Главная // Актуальные документы // Методические рекомендацииСПРАВКА
Источник публикации
Документ опубликован не был
Примечание к документу
Название документа
"Методические рекомендации по формированию системы управления запасами лекарственных средств в рамках реализации программы обеспечения отдельных категорий граждан необходимыми лекарственными средствами"
(утв. Росздравнадзором 01.10.2008)
"Методические рекомендации по формированию системы управления запасами лекарственных средств в рамках реализации программы обеспечения отдельных категорий граждан необходимыми лекарственными средствами"
(утв. Росздравнадзором 01.10.2008)
УТВЕРЖДАЮ
Руководитель Федеральной
службы по надзору в сфере
здравоохранения и
социального развития
Н.В.ЮРГЕЛЬ
1 октября 2008 года
МЕТОДИЧЕСКИЕ РЕКОМЕНДАЦИИ
ПО ФОРМИРОВАНИЮ СИСТЕМЫ УПРАВЛЕНИЯ ЗАПАСАМИ
ЛЕКАРСТВЕННЫХ СРЕДСТВ В РАМКАХ РЕАЛИЗАЦИИ ПРОГРАММЫ
ОБЕСПЕЧЕНИЯ ОТДЕЛЬНЫХ КАТЕГОРИЙ ГРАЖДАН
НЕОБХОДИМЫМИ ЛЕКАРСТВЕННЫМИ СРЕДСТВАМИ
Разработано: Федеральной службой по надзору в сфере здравоохранения и социального развития, доктором фармацевтических наук Тельновой Е.А.
Данные методические рекомендации предназначены для органов управления здравоохранения субъектов Российской Федерации, региональных фармацевтических складов, фармацевтических организаций Федерального уровня, руководителей аптек, участвующих в реализации программы обеспечения отдельных категорий граждан необходимыми лекарственными средствами.
Организация лекарственного обеспечения отдельных категорий граждан необходимыми лекарственными средствами подразумевает проведение рациональной и эффективной фармакотерапии, что невозможно без качественного определения потребности, формирования заявок на лекарственные средства, без создания определенного запаса лекарственных средств (ЛС).
Процесс оценки количества заявляемых единиц товара, в нашем случае лекарственных средств, по каждому наименованию с позиции управления товарными запасами, при составлении заявок и выработке условий поставки лекарственных средств, возможен посредством проведения ABC/VEN- и XYZ/VEN анализа.
Сочетание эффективных методов ABC/VEN- и XYZ/VEN анализа дает возможность привести заявляемый ассортимент ЛС в соответствие с требованиями рациональной фармакотерапии и обеспечить первоочередное финансирование жизненно важных и необходимых ЛС, повысить эффективность использования финансовых ресурсов учреждения, сформировать заявку на аукцион, учитывающую назначение ЛС, вид товарного запаса и способы его формирования.
II. УПРАВЛЕНИЕ ТОВАРНЫМИ ЗАПАСАМИ ЛЕКАРСТВЕННЫХ СРЕДСТВ
Под запасом понимается любой ресурс, который используется для того, чтобы удовлетворить текущую или перспективную потребность. Вопрос планирования потребности и управления товарными запасами связаны самым тесным образом.
2.1. Функции управления запасами
1. Главная - это накопление товара и его распределение.
В нашем случае под товаром понимаются ЛС.
2. Достаточности запасов для своевременного удовлетворения спроса.
В данном случае важен так называемый "уровень обслуживания", под которым понимается процент от общего объема имеющихся запасов, который удовлетворен из имеющихся материальных запасов без дополнительного заказа.
При этом необходимо понимать, что накопление достаточного количества товара (ЛС) для удовлетворения спроса позволит, с одной стороны, своевременно обеспечить пациента, избежать простоев, вызванных нехваткой запасов (ЛС), а с другой - поставщику (дистрибьютору) избежать потерь, вызванных нехваткой товара (ЛС).
3. Функция управления затратами с помощью использования дисконта.
Процесс управления запасами и аналогичные ему подчиняются правилам логистики.
Под логистикой понимают систему управления движением материальных и информационных потоков, потоков в пространстве и времени от источника до конечного потребителя с минимальными затратами.
Целевые установки правил логистики, сформулированные зарубежными авторами, сведены к правилам 7 "R":
1. Right product (нужный продукт);
2. Right quantity (в требуемом количестве);
3. Right condition (заданного качества);
4. Right place (в нужном месте);
5. Right time (в установленное время);
6. Right customer (для конкретного потребителя);
7. Right cost (с наименьшими затратами).
Соблюдением этих правил обеспечивается упорядочение и оптимизация таких процессов как транспортирование, складирование, хранение и информационное взаимодействие участников товародвижения.
Товародвижение - это сфера потенциально высокой экономии издержек и обеспечения более полной удовлетворенности потребителей. Решения, принимаемые при управлении товарными запасами, сказываются на уровне издержек в других сферах деятельности предприятия (организации), а также на возможностях эффективно управлять спросом.
Управление товародвижением - это процесс, включающий в себя:
- анализ рынка ЛС;
- потребности ЛС (в частности, потребности льготополучателей), которая собирается от лечебно-профилактических учреждений (ЛПУ) в виде заявок ЛПУ, составленных врачами, обобщенных и представленных в органы управления здравоохранения субъекта;
- координацию спроса и предложений, которая формируется путем координации врачебных назначений, используя при этом заявки, непосредственно сделанные врачами;
- обеспечение информационного сопровождения процесса товародвижения;
- гармонизацию отношений всех участников данного процесса.
В плане реализации логистических функций должны быть решены следующие задачи:
- уточнены объемные, пространственные и временные параметры запасов, стоимости хранения единицы запаса;
- налажена система информационного мониторинга за состоянием запасов и непрерывного контроля нормируемых параметров;
- уточнены реальные стоимости и время выполнения заказов, налажен управленческий учет параметров выполнения заказов и контроль хода их прохождения;
- разработаны правила определения момента и объема заказа.
Определение соответствующих объемных, пространственных и временных параметров запасов позволит перейти к оптимизации размещения товаров на складе, а, следовательно, к минимизации затрат. Мониторинг состояния запасов должен обеспечивать непрерывное сравнение нормативных параметров с фактическими, чтобы начала работать "следящая система" управления запасами, а расчет нормативных характеристик запасов (в натуральном выражении) позволил обоснованно формировать бюджеты и перейти к оптимизации издержек, связанных с формированием и поддержанием запасов.
Таким образом, для исполнения вышеназванных функций необходимо:
- вести четкий учет текущего уровня товарных запасов.
Весь запас можно условно разделить на:
- основной запас:
- рабочий товарный запас, необходимый для обеспечения отгрузки в соответствии с планом продаж на текущий период;
- страховой товарный запас, который позволяет компенсировать незапланированный рост отгрузки (или увеличение расхода, реализации) и непредвиденные задержки в доставке, связанные с перебоями в производстве или наличии товара у поставщика;
- временной запас:
- сезонный товарный запас - избыточный запас, создаваемый до начала сезонного роста продаж;
- маркетинговый товарный запас - дополнительный запас, формируемый во время проведения маркетинговых акций, рекламных компаний и т.д.;
- конъюнктурный товарный запас - избыточный запас, создаваемый под воздействием конъюнктурной ситуации на рынке.
Причинами создания конъюнктурного запаса могут быть:
- разовые скидки поставщиков;
- прогнозируемый или искусственно создаваемый дефицит товара у поставщиков и т.п.;
- вынужденный запас:
- брак - товар, который потерял потребительские свойства и не может быть в дальнейшем использован по назначению;
- неликвидный или труднореализуемый запас - часто этот товар появляется тогда, когда была запланирована реализация одного количества, а фактически спрос оказался в несколько раз меньше или, например, заменили одного поставщика на другого, а остатки оказались нереализованными и т.д.
Хорошая политика запасов ничего не стоит, если служба управления запасами не знает какими запасами она владеет.
Даже, если организация предпринимает существенные усилия по созданию автоматизированных систем точных записей движения запасов, эти записи должны подтверждаться инвентаризацией. Такие инвентаризации называют циклами расчета.
Особенно это важно, когда товар (в нашем случае - это ЛС) рассредоточен в пространстве (склады, аптеки, аптечные пункты);
- определение величины гарантированного запаса для обеспечения снабжения на случай непредвиденных обстоятельств;
- определение интервала заказа.
2.3. Анализ товарных запасов
Другой серьезной составляющей процесса управления запасами является анализ товарного запаса. Один из наиболее известных методов его проведения - ABC-анализ. Идея ABC-анализа строится на основе принципа Парето, который формируется следующим образом:
"За большинство возможных результатов отвечает относительно небольшое число причин", то есть принцип указывает на то, что есть критическое меньшинство и тривиальное большинство. В настоящее время принцип широко известен, как "правило 20 на 80" - это когда 20% наименований дают 80% товарооборота, при этом идея состоит в том, чтобы сконцентрировать ресурсы на критическом меньшинстве.
ABC-анализ - классификация запасов, измеряемых в единицах.
ABC-анализ подразделяет запасы на три классификационные группы на основе их годовой стоимости:
Класс A - приходится на высокий годовой объем. Эти единицы могут представить только 20% общего объема единиц запаса, но они представляют 70 - 80% от общей стоимости запасов.
Класс B - это запас единиц, на которые приходится средняя величина годового объема. Эти наименования могут представлять до 30% от общего числа наименований и 15 - 20% общего объема в суммовом выражении.
Остальные запасы с низким объемом затрат по сумме на год образуют класс С. Они представляют 5% от годового объема затрат.
График ABC-анализа
├─────────┐
│ │
│ │
80 │ │
│ │
│ │
60 │ │
Процент │ │
общей │ │
стоимости │ Класс ├──────────────────────┐
заказов │ A │ │
40 │ │ ├──────────────────────────┐
│ │ Класс B │ │
│ │ │ │
20 │ │ │ Класс C │
─┼─────────┴──────────────────────┴──────────────────────────┴─
10 20 30 40 50 60 70 80 90 100
Процент единиц наименования
Определяя годовой объем в денежном эквиваленте для ABC-анализа, мы измеряем годовой спрос каждой единицы наименований запаса и умножаем его на цену единицы.
За ABC-анализом следует анализ XYZ. ABC-анализ базируется на классификации товарооборота и товарных запасов, измеряемых в единицах реализации или запаса, а их классификация по структуре потребления (XYZ-анализ). ABC-анализ - это один из вариантов математико-статистических методов анализа, используемый для исследования частоты определенных экономических явлений и факторов.
Основная идея XYZ-анализа - это группирование объектов по однородности анализируемых параметров, другими словами - по коэффициенту вариации.
В качестве объектов анализа можно выбрать товар, товарную группу, поставщика и т.п. Затем необходимо определить параметр, по которому будет проводиться анализ. Как правило, анализ проводится по реализации (продажам товара или по реальной отгрузке со склада). При проведении анализа очень важно правильно определить периодичность данных, которые анализируются.
Можно проводить анализ по ежедневной отгрузке товара со склада, но в случае, если большая часть товара отгружается не каждый день, а поставки осуществляются один раз в квартал, результат может быть недостаточно показательным. Практика показывает, что периодичность данных должна превышать периодичность поставок, принятую для большей части товара.
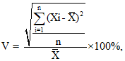
Таким образом, основная идея XYZ-анализа - группировка объектов по степени однородности исследуемого показателя, то есть по коэффициенту вариации.
Формула для расчета коэффициента вариации:
где:
V - среднее квадратное отклонение,
Xi - значение i-периода,

- среднее значение за n периодов,
n - число периодов.
Группирование товара по величине коэффициентов вариации:
- в группу X попадают товары с коэффициентом вариации менее 10%;
- в группу Y - товары с коэффициентом вариации от 10 до 25%;
- в группу Z - товары с коэффициентом вариации 25%.
Представленные границы групп является рекомендуемыми. На практике часто встречаются ситуации, когда все товары попадают в одну группу Z.
ABC-анализ позволяет сделать первый эффективный шаг в оптимизации товарного запаса. Для более детального анализа особенностей потребления группы ЛС с разной равномерностью потребления были разделены в соответствии с их значимостью по VEN-анализу. XYZ-анализ равномерности потребления ЛС в учреждении здравоохранения с последующим VEN-анализом полученных групп товара показал, что неравномерность потребления витальных и необходимых ЛС связана, как со спецификой использования отдельных ассортиментных позиций, так и с неравномерностью поставок.
Таким образом, использование сочетания XYZ-анализа потребления ЛС в учреждениях здравоохранения и ABC/VEN-анализа ассортимента позволяет уйти от чисто количественных показателей и подойти к формированию товарного запаса ЛС в ЛПУ с точки зрения его функционального назначения в целях обеспечения качественной фармакотерапии.
Все три вида анализа объединяются термином - "совокупный анализ затрат".
Преимуществами совмещенного анализа являются:
- повышение эффективности системы управления товарными ресурсами;
- повышение доли высокоприбыльных товаров без нарушения принципов ассортиментной политики;
- выявление ключевых товаров (ЛС) и причины, влияющие на количество товаров, хранящихся на складе;
- перераспределение усилий персонала в зависимости от квалификации и опыта;
и другие.
III. МЕТОДИЧЕСКИЕ ПОДХОДЫ К ФОРМИРОВАНИЮ СИСТЕМЫ
УПРАВЛЕНИЯ ЗАПАСАМИ ЛЕКАРСТВЕННЫХ СРЕДСТВ,
ПРОГНОЗИРОВАНИЮ ПОТРЕБНОСТИ В ЛС
В аптеках и на складах, выполняющих функции отпуска ЛС по льготным рецептам, должны быть созданы определенные запасы ЛС, так как спрос на них обусловлен значительными колебаниями, связанными с неравномерностью врачебных назначений, возможными задержками доставки, финансирования и т.п.
В связи с этим управление запасами ЛС является достаточно сложным видом деятельности по формированию определенного объема ЛС, который необходим для организации бесперебойного отпуска ЛС по льготным рецептам при минимальных затратах.
В данном случае объектом управления является материальный поток, представляющий собой процесс товародвижения ЛС от производителя до конечного потребителя в соответствии с назначениями врача.
Данный процесс и аналогичные ему подчиняются правилам логистики.
В решении проблемы эффективного управления запасами первостепенной задачей является прогнозирование потребности в ЛС, составление заявок на ЛС.
При том понимаем, что потребность - это конкретная форма удовлетворения нужд потребителей, обусловленная их индивидуальными особенностями.
В тоже время, заявка - это заблаговременно заявленное в устной или письменной форме выраженное намерение, желание приобрести, получить необходимые товары и услуги.
Таким образом, потребность и заявка - это понятия, отличающиеся друг от друга, и не последнюю роль в этом отличии играет финансовая обеспеченность потребности.
Особенность составления заявок на ЛС и организация их закупок в учреждениях здравоохранения заключается в особых свойствах ЛС как товара, который непосредственно влияет на качество медицинской помощи в целом. Кроме того, спрос на ЛС в учреждениях здравоохранения по отдельным ассортиментным позициям зависит от совершенно разных фактов, поэтому применение единой методики для всего процесса составления заявок не представляется возможным. В свою очередь именно спрос влияет на формирование товарного запаса ЛС в учреждениях здравоохранения и определяет организационные механизмы реализации заявок.
Необходимо понимать, что потребность всегда больше реальных возможностей. И одно дело определить потребность в ЛС и совершенно другое - составить заявку, исходя из финансовых возможностей, а также правильно управлять уже имеющимися товарными запасами.
Процесс этот требует постоянного обучения, в определенной степени творчества и интуиции, а также проведения постоянной аналитической работы.
При прогнозировании потребности в ЛС учитываются:
- история и объемы реализации предыдущих периодов по каждой позиции ЛС;
- данные об остатках ЛС в аптеках и на складах;
- данные об остаточных сроках годности ЛС, находящихся в остатках;
- данные о количестве пациентов с определенной нозологией заболеваемости;
- уровень, динамика и структура заболеваемости;
- фармакоэкономика конкретных ЛС и другие факторы.
Объемы потребности в ЛС для обеспечения необходимыми лекарственными средствами отдельных категорий граждан, имеющих право на получение набора социальных услуг (программа ОНЛС), обусловлены в первую очередь численностью отдельных категорий граждан, сохранивших за собой право на набор социальных услуг, в том числе льготное лекарственное обеспечение, финансовой обеспеченностью лекарственного обеспечения отдельных категорий граждан (финансовые обязательства Федерального и регионального бюджетов), уровнем подушевого норматива. В том числе при формировании потребности в рамках программы ОНЛС учитываются также следующие показатели:
- статистика и структура заболеваемости;
- номенклатура ЛС в разрезе международных непатентованных наименований (МНН), в том числе анализ рынка этих ЛС;
- данные по реальному отпуску ЛС в предыдущем планируемому периоде;
- данные по средней стоимости рецепта в субъекте Российской Федерации.
Платежеспособная потребность в ЛС - это потребность, подкрепленная финансовыми возможностями потребителя (в частности, бюджетными возможностями по возмещению стоимости ЛС, предназначенных льготным категориям населения), формирующая фактический спрос.
В целях определения (прогнозировании) потребности, (а фактически спроса) на необходимые ЛС рекомендуем учитывать особенности потребления отдельных групп лекарственных препаратов, которые с целью поиска более эффективных методов формирования потребности в лекарственных средствах для обеспечения отдельных категорий граждан, подразделяли на следующие группы:
- препараты с нормируемым потреблением (наркотические средства, этиловый спирт);
- препараты специфического действия (для лечения туберкулеза, диабета, новообразований и т.п.);
- препараты широкого спектра действия (антибиотики, сульфаниламиды, витамины).
Прогнозирование потребности в ЛС, потребление которых в лечебной практике нормируется, осуществляется с учетом данных о фактическом расходе при строгом соблюдении правил назначения, прописывания и отпуска ЛС. При нормативном методе определения используются следующие формулы:
P = N x Q,
где:
P - потребность в препарате;
N - норматив потребления на одного пациента (согласно утвержденного стандарта, протокола или методики лечения, или данных эмпирического исследования);
Q - фактическое количество пациентов,
где:
N - норматив потребления на 1000 пациентов (на 1000 рецептов);
Q - фактическое количество пациентов (рецептов).
Потребление лекарственных средств специфического назначения зависит от статистики, структуры и динамики заболеваемости существующего уровня лечебной помощи по конкретной нозологии и, соответственно, эти данные учитываются при формировании потребности в специфических препаратах.
При определении потребности учитываются также утвержденные Минздравсоцразвития России стандарты медицинской помощи больным с определенной нозологией.
Одновременно рекомендуется:
- согласовывать расчеты в потребности на специфические ЛС с главными внештатными специалистами;
- проводить сопоставления расчетной потребности с данными реального расхода.
В рамках 7 высокозатратных нозологий потребность определяется на основании данных регистров пациентов.
При прогнозировании потребности в препаратах специфического действия можно рекомендовать использовать расчет по следующей формуле:
P = R x Qк x Qб,
где:
R - расход препарата в соответствии со стандартом (протоколом или методикой) лечения на одного пациента на курс лечения;
Qк - количество курсов в год;
Qб - количество пациентов в год.
Определение потребности в препаратах широкого спектра действия - это наиболее трудоемкий процесс.
Основным средством правильного обоснования потребности в лекарственных средствах широкого спектра на планируемый период является использование информации об объемах, структуре и динамике фактического потребления ЛС в предыдущие периоды, для чего можно использовать данные по персонифицированному отпуску.
При прогнозировании потребности в ЛС широкого спектра действия рекомендовали использовать экономико-математические методы построения следующих моделей:
- однофакторных моделей (по одному фактору) на основе методов экстраполяции тенденций, экспоненциального сглаживания и др.;
- многофакторных моделей, отражающих влияние нескольких факторов и позволяющих на основе результатов корреляционно-регрессионного анализа количественно оценивать степень их влияния на объем потребления необходимых ЛС.
В качестве универсальных рекомендовали использовать логикоэкономические методы, результаты по которым на основе экспертных оценок возможно количественно и качественно охарактеризовать аргументированными мнениями компетентных специалистов и прогнозировать объемы потребности необходимых ЛС.
Таким образом, процесс формирования заявки должен представлять собой четко обработанную и выстроенную систему, включающую в себя:
- формирование заявки на уровне врачей первичного звена лечебно-профилактических учреждений, обобщение ее на уровне ЛПУ и передачу в органы управления здравоохранения;
- формирование заявки в рамках 7 высокозатратных нозологий производится на основании данных регистров пациентов.
В тоже время эти параметры в полной мере можно отнести к специфической группе лекарственных средств и при этом можно использовать формулы и методы, предложенные выше;
- в органах управления здравоохранения производится сбор заявок всех ЛПУ субъекта Российской Федерации. Проводится анализ полученной сводной заявки, которая сравнивается с прогнозом потребности, рассчитанной в субъекте, до получения заявки. Полученная заявка обсчитывается и сравнивается с выделенными объемами финансовых средств и, в случае необходимости, корректируется. Заявка согласовывается с главными специалистами. После окончания утверждения заявка является основой для аукциона по закупке ЛС.
Для решения проблем лекарственного обеспечения необходимо в субъектах Российской Федерации формирование единого информационного пространства, так как эффективность обеспечения лекарственными средствами отдельных категорий граждан находится в прямой зависимости от прозрачности фармацевтического рынка.
В единое информационное пространство должны быть вовлечены все участники программы ОНЛС от врачей ЛПУ, осуществляющих выписку, работников аптечных учреждений, осуществляющих отпуск ЛС, до администрации и органов управления здравоохранения и т.д.
При формировании потребности очень важна как связь в направлении от врача до органа управления здравоохранения, так и обратная связь от органа управления здравоохранения до врача, и связано это с тем, что врач или ЛПУ знает что заявлено ими, и как финансировалась их заявка они должны узнать после ее обработки в органах управления здравоохранения, а руководством ЛПУ заявка должна быть доведена до каждого врача.
Расчет оптимальной величины заказа
Эффективное решение проблем обеспечения ЛС конкретного пациента ускоряется при наличии точных данных о запасах ЛС в субъектах Российской Федерации, способностью управлять запасами ЛС, что обеспечивает наличие нужных ЛС в нужное время и в нужном месте.
Основной целью большинства моделей управления запасами является минимизация суммарных затрат. С учетом этого к существенным затратам относятся затраты на заказы и на их хранение. Остальные затраты, такие как затраты, связанные непосредственно с организацией запасов, являются постоянными.
Следовательно, если минимизируется сумма затрат на заказы и хранение, то минимизируются и суммарные затраты.
Для обоснования оптимальной величины товарных запасов применяется экономико-математический метод, основанный на использовании классической модели (EOQ) Уилсона, позволяющей обосновать оптимальный объем и сроки поставок, а также минимизировать совокупные издержки на формирование и хранение товарного запаса.
Оптимальным размером заказа является тот, который обеспечивает минимальную величину суммарных затрат. С ростом величины заказа количество заказов, размещаемых в течение года, уменьшается.
Таким образом, рост величины заказа сопровождает понижение годовых затрат на заказ и самих затрат, связанных с заказом. Поскольку величина заказа растет, увеличиваются и затраты на хранение, так как возрастает средняя величина запаса, который необходимо сохранять.
На основе модели EOQ оптимальная величина заказа достигается в той точке, где суммарная величина затрат на заказ равна суммарной величине затрат на хранение.
Для расчета оптимальной величины заказа используется формула Уилсона:
где:
D - годовой спрос в натуральных единицах ЛС (объем реализации);
S - затраты на каждый заказ (издержки, руб.);
H - затраты на хранение или текущие затраты (на единицу на год).
Необходимое число заказов, размещаемых в течение года (N), и точное время между заказами (T) можно определить по формулам:
где:
N - точное число заказов,
D - спрос,
Q - заказываемое количество,
T - точное время между заказами равно числу рабочих дней в год, деленному на N.
Работа по планированию запаса должна проводиться совместно с дистрибьютором, аптекой и органом управления здравоохранения.
Для создания эффективной системы управления товарными запасами, в данном случае запасами ЛС, в субъектах Российской Федерации необходимо:
- выделить ответственных за организацию работы по управлению запасами ЛС в конкретном регионе, скоординировать действия, связанные с принятием конкретного управленческого решения по товару;
- определить обязанности каждого участника в системе управления товарными запасами по прогнозу потребности, накоплению данных по истории реализации, проведению инвентаризации, созданию условий хранения товара;
- определить сроки и периодичность проведения инвентаризаций.
IV. ПРЕДЛОЖЕНИЯ ПО ОПТИМИЗАЦИИ УПРАВЛЕНИЯ ЗАПАСАМИ
ЛЕКАРСТВЕННЫХ СРЕДСТВ В РАМКАХ СИСТЕМЫ ОБЕСПЕЧЕНИЯ
ОТДЕЛЬНЫХ КАТЕГОРИЙ ГРАЖДАН НЕОБХОДИМЫМИ
ЛЕКАРСТВЕННЫМИ СРЕДСТВАМИ (ОНЛС)
1. В целях предотвращения негативных явлений региональной политики по системе управления запасами ЛС, желательно предусмотреть создание соответствующей службы менеджмента (на уровне регионального склада или фармуправления, или управления здравоохранения), владеющей исчерпывающей информацией о запасах ЛС внутри данного субъекта Российской Федерации, способной вести автоматизированный учет запасов, отслеживать движение товаров и обеспечивать в случае необходимости их перераспределение.
2. Для эффективного управления запасами ЛС, необходимых для реализации программы ДЛО - ОНЛС, должна быть установлена величина гарантированного (неснижаемого) запаса, как на региональном складе, так и в аптеках (равная, например, 10 - 20% от общего объема потребности) с целью обеспечения снабжения ими на случай непредвиденных обстоятельств.
3. Определен оптимальный интервал для выполнения заказа (как планового, так и срочного).
4. Определены сроки для проведения инвентаризаций для учета запасов ЛС (например, ежеквартально перед подачей заявки).
1. Алексеев Н.А. Оптимизация лекарственного обеспечения в многопрофильной больнице на основе фармакоэкономического анализа. Экономика здравоохранения, 2007, январь.
2. Бернетт Ф. Снижая цены путем региональных объединенных закупок. Мониторинг основных лекарственных средств, 2004, N 16.
3. Громовик Б.П. Управление товарным ассортиментом фармацевтического предприятия с помощью ABC- и XYZ-анализа. Львовский государственный медицинский университет им. Д.Галицкого.
4. Тельнова Е.А. Качественное определение потребности как основное условие доступности лекарственных средств. Менеджер здравоохранения, 2007, N 10.
5. Рыжова О.А., Мороз Т.Л. Управление запасами лекарственных средств в учреждениях здравоохранения. Иркутский институт усовершенствования врачей.
6. Бодряков Р. ABC- и XYZ-анализ: составление и анализ итоговой матрицы.
7. Бодряков P. ABC- и XYZ-анализ для повышения эффективности работы склада.
8. Комаха А. Управление запасами из материалов журнала "Финансовый директор" (Киев).
9. Воробьев П.А., Клинико-экономический анализ в медицинской организации. Проблемы стандартизации в здравоохранении, 2004, N 7.