Главная // Актуальные документы // Методические рекомендацииСПРАВКА
Источник публикации
Документ опубликован не был.
Примечание к документу
Название документа
"Методические рекомендации по технико-экономической оценке эффективности реконструкции жилых зданий и определению сроков окупаемости"
(утв. Приказом Госстроя РФ от 10.11.1998 N 8)
"Методические рекомендации по технико-экономической оценке эффективности реконструкции жилых зданий и определению сроков окупаемости"
(утв. Приказом Госстроя РФ от 10.11.1998 N 8)
от 10 ноября 1998 г. N 8
МЕТОДИЧЕСКИЕ РЕКОМЕНДАЦИИ
ПО ТЕХНИКО-ЭКОНОМИЧЕСКОЙ ОЦЕНКЕ ЭФФЕКТИВНОСТИ РЕКОНСТРУКЦИИ
ЖИЛЫХ ЗДАНИЙ И ОПРЕДЕЛЕНИЮ СРОКОВ ОКУПАЕМОСТИ
Важнейшим направлением в решении жилищной проблемы в современных условиях, в связи с нарастанием объемов морального и физического износа устаревшего жилищного фонда Российской Федерации и огромной потребности в жилье населения страны, является реконструкция устаревшего жилого фонда.
Жилищный фонд Российской Федерации в 1997 г. составлял около 2,7 млрд. м2 общей площади. Его техническое состояние характеризуется увеличением доли жилья с износом более 40%, что объясняется не только снижением темпов ввода нового строительства, но и вывода из эксплуатации ветхого жилья. Значительную долю этого фонда, порядка 25 млн. м2, составляют пятиэтажные дома постройки конца 50-х - начала 60-х годов. За 40 лет их эксплуатации наступил не только их моральный, но и физический износ.
Снос и реконструкция этих домов представляет серьезную проблему для строителей не только по своим масштабам, но и по технической сложности ее решения.
Зарубежный опыт реконструкции существующего жилого фонда с применением новых технологий, позволяющих производить реконструкцию жилого дома без выселения жильцов, увеличивать его этажность и осуществлять ремонт здания на средства, полученные от продажи квартир, свидетельствует о возможности получения дополнительного жилья с меньшими финансовыми затратами, чем это потребовало бы новое строительство.
Необходимым этапом разработки проекта реконструкции жилых зданий наряду с техническим обследованием микрорайона жилого массива, его масштабов, технического состояния, объема реконструкции с целью улучшения теплотехнических характеристик жилых домов и условий проживания, снижения ресурсопотребления, а также объема реконструкции с приростом дополнительных площадей за счет надстройки новых этажей и устройства мансард должен быть этап оценки экономической эффективности реконструкции жилых зданий.
2. Назначение и область применения
Методических рекомендаций
2.1. Методические рекомендации (далее - Рекомендации) содержат систему показателей, критериев и методов оценки эффективности реконструкции жилых зданий с целью проведения экономического анализа при определении путей решения жилищной проблемы.
2.2. Рекомендации предназначены для:
- органов управления федерального, регионального и местного уровня;
- инвесторов;
- разработчиков инвестиционных проектов;
- проектных, конструкторских и научно-исследовательских организаций, предприятий и объединений и других участников разработки и реализации инвестиционных проектов реконструкции жилищного фонда, а также лиц и предприятий, осуществляющих экспертизу таких проектов.
2.3. Рекомендации ориентированы на решение задач:
- оценки народно-хозяйственной эффективности реконструкции жилых зданий в сравнении с новым строительством;
- оценки эффективности инвестиционных проектов реконструкции жилых зданий в процессе их разработки;
- сравнения вариантов проекта.
2.4. В основу разработки Рекомендаций положены "
Методические рекомендации по оценке эффективности инвестиционных проектов и их отбору для финансирования" (утверждены Госстроем Российской Федерации, Министерством финансов Российской Федерации и Госкомпромом России от 31 марта 1994 г. N 7-12/47), а также основные принципы и сложившиеся в мировой практике подходы к оценке эффективности инвестиционных проектов, адаптированных для современных условий функционирования экономики в России. Главными из них являются:
- определение эффекта посредством сопоставления предстоящих затрат и результатов на реализацию проекта;
- приведение предстоящих разновременных расходов и доходов к условиям соизмеримости по их экономической ценности.
Рекомендации ориентированы на использование вычислительных систем, реализующих изложенные в них методы.
3. Методологические основы оценки экономической
эффективности реконструкции жилых зданий
3.1. Проекты реконструкции существующего жилищного фонда, как правило, затрагивают региональные и муниципальные интересы и выходят за рамки интересов участников отдельных инвестиционных проектов. Целью реконструкции является приведение существующего устаревшего морально и физически жилищного фонда в соответствие социальным и техническим нормам, стандартам и условиям проживания, а также в случае технической возможности и социальной необходимости увеличение количества общей площади жилья реконструируемых домов путем надстройки дополнительных этажей или устройства мансард.
3.2. Оценку эффективности реконструкции многоквартирных жилых зданий существующего фонда необходимо производить исходя из двух аспектов: определения относительной (сравнительной) эффективности реконструкции в сравнении с новым строительством и экономической эффективности инвестированного капитала для конкретного строительного проекта. С этой целью следует применять последовательное использование двух методов:
- народно-хозяйственной эффективности;
- финансовой эффективности.
3.3. Система показателей народно-хозяйственной эффективности позволяет производить комплексную оценку экономической эффективности с учетом социальных последствий и затрат, связанных с социальными мероприятиями.
3.4. Система показателей строится на определении относительной технико-экономической эффективности реконструкции жилого здания и отражает соотношение всего комплекса затрат, связанных с проведением реконструкции и результатов, которые достигаются в результате выполнения строительно-монтажных и ремонтных работ.
3.5. Альтернативным вариантом реконструкции устаревшего жилищного фонда является его снос и строительство нового здания на освободившейся территории, поэтому относительная экономическая эффективность реконструкции рассчитывается в сравнении с новым строительством.
3.6. Оценка экономической эффективности реконструкции производится лишь для тех типов домов, которые подлежат реконструкции по техническому состоянию.
3.7. Оценка предстоящих затрат и результатов осуществляется в пределах расчетного периода (горизонта расчета).
4. Методы и последовательность оценки эффективности
реконструкции жилых домов
4.1. Для общей оценки народно-хозяйственной эффективности реконструкции жилых домов на федеральном уровне или уровне региона и города необходимо произвести сравнительную оценку затрат на реконструкцию и новое строительство и достигаемых в обоих случаях социальных, архитектурно-строительных, эстетических и технических результатов.
При выработке основных стратегических направлений в отношении отрабатывающего свой ресурс жилья используется экспресс-метод, с помощью которого рассчитывается условный (оценочный) экономический эффект. При этом следует исходить из следующих положений:
4.1.1. Выбираются объекты - эталоны для сравнения реконструируемых домов с новым строительством. При выборе объектов для сравнения необходимо руководствоваться принципом соблюдения условия сопоставимости сравниваемых объектов. Жилые дома - реконструированный и новый - должны быть сопоставимы по категории и в результате осуществления строительно-монтажных работ должны быть получены сравнимые технический и социальный эффекты.
4.1.2. Новые объекты строятся на площадке, освободившейся в результате сноса старых жилых домов, эффективность реконструкции которых определяется.
4.1.3. При расчете объема капитальных вложений следует учитывать полный объем затрат, направленных на улучшение условий проживания (например, на улучшение теплоизоляции ограждающих конструкций, на ремонт сетей, устройство дополнительных инженерных коммуникаций и замену устаревшего оборудования, перепланировку квартир), а также затрат, связанных с увеличением выхода общей площади квартир на 1 м2 площади застройки путем повышения этажности зданий, на снос старого жилья, переселение жильцов при соблюдении норм предоставления жилой площади и обеспечения необходимой социальной инфраструктурой.
4.2. Условный (оценочный) экономический эффект -

определяется как разница доходов, которые могли бы быть получены от реализации квартир на рынке жилья по их рыночной стоимости за минусом затрат реконструируемых или вновь построенных жилых домов. При этом рыночная цена 1 м2 общей площади квартир (

) для нового строительства и реконструкции принимается одинаковой, так как по условию сопоставимости категория сравниваемых домов должна быть одинаковой и экономический и социальный эффекты равнозначны.
Условно принимается, что все затраты произведены в течение года и совпадают по времени с полученными результатами. Сроки строительства нового дома и реконструкции совпадают. Тогда условный (оценочный) экономический эффект, получаемый в результате реконструкции -

или нового строительства жилого дома -

, рассчитывается как прибыль от вложенного капитала, полученная в результате реализации квартир реконструированного или нового дома по единой рыночной цене м2 общей площади жилья <*>.
--------------------------------
<*> При реконструкции потребительские качества жилья должны быть доведены до уровня нового строительства.

(1)
А. Расчет прибыли при реконструкции
При реконструкции, производимой без отселения жильцов, расчетная формула прибыли будет иметь вид:

, (2)
где:

- рыночная цена 1 м2 общей площади квартир;

- прирост площади в результате реконструкции;

- капитальные вложения в реконструкцию.
При реконструкции дома, связанной с переселением жильцов, перепланировкой квартир и с последующей их продажей,
формула (2) приобретает вид:

, (3)
где:

- общая площадь квартир до реконструкции дома;

- затраты на переселение жильцов старого дома.
Затраты на переселение в новый микрорайон определяются как величина, равная капитальным вложениям на строительство нового дома для размещения жильцов старого, с учетом обязательного обеспечения необходимой санитарной нормой <**>, а также решением социальных проблем.
--------------------------------
<**> В случае, если переселяемые жильцы имели площадь, превышающую санитарную норму, им необходима денежная компенсация либо при желании увеличить площадь сверх нормы - дополнительная оплата.
Расчет затрат на переселение производится по формуле:

, (4)
где:

- капитальные вложения в новое строительство;

- капитальные вложения в создание городских коммуникаций и необходимой социальной инфраструктуры;

- коэффициент, соответствующий проценту увеличения общей площади, необходимой для переселения жильцов старого дома с учетом установленных норм и решения социальных проблем;

- общая площадь квартир нового дома.
При временном отселении жильцов на период проведения реконструкции в гостиницы, общежития, школы, специально отведенные дома или другие объекты учитываются затраты на отселение -

. Они определяются конкретным расчетом.
Б. Расчет прибыли при новом строительстве
Для нового строительства на месте сносимых домов расчетная формула прибыли будет иметь следующий вид:

, (5)
где:

- общая площадь квартир во вновь построенном доме;

- капитальные вложения в новое строительство;

- затраты на снос старого дома;

- капитальные вложения в реконструкцию городских коммуникаций.
С учетом
формул (2) и
(5) формула расчета условного (оценочного) экономического эффекта на 1 м2 общей площади квартир, получаемого в результате реконструкции без отселения жильцов, приобретает вид:

(6)
В. Учет цены земли
Жилые дома, которые необходимо реконструировать в связи с большим сроком их эксплуатации, как правило, находятся в обжитых, в том числе в престижных, районах. В рыночных условиях, при высоком спросе на землю в обжитых районах, должна учитываться стоимость участка земли, занимаемого реконструируемым домом с прилегающими территориями по нормам СНиП. Производится сравнение увеличения затрат на жилье в зависимости от цены земли -

.
В расчете на 1 м2 общей площади квартир при одинаковой его стоимости в новом и реконструированном доме с учетом стоимости земли формула расчета условного эффекта для варианта реконструкции без отселения жильцов будет выглядеть следующим образом:

, (7)
где:

- фактическая площадь застройки реконструируемых домов с учетом прилегающих территорий;

, (8)
где:

- цена земли под застройку нового дома в новом районе;

- площадь застройки нового дома в новом микрорайоне.
Для варианта реконструкции с временным отселением расчетная формула примет вид:

(9)
Положительная величина условного (оценочного) экономического эффекта

> 0 будет свидетельствовать об эффективности инвестиционных затрат на реконструкцию объекта.
4.3. Пример расчета.
Расчет производится для условий Московской обл. применительно к г. Лыткарино, имеющему характерные условия.
Значительную часть жилищного фонда г. Лыткарино составляют четырех- и пятиэтажные жилые дома, построенные из кирпича, блоков и панелей по типовым проектам первого поколения. Строительство этих домов велось с конца 50-х до конца 60-х годов и составляет 70% от общего количества домов. В них проживает около половины населения города. Жилищный фонд типовых зданий согласно правилам технической эксплуатации нуждается в восстановлении его потенциала, ликвидации последствий морального и физического износа. Запасы несущей способности этих домов позволяют увеличить их этажность на 1 - 2 этажа без усиления существующих конструкций стен и фундаментов и получить за счет этого прирост общей площади до 35%.
В соответствии с изменившимися нормативными требованиями по теплозащите зданий при реконструкции фонда типовых зданий обязательным является утепление всех ограждающих конструкций (наружных стен, окон, балконных дверей, покрытий, перекрытий над холодными подпольями) и модернизация систем инженерного оборудования, что позволит улучшить температурно-влажностный режим, воздухообмен в жилищах и комфортность проживания при снижении теплопотребления. Этим будет достигаться условие сопоставимости с новыми домами, обладающими повышенными теплотехническими характеристиками.
В качестве анализируемых объектов реконструкции принимаются 3 жилых дома: один пятиэтажный и два четырехэтажных здания из силикатного кирпича с облицовкой керамическим пустотным камнем, построенные в 1958 - 1959 годах по типовому проекту серии 1-447.
Реконструкция домов включает в себя следующие мероприятия:
1. Утепление наружных стен пенополистиролом с последующей отделкой декоративной штукатуркой "Драйвит".
2. Надстройка двух мансардных этажей.
3. Замена существующих систем отопления, холодного и горячего водоснабжения и частично газового оборудования.
4. Замена существующих окон, балконных дверей изделиями с повышенными требованиями теплозащиты ограждающих конструкций.
На месте трех домов мог бы быть построен 10-подъездный 17-этажный дом относительно недорогой массовой типовой серии П-44 для переселения в него жильцов старых домов, очередников города, а также для коммерческой продажи квартир.
Сравнительная эффективность нового строительства и реконструкции рассчитана исходя из следующих данных:
Исходные данные для расчета сравнительной эффективности
нового строительства на месте сноса старых жилых домов
Фактическая площадь земельного участка,
занимаемого домами 8400 м2
Общая площадь квартир
жилых домов, подлежащих реконструкции 7722 м2
Прирост общей площади квартир в
результате реконструкции 3216 м2
Капитальные вложения на 1 м2
общей площади нового жилья
(по сметной стоимости с НДС):
- в реконструкцию, включающую мансардные
этажи, капитальный ремонт, утепление фасадов
(в среднем по трем домам) 448,4 долл. США
- в реконструкцию городских коммуникаций 90 долл. США
- в новое жилищное строительство 360 долл. США
- в строительство городских сетей,
коммуникаций и инфраструктуру 180 долл. США
Затраты на снос, переработку и
утилизацию старых домов
(без применения специальной техники) 125 долл. США
на 1 м2 сносим. жилья
Процент увеличения площади
жилья для переселения жильцов
старых домов (исходя из нормативов) на 55%
Общая площадь квартир вновь
построенного дома (П-44, 17 этажей)
на месте сноса старых домов 38080 м2.
В случае строительства нового многоэтажного дома на месте сноса существующих домов для переселения их жильцов потребуется 11970 м2 общей площади (с учетом действующих норм заселения).
Для нового строительства принят проект 17-этажного 10-подъездного дома серии П-44 площадью квартир этажа - 2240 м2 и общей площадью квартир дома - 38080 м2. Сметная стоимость 1 м2 общей площади по этому проекту составляет 360 долл. США, стоимость реконструкции коммуникаций 90 долл. США в расчете на 1 м2 площади. Возможны два варианта нового строительства: новое строительство на месте сносимых домов с переселением жильцов в новый микрорайон и временное их отселение (метод волнового переселения).
Затраты на снос старых домов исходя из стоимости сноса 1 м2 в размере 125 долл. США составят 125 х 7722 = 965250 долл. США.
Затраты на переселение жильцов в новый микрорайон определяются исходя из необходимости строительства дополнительных 11970 м2 жилья: 360 х 11970 = 4309200 долл. США, а также затрат на сооружение инженерных сетей, коммуникаций и социальной инфраструктуры: 180 х 11970 = 2154600 долл. США (50% от стоимости строительства дома).
Таким образом, общие затраты на 1 м2 нового дома, построенного на месте сносимых с переселением жильцов в новый микрорайон, определятся в размере:
стр-во снос рек. переселен.
дома коммуник.
(13708800 + 965250 + 3427200 + 6463800) / 38080 = 645,1 долл. США.
Условный (оценочный) экономический эффект на 1 м2 общей площади в результате реконструкции домов без переселения жильцов в сравнении со строительством нового дома на месте сносимых домов с переселением жильцов в новый микрорайон при принятых параметрах освоения составит:

= 645,1 - 448,4 = 196,7 долл. США.
5. Расчет оценочного срока окупаемости
инвестиционных затрат
Без учета фактора времени определяется оценочный или упрощенный показатель срока окупаемости инвестиционных затрат. Он рассчитывается как отношение общего размера инвестиционных затрат на реконструкцию жилого дома к величине условного экономического эффекта от реконструкции дома в сравнении с новым строительством по формуле:

, (10)
где:

- упрощенный (оценочный) показатель срока окупаемости инвестиционных затрат;

- размер инвестиционных затрат на реконструкцию;

- условный экономический эффект от реконструкции дома в сравнении с новым строительством.
Пример расчета:
Удельные капитальные вложения на 1 м2 общей площади квартир при реконструкции - 448,4 долл. США.
Условный эффект от реконструкции в сравнении с новым строительством на единицу общей площади - 196,7 долл. США.
Срок окупаемости:

= 448,4 : 196,7 = 2,3 года.
6. Расчет стоимости жизненного цикла здания
6.1. Изложенный метод не может обеспечить высокую точность расчета экономической эффективности реконструкции для конкретного объекта. Он позволяет лишь установить общую тенденцию эффективности реконструкции. Для получения более объективной картины необходимо произвести расчет эффекта с учетом жизненного цикла здания.
Жизненный цикл жилого дома определяется не только техническим его состоянием: запасом прочности несущих конструкций, теплотехническими характеристиками и др., но и сроком его морального старения. Жилые дома массовой типовой застройки 50 - 60 годов, "Хрущевки", устарели по объемно-планировочным, техническим, эксплуатационным характеристикам и по архитектурному облику.
Подобного можно ожидать, по-видимому, и с реконструируемыми домами с пристройкой мансардных этажей, предназначенных в настоящий момент для наиболее быстрого и дешевого способа развития жилищного строительства. Реконструированные дома, менее удобные для проживания, чем, например, комфортабельные коттеджи или квартиры в домах, построенных по новым строительным технологиям, предназначенным для 21 века, и через определенный интервал времени могут стать неконкурентоспособными в плане комфортабельности проживания. При дальнейшем развитии градостроительства, увеличении рыночной стоимости земли в местах компактного проживания и производственной деятельности населения моральный износ реконструированных домов наступит гораздо быстрее, чем вновь построенных по новейшим, современным технологиям, и вновь может встать вопрос об их сносе и замене на более комфортабельное жилье. В связи с этим возникает необходимость расчета стоимости жилого дома за его жизненный цикл.
6.2. Жизненным циклом здания считается временной интервал от начала момента строительства до прекращения эксплуатации и его сноса.
Стоимость цикла жизни рассчитывается как сумма дисконтированных на один момент времени будущих затрат на снос и переселение жильцов, добавленных к современным затратам на реконструкцию.
Дисконтирование позволяет соизмерять разновременные показатели путем приведения их к начальному моменту времени.
Для приведения разновременных затрат используется норма дисконта (Е), равная приемлемой для инвестора норме дохода на капитал. При постоянной норме дисконта (Е) коэффициент дисконтирования (d) составляет величину, равную:

, (11)
где t - горизонт расчета.
Норма дисконта принимается одинаковой для реконструкции и для нового строительства.
Годовые эксплуатационные затраты и затраты на капитальный ремонт в стоимости жизненного цикла здания не учитываются, так как для реконструируемого дома и вновь построенного по задачам и техническим условиям реконструкции они должны быть одинаковыми. В связи с этим во временной отрезок, равный жизненному циклу реконструируемого жилья, для нового дома входят лишь инвестиционные издержки на его строительство, включая необходимые затраты на освобождение площадки для строительства и на переселение жильцов сносимого дома.
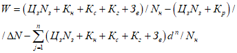
Расчетная формула будет иметь вид:

, (12)
где:
W - экономическая эффективность реконструкции с учетом стоимости цикла жизни здания в расчете на 1 м2 общей площади квартир;
j - временной интервал, равный жизненному циклу реконструируемого дома, где j = 1, 2,..., n;
d - коэффициент дисконтирования.
Эта формула позволяет определить предельный момент времени - n, по истечении которого реконструкция будет эффективнее нового строительства, несмотря на вновь возникшую необходимость сноса реконструированного жилья и переселения жильцов.
Программа расчета на ЭВМ и справка пользователя прилагаются. Программа предназначена для проведения расчетов относительной экономической эффективности реконструкции жилых домов массовой застройки конца 50-х - 60-х годов в сравнении с их сносом и типовым многоэтажным строительством.
В программе первоначально заложен пакет данных для одного конкретного расчета.
Ниже приводится пример расчета.
Исходная информация:
Инвестиционные затраты (в долл. США):
на новое строительство 13708800
снос старых домов 965250
переселение жильцов 4309200
на реконструкцию коммуникаций 3427700
на подводку новых коммуникаций 2154600
на реконструкцию жилых домов 1401900
Технические данные:
Площадь реконструируемого дома, м2 7722
Площадь нового дома 38080
Прирост площади при реконструкции 3216
Прочие данные:
Ставки по валютным вкладам (%)
1998 г. 13
1999 г. 10
2000 г. 8
далее 6
Цена земли за сотку (долл. США) 1500
Расчетный интервал времени, равный
минимальному сроку жизни здания (лет) 25.
При заданных параметрах условный (оценочный) экономический эффект от реконструкции в расчете на 1 м2 общей площади составит 26 долл. США.
Это значит, что реконструкция эффективна, если жизненный цикл жилого дома после его реконструкции составит не менее 25 лет, после чего он может быть снесен, а занимаемая земельная площадь может быть использована под новое строительство.
7. Определение схемы инвестирования реконструкции
существующего фонда жилых зданий
7.1. По формулам
(1 - 12) производятся расчеты экономической эффективности экспресс-методом, условно считая, что строительство осуществляется в течение одного года, в стабильных экономических условиях и при едином источнике финансирования строительства.
7.2. При реконструкции нескольких домов или целого микрорайона строительные работы проводятся в более длительные сроки и в этом случае ощутимое влияние на величину эффекта начинает оказывать схема финансирования строительства.
Недостаток бюджетных (муниципальных) средств не позволяет зачастую профинансировать в оптимальные сроки план проведения строительных работ, и строительство вынужденно затягивается. Привлечение дополнительных инвесторов позволяет сократить сроки получения конечной продукции - жилья для населения.
При сравнении конкретных проектов реконструкции и строительства нового дома, в которых закладываются новые современные технологии, социальные стандарты, объемно-планировочные и архитектурные решения, цены на 1 м2 общей площади квартир принимаются конкретно в зависимости от рыночной стоимости жилья.
Необходимо при этом учитывать и схему инвестирования объектов, так как продажа квартир населению позволяет единовременно привлечь к жилищному строительству дополнительный капитал к величине бюджетных (муниципальных) инвестиций.
Экономическая эффективность на этом этапе рассчитывается для каждого варианта проекта с учетом разной рыночной стоимости продаваемых квартир.
7.3. Эффект, учитывающий доход от продажи квартир по разной рыночной стоимости нового и реконструированного жилья, может быть рассчитан по формуле (13):

, (13)
где:

- рыночная цена 1 м2 реализованных квартир в новых домах;

- рыночная цена 1 м2 реализованных квартир в реконструированных домах.
Чем выше устанавливается цена за 1 м2 продаваемых квартир, тем больше риск возможности 100-процентной их реализации.
С учетом фактора риска "Р" формула расчета экономической эффективности реконструкции будет иметь следующий вид:

, (14)
где:
Р - поправка на риск в процентах.
7.4. Ниже приводится пример расчета использования средств населения для расширения жилищного строительства.
Дополнительные средства для городского бюджета может дать коммерческая продажа части построенного жилья.
Рыночный спрос на мансардные квартиры в той части города, где находятся реконструируемые дома, в приводимом примере расчета, очевидно, превысит предложение (3216 м2 общей площади квартир). Их рыночная цена за 1 м2 по расчетам администрации города составила 620 - 630 долл. США. (Минимальная продажная цена по себестоимости с учетом затрат города - 593 долл. США.) При продаже по этой цене 95% квартир на мансардных этажах затраты городского бюджета на реконструируемое жилье полностью возместятся.
В новом доме, построенном на месте сносимой жилой площади, может быть реализовано 38080 - 11970 = 26110 м2 жилья, при этом могут продаваться квартиры, расположенные на наиболее удобных для проживания этажах.
Минимальная цена для продажи (по себестоимости с учетом затрат города) составит 913 долл. США за 1 м2. Только при продаже 100% квартир по этой цене затраты на новое строительство могут быть полностью возмещены. При строительстве нового микрорайона квартиры могут быть реализованы без убытка для города по 870 долл. США за 1 м2.
При недостатке средств городского бюджета и дотаций, выделяемых из федерального и областного бюджетов, развитие жилищного строительства в г. Лыткарино может осуществляться лишь за счет привлечения средств населения.
Реализация коммерческого жилья по состоянию на май 1998 г. осуществляется по 620 - 630 долл. США за 1 м2. Слишком велик риск 100-процентной реализации жилья по 870 долл. США за 1 м2 и тем более - по 913 долл. США.
Строительство новых кварталов для массового переселения жильцов из подлежащего реконструкции жилищного фонда города может рассматриваться только в том случае, если оно обеспечивается платежеспособным спросом населения.
При отсутствии в настоящее время в городском бюджете достаточного количества финансовых ресурсов для развития жилищного строительства и низкой покупательной способности местного населения единственным способом сохранения существующего жилищного фонда и его прироста является реконструкция, обеспечивающая быструю оборачиваемость вкладываемых средств с относительно меньшим риском, чем в новое строительство.
8. Частные случаи расчета срока окупаемости инвестиционных
затрат на реконструкцию
8.1. Срок окупаемости инвестиционных затрат на отдельные элементы реконструкции рассчитывается путем соотношения этих затрат и экономии текущих по отношению к ним эксплуатационных затрат, которое будет иметь место на протяжении всего последующего периода эксплуатации жилого дома после завершения его строительства. Принимается во внимание лишь та величина капитальных вложений, результатом которых явилась экономия последующих затрат на эксплуатацию здания.
8.2. Например, реконструкция жилых зданий направлена прежде всего на повышение их энергетической эффективности. Важным резервом экономии топливно-энергетических ресурсов в системах отопления зданий является повышение тепловой защиты ограждающей оболочки здания. Расчет годовой экономии затрат на эксплуатацию здания производится следующим образом.
Экономия эксплуатационных затрат в части снижения расхода топливно-энергетических ресурсов за год может быть рассчитана по формуле:

, (15)
где:

- экономия эксплуатационных затрат;

- снижение количества тепла, теряемого зданием в расчете на 1 м2 общей площади в течение отопительного периода кг усл. т./м2 год;

- стоимость топлива, руб./кг усл. т.;
а - амортизационные отчисления на ограждающую конструкцию за год на 1 м2 общей площади;

- удельные капитальные затраты на утепление конструкции, которые обеспечивают экономию топливно-энергетических ресурсов.
Экономия тепла определяется по формуле:

, (16)
где:
Z - продолжительность отопительного периода, ч/год;
P - периметр здания, м;
H - высота дома, м;
F - общая площадь, м2;

- расчетная температура внутреннего воздуха, °С;

- средняя температура наружного воздуха за отопительный период, °С;
а' - приведенный коэффициент теплопередачи ограждающих конструкций до реконструкции, ккал/чм2°С;
а" - то же, после реконструкции, ккал/чм2 °С;
где:

, (17)

- толщина утеплителя;

- коэффициент теплопроводности.
8.3. Срок окупаемости инвестиционных затрат определяется как продолжительность периода, в течение которого сумма экономии, дисконтированная на момент завершения инвестиций, будет равна сумме инвестиций.
Срок окупаемости инвестиционных затрат "n" рассчитывается по формуле:

(18)
С учетом
формулы (15) расчетная формула для определения срока окупаемости инвестиционных затрат на реконструкцию примет следующий вид:

, (19)
где n - срок окупаемости инвестиционных затрат на реконструкцию.
8.4. Пример расчета экономической эффективности теплоизоляции фасадов и установки оконных блоков.
Для снижения тепловых потерь через фасады здания реконструкцией предусматривается комплексная теплоизоляция зданий, которая обеспечивает увеличение приведенного сопротивления теплопередаче наружных стен на 105%, окон и балконных дверей на 50%, а также снижение нормативной их воздухопроницаемости на 40%.
В расчете приняты следующие значения минимальных приведенных сопротивлений теплопередаче R соответственно до Изменений N 3 СНиП 11-3-79 "Строительная теплотехника", принятых и введенных в действие Минстроем РФ Постановлением N 16-81 от 11.08.95, и из условий энергосбережения по 2-му этапу
(пункт 2.4).
Таблица 1
МИНИМАЛЬНЫЕ ЗНАЧЕНИЯ ПРИВЕДЕННОГО СОПРОТИВЛЕНИЯ
ТЕПЛОПЕРЕДАЧЕ ОГРАЖДЕНИЙ ДЛЯ РАЙОНА,
ГДЕ ГСОП = 4600 ГР./СУТ.
(в м2 °С/Вт)
| До изменений СНиП | Из условий энергосбережения |
Наружная стена | 0,84 | 3,01 |
Окно | 0,42 | 0,56 |
Расчет снижения теплопотерь за год на 1 м2 общей площади квартир производится по формуле:

, (20)
где:
Z - продолжительность отопительного периода, сут.;
P - периметр здания, м;
H - высота дома, м;
F - общая площадь квартир;

- расчетная температура внутреннего воздуха, °С;

- средняя температура наружного воздуха за отопительный период, °С;
R' - минимальное приведенное сопротивление теплопередаче ограждающих конструкций до реконструкции, м2°С/Вт;
R" - то же, после реконструкции, м2°С/Вт;
1,6 - коэффициент, учитывающий неучтенные потери.
Продолжительность отопительного периода для города Лыткарино 213 суток, расчетная температура внутреннего воздуха +18 °С, средняя температура отопительного периода -3,6 °С, минимальное приведенное сопротивление теплопередаче ограждающей конструкции до реконструкции 0,84 м2°С/Вт, после реконструкции 3,01 м2°С/Вт.
Таблица 2
ГЕОМЕТРИЧЕСКИЕ ПАРАМЕТРЫ ДОМОВ
Номера домов | Периметр (м) | Высота (м) |
1 | 2 | 3 |
5-этажный | 158,4 | 15,5 |
4-этажные | 126,6 | 13,2 |
Ниже приводится расчет тепловых потерь через стены и окна домов.
Таблица 3
РАСЧЕТ ТЕПЛОВЫХ ПОТЕРЬ ЧЕРЕЗ СТЕНЫ
И ОКНА ПЯТИЭТАЖНОГО ДОМА ЗА ГОД
до реконструкции
Место т/потерь | Площадь т/потерь, м2 | К-т добав. т/потерь | Терм. сопр., м2°С/Вт | Поток энергии, ккал/м2 °С сут. | Величина т/потерь, Гкал |
1 | 2 | 3 | 4 | 5 | 6 |
Стены | | | | | |
Нижний этаж | 387 | 2,4 | 0,84 | 24,5 | 104,6 |
Средние три этажа | 1161 | 1,6 | 0,84 | 24,5 | 209,4 |
Верхний этаж | 387 | 3,2 | 0,84 | 24,5 | 139,6 |
Итого | | | | | 453,6 |
| | | | | |
| | | | | |
Остекление | 514 | 1,6 | 0,42 | 49,0 | 185,5 |
после реконструкции
Место т/потерь | Площадь т/потерь, м2 | К-т добав. т/потерь | Терм. сопр., м2°С/Вт | Поток энергии, ккал/м2 °С сут. | Величина т/потерь, Гкал |
1 | 2 | 3 | 4 | 5 | 6 |
Стены | | | | | |
Нижний этаж | 387 | 2,4 | 3,01 | 6,81 | 29,1 |
Средние три этажа | 1161 | 1,6 | 3,01 | 6,81 | 58,2 |
Верхний этаж | 387 | 3,2 | 3,01 | 6,81 | 38,8 |
Итого | | | | | 126,1 |
| | | | | |
Остекление | 514 | 1,6 | 0,56 | 36,9 | 139,7 |
Таблица 4
РАСЧЕТ ТЕПЛОВЫХ ПОТЕРЬ ЧЕРЕЗ СТЕНЫ И ОКНА ЧЕТЫРЕХЭТАЖНЫХ
ДОМОВ N 2 И N 6 ЗА ГОД
до реконструкции
Место т/потерь | Площадь т/потерь, м2 | К-т добав. т/потерь | Терм. сопр., м2°С/Вт | Поток энергии, ккал/м2 °С сут. | Величина т/потерь, Гкал |
1 | 2 | 3 | 4 | 5 | 6 |
Стены | | | | | |
Нижний этаж | 317,5 | 2,4 | 0,84 | 24,5 | 86,16 |
Средние два этажа | 635 | 1,6 | 0,84 | 24,5 | 114,87 |
Верхний этаж | 317,5 | 3,2 | 0,84 | 24,5 | 114,87 |
Итого | | | | | 315,9 |
| | | | | |
Остекление | 337,5 | 1,6 | 0,42 | 49,0 | 122,1 |
после реконструкции
Место т/потерь | Площадь т/потерь, м2 | К-т добав. т/потерь | Терм. сопр., м2°С/Вт | Поток энергии, ккал/ м2°С сут. | Величина т/потерь, Гкал |
1 | 2 | 3 | 4 | 5 | 6 |
Стены | | | | | |
Нижний этаж | 317,5 | 2,4 | 3,01 | 6,81 | 24,04 |
Средние два этажа | 635 | 1,6 | 3,01 | 6,81 | 32,06 |
Верхний этаж | 317,5 | 3,2 | 3,01 | 6,81 | 32,06 |
Итого | | | | | 88,16 |
| | | | | |
Остекление | 337,5 | 1,6 | 0,56 | 36,9 | 91,57 |
В таблице 5 приводится расчет сокращения тепловых потерь жилых домов в результате теплоизоляции фасадов пенополистирольными плитами толщиной 100 мм, а также экономии затрат в результате снижения расхода тепла на 1 м2 общей площади квартир, исходя из стоимости 1 Гкал для населения г. Лыткарино в размере 114,75 руб. по состоянию на май 1998 г.
Таблица 5
РАСЧЕТ СОКРАЩЕНИЯ ТЕПЛОПОТЕРЬ ЗДАНИЯ
В РЕЗУЛЬТАТЕ ТЕПЛОИЗОЛЯЦИИ ФАСАДОВ И ЭКОНОМИИ ЗАТРАТ
НА 1 М2 ОБЩЕЙ ПЛОЩАДИ В ГОД
Теплопотери, Гкал | Дом N 4 | Дома N 2, 6 |
1 | 2 | 3 |
Существующие | 0,118 | 0,158 |
После реконструкции с теплоизоляцией | 0,033 | 0,044 |
Снижение теплопотерь | 0,085 | 0,114 |
Экономия затрат в руб. | 9,75 | 13,08 |
В таблице 6 приводится расчет снижения тепловых потерь жилых домов за счет установки оконных блоков, а также экономии затрат в результате сокращения расхода тепла.
Таблица 6
РАСЧЕТ СОКРАЩЕНИЯ ТЕПЛОПОТЕРЬ ЗДАНИЯ
В РЕЗУЛЬТАТЕ УСТАНОВКИ ОКОННЫХ БЛОКОВ И ЭКОНОМИИ ЗАТРАТ
НА 1 М2 ОБЩЕЙ ПЛОЩАДИ В ГОД
Теплопотери, Гкал | Дом N 4 | Дома N 2, 6 |
1 | 2 | 3 |
Существующие | 0,048 | 0,061 |
После реконструкции с теплоизоляцией | 0,036 | 0,046 |
Снижение теплопотерь | 0,012 | 0,015 |
Экономия затрат в руб. | 1,38 | 1,72 |
Капитальные вложения на утепление и декоративную отделку фасада дома N 4 согласно сметному расчету с учетом НДС составляют по состоянию на 1997 г. 536312,8 тыс. руб., в пересчете на май 1998 г. при 8% годовой инфляции (К = 1,08 x 5 / 12) капвложения равны 241,3 тыс. руб., или на 1 м2 общей площади квартир - 62,9 руб.; по домам N 2 и 6 - 4091261,1 тыс. руб., с учетом коэффициента пересчета в цены 1998 г. - 184,2 руб., или на 1 м2 общей площади - 94,8 руб.
Сметная стоимость демонтажа столярки и установки оконных блоков по дому N 4 - 298349,7 тыс. руб., или 134,2 тыс. руб. в ценах 1998 г., на 1 м2 общей площади квартир - 34,9 руб., по домам N 2 и 6 - 175904,4 тыс. руб., или 79,1 тыс. руб. в ценах 1998 г., на 1 м2 общей площади - 40,7 руб.
Срок окупаемости затрат может быть рассчитан по упрощенному показателю:
n = К /

,
где:
К - капитальные вложения;

- экономия затрат в руб.;
n - срок окупаемости капиталовложений.
Расчет приводится в табл. 7.
Таблица 7
РАСЧЕТ СРОКА ОКУПАЕМОСТИ ЗАТРАТ
| Утепление фасадов | Установка оконных блоков |
Показатели | Дом N 2 | Дом N 4 | Дом N 2 | Дом N 4 |
1 | 2 | 3 | 4 | 5 |
К (руб.) | 94,8 | 62,9 | 40,7 | 34,9 |
ДЕЛЬТА G (руб.) | 13,08 | 9,75 | 1,72 | 1,38 |
n (лет) | 7 | 6,5 | 23 | 25 |
| | | | |
Таким образом, затраты на утепление фасадов окупятся в течение 6 - 7 лет, а на установку оконных блоков - более чем через 20 лет.
9. Расчет финансовой эффективности реконструкции
Для расчета финансовой эффективности проекта составляется бизнес-план конкретного проекта реконструкции жилого дома, ключевым разделом которого является финансовый план. По нему планируются затраты на реализацию проекта и определяется его эффективность.
Эффективность инвестиционных проектов оценивается по показателям срока окупаемости, точки безубыточности и бюджетного эффекта.
В финансовых расчетах при реконструкции жилых зданий под доходами понимается выручка от коммерческой продажи жилья, сдачи в аренду помещений под офисы или других видов коммерческой деятельности, а также коммунальные платежи.
Срок окупаемости представляет собой период времени с начала реализации проекта по данному бизнес-плану до момента, когда разность между накопленной суммой чистой прибыли с учетом амортизационных отчислений и объемом инвестиционных затрат приобретает положительное значение.
Точка безубыточности соответствует объему реализации, начиная с которого выпуск продукции должен приносить прибыль. Точка безубыточности рассчитывается как отношение величины постоянных расходов к разности цены продукции и величины переменных расходов, деленной на объем реализации продукции.
Бюджетный эффект инвестиционного проекта определяется как сальдо поступлений и выплат федерального бюджета в связи с реализацией данного проекта. В расчетах проводится дисконтирование объемов поступлений и выплат по годам реализации проекта.
Чистый дисконтированный доход государства как эффект от реализации проекта (ЧДД) в этом случае определяется суммой погодовых сальдо поступлений и выплат по годам в бюджет, приведенных к ценам первого года:

, (21)
где:
Т - суммарная продолжительность жизненного цикла проекта, включая строительство объекта и эксплуатацию;

- ежегодная разность поступлений и выплат в бюджет;
t - годы реализации;
d - коэффициент дисконтирования.
Коэффициент дисконтирования (d) без учета риска проекта определяется как отношение ставки рефинансирования (r), установленной Центральным банком Российской Федерации на текущий год, и темпа инфляции (i).

(22)
Экономический анализ взаимосвязи показателей эффективности инвестиций позволяет выбрать наиболее эффективный вариант реконструкции.
Коэффициент дисконтирования, учитывающий риски при реализации проектов, определяется по формуле:

, (23)
где Р/100 - поправка на риск.
В качестве основополагающего документа для разработки бизнес-плана может быть принят "Макет бизнес-плана", приведенный в
приложении N 1 к "Положению об оценке эффективности инвестиционных проектов при размещении на конкурсной основе централизованных инвестиционных ресурсов Бюджета развития Российской Федерации", утвержденному
Постановлением Правительства Российской Федерации от 22 ноября 1997 г. N 1470.
ТЕРМИНЫ И ОПРЕДЕЛЕНИЯ, ИСПОЛЬЗОВАННЫЕ
В МЕТОДИЧЕСКИХ РЕКОМЕНДАЦИЯХ
Дисконтирование - приведение экономических показателей разных лет к сопоставимому по времени виду, для чего экономические показатели умножаются на коэффициент, основанный на формуле сложных процентов.
Жизненный цикл здания - в качестве жизненного цикла здания принимается минимальный период времени эксплуатации реконструированного дома, при котором достигается положительный эффект от вложенных инвестиций в реконструкцию, а также затрат на снос дома и переселение жильцов в новостройки по истечении этого срока.
Инвестиции - долгосрочные финансовые вложения государственного или частного капитала с целью извлечения прибыли.
Коммерческое жилье - жилье, предназначенное для продажи населению по рыночным ценам.
Окупаемость - показывает тот срок, в течение которого произведенные затраты покрываются за счет полученного эффекта.
Реконструкция жилья - комплекс мер по переустройству жилого дома в связи с физическим или моральным износом. Она предполагает замену устаревшего или установку дополнительного инженерного оборудования, усиление конструкций, специальные меры по повышению теплотехнических характеристик здания, его перепланировку, а также увеличение жилой площади путем надстройки дополнительных этажей и мансард.
Технико-экономическое обоснование - анализ, расчеты, оценки эффективности технической и экономической целесообразности осуществления предполагаемой модернизации и реконструкции существующих объектов.
СПРАВКА
ПОЛЬЗОВАТЕЛЯ ДЛЯ ПРОГРАММЫ РАСЧЕТА ОЦЕНОЧНОЙ ЭКОНОМИЧЕСКОЙ
ЭФФЕКТИВНОСТИ РЕКОНСТРУКЦИИ ЖИЛЫХ ЗДАНИЙ ЭКСПРЕСС-МЕТОДОМ
Программа предназначена для проведения расчетов относительной экономической эффективности реконструкции многоквартирных жилых домов массовой застройки конца 50-х - 60-х годов в сравнении с их сносом и новым строительством. В основу программы положен экспресс-метод.
Расчет относительной экономической эффективности реконструкции жилых зданий осуществляется по
формулам (12) и
(14) настоящих Методических рекомендаций.
Исходные параметры для расчета приводятся в нижеследующей
таблице.
Расчет экономической эффективности реконструкции на 1 м2 общей площади квартир при одинаковой цене реализации нового жилья во вновь построенном и реконструируемом домах определяется по формуле (12):

, (12)
где:

.
По формуле (14) производится расчет эффективности на объем реализации, в которой принято, что цены 1 м2 общей площади квартир для вновь построенного дома и реконструированного конкретны, учитывается также степень риска при продаже квартир на рынке жилья:

(14)
В программе первоначально заложен пакет исходной информации для одного конкретного расчета. Для получения результата в любом другом случае после запуска программы необходимо ввести 4 группы параметров, предусмотренных нижеследующей таблицей.
ИСХОДНАЯ ИНФОРМАЦИЯ ДЛЯ РАСЧЕТА ЭКОНОМИЧЕСКОЙ
ЭФФЕКТИВНОСТИ РЕКОНСТРУКЦИИ ЖИЛЫХ ДОМОВ
┌────┬───────────────────────────────┬────────┬───────┬──────────┐
│ N │ Показатели │ Услов. │ Един. │Примечание│
│п/п │ │ обозн. │ измер.│ │
├────┼───────────────────────────────┼────────┼───────┼──────────┤
│ 1 │ 2 │ 3 │ 4 │ 5 │
├────┼───────────────────────────────┼────────┼───────┼──────────┤
│1. │Инвестиционные затраты │ │долл. │ │
│ │ │ │США │ │
├────┼───────────────────────────────┼────────┼───────┼──────────┤
│1.1.│На новое строительство │К │-"- │ │
│ │ │ н │ │ │
├────┼───────────────────────────────┼────────┼───────┼──────────┤
│1.2.│На снос старых домов │К │-"- │ │
│ │ │ с │ │ │
├────┼───────────────────────────────┼────────┼───────┼──────────┤
│1.3.│На переселение жильцов │З │-"- │ │
│ │ │ в │ │ │
├────┼───────────────────────────────┼────────┼───────┼──────────┤
│1.4.│На устройство коммуникаций и │К │-"- │ │
│ │развитие социальной сферы │ г │ │ │
├────┼───────────────────────────────┼────────┼───────┼──────────┤
│1.5.│На реконструкцию │К │-"- │ │
│ │ │ р │ │ │
├────┼───────────────────────────────┼────────┼───────┼──────────┤
│2. │Технические параметры │ │ │ │
├────┼───────────────────────────────┼────────┼───────┼──────────┤
│2.1.│Общая площадь квартир реконст- │N │ м2 │ │
│ │руируемых домов │ p │ │ │
├────┼───────────────────────────────┼────────┼───────┼──────────┤
│2.2.│Прирост общей площади квартир │ДЕЛЬТА N│-"- │ │
│ │при реконструкции │ │ │ │
├────┼───────────────────────────────┼────────┼───────┼──────────┤
│2.3.│Фактическая площадь участка │N │-"- │ │
│ │застройки реконструируемых до- │ з │ │ │
│ │мов │ │ │ │
├────┼───────────────────────────────┼────────┼───────┼──────────┤
│2.4.│Общая площадь квартир новых до-│N │-"- │ │
│ │мов │ н │ │ │
├────┼───────────────────────────────┼────────┼───────┼──────────┤
│2.5.│Коэффициент, характеризующий │мю │ │1,55 │
│ │процент увеличения общей площа-│ │ │ │
│ │ди квартир, необходимой для пе-│ │ │ │
│ │реселения жильцов сносимых до- │ │ │ │
│ │мов │ │ │ │
├────┼───────────────────────────────┼────────┼───────┼──────────┤
│3. │Стоимостные показатели │ │долл. │ │
│ │ │ │США │ │
├────┼───────────────────────────────┼────────┼───────┼──────────┤
│3.1.│Цена земли за сотку │Ц │-"- │1500 │
│ │ │ з │ │ │
├────┼───────────────────────────────┼────────┼───────┼──────────┤
│3.2.│Удельные капвложения: │ │ │ │
│ │На новое строительство │K / N │-"- │360 │
│ │ │ н н │ │ │
│ │На реконструкцию │K / │ │450 │
│ │ │ p │ │ │
│ │ │ДЕЛЬТА N│ │ │
│ │На снос │K / N │ │125 │
│ │ │ c p │ │ │
│ │На реконструкцию коммуникаций │К │ │0,25 К │
│ │ │ г │ │ н │
│ │На подводку новых коммуникаций │К' │ │0,5 К │
│ │ │ г │ │ н │
├────┼───────────────────────────────┼────────┼───────┼──────────┤
│4. │Прочие показатели │ │ │ │
├────┼───────────────────────────────┼────────┼───────┼──────────┤
│4.1.│Ставки по валютным вкладам │ │% │ │
│ │1998 г. │ │ │13 │
│ │1999 г. │ │ │10 │
│ │2000 г. │ │ │8 │
│ │далее │ │ │6 │
├────┼───────────────────────────────┼────────┼───────┼──────────┤
│4.2.│Поправка на риск │Р │% │10 │
│ │ │ │ │25 │
│ │ │ │ │50 │
├────┼───────────────────────────────┼────────┼───────┼──────────┤
│4.3.│Расчетный период времени, рав- │n │лет │25 │
│ │ный минимальному сроку жизни │ │ │ │
│ │реконструированного дома │ │ │ │
└────┴───────────────────────────────┴────────┴───────┴──────────┘
Примечание: В колонке 5 приведены количественные значения показателей, использованные в примере расчета.
Программа разработана для Windows 95. Ввод данных осуществляется стандартным образом.
После набора данных на дисплее нажимается кнопка "ПУСК". В специальном левом окошке появляется число, определяющее величину условного (оценочного) экономического эффекта, достигаемого в результате реконструкции на 1 м2 общей площади (в долларах США), при расчете по
формуле (12), и в правом - эффекта на объем реализации жилья при расчете по
формуле (14).
Положительный знак указывает на эффективность реконструкции, отрицательный - на эффективность сноса устаревшего жилищного фонда и нового строительства.