогексимида растворяют в 100 мл среды RPMI 1640, фильтруют через фильтры Millipore (размер пор 0,45 мкм). Разливают по ампулам, хранят при температуре 4 °C
Антибиотики: амфотерицин В (5 мкг/мл) и гентамицин (4 мкг/мл)
Родоспецифические моноклональные антитела к ЛПС Chlamydia Хламоноскрин-1, ЗАО "Ниармедик+", Москва)
0,1 М ФСБ (фосфатно-солевой буфер, рН 7,4)
Приготовление раствора: 6,8 г NaCl, 0,63 г KHPO4, 1,48 г NaHPO4 растворяют в 1 л дистиллированной H2O
1%-й раствор БСА (бычий сывороточный альбумин, Sigma). Приготовление раствора: 1 г БСА растворить в 100 мл ФСБ
0,1 М ФСБ-Т (фосфатно-солевой буфер, рН 7,4 с 0,1% Твина-20 (по объему)),
0,3%-й раствор тетраметилбензидина (ТМБ)
Стоп-реагент (12,5%-й раствор серной кислоты)
Этанол 96%
Допускаются к использованию реагенты и материалы аналогичного назначения других изготовителей, разрешенные к применению в установленном порядке и с характеристиками, обеспечивающими проведение исследований в соответствии с данным документом.
4.2.5. Стандартные образцы наноматериалов
При калибровке метода используют стандартные образцы наноматериалов согласно
п. 4.1.5.
4.2.6. Методика введения тестируемого образца
Готовят серию 5-кратных разведений образцов наноматериалов от известной исходной концентрации в среде для культивирования клеток (RPMI 1640 с 10% эмбриональной сыворотки). В лунки планшета, содержащие монослой клеток мышиных фибробластов McCoy, вносят дозатором приготовленные разведения наноматериалов в объеме, составляющем 10% от общего объема культуральной среды в лунке планшета. Внесение образцов наноматериалов проводят одновременно с заражением монослоя культурой С. trachomatis.
4.2.7. Методика проведения анализа методом прямой иммунофлуоресценции
4.2.7.1. Культивирование клеток McCoy.
Клетки мышиных фибробластов McCoy культивируют в среде роста RPMI 1640 с 10% эмбриональной сыворотки, амфотерицином В (5 мкг/мл) и гентамицином (4 мкг/мл) во флаконах площадью 25 см2. При пересевах культуры клеток мышиных фибробластов культуральную среду роста сливают, добавляют 5 мл раствора версена с трипсином (в соотношении 1:1) и инкубируют при комнатной температуре 7 мин. Раствор версена с трипсином сливают и суспендируют клетки фибробластов в 2 мл среды RPMI 1640. Готовят взвесь клеток с концентрацией 1,2 х 105 клеток/мл в культуральной среде 1640 с 10% эмбриональной сыворотки, амфотерицином В (5 мкг/мл) и гентамицином (4 мкг/мл) и вносят по 1 мл в каждую лунку культурального планшета с круглыми покровными стеклами. Инкубируют планшет в течение 24 ч в CO2-инкубаторе при температуре 37 °C до образования монослоя фибробластов.
4.2.7.2. Заражение монослоя клеток мышиных фибробластов McCoy культурой С. trachomatis и внесение образцов наноматериалов.
Культуральную среду из лунок, содержащих монослой клеток мышиных фибробластов, удаляют и вносят дозатором в каждую лунку культуру С. trachomatis в дозе 1 ВОЕ (включение образующих единиц) на 1 клетку. Серию 5-кратных разведений образцов наноматериалов в объеме, составляющем 10% от общего объема культуральной среды в лунке планшета, вносят в лунки с монослоем сразу же после внесения культуры С. trachomatis. В качестве контроля используют клетки мышиных фибробластов, зараженные С. trachomatis, без наночастиц.
Плашки центрифугируют 1 ч при 3000 об./мин при комнатной температуре и затем помещают в CO2-инкубатор. Инкубируют плашки в CO2-инкубаторе при температуре 37 °C в течение 48 ч. Через 48 ч инкубирования после заражения покровные стекла из 24-луночных плашек извлекают при помощи пинцета, высушивают при комнатной температуре, фиксируют охлажденным ацетоном и окрашивают родоспецифическими моноклональными антителами к ЛПС Chlamydia.
4.2.7.3. Детекция результатов методом иммунофлуоресценции.
На фиксированные препараты наносят 40 мкл моноклональных антител к ЛПС Chlamydia и инкубируют при температуре 37 °C в течение 30 мин, не допуская высыхания в увлажненной атмосфере. После инкубации препараты промывают в ФСБ 3 раза (каждое стекло необходимо промывать в отдельном растворе), высушивают при комнатной температуре и помещают на каплю монтирующей жидкости на предметном стекле клетками вниз. Лишнюю монтирующую жидкость удаляют фильтровальной бумагой. Подготовленные препараты просматривают в люминесцентном микроскопе.
4.2.7.4. Оценка полученных данных.
При наличии хламидий наблюдают ярко-зеленые цитоплазматические включения на фоне красных эпителиальных клеток. Оценку влияния образцов наноматериалов на развитие внутриклеточного жизненного цикла хламидий проводят в сравнении с контролем по количеству и морфологии включений.
4.2.8. Методика проведения анализа с помощью модифицированного метода иммуноферментного анализа
4.2.8.1. Монослой клеток McCoy, выращенный в течение 24 ч, заражают патогеном С. trachomatis в дозе 1 ВОЕ (включение образующих единиц) на 1 клетку в объеме 90 мкл транспортной среды (RPMI 1640 с добавлением 5% фетальной сыворотки, антибиотиков гентамицина 4 мкг/мл, амфотерицина В 5 мкг/мл, 0,025%-го раствора глюкозы и циклогексимида в конечной концентрации 2 мкг/мл).
4.2.8.2. В положительный контроль вносят 10 мкл транспортной среды, в отрицательный контроль - 10 мкл азитромицина в конечной концентрации 2 мг/мл. В лунки с исследуемыми образцами вносят по 10 мкл испытуемых образцов наноматериалов.
4.2.8.3. Планшет центрифугируют при 3000 об./мин в течение 30 мин при комнатной температуре, а затем инкубируют планшет в течение 48 ч в CO2-инкубаторе при 37 °C.
4.2.8.4. Через 48 ч из лунок отбирают надосадок и фиксируют клетки ледяным 96%-м этанолом (50 мкл). Инкубируют планшет 40 мин при -20 °C.
4.2.8.5. Удаляют этанол. К фиксированным клеткам после полного высыхания лунок добавляют 100 мкл 1%-го раствора БСА в качестве стабилизатора для уменьшения неспецифического связывания белков и инкубируют при комнатной температуре 30 мин.
4.2.8.6. Стабилизатор удаляют из лунок и добавляют по 50 мкл родоспецифических анти-ЛПС Chlamydia моноклональных антител, инкубируют в течение 30 мин при 37 °C, не допуская высыхания в увлажненной атмосфере.
4.2.8.7. После инкубации клетки промывают 4 раза 0,1 М ФСБ с 0,1% Твина-20 (по объему).
4.2.8.8. Добавляют 50 мкл конъюгата (антимышиные Ат - анти-IgG-меченные пероксидазой) и инкубируют в течение 30 мин при 37 °C, не допуская высыхания в увлажненной атмосфере.
4.2.8.9. По истечении срока инкубации лунки отмывают 4 раза раствором ФСБ с Твином-20 и добавляют в них 50 мкл 0,3%-го раствора тетраметилбензидина (ТМВ).
4.2.8.10. Инкубируют 20 мин при 37 °C в темноте для развития окраски, после этого добавляют 100 мкл 12,5%-го раствора серной кислоты для остановки реакции.
4.2.8.11. Оценивают результаты по оптической плотности в одноволновом режиме при длине волны 450 нм на планшетном фотометре MultiscanEX или аналогичных.
4.2.9. Обработка полученных данных
4.2.9.1. Результаты ИФА регистрируют с помощью спектрофотометра, измеряя оптическую плотность (ОП) при длине волны 450 нм против воздуха. Среднее значение ОП в лунках с отрицательным контролем (ОП ср. К-) должно составлять не более 0,15. Значение ОП в лунке с положительным контролем (ОП ср. К+) должно составлять не менее 0,6.
4.2.9.2. По результатам ИФА рассчитывают ОП критическую (ОП Крит.) по формуле:
ОП Крит. = ОП ср. К- + 0,1 (средний принятый коэффициент погрешности).
4.2.9.3. Пример расчета:
ОП К- = 0,125; ОП Крит. = 0,125 + 0,1 = 0,225
ОП К+ = 0,780
ОП К исследуемых образцов = 0,380
Процент инфицированных клеток равен

Подавление инфекции в % составит 100 - 27,9 = 72,1
4.2.10. Представление результата
Результат предоставляется в процентах подавления инфекции по сравнению с контролем.
4.3. Метод оценки безопасности наноматериалов на модельной
системе условно патогенной бактерии Pseudomonas aeruginosa
4.3.1. Принцип метода
Безопасность наноматериалов оценивают по величине ингибирующего эффекта наночастиц на размножение условно-патогенных бактерий. В качестве модельной системы используют культуру условно патогенной бактерии Pseudomonas aeruginosa в условиях in vitro. Для определения воздействия образцов наноматериалов на P. aeruginosa проводят анализ жизнеспособности этого патогена, культивируемого вместе с различными концентрациями наночастиц. Образцы наноматериалов в разных концентрациях одновременно с патогеном вносят в среду роста и проводят культивирование по стандартной методике. Воздействие наноматериалов оценивают по степени воздействия исследуемых образцов наноматериалов на динамику роста микроорганизма.
4.3.2. Характеристика используемых организмов и тест-систем
Бактерии вида Pseudomonas aeruginosa являются одним из наиболее распространенных возбудителей нозокомиальных инфекций ввиду того, что особенно легко поражают лиц с ослабленным иммунным статусом. При инфицировании детей с наследственным заболеванием "кистозный фиброз" P. aeruginosa вызывает тяжелые легочные инфекции, обусловленные образованием биопленок на тканях легких. Факторами патогенности P. aeruginosa являются наличие подвижности, токсинообразование, продукция литических ферментов. Прогноз ухудшается множественной резистентностью этих бактерий к действию многих антибиотиков (беталактамов, аминогликозидов, фторированных хинолонов).
4.3.3. Приборы и оборудование
Термостат, поддерживающий рабочую температуру 28 - 45 °C с отклонением от заданной +/- 1 °C | ТУ 64-1-1382-72 |
Шейкер "Elmi" или аналогичный | |
Ламинарный шкаф марки ЛШ1 фирмы "Biokom" или аналогичный | |
Центрифуга со скоростью вращения ротора до 12000 об./мин для пробирок объемом 15 см3 | |
Встряхиватель вибрационный типа "Вортекс" со скоростью вращения до 3000 об./мин | |
Холодильник бытовой электрический | |
Весы лабораторные общего назначения 2-го класса точности | |
Мембранные установки для получения деионизованной воды | ОСТ 11-029.003-80 |
Анализатор потенциометрический, погрешность измерений рН +/- 0,01 | |
Облучатель бактерицидный настенный ОБН-150 | ТУ 954-001-0492102-01 |
Дозаторы с переменным объемом дозирования фирмы "Gilson": | |
0,2 - 2,0 мм3 с шагом 0,01 мм5 и точностью +/- 1,2%; | |
2 - 20 мм3 с шагом 0,01 мм3 и точностью +/- 0,8%; | |
1 - 10 см3 с шагом 0,1 см3 и точностью +/- 0,5% или аналогичные | |
Дозаторы с переменным объемом дозирования фирмы "Ленпипет": | ТУ 9452-002-33189998-2002 |
0,5 - 10,0 мм3 с шагом 0,01 мм3 и точностью +/- 0,8%; | |
20 - 200 мм3 с шагом 0,1 мм3 и точностью +/- 0,6%; | |
100 - 1000 мм3 с шагом 1 мм3 и точностью +/- 3% | |
Пробирки стерильные типа "Эппендорф", объемом 1,5 см3 | |
Пробирки стерильные с крышкой фирмы "Costar", вместимостью 15 см3 или аналогичные | |
Наконечники пластиковые объемом 1 - 200 мм3 | |
Наконечники пластиковые объемом 200 - 1000 мм3 | |
Перчатки резиновые | |
Колбы плоскодонные конические разной вместимости | |
Цилиндры стеклянные мерные лабораторные вместимостью 25, 100, 1000 см3 | |
Воронки стеклянные | |
Флаконы стерильные объемом 100 и 200 см3 фирмы "Costar" или аналогичные | |
4.3.4. Материалы и реактивы
Питательная жидкая среда LB-бульон (Luria Broth)
Питательная твердая среда LB-агар на основе среды Luria Broth
Физиологический раствор
Допускаются к использованию реагенты и материалы аналогичного назначения других изготовителей, разрешенные к применению в установленном порядке и с характеристиками, обеспечивающими проведение исследований в соответствии с данным документом.
4.3.5. Стандартные образцы наноматериалов
При калибровке метода используют стандартные образцы наноматериалов согласно
п. 4.1.5.
4.3.6. Методика введения тестируемого образца
Образцы наноматериалов в исследуемых концентрациях вносят дозатором в пробирки с разведенной бактериальной культурой P. aeruginosa и тщательно перемешивают пипетированием.
4.3.7. Методика проведения анализа
4.3.7.1. К бактериальной культуре P. aeruginosa, выращенной в течение 18 ч при 37 °C в 5 мл LB-бульона, добавляют 10 мл LB-бульона и тщательно перемешивают пипетированием.
4.3.7.2. Разведенную культуру объемом 15 см3 разливают в три пробирки по 5 см3.
4.3.7.3. В две пробирки добавляют наночастицы в исследуемых концентрациях. Третья пробирка с культурой служит контролем.
Примечание. При исследовании более двух вариантов концентраций наночастиц объем культуры для разведения и количество пробирок увеличивается пропорционально задачам исследования.
4.3.7.4. Культуры инкубируют в термостате при 37 °C в условиях интенсивной аэрации.
4.3.7.5. Через интервалы времени 2, 4, 6 и 24 ч отбирают пробы объемом 100 мкл и готовят десятикратные разведения (от 10-1 до 10-6) исследуемых культур физиологическим раствором в пробирках типа "Эппендорф".
4.3.7.6. Из полученных разведений делают высевы по 0,5 см3 на чашки Петри с LB-агаром.
4.3.7.7. После полного впитывания культуры в агар, чашки помещают в термостат и инкубируют при 37 °C в течение 24 ч.
4.3.7.8. Через 24 ч производят подсчет выросших колоний.
4.3.8. Обработка полученных данных и представление результата
После подсчета выросших колоний для каждого из разведений каждого образца культуры, культивированных с определенной концентрацией исследуемого наноматериала, проводят сравнение числа выросших колоний в посевах из тех же разведений контрольного образца культуры, культивированного без наноматериалов. Достоверность разницы в количестве колоний по сравнению с контролем определяют по критерию Стьюдента. Искомое воздействие наноматериала на рост P. aeruginosa считается выявленным при установлении различия на уровне значимости Р < 0,05.
4.4. Метод оценки безопасности наноматериалов на модельной
системе дрожжеподобных грибов Candida albicans в условиях
in vitro
4.4.1. Принцип метода
Безопасность наноматериалов оценивают по влиянию наночастиц на размножение дрожжеподобных грибов Candida albicans. В качестве модельной системы используют культуры референс-штаммов Candida albicans из коллекции АТСС в условиях in vitro. Для оценки воздействия образцов наноматериалов на Candida albicans проводят анализ жизнеспособности этого дрожжеподобного гриба, культивируемого вместе с различными концентрациями наночастиц. Образцы наноматериалов в разных концентрациях одновременно с культурами Candida albicans вносят в среду роста и проводят культивирование по стандартной методике. Воздействие наноматериалов оценивают по степени ингибирующего эффекта исследуемых образцов наноматериалов на динамику роста патогена.
4.4.2. Характеристика используемых организмов и тест-систем
В работе используют штаммы Candida albicans АТСС 885-653 и АТСС 24433.
Грибы рода Candida семейства Blastomycetes (митоспоровые) в настоящее время являются наиболее изученными в отношении морфологии, физиологии, генетики, а также характеристик, обуславливающих их патогенность (факторов патогенности).
Грибы C. albicans могут быть частью нормальной микрофлоры слизистых оболочек и кожи организма-хозяина. Грибы C. albicans не чувствительны к антибиотикам и способны вызывать заболевания, известные как кандизозы и монилеазы, на фоне антибиотикотерапии вследствие нарушения нормального составы микрофлоры человека.
C. albicans является дрожжеподобным грибом (по признаку почкования). Его клеточная стенка состоит из двух слоев (внутреннего и наружного) и имеет голобластический тип почкования, в котором участвуют оба слоя клеточной стенки гриба.
Клетки C. albicans имеют круглую или овальную форму с хорошо выраженным ядром, ядерным веществом в виде зерен различного размера и протоплазмой. C. albicans в отличие от других представителей этого рода, образующих чаще всего псевдомицелий, имеют истинные гифы, а также толстостенные хламидокамидии, расположенные на концах этих гиф, и бластокамидии - собственно дрожжевые клетки - структуры бесполого размножения всех дрожжевых грибов. Такие морфологические особенности характерны только для грибов C. albicans.
4.4.3. Приборы и оборудование
Термостат, поддерживающий рабочую температуру 28 - 45 °C с отклонением от заданной +/- 1 °C | ТУ 64-1-1382-72 |
Шейкер "Elmi" или аналогичный | |
Ламинарный шкаф марки ЛШ1 фирмы "Biokom" или аналогичный | |
Центрифуга со скоростью вращения ротора до 12000 об./мин для пробирок объемом 15 см3 | |
Встряхиватель вибрационный типа "Вортекс" со скоростью вращения до 3000 об./мин | |
Холодильник бытовой электрический |
Весы лабораторные общего назначения 2-го класса точности | |
Мембранные установки для получения деионизованной воды | ОСТ 11-029.003-80 |
Анализатор потенциометрический, погрешность измерений рН +/- 0,01 | |
Облучатель бактерицидный настенный ОБН-150 | ТУ 954-001-0492102-01 |
Дозаторы с переменным объемом дозирования фирмы "Gilson": | |
0,2 - 2,0 мм3 с шагом 0,01 мм3 и точностью +/- 1,2% | |
2 - 20 мм3 с шагом 0,01 мм3 и точностью +/- 0,8%; | |
1 - 10 см3 с шагом 0,1 см3 и точностью +/- 0,5% или аналогичные | |
Дозаторы с переменным объемом дозирования фирмы "Ленпипет": | ТУ 9452-002-33189998-2002 |
0,5 - 10,0 мм3 с шагом 0,01 мм3 и точностью +/- 0,8%; | |
20 - 200 мм3 с шагом 0,1 мм3 и точностью +/- 0,6%; | |
100 - 1000 мм3 с шагом 1 мм3 и точностью +/- 3,0% | |
Пробирки стерильные типа "Эппендорф" объемом 1,5 см3 | |
Пробирки стерильные с крышкой фирмы "Costar", вместимостью 15 см3 или аналогичные | |
Наконечники пластиковые объемом 1 - 200 мм3 | |
Наконечники пластиковые объемом 200 - 1000 мм3 | |
Перчатки резиновые | |
Колбы плоскодонные конические разной вместимости | |
Цилиндры стеклянные мерные лабораторные вместимостью 25, 100, 1000 см3 | |
Воронки стеклянные | |
Флаконы стерильные объемом 100 и 200 см3 фирмы "Costar" или аналогичные | |
4.4.4. Материалы и реактивы
4.4.4.1. Жидкая питательная среда для выращивания культур грибов C. albicans: бульон Сабуро, производства "МЕДГАМАЛ" НИИЭМ им. Почетного академика Н.Ф. Гамалеи РАМН.
4.4.4.2. Твердая питательная среда для выращивания культур грибов C. albicans: агар Сабуро, производства "МЕДГАМАЛ" НИИЭМ им. Почетного академика Н.Ф. Гамалеи РАМН.
4.4.4.3. Физиологический раствор.
Допускаются к использованию реагенты и материалы аналогичного назначения других изготовителей, разрешенные к применению в установленном порядке, и с характеристиками, обеспечивающими проведение исследований в соответствии с данным документом.
4.4.5. Стандартные образцы наноматериалов
При калибровке метода используют стандартные образцы наноматериалов согласно
п. 4.1.5.
4.4.6. Методика введения тестируемого образца
Образцы наноматериалов в исследуемых концентрациях вносят дозатором в пробирки с разведенной суспензией грибов C. albicans и тщательно перемешивают пипетированием.
4.4.7. Методика проведения анализа
4.4.7.1. Образцы наноматериалов в исследуемых концентрациях объемом 0,9 мл вносят дозатором в пробирки с 0,1 мл разведенной суспензией грибов C. albicans, содержащей 1 x 105 мкт/мл (микробных тел в мл), и тщательно перемешивают пипетированием.
4.4.7.2. В качестве контроля используют культуру клеток C. albicans 1 x 105 мкт/мл в питательной среде без добавления наноматериалов.
4.4.7.3. Инкубируют пробирки с опытными и контрольными образцами при температуре 37 °C в течение 24 ч, отбирая пробы для посева через определенные интервалы времени.
4.4.7.4. Через 2, 4, 6, 8 и 24 ч инкубации отбирают из каждой пробирки 50 мкл инкубационной смеси для количественной оценки роста грибов C. albicans в присутствии наночастиц и в отсутствии наночастиц (контроль).
4.4.7.5. Отобранные пробы засевают на чашки Петри с питательным агаром Сабуро и инкубируют при температуре 37 °C в условиях аэробиоза в течение 24 ч.
4.4.7.6. Через 24 ч инкубации проводят подсчет выросших клеток C. albicans.
4.4.8. Обработка полученных данных и представление результата
Для оценки действия наноматериалов на рост грибов для каждого образца культур С. albicans, культивированных с определенной концентрацией исследуемого наноматериала, проводят сравнение числа выросших колоний с числом выросших колоний в посевах из тех же разведений контрольного образца культуры, культивированной без наноматериалов. Достоверность различий в количестве колоний по сравнению с контролем определяют по критерию Стьюдента.
5. Метод оценки безопасности наноматериалов на модельной
системе взаимодействия с поверхностными рецепторами
эукариотических клеток в условиях in vitro
TLR (Toll-Like-Receptors) - являются рецепторами врожденного иммунитета. Они специфически распознают различные структурные части микроорганизмов и обеспечивают активацию клеток, которая приводит к развитию воспаления. Предлагаемый метод основан на том, что через сигнальный каскад TLR ведет к активации транскрипционного фактора NFkB и его транслокации в ядро, где этот фактор связывается с собственным респонсивным элементом, под транскрипционным контролем которого находится ген бета-галактозидазы. Таким образом, по цветной реакции на бета-галактозидазу можно косвенно судить об активации TLR и, следовательно, о возможности возникновения воспалительной реакции.
Принцип метода заключается в добавлении наночастиц происхождения к сформированному монослою клеток линии НЕК 293, несущих различный набор Toll-подобных рецепторов. Обработанную культуру клеток инкубируют при 37 °C в CO
2-инкубаторе в течение 24 ч. Через 24 ч инкубации проводят измерение ферментативной активности продукта репортерного гена

по цветовой реакции.
5.2. Характеристика используемых организмов и тест-систем
В качестве модельной системы используется несколько типов клеточной культуры НЕК 293, каждый из которых несет определенный набор Toll-подобных рецепторов. Клеточная линия НЕК 293, несущая набор Toll-подобных рецепторов, сохраняет высокую чувствительность на протяжении 40 - 50 пассажей от момента получения. Раз в месяц проводят селекцию культур клеток на антибиотиках, указанных в табл. 5.2.1, для подтверждения наличия Toll-подобного(ных) рецептора(ов) и репортерного гена

. Также раз в месяц проводят анализ культуры на наличие инфекционных контаминантов (микоплазм, грибов, вирусов и т.д.).
Таблица 5.2.1
ТИПЫ КУЛЬТУРЫ КЛЕТОК ЛИНИИ 293, НЕСУЩИЕ
TOLL-ПОДОБНЫЕ РЕЦЕПТОРЫ
Типы культуры клеток линии 293 | Толл-подобный рецептор | Селективный антибиотик |
293 hTLR null | - | Пуромицин (10 мкг/мл) |
293 hTLR2 | Human TLR2 | Пуромицин (10 мкг/мл) Бластицидин (10 мкг/мл) |
293 hTLR2/6 | Human TLR2 и TLR6 | Пуромицин (10 мкг/мл) Бластицидин (10 мкг/мл) |
293 hTLR2/CD14 | HumanTLR2 и CD14 | Пуромицин (10 мкг/мл) Бластицидин (10 мкг/мл) Блеомицин (10 мкг/мл) |
293 hTLR4/CD14-MD2 | Human TLR4, CD14 и MD2 | Пуромицин (10 мкг/мл) Бластицидин (10 мкг/мл) Блеомицин (10 мкг/мл) |
293 hTLR5 | Human TLR5 | Пуромицин (10 мкг/мл) Бластицидин (10 мкг/мл) |
5.3. Приборы и оборудование
Бокс ламинарный II уровня защиты типа ЛШ-1 фирмы "Biokom" или аналогичный | |
CO2-инкубатор фирмы "Sanyo" модель MCO-18AIC (Япония) или аналогичный | |
Холодильник бытовой электрический | |
Морозильная камера, обеспечивающая температуру -20 °C или ниже | |
Баня водяная термостатирующая | ТУ 10-23-28-87 |
Микроскоп инвертированный | ТУ 3-3.2180-89 |
Спектрофотометр | ОСТ 3-4448-88 |
Весы лабораторные общего назначения 2-го класса точности | |
Мембранные установки для получения деионизованной воды | ОСТ 11-029.003-80 |
Облучатель бактерицидный настенный ОБН-150 | ТУ 954-001-0492102-01 |
Стерилизатор | ТУ 25-1972.005-89 |
Флакон для культивирования клеток площадью 25 см2 фирмы "Sarstedt", Германия или аналогичный | |
Флакон для культивирования клеток площадью 75 см2 фирмы "Corning", США или аналогичный | |
96-луночный планшет фирмы "Corning", США или аналогичный | |
Стерильные одноразовые пастеровские пипетки, объемом 1 см3, фирмы "Corning, США или аналогичные | |
Стерильные одноразовые пастеровские пипетки, объемом 5 см3, фирмы "Corning", США или аналогичные | |
Стерильные одноразовые пастеровские пипетки, объемом 10 см3, фирмы "Corning", США или аналогичные | |
Дозаторы с переменным объемом дозирования фирмы "Gilson": | |
0,2 - 2,0 мм3 с шагом 0,01 мм3 и точностью +/- 1,2%; | |
2 - 20 мм3 с шагом 0,01 мм3 и точностью +/- 0,8%; | |
1 - 10 см3 с шагом 0,1 см3 и точностью +/- 0,5% или аналогичные | |
Дозаторы с переменным объемом дозирования фирмы "Ленпипет": | ТУ 9452-002-33189998-2002 |
0,5 - 10,0 мм3 с шагом 0,01 мм3 и точностью +/- 0,8%; | |
20 - 200 мм3 с шагом 0,1 мм3 и точностью +/- 0,6%; | |
100 - 1000 мм3 с шагом 1,0 мм3 и точностью +/- 3% | |
Пробирки типа "Эппендорф", вместимостью 1,5 см3, или аналогичные | |
Наконечники пластиковые, объемом 1 - 200 мм3 | |
Наконечники пластиковые, объемом 200 - 1000 мм3 | |
Перчатки резиновые | |
Колбы плоскодонные конические разной вместимости | |
Цилиндры стеклянные мерные лабораторные, вместимостью 25, 100, 1000 см3 | |
Воронки стеклянные | |
Штатив для пробирок объемом 1,5 см3 | |
5.4. Материалы и реактивы
Модифицированная среда DMEM фирмы "Hyclone", США | |
Охарактеризованная эмбриональная сыворотка КРС фирмы "Hyclone", США | |
Пенициллин фирмы "Sigma", США или аналогичный | |
Стрептомицин фирмы "Sigma", США или аналогичный | |
Пуромицин фирмы "Sigma", США или аналогичный | |
Бластицидин фирмы "Sigma", США или аналогичный | |
L-глютамин фирмы "Sigma", США или аналогичный | |
Бикарбонат натрия | |
Хлорид магния | |
Трис-HCl фирмы "Sigma", США или аналогичный | |
Хлорная кислота | ТУ 6-09-2878-84 |
Неионный детергент октилфеноксиполиэтоксиэтанол Nonidet P-40 (NP-40) "Sigma", США | |
 фирмы "ICN Biomedicals Inc.", США или аналогичный | |
Метиленовый голубой | ТУ 6-09-29-76 |
Метанол | |
Вода деионизованная | |
Допускаются к использованию реагенты и материалы аналогичного назначения других изготовителей, разрешенные к применению в установленном порядке, и с характеристиками, обеспечивающими проведение исследований в соответствии с данным документом.
5.5. Стандартные образцы наноматериалов
При калибровке метода используют стандартные образцы наноматериалов согласно
п. 4.1.5.
5.6. Методика введения проб
Готовят 4 последовательных 2-кратных разведения исследуемых образцов. С помощью дозатора вносят 20 мм3 раствора из каждой пробирки с разведениями наноматериалов в соответствующую лунку планшета. При этом важно не касаться наконечником дозатора клеток, чтобы не повредить монослой клеток.
5.7. Методика проведения анализа
5.7.1. Клетки линии НЕК 293, несущие Toll-подобные рецепторы, рассевают в среде DMEM на 96-луночный планшет в концентрации 5 x 105 клеток/лунку. Каждый тип клеточной культуры НЕК 293, несущей определенный набор Toll-подобных рецепторов, пересевают на отдельный планшет и маркируют его. Крайние лунки не используют для анализа, т.к. результаты, полученные в этих лунках, считаются недостоверными. На крышке планшета делают пометки о том, какие образцы внесены в лунку.
5.7.2. Через 24 ч инкубации в CO2-инкубаторе при 37 °C клетки формируют монослой. Готовят 4 последовательных 2-кратных разведения исследуемых образцов наноматериалов. Для каждого разведения наночастиц готовят 3 повтора. В качестве положительного контроля для каждой клеточной линии, несущей определенный набор Toll-подобных рецепторов, используют препараты, указанные в табл. 5.7.2.1. В качестве отрицательного контроля используют клетки соответствующего типа клеточной культуры НЕК 293, несущей определенный набор Toll-подобных рецепторов без добавления исследуемых образцов.
Таблица 5.7.2.1
ПОЛОЖИТЕЛЬНЫЕ КОНТРОЛИ ДЛЯ КУЛЬТУР КЛЕТОК
ЛИНИИ 293, НЕСУЩИХ TOLL-ПОДОБНЫЕ РЕЦЕПТОРЫ
Типы культуры клеток линии 293 | Положительный контроль | Рабочая концентрация |
293 hTLR null | - | - |
293 hTLR2 | Синтетический диациллипопептид | 100 нг/мл |
293 hTLR2/6 | Синтетический диациллипопептид | 100 нг/мл |
293 hTLR2/CD14 | Синтетический диациллипопептид | 100 нг/мл |
293 hTLR4/CD14-MD2 | Липополисахарид | 500 нг/мл |
293 hTLR5 | Флагеллин | 100 нг/мл |
5.7.3. Через 24 ч инкубации в CO
2-инкубаторе при 37 °C проводят измерение активности репортерного гена бета-галактозидазы по цветной реакции расщепления субстрата

(ONPG). При расщеплении ONPG образуется О-нитрофенил, который придает раствору желтое окрашивание. Скорость расщепления субстрата зависит от количества экспрессированной бета-галактозидазы, поэтому измерение оптической плотности позволяет косвенно оценить активацию Toll-подобных рецепторов.
5.7.4. Приготовление растворов.
5.7.4.1. Раствор субстрата ONPG готовят по следующей прописи: 2 мг

, 1 см
3 однократного раствора буфера ONPG.
5.7.4.2. Пятикратный буфер ONPG готовят по следующей прописи: 0,5 см3 1 М раствора MgCl2, 62,5 см3 2 М Трис-HCl, pH 7,4, 1 см3 10%-го раствора NP-40. Раствор доводят до 100 см3 деионизированной водой. Приготовленный раствор может храниться при 8 °C в течение 2 - 3 недель.
5.7.4.3. Однократный буфер ONPG получают из пятикратного по следующей прописи: 10 см3 пятикратного буфера ONPG доводят деионизированной водой до 50 см3.
5.7.5. Готовят 30 см
3 раствора субстрата ONPG. С клеток удаляют ростовую среду и добавляют 100 мм
3 раствора субстрата ONPG. Планшет инкубируют при температуре 37 °C в CO
2-инкубаторе в течение 20 мин, затем через каждые 10 мин измеряют оптическую плотность в каждой лунке на планшетном фотометре при длине волны 420 нм. Измерения заканчивают, когда хотя бы в одной лунке результат будет больше 2 оптических единиц. За единицу активности

принимают количество фермента, которое освобождает из субстрата ONPG 1 мкмоль О-нитрофенола за 1 мин при данных условиях реакции.
5.8. Обработка полученных данных
Обработку полученных данных проводят подсчетом среднего арифметического для 3 повторов каждого измерения и определению стандартного отклонения.
где:
s - стандартное отклонение;
n - объем выборки;
xi - i-й элемент выборки;

- среднее арифметическое выборки.
5.9. Статистическая обработка данных
Для определения статистической достоверности полученных данных подсчитывают величину критерия Стьюдента для двух выборок и сравнивают с табличным значением при уровне значимости P = 0,05.
5.10. Представление результата
Значения активности репортерного гена

в исследуемых лунках, находящиеся в интервале:
0,2 - 1,1 (для 293 hTLR2/6 и 293 hTLR2/CD14)
0,2 - 1,4 (для 293 hTLR4/CD14-MD2) или
0,2 - 1,0 для 293 hTLR5
считаются фоновыми.
Значения активности репортерного гена

в исследуемых лунках для клеточной линии 293 hTLRnull не должны превышать 0,2.
Если в результате проведенного исследования препарат наночастиц показал увеличение активности репортерного гена

на любой из клеточных линий (кроме 293 hTLRnull) более чем в 2 раза по сравнению со значениями в отрицательном контроле, а также наблюдалось увеличение активности

более чем в 2 раза между двумя последующими разведениями препарата наночастиц, то данный тест является положительным. Это свидетельствует о том, что наночастицы взаимодействуют с Toll-подобным(и) рецептором(ами) и могут, возможно, привести к воспалительному процессу. Такие наноматериалы являются небезопасными и подлежат дальнейшему исследованию in vivo.
6. Оценка безопасности наноматериалов in vivo
в тестах на гидробионтах
Методы биотестирования по определению токсичности наночастиц и наноматериалов для модельных видов гидробионтов применяются наряду с методами тестирования на культурах микроорганизмов (
раздел 5) и культурах клеток (раздел 6) при установлении требований к безопасности наноматериалов, поступающих во внешнюю среду в результате хозяйственной и иной деятельности.
Для биотестирования наноматериалов готовят их водную дисперсию, используя воду по
ГОСТ 6709-72. При этом следует применять механические и физико-химические методы диспергирования (перемешивание, встряхивание, ультразвуковая обработка), не влияющие на химический состав тестируемых наноматериалов. Использование при диспергировании поверхностно-активных веществ и органических растворителей не допускается! В исключительных случаях допускается применение носителей, биологическая инертность которых подтверждена в соответствующих контрольных тестах. Далее из исходной дисперсии готовят серию разведений с последовательно убывающими концентрациями наноматериалов, используя питьевую воду по
ГОСТ Р 51232-98 (питьевую воду предварительно дехлорируют путем отстаивания).
Для определения средней летальной (эффективной) концентрации (LC50) готовят серию (не менее пяти) разбавлений пробы тестируемого наноматериала. Величина LC50 определяется по методу линейной интерполяции в системе координат, обеспечивающей максимальное приближение зависимости гибели тест-объектов от действующей концентрации к линейной (пропорциональной) зависимости.
6.1. Метод оценки безопасности наноматериалов по гибели
ракообразных Daphnia magna Straus
6.1.1. Принцип метода
Метод основан на установлении различия между количеством погибших дафний в анализируемой пробе (опыт) и культивационной воде (контроль).
Критерием острой летальной токсичности является гибель 50% дафний и более в опыте по сравнению с контролем за 96 ч биотестирования.
6.1.2. Характеристики погрешности измерений
Границы, в которых находится относительная погрешность определения токсичности по данной методике с заданной доверительной вероятностью Р = 0,95, составляют +/- 66%. Наибольшее возможное значение среднего квадратического отклонения случайной составляющей относительной погрешности определения токсичности по данной методике

составляет 34%. Характеристики погрешности установлены по результатам внутрилабораторного эксперимента с использованием эталонного вещества - калия двухромовокислого (K
2Cr
2O
7). Алгоритм установления характеристик погрешности методики приведен в
прилож. 1.
6.1.3. Оборудование, материалы и реактивы
Применяют следующие средства измерений, вспомогательные устройства, материалы и реактивы:
Аквариумы емкостью 5, 10 и 100 л | |
Сачок для отлова рыбы | |
Микрокомпрессор аквариумный АЭН-4 | ГОСТ 14087-80 |
Аппарат для встряхивания | ТУ 64-1-1081-73 |
Мешалка лабораторная | ТУ 25-05-2160-80 |
Оксиметр любого типа, с погрешностью измерения не более 0,5 мг O2/дм3 | |
Лупа складная | ГОСТ 7954-76 |
Груши резиновые разные | ТУ 9398-005-05769082-2003 |
Газ мельничный N 25 - 43 (число отверстий, приходящихся на 1 см, соответствует номеру) | |
Термолюминостат любого типа, поддерживающий температуру воды (20 +/- 2) °C, освещенность (500 +/- 100) лк | |
Весы лабораторные 2-го класса точности с наибольшей предельной нагрузкой 200 г | |
Воронки разные лабораторные | |
Бюксы или стаканчики для взвешивания, диаметром 30, 40 мм | ГОСТ 7148-70 |
Центрифуга лабораторная медицинская | ТУ 5-375-4261-76 |
Термометр с ценой деления шкалы 1 °C | |
Холодильник любого типа, поддерживающий температуру (4 +/- 2) °C | |
Шкаф сушильный электрический общелабораторного назначения | ГОСТ 13474-79 |
pH-метр или аналогичный | ТУ 4215-001-13245171-97 |
Колбы мерные, вместимостью 0,5 и 1,0 дм3, 2-го класса точности | |
Бумага фильтровальная | |
Пипетки мерные, вместимостью от 1 до 10 см3, 2-го класса точности | |
Пипетки автоматические, дозаторы любого типа, объемом 0,1 - 0,2 см3 | |
Посуда стеклянная: вместимостью 2 дм3 для культивирования дафний, вместимостью от 100 до 150 см3 для биотестирования | |
Пробирки стеклянные, вместимостью 10 см3 | |
Трубки стеклянные с внутренним диаметром 5 - 7 мм для отлова дафний | |
Цилиндры мерные, вместимостью 0,1, 0,5 и 1,0 дм3, 2-го класса точности | |
Натрий хлористый | |
Калий двухромовокислый | |
Вода дистиллированная | |
Вода питьевая | |
6.1.4. Условия выполнения биотестирования
Биотестирование проводят в помещении, где не хранят и не работают с летучими веществами, не используют обработку помещения инсектицидами.
Температура анализируемой пробы при биотестировании должна быть (20 +/- 2) °C, концентрация кислорода в пробе в начале биотестирования - не менее 6 мг/л. Во время биотестирования пробы аэрируют.
Длительность светового периода должна соответствует естественному, для чего используется термолюминостат.
Плотность посадки односуточных дафний в опыте и контроле должна составлять 10 экземпляров на 1 л. Повторность трехкратная.
Результаты учитывают, если в конце биотестирования количество погибших дафний в контроле не превышало 10% от LC50 за 24 ч воздействия эталонного вещества K2Cr2O7 (1 - 3 мг/л).
6.1.5. Подготовка к выполнению биотестирования
В качестве тест-объекта используют лабораторную культуру дафний - Daphnia magna Straus (Cladocera, Crustacea).
Культуру дафний выращивают в стеклянной посуде вместимостью до 2 л. Посуду моют питьевой содой и тщательно ополаскивают дистиллированной водой. Нельзя применять синтетические моющие средства и органические растворители!
Для культивирования дафний используют питьевую воду. Питьевую воду предварительно дехлорируют путем отстаивания и аэрируют микрокомпрессором до достижения концентрации растворенного кислорода не менее 6 мг/л.
Начальная плотность посадки - 6 - 10 особей на 1 л воды. Спустя 5 - 7 суток, в течение которых дафнии привыкают к лабораторным условиям существования и начинают размножаться, в сосуды доливают воду для дальнейшего культивирования.
Пересаживают дафний при помощи стеклянной трубки внутренним диаметром 5 - 7 мм так, чтобы их не травмировать. Аэрировать воду в посуде с дафниями не рекомендуется.
При поддержании культуры в помещении не должно быть вредных газов и токсичных паров. Оптимальная температура (20 +/- 2) °C, продолжительность светового дня 12 - 14 ч (не освещать культуру прямыми солнечными лучами). Посуду для содержания дафний нельзя мыть моющими и органическими растворителями, лучше мыть питьевой содой, при особом загрязнении - хромовой смесью или соляной кислотой. Для культивирования дафний используют водопроводную воду, предварительно отстоянную не менее 7 суток и насыщенную кислородом (рН 7,0 - 8,2; жесткость общая - 3 - 4 мг-экв./л; концентрация растворенного кислорода не менее 6,0 мг/л). Раз в 7 - 10 суток половину объема воды с культурой дафний заменяют на свежую, удаляют скопившийся на дне осадок и при большой плотности (более 25 самок) культуру прореживают. Не следует производить аэрацию воды в сосудах. Кормом для дафний служат хлебопекарные дрожжи. Для приготовления дрожжевого корма берут 1 г свежих или 0,3 г воздушно-сухих дрожжей, заливают их 100 мл дистиллированной воды. После набухания дрожжи тщательно перемешивают, дают отстояться в течение 30 мин. Надосадочную жидкость добавляют в сосуды с дафниями в количестве 3 мл на 1 л воды. Кормят дафний 1 - 2 раза в неделю.
Для биотестирования используют дафний в возрасте до 24 ч, которых кормят за 2 - 3 ч до начала биотестирования. Самок дафний (20 - 30 экземпляров) с выводковыми камерами, полными яиц или зародышей, за одни сутки до биотестирования пересаживают в стеклянную посуду емкостью от 0,5 до 1,0 л с водой для культивирования и вносят корм. После появления молоди взрослых особей удаляют.
Не реже одного раза в месяц культуру односуточных дафний проверяют на пригодность к биотестированию. С этой целью устанавливают среднюю летальную концентрацию за 24 ч биотестирования (LC
50 за 24 ч) раствора эталонного вещества двухромовокислого калия (K
2Cr
2O
7). Для этого готовят исходный раствор K
2Cr
2O
7 1 г/л, используя дистиллированную воду. Далее, разбавляя исходный раствор культивационной водой, готовят серию растворов от 1,0 до 4,0 мг/л K
2Cr
2O
7 с интервалом 1 мг/л. Для контроля используют культивационную воду. Биотестирование проводят в течение 24 ч. На основании полученных результатов рассчитывают LC
50 за 24 ч для двухромовокислого калия в соответствии с
прилож. 2.
Если полученная LC50 за 24 ч находится в диапазоне реагирования тест-объекта, который равен 1 - 3 мг/л K2Cr2O7, культура дафний пригодна для биотестирования.
Если LC50 за 24 ч K2Cr2O7 не находится в указанном диапазоне реагирования, проверяют условия культивирования тест-объекта, чтобы выяснить причины ухудшения состояния культуры. При необходимости культуру заменяют на новую.
6.1.6. Выполнение биотестирования
Водные дисперсии тестируемого наноматериала различных концентраций наливают в стеклянные сосуды по 1 л (опыт). Другие сосуды наполняют таким же объемом отфильтрованной воды из емкостей, где культивируются дафнии (контроль). Повторность в опыте и контроле трехкратная.
В каждый опытный и контрольный сосуд помещают по 10 дафний в возрасте до 24 ч.
Продолжительность биотестирования составляет 96 ч. Во время биотестирования дафний не кормят.
В конце биотестирования визуально подсчитывают количество живых дафний. Живыми считают дафний, которые свободно передвигаются в толще воды или всплывают со дна сосуда не позже чем через 15 с после его легкого встряхивания. Остальных дафний считают погибшими.
После подсчета дафний в контроле и опыте в каждом сосуде определяют концентрацию растворенного кислорода.
6.1.7. Обработка и оценка результатов
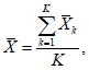
На основании результатов трех параллельных определений количества живых дафний в контроле и опыте находят средние арифметические количества живых дафний в контроле (опыте) по формуле:
где:

- результат i-го измерения количества живых дафний в контроле (опыте);
i - номер измерения количества живых дафний в контроле (опыте); i = i,...,

;

- число параллельных измерений количества живых дафний в контроле (опыте);

.
Рассчитывают в процентах количество погибших дафний в опыте по отношению к контролю по формуле:
Вывод о наличии или отсутствии острой летальной токсичности наноматериала делают на основании величины A. Если величина A в максимальной тестированной концентрации наноматериала составляет 50% и более, считают, что анализируемый наноматериал проявляет острую летальную токсичность. В этом случае для количественной оценки токсичности анализируемого наноматериала производят определение LC
50 за 96 ч биотестирования путем выполнения последовательных разбавлений тестируемого наноматериала по тому же алгоритму, как это делается для эталонного вещества - калия двухромовокислого
(прилож. 2).
6.1.8. Контроль воспроизводимости результатов определения токсичности
Контроль воспроизводимости результатов определения токсичности проводят в объеме 5% от количества текущих измерений.
Контроль воспроизводимости проводят по результатам двух последовательных определений токсичности одного и того же анализируемого наноматериала, полученным в условиях воспроизводимости (LC50,1 и LC50,2).
Решение об удовлетворительности воспроизводимости определений принимается при условии:
где Д - норматив оперативного контроля воспроизводимости составляет 94%.
6.2. Метод тестирования безопасности наноматериалов по гибели
ракообразных Ceriodaphnia affinis Lilljeborg
6.2.1. Принцип метода
Метод основан на установлении различия между количеством погибших цериодафний в анализируемой пробе, содержащей наноматериалы (опыт), и культивационной воде (контроль).
Критерием острой летальной токсичности является гибель 50% цериодафний и более в опыте по сравнению с контролем за 48 ч биотестирования.
6.2.2. Характеристики погрешности измерений
Границы, в которых находится относительная погрешность определения токсичности по данной методике с заданной доверительной вероятностью P = 0,95, составляют +/- 61%.
Наибольшее возможное значение среднего квадратического отклонения случайной составляющей относительной погрешности определения токсичности по данной методике

составляет 31%.
Характеристики погрешности установлены по результатам внутрилабораторного эксперимента с использованием эталонного вещества - калия двухромовокислого (K2Cr2O7).
Алгоритм установления характеристик погрешности методики приведен в
прилож. 1.
6.2.3. Оборудование, материалы, реактивы
Применяют средства измерений, вспомогательные устройства, материалы и реактивы, приведенные в
п. 6.1.3.
6.2.4. Условия выполнения биотестирования
Биотестирование проводят в помещении, где не хранят и не работают с химическими веществами, не используют обработку помещений инсектицидами.
Температура анализируемой пробы при биотестировании должна быть равна (25 +/- 2) °C, концентрация кислорода в пробе в начале биотестирования - не менее 6 мг/л. Во время биотестирования пробу аэрируют микрокомпрессором.
Биотестирование проводят при рассеянном свете. Не допускается попадание прямых солнечных лучей на цериодафний. Длительность светового периода соответствует естественному.
Плотность посадки цериодафний возрастом 4 - 8 ч в опыте и контроле составляет 1 экземпляр на 10 мл. Повторность десятикратная.
Результаты учитывают, если в конце биотестирования количество погибших цериодафний в контроле не превышало 10% от LC50 за 24 ч воздействия эталонного вещества K2Cr2O7 (1 - 3 мг/л).
6.2.5. Подготовка к выполнению биотестирования
В качестве тест-объекта используют лабораторную культуру цериодафний - Ceriodaphnia affinis Lilljeborg (Cladocera, Crustacea).
Культуру цериодафний выращивают в помещении, где отсутствуют токсические пары или газы с оптимальной температурой (25 +/- 2) °C, освещенностью 400 - 600 лк. Для культивирования цериодафний используют дехлорированную, отстоянную питьевую воду, имеющую следующие показатели качества: pH 7,0 - 8,2, общая жесткость 1,3 - 2,0 мг-экв./л, содержание растворенного кислорода - не менее 5,0 мг/л. Культуру цериодафний содержат в сосудах объемом 2 - 3 л, которые заполняют водой наполовину. Каждые 7 - 20 суток культуру цериодафний обновляют: при оптимальных условиях содержания цериодафний выметывают молодь ежесуточно или раз в двое суток. Кормление цериодафний производят суспензией хлебопекарных дрожжей раз в сутки; раз в неделю - суспензией зеленых водорослей (хлореллы).
Нельзя применять для мытья синтетические моющие средства и органические растворители!
Начальная плотность посадки культуры должна быть от 10 до 15 особей молоди цериодафний на 1 л воды.
Для биотестирования используют цериодафний в возрасте 4 - 8 ч.
Для получения тест-объектов за 24 ч до биотестирования необходимое количество самок цериодафний возрастом от 7 до 14 суток, выводковые камеры которых наполнены яйцами, пересаживают в стеклянную посуду вместимостью от 0,5 до 1,0 л, которая заполнена водой для культивирования. В эту воду перед пересаживанием цериодафний вносят корм. От каждой самки можно получить до 6 молодых цериодафний.
За 2 - 3 ч до начала биотестирования в посуду с цериодафниями вносят корм и удаляют взрослых особей.
Не реже одного раза в месяц культуру цериодафний возрастом 4 - 8 ч проверяют на пригодность для биотестирования.
Для определения пригодности культуры цериодафний для биотестирования устанавливают среднюю летальную концентрацию раствора эталонного вещества - двухромовокислого калия (K
2Cr
2O
7) за 24 ч биотестирования (LC
50 за 24 ч). Для этого готовят исходный раствор K
2Cr
2O
7 концентрацией 1 г/л, используя дистиллированную воду. Далее из исходного раствора готовят серию растворов с концентрациями K
2Cr
2O
7 от 1,0 до 4,0 мг/л с интервалом 1,0 мг/л, используя культивационную воду (опыт). Контролем служит культивационная вода. Биотестирование этих растворов проводят в течение 24 ч в соответствии с процедурой, изложенной в
п. 6.1.6. На основании полученных результатов рассчитывают LC
50 за 24 ч в соответствии с
прилож. 2.
Если полученная величина LC50 за 24 ч находится в диапазоне реагирования тест-объекта, который равен 1 - 3 мг/л K2Cr2O7, культура цериодафний пригодна для биотестирования.
Если LC50 за 24 ч не находится в указанном диапазоне реагирования, проверяют условия культивирования тест-объекта, при необходимости культуру заменяют.
6.2.6. Выполнение биотестирования
Дисперсии тестируемых наноматериалов требуемых концентраций готовят добавлением рассчитанного количества запасного раствора (дисперсии) наноматериала в дистиллированной воде в культивационную воду. При приготовлении запасного раствора (дисперсии) необходимо применение физических методов диспергирования (перемешивание, встряхивание, ультразвуковая обработка). Применение органических растворителей и детергентов не допускается! В порядке исключения допустимо введение наноматериалов на носителе, биологическая инертность которого подтверждена в дополнительных контрольных тестах.
Затем подготовленные к исследованию дисперсии наноматериалов в различных концентрациях наливают по 10 мл в 10 стеклянных сосудов (опыт). Другие десять сосудов наполняют таким же объемом культивационной воды (контроль).
В каждый опытный и контрольный сосуд помещают по 1 экземпляру цериодафний в возрасте 4 - 8 ч.
Продолжительность биотестирования составляет 48 ч. Во время биотестирования цериодафний не кормят. В конце биотестирования визуально подсчитывают количество живых цериодафний. Живыми считают цериодафний, которые свободно двигаются в толще воды или всплывают со дна сосуда после его легкого встряхивания. После подсчета цериодафний в контроле и опыте в каждом сосуде определяют концентрацию растворенного кислорода.
Каждый опытный и контрольный тест выполняют в трех повторностях.
6.2.7. Обработка и оценка результатов
На основании результатов десяти параллельных определений количества живых цериодафний в контроле и опыте находят средние арифметические количества живых цериодафний в контроле (опыте) по формуле:
где:

- результат i-го измерения количества живых дафний в контроле (опыте);
i - номер измерения количества живых дафний в контроле (опыте); i = i,...,

;

- число параллельных измерений количества живых дафний в контроле (опыте);

.
Рассчитывают в процентах количество погибших цериодафний в опыте по отношению к контролю по формуле:
Вывод о наличии или отсутствии острой летальной токсичности анализируемой пробы воды (водной вытяжки) или раствора вещества (смеси веществ) делают на основании величины A. Если величина A составляет 50% цериодафний и более, считают, что анализируемая проба проявляет острую летальную токсичность. В этом случае для количественной оценки токсичности анализируемого наноматериала устанавливают его среднее значение LC
50 за 48 ч биотестирования по алгоритму, применяемому для эталонного вещества - бихромата калия
(прилож. 2).
Для количественной оценки токсичности наноматериала устанавливают среднюю летальную концентрацию вещества за 48 ч биотестирования (LC
50 за 48 ч). Расчет LC
50 за 48 ч проводят в соответствии с
прилож. 2.
6.2.8. Контроль воспроизводимости результатов определения токсичности
Контроль воспроизводимости результатов определения токсичности проводят в объеме 5% от количества текущих измерений. Алгоритм контроля воспроизводимости результатов определения представлен в
п. 6.1.8.
6.3. Метод тестирования безопасности наноматериалов
по выживаемости и плодовитости ракообразных
Ceriodaphnia affinis Lilljeborg
6.3.1. Принцип метода
Метод основан на установлении различия между показателями выживаемости и (или) плодовитости цериодафний в анализируемой пробе, содержащей тестируемые наноматериалы (опыт), и культивационной воде (контроль).
Критерием хронической токсичности является статистически достоверное увеличение количества погибших исходных цериодафний и (или) уменьшение количества новорожденных особей в опыте по сравнению с контролем на протяжении трех последовательных пометов за (7 +/- 1) суток.
6.3.2. Характеристики погрешности измерений
Границы, в которых находится относительная погрешность определения токсичности по данной методике с заданной доверительной вероятностью P = 0,95, составляют +/- 63%. Наибольшее возможное значение среднего квадратического отклонения случайной составляющей относительной погрешности определения токсичности по данной методике

составляет 32%. Характеристики погрешности устанавливают по результатам внутрилабораторного эксперимента с использованием эталонного вещества - калия двухромовокислого (K
2Cr
2O
7). Алгоритм установления характеристик погрешности методики приведен в
прилож. 1.
6.3.3. Оборудование, материалы и реактивы
Применяют средства измерений, вспомогательные устройства, материалы, реактивы, указанные в
п. 6.1.3.
6.3.4. Условия выполнения биотестирования
Биотестирование проводят в помещении, где не хранят и не работают с химическими веществами, не используют обработку помещений инсектицидами. Температура анализируемой пробы при биотестировании должна быть равна (25 +/- 2) °C, концентрация кислорода в пробе в начале биотестирования - не менее 6 мг/дм3. Во время биотестирования пробу аэрируют микрокомпрессором.
Плотность посадки односуточных дафний в опыте и контроле составляет 1 экз. на 10 мл.
Результаты учитывают, если в конце биотестирования количество погибших цериодафний в контроле не превышало 10% от LC50 за 24 ч воздействия эталонного вещества К2Сr2O7 (1 - 3 мг/л).
Биотестирование проводят при рассеянном свете. Не допускается попадание прямых солнечных лучей на цериодафний. Длительность светового периода соответствует естественному.
6.3.5. Подготовка к выполнению биотестирования
В качестве тест-объекта используют лабораторную культуру ракообразных Ceriodaphnia affinis Lilljeborg (Cladocera, Crustacea). Культивирование цериодафний в лабораторных условиях, подготовка к биотестированию, процедура определения пригодности культуры для биотестирования приведены в
п. 6.1.5.
6.3.6. Выполнение биотестирования
Приготовленные разведения исследуемого наноматериала в культивационной воде наливают по 10 мл в десять сосудов (опыт). Другие десять сосудов заполняют таким же объемом культивационной воды (контроль). В каждый из опытных и контрольных сосудов помещают по 1 экземпляру самок цериодафний. Ежесуточно в каждом сосуде проводят замену воды на свежую. Появившуюся молодь подсчитывают и удаляют, оставляя исходную самку в сосуде. Биотестирование заканчивают после того, как 60% исходных самок в контроле дадут по три последовательных помета. Продолжительность биотестирования составляет (7 +/- 1) суток. Повторность в опыте и контроле трехкратная.
6.3.7. Обработка и оценка результатов
После окончания биотестирования подсчитывают количество выживших исходных самок и количество появившейся молоди в расчете на одну самку в каждом параллельном определении в контроле и опыте.
Достоверность различий между опытом и контролем по показателям выживаемости и плодовитости устанавливают по критерию Стьюдента (). Для этого вычисляют фактический критерий достоверности разницы (tфакт.) и сравнивают его с теоретическим (tтеор.).
Значение tфакт. находят по формуле:
где:

- средние арифметические показателей выживаемости или плодовитости в контроле и опыте;

- среднеквадратическое отклонение в контроле и опыте.

- размер выборки в контроле и опыте.
Значение tтеор. - табличная величина. Для уровня значимости P = 5% и числа степеней свободы F = 2 (10 - 1) = 18 tтеор. = 2,10.
Если tфакт. >= tтеор., то разница между результатами биотестирования в опыте и контроле считается статистически достоверной. На этом основании делают вывод о том, что тестируемый наноматериал оказывает хроническое токсическое действие.
Если tфакт. > tтеор., то разница между результатами биотестирования в опыте и контроле считается статистически недостоверной. На этом основании делают вывод о том, что тестируемый наноматериал не оказывает хронического токсического действия.
Для количественной оценки токсичности наноматериала устанавливают его LC
50 за 7 суток. Расчет LC
50 осуществляют по алгоритму, применяемому для эталонного вещества - бихромата калия
(прилож. 2).
6.3.8. Контроль воспроизводимости результатов определения токсичности
Контроль воспроизводимости результатов определения токсичности проводят в объеме 5% от количества текущих измерений. Алгоритм контроля воспроизводимости результатов определения представлен в
п. 6.1.8.
6.4. Метод тестирования безопасности наноматериалов
по гибели рыб Nothobranchius rachovi и Danio rerio
6.4.1. Принцип метода
Метод основан на установлении различия между количеством погибших рыб в анализируемой пробе, содержащей наноматериалы (опыт), и воде, которая не содержит токсических веществ (контроль).
Критерием острой летальной токсичности является гибель 50% рыб и более в опыте по сравнению с контролем за 96 ч биотестирования.
6.4.2. Характеристики погрешности измерений
Границы, в которых находится относительная погрешность определения токсичности по данной методике с заданной доверительной вероятностью P = 0,95, составляют +/- 42%. Наибольшее возможное значение среднего квадратического отклонения случайной составляющей относительной погрешности определения токсичности по данной методике

составляет 21%. Характеристики погрешности устанавливают по результатам внутрилабораторного эксперимента с использованием эталонного вещества - калия двухромовокислого K
2Cr
2O
7. Алгоритм установления характеристик погрешности методики приведен в
прилож. 1.
6.4.3. Оборудование, материалы и реактивы
Применяют средства измерений, вспомогательные устройства, материалы, реактивы, указанные в
п. 6.1.3.
6.4.4. Условия выполнения биотестирования
Биотестирование проводят в помещении, где не хранят и не работают с химическими веществами, не используют обработку помещений инсектицидами.
Используют рассеянный свет, естественный световой период.
Температура анализируемой пробы должна равняться (25 +/- 1) °C, концентрация растворенного кислорода не менее 4 мг/л. Если концентрация растворенного кислорода меньше, пробу аэрируют микрокомпрессором.
Плотность посадки рыб в возрасте 1 месяца в опыте и контроле должна быть 10 экземпляров на 1 л. Повторность 2 - 3-кратная.
Результаты учитывают, если при биотестировании количество погибших рыб в контроле не превышало 10% от LC50 за 24 ч инкубации в растворе эталонного вещества - калия двухромовокислого (100 - 200 мг/л).
6.4.5. Подготовка к выполнению биотестирования
В качестве тест-объекта используют мальков рыб Nothobranchius rachovi или Danio rerio в возрасте 1 месяца. Для получения тест-объекта выбирают рыб без каких-либо признаков заболевания. Для содержания производителей пригодны любые аквариумы, которые обеспечивают температуру воды (25 +/- 1) °C. Плотность посадки 4 экземпляра на 10 л. Аквариумы освещают верхним светом не менее 8 ч в сутки. Для содержания производителей используют питьевую воду по
ГОСТ Р 51232-98, которую отстаивают на протяжении 7 суток. Содержание растворенного в воде кислорода должно быть не менее 4 мг/дм
3. Один раз в месяц 1/3 часть воды заменяют на свежую. Добавляемая вода должна быть той же температуры, что и в аквариуме. Кормят рыб раз в 2 дня живым кормом. Корм дается в таком количестве, чтобы рыбы съедали его без остатка.
Тест-организмы (возрастом 1 месяц) перед серией экспериментов проверяют на пригодность для биотестирования. Для определения пригодности рыб для биотестирования устанавливают среднюю летальную концентрацию раствора эталонного вещества калия двухромовокислого (K
2C
r2O
7) за 24 ч биотестирования (LC
50 за 24 ч). Для этого готовят исходный раствор K
2C
r2O
7 концентрацией 10 г/л, используя дистиллированную воду. Далее из исходного раствора готовят серию растворов с концентрациями K
2Cr
2O
7 от 100 до 200 мг/л с интервалом 25 мг/л, используя культивационную воду. Биотестирование этих растворов проводят 24 ч в соответствии с процедурой, изложенной в
п. 6.4.4. На основании полученных результатов рассчитывают LC
50 за 24 ч калия двухромовокислого.
Если полученная LC50 за 24 ч находится в диапазоне реагирования тест-объекта, который равен 100 - 200 мг/л K2Cr2O7, рыбы пригодны для биотестирования.
Если LC50 за 24 ч K2Cr2O7 не находится в указанном диапазоне реагирования, проверяют условия культивирования тест-объекта, чтобы выяснить причины ухудшения состояния рыб. При необходимости рыб заменяют на новых.
6.4.6. Выполнение биотестирования
При биотестировании выполняют следующие операции.
Разбавления пробы тестируемого наноматериала готовят прибавлением определенного объема запасного раствора (дисперсии) наноматериала в дехлорированную питьевую воду по
ГОСТ Р 51232-98. При приготовлении запасного раствора (дисперсии) наноматериала необходимо применять физические методы диспергирования (перемешивание, встряхивание, ультразвуковая обработка). Применение органических растворителей и детергентов не допускается. В порядке исключения допустимо введение наноматериалов на носителе, биологическая инертность которого подтверждена в дополнительных контрольных тестах.
Приготовленные растворы с различными концентрациями наноматериала наливают в сосуды по 1 л (опыт). Другие сосуды наполняют таким же объемом дехлорированной питьевой воды (контроль). В каждый из опытных и контрольных сосудов помещают по 5 экземпляров рыб возрастом 1 месяц. Продолжительность биотестирования составляет 96 ч. Во время биотестирования рыб не кормят. Ежедневно подсчитывают количество живых рыб и удаляют погибших. Погибшими считают рыб, которые не подают признаков жизни. Каждый опытный и контрольный тест выполняют в трех повторностях.
6.4.7. Обработка и оценка результатов
На основании результатов трех параллельных определений количества живых рыб в контроле и опыте находят средние арифметические количества живых рыб в контроле (опыте) по формуле:
где:

- результат i-го измерения количества живых рыб в контроле (опыте);
i - номер измерения количества живых рыб в контроле (опыте);

- число параллельных измерений количества живых рыб в контроле (опыте);

.
Рассчитывают в процентах количество погибших рыб в опыте по отношению к контролю по формуле:
Вывод о наличии или отсутствии острой летальной токсичности наноматериала делают на основании величины A. Если величина A составляет 50% и более, считают, что анализируемая проба проявляет острую летальную токсичность. В этом случае для количественной оценки токсичности наноматериала устанавливают его среднюю летальную концентрацию (LC
50) за 96 ч биотестирования (LC
50 за 96 ч). Расчет LC
50 за 96 ч проводят в соответствии с
прилож. 2.
6.4.8. Контроль воспроизводимости результатов определения токсичности
Контроль воспроизводимости результатов определения токсичности проводят в объеме 5% от количества текущих измерений. Алгоритм контроля воспроизводимости результатов определения представлен в
п. 6.1.8.
7. Метод оценки безопасности наноматериалов
по их цитокин-моделирующей активности in vivo
Цитокины являются важными регуляторами гомеостаза, активируя провоспалительные (

ИЛ-6, ИЛ-8,

) и антивоспалительные (ИЛ-10 и ИЛ-4) реакции, а также Т - клеточное звено иммунитета. Выявление изменений в профиле транскрипции генов цитокинов, продуцируемых in vivo иммунокомпетентными клетками в организме животных при введении наноматериалов, указывает на наличие у тестируемых наноматериалов потенциальных иммуномодулирующих или иммуносупрессорных свойств и позволяет тем самым оценить безопасность наноматериалов.
7.2. Характеристика используемых организмов и тест-систем
Исследования выполняют на самцах мышей инбредной линии СВА с исходной массой 12 - 14 г.
7.3. Приборы и оборудование
Программируемый термостат (ДНК-амплификатор) типа "Терцик МС2" или иные типы амплификаторов, зарегистрированные в Российской Федерации в установленном порядке | |
Термостат, поддерживающий температуру 45 °C, для пробирок объемом 1,5 см3 | |
Центрифуга со скоростью вращения ротора до 12000 об./мин для пробирок вместимостью 1,5 и 0,5 мл | |
Встряхиватель вибрационный типа "Вортекс" со скоростью вращения до 3000 об./мин | |
Прибор для горизонтального электрофореза | |
Источник постоянного тока | |
Водяная баня с подогревом до 95 °C или СВЧ-печь | |
Ультрафиолетовый трансиллюминатор | |
Очки или маска защитные | |
Холодильник бытовой электрический | |
Морозильная камера, обеспечивающая температуру -20 °C или ниже | |
Гомогенизатор типа "SilentCrusher" или аналогичный других моделей | |
Ступка фарфоровая с пестиком | |
Пинцет медицинский | |
Ножницы медицинские | |
Скальпель медицинский | |
Весы лабораторные общего назначения 2-го класса точности | |
Мембранные установки для получения деионизованной воды | ОСТ 11-029.003-80 |
Анализатор потенциометрический, погрешность измерений pH +/- 0,01 | |
Облучатель бактерицидный настенный ОБН-150 | ТУ 94444-006-08620222-98 |
Дозаторы с переменным объемом дозирования фирмы "Gilson": | |
0,2 - 2,0 мм3 с шагом 0,01 мм3, с точностью +/- 1,2%; | |
2 - 20 мм3 с шагом 0,01 мм3, с точностью +/- 0,8%; | |
1 - 10 см3 с шагом 0,1 см3, с точностью +/- 0,5% | |
Дозаторы "Ленпипет": | ТУ 9452-002-33189998-2002 |
0,5 - 10,0 мм3 с шагом 0,01 мм3, с точностью +/- 0,8%; | |
20 - 200 мм3 с шагом 0,1 мм3, с точностью +/- 0,6%; | |
100 - 1000 мм3 с шагом 1 мм3, с точностью +/- 3,0% | |
Пробирки типа "Эппендорф", вместимостью 1,5 см3 | |
Наконечники пластиковые, объемом 1 - 200 мм3 | |
Наконечники пластиковые, объемом 200 - 1000 мм3 | |
Перчатки резиновые | |
Колбы плоскодонные конические разной вместимости | |
Цилиндры стеклянные мерные лабораторные вместимостью 25, 100, 1000 см3 | |
Воронки стеклянные | |
Штативы для пробирок объемом 1,5 см3 | |
7.4. Материалы и реактивы
Пары ПЦР-праймеров для ряда цитокинов:  ,  ,  , ИЛ-2, ИЛ-4, ИЛ-6, ИЛ-8, ИЛ-10, ИЛ-12, ИЛ-18,  , производства фирмы "Синтол" или аналогичные | |
Трис-HCl фирмы "Сигма", США или аналогичный | |
Тритон Х-100 фирмы "Merck", Германия или аналогичный | |
Гуанидина тиоцианат фирмы "Сигма", США или аналогичный | |
ЭДТА (этилендиаминтетрауксусная кислота) | |
Додецилсульфат натрия | ТУ 6-09-64-75 |
Фенол водонасыщенный | ГОСТ 23519-93 |
Хлороформ водонасыщенный | |
Спирт этиловый ректификованный из пищевого сырья | |
Ацетат аммония | |
Магния хлорид 25 мМ водный раствор фирмы "Промега", США или аналогичный | |
Калия хлорид | |
Натрия хлорид стерильный изотонический раствор | |
Дитиотрейтол (ДТТ), фирмы "Промега", США или аналогичный | |
Креозоловый красный, чда | ТУ 6-09-071670-88 |
Водный раствор дезоксинуклетидтрифосфатов (дНТФ) (0,1М) фирмы "Промега", США или аналогичный | |
Транспортная РНК фирмы "Промега", США или аналогичный | |
Обратная транскриптаза фирмы "Промега", США или аналогичный | |
Ингибитор рибонуклеаз фирмы "Промега", США или аналогичный | |
Термостабильная ДНК-полимераза фирмы "Промега", США или аналогичная | |
Масло вазелиновое | |
Трис-ацетат фирмы "Sigma", США или аналогичный | |
Ледяная уксусная кислота | |
Агароза для электрофореза фирмы "Sigma", США или аналогичная | |
Бромистый этидий фирмы "Sigma", США или аналогичный | |
Спирт изопропиловый | |
Вода деионизованная | ОСТ 11-029.003-80 |
Допускаются к использованию реагенты и материалы аналогичного назначения других изготовителей, разрешенные к применению в установленном порядке и с характеристиками, обеспечивающими проведение исследований в соответствии с данным документом.
7.5. Стандартные образцы наноматериалов
При калибровке метода используют стандартные образцы наноматериалов согласно
п. 4.1.5.
7.6. Животные, их содержание и рацион
Животных содержат на рационах согласно
МУ 1.2.2520-09 в течение 7 - 10 дней перед началом исследований по 5 животных в клетке. Контролируют массу тела мышей. Особей, отстающих в приросте массы тела в течение периода адаптации, удаляют. Формируют 2 группы мышей по 10 животных в каждой. Животных 1-й группы подвергают воздействию наноматериала, животные 2-й группы являются контрольными и не подвергаются воздействию наноматериала.
7.7. Методика ведения тестируемого образца
Наноматериалы в различных концентрациях в виде дисперсии в стерильном изотоническом (0,85%) растворе NaCl объемом 0,5 мл вводят животным опытной группы внутрибрюшинно однократно одноразовым медицинским стерильным шприцом объемом 2,0 мл. Животные контрольной группы получают в эквивалентных количествах дисперсию химического аналога тестируемого наноматериала макроскопической степени дисперсности (с размером частиц дисперсии 1 мкм и более). Допускается вместо контрольной макроскопической дисперсии введение животным носителя - стерильного изотонического раствора NaCl. При приготовлении дисперсий тестируемых материалов необходимо применять физические методы диспергирования (перемешивание, встряхивание, ультразвуковая обработка). Применение органических растворителей и детергентов не допускается! В порядке исключения допустимо введение наноматериалов на носителе, биологическая инертность которого подтверждена в дополнительных контрольных тестах.
Доза вводимого наноматериала устанавливается на основе сведений о возможности экспонирования человека данным наноматериалом в ходе его производства, хранения, оборота, использования и утилизации, предоставляемых заказчиком исследования.
7.8. Методика отбора биопроб
Через 4, 24, 48, 72 и 96 ч у 2 мышей из каждой группы выделяют спленоциты селезенки для получения мРНК цитокинов иммунокомпетентных клеток.
7.9. Методика проведения анализа
Содержание мРНК 11 цитокинов определяют методом обратной транскрипции - полимеразной цепной реакции (ОТ-ПЦР). Для положительного контроля используют праймеры для определения

, экспрессируемого клетками постоянно; в качестве отрицательного контроля - пробы без РНК.
Регистрацию результатов ПНР осуществляют методом электрофореза в 2,5%-м горизонтальном геле агарозы, содержащем бромистый этидий.
Выделение РНК из спленоцитов селезенки.
7.9.1. В пробирку типа "Эппендорф" объемом 1,5 см3 последовательно внести:
- лизирующий буфер, содержащий гуанидин тиоцианат, 4,5 М; фенол насыщенный 1:1; ацетат натрия, 0,3 М объемами по 450 мм3;
- носитель (раствор транспортной РНК 5 мг/мл) - 2 мм3;
- суспензию спленоцитов - 50 мм3.
Перемешать на встряхивателе (вортексе) 30 с, инкубировать при комнатной температуре 10 мин.
7.9.2. Добавить 100 мм3 насыщенного водой хлороформа. Перемешать на вортексе 30 с, центрифугировать 5 мин при 12000 об./мин.
7.9.3. Отобрать в чистую пробирку 250 мм3 водной фазы, добавить к ней 250 мм3 изопропилового спирта, перемешать на вортексе 30 с, центрифугировать 15 мин при 12000 об./мин.
7.9.4. Аккуратно удалить супернатант, не повредив осадок. Добавить к осадку 1000 мкл 70%-го этанола. Плавно перевернуть пробирку 1 - 2 раза. Центрифугировать 5 мин при 12000 об./мин.
7.9.5. Аккуратно удалить супернатант, не повредив осадок. Высушить осадок, оставив пробирки открытыми при комнатной температуре в течение 20 - 30 мин.
7.9.6. Растворить осадок в 25 мм3 стерильной деионизированной воды. При необходимости можно поместить пробирку в морозильную камеру при температуре - (20 - 70) °C для более длительного хранения.
7.9.7. Проведение ОТ-ПЦР.
Полимеразную цепную реакцию проводят в суммарном объеме 25 мм3. Для проведения анализа одного образца в пробирку объемом 0,5 см3 вносят следующие компоненты в указанном порядке (проведение обратной транскрипции и амплификации выполняют для каждой пары праймеров отдельно):
Вода деионизированная | 9,45 мм3 |
10-кратный ПЦР-буфер, состоящий из трис-HCl, 100 мМ; KCl, 500 мМ; MgCl2, 15 мМ | 2,5 мм3 |
ДТТ | 2,5 мм3 |
Смесь трифосфатов мононуклеотидов | 2,0 мм3 |
Водный раствор праймеров | 2,0 мм3 |
Taq-полимераза 5 ед./мкл | 0,3 мм3 |
Ингибитор рибонуклеаз 5 ед./мкл | 1,0 мм3 |
Обратная транскриптаза 40 ед./мкл | 0,25 мм3 |
Исследуемый образец РНК | 5,0 мм3 |
Использование наконечников и пробирок допустимо только один раз! Для предотвращения испарения пробы на поверхность осторожно наносят 15 мм
3 вазелинового масла. В пробирку с отрицательным контролем добавляют 5 мм
3 деионизированной воды, а в пробирку с положительным контролем - праймеры для определения

и 5 мм
3 РНК.
Пробирки помещают в амплификатор и проводят ОТ-ПЦР по программе, режим амплификации которой представлен в табл. 7.9.7.1.
Таблица 7.9.7.1
РЕЖИМ ПРОВЕДЕНИЯ ОТ-ПЦР
N п/п | Температура, °C | Время | Количество повторов |
1 | 42 | 60 мин | 1 |
2 | 94 | 30 с | 30 |
55 | 30 с |
72 | 30 с |
3 | 72 | 5 мин | 1 |
4 | 10 | Хранение | |
7.10. Обработка полученных данных
Результаты ПЦР регистрируют методом электрофореза в 1,2%-м агарозном геле, приготовленном на 1-кратном трис-ацетатном (1 x ТАЕ) буфере.
Приготовление 1 x TAE буфера
20 см3 50-кратного концентрированного ТАЕ буфера вносят в мерную колбу вместимостью 1000 см3, доводят до метки дистиллированной водой и тщательно перемешивают.
Приготовление 1,2%-го агарозного геля
0,6 г агарозы растворяют в 50 см3 1 х ТАЕ буфера нагреванием в кипящей водяной бане до полного растворения. Полученный раствор тщательно перемешивают и охлаждают до температуры 60 °C, добавляют 6 мм3 1%-го раствора бромистого этидия и тщательно перемешивают.
Бромистый этидий является сильным мутагеном, поэтому все манипуляции с ним и с содержащим его агарозным гелем необходимо выполнять в перчатках.
Проведение электрофореза
7.10.1. Полученный раствор заливают в кювету для заливки геля согласно инструкции к прибору для горизонтального электрофореза. Для создания стартовых лунок в кювету помещают гребенку с зубцами. Полимеризация агарозы происходит при температуре ниже 42 °C в течение 10 - 20 мин.
7.10.2. После застывания агарозы осторожно вынимают гребенку и переносят гель в камеру для проведения электрофореза. В камеру заливают 1 х ТАЕ буфер так, чтобы толщина слоя жидкости над гелем составляла приблизительно 5 мм.
7.10.3. Вносят в лунки агарозного геля по 12,5 мм3 амплифицированных образцов, подключают к камере источник постоянного тока и проводят электрофорез при напряжении 120 В в течение примерно 30 мин, помещая стартовые лунки ближе к катоду.
7.10.4. Вынимают гель из камеры, переносят его на стекло трансиллюминатора, включают трансиллюминатор и просматривают гель. Фиксация результата может осуществляться также с использованием цифровой фотокамеры.
7.11. Представление результата
Интерпретация результатов анализа
7.11.1. В положительном контрольном образце ДНК должна выявляться полоса красно-оранжевого цвета, соответствующая заданному праймерами размеру.
7.11.2. В отрицательном контрольном образце полоса красно-оранжевого цвета должна отсутствовать.
7.11.3. Наличие в анализируемом клиническом материале полосы красно-оранжевого цвета, располагающейся строго на уровне полосы положительного контрольного образца ДНК, свидетельствует об активности в исследуемом образце соответствующего гена. При отсутствии такой полосы результат следует считать отрицательным.
7.11.4. Наличие полосы красно-оранжевого цвета в отрицательном контрольном образце, располагающейся на уровне полосы положительного контрольного образца ДНК, следует рассматривать как результат контаминации.
7.11.5. Полученные результаты желательно документировать фотографированием гелей с использованием оранжевого светофильтра или с помощью системы видеодетекции.
Наличие мРНК цитокина по результатам электрофоретического анализа ПЦР-продуктов проводят в сравнении с положительным и отрицательным контролями. Данные фиксируют в таблице (табл. 7.11.5.1) в соответствии со временем отбора проб для анализа с использованием следующей системы обозначений:
(+) наличие активности мРНК цитокина;
(-) отсутствие активности мРНК цитокина;

- исчезновение мРНК цитокина;

- появление мРНК цитокина.
Таблица 7.11.5.1
ПРИМЕР ПРЕДСТАВЛЕНИЯ РЕЗУЛЬТАТОВ АНАЛИЗА МРНК ЦИТОКИНОВ
МЕТОДОМ ПЦР-ОТ
Цитокины \ Образец | | | | ИЛ-2 | ИЛ-4 | ИЛ-6 | ИЛ-8 | ИЛ-10 | ИЛ-12 | ИЛ-18 | |
Контроль | - | + | - | + | + | - | - | + | + | + | + |
Препарат Ad 1:10 |
4 ч | - | + | +  | + | -  | +  | - | + | -  | + | + |
24 ч | - | -  | | + | + | - | - | + | + | + | + |
48 ч | - | + | +  | + | + | +  | - | + | + | -  | + |
72 ч | - | + | - | + | -  | +  | - | + | + | + | -  |
96 ч | +  | + | - | + | + | +  | +  | -  | + | + | + |
Препарат Ad 1:100 |
4 ч | +  | + | - | + | -  | +  | - | + | -  | -  | + |
24 ч | - | -  | - | + | + | - | +  | -  | + | -  | + |
48 ч | +  | -  | - | + | -  | - | - | + | + | -  | + |
72 ч | +  | + | - | + | + | - | - | + | + | + | -  |
96 ч | - | + | +  | + | + | - | +  | + | -  | -  | -  |
Препарат Серебро 1:100 |
4 ч | +  | + | - | + | + | +  | - | + | -  | + | + |
24 ч | - | + | - | + | + | +  | - | + | -  | + | -  |
48 ч | +  | -  | - | + | -  | - | - | + | + | -  | + |
72 ч | - | + | +  | + | -  | - | +  | + | + | + | + |
96 ч | +  | + | +  | + | + | +  | - | + | + | + | -  |
Препарат Серебро 1:1000 |
4 ч | - | + | - | + | + | - | +  | + | -  | + | -  |
24 ч | - | + | - | + | + | +  | - | + | -  | -  | + |
48 ч | - | + | - | + | -  | - | - | + | + | -  | + |
72 ч | - | + | - | + | -  | - | - | + | -  | + | -  |
96 ч | +  | + | +  | + | + | +  | - | + | + | + | -  |
Препарат Серебро 1:10000 |
4 ч | +  | -  | +  | + | -  | - | - | + | + | -  | + |
24 ч | - | + | - | + | + | - | - | + | + | + | -  |
48 ч | +  | -  | +  | + | -  | - | - | + | + | -  | + |
72 ч | - | + | - | + | -  | +  | +  | + | + | + | + |
96 ч | - | + | - | + | + | - | +  | -  | + | -  | -  |
(+) наличие активности мРНК цитокина, (-) отсутствие активности мРНК цитокина;  исчезновение мРНК цитокина,  - появление мРНК цитокина. |
Препарат наноматериалов признается безопасным, если нет значимых изменений в активности мРНК тестируемых цитокинов. Если изменения в активности мРНК тестируемых цитокинов наблюдаются, такой препарат необходимо подвергать более детальной экспертизе по влиянию на показатели иммунитета.
АЛГОРИТМ УСТАНОВЛЕНИЯ ХАРАКТЕРИСТИК
ПОГРЕШНОСТИ МЕТОДИК БИОТЕСТИРОВАНИЯ
Метрологические характеристики методик биотестирования устанавливают в ходе экспериментальных исследований в соответствии с требованиями методики на растворах веществ с известными токсическими свойствами и стандартных образцах наноматериалов (далее - "эталонные вещества").
Для установления метрологических характеристик методик биотестирования в условиях межлабораторного эксперимента в каждой из лабораторий-участниц (K - количество лабораторий-участниц) каждым из исполнителей (Lk - количество исполнителей в k-той лаборатории) получают серии из Nkl результатов Xkln в условиях сходимости на каждом из эталонных веществ.
Б.1. Сходимость устанавливают по Nkl результатам каждой из KL серий самостоятельных экспериментов, проведенных в каждой из K лабораторий каждым из L исполнителей, для чего эти результаты проверяют на наличие грубой погрешности по одному из известных критериев. Результаты с грубой погрешностью отбрасывают и по оставшимся данным вычисляют значение среднего результата Xkl и его среднее квадратичное отклонение (СКО) по формулам:
fkl = Nkl - 1, (П1.3)
где:
k - номер лаборатории-участницы межлабораторного эксперимента, k = 1,..., K;
l - номер исполнителя (серии), l = 1,..., Lk (L > 2);
n - номер эксперимента в серии, n = 1,..., Nkl;
Xkln - результат эксперимента n в серии l лаборатории k;
fkl - число степеней свободы, по которым вычисляют значение Skl.
Полученные значения выборочных СКО проверяют на соответствие одной генеральной совокупности с помощью критерия Фишера. Для чего рассчитывают величину Fkl по формуле:
и сравнивают ее с табличным значением критерия Фишера для соответствующего числа степеней свободы. Значения F
табл. приведены в
табл. П1.1.
Если, Fkl > Fтабл., то соответствующее СКО (Skl)max или (Skl)min, которое приводит к превышению Fkl над Fтабл., из дальнейших расчетов исключают. Процедуру сравнения (Skl)max и (Skl)min осуществляют до тех пор, пока не будет справедливым Fkl < Fтабл.. Причем общее количество результатов (после отбрасывания результатов с грубой погрешностью) должно удовлетворять условию:
Далее все не исключенные по критерию Фишера выборки результатов полагают однородными и по ним вычисляют СКО, которое характеризует сходимость результатов, по формулам:
Таблица П 1.1
ЗНАЧЕНИЯ F В ЗАВИСИМОСТИ ОТ СТЕПЕНЕЙ СВОБОДЫ
f1 И f2 ДЛЯ P = 0,95
f2 | f1 = 2 | 4 | 8 | 12 | 16 | 20 | 24 | 50 | |
2 | 19,0 | 19,2 | 19,4 | 19,4 | 19,4 | 19,4 | 19,4 | 19,5 | 19,5 |
4 | 6,9 | 6,4 | 6,0 | 5,9 | 5,8 | 5,8 | 5,8 | 5,7 | 5,6 |
6 | 5,1 | 4,5 | 4,2 | 4,0 | 3,9 | 3,9 | 3,8 | 3,8 | 3,7 |
8 | 4,5 | 3,8 | 3,4 | 3,3 | 3,2 | 3,2 | 3,1 | 3,0 | 2,9 |
10 | 4,1 | 3,5 | 3,1 | 2,9 | 2,8 | 2,8 | 2,7 | 2,6 | 2,5 |
12 | 3,9 | 3,3 | 2,8 | 2,7 | 2,6 | 2,5 | 2,5 | 2,4 | 2,3 |
14 | 3,7 | 3,1 | 2,7 | 2,5 | 2,4 | 2,4 | 2,4 | 2,2 | 2,1 |
16 | 3,6 | 3,0 | 2,6 | 2,4 | 2,3 | 2,3 | 2,2 | 2,1 | 2,0 |
18 | 3,6 | 2,9 | 2,5 | 2,3 | 2,2 | 2,2 | 2,2 | 2,0 | 1,9 |
20 | 3,5 | 2,9 | 2,4 | 2,3 | 2,2 | 2,1 | 2,1 | 2,0 | 1,8 |
30 | 3,3 | 2,7 | 2,3 | 2,1 | 2,0 | 1,9 | 1,9 | 1,8 | 1,6 |
60 | 3,2 | 2,5 | 2,1 | 1,9 | 1,8 | 1,8 | 1,7 | 1,6 | 1,4 |
120 | 3,1 | 2,4 | 2,0 | 1,8 | 1,7 | 1,6 | 1,6 | 1,4 | 1,2 |
| 3,0 | 2,4 | 1,9 | 1,8 | 1,6 | 1,6 | 1,5 | 1,4 | 1,0 |
Для равного количества экспериментов N в каждой из L серий
формулы (П1.5) - (П1.7) соответственно переходят в следующие:
Сходимость

или

методики биотестирования на данном эталонном веществе рассчитывают по формулам:
где

- коэффициент, учитывающий смещенность оценки СКО.
Подобные вычисления выполняют для каждого эталонного вещества. По вычисленным значениям сходимости (в процентах) на разных эталонных веществах устанавливают сходимость методики биотестирования

. Причем если проверка по критерию Фишера показала однородность соответствующих СКО, то сходимость методики биотестирования вычисляют как средневзвешенное значений сходимости на эталонных веществах по формуле:
где:
i - номер эталонного вещества, i = 1,...,

;

- количество эталонных веществ.
Если проверка по критерию Фишера показала неоднородность соответствующих СКО, то за сходимость методики биотестирования принимают наибольшее из вычисленных значений сходимости на эталонных веществах.
Б.2. Для оценивания внутрилабораторной воспроизводимости вычисляют средние значения для каждой из К лабораторий и соответствующие СКО по формулам:
Полученные значения выборочных СКО проверяют на соответствие одной генеральной выборке по критерию Фишера и по не исключенным данным вычисляют СКО, которое характеризует внутрилабораторную воспроизводимость, по формулам:
Таблица П 1.2
ЗНАЧЕНИЯ

В ЗАВИСИМОСТИ ОТ ЧИСЛА СТЕПЕНЕЙ СВОБОДЫ
| | | |
1 | 1,253 | 15 | 1,017 |
2 | 1,128 | 16 | 1,016 |
3 | 1,085 | 17 | 1,015 |
4 | 1,064 | 18 | 1,014 |
5 | 1,051 | 19 | 1,013 |
6 | 1,042 | 20 | 1,013 |
7 | 1,037 | 25 | 1,010 |
8 | 1,032 | 30 | 1,008 |
9 | 1,028 | 35 | 1,007 |
10 | 1,025 | 40 | 1,006 |
11 | 1,023 | 45 | 1,006 |
12 | 1,021 | 50 | 1,005 |
13 | 1,019 | 60 | 1,004 |
14 | 1,018 | | |
При условии равного количества данных в сериях
формулы (П1.13) - (П1.15) трансформируются в следующие:
Внутрилабораторную воспроизводимость

или

методики биотестирования на данном эталонном веществе рассчитывают по формулам:
Подобные вычисления выполняют для каждого из эталонных веществ. По вычисленным значениям внутрилабораторной воспроизводимости (в процентах) на разных эталонных веществах устанавливают внутрилабораторную воспроизводимость методики биотестирования

. Причем если проверка по критерию Фишера показала однородность соответствующих СКО, то внутрилабораторную воспроизводимость методики биотестирования вычисляют как средневзвешенное значений внутрилабораторной воспроизводимости на эталонных веществах по формуле:
где:
i - номер эталонного вещества, i = 1,...,

;

- количество эталонных веществ.
Если проверка по критерию Фишера показала неоднородность соответствующих СКО, то за внутрилабораторную воспроизводимость методики биотестирования принимают наибольшее из вычисленных значений внутрилабораторной воспроизводимости на эталонных веществах.
Б.3. Для оценивания межлабораторной воспроизводимости вычисляют среднее значение

по всем лабораториям и соответствующее СКО по формуле:
Межлабораторную воспроизводимость

или

методики биотестирования на данном эталонном веществе вычисляют по формулам:
Погрешность определения токсичности по методике биотестирования вычисляют по формуле:
Подобные вычисления выполняют для каждого из эталонных веществ. По вычисленным значениям межлабораторной воспроизводимости (в процентах) на разных эталонных веществах устанавливают межлабораторную воспроизводимость методики биотестирования

. Причем если проверка по критерию Фишера показала однородность соответствующих СКО, то межлабораторную воспроизводимость методики биотестирования вычисляют как средневзвешенное значений межлабораторной воспроизводимости на эталонных веществах по формуле:
где:
i - номер эталонного вещества, i = 1,...,

;

- количество эталонных веществ.
Если проверка по критерию Фишера показала неоднородность соответствующих СКО, то за внутрилабораторную воспроизводимость методики биотестирования принимают наибольшее из вычисленных значений внутрилабораторной воспроизводимости на эталонных веществах.
АЛГОРИТМ УСТАНОВЛЕНИЯ СРЕДНЕЙ ЭФФЕКТИВНОЙ (ЛЕТАЛЬНОЙ)
КОНЦЕНТРАЦИИ НАНОМАТЕРИАЛА
Среднюю эффективную (летальную) концентрацию (LC
50) устанавливают графическим способом
(рис. П 2.1). На оси абсцисс откладывают десятичные логарифмы величин концентраций наноматериала, внесенного в биологическую тест-систему, а на оси ординат - проценты изменения тест-реакции (гибели тест-объектов) по отношению к контролю, которые переводят в пробиты
(табл. П 2.1). Через полученные точки проводят прямую по методу наименьших квадратов (линейная интерполяция) с использованием программы Excel или аналогичной. Потом из точки на оси ординат, которая соответствует 5 пробитам (50%), проводят линию, параллельную оси абсцисс, до пересечения с линией графика. Из точки пересечения опускают перпендикуляр на ось абсцисс. Точке пересечения перпендикуляра и оси абсцисс соответствует десятичный логарифм (LC
50). По логарифму находят значение LC
50 в мг/дм
3.
Рис. П 2.1. Установление графическим способом эффективной
(летальной) концентрации вещества (смеси веществ)
Таблица П 2.1
Процент изменения тест-реакции | Пробиты | Процент изменения тест-реакции | Пробиты |
1 | 2 | 3 | 4 |
1 | 2,67 | 32 | 4,53 |
2 | 2,95 | 33 | 4,56 |
3 | 3,12 | 34 | 4,59 |
4 | 3,25 | 35 | 4,61 |
5 | 3,35 | 36 | 4,64 |
6 | 3,45 | 37 | 4,67 |
7 | 3,52 | 38 | 4,69 |
8 | 3,59 | 39 | 4,72 |
9 | 3,66 | 40 | 4,75 |
10 | 3,72 | 41 | 4,77 |
11 | 3,77 | 42 | 4,80 |
12 | 3,83 | 43 | 4,82 |
13 | 3,87 | 44 | 4,84 |
14 | 3,92 | 45 | 4,87 |
15 | 3,96 | 46 | 4,90 |
16 | 4,01 | 47 | 4,92 |
17 | 4,05 | 48 | 4,95 |
18 | 4,08 | 49 | 4,97 |
19 | 4,12 | 50 | 5,00 |
20 | 4,16 | 51 | 5,03 |
21 | 4,19 | 52 | 5,05 |
22 | 4,22 | 53 | 5,08 |
23 | 4,26 | 54 | 5,10 |
24 | 4,29 | 55 | 5,13 |
25 | 4,33 | 56 | 5,15 |
26 | 4,36 | 57 | 5,18 |
27 | 4,39 | 58 | 5,20 |
28 | 4,42 | 59 | 5,23 |
29 | 4,45 | 60 | 5,25 |
30 | 4,48 | 61 | 5,28 |
31 | 4,50 | 62 | 5,31 |
63 | 5,33 | 82 | 5,92 |
64 | 5,36 | 83 | 5,95 |
65 | 5,39 | 84 | 5,99 |
66 | 5,41 | 85 | 6,04 |
67 | 5,44 | 86 | 6,08 |
68 | 5,47 | 87 | 6,13 |
69 | 5,50 | 88 | 6,18 |
70 | 5,52 | 89 | 6,23 |
71 | 5,55 | 90 | 6,28 |
72 | 5,58 | 91 | 6,34 |
73 | 5,61 | 92 | 6,41 |
74 | 5,64 | 93 | 6,48 |
75 | 5,67 | 94 | 6,55 |
76 | 5,71 | 95 | 6,64 |
77 | 5,74 | 96 | 6,75 |
78 | 5,77 | 97 | 6,88 |
79 | 5,81 | 98 | 7,05 |
80 | 5,84 | 99 | 7,32 |
81 | 5,88 | | |
СПИСОК ИСПОЛЬЗОВАННЫХ СОКРАЩЕНИЙ
БСА - бычий сывороточный альбумин
ВОЕ - включение-образующая единица
ВЭЖХ - высокоэффективная жидкостная хроматография
ДТТ - дитиотрейтол
ИФА - иммуноферментный анализ
КОЕ - колониеобразующая единица
ЛПС - липополисахарид
МОИ - множественность инфекции
ОП - оптическая плотность
ОТ-ПЦР - ПЦР с обратной транскрипцией
ПЦР - полимеразная цепная реакция
ТАЕ - трис-ацетат
ТМБ - тетраметилбензидин
ФНО - фактор некроза опухолей
ФСБ - фосфатно-солевой буфер
LC50 - эффективная летальная концентрация
NFkB - ядерный фактор транскрипции
ONPG - орто-нитрофенилгалактопиранозид
TLR - рецептор врожденного иммунитета