Главная // Актуальные документы // Методические рекомендацииСПРАВКА
Источник публикации
Ленинград, 1984
Примечание к документу
Название документа
"Контроль за загрязнением свинцом, озоном и окислами азота рентгеновских кабинетов лечебно-профилактических учреждений. Методические рекомендации"
(утв. Минздравом РСФСР 20.09.1983)
"Контроль за загрязнением свинцом, озоном и окислами азота рентгеновских кабинетов лечебно-профилактических учреждений. Методические рекомендации"
(утв. Минздравом РСФСР 20.09.1983)
Утверждаю
Заместитель министра
К.И.АКУЛОВ
20 сентября 1983 года
Согласовано
Заместитель начальника
Главного управления
научно-исследовательских
институтов и координации
научных исследований
В.М.ХРИСТЮК
16 сентября 1983 года
КОНТРОЛЬ ЗА ЗАГРЯЗНЕНИЕМ СВИНЦОМ, ОЗОНОМ
И ОКИСЛАМИ АЗОТА РЕНТГЕНОВСКИХ КАБИНЕТОВ
ЛЕЧЕБНО-ПРОФИЛАКТИЧЕСКИХ УЧРЕЖДЕНИЙ
МЕТОДИЧЕСКИЕ РЕКОМЕНДАЦИИ
Методики предназначены для работников радиологических групп СЭС и служат для проведения текущего контроля за загрязненностью свинцом рук персонала, поверхностей оборудования, строительных конструкций, а также за загрязненностью свинцом, озоном и окислами азота воздуха процедурных рентгеновских кабинетов.
Одним из важных разделов работы СЭС в области радиационной гигиены является контроль за условиями труда персонала рентгеновских кабинетов. При этом контроле, как правило, оценка профессиональной вредности производится только по ионизирующему излучению. Однако, как показано исследованиями ряда авторов в последние годы, условия работы в рентгенодиагностических кабинетах определяются комплексом факторов - ионизирующее излучение, свинец, окислы азота и т.п. Соотношение этих факторов не является величиной постоянной, а все время изменяется. Так, если в последние 15 - 20 лет дозы облучения персонала рентгеновских кабинетов постоянно уменьшались и к настоящему времени величина облучения большинства работающих не превышает 0,3 ПДД, то загрязнение свинцом и средние концентрации озона и окислов азота в рентгеновских кабинетах увеличились. Источником загрязнения свинцом персонала, помещений и оборудования являются средства индивидуальной защиты персонала и пациентов, выполненные из просвинцованной резины. Особенно значительны загрязнения свинцом в тех кабинетах, где эксплуатируются изношенные средства защиты уже по истечении срока эксплуатации, который определен техническими условиями, или где средства индивидуальной защиты не зачехлены, отсутствует качественная влажная уборка помещений и т.п. Уровни загрязнения поверхностей стен, пола, оборудования в этих случаях достигают 0,002 мг/см2. Загрязненность рук персонала свинцом может достигать 1,2 мг, при этом, как правило, более сильно загрязнены правые ладони. В воздухе процедурных свинец обнаруживается в количествах от 0,0005 до 0,01 мг/м3.
В рентгенодиагностических кабинетах свинец не является обязательным компонентом основного технологического процесса (рентгенологического исследования). Процедурная рентгеновского кабинета является местом пребывания не только персонала, но и пациентов, поэтому использование ПДК свинца для производственных помещений в данном случае является неправомерным. Следует использовать ПДК для атмосферного воздуха населенных мест - 0,0007 мг/м3. Более высокие концентрации свинца необходимо рассматривать как показатель того, что в данном рентгеновском кабинете недостаточно полно или не систематически проводится комплекс мероприятий по уменьшению загрязнений свинцом.
Для предупреждения или уменьшения этих загрязнений в рентгенодиагностических кабинетах рекомендуется следующий комплекс мероприятий:
- индивидуальные средства защиты из свинца и просвинцованной резины помещать в чехлы из пленочных материалов или клеенки;
- не использовать индивидуальные средства защиты по истечении срока эксплуатации, указанного в технических условиях;
- поверхности стационарных защитных устройств и приспособлений, выполненных из свинца, покрывать двойным слоем масляной или эмалевой краски;
- под перчатки из просвинцованной резины надевать тонкие хлопчатобумажные перчатки;
- по окончании работы со средствами индивидуальной защиты из просвинцованной резины тщательно мыть руки теплой водой с мылом или препаратом "Защита";
- запретить прием пищи, курение и использование косметики в процедурной рентгеновских кабинетов.
При оценке уровней загрязнения персонала, помещений и оборудования следует использовать следующие критерии:
- при наличии свинца на уровне 1 х 10-4 мг/см2 и более - массивное загрязнение, имеется источник интенсивного загрязнения, который необходимо выявить и изъять;
- при наличии свинца на уровне (0,1 - 0,9) х 10-4 мг/см2 - загрязнение существенное - требуется генеральная влажная уборка с использованием 3%-ного раствора уксусной кислоты;
- загрязнение на уровне (0,01 - 0,09) х 10-4 мг/см2 - во внимание не принимать;
- загрязнение персонала не допускается.
Озон и окислы азота образуются в результате электрических разрядов в рентгеновской трубке, кенотронах и высоковольтном трансформаторе во время работы рентгеновского аппарата. Концентрации озона в процедурной рентгеновского кабинета колеблются от 0,0004 до 0,5 мг/м3, а окислов азота - от 0,0001 до 0,005 мг/м3. Учитывая то, что процедурная является местом пребывания не только персонала, но и больных людей, использование ПДК озона и окислов азота для производственных помещений в данном случае также является необоснованным. Необходимо добиваться того, чтобы концентрация озона в воздухе процедурной составляла не более 0,005 - 0,01 мг/м3. Предлагаемая величина в 10 раз меньше ПДК для рабочих помещений. Концентрация окислов азота в воздухе процедурной должна находиться в пределах ПДК атмосферного воздуха для населенных мест - 0,085 мг/м3. Эти величины следует рассматривать как санитарный показатель, превышение которого указывает на то, что в данном рентгеновском кабинете вентиляция не соответствует предъявляемым к ней требованиям (приточно-вытяжная, кратность обмена +3, -4, вытяжка из нижней зоны) или неправильно эксплуатируется.
Настоящие Методические рекомендации разработаны в соответствии с решением коллегии МЗ РСФСР от 10 июня 1980 г., протокол N 21.
ОПРЕДЕЛЕНИЕ ЗАГРЯЗНЕННОСТИ СВИНЦОМ РУК ПЕРСОНАЛА,
ПОВЕРХНОСТЕЙ ОБОРУДОВАНИЯ, СТРОИТЕЛЬНЫХ КОНСТРУКЦИЙ
1. Характеристика методики
Методика предназначена для определения свинцовой пыли на руках персонала, оборудования, строительных конструкциях в рентгеновских кабинетах путем взятия смывов. Чувствительность методики 0,5 мкг свинца в анализируемом объеме раствора. Погрешность +/- 10% от нижнего предела концентраций.
Методика основана на взятии смывов с различного рода поверхностей 3%-ным раствором уксусной кислоты. При этом свинец переходит в растворимое состояние. Определение количества свинца в смывах основано на измерении степени помутнения раствора в результате образования хромата свинца при взаимодействии иона свинца с бихроматом калия. Мутность определяют нефелометрически на приборах типа ФЭК или путем визуального сравнения со стандартной шкалой.
3. Аппаратура, материалы, реактивы
Фотоэлектроколориметр-нефелометр типа ФЭК-Н-57;
Сушильный шкаф;
Колориметрические пробирки из прозрачного стекла на 5 и 10 мл с притертыми пробками;
Штатив для пробирок;
Мерные колбы на 100 мл;
Пенициллиновые флаконы;
Пипетки на 1, 5 и 10 мл;
Воронки химические;
Фильтры б/з "синяя" и "красная" лента;
Стеклянные палочки;
Колбы конические на 50 мл;
Вата гигроскопическая;
Шаблон из плексигласа или клеенки площадью 100 см2;
Кислота уксусная ледяная, х.ч.;
Ацетат натрия, х.ч.;
Бихромат калия, х.ч.;
Нитрат свинца, х.ч.
4. Отбор проб для анализа
Смывы рекомендуется брать в конце рабочего дня выборочно в тех рентгеновских кабинетах, где наиболее интенсивно используются средства защиты из просвинцованной резины. Результаты анализа следует рассматривать как показатель полноты и качества проведения мероприятий по уменьшению загрязненности свинцом рентгеновских кабинетов.
4.1. Места взятия смывов. Руки врача, рентгенолаборанта и санитарки: со всей ладонной поверхности у врача, рентгенолаборанта и санитарки. Оборудование: с площади 100 см2 середины снимочного стола, кассет, стола в фотолаборатории и др. Строительные конструкции: с площади 100 см2 пола у снимочного стола около рабочего места врача-рентгенолога, отопительных батарей и со всей поверхности ручек дверей внутри процедурной.
Для взятия смывов рекомендуется изготовить шаблон из плексигласа или медицинской клеенки с вырезом 10 х 10 см, т.е. площадью 100 см
2. Для взятия смывов используют гигроскопическую вату, предварительно отмытую от содержащихся в ней ионов

,

и др.
4.2. Обработка ваты. С целью удаления

и

гигроскопическую вату погружают в большой химический стакан и заливают горячей дистиллированной водой, тщательно перемешивают стеклянной палочкой так, чтобы вата хорошо пропиталась водой, стакан закрывают часовым стеклом и оставляют на 20 мин. После этого воду сливают, вату отжимают. Промывку повторяют горячей водой, а затем холодной. Вату высушивают в сушильном шкафу при 40 °С.
4.3. Взятие смывов. Из обработанной ваты следует скатать тампоны диаметром 1 см. Можно наматывать кусочки ваты на конец стеклянной палочки.
В качестве смывающего раствора используют 3%-ный раствор уксусной кислоты (30 мл ледяной уксусной кислоты прилить к 970 мл воды). При взятии мазков с поверхностей, окрашенных свинцовыми белилами, в качестве смывающего раствора использовать дистиллированную воду. На исследуемую поверхность, с которой отбирают пробы, накладывают шаблон с вырезом 100 см
2 и ограниченную шаблоном площадь тщательно с нажимом последовательно протирают вначале ватным тампоном, смоченным в 3%-ном растворе уксусной кислоты, а затем двумя сухими тампонами. Все три тампона помешают в пенициллиновый флакон, заливают 10 мл 1%-ного раствора уксусной кислоты и оставляют на ночь (далее см.
п. 5.2).
| | ИС МЕГАНОРМ: примечание. Нумерация пунктов дана в соответствии с официальным текстом документа. | |
5.1. Подготовка необходимых реактивов. Основной стандартный раствор нитрата свинца с концентрацией свинца 0,1 мг/мл готовят растворением 0,016 г нитрата свинца в воде в мерной колбе на 100 мл.
Рабочий раствор нитрата свинца для шкалы стандартов (см. табл. 1) с концентрацией свинца 10 мкг/мл готовят разведением основного раствора, для чего 10 мл основного стандартного раствора переносят в мерную колбу на 100 мл и разбавляют до метки 3%-ным раствором ацетата натрия.
Таблица 1
Шкала стандартных растворов для визуального сравнения
Состав раствора | Номер стандарта |
0 | 1 | 2 | 3 | 4 | 5 | 6 | 7 | 8 | 9 | 10 |
Рабочий раствор нитрата свинца, мл | 0 | 0,15 | 0,2 | 0,3 | 0,4 | 0,5 | 0,6 | 0,7 | 0,8 | 0,9 | 1,0 |
Уксусная кислота, 1%-ный раствор, мл | 4 | 3,85 | 3,8 | 3,7 | 3,6 | 3,5 | 3,4 | 3,3 | 3,2 | 3,1 | 3,0 |
Содержание свинца, мкг | 0 | 1,5 | 2,0 | 3,0 | 4,0 | 5,0 | 6,0 | 7,0 | 8,0 | 9,0 | 10,0 |
Ацетат натрия - 50%-ный раствор (50 г ацетата натрия растворяют в 50 мл воды).
Ацетат натрия - 3%-ный раствор (3 г ацетата натрия растворяют в 97 мл воды).
Бихромат калия - 10%-ный раствор (10 г бихромата калия растворяют в 90 мл воды).
Уксусная кислота - 1%-ный раствор (1 часть 3%-ной уксусной кислоты разбавляют в 2 частях воды).
5.2. Проведение анализа. Раствор отфильтровывают, анализируемые тампоны промывают 2 - 3 раза 1%-ным раствором уксусной кислоты так, чтобы общий объем фильтрата составил 20 мл. Одновременно можно обрабатывать 20 - 30 проб.
Определение количества свинца в анализируемых фильтратах проводят путем либо визуального сравнения помутнения каждой пробы со стандартной шкалой, либо на приборах типа ФЭК.
6. Визуальный метод определения количества свинца в пробах
6.1. Приготовление шкалы стандартов. Предварительно готовят несколько растворов сравнения с известными количествами свинца, которые называются шкалой стандартов; колориметрические пробирки устанавливают в штатив, в каждую добавляют растворы в количествах, указанных в
табл. 1. Во все пробирки добавляют по 0,5 мл 50%-ного раствора ацетата натрия и по 2 капли 10%-ного раствора бихромата калия, закрывают пробками, растворы энергично встряхивают и оставляют на 20 мин. для образования осадка хромата свинца. Одновременно в аналогичные колориметрические пробирки с притертыми пробками отмеряют по 4 мл анализируемых фильтратов. В каждую пробирку добавляют по 0,5 мл 50%-ного раствора ацетата натрия и по 2 капли 10%-ного раствора бихромата калия. Анализируемые растворы также энергично встряхивают и оставляют на 20 минут.
Далее производят визуальное сравнение интенсивности помутнения растворов со стандартной шкалой на темном фоне при рассеянном освещении. Пробирки со стандартными растворами устанавливают в один ряд в штативе так, чтобы между каждыми двумя пробирками оставалось свободное гнездо. За штативом помещают экран из черной бумаги. Берут пробирку с анализируемым раствором и перемещают ее по свободным гнездам до тех пор, пока она не окажется рядом с той пробиркой стандартной шкалы, где интенсивность помутнения равна помутнению в анализируемом растворе.
6.2. Пример вычислений. Допустим, что смыв был взят со снимочного стола и общий объем анализируемого раствора составил 20 мл. На анализ было взято 4 мл, интенсивность помутнения оказалась идентичной стандарту N 2, что соответствует (как видно из данных
табл. 1) 2 мкг свинца. Тогда общее количество свинца в 20 мл анализируемого раствора равно:

свинца.
Для пересчета на площадь в 1 см2 необходимо разделить полученное количество на площадь смыва, равную 100 см2:

= 0,0001 мг/см
2.
Таким образом, загрязненность свинцом снимочного стола составляет 0,0001 мг/см2.
Визуальный метод недостаточно чувствителен и точен. Более предпочтительно нефелометрическое определение свинца в пробах с помощью нефелометров типа ФЭК-Н-57.
7. Нефелометрическое определение свинца в смывах
на приборах типа ФЭК-Н-57
7.1. Построение калибровочной кривой. Свежеприготовленный исходный раствор с концентрацией свинца 100 мкг/мл готовят путем растворения 0,016 г химически чистого нитрата свинца в 3%-ном растворе ацетата натрия в мерной колбе на 100 мл. Рабочий раствор нитрата свинца получают разбавлением в 20 раз исходного раствора 3%-ным раствором ацетата натрия и получают новый рабочий раствор с содержанием свинца 5 мкг/мл.
В колориметрических пробирках готовят серию стандартных растворов, как указано в табл. 2. В каждую пробирку добавляют по 0,5 мл 50%-ного раствора ацетата натрия и 2 капли раствора бихромата калия. Стандартные растворы закрывают пробками, тщательно встряхивают и дают постоять 20 мин.
Таблица 2
Шкала стандартных растворов для построения
калибровочного графика
Состав раствора | Номер стандарта |
0 | 1 | 2 | 3 | 4 | 5 | 6 | 7 | 8 | 9 | 10 |
Рабочий раствор нитрата свинца, мл | 0 | 0,1 | 0,2 | 0,3 | 0,4 | 0,5 | 0,6 | 0,7 | 0,8 | 0,9 | 1,0 |
Уксусная кислота, 1%-ный раствор, мл | 5,0 | 4,9 | 4,8 | 4,7 | 4,6 | 4,5 | 4,4 | 4,3 | 4,2 | 4,1 | 4,0 |
Содержание свинца, мкг | 0 | 0,5 | 1,0 | 1,5 | 2,0 | 2,5 | 3,0 | 3,5 | 4,0 | 4,5 | 5,0 |
Интенсивность помутнения определяют на приборе типа ФЭК-Н-57 в кюветах с толщиной слоя 1 - 2 см при длине волны 440 нм, что соответствует светофильтру N 4. Методика измерения степени помутнения подробно описана в руководстве по использованию прибора ФЭК-Н-57.
По результатам измерения интенсивности помутнения стандартных растворов строится калибровочный график, где по горизонтальной оси откладывают содержание свинца в растворе (см.
табл. 2), а по вертикальной - величины, соответствующие значениям интенсивности помутнения. Типичный калибровочный график представлен на рис. 1.
Рис. 1. Типичная калибровочная кривая
7.2. Выполнение анализа. В колориметрические пробирки отмеряют по 4 мл анализируемых фильтратов, доводят объем до 5 мл 1%-ным раствором уксусной кислоты. Добавляют 0,5 мл 50%-ного раствора ацетата натрия, 2 капли 10%-ного раствора бихромата калия. Закрывают пробками, тщательно встряхивают и через 20 мин. определяют степень помутнения раствора на приборе. Для этого раствор наливают в ту же кювету, для которой была построена калибровочная кривая, и, включая тот же светофильтр, определяют мутность. По калибровочной кривой устанавливают количество свинца, соответствующее степени помутнения.
Загрязненность свинцом различных поверхностей выражают в мг/см3 и вычисляют по формуле:

,
где:
x - загрязненность свинцом, мг/см2;
a - количество свинца в мкг, найденное по калибровочному графику;
b - общий объем фильтрата от смыва, мл;
4 - объем пробы, взятой для анализа, мл;
S - площадь смыва, см2;
0,001 - перевод мкг в мг.
Например: Смыв был взят со стола для снимков. Объем анализируемого раствора (общий объем фильтрата от смыва) составил 20 мл; количество свинца, найденное по калибровочному графику,
a = 2 мкг (см.
рис. 1). Площадь смыва
S = 100 см
2. Подставим все известные величины в формулу:

.
Таким образом, загрязненность свинцом стола для снимков составляет 0,0001 мг/см2.
ОПРЕДЕЛЕНИЕ КОНЦЕНТРАЦИИ СВИНЦА В ВОЗДУХЕ
РЕНТГЕНОВСКИХ КАБИНЕТОВ
1. Характеристика методики
Методика предназначена для определения содержания свинца в воздухе рентгеновских кабинетов. Чувствительность методики 0,5 мкг свинца в анализируемом объеме раствора. Погрешность определения составляет +/- 10% от нижнего предела концентрации.
Методика основана на переведении сульфата свинца в растворимое комплексное соединение при взаимодействии его с ацетатом аммония. Определение количества свинца в пробах основано на измерении интенсивности помутнения растворов в результате образования хромата свинца при взаимодействии иона свинца с бихроматом калия. Степень помутнения определяется нефелометрически на приборах - нефелометрах.
3. Аппаратура, материалы, реактивы
Электроаспиратор завода "Красногвардеец" типа 822 или иного типа, обеспечивающий скорость прокачивания воздуха порядка 20 л/мин. и поверяемый Госстандартом;
Фильтры из перхлорвиниловой ткани или марки ФПП;
Песчаная баня;
Фарфоровые тигли высокие N 3;
Муфельная печь с терморегулятором на 400 °С;
Центрифуга;
Фотоэлектроколориметр-нефелометр типа ФЭК-Н-57;
Штатив для пробирок;
Колориметрические пробирки из прозрачного стекла на 10 мл;
Пипетки на 1, 5 и 10 мл;
Мерные колбы на 100 мл;
Стеклянные палочки;
Серная кислота, разбавленная водой в соотношении 1:1;
Ацетат аммония, х.ч.;
Бихромат калия, х.ч.;
Нитрат свинца, х.ч.
Отбор проб воздуха производится в конце дня в рабочей зоне персонала. Скорость прокачивания 20 л/мин. На анализ необходимо отобрать от 400 до 1000 л воздуха.
Фильтр с пробой осторожно переносят в фарфоровый глубокий тигель, смачивают 3 мл H2SO4 (1:1) и осторожно нагревают на песчаной бане до образования твердого остатка и прекращения выделения белых паров SO2. Затем тигель переносят в муфельную печь для озоления остатка при температуре не выше 400 °С в течение 40 мин.
По охлаждении в тигель вливают 6 мл 3%-ного раствора ацетата аммония, перемешивают в течение 10 - 15 мин., далее содержимое вместе с золой переливают по стеклянной палочке в центрифужную пробирку и центрифугируют 5 - 7 мин. при 3000 об./мин.
Прозрачный раствор быстро сливают и на анализ берут 5 мл. К анализируемому объему приливают 2 капли 10%-ного раствора бихромата калия, встряхивают и через 20 мин. определяют степень помутнения раствора на приборе ФЭК-Н-57 со светофильтром N 4 в кюветах с толщиной слоя 1 - 2 см при длине волны 440 нм.
Количество свинца в растворе определяют по калибровочному графику, для построения которого готовят новую серию стандартных растворов, как указано в табл. 3.
Таблица 3
Шкала стандартных растворов для построения
калибровочного графика
Состав раствора | Номер стандарта |
0 | 1 | 2 | 3 | 4 | 5 | 6 | 7 | 8 | 9 | 10 |
Рабочий раствор нитрата свинца, мл | 0 | 0,1 | 0,2 | 0,3 | 0,4 | 0,5 | 0,6 | 0,7 | 0,8 | 0,9 | 1,0 |
Уксусная кислота, 1%-ный раствор, мл | 5,0 | 4,9 | 4,8 | 4,7 | 4,6 | 4,5 | 4,4 | 4,3 | 4,2 | 4,1 | 4,0 |
Содержание свинца, мкг | 0 | 0,5 | 1,0 | 1,5 | 2,0 | 2,5 | 3,0 | 3,5 | 4,0 | 4,5 | 5,0 |
В качестве рабочего раствора нитрата свинца используется свежеприготовленный раствор с содержанием свинца 5 мкг/мл (см.
п. 7 "Нефелометрическое определение свинца в смывах").
В каждую пробирку приливают по 2 капли 10%-ного раствора бихромата калия, встряхивают и через 20 мин. определяют степень помутнения растворов на нефелометре со светофильтром N 4 в кюветах с толщиной слоя 1 - 2 см. Затем строят калибровочный график, по горизонтальной оси которого откладывают содержание свинца (см.
табл. 3), а по вертикальной - соответствующие им величины интенсивности помутнения растворов. Концентрацию свинца в воздухе выражают в мг/м
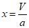
3 и вычисляют по формуле:

,
где:
x - концентрация свинца в воздухе, мг/м3;
a - количество свинца, найденное по калибровочному графику, мкг;
5 и 6 - объемы анализируемого и общего растворов соответственно, мл;
V - объем прокачанного через фильтр воздуха, л.
Например: Объем воздуха, взятого на анализ в процедурной рентгеновского кабинета, составил V = 1000 л. По калибровочному графику найдено a = 1,5 мкг. Подставим все величины в формулу:

.
Таким образом, загрязненность воздуха рентгеновского кабинета свинцом составила 0,0018 мг/м3, что превышает его ПДК для воздуха населенных мест.
При определении свинца в смывах и в воздухе кроме нефелометрического можно использовать полярографический метод, который является более чувствительным. Этот метод подробно описан в книге М.Д. Манита, Р.Ф. Салихджановой и С.Ф. Яворской "Современные методы определения атмосферных загрязнений населенных мест", М., 1981, с. 189.
Исследования мочи и крови персонала на содержание свинца следует проводить по обычным методикам, применяемым в клинической практике.
Например, Методические
рекомендации, утвержденные МЗ РСФСР 20 февраля 1980 г., "Методы лабораторных исследований, используемые при диспансеризации рабочих с вредными условиями труда", Л., 1980, с. 19 - 23.
ОПРЕДЕЛЕНИЕ КОНЦЕНТРАЦИИ ОЗОНА В ВОЗДУХЕ
РЕНТГЕНОВСКИХ КАБИНЕТОВ
1. Характеристика методики
Методика предназначена для определения содержания озона в воздухе рентгеновских кабинетов. Чувствительность методики 0,3 мкг в анализируемом объеме раствора. Определению мешают окислы азота, для поглощения которых используется поглотительный патрон. Погрешность определения составляет +/- 10% нижнего предела концентраций.
Методика основана на реакции взаимодействия озона с солью Мора в кислой среде с образованием ионов трехвалентного железа, количество которого определяется колориметрически после образования железороданидного комплекса.
3. Аппаратура, материалы, реактивы
Аспиратор для отбора проб воздуха. Можно использовать аспиратор любой марки, обеспечивающий скорость отбора воздуха от 0,1 до 1 л/мин., например, модель 822 производства Ленинградского завода "Красногвардеец".
Фотоэлектрический колориметр типа ФЭК-56 или ФЭК-Н-57.
Сушильный шкаф.
Поглотительные пробирки с пористой стеклянной пластинкой.
Колориметрические пробирки из прозрачного стекла объемом 10 мл.
U-образные трубки высотой 150 и диаметром 15 - 20 мм.
Пипетки на 1, 5 и 10 мл.
Мерные колбы на 500 и 1000 мл.
Воронки Бюхнера.
Азотная кислота, 1 М раствор. Перед приготовлением раствора концентрированную кислоту продуть током воздуха для удаления окислов азота.
Роданистый аммоний, 30%-ный раствор. Раствор должен быть бесцветным или слегка розоватым. При значительной окраске к раствору добавить раствор любой растворимой соли алюминия и аммиаком осадить гидроокись алюминия с примесью железа +3. Осадок отфильтровать, а фильтрат нейтрализовать соляной кислотой. При хранении на холоду раствор устойчив (бесцветен) в течение нескольких дней.
Ацетон.
Силикагель марки АСК.
Соль Мора FeSO4(NH4)2SO4·6H2O.
Серная кислота, концентрированная и раствор 1:3 по объему.
Бихромат калия.
Перманганат калия, 0,1 н раствор.
Перекись водорода, 30%-ный раствор. (Все реактивы должны быть ч.д.а. или х.ч.)
Поглощающий раствор: 0,1 г соли Мора растворяют в 100 мл дистиллированной воды, добавляют 10 мл 1 М азотной кислоты и 10 мл ацетона. Поглощающий раствор должен быть свежеприготовленным и стоять на холоду.
Растворы перекиси водорода готовят следующим образом: 5 - 10 мл 30%-ного раствора перекиси водорода разбавляют в 500 мл дистиллированной воды в мерной колбе. Для титрования берут 10 мл раствора, прибавляют 200 мл дистиллированной воды, 20 мл серной кислоты (1:1) и оттитровывают 0,1 н раствором перманганата калия до появления устойчивого розового окрашивания. 1 мл 0,1 н раствора перманганата калия соответствует 1,7 мг H2O2. Путем соответствующего разбавления готовят исходный раствор с содержанием H2O2 10 мкг/мл, а затем рабочий раствор с содержанием перекиси водорода 1 мкг/мл. Растворы должны быть свежеприготовленными и храниться на холоду.
Фильтрующий патрон для поглощения двуокиси азота: силикагель марки АСК с величиной зерен 0,25 - 0,5 мм промывают на воронке Бюхнера 4 - 5 раз горячей дистиллированной водой, удаляют воду нагреванием при 110 °С, а затем прокаливают при 180 °С в течение 4 часов. Далее охлажденный до 50 - 60 °С силикагель насыщают раствором 0,4 г бихромата калия в 10 мл концентрированной серной кислоты. Силикагель переносят в банку с притертой пробкой и хранят без доступа воздуха. Перед отбором пробы силикагель помещают в U-образную трубку примерно на 7 см ее высоты, в концы трубки вводят тампоны из стеклянной ваты.
Отбор проб воздуха на содержание озона производят во время работы рентгеновской трубки в рабочей зоне персонала. Перед поглотительным прибором помещают фильтрующий патрон для поглощения двуокиси азота. Анализируемый воздух со скоростью 0,25 л/мин. с помощью аспиратора протягивают через поглотительный прибор, содержащий 5 мл поглотительного раствора. Для анализа необходимо отобрать 5 - 6 литров воздуха.
Пробу в количестве 5 мл переносят в колориметрическую пробирку и приливают 2 мл 30%-ного раствора роданистого аммония. Через 5 - 10 мин. измеряют оптическую плотность раствора в кюветах с толщиной слоя 1 см при длине волны 480 - 490 нм. Методика измерения оптической плотности растворов описана в руководстве по использованию приборов типа ФЭК. Содержание азота определяют по предварительно построенному калибровочному графику, для чего готовят шкалу стандартных растворов, как указано в табл. 4.
Таблица 4
Шкала стандартных растворов для построения
калибровочного графика
Состав раствора | Номер стандарта |
0 | 1 | 2 | 3 | 4 | 5 | 6 | 7 | 8 |
Рабочий стандартный раствор, мл | 0 | 0,2 | 0,4 | 0,6 | 0,8 | 1,0 | 1,2 | 1,5 | 2,0 |
Поглотительный раствор, мл | 5 | 4,8 | 4,6 | 4,4 | 4,2 | 4,0 | 3,8 | 3,5 | 3,0 |
Содержание перекиси водорода, мкг | 0 | 0,2 | 0,4 | 0,6 | 0,8 | 1,0 | 1,2 | 1,5 | 2,0 |
Эквивалентное содержание озона, мкг | | 0,28 | 0,57 | 0,85 | 1,13 | 1,41 | 1,69 | 2,11 | 2,82 |
В каждый раствор добавляют по 2 мл 30%-ного раствора роданистого аммония, встряхивают и через 5 - 10 мин. измеряют оптическую плотность растворов на приборе ФЭК. Затем строят калибровочный график, где по горизонтальной оси откладывают содержание озона в мкг (см.
табл. 4), а по вертикальной - соответствующие величины оптической плотности растворов. Типичная калибровочная кривая приведена на рис. 2.
Рис. 2. Типичный калибровочный график
для определения содержания озона в пробах
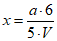
Расчет концентрации озона в воздухе проводят по следующей формуле:

,
где:
x - концентрация озона в воздухе, мг/м3;
a - количество озона, найденное по калибровочному графику, мкг;
V - объем пропущенного через поглотительный прибор воздуха, л.
Например: Объем воздуха, взятого на анализ, составляет 5 л. По калибровочной кривой найдено количество озона в пробе - 2,5 мкг. Подставляя все величины в формулу, получаем:

.
Итак, загрязненность воздуха рентгеновского кабинета озоном составляет 0,5 мг/м3.
ОПРЕДЕЛЕНИЕ КОНЦЕНТРАЦИИ ОКИСЛОВ АЗОТА В ВОЗДУХЕ
РЕНТГЕНОВСКИХ КАБИНЕТОВ
1. Характеристика методики
Методика предназначена для определения содержания окислов азота в воздухе рентгеновских кабинетов. Чувствительность методики 0,3 мкг в анализируемом объеме раствора. Определению мешает озон в концентрациях, превышающих концентрацию двуокиси азота в 2 - 4 раза. Погрешность определения составляет +/- 10% от нижнего предела концентрации.
Методика основана на поглощении двуокиси азота раствором йодида калия и фотометрическом определении иона нитрата, образующего окрашенное соединение с реактивом Грисса-Илосвая.
3. Аппаратура, материалы, реактивы
Фотоэлектроколориметр типа ФЭК-56 или ФЭК-Н-57.
Аспиратор для отбора проб воздуха. Можно использовать любой аспиратор, обеспечивающий скорость отбора воздуха от 0,1 до 1 л/мин., например, модель 822 производства Ленинградского завода "Красногвардеец".
Колориметрические пробирки с притертыми пробками объемом 10 мл.
Мерные колбы на 100 мл.
Бутыли с притертыми пробками на 500 и 200 мл.
Нитрат натрия, х.ч.
Йодид калия, х.ч.
Сульфит натрия, х.ч.
Уксусная кислота ледяная, х.ч.
Сульфаниловая кислота.

-Нафтиламин.
В качестве поглотительного раствора используется 0,5 н раствор йодида калия, который готовят из расчета 84 г KI в литре раствора.
Основной стандартный раствор с концентрацией ионов

100 мкг/мл получают растворением 0,0150 г перекристаллизованного нитрита натрия в 100 мл дважды перегнанной воды. Раствор пригоден к употреблению в течение двух месяцев.
Рабочий стандартный раствор с концентрацией

10 мкг/мл готовят разведением 10 мл основного стандартного раствора до 100 мл 0,5 н раствором йодида калия. Раствор пригоден к употреблению в течение месяца.
Сульфит натрия, 0,01 н раствор: готовят путем растворения 0,063 г безводного сульфита натрия или 0,1261 г Na2SO3·7H2O в 100 мл дистиллированной воды. Раствор готовят перед анализом.
Уксусная кислота, 12%-ный раствор.
Раствор сульфаниловой кислоты: 0,52 г сульфаниловой кислоты растворяют в 150 мл 12%-ного раствора уксусной кислоты.
Раствор

-нафтиламина: 0,2 г

-нафтиламина кипятят с 20 мл воды в течение 2 - 3 мин. до образования на дне капли лилового цвета. Бесцветный раствор декантируют и вливают в 150 мл 12%-ного раствора уксусной кислоты. Растворы сульфаниловой кислоты и

-нафтиламина хранят в темных склянках. Они пригодны к употреблению до тех пор, пока не побуреют.
Реактив Грисса-Илосвая. Перед употреблением смешивают растворы сульфаниловой кислоты и

-нафтиламина в отношении 1:1.
Отбор проб воздуха для определения концентрации

производится во время работы рентгеновской трубки в рабочей зоне персонала. Для этого воздух со скоростью 0,25 л/мин с помощью аспиратора протягивают через два последовательно соединенных поглотительных прибора с 6 мл 0,5 н раствора йодида калия в каждом. Для анализа необходимо отобрать 5 - 6 л воздуха. Время отбора 20 - 30 мин. Уровень жидкости в поглотительных приборах необходимо поддерживать постоянным.
В две колориметрические пробирки переносят по 5 мл раствора из каждого поглотительного прибора, приливают 0,5 мл реактива Грисса-Илосвая и хорошо перемешивают. Через 10 мин. в каждую пробирку добавляют по 5 капель 0,01 н раствора сульфита натрия, пробы взбалтывают и фотометрируют в кюветах с толщиной слоя 1 - 2 см при длине волны 520 нм по сравнению с контролем. Контрольные пробы готовятся аналогично анализируемым пробам: в контрольные пробирки вливают по 5 мл 0,5 н раствора йодида калия и далее - реактив Грисса-Илосвая и сульфит натрия. Методика определения оптической плотности растворов описана в руководстве по использованию приборов ФЭК. Содержание двуокиси азота в анализируемом объеме определяют по предварительно построенному калибровочному графику, который строится по шкале стандартных растворов, как указано в табл. 5.
Таблица 5
Шкала стандартных растворов для построения
калибровочного графика
Состав раствора | Номер стандарта |
0 | 1 | 2 | 3 | 4 | 5 | 6 | 7 | 8 |
Рабочий стандартный раствор, мл | 0 | 0,03 | 0,05 | 0,1 | 0,2 | 0,3 | 0,4 | 0,5 | 0,6 |
Поглотительный раствор йодида калия (0,5 н), мл | 5 | 4,97 | 4,95 | 4,9 | 4,8 | 4,7 | 4,6 | 4,5 | 4,4 |
Содержание NO2 в мкг | 0 | 0,3 | 0,5 | 1,0 | 2,0 | 3,0 | 4,0 | 5,0 | 6,0 |
Для построения калибровочной кривой в каждую пробирку приливают 0,5 мл реактива Грисса-Илосвая и хорошо перемешивают. Через 10 мин. добавляют 5 капель 0,01 н раствора сульфита натрия, взбалтывают и колориметрируют в тех же кюветах и при той же длине волны. По данным фотометрирования строят калибровочный график, по горизонтальной оси которого откладывают содержание двуокиси азота в мкг, а по вертикальной - соответствующие оптические плотности растворов стандартной шкалы. Типичный калибровочный график приведен на рис. 3.
Рис. 3. Типичный калибровочный график для определения
содержания двуокиси азота в пробе
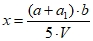
Расчет результатов анализа проводят по формуле:

,
где x - содержание двуокиси азота в воздухе, мг/куб. м;
а и а - количество двуокиси азота в первом и втором поглотительных приборах, соответственно, в мкг, найденное по калибровочному графику;
5 - объем пробы, взятой на исследование из поглотительного прибора, мл;
в - общий объем жидкости в поглотительном приборе, мл;
V - объем воздуха, л.
Например: Объем воздуха, взятого на анализ в процедурной рентгеновского кабинета, V = 5 л. Общий объем жидкости в поглотительных приборах в = 12 мл. Количество двуокиси азота в первом и втором поглотительных приборах, найденное по калибровочному графику, составило: а = 0,8 мкг и а = 0,4 мкг. Подставляя эти величины в формулу, получаем:

.
Итак, концентрация двуокиси азота в воздухе процедурной рентгеновского кабинета равна 0,58 мг/м3, что значительно превышает ПДК в атмосферном воздухе для населенных мест.