Главная // Актуальные документы // Методические рекомендацииСПРАВКА
Источник публикации
М., 2019
Примечание к документу
Документ рекомендован к применению с 11.06.2019
Распоряжением Росавтодора от 11.06.2019 N 1428-р.
Название документа
"ОДМ 218.2.100-2019. Отраслевой дорожный методический документ. Методические рекомендации по определению расчетной величины санитарных разрывов между автомобильной дорогой и жилой застройкой при проектировании автомобильных дорог"
(издан на основании Распоряжения Росавтодора от 11.06.2019 N 1428-р)
"ОДМ 218.2.100-2019. Отраслевой дорожный методический документ. Методические рекомендации по определению расчетной величины санитарных разрывов между автомобильной дорогой и жилой застройкой при проектировании автомобильных дорог"
(издан на основании Распоряжения Росавтодора от 11.06.2019 N 1428-р)
дорожного агентства
от 11 июня 2019 г. N 1428-р
ОТРАСЛЕВОЙ ДОРОЖНЫЙ МЕТОДИЧЕСКИЙ ДОКУМЕНТ
МЕТОДИЧЕСКИЕ РЕКОМЕНДАЦИИ
ПО ОПРЕДЕЛЕНИЮ РАСЧЕТНОЙ ВЕЛИЧИНЫ САНИТАРНЫХ РАЗРЫВОВ
МЕЖДУ АВТОМОБИЛЬНОЙ ДОРОГОЙ И ЖИЛОЙ ЗАСТРОЙКОЙ
ПРИ ПРОЕКТИРОВАНИИ АВТОМОБИЛЬНЫХ ДОРОГ
ОДМ 218.2.100-2019
1 РАЗРАБОТАН Федеральным автономным учреждением "Российский дорожный научно-исследовательский институт" (ФАУ "РОСДОРНИИ") Министерства транспорта Российской Федерации
2 ВНЕСЕН Управлением строительства и эксплуатации автомобильных дорог Федерального дорожного агентства.
3 ИЗДАН на основании
распоряжения Федерального дорожного агентства от 11.06.2019 N 1428-р
4 ИМЕЕТ РЕКОМЕНДАТЕЛЬНЫЙ ХАРАКТЕР
5 ВВЕДЕН ВПЕРВЫЕ
1.1 Настоящий отраслевой дорожный методический документ содержит рекомендации по определению расчетной величины санитарных разрывов между автомобильной дорогой <1> и жилой застройкой, а также другими нормируемыми объектами при проектировании автомобильных дорог и направлен на снижение негативного воздействия автомобильных дорог на окружающую среду и улучшение качества жизни населения, проживающего на прилегающих к дороге территориях.
--------------------------------
<1> В соответствии с
п. 2.6 СанПиН 2.2.1/2.1.1.1200-03
[2] требования по установлению и расчету санитарных разрывов устанавливаются в отношении автомагистралей.
В отношении других классов и категорий автомобильных дорог расчет санитарных разрывов может проводиться при включении техническим заказчиком (застройщиком) данного требования в задание на проектирование автомобильной дороги.
Исходя из сказанного, здесь и далее по тексту вместо термина "автомагистраль" используется термин "автомобильная дорога".
1.2 Расчет санитарных разрывов для автомобильных дорог выполняется, если:
- автомобильная дорога относится к автомагистралям;
- в задании на проектирование автомобильной дороги, не относящейся к автомагистрали, установлено требование по расчету санитарных разрывов.
При отсутствии установленного расчетного санитарного разрыва его роль выполняет расстояние от бровки земляного полотна до линии застройки населенного пункта, установленное в соответствии с генеральным планом застройки населенных пунктов, а при отсутствии такого плана - расстояние до жилой застройки, установленное в соответствии с требованиями
СП 34.13330.2012 "Свод правил. Автомобильные дороги. Актуализированная редакция СНиП 2.05.02-85*" и
СП 42.13330.2016 "Свод правил. Градостроительство. Планировка и застройка городских и сельских поселений. Актуализированная редакция СНиП 2.07.01-89*".
Установленное расстояние до жилой застройки, при отсутствии расчетного санитарного разрыва, проверяется только на акустическое воздействие и при необходимости проектируются шумозащитные экраны.
1.3 Положения настоящего методического документа предназначены для применения проектными организациями, выполняющими работы по проектированию автомобильных дорог. Методические рекомендации разработаны ФАУ "РОСДОРНИИ" Бобковым А.В., Мазеповой В.И., Морозовой Г.Ю., Бобковой О.А., Линьковой Ю.С.
В настоящем ОДМ применены следующие термины с соответствующими определениями:
2.1 загрязняющее вещество: Вещество или смесь веществ, количество и (или) концентрация которых превышает установленные для химических веществ, в том числе радиоактивных, иных веществ и микроорганизмов нормативы, и которые оказывают негативное воздействие на окружающую среду.
2.2 линейный источник: Источник, выбрасывающий загрязняющее вещество по установленной линии (автомобильная дорога).
2.3 нормируемый объект: Объект, для которого устанавливается предельный уровень неблагоприятного экологического воздействия в соответствии с действующими нормативными документами.
2.4 предельно допустимая концентрация (ПДК) веществ в компонентах окружающей среды: Концентрация, соблюдение которой обеспечивает отсутствие прямого или косвенного влияния на здоровье населения и условия проживания.
2.5 пробеговый выброс: Суммарная масса выбросов загрязняющих веществ автотранспортными средствами в атмосферный воздух при движении на участке дороги длиной в 1 километр.
2.6 расчетные точки: Точки, назначаемые для оценки соответствия величины расчетного значения загрязняющих веществ, уровней шума или других нормируемых показателей в жилой застройке или нормируемом объекте требованиям санитарных норм.
2.7 санитарный разрыв: Минимальное расстояние от автомобильной дороги (источника воздействия) до границы жилой застройки (нормируемого объекта), уменьшающее это воздействие до значений гигиенических нормативов.
2.8 фоновая концентрация: Концентрация загрязняющего вещества, которая содержится в приземном слое атмосферы без учета вклада источника или группы источников воздействия на окружающую среду.
3 Общие требования по охране окружающей среды при проектировании автомобильной дороги
Охрана окружающей среды при проектировании автомобильной дороги в Российской Федерации осуществляется в соответствии с требованиями Федерального
закона "Об охране окружающей среды"
[1], на основе следующих основных принципов:
- соблюдения права человека на благоприятную окружающую среду;
- обеспечения благоприятных условий жизнедеятельности человека;
- научно обоснованного сочетания экологических, экономических и социальных интересов человека, общества и государства в целях обеспечения устойчивого развития и благоприятной окружающей среды;
- охраны, воспроизводства и рационального использования природных ресурсов как необходимых условий обеспечения благоприятной окружающей среды и экологической безопасности;
- платности природопользования и возмещения вреда окружающей среде;
- независимости контроля в области охраны окружающей среды;
- презумпции экологической опасности, планируемой хозяйственной и иной деятельности;
- обязательности оценки воздействия на окружающую среду при принятии решений об осуществлении хозяйственной и иной деятельности;
- учета природных и социально-экономических особенностей территорий при планировании и осуществлении хозяйственной и иной деятельности;
- приоритетности сохранения естественных экологических систем, природных ландшафтов и природных комплексов;
- допустимости воздействия хозяйственной и иной деятельности на природную среду, исходя из требований в области охраны окружающей среды;
- обеспечения снижения негативного воздействия хозяйственной и иной деятельности на окружающую среду в соответствии с нормативами в области охраны окружающей среды, которого можно достигнуть на основе использования наилучших доступных технологий с учетом экономических и социальных факторов;
- сохранения биологического разнообразия;
- запрещения хозяйственной и иной деятельности, последствия воздействия которой непредсказуемы для окружающей среды, а также реализации проектов, которые могут привести к деградации естественных экологических систем, изменению и (или) уничтожению генетического фонда растений, животных и других организмов, истощению природных ресурсов и иным негативным изменениям окружающей среды;
- соблюдения права каждого на получение достоверной информации о состоянии окружающей среды, а также участие граждан в принятии решений, касающихся их прав на благоприятную окружающую среду, в соответствии с законодательством;
- ответственности за нарушение законодательства в области охраны окружающей среды.
Эксплуатируемая автомобильная дорога влияет на окружающую среду в непосредственной близости от места ее прохождения. Чем выше категория автомобильной дороги и интенсивность движения на ней, тем выше влияние.
В соответствии со
статьей 22 Федерального закона "Об охране окружающей среды"
[1] нормативы допустимых выбросов, нормативы допустимых сбросов определяются для стационарного источника и (или) совокупности стационарных источников в отношении загрязняющих веществ, включенных в перечень загрязняющих веществ, установленный Правительством Российской Федерации.
Нормативы допустимых выбросов и сбросов от передвижных источников (автотранспорт, перемещающийся по автомобильным дорогам, относится к передвижным источникам) не определяются.
Для сохранения на территории жилой застройки или другого нормируемого объекта уровня экологического воздействия, не превышающего санитарные нормы, между автомагистралью и жилой застройкой или нормируемым объектом устанавливаются в соответствии с требованиями
СанПиН 2.2.1/2.1.1.1200-03 [2] минимальные расстояния (санитарные разрывы).
Величина разрыва устанавливается на основании расчетов загрязнений атмосферного воздуха и физических факторов, воздействующих на атмосферный воздух.
В качестве санитарных разрывов принимаются расстояния, уменьшающие экологическое загрязнение атмосферного воздуха, а также снижающие уровень шума до значений гигиенических нормативов.
Санитарный разрыв имеет режим санитарно-защитной зоны, но не требует разработки проекта его организации.
Санитарные разрывы рассчитываются не на всем протяжении границы охраняемого объекта, а лишь в тех случаях, когда рядом расположена жилая застройка или нормируемый объект.
Размеры санитарного разрыва устанавливаются от проезжей части автомобильной дороги.
Для проведения расчетов санитарных разрывов используются нормативные методы оценки загрязнения атмосферы и разработанные на их основе программные продукты, согласованные в установленном порядке.
Размеры санитарных разрывов могут быть уменьшены при реализации мероприятий, ослабляющих неблагоприятное экологическое воздействие.
Расчет санитарного разрыва рекомендуется проводить:
- для автомобильных дорог при скоростях движения - 90 км/час;
- для скоростных участков дорог - 110 км/час;
- в населенных пунктах - 60 км/час.
Главным фактором воздействия автомобильной дороги на атмосферный воздух служат отработавшие газы от проезжающих автомобилей. Степень загрязнения атмосферного воздуха определяется величиной пробегового выброса автомобиля, интенсивностью движения и скоростью движения автотранспортного средства (АТС).
Пробеговые выбросы зависят от удельных выбросов загрязняющих веществ, экологического класса АТС и вида используемого топлива.
При расчете санитарных разрывов в соответствии с требованиями
закона "Об охране атмосферного воздуха", не допускается превышение нормативов качества атмосферного воздуха населенных мест, а также должен учитываться имеющийся фоновый уровень загрязнения атмосферы.
За нормативы качества атмосферного воздуха принимаются требования
СанПиН 2.1.6.1032-01 "Гигиенические требования к обеспечению качества атмосферного воздуха населенных мест"
[3].
| | ИС МЕГАНОРМ: примечание. В официальном тексте документа, видимо, допущена опечатка: ГН 2.1.6.1338-03 имеют название "Предельно допустимые концентрации (ПДК) загрязняющих веществ в атмосферном воздухе населенных мест". | |
При определении ПДК (предельно допустимых концентраций) загрязняющих веществ, принимающих участие в проведении расчета загрязнения воздуха от автомобильной дороги, следует руководствоваться
ГН 2.1.6.1338-03 "Предельно допустимые концентрации (ПДК) загрязняющих веществ"
[4],
ГН 2.1.6.1339-03 "Ориентировочные безопасные уровни воздействия (ОБУВ) загрязняющих веществ в атмосферном воздухе населенных мест"
[5].
Расчет ведется по среднесуточной предельно допустимой концентрации, мг/м3.
Автомобильный транспорт оказывает неблагоприятное акустическое воздействие. Шум, создаваемый движущимися автомобилями, является частью шума транспортного потока. В общем случае наибольший шум создается грузовыми автомобилями.
Снижение шумового воздействия до нормируемых параметров является обязательным при расчете санитарных разрывов автомобильных дорог.
Уровень шума от транспортных потоков зависит от следующих параметров:
- часовой пиковой интенсивности движения АТС;
- состава АТС;
- скорости АТС;
- типа дорожного покрытия;
- типа подстилающей поверхности между автомобильной дорогой и жилой застройкой или нормируемым объектом;
- продольного уклона дороги;
- ширины разделительной полосы;
- экранирующих препятствий (рельефа местности, откосов насыпей и выемок, наличия лесопосадочной полосы и прочих сооружений);
- шумозащитных экранов.
Допустимые значения уровней шума на территории, непосредственно прилегающей к жилой застройке или другому нормируемому объекту, регламентируются санитарными нормами
СН 2.2.4/2.1.8.562-96 [6]: днем с 7
00 до 23
00 ч и ночью с 23
00 до 7
00 ч.
Определение шумовой характеристики транспортного потока от автомобильных дорог рекомендуется выполнять в соответствии с
ОДМ 218.2.013-2011 [7].
Водные объекты, их прибрежные полосы входят в перечень объектов с нормируемыми требованиями к качеству окружающей среды.
Расчет санитарных разрывов осуществляется в соответствии с требованиями по охране водных объектов. Величина санитарного разрыва должна обеспечивать размещение требуемых очистных сооружений и инженерных коммуникаций по подведению загрязненного стока на очистку и сброса очищенного стока из очистных сооружений.
Водоотвод и очистка поверхностных стоков с участков автомобильных дорог на подходах к мосту, самом мосту в водоохранной зоне и прибрежной защитной полосе выполняется с целью защиты водных объектов от загрязнений.
При проектировании и строительстве очистных сооружений следует применять простейшие очистные сооружения по
ОДМ 218.8.005-2014 [8].
При невозможности очистить загрязненный сток простейшими очистными сооружениями следует применять пруды-отстойники каскадного типа или гидроботанические площадки по
ОДМ 218.8.005-2014 [8].
В исключительных случаях, при невозможности размещения в полосе отвода прудов-отстойников каскадного типа или гидроботанических площадок, применяются другие очистные сооружения: сборные модульного типа, модульные станции полной заводской готовности и т.д. в соответствии с
ОДМ 218.8.005-2014 [8].
Систему организации поверхностного водоотвода с участков автомобильных дорог на подходах к мосту, с самого моста в водоохранной зоне и прибрежной защитной полосе выбирают индивидуально, применительно к конструктивным особенностям очистного сооружения.
На очистные сооружения должна отводиться наиболее загрязненная часть поверхностного стока, которая образуется в периоды выпадения дождей, таяния снега и от мойки дорожных покрытий, в количестве не менее 70% годового объема стока.
4 Порядок расчета санитарного разрыва по критерию качества атмосферного воздуха
При расчете и установлении величины санитарного разрыва по критерию качества атмосферного воздуха на период разработки и утверждения расчетных методик для автомобильных дорог рекомендуется руководствоваться следующими документами:
- расчетная инструкция (методика) по инвентаризации выбросов загрязняющих веществ автотранспортными средствами в атмосферный воздух
[9];
- методика расчета выбросов в атмосферу загрязняющих веществ автотранспортом на городских магистралях
[10];
-
рекомендации по учету требований по охране окружающей среды при проектировании автомобильных дорог и мостовых переходов
[11].
Допускается применять:
- программные продукты, разработанные для расчета валовых выбросов загрязняющих веществ на дорогах общего пользования и городских улицах и согласованные в установленном порядке для применения на автомобильных дорогах и городских улицах;
- программные продукты, разработанные для построения графиков распределения загрязняющих веществ в придорожной полосе от транспортных потоков на дорогах общего пользования и городских улицах и согласованные в установленном порядке для применения на дорогах общего пользования или городских улицах.
Расчет рекомендуется выполнять для следующих загрязняющих веществ, выбрасываемых автомобилями с отработавшими газами:
- CO (Углерод оксид), код 0337;
- VOC (углеводороды в пересчете на CH1,85), код 2754;
- NOx (оксиды азота в пересчете на NO2), код 0301;
- PM (твердые частицы в пересчете на Углерод), код 0328;
- SO2 (Серы диоксид), код 0330.
Оценку уровня загрязнения воздушной среды указанными отработавшими газами следует производить на основе прогнозов, полученных по результатам расчетов.
Расчет основан на поэтапном определении эмиссии (выбросов) отработавших газов и концентрации загрязняющих веществ на различном удалении от дороги и затем - сравнении полученных данных с предельно допустимыми концентрациями (ПДК) загрязняющих веществ в атмосферном воздухе жилой застройки или другого нормируемого объекта.
Расчет рекомендуется выполнять по "Расчетной инструкции (методике) по инвентаризации выбросов загрязняющих веществ автотранспортными средствами в атмосферный воздух"
[9]. Методика согласована Федеральной службой по экологическому, технологическому и атомному надзору.
Методика включает в себя усредненные удельные показатели выбросов загрязняющих веществ для экологических классов автотранспортных средств (АТС) от ЕВРО-0 до ЕВРО-3 и выше.
При выполнении расчетов загрязнения атмосферного воздуха на расчетный год рекомендуется учитывать повышение экологических классов автомобилей и увеличение доли автотранспортных средств с ЕВРО-4, ЕВРО-5 и выше в расчетном году по сравнению с существующим транспортным потоком.
При выполнении расчетов выбросов загрязняющих веществ от транспортного потока на автомобильной дороге транспортный поток делится на следующие типы автомобилей (исходя из имеющихся удельных показателей выбросов, методика
[9]):
- легковые автомобили;
- грузовые автомобили и автобусы полной массой до 3500 кг;
- грузовые автомобили и автобусы полной массой более 3500 кг;
- автобусы полной массой более 3500 кг.
Кроме этого, транспортный поток делятся на подтипы в зависимости от вида используемого топлива.
Для установления величины санитарного разрыва между автомобильной дорогой и жилой застройкой или нормируемыми объектами следует использовать усредненные удельные показатели выбросов автотранспорта, приведенные в методике
[9].
При наличии на автомобильной дороге регулируемых или нерегулируемых перекрестков, при установлении выбросов от транспортного потока в таких местах рекомендуется дополнительно руководствоваться "Методикой расчета выбросов в атмосферу загрязняющих веществ автотранспортом на городских магистралях"
[10].
Удельные выбросы загрязняющих веществ, представленные в методике
[9], определены для автомобильных дорог для скоростей движения 90 и 110 км/час и городского движения.
Выброс i-го загрязняющего вещества от движения всех типов АТС на участке автомобильной дороги рекомендуется определять по формуле (1):

, (1)
где q - мощность эмиссии в воздушную среду i-го вещества на конкретном участке дороги, г/м·с;
m
i - удельные показатели выбросов
i-го вещества при пробеге на отрезке дороги в 1 км (г/км) для выделенного типа автомобиля в зависимости от вида используемого топлива; принимаются по методике
[9];
2,78 x 10-7 - коэффициент перехода к принятым единицам измерения;
Ni - расчетная пиковая перспективная интенсивность движения каждого выделенного типа автомобиля в зависимости от вида используемого топлива (авт./ч).
При переходе от суточной интенсивности движения к расчетной часовой интенсивности, авт./ч, рекомендуется использовать формулу (2):
Ni = 0,076 x Nсут. (2)
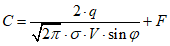
При расчете рассеивания выбросов от автотранспорта и определения концентрации загрязняющих веществ на различном удалении от дороги рекомендуется использовать модель Гауссового распределения примесей в атмосфере на небольших высотах.
Концентрация загрязнений атмосферного воздуха вдоль автомобильной дороги определяется по формуле (3) (
Рекомендации [11]):

, (3)
где C - концентрация данного вида загрязнения в воздухе, г/м3;

- стандартное отклонение Гауссового рассеивания в вертикальном направлении, м (принимается по
таблице 1 или в соответствии с "
Рекомендациями по учету требований по охране окружающей среды при проектировании автомобильных дорог и мостовых переходов");
V - скорость ветра, преобладающего в расчетный месяц летнего периода, м/с;

- угол, составляемый направлением ветра к трассе дороги; при угле от 90° до 30° скорость ветра следует умножать на синус угла, при угле менее 30° - коэффициент 0,5;
F - фоновая концентрация загрязнения воздуха, г/м3.
Таблица 1
Стандартное отклонение Гауссового рассеивания
при удалении от кромки проезжей части
Приходящая солнечная радиация <*> | Значения стандартного Гауссового отклонения  при удалении от кромки проезжей части, в метрах |
10 | 20 | 40 | 60 | 80 | 100 | 150 | 200 | 250 |
Сильная | 2 | 4 | 6 | 8 | 10 | 13 | 19 | 24 | 30 |
Слабая | 1 | 2 | 4 | 6 | 8 | 10 | 14 | 18 | 22 |
<*> Сильная солнечная радиация соответствует солнечной ясной погоде, слабая - пасмурной (в т.ч. дождливой). Величина должна приниматься в расчетный период наибольшей интенсивности движения (летний период). Уровень солнечной радиации принимается в зависимости от того, какая погода превалирует в расчетный месяц. |
Необходимые исходные данные для расчета загрязняющих веществ на различном расстоянии от источника воздействия представлены в таблице 2.
Таблица 2
Исходные данные для расчета загрязняющих веществ
Исходные данные | Параметры для проведения рассеивания |
Картографический материал | План автомобильной дороги с проектными решениями, жилыми и другими нормируемыми объектами (существующими и проектируемыми) в соответствии с генеральными планами городских и сельских поселений (в масштабе) |
Расчетные параметры | Состав транспортного потока Суточная интенсивность движения Направление участка дороги Роза ветров Скорость ветра в расчетный период Угол, составляемый направлением ветра к трассе дороги (из розы ветров) Фоновые концентрации загрязняющих веществ в воздухе Расстояния от источника шума до границ жилых и нормируемых объектов |
По полученным результатам строится график загрязнения отработавшими газами придорожной зоны, сопоставляется с предельно допустимыми концентрациями (ПДКс.с.), установленными в атмосферном воздухе населенных мест или других нормируемых объектов, и определяется величина санитарного разрыва. Пример расчета представлен в
приложении Г.
При необходимости уменьшения величины санитарного разрыва следует предусматривать на рассматриваемом участке дороги реализацию экологических мероприятий.
Допускается проведение расчета выбросов загрязняющих веществ и рассеивания загрязняющих веществ в атмосферном воздухе от автомобильных дорог с использованием автоматизированных программ, разработанных для автомобильных дорог и согласованных в установленном порядке.
5 Порядок расчета санитарного разрыва по шумовым характеристикам
При расчете санитарного разрыва по шумовым характеристикам от автомобильных дорог оценку ожидаемых уровней звука проводят на основании акустических расчетов.
Величину санитарного разрыва определяют в результате сопоставления расчетных уровней звука в расчетной точке с требованиями Санитарных норм
СН 2.2.4/2.1.8.562-96 [6].
Шумовыми характеристиками источников внешнего шума являются: для транспортных потоков на улицах и автомобильных дорогах - эквивалентный уровень звука, LAэкв7,5 (дБA), и максимальный уровень звука, дБA, на расстоянии 7,5 м от оси первой полосы движения.
Эквивалентный уровень звука L
Aэкв7,5 на расстоянии 7,5 м от оси первой полосы движения рекомендуется рассчитывать по
ОДМ 218.2.013-2011 [7] по формуле (4):

, (4)
где

- расчетное значение эквивалентного уровня звука транспортного потока на расстоянии 7,5 м от оси ближайшей полосы движения и на высоте 1,5 м над уровнем проезжей части. Определяется в зависимости от интенсивности движения по
формуле (4) или
таблице Б.1 приложения Б (прямой горизонтальный участок дороги, мелкозернистое асфальтобетонное покрытие проезжей части в составе транспортного потока 40% грузовых автомобилей и автобусов).
Рассчитывается величина LAтрп7,5 по формуле (5), результат следует округлять с точностью до 0,5 дБA:

, (5)
где N - расчетная интенсивность движения, авт./ч,

- поправка, дБA, учитывающая грузовые автомобили и автобусы в составе транспортного потока. Определяется по
таблице Б.2 приложения Б (к грузовым относят автомобили, масса которых составляет более 3500 кг);

- поправка, дБA, учитывающая среднюю скорость движения; определяется по
таблице Б.3 приложения Б;

- поправка, дБA, учитывающая величину продольного уклона; определяется по
таблице Б.4 приложения Б;

- поправка, дБA, учитывающая тип покрытия проезжей части дороги; определяется по
таблице Б.5 приложения Б;

- поправка, дБA, учитывающая ширину центральной разделительной полосы; определяется по
таблице Б.6 приложения Б;

- поправка, дБA, учитывающая наличие пересечения автомобильной дороги.
При наличии пересечений со светофорным регулированием поправка определяется по
таблице Б.7 приложения Б. В случае нерегулируемого пересечения определяется в соответствии с ОДМ 218.2.013-2011
(подраздел 6.5) [7].
При переходе от суточной интенсивности движения к расчетной часовой интенсивности движения, авт./ч, в дневной или ночной периоды времени рекомендуется использоваться формулами (6) и
(7):
Nд = 0,076 x Nсут, (6)
где Nд - расчетная интенсивность движения, авт./ч, за час наиболее интенсивного движения в дневное время (с 700 до 2300);
Nн - расчетная интенсивность движения, авт./ч, за час наиболее интенсивного движения в ночное время (с 2300 до 700);
Nсут - среднегодовая суточная интенсивность движения на рассматриваемом участке, авт./сут.
За расчетное значение эквивалентного уровня звука принимается наибольшее по результатам расчета в дневное и ночное время шумовых характеристик транспортного потока.
Максимальный уровень звука L
Aмак7,5 на расстоянии 7,5 м от оси первой полосы движения рекомендуется рассчитывать по
ОДМ 218.2.013-2011 [7] или по формуле (8):

, (8)
где

- максимальный уровень звука принимают в соответствии с ОДМ 218.2.013-2011
(подраздел 6.6) при установленной скорости движения.
Ожидаемый эквивалентный уровень звука L
AэквРТ в расчетных точках, которые выбираются в соответствии с требованиями
СП 51.13330.2011 [12], рекомендуется рассчитывать по
ОДМ 218.2.013-2011 или по формуле (9):

(9)
где

- снижение уровня звука транспортного потока, дБA, в зависимости от расстояния до расчетной точки, определяется по ОДМ 218.2.013-2011
(пункт 7.2.2);

- снижение уровня звука, дБA, вследствие его затухания в воздухе; определяется по ОДМ 218.2.013-2011
(пункт 7.2.3);

- поправка, учитывающая влияние турбулентности воздуха и ветра на процесс распространения звука, дБA; определяется по ОДМ 218.2.013-2011
(пункт 7.2.4);

- снижение уровня звука, дБA, вследствие его поглощения поверхностью территории; определяется по ОДМ 218.2.013-2011
(пункт 7.2.5);

- снижение уровня звука, дБA, полосами зеленых насаждений; определяется по ОДМ 218.2.013-2011
(пункт 7.2.6);

- снижение уровня звука, дБA, существующими шумозащитными сооружениями на пути звуковых лучей от автомобильной дороги к расчетной точке; определяется по ОДМ 218.2.013-2011
(подраздел 11.4);

- снижение уровня звука, дБA, существующими экранирующими препятствиями (зданиями, насыпями, холмами, выемками, и т.п.) на пути звуковых лучей от автомобильной дороги к расчетной точке; определяется по ОДМ 218.2.013-2011
(подраздел 11.4);

- поправка, дБA, учитывающая влияние придорожной застройки; определяется по ОДМ 218.2.013-2011
(пункт 7.2.7);

- поправка, дБA, учитывающая отражение звука от ограждающих конструкций зданий (обычно принимают равной минус 3 дБA);

- поправка, дБA, учитывающая снижение уровня звука вследствие ограничения угла видимости

улицы (дороги) из расчетной точки; определяется по ОДМ 218.2.013-2011
(пункт 7.2.8).
Ожидаемый максимальный уровень звука L
AмаксРТ в расчетной точке рекомендуется рассчитывать по
ОДМ 218.2.013-2011 или по формуле (10):

(10)
При необходимости уменьшения величины санитарного разрыва следует предусматривать на рассматриваемом участке дороги реализацию экологических мероприятий.
Допускается задание шумовых характеристик транспортного потока на основе натурных измерений.
За величину санитарного разрыва принимается расстояние, на котором уровень шума достигает ПДУ (предельно допустимого уровня) для соответствующего типа нормируемых объектов. Пример расчета представлен в
приложении Г.
Исходные данные, которые необходимы для расчета шума, представлены в таблице 3.
Таблица 3
Исходные данные, необходимые для расчета шума
Исходные данные | Параметры для проведения расчета шума |
Картографический материал | План автомобильной дороги с проектными решениями, жилыми и другими нормируемыми объектами (существующими и проектируемыми) в соответствии с генеральными планами городских и сельских поселений (в масштабе) Ширина автомобильной дороги (количество полос и ширина разделительной полосы) Шумозащитные экраны Прочие ограждения вдоль дороги Зеленые насаждения Тип поверхности между дорогой и жилыми и нормируемыми объектами Тип покрытия дороги Граница жилой застройки |
Расчетные параметры | Состав транспортного потока Суточная интенсивность движения Скорость движения транспортного потока Высота автомобильной дороги Ширина разделительной полосы Высота шумозащитных экранов (существующих (если имеются) и проектируемых) Прочие экранирующие ограждения вдоль дороги Ширина полосы лесонасаждений Постоянная затухания звука в зеленых насаждения (если известна) Тип дорожного покрытия Тип поверхности между дорогой и жилыми и нормируемыми объектами Продольный уклон Расстояние от источника шума до расчетных точек на границах жилых или нормируемых объектов |
Полученные результаты сопоставляются с нормативными значениями для жилых и нормируемых объектов в соответствии с
СН 2.2.4/2.1.8.562-96 [6] или
приложением В. Величина санитарного разрыва принимается равной расстоянию, на котором достигаются установленные нормативы.
При необходимости уменьшения величины санитарного разрыва следует предусматривать на рассматриваемом участке дороги реализацию экологических мероприятий.
Допускается проведение расчета эквивалентного и максимального уровней звука от автомобильных дорог с использованием автоматизированных программ, разработанных для автомобильных дорог и согласованных в установленном порядке.
6 Учет других параметров при расчете санитарного разрыва
Водные объекты, их прибрежные полосы и водоохранные зоны входят в перечень объектов с нормируемыми требованиями к качеству окружающей среды.
Расчет санитарных разрывов, влияющих на состояние водных объектов, осуществляется в соответствии с требованиями по охране водных объектов.
При этом должны обеспечиваться:
- порядок использования и охраны водных объектов;
- стандарты, нормативы и правила использования и охраны водных объектов;
- установленные режимы использования территории водоохранных зон и прибрежных полос;
- иные требования, вытекающие из особенностей ландшафтного комплекса размещения автомобильной дороги или мостового сооружения.
Основным методом удаления поверхностного стока с автомобильных дорог в водоохранных зонах должна являться организация естественного стока без предварительного сбора воды. Дождевая вода должна просачивается в грунт или стекать по поверхности.
Предпосылкой для такого удаления поверхностного стока является следующее:
- имеются большие площади без твердого покрытия и почва достаточно проницаема, чтобы принять поверхностные воды естественным способом, без риска затопления;
- имеется естественный водоприемник (например, низины, канавы и водоемы), через которые могут стекать поверхностные дорожные воды.
Вода с поверхности дорог отводится на возможно более широкую площадь или вводится во многих местах в желоба и канавы. Если поступление превышает инфильтрационную емкость почв, то поверхностную дорожную воду можно кратковременно накапливать.
Инфильтрация поверхностных дорожных вод в почву также является их обработкой и очисткой.
Цель обработки считается достигнутой, если в результате отвода дорожных вод по широкой поверхности и инфильтрации на откосах дорог, канавах и желобах не создается поверхностный сток, который нужно отводить.
При таком удалении поверхностного стока с автомобильных дорог можно отказаться от очистки стока в дождевом отстойнике.
При невозможности организовать естественный или распределенный сток с поверхности дороги должен быть организован сбор сточных вод с дальнейшим направлением их на очистные сооружения, что является одним из важных вопросов охраны водных объектов.
Основными загрязняющими веществами от автомобильной дороги и проезжающего автотранспорта являются нефтепродукты и взвешенные вещества.
В соответствии с "Методическими
рекомендациями по содержанию очистных сооружений на автомобильных дорогах"
[8] отвод воды с поверхности мостов возможен либо вдоль тротуаров (устройство водосборных лотков), либо с помощью устройства выпусков с проезжей части в водоотводные трубки. В случае отвода поверхностного стока в ливневую канализацию применяют дождеприемные колодцы.
Для очистки сточных вод с участков автомобильных дорог на подходах к мосту, на самом мосту в водоохранной зоне и прибрежной защитной полосе рекомендуется применять простейшие очистные сооружения либо, при невозможности очистки такими сооружениями загрязненного стока, устраивают пруды-отстойники каскадного типа или гидроботанические площадки
[8].
Величина санитарного разрыва должна обеспечивать размещение требуемых очистных сооружений и инженерных коммуникаций по подведению загрязненного стока на очистку и сброса очищенного стока из очистных сооружений.
Выбор схемы отведения и тип используемого очистного сооружения для очистки поверхностного стока определяют согласно
ОДМ 218.8.005-2014 [8].
Необходимо учитывать, что нормативы допустимых сбросов от передвижных источников (автотранспорт, перемещающийся по автомобильным дорогам, относится к передвижным источникам) не определяются.
Требования к качеству сточных вод рыбохозяйственного водопользования регламентируются "
Нормативами качества воды водных объектов рыбохозяйственного значения"
[16] и "Методическими
указаниям по разработке нормативов качества воды водных объектов рыбохозяйственного значения"
[17].
Рекультивационные работы и благоустройство территории, ее озеленение играют важную роль в установлении размера санитарного разрыва и увеличивают или уменьшают ее величину и должны быть учтены при определении размера санитарного разрыва.
При расчете санитарных разрывов следует предусматривать сохранение существующих зеленых насаждений.
Растения, используемые для озеленения вдоль автомобильных дорог, должны быть эффективными в снижении шумового загрязнения и достаточно устойчивыми к загрязнению атмосферы и почв.
Необходимо учитывать, что озеленение автомобильных дорог помимо шумозащитных функций и функций по ограничению распространения вредных выбросов в зимний период играет роль снегозадерживающих насаждений вдоль автомобильных дорог.
Снижение уровня звука происходит:
- вследствие его поглощения поверхностью территории санитарного разрыва;
- устройства полос зеленых насаждений в пределах санитарного разрыва;
- экранирования насыпей, холмов, выемок, и т.п. на пути звуковых лучей от автомобильной дороги к расчетной точке.
7 Определение границы санитарного разрыва по совокупности факторов воздействия автомобильной дороги на окружающую среду
Для установления величины санитарного разрыва по совокупности вредных факторов используют показатель наибольшего удаления пофакторных границ. Для этого необходимо:
а) провести расчеты загрязняющих веществ по всем вышерассмотренным критериям (воздух, шум, размещение очистных сооружений);
б) на общий картографический материал необходимо:
1) нанести источник негативного воздействия на окружающую среду (участок автомобильной дороги);
2) нанести близлежащие к автомобильной дороге жилые и нормируемые объекты;
3) по максимально удаленным пофакторным границам (где уровень неблагоприятного воздействия не превышает установленные нормативы, т.е. должен составлять не более 1 ПДК по воздуху для жилой застройки или другого значения для нормируемого объекта и ПДУ по шуму, при необходимости должны быть учтены возможности размещения очистных сооружений и коммуникаций, подводящих загрязненный сток и отвод очищенного стока) установить величину санитарного разрыва (рисунок 1).
Рисунок 1 - Величина санитарного разрыва по совокупности
критериев неблагоприятного воздействия на окружающую среду,
жилые и другие нормируемые объекты
СРЕДНЕСУТОЧНЫЕ ПРЕДЕЛЬНО ДОПУСТИМЫЕ КОНЦЕНТРАЦИИ
ЗАГРЯЗНЯЮЩИХ ВЕЩЕСТВ В АТМОСФЕРНОМ ВОЗДУХЕ
НАСЕЛЕННЫХ ПУНКТОВ. ИЗВЛЕЧЕНИЕ [4]
Таблица А.1
Нормативы качества атмосферного воздуха населенных пунктов
N п/п | Наименование вещества | ПДКс.с., мг/м3 | Класс опасности |
1 | Азота оксиды | 0,04 | 3 |
2 | РМ | 0,05 | 3 |
3 | Сера диоксид (Ангидрид сернистый) | 0,05 | 3 |
4 | Углерода оксид | 3,00 | 4 |
5 | Углеводороды предельные C12 - C19 (в пересчете на суммарный органический углерод) | | 4 |
<*> ПДК с.с. для бензина, т.к. для керосина отсутствует класс опасности. |
ПОПРАВКИ, УЧИТЫВАЕМЫЕ ПРИ РАСЧЕТЕ ЭКВИВАЛЕНТНОГО УРОВНЯ
ЗВУКА ТРАНСПОРТНОГО ПОТОКА. ИЗВЛЕЧЕНИЕ [7]
Таблица Б.1
Расчетные значения эквивалентного
уровня звука транспортного потока LAтрп7,5
Интенсивность движения N, авт./ч | Расчетное значение эквивалентного уровня звука LAтрп7,5, дБA | Интенсивность движения N, авт./ч | Расчетное значение эквивалентного уровня звука LAтрп7,5, дБA |
50 | 65 | 880 | 76 |
60 | 66 | 1150 | 77 |
80 | 67 | 1650 | 78 |
100 | 68 | 2400 | 79 |
140 | 69 | 3000 | 80 |
170 | 70 | 4000 | 82 |
230 | 71 | 5000 | 83 |
300 | 72 | 6000 | 83 |
400 | 73 | 7000 | 84 |
500 | 74 | 8000 | 84 |
660 | 75 | свыше 9000 | 85 |
Примечание - При промежуточных значениях интенсивности движения потока эквивалентный уровень звука LAтрп7,5 определяется интерполированием. |
Таблица Б.2
Поправка, учитывающая долю грузовых
автомобилей и автобусов в составе потока
Доля грузовых автомобилей и автобусов в составе потока, % | < 5 | 5 - 20 | 20 - 35 | 35 - 50 | 50 - 60 | 65 - 85 | 85 - 100 |
Поправка  , дБA | -3,0 | -2,0 | -1,0 | 0,0 | +1,0 | +2,0 | +3,0 |
Таблица Б.3
Поправка, учитывающая отличие фактической скорости
движения транспортного потока от скорости
движения соответствующей интенсивности движения
Скорость движения, км/час | -20 | -17 | -12 | -7 | +7 | +15 | +20 |
Поправка  , дБA | -3,5 | -3,0 | -2,0 | -2,0 | +1,0 | +2,0 | +2,5 |
Таблица Б.4
Поправка, учитывающая величину продольного уклона
Доля грузовых автомобилей и автобусов в составе транспортного потока, % | < 25 | 25 - 50 | 50 - 85 | 85 - 100 |
Поправка  , дБA | при уклоне 2% | +2,0 | +2,0 | +3,0 | +3,0 |
при уклоне 4% | +2,0 | +3,0 | +4,0 | +5,0 |
Таблица Б.5
Поправка, учитывающая тип покрытия проезжей части
Тип покрытия проезжей части | Доля легковых автомобилей в потоке, % | Поправка,  , дБA |
Шероховатая поверхностная обработка | Менее 10 | 0,0 |
10 - 30 | +0,5 |
30 - 55 | +1,0 |
55 - 75 | +2,0 |
75 - 90 | +3,0 |
90 - 100 | +4,0 |
Асфальтобетон | Менее 15 | 0,0 |
15 - 45 | +0,5 |
45 - 65 | +1,0 |
65 - 90 | +1,5 |
90 - 100 | +3,0 |
Щебеночно-мастичный асфальтобетон (ЩМА) | До 55 | -1,0 |
Свыше 55 | -2,0 |
Таблица Б.6
Поправка, учитывающая ширину
центральной разделительной полосы
Ширина центральной разделительной полосы, м | 2 и менее | 4 | 6 | 10 | 20 и более |
Поправка  , дБA | 0 | -0,5 | -0,75 | -1,0 | -1,5 |
Таблица Б.7
Поправка, учитывающая наличие регулируемого пересечения
Расстояние по оси проезжей части, м | Поправка  , дБA, при количестве грузовых автомобилей в составе транспортного потока |
10 | 20 | 40 | 60 | 80 |
до стоп-линии | 200 | 0,0 | 0,0 | 0,0 | 0,0 | 0,0 |
100 | 0,0 | 0,5 | 0,5 | 0,5 | 0,5 |
50 | 0,0 | 1,0 | 1,0 | 1,5 | 2,0 |
25 | 0,5 | 1,0 | 1,5 | 2,0 | 2,5 |
стоп-линия | 0 | 1,0 | 1,5 | 2,0 | 2,5 | 3,5 |
после стоп-линии | 25 | 0,5 | 1,5 | 2,0 | 3,0 | 3,5 |
50 | 0,5 | 1,0 | 2,0 | 3,0 | 3,5 |
100 | 0,0 | 0,5 | 1,0 | 2,0 | 2,5 |
150 | 0,0 | 0,0 | 0,0 | 0,5 | 1,0 |
200 | 0,0 | 0,0 | 0,0 | 0,0 | 0,0 |
Примечания 1 Поправка определена при 60% продолжительности разрешающей фазы в цикле работы светофора, увеличение продолжительности фазы до 80% уменьшит поправку на 0,5 дБA, уменьшение до 40% увеличит на 0,5 дБA. 2 В случае расположения светофорного объекта в системе координированного регулирования поправку уменьшают на 1,0 дБA. 3 Поправка не учитывает влияния интенсивности движения на пересечении, которая должна учитываться энергетическим сложением эквивалентных уровней звука от движения по каждому из направлений. |
ПРЕДЕЛЬНО ДОПУСТИМЫЕ УРОВНИ ЗВУКА
НА ТЕРРИТОРИИ НАСЕЛЕННЫХ ПУНКТОВ. ИЗВЛЕЧЕНИЕ [6]
Таблица В.1
Допустимые уровни звука
Назначение помещений или территорий | Уровни звукового давления, дБ в октавных полосах со среднегеометрическими частотами | Уровни звука, La (экв. УЗ Laэкв), дБA | Макс. уровень звука Laмакс, дБA |
31,5 | 63 | 125 | 250 | 500 | 1000 | 2000 | 4000 | 8000 |
Территории, непосредственно прилегающие к жилым зданиям | День (7.00 - 23.00 ч) | 90 | 75 | 66 | 59 | 54 | 50 | 47 | 45 | 44 | 55 | 70 |
Ночь (23.00 - 7.00 ч) | 83 | 67 | 57 | 49 | 44 | 40 | 37 | 35 | 33 | 45 | 60 |
Площадки отдыха на территории микрорайонов и групп жилых домов, домов отдыха, пансионатов, домов-интернатов для престарелых и инвалидов, площадки детских дошкольных учреждений, школ и др. учебных заведений | 83 | 67 | 57 | 49 | 44 | 40 | 37 | 35 | 33 | 45 | 60 |
Территории, непосредственно прилегающие к зданиям больниц и санаториев | День (7.00 - 23.00 ч) | 83 | 67 | 57 | 49 | 44 | 40 | 37 | 35 | 33 | 45 | 60 |
Ночь (23.00 - 7.00 ч) | 76 | 59 | 48 | 40 | 34 | 30 | 27 | 25 | 23 | 35 | 50 |
Территории, непосредственно прилегающие к зданиям гостиниц и общежитий | День (7.00 - 23.00 ч) | 93 | 79 | 70 | 63 | 59 | 55 | 53 | 51 | 49 | 60 | 75 |
Ночь (23.00 - 7.00 ч) | 86 | 71 | 61 | 54 | 49 | 45 | 42 | 40 | 39 | 50 | 65 |
Площадки отдыха на территории больниц и санаториев | 76 | 59 | 48 | 40 | 34 | 30 | 27 | 25 | 23 | 35 | 50 |
ПРИМЕР РАСЧЕТА ВЕЛИЧИНЫ САНИТАРНОГО РАЗРЫВА
Г.1 Расчет санитарного разрыва по критерию качества атмосферного воздуха
Исходные данные для расчета концентраций загрязняющих веществ:
- расчетный период - летний;
- суточная интенсивность движения N
сут. (представлена в
таблице Г.1);
- скорость ветра, преобладающего в расчетный период V = 4,7 м/с;
- угол, составляемый направлением ветра к трассе дороги

;
- F - фоновые концентрации веществ в воздухе, мг/м
3 (таблица Г.2).
Таблица Г.1
Суточная интенсивность движения различных типов автомобилей
Тип транспорта | Бензиновые | Дизельные |
Nсут, авт./сут | Nсут, авт./сут |
Легковые автомобили | 7000 | - |
Грузовые автомобили более 3,5 т | 5000 | 3000 |
Автобусы менее 7,5 т | 1200 | 800 |
Таблица Г.2
Фоновые концентрации загрязняющих
веществ в атмосферном воздухе, мг/м3
Загрязняющие вещества | F, мг/м3 | ПДКс.с., мг/м3 |
CO | 0,5 | 3 |
VOC | 0,2 | |
NOx | 0,01 | 0,04 |
PM | Данные по фоновым концентрациям отсутствуют | 0,05 |
SO2 | 0,05 |
<*> Принимаем ПДК с.с. для бензина в связи с отсутствием класса опасности для керосина. |
Г.1.1 Расчет мощности эмиссии отработавших газов
Расчет мощности эмиссии отработавших газов проводится по формуле (Г.1):

. (Г.1)
При переходе от суточной интенсивности движения к расчетной часовой интенсивности, авт./ч, рекомендуется использовать формулу (Г.2):
Ni = 0,076 x Nсут. (Г.2)
Расчеты представлены в таблице Г.3.
Таблица Г.3
Расчетная часовая интенсивность автомобилей Ni
Тип транспорта | Бензиновые | Дизельные |
Nсут, авт./сут | Ni | Nсут, авт./сут | Ni |
Легковые автомобили | 7000 | 532 | - | - |
Грузовые автомобили более 3,5 т | 5000 | 380 | 3000 | 228 |
Автобусы менее 7,5 т | 1200 | 91,2 | 800 | 60,8 |
Удельные выбросы загрязняющих веществ для соответствующего типа автомобилей, m
i, г/км, принимаются по методике
[9]. Для данных автомобилей удельные выбросы сведены в
таблицу Г.4.
Расчет ведется при скорости движения 90 км/час.
Таблица Г.4
Удельные выбросы загрязнителей для каждого типа автомобилей
Удельные показатели выбросов загрязняющих веществ, mi, г/км | Бензиновые | Карбюраторные |
CO | VOC | NOx | SO2 | CO | VOC | NOx | PM | SO2 |
Легковые автомобили | 3,0 | 0,18 | 0,8 | 0,023 | - | - | - | - | - |
Грузовые автомобили | 35,7 | 4,1 | 2,8 | 0,093 | 1,5 | 1,2 | 2,7 | 0,14 | 0,428 |
Автобусы | 43,2 | 4,0 | 4,5 | 0,107 | 1,7 | 1,7 | 5,3 | 0,12 | 0,475 |
Таблица Г.5
Мощность эмиссии отработавших газов в мг/м·с
Загрязняющие вещества | q, мг/м·с |
CO | 5,434122 |
VOC | 0,665956 |
NOx | 0,788919 |
PM | 0,010902 |
SO2 | 0,051096 |
Г.1.2 Расчет концентрации загрязняющего вещества на различном расстоянии от дороги
Расчет концентрации загрязняющего вещества на различном расстоянии от дороги проводится по формуле (Г.3):

, (Г.3)
где C - концентрация данного вида загрязняющего вещества, г/м3;

- стандартное отклонение Гауссового рассеивания в вертикальном направлении, м (принимаются в соответствии с
Рекомендациями [11]).
Расчеты сведены в таблицу Г.6.
Таблица Г.6
Результаты расчета концентраций загрязняющих веществ
R, м | 10 | 20 | 40 | 60 | 100 | 150 | 200 | 250 |
| 2 | 4 | 6 | 10 | 13 | 19 | 24 | 30 |
CO | 1,0326 | 0,7663 | 0,6775 | 0,6065 | 0,5819 | 0,5560 | 0,5443 | 0,53550 |
VOC | 0,2652 | 0,2326 | 0,2217 | 0,2130 | 0,2100 | 0,2068 | 0,2054 | 0,20435 |
NOx | 0,0873 | 0,0486 | 0,0357 | 0,0254 | 0,0218 | 0,0181 | 0,0164 | 0,01515 |
PM | 0,0010 | 0,0005 | 0,0003 | 0,0002 | 0,0001 | 0,0001 | 0,0000 | 0,00007 |
SO2 | 0,0050 | 0,0025 | 0,0016 | 0,0010 | 0,0007 | 0,0005 | 0,0004 | 0,00033 |
По полученным результатам (см.
таблицу Г.6) строятся графики рассеивания загрязняющих веществ в атмосферном воздухе в зависимости от расстояния от дороги (рисунок Г.1).
а) концентрация выбросов CO; б) концентрация выбросов VOC;
в) концентрация выбросов NOx; г) концентрации выбросов PM;
д) концентрация выбросов SO2
Рисунок Г.1 - Концентрации загрязняющих веществ
на различном расстоянии от кромки проезжей части
Вывод: на
рисунке Г.1 (в) видно, что концентрация NO
x превышает установленное значение ПДК
с.с. на расстоянии 45 м от автомобильной дороги. За величину санитарного разрыва по критерию качества атмосферного воздуха принимаем 45 м.
Г.2 Оценка шумового воздействия автомобильной дороги на прилегающую территорию
Исходными данными для расчета шума являются:
- суточная интенсивность движения - 17000 авт./сут;
- доля грузовых автомобилей в потоке - 47%;
- доля автобусов в потоке - 12%;
- доля легковых автомобилей - 41%;
- скорость движения транспортного потока - 90 км/ч;
- продольный уклон дороги - 2%;
- тип дорожного покрытия - асфальтобетон;
- ширина разделительной полосы - 1 м;
- тип покрытия между автомобильной дорогой и жилыми и нормируемыми объектами - газон;
- ширина полосы лесонасаждений B = 20 м;
- высота шумозащитного крана - 2 м (на расстоянии от дороги - 3 м);
- препятствий на пути распространения шума нет;
- наличие регулируемого пересечения;
- расстояние от акустического центра до расчетной точки
(таблица Г.7);
- высота источника шума Hиш = 1,5 м.
Таблица Г.7
Расстояние от акустического центра до расчетной точки
Расстояние от акуст. центра R, м до РТ | 10 | 20 | 40 | 60 | 100 | 150 | 200 | 250 |
Г.2.1 Приведение суточной интенсивности движения к расчетной часовой
Расчет проводится для дневного и ночного времени суток - формулы (Г.4) и
(Г.5):
Nдень = 0,076 x Nсут = 0,076 x 17000 = 1292 авт./ч, (Г.4)
N
ночь = 0,039 x N
сут = 0,039 x 17000 = 663 авт./ч. (Г.5)
Г.2.2 Расчет эквивалентного уровня звука на расстоянии 7,5 м от оси первой полосы движения
Для дневного времени суток - формула (Г.6):

(Г.6)
Для ночного времени суток - формула (Г.7):

(Г.7)
Расчет

проводим по формуле (Г.8) - дневное время и
формуле (Г.9) - ночное время:

, (Г.8)

. (Г.9)
Г.2.3 Ожидаемый эквивалентный уровень звука
в расчетных точках - формула (Г.10)

(Г.10)
2.3.1 Поправка на снижение уровня звука в зависимости от расстояния до расчетной точки рассчитывается по формуле (Г.11):

. (Г.11)
L определяем по формуле (Г.12):
L = 1,41R. (Г.12)
Г.2.3.2 Расчет снижения уровня шума, вследствие его затухания в воздухе - формула (Г.13)

, (Г.13)
где

- коэффициент поглощения звука в воздухе, дБA/км.
Г.2.3.3 Расчет поправки, учитывающей влияние турбулентности воздуха и ветра - формула (Г.14)

(Г.14)
где R - расстояние от акустического центра, м
Г.2.3.4 Расчет снижения уровня звука за счет поглощения поверхностью территории между автомобильной дорогой и жилыми или нормируемыми объектами - формулы (Г.15) и (Г.16)

, (Г.15)

, (Г.16)
где
d - расчетное расстояние:
d = 1,4
R; результаты расчета
d,

и

сведены в
таблицу Г.8;
HРТ - высота расчетной точки (принимается в соответствии с
12.5 СП 51.13330.2011
[12]).
Таблица Г.8
Расчет снижения уровня звука за счет
поглощения поверхностью территории
R, м | 10 | 20 | 40 | 60 | 100 | 150 | 200 | 250 |
d | 14 | 28 | 56 | 84 | 140 | 210 | 280 | 350 |
| 0,33115 | 0,66231 | 1,32463 | 1,98695 | 3,31159 | 4,96738 | 6,62318 | 8,27897 |
| -5,76245 | -2,15864 | 1,41983 | 3,47736 | 5,96929 | 7,77886 | 8,90504 | 9,65548 |
Г.2.3.5 Расчет снижения уровня шума за счет полос лесонасаждений - формула (Г.17)

. (Г.17)
Г.2.3.6 Расчет снижения шума за счет шумозащитных экранов - формула (Г.18)

, (Г.18)

. (Г.19)
Результаты расчета сведены в таблицу Г.9.
Таблица Г.9
Результаты расчета снижения шума за счет экранов
R, м | 10 | 20 | 40 | 60 | 100 | 150 | 200 | 250 |
a | 3,0414 | 3,0414 | 3,0414 | 3,0414 | 3,0414 | 3,0414 | 3,0414 | 3,0414 |
b | 7,0178 | 17,0074 | 37,0034 | 57,0022 | 97,0013 | 147,0009 | 197,0006 | 247,0005 |
c | 10 | 20 | 40 | 60 | 100 | 150 | 200 | 250 |
| 0,0592 | 0,0487 | 0,0448 | 0,0436 | 0,0427 | 0,0422 | 0,0420 | 0,0419 |
Г.2.3.7 Расчет поправки, учитывающей ограничение угла видимости - формула (Г.20)

, (Г.20)
| | ИС МЕГАНОРМ: примечание. В официальном тексте документа, видимо, допущена опечатка: п. 4.4.8 в ОДМ 218.2.013-2011 отсутствует. | |
где

- угол видимости проезжей части из расчетной точки (принимается в соответствии с пунктом 4.4.8
ОДМ 218.2.013-2011 [7]).
Таблица Г.10
Результаты расчета эквивалентного уровня шума
R, м | 10 | 20 | 40 | 60 | 100 | 150 | 200 | 250 |
| 2,1387 | 6,7196 | 10,5633 | 12,5954 | 15,0250 | 16,9190 | 18,1893 | 19,1886 |
| 0,05 | 0,1 | 0,2 | 0,3 | 0,5 | 0,75 | 1 | 1,25 |
| 0,0029 | 0,0119 | 0,0468 | 0,1021 | 0,2586 | 0,4963 | 0,7317 | 0,9375 |
| -5,7624 | -2,1586 | 1,4198 | 3,4774 | 5,9693 | 7,7789 | 8,9050 | 9,6555 |
| 9,6107 | 9,12990 | 8,9282 | 8,8656 | 8,8171 | 8,7933 | 8,7815 | 8,7745 |
| 1,6 |
| 0 |
| 0 |
| 3 |
| 0 |
| День | 62,0 | 57,8 | 54,1 | 52,0 | 49,2 | 46,9 | 45,3 | 43,9 |
Ночь | 59,4 | 55,2 | 51,5 | 49,4 | 46,6 | 44,3 | 42,7 | 41,3 |
Г.3 Расчет максимального уровня звука LAмак7,5 на расстоянии 7,5 м от оси
Расчет осуществляется по формуле (Г.21):

. (Г.21)
В результате расчета получаем:

.
По формуле (Г.22):

, (Г.22)
где

- максимальный уровень звука при скорости движения 50 км/час, дБA (принимается согласно
подразделу 6.6 ОДМ 218.2.013-2011
[7]).
Г.3.1 Ожидаемый максимальный уровень звука
в расчетных точках
Расчет осуществляется по формуле (Г.23):

(Г.23)
Результаты расчета сведены в таблицу Г.11.
Таблица Г.11
Результаты расчета максимального
уровня шума в расчетных точках
R, м | 10 | 20 | 40 | 60 | 100 | 150 | 200 | 250 |
| 72,8 | 68,6 | 64,9 | 62,8 | 60,0 | 57,7 | 56,1 | 54,7 |
То расстояние, на котором достигается нормативное значение по шуму, и принимается за величину санитарного разрыва.
По результатам расчета загрязняющих веществ в атмосферном воздухе ПДКС.С. по Диоксиду азота NOx достигается на расстоянии 45 м от автомобильной дороги. По расчету шума нормативные значения для дневного времени суток достигаются на расстоянии 150 м, для ночного времени суток на этом расстоянии имеются превышения. Для достижения нормативных значений необходимо разработать комплекс мероприятий, снижающих уровень звука до требуемых значений.
| | ИС МЕГАНОРМ: примечание. В официальном тексте документа, видимо, допущена опечатка: Федеральный закон N 7-ФЗ "Об охране окружающей среды" принят 10.01.2002, а не 10.01.2001. | |
|
[1] Об охране окружающей среды: федер. закон Рос. Федерации от 10.01.01 г. N 7-ФЗ: ред. от 13.07.2015 |
| Санитарно-защитные зоны и санитарная классификация предприятий, сооружений и иных объектов |
| Гигиенические требования к обеспечению качества атмосферного воздуха населенных мест |
| | ИС МЕГАНОРМ: примечание. В официальном тексте документа, видимо, допущена опечатка: ГН 2.1.6.1338-03 имеют название "Предельно допустимые концентрации (ПДК) загрязняющих веществ в атмосферном воздухе населенных мест". | |
|
| Предельно допустимые концентрации (ПДК) загрязняющих веществ |
| | ИС МЕГАНОРМ: примечание. В официальном тексте документа, видимо, допущена опечатка: ГН 2.1.6.1339-03 имеют название "Ориентировочные безопасные уровни воздействия (ОБУВ) загрязняющих веществ в атмосферном воздухе населенных мест". | |
|
| Ориентировочные безопасные уровни воздействия (ОБУВ) загрязняющих веществ в атмосферном воздухе |
| Шум на рабочих местах, в помещениях жилых, общественных зданий и на территории жилой застройки |
| Методические рекомендации по защите от транспортного шума территорий, прилегающих к автомобильным дорогам |
| Методические рекомендации по содержанию очистных сооружений на автомобильных дорогах |
[9] Расчетная инструкция (методика) по инвентаризации выбросов загрязняющих веществ автотранспортными средствами в атмосферный воздух. - НИИАТ, 2008 |
[10] Методика расчета выбросов в атмосферу загрязняющих веществ автотранспортом на городских магистралях. - НИИАТ, 1996 |
[11] Рекомендации по учету требований по охране окружающей среды при проектировании автомобильных дорог и мостовых переходов. - Минтранс, 1995 |
| Защита от шума. Актуализированная редакция СНиП 23-03-2003 |
| Водоотведение населенных мест, санитарная охрана водных объектов. Гигиенические требования к охране поверхностных вод. Санитарные правила и нормы: утверждены Главным государственным санитарным врачом Российской Федерации 22 июня 2000 г. |
| Предельно допустимые концентрации (ПДК) химических веществ в воде водных объектов хозяйственно-питьевого и культурно-бытового водопользования. Гигиенические нормативы: утв. Главным государственным санитарным врачом Российской Федерации 27 апреля 2003 г. |
| | ИС МЕГАНОРМ: примечание. В официальном тексте документа, видимо, допущена опечатка: ГН 2.1.5.2307-07 утверждены и введены в действие Постановлением Главного государственного санитарного врача РФ N 90 от 19.12.2007, а не от 19.02.2007. | |
|
| Ориентировочно допустимые уровни (ОДУ) химических веществ в воде водных объектов хозяйственно-питьевого и культурно-бытового водопользования. Гигиенические нормативы: утверждены и введены в действие Главным государственным санитарным врачом Российской Федерации 19 февраля 2007 г. |
[16] Нормативы качества воды водных объектов рыбохозяйственного значения, в том числе нормативы предельно допустимых концентраций вредных веществ в водах водных объектов рыбохозяйственного значения: утв. Приказом Росрыболовства от 18.01.2010 N 20, зарегистрировано в Минюсте Российской Федерации 9 февраля 2010 г. N 16326 |
[17] Методические указания по разработке нормативов качества воды водных объектов рыбохозяйственного значения, в том числе нормативов предельно допустимых концентраций вредных веществ в водах водных объектов рыбохозяйственного значения: утв. Приказом Росрыболовства от 04.08.2009 N 695, зарегистрировано в Минюсте Российской Федерации 3 сентября 2009 г. N 14702 |
| Методические рекомендации по озеленению автомобильных дорог |
| Рекомендации по проектированию лесных снегозадерживающих насаждений вдоль автомобильных дорог |
| Методы укрепления откосов земляного полотна автомобильных дорог засевом трав в различных климатических зонах. |
|
Ключевые слова: санитарный разрыв, автомобильная дорога, жилая застройка, охрана окружающей среды |
Руководитель организации-разработчика
ФАУ "РОСДОРНИИ"
Генеральный директор
А.П.ВАРЯТЧЕНКО
Руководитель разработки
Начальник отдела экологической
и эксплуатационной оценки объектов
дорожного хозяйства
А.В.БОБКОВ