Главная // Актуальные документы // Методические рекомендацииСПРАВКА
Источник публикации
М., 2017
Примечание к документу
Документ утратил силу в связи с изданием
Распоряжения Росавтодора от 05.05.2022 N 1414-р.
Документ рекомендован к применению с 15.05.2017
Распоряжением Росавтодора от 15.05.2017 N 943-р.
Название документа
"ОДМ 218.3.092-2017. Отраслевой дорожный методический документ. Методические рекомендации по измерению и прогнозу изменения температуры во времени и по глубине дорожной одежды с учетом ее конструктивных особенностей"
(издан на основании Распоряжения Федерального дорожного агентства от 15.05.2017 N 943-р)
"ОДМ 218.3.092-2017. Отраслевой дорожный методический документ. Методические рекомендации по измерению и прогнозу изменения температуры во времени и по глубине дорожной одежды с учетом ее конструктивных особенностей"
(издан на основании Распоряжения Федерального дорожного агентства от 15.05.2017 N 943-р)
дорожного агентства
от 15 мая 2017 г. N 943-р
ОТРАСЛЕВОЙ ДОРОЖНЫЙ МЕТОДИЧЕСКИЙ ДОКУМЕНТ
МЕТОДИЧЕСКИЕ РЕКОМЕНДАЦИИ
ПО ИЗМЕРЕНИЮ И ПРОГНОЗУ ИЗМЕНЕНИЯ ТЕМПЕРАТУРЫ
ВО ВРЕМЕНИ И ПО ГЛУБИНЕ ДОРОЖНОЙ ОДЕЖДЫ
С УЧЕТОМ ЕЕ КОНСТРУКТИВНЫХ ОСОБЕННОСТЕЙ
ОДМ 218.3.092-2017
1 РАЗРАБОТАН ООО "СПбГАСУ-Дорсервис"
2 ВНЕСЕН Управлением научно-технических исследований и информационного обеспечения Федерального дорожного агентства.
3 ИЗДАН на основании
распоряжения Федерального дорожного агентства от 15.05.2017 N 943-р.
4 ИМЕЕТ РЕКОМЕНДАТЕЛЬНЫЙ ХАРАКТЕР.
5 ВВЕДЕН ВПЕРВЫЕ.
Настоящий отраслевой дорожный методический документ (далее - методический документ) определяет методические рекомендации по измерению и прогнозу изменения температуры во времени и по глубине дорожной одежды для учета дополнительных параметров, оказывающих влияние на качество проектирования дорожных одежд, обработку результатов обследования дорожных конструкций с целью оценки их прочности для конкретных условий дорожно-климатического зонирования.
В рекомендациях уделено внимание обеспечению надежной эксплуатации уже существующей сети автомобильных дорог.
Применение методических рекомендаций в практике дорожного хозяйства позволит использовать дополнительные параметры, оказывающие влияние на качество проектирования дорожных одежд с обеспечением направленности на увеличение межремонтных сроков до 12 лет.
В настоящем методическом документе использованы нормативные ссылки и следующие документы:
СП 34.13330.2012 Автомобильные дороги. Актуализированная редакция СНиП 2.05.02-85. М., 2013.
СП 78.13330.2012 Автомобильные дороги. Актуализированная редакция СНиП 3.06.03-85. М., 2013.
ГОСТ 9128-2013 Смеси асфальтобетонные, полимерасфальтобетонные, асфальтобетон, полимерасфальтобетон для автомобильных дорог и аэродромов. Технические условия.
В настоящем методическом документе применены следующие термины с соответствующими определениями:
3.1 деформация поверхности проезжей части: плавное искажение поперечного профиля покрытия, локализованное вдоль полос наката. Наличие излишка вяжущего на поверхности покрытия с изменением текстуры и цвета покрытия, наличие на покрытии дорожной одежды трещин произвольного очертания и расположения, а также деформационных швов, не заполненных мастикой, разрушение покрытия в виде углублений разной формы с резко выраженными краями, выступы лишнего материала или углубления (ямы) относительно поверхности покрытия в местах заделки выбоин.
3.2 коэффициент прочности: отношение допускаемого при нагружении прогиба к фактическому либо измеренного модуля упругости к требуемому.
3.3 коэффициент теплопроводности: способность к теплообмену между более нагретыми слоями дорожной одежды к менее нагретым.
3.4 коэффициент температуропроводности: физическая величина, характеризующая скорость изменения (выравнивания) температуры в неравновесных тепловых процессах.
3.5 коэффициент теплоусвоения: способность дорожной одежды воспринимать теплоту при колебании температуры на ее поверхности.
3.6 объемная теплоемкость: способность данного объема данного конкретного вещества увеличивать свою внутреннюю энергию при изменении температуры вещества.
3.7 прогнозирование изменения температуры покрытия: научное исследование конкретных перспектив дальнейшего изменения температуры покрытия автомобильной дороги.
3.8 покрытие: верхняя часть дорожной одежды, устраиваемая на дорожном основании и предназначенная для восприятия нагрузки от транспортных средств и защиты дорожной одежды от атмосферных воздействий.
3.9 расчетный период года: наиболее неблагоприятный для дорожной одежды период года (обычно весенний), когда вследствие разуплотнения при оттаивании и переувлажнения грунта земляного полотна дорожная одежда работает с максимальными прогибами.
3.10 синусоида колебания среднемесячных температур: плоская кривая, отображающая на графике изменение средних температур месяцев.
3.11 температурный режим дорожных одежд: показатели температуры различных дорожных одежд.
3.12 тепловая инерция: способность к сопротивлению изменениям температуры за определенное время.
4. Обозначения и сокращения

- коэффициент теплопроводности;

- коэффициент температуропроводности;

- коэффициент теплоусвоения;
b - тепловая инерция;

- максимальная плотность теплового потока;

- объемная теплоемкость.
5. Рекомендации по измерению температуры
во времени и по глубине дорожной одежды
5.1 Информация о температуре дорожного покрытия требуется для оценки прогиба дорожного покрытия, для обоснованного подбора битума с деформативными свойствами, соответствующими реальным температурным условиям работы покрытий, а также для того, чтобы оценить устойчивость дорожного покрытия к образованию трещин и колеи в холодный период года.
5.2 При повышении температуры в соответствии с
ОДН 218.1.052-2002 [1], наблюдается значительное снижение модуля упругости материалов, выполненных с применением органических вяжущих. В процессе эксплуатации необходимо регистрировать в каждом конструктивном слое дорожной одежды и грунте земляного полотна накопление остаточных деформаций под воздействием реальных динамических нагрузок и погодно-климатических факторов.
5.2.1 Конструкция измерительных устройств (зондов) для гарантии их бесперебойной работы в течение длительного срока должна соответствовать следующим требованиям:
- устойчивость в тяжелых условиях эксплуатации (ударное воздействие автотранспорта, вибрация, сезонное колебание температуры в широком диапазоне, влажность);
- обеспечение возможности поэтапного монтажа устройств (зондов) параллельно с возведением земляного полотна и устройством конструктивных слоев дорожной одежды, без нарушения технологии строительства;
- оказание минимального влияния на напряженно-деформированное состояние дорожной конструкции;
- обеспечение считывания информации в максимально короткие сроки;
- обеспечение возможности отслеживания общих вертикальных перемещений устройств (зондов), в том числе и геодезическими методами;
- обеспечение высокой точности измерений (не менее 0,1 мм).
5.2.2 Принцип работы измерительных устройств (зондов) заключается в преобразовании уровня магнитного поля в электрический сигнал, который в свою очередь расшифровывается и отображается в виде относительных деформаций каждого конструктивного слоя дорожной одежды и грунта земляного полотна.
5.2.3 Технология установки измерительных устройств (зондов):
а. определение положения устройства (зонда) в плане;
б. бурение скважины специальным буром, обеспечивающим строго вертикальное положение скважины;
в. установка устройства (зонда) в скважину заподлицо с верхом насыпи;
г. распределение очередного слоя дорожной конструкции;
д. рытье лунки в распределенном слое до его уплотнения, подъем заглубленного устройства (зонда) на проектную толщину слоя в уплотненном состоянии с помощью специальной установки, контролирующей вертикальность зонда и высоту его подъема;
е. укладка межслойного металлического диска с магнитной сборкой;
ж. засыпка лунки материалом соответствующего слоя с последующим уплотнением.
Далее операции
г - ж повторяются циклически. Количество повторов зависит от количества слоев дорожной конструкции.
С помощью устройств (зондов) осуществляется мониторинг остаточных деформаций в элементах дорожных конструкций с целью уточнения фактического влияния каждого конструктивного слоя и грунта земляного полотна на общий объем необратимых деформаций с последующей разработкой (по мере накопления экспериментальных данных) предложений по уточнению расчета дорожных одежд под воздействием реальных динамических нагрузок и погодно-климатических факторов.
5.2.4 Абсолютные деформации слоев дорожной конструкции (в том числе и скрытые от визуального наблюдения) рассчитываются с использованием дополнительных данных (деформации поверхности проезжей части), полученных путем высокоточного нивелирования поверхности.
5.3 На дорогах высоких технических категорий информация о накоплении остаточных деформаций, о динамическом влиянии транспортных средств и изменении температурного режима должна накапливаться на долгосрочной беспрерывной основе всепогодного автоматического наблюдения за состоянием дорожных конструкций.
5.3.1 Для использования в информационно-измерительных системах неразрушающего контроля дорожных одежд рекомендуется применять методику, основанную на измерении (прогнозе изменения) температур на наружной и внутренней поверхности и измерении плотности теплового потока на наружной поверхности, что позволяет определять весь комплекс теплофизических свойств дорожной одежды: - коэффициент теплопроводности

; - коэффициент температуропроводности

; - коэффициент теплоусвоения

; - тепловую инерцию
b; - объемную теплоемкость

.
5.3.2 С этой целью используют переносной тепломер, устанавливают датчики температур и теплового потока, выполняют замеры плотности теплового потока на поверхности дорожной одежды в течение суток, а также температуры в отдельных слоях.
5.3.3 Датчики измерения температур должны иметь прочную и долговечную конструкцию. Сам измерительный датчик должен быть надежно предохранен защитным корпусом от прямых солнечных лучей, снега и дождевых брызг. Учитывая различия дорожно-климатического районирования РФ датчики должны быть адаптированы к условиям окружающей среды (например, экстремальный холод, жаркие климатические условия) и иметь диапазон измеряемых температур не менее минус 40 °C до плюс 50 °C. Предел допускаемой основной погрешности измерения температуры не должен превышать +/- 0,5 °C.
5.3.4 Для определения коэффициента теплопроводности

, объемной теплоемкости

и коэффициента температуропроводности

замеряется расстояние
B между датчиками температур. Датчиками температур замеряют температуры в течение суток. Далее замеряют плотность теплового потока в течение суток. Выявляют максимальную плотность теплового потока

и для этого периода времени определяют разность температур между внутренней
Tп1 и наружной
Tп2 поверхностью.
Используя закон теплопроводности Фурье, определяют коэффициент теплопроводности по формуле:

(5.1)
Максимальную амплитуду колебаний температурной полуволны на наружной поверхности определяют по формуле:

(5.2)
где

,

- максимальная и минимальная температуры на наружной поверхности по амплитуде колебаний в течение суток.
Коэффициент теплоусвоения определяют по формуле:

(5.3)
Для практического применения коэффициент теплоусвоения:

(5.4)
где

- объемная теплоемкость материала;

- частота колебаний температуры; z - полный период колебаний температурной волны.
Коэффициент температуропроводности,

определяют из соотношения:

(5.5)
Термическое сопротивление теплопроводности определяют из выражения:

(5.6)
Тепловую инерцию рассчитывают по формуле:

(5.7)
Полный период колебаний температуры на наружной поверхности
z составляет 24 ч. Объемную теплоемкость

определяют из выражения:

(5.8)
Измерения температур для расчета полного комплекса теплофизических свойств производятся на поверхности дорожной одежды без нарушения целостности и эксплуатационных характеристик материалов дорожной конструкции.
По результатам замеров строится график изменения температуры во времени и по глубине дорожной одежды в зависимости от температуры воздуха.
5.4 В соответствии с требованиями
ОДМ 218.2.024-2012 [2], при корректировке по температуре проводят измерения прогиба и температуры поверхности покрытия для различных периодов времени в течение суток.
Измерения температуры поверхности покрытия в этом случае (в полевых условиях) проводят по оси дороги и вдоль кромки проезжей части.
5.4.1 Для этих целей применяют ртутные термометры с пределами измерений от -10 °C до +60 °C, поверхностные термометры с пределом измерений от -10 °C до +60 °C, стеклянные термометры со шкалой деления до +70 °C с точностью +/- 0,5 °C, полупроводниковые диоды с точностью показаний +/- 0,1 °C, а также датчики температуры поверхности и грунта.
Датчики температуры поверхности и грунта должны позволять измерение температуры как на поверхности покрытия, так и по глубине дорожной одежды (не менее 50 мм). Важными требованиями при использовании датчиков температуры являются: диапазон их непрерывной работы (не менее 30 000 часов), диапазон измерения температуры (-50 °C до +50 °C), предел допускаемой основной погрешности измерения температуры (+/- 0,3 °C).
6. Рекомендации по прогнозированию изменения температуры
во времени и по глубине дорожной одежды
6.1 При проектировании и строительстве дорожных одежд с увеличенным межремонтным сроком службы необходимо соблюдать все основные принципы и правила
ОДН 218.046-01 [3], а также, для учета дополнительных параметров, оказывающих влияние на качество проектирования дорожных одежд, положения настоящих методических рекомендаций.
6.2 Для уточнения значений по требованиям
ОДН 218.046-01 [3], следует осуществить прогноз средней температуры на заданный период работы дорожной одежды с учетом годовых и суточных изменений солнечного излучения для различных дорожно-климатических зон (ДКЗ).
Для точного прогноза рассчитывают синусоиду колебания среднемесячных температур воздуха за период 365 дней по реальным данными метеослужб в заданной ДКЗ (значения температуры берут по журналу ТМ-I в ближайшей гидрометеостанции на 4.00 и 16.00 часов каждого дня) по средней температуре за 20 предыдущих лет и используют при прогнозировании.
При отсутствии информации для прогнозного расчета можно использовать данные таблицы 1:
Таблица 1
День |
ДКЗ | Январь | Февраль | Март | Апрель | Май | Июнь | Июль | Август | Сентябрь | Октябрь | Ноябрь | Декабрь |
1 | -35 | -30 | -15 | -5 | 15 | 20 | 25 | 20 | 10 | -5 | -20 | -30 |
2 | -5 | -5 | 0 | 10 | 20 | 25 | 25 | 25 | 15 | 10 | 5 | -5 |
3 | -15 | -10 | -5 | 10 | 20 | 25 | 25 | 25 | 15 | 5 | -5 | -10 |
4 | 5 | 5 | 10 | 20 | 25 | 30 | 30 | 30 | 25 | 15 | 10 | 5 |
5 | 0 | 0 | 5 | 20 | 25 | 30 | 35 | 35 | 25 | 15 | 10 | 0 |
Ночь |
ДКЗ | Январь | Февраль | Март | Апрель | Май | Июнь | Июль | Август | Сентябрь | Октябрь | Ноябрь | Декабрь |
1 | -40 | -35 | -25 | -10 | 0 | 10 | 15 | 10 | 0 | -10 | -25 | -35 |
2 | -10 | -10 | -5 | 5 | 10 | 15 | 15 | 15 | 10 | 5 | 0 | -5 |
3 | -20 | -15 | -10 | 5 | 10 | 15 | 15 | 15 | 10 | 0 | -10 | -15 |
4 | 0 | 0 | 5 | 10 | 15 | 20 | 20 | 20 | 15 | 10 | 5 | 0 |
5 | -5 | -5 | 0 | 10 | 15 | 20 | 25 | 25 | 15 | 10 | 5 | 0 |
6.2.1 Помимо среднемесячной температуры, при проектировании осуществляют прогнозы средней температуры на определенный день. Пример см.
Приложение А.
| | ИС МЕГАНОРМ: примечание. В официальном тексте документа, видимо, допущена опечатка: имеется в виду пункт [3] Библиографии, а не пункт [1]. | |
6.2.2 В соответствии с требованиями
п. 3.10 ОДН 218.046-01
[1], для расчета слоев асфальтобетонного покрытия на растяжение при изгибе, по синусоиде колебания среднемесячных температур, определяют низкие весенние температуры, в соответствии с которыми принимают его характеристики (расчетные значения модуля упругости асфальтобетона при расчете на длительную нагрузку). При расчете слоев из слабосвязных материалов, а также грунта на сопротивление сдвигу, по синусоиде колебания среднемесячных температур, определяют весенние повышенные температуры и принимают значения модуля упругости асфальтобетонного покрытия (нормативные значения кратковременного модуля упругости асфальтобетонов различных составов).
6.3 На предварительном этапе проектирования состава асфальтобетонной смеси для обоснованного подбора битума следует исходить из реальных, либо расчетных данных по температуре поверхности дорожного покрытия в зависимости от температуры воздуха для различных ДКЗ:
tп = 1.017 * tв + 1.593, (6.1)
где:
tп = температура поверхности дорожного покрытия (°C);
tв = температура воздуха (°C).
6.4 Прогнозирование изменения температуры покрытия, с учетом регулярных суточных изменений, следует производить на основе периодических суточных и годовых изменений температуры для различных ДКЗ (Использовать графики на
рис. N 1 -
10).
Для прогноза используются следующие данные:
tпл = температура поверхности в теплое время года;
tпх = температура поверхности в холодное время года;
tсут = час суток;
PN = порядковый номер дня выполнения измерений. Порядковый номер первого дня в году 1, последнего - 365;
tв = температуру воздуха.
6.4.1 При этом отдельно прогнозируется температура поверхности дорожного покрытия за период с 31 марта по 15 октября (теплое время года), и отдельно прогнозируется температура поверхности дорожного покрытия за период с 16 октября по 30 марта (холодное время года).
На рисунках N 1 -
5 представлены теоретические зависимости температуры поверхности дорожного покрытия от температуры воздуха в теплое время года для различных ДКЗ.
Рисунок 1 - Температура поверхности
дорожного покрытия в теплое время года
для I ДКЗ
Рисунок 2 - Температура поверхности
дорожного покрытия в теплое время года
для II ДКЗ
Рисунок 3 - Температура поверхности
дорожного покрытия в теплое время года
для III ДКЗ
Рисунок 4 - Температура поверхности
дорожного покрытия в теплое время года
для IV ДКЗ
Рисунок 5 - Температура поверхности
дорожного покрытия в теплое время года
для V ДКЗ
На рисунках N 6 -
10 представлены теоретические зависимости температуры поверхности дорожного покрытия от температуры воздуха в холодное время года для различных ДКЗ.
Рисунок 6 - Температура поверхности
дорожного покрытия в холодное время года
для I ДКЗ
Рисунок 7 - Температура поверхности
дорожного покрытия в холодное время года
для II ДКЗ
Рисунок 8 - Температура поверхности
дорожного покрытия в холодное время года
для III ДКЗ
Рисунок 9 - Температура поверхности
дорожного покрытия в холодное время года
для IV ДКЗ
Рисунок 10 - Температура поверхности
дорожного покрытия в холодное время года
для V ДКЗ
6.4.2 Прогнозируемая температура поверхности покрытия учитывается при расчетах прочностных и эксплуатационных характеристик дорожной одежды.
6.5 Опираясь на прогнозируемые температуры поверхности дорожного покрытия определяют и прогнозируют средние температуры слоя дорожного покрытия, периодов, используемых при расчетах дорожной одежды для различных ДКЗ (Использовать графики на рис. N 11 -
15).
6.5.1 На рисунках N 11 -
15 представлены теоретические зависимости средней температуры слоя дорожного покрытия от температуры поверхности дорожного покрытия в теплое и холодное время года для различных ДКЗ.
Рисунок 11 - Средняя температура слоя дорожного покрытия
для I ДКЗ
Рисунок 12 - Средняя температура слоя дорожного покрытия
для II ДКЗ
Рисунок 13 - Средняя температура слоя дорожного покрытия
для III ДКЗ
Рисунок 14 - Средняя температура слоя дорожного покрытия
для IV ДКЗ
Рисунок 15 - Средняя температура слоя дорожного покрытия
для V ДКЗ
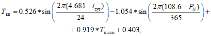
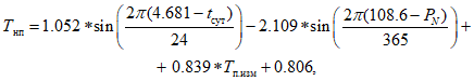
6.6 Для прогнозирования средних температур на верхней и нижней границах покрытия определяются показатели исходя из измеренных значений температуры поверхности покрытия по формулам (6.2 - 6.3):

(6.2)

(6.3)
где: Tвп - температура верхней поверхности покрытия (прогнозируемая);
Tнп - температура нижней поверхности покрытия (прогнозируемая);
Tп.изм - температура поверхности покрытия (измеренная);
tсут - час суток;
PN - номер даты.
6.7 При отсутствии данных по измеренным значениям температуры поверхности покрытия для прогнозирования средних температур на верхней границе покрытия принимаются значения по таблице 2.
Таблица 2
Месяц | I ДКЗ | II ДКЗ | III ДКЗ | IV ДКЗ | V ДКЗ |
4:00 | 16:00 | 4:00 | 16:00 | 4:00 | 16:00 | 4:00 | 16:00 | 4:00 | 16:00 |
Январь | -36,4 | -31,8 | -8,8 | -4,2 | -18,0 | -13,4 | 0,4 | 4,9 | -4,2 | 0,3 |
Февраль | -31,8 | -27,2 | -8,8 | -4,2 | -13,4 | -8,8 | 0,4 | 5,0 | -4,2 | 0,4 |
Март | -22,6 | -13,4 | -4,2 | 0,4 | -8,8 | -4,2 | 5,0 | 9,6 | 0,4 | 5,0 |
Апрель | -8,8 | -4,2 | 5,0 | 9,6 | 5,0 | 9,6 | 9,6 | 18,8 | 9,6 | 18,8 |
Май | 0,4 | 14,2 | 9,6 | 18,8 | 9,6 | 18,8 | 14,2 | 23,4 | 14,2 | 23,4 |
Июнь | 9,6 | 18,8 | 14,2 | 23,4 | 14,2 | 23,4 | 18,8 | 28,0 | 18,8 | 28,0 |
Июль | 14,2 | 23,4 | 14,2 | 23,4 | 14,2 | 23,4 | 18,8 | 28,0 | 23,4 | 32,6 |
Август | 9,6 | 18,8 | 14,2 | 23,4 | 14,2 | 23,4 | 18,8 | 28,0 | 23,4 | 32,6 |
Сентябрь | 0,5 | 9,6 | 9,6 | 14,2 | 9,6 | 14,2 | 14,2 | 23,4 | 14,2 | 23,4 |
Октябрь | -8,7 | -4,1 | 5,1 | 9,6 | 0,5 | 5,0 | 9,7 | 14,2 | 9,7 | 14,2 |
Ноябрь | -22,5 | -17,9 | 0,5 | 5,0 | -8,7 | -4,2 | 5,1 | 9,6 | 5,1 | 9,6 |
Декабрь | -31,7 | -27,1 | -4,1 | -4,1 | -13,3 | -8,7 | 0,5 | 5,0 | 0,5 | 0,5 |
При отсутствии данных по измеренным значениям температуры поверхности покрытия для прогнозирования средних температур на нижней границе покрытия принимаются значения по таблице 3.
Таблица 3
Месяц | I ДКЗ | II ДКЗ | III ДКЗ | IV ДКЗ | V ДКЗ |
4:00 | 16:00 | 4:00 | 16:00 | 4:00 | 16:00 | 4:00 | 16:00 | 4:00 | 16:00 |
Январь | -32,8 | -28,7 | -7,6 | -3,5 | -16,0 | -11,9 | 0,8 | 4,9 | -3,4 | 0,7 |
Февраль | -28,6 | -24,5 | -7,6 | -3,5 | -11,8 | -7,7 | 0,8 | 4,9 | -3,4 | 0,7 |
Март | -20,2 | -11,9 | -3,4 | 0,7 | -7,6 | -3,5 | 5,0 | 9,1 | 0,8 | 4,9 |
Апрель | -7,6 | -3,4 | 5,0 | 9,1 | 5,0 | 9,1 | 9,2 | 17,5 | 9,2 | 17,5 |
Май | 0,8 | 13,4 | 9,2 | 17,5 | 9,2 | 17,5 | 13,4 | 21,7 | 13,4 | 21,7 |
Июнь | 9,2 | 17,6 | 13,4 | 21,8 | 13,4 | 21,8 | 17,6 | 26,0 | 17,6 | 26,0 |
Июль | 13,5 | 21,8 | 13,5 | 21,8 | 13,5 | 21,8 | 17,6 | 26,0 | 21,8 | 30,2 |
Август | 9,3 | 17,6 | 13,5 | 21,8 | 13,5 | 21,8 | 17,7 | 26,0 | 21,9 | 30,2 |
Сентябрь | 0,9 | 9,2 | 9,3 | 13,4 | 9,3 | 13,4 | 13,5 | 21,8 | 13,5 | 21,8 |
Октябрь | -7,5 | -3,3 | 5,1 | 9,3 | 0,9 | 5,1 | 9,3 | 13,5 | 9,3 | 13,5 |
Ноябрь | -20,0 | -15,9 | 0,9 | 5,1 | -7,4 | -3,3 | 5,1 | 9,3 | 5,1 | 9,3 |
Декабрь | -28,4 | -24,3 | -3,2 | -3,3 | -11,6 | -7,5 | 1,0 | 5,1 | 1,0 | 0,9 |
СРЕДНЕЧАСОВЫЕ ЗНАЧЕНИЯ ТЕМПЕРАТУРЫ ВОЗДУХА ПО МЕСЯЦАМ
(ПРИМЕР ПРЕДСТАВЛЕНИЯ)
| Январь | Февраль | Март | Апрель | Май | Июнь | Июль | Август | Сентябрь | Октябрь | Ноябрь | Декабрь |
0:00 | -12,9 | -11,5 | -4,3 | 1,1 | 2,3 | 7,5 | 13 | 8,4 | 6,8 | 3 | -2,9 | -9,4 |
1:00 | -12,9 | -11,7 | -4,7 | 0,7 | 1,3 | 6,8 | 12,5 | 8,1 | 6,5 | 2,9 | -2,9 | -9,6 |
2:00 | -12,7 | -11,9 | -5,1 | 0,3 | 0,6 | 6,6 | 12,1 | 7,7 | 6,3 | 2,9 | -3 | -9,8 |
3:00 | -12,6 | -12 | -5,2 | -0,1 | 0,2 | 7,7 | 11,9 | 7,5 | 6,2 | 2,9 | -3 | -9,9 |
4:00 | -12,6 | -11,9 | -5,3 | -0,3 | 0,8 | 8,7 | 12,7 | 7,5 | 6 | 3 | -2,9 | -9,9 |
5:00 | -12,6 | -11,9 | -5,3 | -0,2 | 2,4 | 10,1 | 13,8 | 8,4 | 5,9 | 3 | -3 | -10 |
6:00 | -12,5 | -11,9 | -5,3 | 0,7 | 4,5 | 11,1 | 14,7 | 9,9 | 6,3 | 3 | -3,1 | -10,1 |
7:00 | -12,5 | -11,8 | -5,1 | 2,3 | 6,5 | 12,2 | 15,8 | 11,5 | 7,7 | 3,1 | -3,2 | -10,2 |
8:00 | -12,5 | -11,6 | -4,4 | 3,9 | 8,2 | 12,5 | 17 | 12,8 | 9,3 | 3,6 | -3,3 | -10,4 |
9:00 | -12,6 | -11 | -3,3 | 5,5 | 9,3 | 12,9 | 17,6 | 13,8 | 11 | 4,3 | -3,1 | -10,7 |
10:00 | -12,4 | -9,5 | -2,1 | 6,7 | 9,7 | 13,3 | 18 | 14,7 | 12 | 5 | -2,6 | -10,8 |
11:00 | -11,7 | -8,2 | -0,9 | 7,4 | 10,3 | 13,4 | 18,9 | 15,2 | 13,4 | 5,7 | -2,2 | -10,3 |
12:00 | -11,2 | -7,6 | 0,1 | 7,9 | 10 | 13,3 | 19,5 | 15,4 | 14 | 6,1 | -2 | -10,1 |
13:00 | -11,2 | -7,1 | 0,7 | 8,1 | 10,2 | 13,1 | 19,8 | 15,6 | 14,4 | 6,3 | -2 | -10,1 |
14:00 | -11,4 | -6,9 | 0,8 | 8,2 | 9,9 | 13,3 | 20,4 | 17,1 | 14,5 | 6,3 | -2,3 | -10,4 |
15:00 | -12 | -7,1 | 0,8 | 8 | 9,5 | 13,6 | 20,2 | 15,7 | 14,4 | 6,2 | 2,6 | -10,1 |
16:00 | -12,5 | -7,7 | 0,4 | 7,9 | 9,4 | 12,8 | 19,8 | 15,6 | 14 | 5,8 | -2,9 | -10,2 |
17:00 | -12,6 | -8,5 | -0,4 | 7,5 | 9,1 | 13,2 | 19,2 | 15,4 | 12,8 | 5,1 | -3,1 | -10 |
18:00 | -12,7 | -8,9 | -1,6 | 6,7 | 8,5 | 12,8 | 18,5 | 14,7 | 11 | 4,4 | -3,3 | -9,8 |
19:00 | -12,8 | -9,3 | -2,4 | 5,5 | 7,9 | 11,6 | 18,1 | 13,7 | 9,3 | 4 | -3,4 | -9,7 |
20:00 | -12,9 | -9,7 | -2,8 | 4,1 | 6,7 | 11,8 | 16,9 | 11,8 | 8,2 | 3,7 | -3,3 | -9,6 |
21:00 | -12,9 | -10,2 | -3,2 | 3,2 | 5 | 10,9 | 15,6 | 10,2 | 7,5 | 3,6 | -3,3 | -9,5 |
22:00 | -12,9 | -10,5 | -3,5 | 2,4 | 3,6 | 9,4 | 14,7 | 9,5 | 7,1 | 3,4 | -3,2 | -9,9 |
23:00 | -13 | -10,9 | -3,6 | 1,7 | 3,4 | 8,9 | 13,6 | 8,8 | 7 | 3,3 | -3,2 | -9,9 |
[2]
ОДМ 218.2.024-2012 Методические рекомендации по оценке прочности нежестких дорожных одежд.
Руководитель
организации-разработчика
ООО "СПбГАСУ-Дорсервис"
Генеральный директор,
доцент, к.э.н.
Е.Е.МЕДРЕС
СОИСПОЛНИТЕЛИ
Руководитель
организации-соисполнителя
АО "Петербург-Дорсервис"
Генеральный директор
И.А.ПИЧУГОВ
Руководитель
организации-соисполнителя
ООО "ФиннДорсервис"
Генеральный директор
С.Н.РОМАНОВ