

Перечень работ | Код работ | Продолжительность работ, суток | Начало работ, сутки по графику | Примечание |
Блок подготовки шихты | ||||
Устранение сбоев в работе оборудования | 1 | 3 | 1 | Работы ведутся до выхода блока на проектную мощность (время учитывается отдельно в связи с удлинением срока освоения технологии) |
Освоение технологии формирования шихты по составу и отработка равномерной подачи ее в печь, закрепление рабочими устойчивых навыков в выполнении технологических операций | 2 | 40 | 3 | |
Увеличение нагрузок блока | 3 | 140 | 43 | |
В том числе приработка деталей, узлов, механизмов блока | 5 | |||
Блок электроплавки | ||||
Устранение сбоев в работе оборудования (приработка отдельных деталей, узлов, механизмов) | 4 | 5 | 1 | |
Освоение первого этапа электроплавки (работа с открытой ванной), закрепление рабочими устойчивых навыков в выполнении технологических операций | 5 | 90 | 5 | |
Освоение второго этапа электроплавки (работа с частично закрытой ванной). На этом этапе начинается увеличение нагрузок блока | 6 | 75 | 95 | |
Освоение третьего этапа электроплавки (работа с закрытой ванной). Продолжается увеличение нагрузок блока | 7 | 60 | 170 | |
Увеличение нагрузок блока до проектной мощности | 8 | 145 | 95 | |
Блок конвертирования | ||||
Устранение сбоев в работе оборудования | 9 | 5 | 1 | |
Освоение процесса конвертирования, включая закрепление рабочими устойчивых навыков в выполнении технологических операций | 10 | 60 | 5 | |
Дополнительные работы, связанные с освоением проектной мощности всего комплекса электроплавки | ||||
Увязка работы комплекса электроплавки с работой комплекса огневого рафинирования и прочих служб и участков завода | 11 | 30 | 1 | |
Отладка внешних связей работы комплекса | 12 | 45 | 1 | |
Время устойчивого выпуска черновой меди на уровне, предусмотренном проектом | 13 | 30 | 240 |


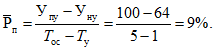
из расчета исключаются время работы объекта, в которое произошло снижение производства продукции из-за отсутствия или недостатка сырья, материалов, электроэнергии, пара, воды, транспортных средств, рабочей силы и других субъективных причин, и объем продукции, выпущенной в это время.Время работы, сутки | Выпуск продукции, т | Примечание |
1 | 205 | |
2 | 34 | Исключено из расчета |
3 | 149 | |
4 | 48 | Исключено из расчета |
5 | 208 | |
6 | 220 | |
7 | 249 | |
8 | 275 | |
9 | 173 | |
10 | 217 | |
11 | 87 | Исключено из расчета |
12 | 229 | |
13 | 317 | |
14 | 277 | |
15 | 410 | |
16 | 365 | |
17 | 228 | |
18 | 344 | |
19 | 289 | |
20 | 333 |


.
определяется по формуле



в единицах измерения мощности:



Проектная мощность предприятия: | |
годовая | - 34 тыс. т |
среднемесячная | - 2,8 тыс. т |
Время ввода в действие объекта | - декабрь 1976 г. |
Время полного освоения проектной мощности объекта | - май 1977 г. |
Фактическая продолжительность освоения проектной мощности | - 5 месяцев |
Фактический объем выпуска продукции за 1977 г. по данным отчета | - 31,1 тыс. т |
Фактический выпуск продукции за период после освоения проектной мощности и до конца отчетного года, июнь - декабрь 1977 г. | - 19,6 тыс. т |


:




- сумма начальных уровней освоения мощностей группы объектов, по которым рассчитывается прогрессивный начальный уровень освоения, в %;
- сумма начальных уровней освоения мощностей объектов, начальный уровень освоения которых выше среднего группы объектов, в %;











на конец I квартала | ![]() |
на конец II квартала | ![]() |
на конец второго месяца III квартала | ![]() |
за I квартал | ![]() |
за II квартал | ![]() |
за два месяца III квартала | ![]() |
за период достижения проектной мощности (I, II кварталы плюс два месяца III квартала) | ![]() |
за третий месяц III квартала | ![]() |
за III квартал | ![]() |
за нормативный период (три квартала) | ![]() |
за I квартал | ![]() |
за II квартал | ![]() |
за III квартал | ![]() |
за IV квартал | ![]() |
за нормативный период | ![]() |
за первый год работы | ![]() |
за второй год работы | ![]() |

на конец I квартала первого года | ![]() |
на конец II квартала первого года | ![]() |
на конец III квартала первого года | ![]() |
на конец IV квартала первого года | ![]() |
на конец I квартала второго года | ![]() |
на конец первого месяца II квартала второго года | ![]() |
за I квартал | ![]() |
за II квартал | ![]() |
за III квартал | ![]() |
за IV квартал | ![]() |
за первый год работы | ![]() |
за I квартал второго года | ![]() |
за первый месяц II квартала второго года | ![]() |
за второй и третий месяцы II квартала второго года | ![]() |
за II квартал второго года | ![]() |
за нормативный период (шесть кварталов) | ![]() |
за второй год работы | ![]() |
за I квартал | ![]() |
за II квартал | ![]() |
за III квартал | ![]() |
за IV квартал | ![]() |
за первый год работы | , или ; |
за I квартал второго года | ![]() |
за первый месяц II квартала второго года | ![]() |
за второй и третий месяцы II квартала второго года | ![]() |
за II квартал второго года | ![]() |
за второй год работы | ![]() |


Проектная мощность объекта: | |
годовая | - 50 тыс. т |
среднеквартальная | - 12,5 тыс. т |
Проектная численность промышленно-производственного персонала | - 650 человек |
В том числе производственных рабочих | - 550 человек |
Норма продолжительности освоения проектной мощности | - 12 месяцев |
Начальный уровень освоения проектной мощности | - 45% |

за I квартал | ![]() |
за II квартал | ![]() |
за III квартал | ![]() |
за IV квартал: | |
в первый и второй месяцы | ![]() |
в третий месяц | ![]() |
за I квартал | , или 50000 · 0,131 = 6550 т; |
за II квартал | , или 50000 · 0,169 = 8450 т; |
за III квартал | , или 50000 · 0,206 = 10300 т; |
за IV квартал | , или 50000 · 0,241 = 12050 т. |
,
.за I квартал | ![]() |
за II квартал | ![]() |
за III квартал | ![]() |
за IV квартал | ![]() |
за первый год работы | ![]() |





в расчете на год | - 45000 тыс. руб.; |
в среднем за квартал | - 11250 тыс. руб.; |
Полная себестоимость единицы продукции | - 900 руб.; |
В том числе: | |
условно-постоянные затраты | - 270 руб.; |
условно-переменные затраты | - 612 руб.; |
затраты на освоение вводимого в действие объекта | - 18 руб. |







за I квартал | - 358,5 тыс. руб.; |
за II квартал | - 1441,5 тыс. руб.; |
за III квартал | - 2496,0 тыс. руб.; |
за IV квартал | - 3493,5 тыс. руб.; |
за первый год работы | - 7789,5 тыс. руб. |
Средняя стоимость: | |
основных производственных фондов: | |
по проекту ![]() | - 95000 тыс. руб.; |
в период освоения ![]() | - 95000 тыс. руб.; |
нормируемых оборотных средств в пределах норматива: | |
по проекту | - 9000 тыс. руб.; |
в период освоения ![]() | |
за I квартал | - 6000 тыс. руб.; |
за II квартал | - 6960 тыс. руб.; |
за III квартал | - 7890 тыс. руб.; |
за IV квартал | - 8770 тыс. руб.; |
за первый год работы | - 7410 тыс. руб. |







Показатели <*> | I квартал | II квартал | III квартал | IV квартал | Первый год освоения |
Объем производства продукции | 52 | 68 | 82 | 96 | 75 |
Производительность труда одного работающего | 62 | 73 | 82 | 96 | 79 |
Себестоимость продукции | 127 | 114 | 106 | 101 | 110 |
Рентабельность | 10 | 39 | 67 | 93 | 53 |
Показатели <*> | По проекту | В период освоения | |||||
на квартал | на год | на I квартал | на II квартал | на III квартал | на IV квартал | на первый год освоения | |
Объем производства продукции, тыс. т | 12,5 | 50 | 6,55 | 8,45 | 10,3 | 12,05 | 37,35 |
Производительность труда одного работающего, т/человека | 19,2 | 76,9 | 11,9 | 14,1 | 15,8 | 18,5 | 61,0 |
Себестоимость продукции, руб./т | 900 | 900 | 1145,3 | 1029,4 | 957,7 | 910,1 | 991,4 |
Рентабельность, % | 3,61 | 14,42 | 0,36 | 1,41 | 2,42 | 3,36 | 7,64 |
Продолжительность освоения в месяцах | Значения корректирующих коэффициентов (К) на конец месяца освоения проектной мощности | Средние значения корректирующих коэффициентов (К) | ||||||||||||||||
1 | 2 | 3 | 4 | 5 | 6 | 7 | 8 | 9 | 10 | 11 | 12 | за I квартал | за II квартал | за III квартал | за IV квартал | за период освоения | ||
1. По первой группе предприятий, объектов (предприятия, объекты перерабатывающей и обрабатывающей отраслей промышленности, осваивающие проектную мощность без значительных затрат времени на увеличение нагрузок) | ||||||||||||||||||
1 | 1,0 | 1,0 | ![]() | |||||||||||||||
2 | 1,0 | 1,0 | 1,0 | |||||||||||||||
3 | 1,0 | 1,01 | 1,0 | 1,0 | 1,0 | |||||||||||||
4 | 1,01 | 1,02 | 1,01 | 1,0 | 1,01 | 1,01 | ||||||||||||
5 | 1,01 | 1,03 | 1,03 | 1,01 | 1,0 | 1,02 | 1,02 | |||||||||||
6 | 1,01 | 1,03 | 1,05 | 1,03 | 1,01 | 1,0 | 1,03 | 1,02 | 1,02 | |||||||||
7 | 1,01 | 1,03 | 1,06 | 1,06 | 1,03 | 1,01 | 1,0 | 1,04 | 1,03 | 1,03 | ||||||||
8 | 1,02 | 1,05 | 1,08 | 1,09 | 1,08 | 1,05 | 1,02 | 1,0 | 1,05 | 1,07 | 1,05 | |||||||
9 | 1,02 | 1,05 | 1,08 | 1,09 | 1,09 | 1,08 | 1,05 | 1,02 | 1,0 | 1,05 | 1,09 | 1,02 | 1,05 | |||||
10 | 1,02 | 1,05 | 1,08 | 1,09 | 1,1 | 1,09 | 1,08 | 1,05 | 1,02 | 1,0 | 1,05 | 1,09 | 1,02 | 1,06 | ||||
11 | 1,02 | 1,05 | 1,08 | 1,09 | 1,1 | 1,1 | 1,09 | 1,08 | 1,05 | 1,02 | 1,0 | 1,05 | 1,1 | 1,05 | 1,06 | |||
12 | 1,02 | 1,05 | 1,08 | 1,09 | 1,1 | 1,1 | 1,1 | 1,09 | 1,08 | 1,05 | 1,02 | 1,0 | 1,05 | 1,1 | 1,09 | 1,02 | 1,06 | |
2. По второй группе предприятий, объектов (предприятия, объекты добывающей промышленности, осваивающие проектную мощность без значительных затрат времени на развитие фронта работ) | ||||||||||||||||||
1 | 1,0 | 1,0 | ![]() | |||||||||||||||
2 | 1,0 | 1,0 | 1,0 | |||||||||||||||
3 | 1,0 | 1,0 | 1,0 | 1,0 | ||||||||||||||
4 | 1,01 | 1,0 | 1,01 | 1,0 | 1,0 | 1,0 | ||||||||||||
5 | 1,02 | 1,02 | 0,98 | 0,98 | 1,0 | 1,01 | 1,0 | |||||||||||
6 | 1,01 | 1,02 | 1,0 | 0,98 | 0,99 | 1,0 | 1,01 | 0,99 | 1,0 | |||||||||
7 | 1,02 | 1,02 | 1,0 | 1,0 | 0,98 | 0,98 | 1,0 | 1,01 | 0,99 | 1,0 | ||||||||
8 | 1,03 | 1,04 | 1,03 | 0,97 | 0,97 | 0,96 | 0,97 | 1,0 | 1,03 | 0,97 | 1,0 | |||||||
9 | 1,03 | 1,06 | 1,03 | 1,0 | 1,0 | 0,97 | 0,94 | 0,97 | 1,0 | 1,04 | 0,99 | 0,97 | 1,0 | |||||
10 | 1,03 | 1,06 | 1,06 | 1,06 | 1,0 | 0,97 | 0,94 | 0,94 | 0,97 | 1,0 | 1,05 | 1,00 | 0,95 | 1,0 | ||||
11 | 1,03 | 1,07 | 1,07 | 1,03 | 1,0 | 1,0 | 0,97 | 0,93 | 0,93 | 0,97 | 1,0 | 1,06 | 0,99 | 0,95 | 1,0 | |||
12 | 1,03 | 1,07 | 1,1 | 1,07 | 1,03 | 1,0 | 0,97 | 0,93 | 0,9 | 0,93 | 0,97 | 1,0 | 1,07 | 1,03 | 0,92 | 0,97 | 1,0 | |
3. По третьей группе предприятий, объектов (предприятия, объекты перерабатывающей, обрабатывающей и добывающей отраслей промышленности, осваивающие проектную мощность со значительными затратами времени на увеличение нагрузок или развитие фронта работ) | ||||||||||||||||||
1 | 1,0 | 1,0 | ![]() | |||||||||||||||
2 | 1,0 | 1,0 | 1,0 | |||||||||||||||
3 | 1,0 | 0,99 | 1,0 | 1,0 | 1,0 | |||||||||||||
4 | 0,99 | 0,98 | 0,99 | 1,0 | 0,99 | 0,99 | ||||||||||||
5 | 0,99 | 0,97 | 0,97 | 0,99 | 1,0 | 0,98 | 0,98 | |||||||||||
6 | 0,99 | 0,97 | 0,95 | 0,97 | 0,99 | 1,0 | 0,97 | 0,98 | 0,98 | |||||||||
7 | 0,99 | 0,97 | 0,94 | 0,94 | 0,97 | 0,99 | 1,0 | 0,96 | 0,97 | 0,97 | ||||||||
8 | 0,98 | 0,95 | 0,92 | 0,91 | 0,92 | 0,95 | 0,98 | 1,0 | 0,95 | 0,93 | 0,95 | |||||||
9 | 0,98 | 0,95 | 0,92 | 0,91 | 0,91 | 0,92 | 0,95 | 0,98 | 1,0 | 0,95 | 0,91 | 0,97 | 0,94 | |||||
10 | 0,98 | 0,95 | 0,92 | 0,91 | 0,9 | 0,91 | 0,92 | 0,95 | 0,98 | 1,0 | 0,95 | 0,91 | 0,95 | 0,94 | ||||
11 | 0,98 | 0,95 | 0,92 | 0,91 | 0,9 | 0,9 | 0,9 | 0,92 | 0,95 | 0,98 | 1,0 | 0,95 | 0,9 | 0,93 | 0,94 | |||
12 | 0,98 | 0,95 | 0,92 | 0,91 | 0,9 | 0,9 | 0,9 | 0,9 | 0,92 | 0,95 | 0,98 | 1,0 | 0,95 | 0,9 | 0,9 | 0,95 | 0,93 | |
Продолжительность освоения (количество кварталов) | Средние значения корректирующих коэффициентов (К) | ||||||||||
за квартал | за год | за период освоения | |||||||||
I | II | III | IV | V | VI | VII | VIII | первый | второй | ||
1. По первой группе предприятий, объектов | |||||||||||
5 | 1,01 | 1,05 | 1,1 | 1,05 | 1,01 | 1,05 | 1,04 | ||||
6 | 1,02 | 1,07 | 1,1 | 1,1 | 1,07 | 1,02 | 1,07 | 1,06 | |||
7 | 1,02 | 1,08 | 1,12 | 1,15 | 1,12 | 1,08 | 1,02 | 1,09 | 1,08 | ||
8 | 1,02 | 1,08 | 1,12 | 1,15 | 1,15 | 1,12 | 1,08 | 1,01 | 1,09 | 1,09 | 1,09 |
2. По второй группе предприятий, объектов | |||||||||||
5 | 1,01 | 1,05 | 1,0 | 0,95 | 0,99 | 1,01 | 1,0 | ||||
6 | 1,02 | 1,1 | 1,05 | 0,95 | 0,9 | 0,98 | 1,04 | 1,0 | |||
7 | 1,02 | 1,1 | 1,05 | 1,0 | 0,95 | 0,9 | 0,98 | 1,05 | 1,0 | ||
8 | 1,02 | 1,15 | 1,1 | 1,05 | 0,95 | 0,9 | 0,85 | 0,98 | 1,09 | 0,91 | 1,0 |
3. По третьей группе предприятий, объектов | |||||||||||
5 | 0,99 | 0,95 | 0,9 | 0,95 | 0,99 | 0,95 | 0,96 | ||||
6 | 0,98 | 0,93 | 0,9 | 0,9 | 0,93 | 0,98 | 0,93 | 0,94 | |||
7 | 0,98 | 0,92 | 0,88 | 0,85 | 0,88 | 0,92 | 0,98 | 0,9 | 0,92 | ||
8 | 0,98 | 0,92 | 0,88 | 0,85 | 0,85 | 0,88 | 0,92 | 0,99 | 0,91 | 0,91 | |
Продолжительность освоения (количество кварталов) | Средние значения корректирующих коэффициентов (К) | |||||||||||||||
за квартал | за год | за период освоения | ||||||||||||||
I | II | III | IV | V | VI | VII | VIII | IX | X | XI | XII | первый | второй | третий | ||
1. По первой группе предприятий, объектов | ||||||||||||||||
9 | 1,02 | 1,05 | 1,1 | 1,14 | 1,18 | 1,14 | 1,1 | 1,05 | 1,01 | 1,08 | 1,09 | |||||
10 | 1,02 | 1,05 | 1,1 | 1,14 | 1,18 | 1,14 | 1,11 | 1,08 | 1,05 | 1,0 | 1,08 | 1,13 | 1,1 | |||
11 | 1,02 | 1,05 | 1,1 | 1,12 | 1,16 | 1,19 | 1,16 | 1,11 | 1,08 | 1,05 | 1,0 | 1,07 | 1,15 | 1,0 | ||
12 | 1,02 | 1,05 | 1,1 | 1,12 | 1,16 | 1,2 | 1,17 | 1,13 | 1,1 | 1,06 | 1,03 | 1,0 | 1,07 | 1,16 | 1,05 | 1,1 |
2. По второй группе предприятий, объектов | ||||||||||||||||
9 | 1,0 | 1,08 | 1,12 | 1,04 | 0,96 | 0,88 | 0,94 | 0,98 | 1,0 | 1,01 | 0,93 | 1,0 | ||||
10 | 1,02 | 1,08 | 1,12 | 1,04 | 1,0 | 0,96 | 0,88 | 0,92 | 0,99 | 1,0 | 1,07 | 0,94 | 1,0 | |||
11 | 1,02 | 1,08 | 1,15 | 1,08 | 1,02 | 0,98 | 0,92 | 0,85 | 0,92 | 0,98 | 1,0 | 1,08 | 0,94 | 1,0 | ||
12 | 1,02 | 1,1 | 1,18 | 1,18 | 1,1 | 1,0 | 0,9 | 0,82 | 0,82 | 0,9 | 0,98 | 1,0 | 1,12 | 0,97 | 0,92 | 1,0 |
3. По третьей группе предприятий, объектов | ||||||||||||||||
9 | 0,98 | 0,95 | 0,9 | 0,96 | 0,82 | 0,86 | 0,9 | 0,95 | 0,99 | 0,92 | 0,88 | 0,91 | ||||
10 | 0,98 | 0,95 | 0,9 | 0,86 | 0,82 | 0,86 | 0,89 | 0,92 | 0,95 | 0,9 | 0,92 | 0,88 | 0,9 | |||
11 | 0,98 | 0,95 | 0,9 | 0,88 | 0,84 | 0,81 | 0,84 | 0,89 | 0,92 | 0,95 | 0,9 | 0,93 | 0,85 | 0,89 | ||
12 | 0,98 | 0,95 | 0,9 | 0,88 | 0,84 | 0,8 | 0,83 | 0,87 | 0,9 | 0,94 | 0,98 | 1,0 | 0,93 | 0,84 | 0,94 | 0,9 |
Начальный уровень освоения в % от проектной мощности | Норма продолжительности освоения проектной мощности в месяцах | Уровень освоения проектной мощности на конец квартала или года (если норма освоения более года) работы предприятий, в % | Объем производства продукции (переработки или добычи сырья), в % от проектной мощности | ||||||
первого | второго | третьего | четвертого | в первый год работы | во второй год работы | в третий год работы | в четвертый год работы | ||
65 | 3 | 100 | - | - | - | 97 | 100 | - | - |
75 | 100 | - | - | - | 98 | 100 | - | - | |
65 | 6 | 86 | 100 | - | - | 93 | 100 | - | - |
75 | 90 | 100 | - | - | 95 | 100 | - | - | |
55 | 9 | 72 | 89 | 100 | - | 85 | 100 | - | - |
65 | 78 | 91 | 100 | - | 88 | 100 | - | - | |
75 | 84 | 94 | 100 | - | 92 | 100 | - | - | |
45 | 60 | 75 | 90 | 100 | 75 | 100 | - | - | |
55 | 12 | 67 | 80 | 92 | 100 | 79 | 100 | - | - |
65 | 75 | 84 | 94 | 100 | 84 | 100 | - | - | |
45 | 96 | 100 (на конец I квартала) | - | - | 70 | 100 | - | - | |
55 | 15 | 97 | 100 (на конец I квартала) | - | - | 76 | 100 | - | - |
65 | 97 | 100 (на конец I квартала) | - | - | 81 | 100 | - | - | |
45 | 86 | 100 (на конец II квартала) | - | - | 66 | 98 | 100 | - | |
55 | 18 | 89 | 100 (на конец II квартала) | - | - | 72 | 98 | 100 | - |
65 | 91 | 100 (на конец II квартала) | - | - | 78 | 99 | 100 | - | |
45 | 80 | 100 (на конец III квартала) | - | - | 62 | 94 | 100 | - | |
55 | 21 | 83 | 100 (на конец III квартала) | - | - | 69 | 95 | 100 | - |
65 | 87 | 100 (на конец III квартала) | - | - | 76 | 96 | 100 | - | |
45 | 75 | 100 | - | - | 60 | 90 | 100 | - | |
55 | 24 | 80 | 100 | - | - | 67 | 91 | 100 | - |
65 | 84 | 100 | - | - | 75 | 93 | 100 | - | |
45 | 71 | 98 | 100 (на конец I квартала) | - | 68 | 85 | 100 | - | |
55 | 27 | 77 | 98 | 100 (на конец I квартала) | - | 66 | 87 | 100 | - |
65 | 82 | 99 | 100 (на конец I квартала) | - | 73 | 90 | 100 | - | |
45 | 69 | 92 | 100 (на конец II квартала) | - | 57 | 80 | 99 | 100 | |
55 | 30 | 74 | 94 | 100 (на конец II квартала) | - | 65 | 84 | 99 | 100 |
65 | 80 | 95 | 100 (на конец II квартала) | - | 72 | 87 | 99 | 100 | |
Начальный уровень освоения, в % от проектной мощности | Ввод в действие (квартал) | Объем производства продукции, в % от проектной мощности | |||||||||
для текущего планирования | для перспективного планирования | ||||||||||
в год ввода в действие | в первый год работы | во второй год работы | в третий год работы | в четвертый год работы | в год ввода в действие | в первый год работы | во второй год работы | в третий год работы | в четвертый год работы | ||
При норме продолжительности освоения проектной мощности - 3 месяца | |||||||||||
65 | I | 71 | 100 | - | - | - | 46 | 99 | 100 | ||
II | 46 | 100 | - | - | - | ||||||
III | 21 | 100 | - | - | - | ||||||
IV | - | 96 | 100 | - | - | ||||||
75 | I | 72 | 100 | - | - | - | 47 | 99 | 100 | ||
II | 47 | 100 | - | - | - | ||||||
III | 22 | 100 | - | - | - | ||||||
IV | - | 97 | 100 | - | - | ||||||
При норме продолжительности освоения проектной мощности - 6 месяцев | |||||||||||
65 | I | 68 | 100 | - | - | - | 43 | 98 | 100 | ||
II | 43 | 100 | - | - | - | ||||||
III | 19 | 99 | 100 | - | - | ||||||
IV | - | 93 | 100 | - | - | ||||||
75 | I | 70 | 100 | - | - | - | 45 | 98 | 100 | ||
II | 45 | 100 | - | - | - | ||||||
III | 21 | 99 | 100 | - | - | ||||||
IV | - | 95 | 100 | - | - | ||||||
При норме продолжительности освоения проектной мощности - 9 месяцев | |||||||||||
55 | I | 60 | 100 | 100 | - | - | 37 | 95 | 100 | ||
II | 36 | 99 | 100 | - | - | ||||||
III | 16 | 94 | 100 | - | - | ||||||
IV | - | 85 | 100 | - | - | ||||||
65 | I | 63 | 100 | - | - | - | 40 | 96 | 100 | ||
II | 39 | 99 | 100 | - | - | ||||||
III | 18 | 95 | 100 | - | - | ||||||
IV | - | 88 | 100 | - | - | ||||||
75 | I | 67 | 100 | - | - | - | 43 | 96 | 100 | ||
II | 42 | 99 | 100 | - | - | ||||||
III | 20 | 98 | 100 | - | - | ||||||
IV | - | 92 | 100 | - | - | ||||||
При норме продолжительности освоения проектной мощности - 12 месяцев | |||||||||||
45 | I | 51 | 99 | 100 | - | - | 31 | 89 | 100 | ||
II | 30 | 95 | 100 | - | - | ||||||
III | 13 | 87 | 100 | - | - | ||||||
IV | - | 75 | 100 | - | - | ||||||
55 | I | 55 | 99 | 100 | - | - | 35 | 91 | 100 | ||
II | 34 | 96 | 100 | - | - | ||||||
III | 15 | 89 | 100 | - | - | ||||||
IV | - | 79 | 100 | - | - | ||||||
65 | I | 59 | 99 | 100 | - | - | 38 | 93 | 100 | ||
II | 37 | 97 | 100 | - | - | ||||||
III | 17 | 92 | 100 | - | - | ||||||
IV | - | 84 | 100 | - | - | ||||||
При норме продолжительности освоения проектной мощности - 15 месяцев | |||||||||||
45 | I | 48 | 97 | 100 | - | - | 30 | 85 | 100 | ||
II | 29 | 91 | 100 | - | - | ||||||
III | 13 | 82 | 100 | - | - | ||||||
IV | - | 70 | 100 | - | - | ||||||
55 | I | 53 | 98 | 100 | - | - | 34 | 88 | 100 | ||
II | 33 | 93 | 100 | - | - | ||||||
III | 15 | 86 | 100 | - | - | ||||||
IV | - | 76 | 100 | - | - | ||||||
65 | I | 58 | 98 | 100 | - | - | 37 | 91 | 100 | ||
II | 37 | 99 | 100 | - | - | ||||||
III | 17 | 89 | 100 | - | - | ||||||
IV | - | 81 | 100 | - | - | ||||||
При норме продолжительности освоения проектной мощности - 18 месяцев | |||||||||||
45 | I | 45 | 93 | 100 | - | - | 29 | 80 | 99 | 100 | |
II | 28 | 86 | 100 | - | - | ||||||
III | 13 | 76 | 100 | - | - | ||||||
IV | - | 66 | 98 | 100 | - | ||||||
55 | I | 51 | 94 | 100 | - | - | 32 | 84 | 99 | 100 | |
II | 32 | 88 | 100 | - | - | ||||||
III | 15 | 80 | 100 | - | - | ||||||
IV | - | 72 | 98 | 100 | - | ||||||
65 | I | 56 | 96 | 100 | - | - | 36 | 87 | 100 | ||
II | 36 | 91 | 100 | - | - | ||||||
III | 17 | 85 | 100 | - | - | ||||||
IV | - | 78 | 99 | 100 | - | ||||||
При норме продолжительности освоения проектной мощности - 21 месяц | |||||||||||
45 | I | 43 | 88 | 100 | - | - | 28 | 75 | 100 | ||
II | 27 | 80 | 100 | - | - | ||||||
III | 12 | 71 | 98 | 100 | - | ||||||
IV | - | 62 | 94 | 100 | - | ||||||
55 | I | 49 | 90 | 100 | - | - | 32 | 80 | 98 | 100 | |
II | 31 | 83 | 100 | - | - | ||||||
III | 15 | 76 | 98 | 100 | - | ||||||
IV | - | 69 | 95 | 100 | - | ||||||
65 | I | 55 | 92 | 100 | - | - | 36 | 84 | 99 | 100 | |
II | 35 | 87 | 100 | - | - | ||||||
III | 17 | 82 | 99 | 100 | - | ||||||
IV | - | 76 | 96 | 100 | - | ||||||
При норме продолжительности освоения проектной мощности - 24 месяца | |||||||||||
45 | I | 42 | 82 | 100 | - | - | 27 | 71 | 96 | 100 | |
II | 26 | 75 | 98 | 100 | - | ||||||
III | 12 | 67 | 95 | 100 | - | ||||||
IV | - | 60 | 90 | 100 | - | ||||||
55 | I | 48 | 86 | 100 | - | - | 31 | 76 | 96 | 100 | |
II | 31 | 80 | 99 | 100 | - | ||||||
III | 15 | 73 | 96 | 100 | - | ||||||
IV | - | 67 | 92 | 100 | - | ||||||
65 | I | 54 | 89 | 100 | - | - | 35 | 82 | 97 | 100 | |
II | 35 | 84 | 99 | 100 | - | ||||||
III | 17 | 79 | 97 | 100 | - | ||||||
IV | - | 75 | 93 | 100 | - | ||||||
При норме продолжительности освоения проектной мощности - 27 месяцев | |||||||||||
45 | I | 41 | 78 | 99 | 100 | - | 26 | 68 | 92 | 100 | |
II | 26 | 71 | 95 | 100 | - | ||||||
III | 12 | 65 | 91 | 100 | - | ||||||
IV | - | 58 | 85 | 100 | - | ||||||
55 | I | 47 | 82 | 99 | 100 | - | 31 | 74 | 94 | 100 | |
II | 30 | 77 | 96 | 100 | - | ||||||
III | 14 | 71 | 92 | 100 | - | ||||||
IV | - | 66 | 87 | 100 | - | ||||||
65 | I | 53 | 86 | 99 | 100 | - | 35 | 80 | 95 | 100 | |
II | 35 | 82 | 97 | 100 | - | ||||||
III | 17 | 78 | 94 | 100 | - | ||||||
IV | - | 73 | 90 | 100 | - | ||||||
При норме продолжительности освоения проектной мощности - 30 месяцев | |||||||||||
45 | I | 40 | 74 | 96 | 100 | - | 26 | 66 | 89 | 100 | |
II | 25 | 68 | 92 | 100 | - | ||||||
III | 12 | 63 | 86 | 100 | - | ||||||
IV | - | 57 | 80 | 99 | 100 | ||||||
55 | I | 47 | 79 | 97 | 100 | - | 30 | 72 | 91 | 100 | |
II | 30 | 74 | 93 | 100 | - | ||||||
III | 14 | 69 | 89 | 100 | - | ||||||
IV | - | 65 | 84 | 99 | 100 | ||||||
65 | I | 53 | 84 | 97 | 100 | - | 35 | 78 | 92 | 100 | |
II | 34 | 80 | 95 | 100 | - | ||||||
III | 17 | 76 | 91 | 100 | - | ||||||
IV | - | 72 | 87 | 99 | 100 | ||||||
Наименование и характеристика энергоблоков и агрегатов | Нормы продолжительности освоения проектной мощности, в месяцах | Уровень освоения проектной мощности, в %, на конец квартала или года (если норма продолжительности освоения более года) работы энергоблока или агрегата | Коэффициенты готовности энергоблока или агрегата, в % от годового календарного фонда времени | |||||
первого | второго | третьего | четвертого | в первый год работы | во второй год работы | в третий год работы | ||
Теплофикационная паровая турбина и котлоагрегат на давление пара у турбины 130 ата при работе: | ||||||||
на твердом топливе | 4 | 100 | - | - | - | 83 | 85 | 85 |
на газомазутном топливе | 3 | 100 (на конец второго месяца) | - | - | - | 84 | 87 | 87 |
Энергоблок паровой мощностью 180 - 210 МВт при работе: | ||||||||
на твердом топливе | 5 | 85 | 100 (на конец первого месяца) | - | - | 80 | 85 | 85 |
на газомазутном топливе | 3 | 100 (на конец второго месяца) | - | - | - | 82 | 87 | 87 |
Энергоблок паровой мощностью 250 - 300 МВт при работе: | ||||||||
на твердом топливе | 8 | 85 | 90 | 100 (на конец первого месяца) | - | 79 | 84 | 85 |
на газомазутном топливе | 4 | 100 | - | - | - | 81 | 87 | 87 |
Энергоблок паровой мощностью 500 МВт при работе на твердом топливе | 12 | 85 | 90 | 95 | 100 (на конец второго месяца) | 68 | 80 | 82 |
Энергоблок паровой мощностью 800 МВт при работе: | ||||||||
на твердом топливе | 15 | 90 | 100 (на конец второго месяца) | - | - | 68 | 80 | 80 |
на газомазутном топливе | 9 | 80 | 90 | 100 (на конец второго месяца) | - | 70 | 84 | 84 |
Гидроагрегаты | 2 | 100 (на конец первого месяца) | - | - | - | 85 | 90 | 90 |
Энергоблок с водо-водяным энергетическим атомным реактором мощностью 440 МВт в составе двух турбин мощностью 220 МВт каждая | 5 | 75 | 100 (на конец первого месяца) | - | - | 72 | 79 | 85 |
Энергоблок с водо-водяным энергетическим атомным реактором мощностью 1000 МВт в составе одной турбины мощностью 1000 МВт | 6 | 75 | 100 (на конец второго месяца) | - | - | 53 | 68 | 80 |
Энергоблок с канальным графитоводным атомным реактором мощностью 1000 МВт в составе двух турбин мощностью 500 МВт каждая | 6 | 75 | 100 (на конец второго месяца) | - | - | 57 | 71 | 78 |
Энергоблок с канальным графитоводным атомным реактором мощностью 1500 МВт в составе двух турбин мощностью 750 МВт каждая | 6 | 75 | 100 (на конец второго месяца) | - | - | 56 | 70 | 78 |
Примечания: 1. По истечении срока освоения проектной мощности должна обеспечиваться работа агрегатов электростанций во всех проектных режимах с мощностью, соответствующей паспортной (заводской) характеристике. | ||||||||
2. Коэффициент готовности определяется как отношение суммы рабочего времени и времени нахождения энергоблоков и агрегатов в резерве к календарному времени отчетного периода. | ||||||||
3. На гидроэлектростанциях в указанный срок должна быть достигнута мощность гидроагрегатов, определенная заводской характеристикой гидротурбины для данного напора воды в водохранилище. | ||||||||
4. Нормы продолжительности освоения проектных мощностей для головных энергоблоков могут увеличиваться Минэнерго СССР по согласованию с Госпланом СССР до 30%. | ||||||||
Наименование и характеристика предприятий, производств, цехов и их мощность | Норма продолжительности освоения проектной мощности, в месяцах | Уровень освоения проектной мощности, в %, на конец квартала или года (если норма продолжительности освоения более года) работы предприятий | Объем производства продукции (переработки или добычи сырья), в % от годовой проектной мощности | |||||
первого | второго | третьего | четвертого | в первый год работы | во второй год работы | в третий год работы | ||
Магистральный газопровод с компрессорными станциями мощностью по проекту | 6 | 86 | 100 (на конец второго месяца) | - | - | 95 | 100 | - |
Установка по совместному производству гелия и этана мощностью по переработке газа до 5 млрд. м3 в год: | ||||||||
первая установка | 9 | 75 | 85 | 100 (на конец второго месяца) | - | 85 | 100 | - |
последующие | 6 | 85 | 100 (на конец второго месяца) | - | - | 92 | 100 | - |
Установка газофракционирования мощностью по загрузке до 500 тыс. т в год нестабильного бензина | 3 | 100 (на конец второго месяца) | - | - | - | 97 | 100 | - |
Установка низкотемпературной конденсации углеводородов из газа мощностью по переработке до 5 млрд. м3 газа в год: | ||||||||
первая установка | 6 | 80 | 100 (на конец второго месяца) | - | - | 90 | 100 | - |
последующие | 4 | 100 | - | - | - | 93 | 100 | - |
Установка по сероочистке газа моноэтаноламином и диэтаноламином мощностью по переработке до 5 млрд. м3 газа в год при содержании сероводорода: | ||||||||
до 5% | 5 | 80 | 100 (на конец первого месяца) | - | - | 85 | 100 | - |
от 5 до 15% | 8 | 65 | 85 | 100 (на конец первого месяца) | - | 80 | 100 | - |
свыше 15% | 10 | 60 | 75 | 100 | - | 75 | 100 | - |
Установка производства серы из кислых газов мощностью: | ||||||||
до 200 тыс. т серы в год | 6 | 80 | 100 (на конец второго месяца) | - | - | 90 | 100 | - |
свыше 200 тыс. т серы в год | 9 | 75 | 90 | 100 (на конец второго месяца) | - | 85 | 100 | - |
Установка доочистки отходящих газов производства серы мощностью: | ||||||||
до 200 тыс. т серы в год | 6 | 80 | 100 (на конец второго месяца) | - | - | 90 | 100 | - |
свыше 200 тыс. т серы в год | 9 | 75 | 90 | 100 (на конец второго месяца) | - | 85 | 100 | - |
Установка заводской стабилизации газового конденсата мощностью по сырью: | ||||||||
до 1,5 млн. т в год | 4 | 100 | - | - | - | 93 | 100 | - |
свыше 1,5 млн. т в год | 6 | 80 | 100 (на конец второго месяца) | - | - | 90 | 100 | - |
Установка гликолевой осушки газа мощностью до 5 млрд. м3 в год | 3 | 100 (на конец второго месяца) | - | - | - | 95 | 100 | - |
Установка циолитовой очистки газа от сероводорода и меркаптанов мощностью по газу до 10 млрд. м3 в год | 5 | 82 | 100 (на конец первого месяца) | - | - | 90 | 100 | - |
Установка осушки и отбензинивания газа мощностью до 5 млрд. м3 в год | 6 | 75 | 100 (на конец второго месяца) | - | - | 85 | 100 | - |
Примечание. Проектная мощность магистрального газопровода с компрессорными станциями при их поэтапном вводе в действие определяется исходя из количества введенных компрессорных станций. | ||||||||
Наименование и характеристика предприятий, производств, цехов и их мощность | Наименование экономических показателей | Норма продолжительности освоения, в месяцах | Средний уровень освоения проектируемого экономического показателя, в % | ||||||
в первый год работы | во второй год работы | в третий год работы | |||||||
кварталы | за год | ||||||||
I | II | III | IV | ||||||
Магистральный газопровод с компрессорными станциями мощностью по проекту | Производительность труда | 6 | 83 | 97 | 100 | 100 | 95 | 100 | - |
Себестоимость продукции | 6 | 115 | 103 | 100 | 100 | 103 | 100 | - | |
Установка по совместному производству гелия и этана мощностью по переработке газа до 5 млрд. м3 в год: | |||||||||
первая установка | Производительность труда | 9 | 70 | 80 | 92 | 100 | 85 | 100 | - |
Себестоимость продукции | 9 | 125 | 114 | 103 | 100 | 110 | 100 | - | |
последующие | Производительность труда | 6 | 77 | 92 | 100 | 100 | 92 | 100 | - |
Себестоимость продукции | 6 | 120 | 103 | 100 | 100 | 105 | 100 | - | |
Установка газофракционирования мощностью по загрузке до 500 тыс. т в год нестабильного бензина | Производительность труда | 3 | 90 | 100 | 100 | 100 | 97 | 100 | - |
Себестоимость продукции | 3 | 107 | 100 | 100 | 100 | 102 | 100 | - | |
Установка низкотемпературной конденсации углеводородов из газа мощностью по переработке до 5 млрд. м3 газа в год: | |||||||||
первая установка | Производительность труда | 6 | 70 | 90 | 100 | 100 | 90 | 100 | - |
Себестоимость продукции | 6 | 122 | 106 | 100 | 100 | 106 | 100 | - | |
последующие | Производительность труда | 4 | 72 | 100 | 100 | 100 | 93 | 100 | - |
Себестоимость продукции | 4 | 122 | 100 | 100 | 100 | 104 | 100 | - | |
Установка по сероочистке газа моноэтаноламином и диэтаноламином мощностью по переработке до 5 млрд. м3 газа в год при содержании сероводорода: | |||||||||
до 5% | Производительность труда | 5 | 50 | 90 | 100 | 100 | 85 | 100 | - |
Себестоимость продукции | 5 | 112 | 102 | 100 | 100 | 102,5 | 100 | - | |
от 5 до 15% | Производительность труда | 8 | 48 | 75 | 97 | 100 | 80 | 100 | - |
Себестоимость продукции | 8 | 113 | 104 | 101 | 100 | 103 | 100 | - | |
свыше 15% | Производительность труда | 10 | 46 | 67 | 87 | 100 | 75 | 100 | - |
Себестоимость продукции | 10 | 114 | 106 | 102 | 100 | 104 | 100 | - | |
Установка производства серы из кислых газов мощностью: | |||||||||
до 200 тыс. т серы в год | Производительность труда | 6 | 70 | 90 | 100 | 100 | 90 | 100 | - |
Себестоимость продукции | 6 | 115 | 104 | 100 | 100 | 104 | 100 | - | |
свыше 200 тыс. т серы в год | Производительность труда | 9 | 64 | 82 | 95 | 100 | 85 | 100 | - |
Себестоимость продукции | 9 | 120 | 108 | 102 | 100 | 107 | 100 | - | |
Установка доочистки отходящих газов производства серы мощностью: | |||||||||
до 200 тыс. т серы в год | Производительность труда | 6 | 70 | 90 | 100 | 100 | 90 | 100 | - |
Себестоимость продукции | 6 | 115 | 104 | 100 | 100 | 104 | 100 | - | |
свыше 200 тыс. т серы в год | Производительность труда | 9 | 64 | 82 | 95 | 100 | 85 | 100 | - |
Себестоимость продукции | 9 | 120 | 108 | 102 | 100 | 107 | 100 | - | |
Установка заводской стабилизации газового конденсата мощностью по сырью: | |||||||||
до 1,5 млн. т в год | Производительность труда | 4 | 72 | 100 | 100 | 100 | 93 | 100 | - |
Себестоимость продукции | 4 | 110 | 100 | 100 | 100 | 103 | 100 | - | |
свыше 1,5 млн. т в год | Производительность труда | 6 | 68 | 92 | 100 | 100 | 90 | 100 | - |
Себестоимость продукции | 6 | 113 | 105 | 100 | 100 | 104 | 100 | - | |
Установка гликолевой осушки газа мощностью до 5 млрд. м3 в год | Производительность труда | 3 | 80 | 100 | 100 | 100 | 95 | 100 | - |
Себестоимость продукции | 3 | 107 | 100 | 100 | 100 | 102 | 100 | - | |
Установка циолитовой очистки газа от сероводорода и меркаптанов мощностью по газу до 10 млрд. м3 в год | Производительность труда | 5 | 65 | 95 | 100 | 100 | 90 | 100 | - |
Себестоимость продукции | 5 | 113 | 106 | 100 | 100 | 104 | 100 | - | |
Установка осушки и отбензинивания газа производительностью до 5 млрд. м3 в год | Производительность труда | 6 | 55 | 85 | 100 | 100 | 85 | 100 | - |
Себестоимость продукции | 6 | 115 | 105 | 100 | 100 | 105 | 100 | - | |
Наименование и характеристика предприятий, производств, цехов и их мощность | Норма продолжительности освоения проектной мощности, в месяцах | Уровень освоения проектной мощности, в %, на конец квартала или года (если норма продолжительности освоения более года) работы предприятий | Объем производства продукции (переработки или добычи сырья) в % от годовой проектной мощности | |||||
первого | второго | третьего | четвертого | в первый год работы | во второй год работы | в третий год работы | ||
Установка по совместному производству гелия и этана мощностью по переработке газа до 5 млрд. м3 в год: | ||||||||
первая установка | 9 | 75 | 85 | 100 (на конец второго месяца) | - | 85 | 100 | - |
последующие | 6 | 85 | 100 (на конец второго месяца) | - | - | 92 | 100 | - |
Установка газофракционирования мощностью по загрузке до 500 тыс. т в год нестабильного бензина | 3 | 100 (на конец второго месяца) | - | - | - | 97 | 100 | - |
Установка масляной абсорбции углеводородных газов (МАУ) мощностью по переработке до 1 млрд. м3 газа в год: | ||||||||
по загрузке | 5 | 85 | 100 (на конец первого месяца) | - | - | 93 | 100 | - |
по отбору и чистоте продуктов, в % от проектных показателей | 6 | 80 | 100 (на конец второго месяца) | - | - | 90 | 100 | - |
Компрессорная станция газоперерабатывающего завода с многоступенчатыми компрессорами и блоками промежуточного охлаждения мощностью по переработке газа до 2 млрд. м3 в год | 6 | 80 | 100 (на конец второго месяца) | - | - | 90 | 100 | - |
Установка низкотемпературной конденсации углеводородов из газа мощностью по переработке до 5 млрд. м3 газа в год: | ||||||||
первая установка | 6 | 80 | 100 (на конец второго месяца) | - | - | 90 | 100 | - |
последующие | 4 | 100 | - | - | - | 93 | 100 | - |
Заводы по производству нефтеаппаратуры мощностью по проекту | 15 | 90 | 100 (на конец первого месяца) | - | - | 70 | 97 | 100 |
Заводы по производству нефтепромыслового оборудования и запасных частей к нему мощностью по проекту | 15 | 90 | 100 (на конец первого месяца) | - | - | 70 | 97 | 100 |
Цехи и комплексы по производству штамповок (горячих) мощностью до 20 тыс. т в год | 8 | 70 | 85 | 100 (на конец первого месяца) | - | 80 | 100 | - |
Цехи и комплексы по производству сварных металлоконструкций мощностью до 70 тыс. т в год | 10 | 60 | 80 | 100 | - | 75 | 100 | - |
Заводы легких металлических конструкций производственных зданий мощностью 500 тыс. м2 в год | 12 | 60 | 75 | 90 | 100 (на конец второго месяца) | 75 | 100 | - |
Ремонтно-механические заводы мощностью по проекту | 12 | 55 | 70 | 86 | 100 (на конец второго месяца) | 73 | 100 | - |
Завод по производству приборов и средств автоматизации мощностью до 16 млн. руб. в год | 9 | 60 | 84 | 100 (на конец второго месяца) | - | 78 | 100 | - |
Завод железобетонных изделий мощностью до 100 тыс. м3 железобетона в год | 9 | 60 | 80 | 100 (на конец второго месяца) | - | 75 | 100 | - |
Наименование и характеристика предприятий, производств, цехов и их мощность | Наименование экономических показателей | Норма продолжительности освоения, в месяцах | Средний уровень освоения проектируемого экономического показателя, в % | ||||||
в первый год работы | во второй год работы | в третий год работы | |||||||
кварталы | за год | ||||||||
I | II | III | IV | ||||||
Установка по совместному производству гелия и этана мощностью по переработке газа до 5 млрд. м3 в год: | |||||||||
первая установка | Производительность труда | 9 | 70 | 80 | 92 | 100 | 85 | 100 | - |
Себестоимость продукции | 9 | 125 | 114 | 103 | 100 | 110 | 100 | - | |
последующие | Производительность труда | 6 | 77 | 92 | 100 | 100 | 92 | 100 | - |
Себестоимость продукции | 6 | 120 | 103 | 100 | 100 | 105 | 100 | - | |
Установка газофракционирования мощностью по загрузке до 500 тыс. т в год нестабильного бензина | Производительность труда | 3 | 90 | 100 | 100 | 100 | 97 | 100 | - |
Себестоимость продукции | 3 | 107 | 100 | 100 | 100 | 102 | 100 | - | |
Установка масляной абсорбции углеводородных газов (МАУ) мощностью по переработке до 1 млрд. м3 газа в год: | |||||||||
по загрузке | Производительность труда | 5 | 75 | 97 | 100 | 100 | 93 | 100 | - |
Себестоимость продукции | 5 | 119 | 101 | 100 | 100 | 104 | 100 | - | |
по отбору и чистоте продуктов, в % от проектных показателей | Производительность труда | 6 | 67 | 93 | 100 | 100 | 90 | 100 | - |
Себестоимость продукции | 6 | 128 | 104 | 100 | 100 | 106 | 100 | - | |
Компрессорная станция газоперерабатывающего завода с многоступенчатыми компрессорами и блоками промежуточного охлаждения мощностью по переработке газа до 2 млрд. м3 в год | Производительность труда | 6 | 70 | 90 | 100 | 100 | 90 | 100 | - |
Себестоимость продукции | 6 | 124 | 106 | 100 | 100 | 106 | 100 | - | |
Установка низкотемпературной конденсации (НТК) углеводородов из газа мощностью по переработке до 5 млрд. м3 газа в год: | |||||||||
первая установка | Производительность труда | 6 | 70 | 90 | 100 | 100 | 90 | 100 | - |
Себестоимость продукции | 6 | 122 | 106 | 100 | 100 | 106 | 100 | - | |
последующие | Производительность труда | 4 | 72 | 100 | 100 | 100 | 93 | 100 | - |
Себестоимость продукции | 4 | 122 | 100 | 100 | 100 | 104 | 100 | - | |
Заводы по производству нефтеаппаратуры мощностью по проекту | Производительность труда | 15 | 59 | 66 | 74 | 81 | 70 | 97 | 100 |
Себестоимость продукции | 15 | 128 | 120 | 114 | 109 | 117 | 101 | 100 | |
Заводы по производству нефтепромыслового оборудования и запасных частей к нему мощностью по проекту | Производительность труда | 15 | 59 | 66 | 74 | 81 | 70 | 97 | 100 |
Себестоимость продукции | 15 | 129 | 121 | 115 | 110 | 118 | 101 | 100 | |
Цехи и комплексы по производству штамповок (горячих) мощностью до 20 тыс. т в год | Производительность труда | 8 | 45 | 78 | 97 | 100 | 80 | 100 | - |
Себестоимость продукции | 8 | 150 | 112 | 101 | 100 | 100 | 110 | 100 | |
Цехи и комплексы по производству сварных металлоконструкций мощностью до 70 тыс. т в год | Производительность труда | 10 | 40 | 70 | 90 | 100 | 75 | 100 | - |
Себестоимость продукции | 10 | 150 | 121 | 105 | 100 | 116 | 100 | - | |
Заводы легких металлических конструкций производственных зданий мощностью 500 тыс. м2 в год | Производительность труда | 12 | 56 | 63 | 78 | 95 | 73 | 100 | - |
Себестоимость продукции | 12 | 119 | 114 | 107 | 101 | 109 | 100 | - | |
Ремонтно-механические заводы мощностью по проекту | Производительность труда | 12 | 56 | 63 | 78 | 95 | 73 | 100 | - |
Себестоимость продукции | 12 | 132 | 125 | 112 | 102 | 115 | 100 | - | |
Завод по производству приборов и средств автоматизации мощностью до 16 млн. руб. в год | Производительность труда | 9 | 45 | 72 | 95 | 100 | 78 | 100 | - |
Себестоимость продукции | 9 | 148 | 116 | 102 | 100 | 111 | 100 | - | |
Завод железобетонных изделий мощностью до 100 тыс. м3 железобетона в год | Производительность труда | 9 | 40 | 70 | 90 | 100 | 75 | 100 | - |
Себестоимость продукции | 9 | 160 | 126 | 107 | 100 | 120 | 100 | - | |
Наименование и характеристика предприятий, производств, цехов и их мощность | Норма продолжительности освоения проектной мощности, в месяцах | Уровень освоения проектной мощности, в %, на конец квартала или года (если норма продолжительности освоения более года) работы предприятий | Объем производства продукции (переработки или добычи сырья) в % от годовой проектной мощности | |||||
первого | второго | третьего | четвертого | в первый год работы | во второй год работы | в третий год работы | ||
Первичная переработка нефти | ||||||||
Атмосферно-вакуумные трубчатки мощностью 3 и 6 млн. т в год | 3 | 100 (на конец второго месяца) | - | - | - | 97 | 100 | - |
Комбинированная установка переработки нефти ЛК-6у мощностью 6 млн. т в год: | ||||||||
первая установка | 7 | 75 | 100 | - | - | 90 | 100 | - |
последующие | 6 | 80 | 100 (на конец второго месяца) | - | - | 90 | 100 | - |
Установка каталитического крекинга мощностью 1,2 - 2 млн. т в год | 7 | 75 | 100 | - | - | 90 | 100 | - |
Комбинированная установка глубокой переработки мазута КТ-1 мощностью по проекту | 9 | 70 | 88 | 100 (на конец второго месяца) | - | 85 | 100 | - |
Установка гидрокрекинга мощностью 1 млн. т в год с производством водорода: | ||||||||
первая установка | 8 | 70 | 95 | 100 (на конец первого месяца) | - | 85 | 100 | - |
последующие | 6 | 80 | 100 (на конец второго месяца) | - | - | 90 | 100 | - |
Установка замедленного коксования в необогреваемых камерах мощностью 600 тыс. т в год | 6 | 80 | 100 (на конец второго месяца) | - | - | 90 | 100 | - |
Установка замедленного коксования в необогреваемых камерах мощностью 1 - 1,5 млн. т в год: | ||||||||
первая установка | 8 | 70 | 95 | 100 (на конец первого месяца) | - | 85 | 100 | - |
последующие | 5 | 88 | 100 (на конец первого месяца) | - | - | 95 | 100 | - |
Установка прокалки кокса мощностью по проекту | 8 | 70 | 95 | 100 (на конец первого месяца) | - | 85 | 100 | - |
Блок подготовки сырья коксования мощностью 500 тыс. т в год | 3 | 100 (на конец второго месяца) | - | - | - | 97 | 100 | - |
Каталитическое риформирование | ||||||||
Установка каталитического риформинга (в том числе узких фракций) с предварительной гидроочисткой сырья мощностью до 600 тыс. т в год | 3 | 100 (на конец второго месяца) | - | - | - | 97 | 100 | - |
Установка каталитического риформинга Л-35-11/1000 мощностью 1 млн. т в год: | ||||||||
первая установка | 6 | 86 | 100 (на конец второго месяца) | - | - | 93 | 100 | - |
последующие | 4 | 100 | - | - | - | 95 | 100 | - |
Комплекс ароматики: | ||||||||
ортоксилол, мощностью 165 тыс. т в год | 12 | 50 | 70 | 85 | 100 (на конец второго месяца) | 75 | 100 | - |
параксилол, мощностью 165 тыс. т в год | ||||||||
бензол, мощностью 125 тыс. т в год | ||||||||
Производство ароматических углеводородов и изомеризация | ||||||||
Установка гидродеалкилирования ароматики мощностью 150 тыс. т в год | 9 | 70 | 88 | 100 (на конец второго месяца) | - | 85 | 100 | - |
Установка извлечения и фракционирования бензола, толуола и ксилолов из катализата риформинга мощностью по сырью до 800 тыс. т в год | 3 | 100 (на конец второго месяца) | - | - | - | 97 | 100 | - |
Установка изомеризации бензина мощностью 150 - 300 тыс. т в год | 5 | 88 | 100 (на конец первого месяца) | - | - | 95 | 100 | - |
Экстракция ароматических углеводородов мощностью 700 тыс. т в год | 3 | 100 (на конец второго месяца) | - | - | - | 97 | 100 | - |
Гидроочистка | ||||||||
Установка гидроочистки дизельного топлива мощностью 1,2 - 2 млн. т в год | 3 | 100 (на конец второго месяца) | - | - | - | 97 | 100 | - |
Установка гидроочистки керосина мощностью по проекту | 3 | 100 (на конец второго месяца) | - | - | - | 97 | 100 | - |
Депарафинизация | ||||||||
Установка карбамидной депарафинизации дизельного топлива мощностью по сырью 500 тыс. т в год | 5 | 88 | 100 (на конец первого месяца) | - | - | 95 | 100 | - |
Производство жидких парафинов методом "Парекс" мощностью 120 тыс. т в год: | ||||||||
первая установка | 12 | 60 | 70 | 90 | 100 (на конец второго месяца) | 75 | 100 | - |
последующие | 9 | 70 | 85 | 100 (на конец второго месяца) | - | 85 | 100 | - |
Алкилирование | ||||||||
Установка сернокислотного алкилирования бутан-бутиленовой фракции с контактно-каскадным реактором мощностью по алкилату до 180 тыс. т в год | 5 | 80 | 100 (на конец первого месяца) | - | - | 95 | 100 | - |
Производство нефтебитума | ||||||||
Установка по получению битума мощностью до 500 тыс. т в год (непрерывного действия) | 3 | 100 (на конец второго месяца) | - | - | - | 97 | 100 | - |
Комплекс производства битума с вакуумной перегонкой мазута мощностью 1300 тыс. т в год, битума - 500 тыс. т в год | 3 | 100 (на конец второго месяца) | - | - | - | 97 | 100 | - |
Сероочистка сухих газов | ||||||||
Установка очистки сухих газов нефтеперерабатывающих заводов от сероводорода и углекислого газа мощностью до 160 тыс. т в год | 3 | 100 (на конец второго месяца) | - | - | - | 97 | 100 | - |
Производство серной кислоты и серы | ||||||||
Установки по производству серы на нефтеперерабатывающих заводах мощностью до 40 тыс. т в год | 3 | 100 (на конец второго месяца) | - | - | - | 97 | 100 | - |
Цех регенерации отработанной серной кислоты мощностью по серной кислоте до 20 тыс. т в год | 4 | 100 | - | - | - | 95 | 100 | - |
Получение серной кислоты из кислых гудронов мощностью до 40 тыс. т в год | 9 | 70 | 90 | 100 (на конец второго месяца) | - | 85 | 100 | - |
Производство сжиженных газов | ||||||||
Абсорбционно-газофракционирующая установка, газофракционирующая установка нефтеперерабатывающих заводов мощностью по проекту | 3 | 100 (на конец второго месяца) | - | - | - | 97 | 100 | - |
Центральная газофракционирующая установка мощностью по сырью до 3000 тыс. т в год | 6 | 86 | 100 (на конец второго месяца) | - | - | 93 | 100 | - |
Переработка сланцев | ||||||||
Газогенераторная станция ГГС-6 мощностью 700 тыс. т в год | 12 | 60 | 70 | 90 | 100 (на конец второго месяца) | 75 | 100 | - |
Производство керогена мощностью 5 тыс. т в год | 6 | 80 | 100 (на конец второго месяца) | - | - | 90 | 100 | - |
Производство смазочных масел и парафина | ||||||||
Установка двухступенчатой деасфальтизации мощностью 640 тыс. т в год | 3 | 100 (на конец второго месяца) | - | - | - | 97 | 100 | - |
Комбинированная установка по производству масел КМ-1/2 - блок 1 с использованием процессов гидрирования мощностью: масел - 200 тыс. т в год, парафинов твердых марок - 60 тыс. т в год: | ||||||||
первая установка | 9 | 70 | 88 | 100 (на конец второго месяца) | - | 85 | 100 | - |
последующие | 8 | 70 | 95 | 100 (на конец первого месяца) | - | 86 | 100 | - |
Комбинированная установка по производству масел КМ-2 (деасфальтизация, депарафинизация, обезмасливание, селективная очистка и гидродоочистка масел) мощностью: масел - 380 тыс. т в год, парафинов твердых марок - 36 тыс. т в год: | ||||||||
первая установка | 9 | 70 | 88 | 100 (на конец второго месяца) | - | 85 | 100 | - |
последующие | 8 | 70 | 95 | 100 (на конец первого месяца) | - | 86 | 100 | - |
Комбинированная установка по производству масел КМ-3 мощностью 100 тыс. т в год с использованием процессов гидрокрекинга и гидроизомеризации: | ||||||||
первая установка | 9 | 70 | 88 | 100 (на конец второго месяца) | - | 85 | 100 | - |
последующие | 8 | 70 | 95 | 100 (на конец первого месяца) | - | 86 | 100 | - |
Комбинированная установка по производству низкозастывающих масел КМ-4 мощностью 100 тыс. т в год | 7 | 75 | 100 | - | - | 90 | 100 | - |
Комбинированная установка депарафинизации и обезмасливания Г-39/40 мощностью: | ||||||||
240 тыс. т в год | 3 | 100 (на конец второго месяца) | - | - | - | 97 | 100 | - |
480 тыс. т в год | 6 | 85 | 100 (на конец второго месяца) | - | - | 90 | 100 | - |
Установка селективной очистки масел мощностью до 600 тыс. т в год: | ||||||||
фурфуролом | 3 | 100 (на конец второго месяца) | - | - | - | 97 | 100 | - |
фенолом | 3 | 100 (на конец второго месяца) | - | - | - | 97 | 100 | - |
Гидроочистка масел Г-24 мощностью по проекту | 3 | 100 (на конец второго месяца) | - | - | - | 97 | 100 | - |
Установка глубокой депарафинизации масел мощностью по готовой продукции до 100 тыс. т в год | 3 | 100 (на конец второго месяца) | - | - | - | 97 | 100 | - |
Установка получения белых масел мощностью по проекту | 6 | 70 | 100 (на конец второго месяца) | - | - | 85 | 100 | - |
Производство присадок к смазочным маслам | ||||||||
Производство алкилсалицилатной присадки мощностью до 10 тыс. т в год | 7 | 75 | 100 | - | - | 90 | 100 | - |
Производство сукцинимидной присадки мощностью до 10 тыс. т в год | 7 | 75 | 100 | - | - | 90 | 100 | - |
Производство сульфонатной присадки мощностью до 30 тыс. т в год | 6 | 80 | 100 (на конец второго месяца) | - | - | 90 | 100 | - |
Производство присадки АКОР-1 мощностью 3 тыс. т в год | 6 | 80 | 100 (на конец второго месяца) | - | - | 90 | 100 | - |
Производство консервационных смазок мощностью 14 тыс. т в год | 6 | 70 | 100 (на конец второго месяца) | - | - | 85 | 100 | - |
Производство имидных присадок мощностью 10 тыс. т в год: | ||||||||
первая установка | 9 | 70 | 85 | 100 (на конец второго месяца) | - | 80 | 100 | - |
последующие | 6 | 70 | 100 (на конец второго месяца) | - | - | 85 | 100 | - |
Производство церезиновой композиции мощностью 2,6 тыс. т в год | 4 | 100 | - | - | - | 95 | 100 | - |
Производство церезина мощностью 15,7 тыс. т в год | 6 | 75 | 100 (на конец второго месяца) | - | - | 87 | 100 | - |
Производство медицинского вазелина мощностью 7 тыс. т в год | 6 | 75 | 100 (на конец второго месяца) | - | - | 87 | 100 | - |
Производство смазки НГ-204у мощностью 3 тыс. т в год | 6 | 75 | 100 (на конец второго месяца) | - | - | 87 | 100 | - |
Производство присадки ИХП-21 мощностью по проекту | 6 | 75 | 100 (на конец второго месяца) | - | - | 87 | 100 | - |
Наименование и характеристика предприятий, производств, цехов и их мощность | Наименование экономических показателей | Норма продолжительности освоения, в месяцах | Средний уровень освоения проектируемого экономического показателя, в % | ||||||
в первый год работы | во второй год работы | в третий год работы | |||||||
кварталы | за год | ||||||||
I | II | III | IV | ||||||
Первичная переработка нефти | |||||||||
Атмосферно-вакуумные трубчатки мощностью 3 и 6 млн. т в год | Производительность труда | 3 | 91 | 100 | 100 | 100 | 97 | 100 | - |
Себестоимость продукции | 3 | 110 | 100 | 100 | 100 | 102,6 | 100 | - | |
Комбинированная установка переработки нефти ЛК-6у мощностью 6 млн. т в год: | |||||||||
первая установка | Производительность труда | 7 | 62 | 88 | 100 | 100 | 88 | 100 | - |
Себестоимость продукции | 7 | 113 | 110 | 103 | 100 | 106 | 100 | - | |
последующие | Производительность труда | 6 | 65 | 90 | 100 | 100 | 90 | 100 | - |
Себестоимость продукции | 6 | 104 | 102 | 100 | 100 | 101 | 100 | - | |
Установка каталитического крекинга мощностью 1,2 - 2 млн. т в год | Производительность труда | 7 | 62 | 88 | 100 | 100 | 88 | 100 | - |
Себестоимость продукции | 7 | 114 | 111 | 103 | 100 | 106 | 100 | - | |
Комбинированная установка глубокой переработки мазута КТ-1 мощностью по проекту | Производительность труда | 9 | 62 | 78 | 93 | 100 | 85 | 100 | - |
Себестоимость продукции | 9 | 113 | 110 | 106 | 100 | 108 | 100 | - | |
Установка гидрокрекинга мощностью 1 млн. т в год с производством водорода: | |||||||||
первая установка | Производительность труда | 8 | 60 | 82 | 99 | 100 | 85 | 100 | - |
Себестоимость продукции | 8 | 118 | 112 | 109 | 100 | 112 | 100 | - | |
последующие | Производительность труда | 6 | 65 | 90 | 100 | 100 | 90 | 100 | - |
Себестоимость продукции | 6 | 117 | 110 | 100 | 100 | 106 | 100 | - | |
Установка замедленного коксования в необогреваемых камерах мощностью 600 тыс. т в год | Производительность труда | 6 | 65 | 90 | 100 | 100 | 90 | 100 | - |
Себестоимость продукции | 6 | 121 | 110 | 100 | 100 | 106 | 100 | - | |
Установка замедленного коксования в необогреваемых камерах мощностью 1 - 1,5 млн. т в год: | |||||||||
первая установка | Производительность труда | 8 | 60 | 82 | 99 | 100 | 85 | 100 | - |
Себестоимость продукции | 8 | 120 | 112 | 106 | 100 | 108,5 | 100 | - | |
последующие | Производительность труда | 5 | 69 | 94 | 100 | 100 | 95 | 100 | - |
Себестоимость продукции | 5 | 116 | 107 | 100 | 100 | 104 | 100 | - | |
Установка прокалки кокса мощностью по проекту | Производительность труда | 8 | 60 | 82 | 99 | 100 | 85 | 100 | - |
Себестоимость продукции | 8 | 130 | 114 | 105 | 100 | 110 | 100 | - | |
Блок подготовки сырья коксования мощностью 500 тыс. т в год | Производительность труда | 3 | 91 | 100 | 100 | 100 | 97 | 100 | - |
Себестоимость продукции | - | - | - | - | - | - | - | - | |
Каталитическое риформирование | |||||||||
Установка каталитического риформинга (в том числе узких фракций) с предварительной гидроочисткой сырья мощностью до 600 тыс. т в год | Производительность труда | 3 | 91 | 100 | 100 | 100 | 97 | 100 | - |
Себестоимость продукции | 3 | 110 | 100 | 100 | 100 | 102,6 | 100 | - | |
Установка каталитического риформинга Л-35-11/1000 мощностью 1 млн. т в год: | |||||||||
первая установка | Производительность труда | 6 | 75 | 93 | 100 | 100 | 93 | 100 | - |
Себестоимость продукции | 6 | 111 | 110 | 100 | 100 | 105 | 100 | - | |
последующие | Производительность труда | 4 | 82 | 100 | 100 | 100 | 95 | 100 | - |
Себестоимость продукции | 4 | 115 | 105 | 100 | 100 | 105 | 100 | - | |
Комплекс ароматики мощностью: | Производительность труда | 12 | 52 | 68 | 82 | 95 | 75 | 100 | - |
ортоксилол - 165 тыс. т в год | Себестоимость продукции | 12 | 141 | 127 | 117 | 110 | 122 | 100 | - |
параксилол - 165 тыс. т в год | |||||||||
бензол - 125 тыс. т в год | |||||||||
Производство ароматических углеводородов и изомеризация | |||||||||
Установка гидродеалкилирования ароматики мощностью 150 тыс. т в год | Производительность труда | 9 | 62 | 78 | 93 | 100 | 85 | 100 | - |
Себестоимость продукции | 9 | 124 | 117 | 114 | 100 | 113,5 | 100 | - | |
Установка извлечения и фракционирования бензола, толуола и ксилолов из катализата риформинга мощностью по сырью до 800 тыс. т в год | Производительность труда | 3 | 91 | 100 | 100 | 100 | 97 | 100 | - |
Себестоимость продукции | 3 | 109 | 100 | 100 | 100 | 103 | 100 | - | |
Установка изомеризации бензина мощностью 150 - 300 тыс. т в год | Производительность труда | 5 | 69 | 94 | 100 | 100 | 95 | 100 | - |
Себестоимость продукции | 5 | 119 | 105 | 100 | 100 | 105 | 100 | - | |
Экстракция ароматических углеводородов мощностью 700 тыс. т в год | Производительность труда | 3 | 91 | 100 | 100 | 100 | 97 | 100 | - |
Себестоимость продукции | 3 | 115 | 100 | 100 | 100 | 103 | 100 | - | |
Гидроочистка | |||||||||
Установка гидроочистки дизельного топлива мощностью 1,2 - 2 млн. т в год | Производительность труда | 3 | 91 | 100 | 100 | 100 | 97 | 100 | - |
Себестоимость продукции | 3 | 110 | 100 | 100 | 100 | 102,5 | 100 | - | |
Установка гидроочистки керосина мощностью по проекту | Производительность труда | 3 | 91 | 100 | 100 | 100 | 97 | 100 | - |
Себестоимость продукции | 3 | 110 | 100 | 100 | 100 | 102,5 | 100 | - | |
Депарафинизация | |||||||||
Установка карбамидной депарафинизации дизельного топлива мощностью по сырью 500 тыс. т в год | Производительность труда | 5 | 69 | 94 | 100 | 100 | 95 | 100 | - |
Себестоимость продукции | 5 | 119 | 109 | 100 | 100 | 106 | 100 | - | |
Производство жидких парафинов методом "Парекс" мощностью 120 тыс. т в год: | |||||||||
первая установка | Производительность труда | 12 | 52 | 68 | 82 | 95 | 75 | 100 | - |
Себестоимость продукции | 12 | 133 | 126 | 113 | 109 | 117 | 100 | - | |
последующие | Производительность труда | 9 | 62 | 78 | 92 | 100 | 85 | 100 | - |
Себестоимость продукции | 9 | 124 | 115 | 110 | 100 | 110 | 100 | - | |
Алкилирование | |||||||||
Установка сернокислотного алкилирования бутан-бутиленовой фракции с контактно-каскадным реактором мощностью по алкилату до 180 тыс. т в год | Производительность труда | 5 | 69 | 94 | 100 | 100 | 95 | 100 | - |
Себестоимость продукции | 5 | 119 | 110 | 100 | 100 | 106 | 100 | - | |
Производство нефтебитума | |||||||||
Установка по получению битума мощностью до 500 тыс. т в год (непрерывного действия) | Производительность труда | 3 | 91 | 100 | 100 | 100 | 97 | 100 | - |
Себестоимость продукции | 3 | 110 | 100 | 100 | 100 | 102,6 | 100 | - | |
мазута - 1300 тыс. т в год | |||||||||
битума - 500 тыс. т в год | |||||||||
Сероочистка сухих газов | |||||||||
Установка очистки сухих газов нефтеперерабатывающих заводов от сероводорода и углекислого газа мощностью до 160 тыс. т в год | Производительность труда | 3 | 91 | 100 | 100 | 100 | 97 | 100 | - |
Себестоимость продукции | 3 | 108,5 | 100 | 100 | 100 | 102 | 100 | - | |
Производство серной кислоты и серы | |||||||||
Установки по производству серы на нефтеперерабатывающих заводах мощностью до 40 тыс. т. в год | Производительность труда | 3 | 91 | 100 | 100 | 100 | 97 | 100 | - |
Себестоимость продукции | 3 | 110 | 100 | 100 | 100 | 102,6 | 100 | - | |
Цех регенерации отработанной серной кислоты мощностью по серной кислоте до 20 тыс. т в год | Производительность труда | 4 | 80 | 100 | 100 | 100 | 95 | 100 | - |
Себестоимость продукции | 4 | 115 | 100 | 100 | 100 | 104 | 100 | - | |
Получение серной кислоты из кислых гудронов мощностью до 40 тыс. т в год | Производительность труда | 9 | 62 | 78 | 92 | 100 | 85 | 100 | - |
Себестоимость продукции | 9 | 133 | 119 | 109 | 100 | 112 | 100 | - | |
Производство сжиженных газов | |||||||||
Абсорбционно-газофракционирующая установка, газофракционирующая установка нефтеперерабатывающих заводов мощностью по проекту | Производительность труда | 3 | 91 | 100 | 100 | 100 | 97 | 100 | - |
Себестоимость продукции | 3 | 115 | 100 | 100 | 100 | 102,6 | 100 | - | |
Центральная газофракционирующая установка мощностью по сырью до 3000 тыс. т в год | Производительность труда | 6 | 75 | 93 | 100 | 100 | 93 | 100 | - |
Себестоимость продукции | 6 | 118 | 112 | 100 | 100 | 107,5 | 100 | - | |
Переработка сланцев | |||||||||
Газогенераторная станция ГГС-6 мощностью 700 тыс. т в год | Производительность труда | 12 | 53 | 68 | 82 | 97 | 75 | 100 | - |
Себестоимость продукции | 12 | 119 | 116 | 112 | 109 | 113 | 100 | - | |
Производство керогена мощностью 5 тыс. т в год | Производительность труда | 6 | 69 | 94 | 100 | 100 | 90 | 100 | - |
Себестоимость продукции | 6 | 114 | 103 | 100 | 100 | 104 | 100 | - | |
Производство смазочных масел и парафина | |||||||||
Установка двухступенчатой деасфальтизации мощностью 640 тыс. т в год | Производительность труда | 3 | 91 | 100 | 100 | 100 | 97 | 100 | - |
Себестоимость продукции | 3 | 110 | 100 | 100 | 100 | 102,6 | 100 | - | |
Комбинированная установка по производству масел КМ-1/2 - блок 1 с использованием процессов гидрирования мощностью: | |||||||||
масел - 200 тыс. т в год | |||||||||
парафинов твердых марок - 60 тыс. т в год: | |||||||||
первая установка | Производительность труда | 9 | 62 | 78 | 92 | 100 | 85 | 100 | - |
Себестоимость продукции | 9 | 122 | 115 | 109 | 100 | 110 | 100 | - | |
последующие | Производительность труда | 8 | 63 | 82 | 99 | 100 | 86 | 100 | - |
Себестоимость продукции | 8 | 122 | 113 | 105 | 100 | 109 | 100 | - | |
Комбинированная установка по производству масел КМ-2 (деасфальтизация, депарафинизация, обезмасливание, селективная очистка и гидродоочистка масел) мощностью: масел - 380 тыс. т в год, парафинов твердых марок - 36 тыс. т в год: | |||||||||
первая установка | Производительность труда | 9 | 62 | 78 | 92 | 100 | 85 | 100 | - |
Себестоимость продукции | 9 | 120 | 113 | 109 | 100 | 110 | 100 | - | |
последующие | Производительность труда | 8 | 63 | 82 | 99 | 100 | 86 | 100 | - |
Себестоимость продукции | 8 | 120 | 113 | 107 | 100 | 108 | 100 | - | |
Комбинированная установка по производству масел КМ-3 мощностью 100 тыс. т в год с использованием процессов гидрокрекинга и гидроизомеризации: | |||||||||
первая установка | Производительность труда | 9 | 62 | 78 | 92 | 100 | 85 | 100 | - |
Себестоимость продукции | 9 | 134 | 119 | 109 | 100 | 112 | 100 | - | |
последующие | Производительность труда | 8 | 63 | 82 | 99 | 100 | 86 | 100 | - |
Себестоимость продукции | 8 | 130 | 118 | 106 | 100 | 107 | 100 | - | |
Комбинированная установка по производству низкозастывающих масел КМ-4 мощностью 100 тыс. т в год | Производительность труда | 7 | 62 | 88 | 100 | 100 | 88 | 100 | - |
Себестоимость продукции | 7 | 123 | 112 | 108 | 100 | 107 | 100 | - | |
Комбинированная установка депарафинизации и обезмасливания Г-39/40 мощностью 480 тыс. т в год | Производительность труда | 6 | 75 | 93 | 100 | 100 | 90 | 100 | - |
Себестоимость продукции | 6 | 113 | 110 | 100 | 100 | 107 | 100 | - | |
Установка селективной очистки масел фурфуролом (фенолом) мощностью до 600 тыс. т в год | Производительность труда | 3 | 91 | 100 | 100 | 100 | 97 | 100 | - |
Себестоимость продукции | 3 | 110 | 100 | 100 | 100 | 102,5 | 100 | - | |
Гидроочистка масел Г-24 мощностью по проекту | Производительность труда | 3 | 91 | 100 | 100 | 100 | 97 | 100 | - |
Себестоимость продукции | 3 | 110 | 100 | 100 | 100 | 102,5 | 100 | - | |
Установка глубокой депарафинизации масел мощностью по готовой продукции до 100 тыс. т в год | Производительность труда | 3 | 91 | 100 | 100 | 100 | 97 | 100 | - |
Себестоимость продукции | 3 | 110 | 100 | 100 | 100 | 102,5 | 100 | - | |
Установка получения белых масел мощностью по проекту | Производительность труда | 6 | 52 | 85 | 100 | 100 | 85 | 100 | - |
Себестоимость продукции | 6 | 127 | 120 | 100 | 100 | 111 | 100 | - | |
Производство присадок к смазочным маслам | |||||||||
Производство алкилсалицилатной присадки мощностью до 10 тыс. т в год | Производительность труда | 7 | 62 | 88 | 100 | 100 | 88 | 100 | - |
Себестоимость продукции | 7 | 126 | 120 | 106 | 100 | 112 | 100 | - | |
Производство сукцинимидной присадки мощностью до 10 тыс. т в год | Производительность труда | 7 | 62 | 88 | 100 | 100 | 88 | 100 | - |
Себестоимость продукции | 7 | 127 | 120 | 106 | 100 | 112 | 100 | - | |
Производство сульфонатной присадки мощностью до 30 тыс. т в год | Производительность труда | 6 | 65 | 90 | 100 | 100 | 90 | 100 | - |
Себестоимость продукции | 6 | 131 | 117 | 100 | 100 | 110 | 100 | - | |
Производство присадки АКОР-1 мощностью 3 тыс. т в год | Производительность труда | 6 | 65 | 90 | 100 | 100 | 90 | 100 | - |
Себестоимость продукции | 6 | 130 | 117 | 100 | 100 | 110 | 100 | - | |
Производство консервационных смазок мощностью 14 тыс. т в год | Производительность труда | 6 | 52 | 85 | 100 | 100 | 85 | 100 | - |
Себестоимость продукции | 6 | 141 | 119 | 100 | 100 | 112 | 100 | - | |
Производство имидных присадок мощностью 10 тыс. т в год: | |||||||||
первая установка | Производительность труда | 9 | 55 | 77 | 92 | 100 | 80 | 100 | - |
Себестоимость продукции | 9 | 140 | 123 | 116 | 100 | 118 | 100 | - | |
последующие | Производительность труда | 6 | 52 | 85 | 100 | 100 | 85 | 100 | - |
Себестоимость продукции | 6 | 140 | 119 | 100 | 100 | 112,5 | 100 | - | |
Производство церезиновой композиции мощностью 2,6 тыс. т в год | Производительность труда | 4 | 75 | 100 | 100 | 100 | 95 | 100 | - |
Себестоимость продукции | 4 | 121 | 100 | 100 | 100 | 107 | 100 | - | |
Производство церезина мощностью 15,7 тыс. т в год | Производительность труда | 6 | 55 | 85 | 100 | 100 | 87 | 100 | - |
Себестоимость продукции | 6 | 128 | 120 | 100 | 100 | 111 | 100 | - | |
Производство медицинского вазелина мощностью 7 тыс. т в год | Производительность труда | 6 | 55 | 85 | 100 | 100 | 87 | 100 | - |
Себестоимость продукции | 6 | 124 | 120 | 100 | 100 | 110 | 100 | - | |
Производство смазки НГ-204у мощностью 3 тыс. т в год | Производительность труда | 6 | 55 | 85 | 100 | 100 | 87 | 100 | - |
Себестоимость продукции | 6 | 128 | 119 | 100 | 100 | 111 | 100 | - | |
Производство присадки ИХП-21 мощностью по проекту | Производительность труда | 6 | 55 | 85 | 100 | 100 | 87 | 100 | - |
Себестоимость продукции | 6 | 128 | 119 | 100 | 100 | 111 | 100 | - | |
Наименование и характеристика предприятий, производств, цехов и их мощность | Норма продолжительности освоения проектной мощности, в месяцах | Уровень освоения проектной мощности, в %, на конец квартала или года (если норма продолжительности освоения более года) работы предприятий | Объем производства продукции (переработки или добычи сырья), в % от годовой проектной мощности | |||||
первого | второго | третьего | четвертого | в первый год работы | во второй год работы | в третий год работы | ||
Новое строительство | ||||||||
Шахты: | ||||||||
мощностью до 1200 тыс. т угля (сланца) в год | 12 | 65 | 80 | 90 | 100 (на конец второго месяца) | 80 | 100 | - |
мощностью от 1201 до 1800 тыс. т угля (сланца) в год | 18 | 85 | 100 (на конец четвертого месяца) | - | - | 70 | 95 | 100 |
мощностью от 1801 до 3000 тыс. т угля (сланца) в год | 24 | 80 | 100 (на конец десятого месяца) | - | - | 65 | 90 | 100 |
Разрезы: | ||||||||
мощностью до 3000 тыс. т угля (сланца) в год | 12 | 75 | 85 | 90 | 100 (на конец второго месяца) | 85 | 100 | - |
мощностью от 3001 до 6000 тыс. т угля (сланца) в год | 18 | 90 | 100 (на конец четвертого месяца) | - | - | 80 | 95 | 100 |
мощностью от 6001 до 12000 тыс. т угля (сланца) в год | 24 | 80 | 100 (на конец десятого месяца) | - | - | 70 | 90 | 100 |
Центральные обогатительные фабрики (ЦОФ) | ||||||||
ЦОФ для энергетических углей с глубиной обогащения до 13 мм: | ||||||||
мощностью до 1,5 млн. т товарного угля в год | 9 | 75 | 90 | 100 (на конец второго месяца) | - | 85 | 100 | - |
мощностью от 3 до 4,5 млн. т товарного угля в год | 10 | 70 | 85 | 100 | - | 82 | 100 | - |
мощностью от 6 до 9 млн. т товарного угля в год, в том числе: | ||||||||
первая очередь мощностью от 3 до 4,5 млн. т | 10 | 70 | 85 | 100 | - | 82 | 100 | - |
вторая очередь мощностью от 3 до 4,5 млн. т | 6 | 85 | 100 (на конец второго месяца) | - | - | 90 | 100 | - |
ЦОФ для энергетических углей с глубиной обогащения до 0,5 мм: | ||||||||
мощностью до 3 млн. т товарного угля в год | 9 | 75 | 90 | 100 (на конец второго месяца) | - | 85 | 100 | - |
мощностью от 6 до 9 млн. т товарного угля в год, в том числе: | ||||||||
первая очередь мощностью от 3 до 4,5 млн. т | 10 | 70 | 85 | 100 | - | 82 | 100 | - |
вторая очередь мощностью от 3 до 4,5 млн. т | 6 | 85 | 100 (на конец второго месяца) | - | - | 90 | 100 | - |
ЦОФ для коксующихся углей с глубиной обогащения до 0 мм: | ||||||||
мощностью до 3 млн. т товарного угля в год | 9 | 75 | 90 | 100 (на конец второго месяца) | - | 85 | 100 | - |
мощностью от 6 до 9 млн. т товарного угля в год, в том числе: | ||||||||
первая очередь мощностью от 3 до 4,5 млн. т | 10 | 70 | 85 | 100 | - | 82 | 100 | - |
вторая очередь мощностью от 3 до 4,5 млн. т | 6 | 85 | 100 (на конец второго месяца) | - | - | 90 | 100 | - |
Реконструкция | ||||||||
Шахты: | ||||||||
с приростом мощности до 600 тыс. т угля (сланца) в год | 6 | 85 | 100 (на конец второго месяца) | - | - | 90 | 100 | - |
с приростом мощности от 601 до 1200 тыс. т угля (сланца) в год | 9 | 75 | 90 | 100 (на конец второго месяца) | - | 85 | 100 | - |
с приростом мощности от 1201 до 1800 тыс. т угля (сланца) в год | 12 | 65 | 80 | 90 | 100 (на конец второго месяца) | 80 | 100 | - |
Разрезы: | ||||||||
с приростом мощности до 3000 тыс. т угля (сланца) в год | 9 | 75 | 90 | 100 (на конец второго месяца) | - | 85 | 100 | - |
с приростом мощности от 3001 до 6000 тыс. т угля (сланца) в год | 15 | 95 | 100 (на конец первого месяца) | - | - | 80 | 95 | 100 |
с приростом мощности от 6001 до 12000 тыс. т угля (сланца) в год | 21 | 80 | 100 (на конец седьмого месяца) | - | - | 70 | 90 | 100 |
Центральные обогатительные фабрики мощностью по проекту | 9 | 75 | 90 | 100 (на конец второго месяца) | - | 85 | 100 | - |
Примечания: 1. Для вновь вводимых шахт мощностью свыше 3 млн. т, разрезов мощностью свыше 12 млн. т угля (сланца) в год, реконструируемых шахт мощностью свыше 1800 тыс. т и разрезов мощностью свыше 12000 тыс. т, для шахт опасных или угрожаемых по внезапным выбросам угля и газа или горным ударам и шахт и разрезов, разрабатывающих сближенные крутые пласты, нормы продолжительности освоения проектных мощностей определяются проектом и утверждаются министерством по согласованию с Госпланом СССР. | ||||||||
2. В исключительных случаях, когда фактические горно-геологические условия резко отличаются от принятых в проектных (из-за неподтвердившихся запасов, выявления некондиционных пластов и т.п.), продолжительность освоения мощностей по добыче (переработке) угля (сланца) определяется проектом и утверждается министерством по согласованию с Госпланом СССР. | ||||||||
3. Нормы продолжительности освоения проектных мощностей обогатительных фабрик, построенных при шахтах или разрезах, должны соответствовать нормам продолжительности освоения проектных мощностей, установленных для этих предприятий. | ||||||||
Наименование и характеристика предприятий, производств, цехов и их мощность | Наименование экономических показателей | Норма продолжительности освоения, в месяцах | Средний уровень освоения проектируемого экономического показателя, в % | ||||||
в первый год работы | во второй год работы | в третий год работы | |||||||
кварталы | за год | ||||||||
I | II | III | IV | ||||||
Новое строительство | |||||||||
Шахты: | |||||||||
мощностью до 1200 тыс. т угля (сланца) в год: | Производительность труда | 12 | 60 | 70 | 80 | 100 | 80 | 100 | - |
первая группа механизации | Себестоимость продукции | 12 | 122 | 111 | 105 | 100 | 111 | 100 | - |
вторая группа механизации | Себестоимость продукции | 12 | 121 | 110 | 105 | 100 | 110 | 100 | - |
мощностью от 1201 до 1800 тыс. т угля (сланца) в год: | Производительность труда | 18 | - | - | - | - | 70 | 95 | 100 |
первая группа механизации | Себестоимость продукции | 18 | - | - | - | - | 119 | 104 | 100 |
вторая группа механизации | Себестоимость продукции | 18 | - | - | - | - | 117 | 103 | 100 |
мощностью от 1801 до 3000 тыс. т угля (сланца) в год: | Производительность труда | 24 | - | - | - | - | 65 | 90 | 100 |
первая группа механизации | Себестоимость продукции | 24 | - | - | - | - | 116 | 107 | 100 |
вторая группа механизации | Себестоимость продукции | 24 | - | - | - | - | 113 | 106 | 100 |
Разрезы: | |||||||||
мощностью до 3000 тыс. т угля (сланца) в год | Производительность труда | 12 | 70 | 80 | 90 | 100 | 85 | 100 | - |
Себестоимость продукции | 12 | 117 | 108 | 105 | 100 | 108 | 100 | - | |
мощностью от 3001 до 6000 тыс. т угля (сланца) в год | Производительность труда | 18 | - | - | - | - | 80 | 95 | 100 |
Себестоимость продукции | 18 | - | - | - | - | 112 | 105 | 100 | |
мощностью от 6001 до 12000 тыс. т угля (сланца) в год | Производительность труда | 24 | - | - | - | - | 70 | 90 | 100 |
Себестоимость продукции | 24 | - | - | - | - | 116 | 109 | 100 | |
Центральные обогатительные фабрики (ЦОФ) | |||||||||
ЦОФ для энергетических углей с глубиной обогащения до 13 мм: мощностью до 1,5 млн. т товарного угля в год | Производительность труда | 9 | 60 | 85 | 95 | 100 | 85 | 100 | - |
Себестоимость продукции | 9 | 140 | 125 | 110 | 100 | 125 | 100 | - | |
мощностью от 3 до 4,5 млн. т товарного угля в год | Производительность труда | 10 | 57 | 80 | 95 | 100 | 82 | 100 | - |
Себестоимость продукции | 10 | 140 | 125 | 111 | 100 | 125 | 100 | - | |
мощностью от 6 до 9 млн. т товарного угля в год, в том числе: | |||||||||
первая очередь мощностью от 3 до 4,5 млн. т | Производительность труда | 10 | 57 | 80 | 95 | 100 | 82 | 100 | - |
Себестоимость продукции | 10 | 140 | 125 | 111 | 100 | 125 | 100 | - | |
вторая очередь мощностью от 3 до 4,5 млн. т | Производительность труда | 6 | 65 | 95 | 100 | 100 | 90 | 100 | - |
Себестоимость продукции | 6 | 130 | 110 | 100 | 100 | 110 | 100 | - | |
ЦОФ для энергетических углей с глубиной обогащения до 0,5 мм: | |||||||||
мощностью до 3 млн. т товарного угля в год | Производительность труда | 9 | 60 | 85 | 95 | 100 | 85 | 100 | - |
Себестоимость продукции | 9 | 140 | 125 | 110 | 100 | 125 | 100 | - | |
мощностью от 6 до 9 млн. т товарного угля в год, в том числе: | |||||||||
первая очередь мощностью от 3 до 4,5 млн. т | Производительность труда | 10 | 57 | 80 | 95 | 100 | 82 | 100 | - |
Себестоимость продукции | 10 | 140 | 125 | 111 | 100 | 125 | 100 | - | |
вторая очередь мощностью от 3 до 4,5 млн. т | Производительность труда | 6 | 65 | 95 | 100 | 100 | 90 | 100 | - |
Себестоимость продукции | 6 | 130 | 110 | 100 | 100 | 110 | 100 | - | |
ЦОФ для коксующихся углей с глубиной обогащения до 0 мм: | |||||||||
мощностью до 3 млн. т товарного угля в год | Производительность труда | 9 | 60 | 85 | 95 | 100 | 85 | 100 | - |
Себестоимость продукции | 9 | 140 | 125 | 110 | 100 | 125 | 100 | - | |
мощностью от 6 до 9 млн. т товарного угля в год, в том числе: | |||||||||
первая очередь мощностью от 3 до 4,5 млн. т | Производительность труда | 10 | 57 | 80 | 95 | 100 | 82 | 100 | - |
Себестоимость продукции | 10 | 140 | 125 | 111 | 100 | 125 | 100 | - | |
вторая очередь мощностью от 3 до 4,5 млн. т | Производительность труда | 6 | 65 | 95 | 100 | 100 | 90 | 100 | - |
Себестоимость продукции | 6 | 130 | 110 | 100 | 100 | 110 | 100 | - | |
Примечание. По реконструируемым шахтам, разрезам и центральным обогатительным фабрикам уровни освоения проектных экономических показателей устанавливаются проектом. | |||||||||
Наименование и характеристика предприятий, производств, цехов и их мощность | Норма продолжительности освоения проектной мощности, в месяцах | Уровень освоения проектной мощности, в %, на конец квартала или года (если норма продолжительности освоения более года) работы предприятий | Объем производства продукции (переработки или добычи сырья), в % от годовой проектной мощности | |||||
первого | второго | третьего | четвертого | в первый год работы | во второй год работы | в третий год работы | ||
Карьеры по добыче железной руды мощностью пусковых комплексов по сырой руде в год: | ||||||||
до 1000 тыс. т | 6 | 80 | 100 (на конец второго месяца) | - | - | 90 | 100 | - |
от 1000 до 5000 тыс. т включительно | 9 | 68 | 90 | 100 (на конец второго месяца) | - | 80 | 100 | - |
более 5000 тыс. т | 12 | 61 | 82 | 93 | 100 (на конец второго месяца) | 74 | 100 | - |
Карьеры по добыче марганцевой руды мощностью пусковых комплексов по сырой руде в год: | ||||||||
до 600 тыс. т включительно | 9 | 68 | 90 | 100 (на конец второго месяца) | - | 80 | 100 | - |
более 600 тыс. т | 12 | 61 | 82 | 93 | 100 (на конец второго месяца) | 74 | 100 | - |
Шахты по добыче железной и марганцевой руды мощностью пусковых комплексов по сырой руде в год: | ||||||||
до 500 тыс. т | 9 | 68 | 90 | 100 (на конец второго месяца) | - | 80 | 100 | - |
от 500 до 1000 тыс. т включительно | 12 | 61 | 82 | 93 | 100 (на конец второго месяца) | 74 | 100 | - |
более 1000 тыс. т | 18 | 86 | 100 (на конец пятого месяца) | - | - | 66 | 98 | 100 |
Обогатительные фабрики горно-обогатительных комбинатов (ГОКов) мощностью пусковых комплексов по сырой железной руде в год: | ||||||||
до 3000 тыс. т | 5 | 90 | 100 (на конец первого месяца) | - | - | 94 | 100 | - |
от 3000 до 5000 тыс. т включительно | 8 | 69 | 92 | 100 (на конец первого месяца) | - | 82 | 100 | - |
более 5000 тыс. т | 10 | 67 | 88 | 100 | - | 79 | 100 | - |
Обогатительные фабрики ГОКов мощностью пусковых комплексов по сырой марганцевой руде в год: | ||||||||
до 1200 тыс. т включительно | 6 | 80 | 100 (на конец второго месяца) | - | - | 90 | 100 | - |
более 1200 тыс. т | 9 | 68 | 90 | 100 (на конец второго месяца) | - | 80 | 100 | - |
Отделения обогатительных фабрик ГОКов по дополнительному извлечению марганца на сепараторах с высокой напряженностью магнитного поля мощностью пусковых комплексов по исходному материалу в год: | ||||||||
до 300 тыс. т | 6 | 80 | 100 (на конец второго месяца) | - | - | 90 | 100 | - |
от 300 до 500 тыс. т включительно | 9 | 68 | 90 | 100 (на конец второго месяца) | - | 80 | 100 | - |
более 500 тыс. т | 12 | 61 | 82 | 93 | 100 (на конец второго месяца) | 74 | 100 | - |
Агломерационные фабрики железных руд мощностью вводимых пусковых комплексов в год: | ||||||||
до 2500 тыс. т включительно | 3 | 100 (на конец второго месяца) | - | - | - | 97 | 100 | - |
более 2500 тыс. т | 5 | 90 | 100 (на конец первого месяца) | - | - | 94 | 100 | - |
Фабрика окомкования концентрата ГОКов на две обжиговые машины полезной площадью по 520 м2 мощностью до 7 млн. т окатышей в год, в том числе: | ||||||||
первый пусковой комплекс на одну машину мощностью до 3,5 млн. т окатышей в год | 5 | 90 | 100 (на конец первого месяца) | - | - | 94 | 100 | - |
второй пусковой комплекс на вторую машину мощностью до 3,5 млн. т окатышей в год | 4 | 100 | - | - | - | 95 | 100 | - |
Коксовые батареи мощностью до 1 млн. т в год кокса валового 6%-ной влажности | 3 | 100 (на конец второго месяца) | - | - | - | 97 | 100 | - |
Коксовые батареи на 65 печей емкостью камеры 41,6 м3 мощностью 1,1 млн. т в год кокса валового 6%-ной влажности | 6 | 80 | 100 (на конец второго месяца) | - | - | 90 | 100 | - |
Отделения (цехи) улавливания химических продуктов коксования в комплексе с коксовыми батареями мощностью 1 млн. т и выше в год кокса 6%-ной влажности | 6 | 80 | 100 (на конец второго месяца) | - | - | 90 | 100 | - |
Доменная печь полезным объемом 3000 - 3200 м3 | 5 | 90 | 100 (на конец первого месяца) | - | - | 94 | 100 | - |
Доменная печь полезным объемом 5000 м3 и выше | 9 | 68 | 90 | 100 (на конец второго месяца) | - | 80 | 100 | - |
Кислородно-конвертерный цех с конвертерами емкостью до 300 т и с машинами непрерывного литья заготовок (МНЛЗ) | 6 | 80 | 100 (на конец второго месяца) | - | - | 90 | 100 | - |
Кислородно-конвертерный цех с МНЛЗ. | ||||||||
Три конвертера емкостью 300 - 350 т, мощностью 10 млн. т стали в год в составе двух пусковых комплексов: | ||||||||
первый пусковой комплекс (конвертеры N 1 и 2 емкостью 300 - 350 т) с МНЛЗ мощностью 5 млн. т стали в год | 9 | 68 | 90 | 100 (на конец второго месяца) | - | 80 | 100 | - |
второй пусковой комплекс (конвертер N 3 емкостью 300 - 350 т) с МНЛЗ мощностью 5 млн. т стали в год | 6 | 80 | 100 (на конец второго месяца) | - | - | 90 | 100 | - |
Электроферросплавные рафинировочные электропечи | 3 | 100 (на конец второго месяца) | - | - | - | 97 | 100 | - |
Электроферросплавные печи рудовосстановительных процессов с установленной мощностью трансформаторов до 33 МВ · А | 5 | 90 | 100 (на конец первого месяца) | - | - | 94 | 100 | - |
Электроферросплавные печи рудовосстановительных процессов с установленной мощностью трансформаторов 63 МВ · А и выше | 6 | 80 | 100 (на конец второго месяца) | - | - | 90 | 100 | - |
Электросталеплавильные печи емкостью менее 100 т мощностью по проекту | 3 | 100 (на конец второго месяца) | - | - | - | 97 | 100 | - |
Электросталеплавильный цех с МНЛЗ (три дуговые печи емкостью 100 т и мощностью 245 тыс. т стали в год каждая): | ||||||||
первый пусковой комплекс с двумя электропечами и МНЛЗ мощностью 490 тыс. т стали в год | 6 | 80 | 100 | - | - | 90 | 100 | - |
второй пусковой комплекс с одной электропечью и МНЛЗ мощностью 245 тыс. т стали в год | 4 | 100 | - | - | - | 95 | 100 | - |
Установки внепечной обработки стали в комплексе электросталеплавильного цеха с МНЛЗ (три дуговые печи емкостью 100 т мощностью 350 тыс. т стали в год каждая): | ||||||||
первый пусковой комплекс с двумя электропечами и МНЛЗ мощностью 700 тыс. т стали в год | 8 | 70 | 95 | 100 (на конец первого месяца) | - | 85 | 100 | - |
второй пусковой комплекс с одной электропечью и МНЛЗ мощностью 350 тыс. т стали в год | 5 | 90 | 100 (на конец первого месяца) | - | - | 94 | 100 | - |
Электросталеплавильный цех с печами емкостью по 200 т и МНЛЗ мощностью 1,5 млн. т стали в год: | ||||||||
первый пусковой комплекс с двумя электропечами и МНЛЗ мощностью 1 млн. т стали в год | 9 | 68 | 90 | 100 (на конец второго месяца) | - | 80 | 100 | - |
второй пусковой комплекс с одной электропечью и МНЛЗ мощностью 0,5 млн. т стали в год | 6 | 80 | 100 (на конец второго месяца) | - | - | 90 | 100 | - |
Электроцехи переплава по производству специальных сплавов и сталей мощностью по проекту | 12 | 61 | 82 | 93 | 100 (на конец второго месяца) | 74 | 100 | - |
Станы крупносортные и рельсобалочные, станы для прокатки широкополочных балок мощностью по проекту | 9 | 68 | 90 | 100 (на конец второго месяца) | - | 80 | 100 | - |
Среднесортные и мелкосортные станы, оснащенные АСУ ТП, мощностью по проекту | 9 | 68 | 90 | 100 (на конец второго месяца) | - | 80 | 100 | - |
Непрерывные и полунепрерывные широкополосные станы горячей прокатки мощностью по проекту | 12 | 61 | 82 | 93 | 100 (на конец второго месяца) | 74 | 100 | - |
Цех с сортовым непрерывным станом мощностью 1,5 млн. т проката в год | 7 | 71 | 100 | - | - | 85 | 100 | - |
Толстолистовые станы мощностью по проекту | 9 | 68 | 90 | 100 (на конец второго месяца) | - | 80 | 100 | - |
Цех горячей прокатки с листовым непрерывным станом 1700 - 2400 мощностью 6 млн. т проката в год: | ||||||||
первый пусковой комплекс мощностью 4 млн. т проката в год | 12 | 61 | 82 | 93 | 100 (на конец второго месяца) | 74 | 100 | - |
второй пусковой комплекс мощностью 2 млн. т проката в год | 8 | 69 | 92 | 100 (на конец первого месяца) | - | 82 | 100 | - |
Цех холодной прокатки жести мощностью по проекту | 12 | 61 | 82 | 93 | 100 (на конец второго месяца) | 74 | 100 | - |
Отделения покрытий листа, жести мощностью по проекту | 6 | 80 | 100 (на конец второго месяца) | - | - | 90 | 100 | - |
Цехи холодной прокатки электротехнических сталей мощностью по проекту | 12 | 61 | 82 | 93 | 100 (на конец второго месяца) | 74 | 100 | - |
Цехи холодной прокатки нержавеющей и легированной стали мощностью по проекту | 15 | 93 | 100 (на конец второго месяца) | - | - | 63 | 98 | 100 |
Цех с листовым непрерывным станом 2000 холодной прокатки мощностью 2,5 млн. т стального листа и рулонов в год: | ||||||||
первый пусковой комплекс мощностью 1,5 млн. т листа и рулонов в год | 12 | 61 | 93 | 100 (на конец второго месяца) | 74 | 100 | - | |
второй пусковой комплекс мощностью 1 млн. т листа и рулонов в год | 8 | 69 | 92 | 100 (на конец первого месяца) | - | 82 | 100 | - |
Трубоволочильный цех мощностью 100 тыс. т труб в год | 9 | 68 | 90 | 100 (на конец второго месяца) | - | 80 | 100 | - |
Непрерывный стан для производства бесшовных труб мощностью 400 тыс. т труб в год | 12 | 61 | 82 | 93 | 100 (на конец второго месяца) | 74 | 100 | - |
Непрерывный стан печной сварки труб, электросварные агрегаты для труб большого диаметра (прямошовные и спирально-шовные), электросварные непрерывные агрегаты с редукционными станами в потоке, электросварные станы непрерывные типа 159-530 мощностью по проекту | 12 | 61 | 82 | 93 | 100 (на конец второго месяца) | 74 | 100 | - |
Цехи холоднодеформированных и теплодеформированных труб со станами холодной прокатки (ХПТ и ХПТР) мощностью по проекту | 9 | 68 | 90 | 100 (на конец второго месяца) | - | 80 | 100 | - |
Цехи и станы электросварных труб малых и средних размеров (без редукционных станов в потоке), цехи для термообработки, нарезки и отделки труб мощностью по проекту | 6 | 80 | 100 (на конец второго месяца) | - | - | 90 | 100 | - |
Блок железопроволочного производства мощностью 200 тыс. т проволочного производства в год: | ||||||||
первый пусковой комплекс мощностью 100 тыс. т проволоки в год с отделением порошковой проволоки 6 тыс. т в год | 6 | 80 | 100 (на конец второго месяца) | - | - | 90 | 100 | - |
второй пусковой комплекс мощностью 100 тыс. т проволоки в год | 3 | 100 (на конец второго месяца) | - | - | - | 97 | 100 | - |
Блок сталепроволочного производства в составе сталепроволочного цеха мощностью 150 тыс. т в год и канатного цеха мощностью 75 тыс. т в год: | ||||||||
первый пусковой комплекс - сталепроволочной цех мощностью 80 тыс. т в год и канатный цех мощностью 25 тыс. т в год | 12 | 61 | 82 | 93 | 100 (на конец второго месяца) | 74 | 100 | - |
второй пусковой комплекс - сталепроволочный цех мощностью 70 тыс. т в год и канатный цех мощностью 50 тыс. т в год | 8 | 69 | 92 | 100 (на конец первого месяца) | - | 82 | 100 | - |
Цех гнутых профилей мощностью 800 тыс. т проката в год: | ||||||||
первый пусковой комплекс мощностью 250 тыс. т проката в год | 12 | 61 | 82 | 93 | 100 (на конец второго месяца) | 74 | 100 | - |
второй пусковой комплекс мощностью 550 тыс. т проката в год | 8 | 69 | 92 | 100 (на конец первого месяца) | - | 82 | 100 | - |
Цех по производству ленты сортовой холоднотянутой стали, высокоточных профилей мощностью по проекту | 12 | 61 | 82 | 93 | 100 (на конец второго месяца) | 74 | 100 | - |
Цех по производству сварочных электродов мощностью по проекту | 9 | 68 | 90 | 100 (на конец второго месяца) | - | 80 | 100 | - |
Цех по производству легированной проволоки, термообработанной ленты металлокорда мощностью по проекту | 12 | 61 | 82 | 93 | 100 (на конец второго месяца) | 74 | 100 | - |
Цехи стальной эмалированной посуды мощностью 20 тыс. т в год и более | 7 | 71 | 100 | - | - | 85 | 100 | - |
Завод (цех) "Вторчермет" мощностью по переработке лома металлов 200 тыс. т в год в составе зданий и сооружений, необходимых для его эксплуатации: | ||||||||
первый пусковой комплекс мощностью 100 тыс. т в год | 10 | 67 | 88 | 100 | - | 79 | 100 | - |
второй пусковой комплекс мощностью 100 тыс. т в год | 5 | 90 | 100 (на конец первого месяца) | - | - | 94 | 100 | - |
Примечания: 1. Норма продолжительности освоения проектной мощности карьеров по добыче железной руды установлена при коэффициенте вскрыши 1 м3/т сырой руды. В случае увеличения коэффициента вскрыши более 1 м3/т норма увеличивается при коэффициенте вскрыши до 1,5 м3/т на 50%, при коэффициенте вскрыши более 1,5 м3/т - на 100%. | ||||||||
2. При отсутствии аналогов для обогатительных фабрик железной руды норма продолжительности освоения проектной мощности увеличивается на 20%. | ||||||||
Наименование и характеристика предприятий, производств, цехов и их мощность | Наименование экономических показателей | Норма продолжительности освоения, в месяцах | Средний уровень освоения проектируемого экономического показателя, в % | ||||||
в первый год работы | во второй год работы | в третий год работы | |||||||
кварталы | за год | ||||||||
I | II | III | IV | ||||||
Карьеры по добыче железной руды мощностью пусковых комплексов по сырой руде в год: | |||||||||
до 1000 тыс. т | Производительность труда | 6 | 80 | 100 | 100 | 100 | 95 | 100 | - |
Себестоимость продукции | 6 | 112 | 100 | 100 | 100 | 103 | 100 | - | |
от 1000 до 5000 тыс. т включительно | Производительность труда | 9 | 68 | 90 | 100 | 100 | 90 | 100 | - |
Себестоимость продукции | 9 | 116 | 104 | 100 | 100 | 105 | 100 | - | |
более 5000 тыс. т | Производительность труда | 12 | 61 | 82 | 93 | 100 | 84 | 100 | - |
Себестоимость продукции | 12 | 120 | 107 | 103 | 100 | 107 | 100 | - | |
Карьеры по добыче марганцевой руды мощностью пусковых комплексов по сырой руде в год: | |||||||||
до 600 тыс. т включительно | Производительность труда | 9 | 68 | 90 | 100 | 100 | 90 | 100 | - |
Себестоимость продукции | 9 | 116 | 104 | 100 | 100 | 105 | 100 | - | |
более 600 тыс. т | Производительность труда | 12 | 61 | 82 | 93 | 100 | 84 | 100 | - |
Себестоимость продукции | 12 | 120 | 107 | 103 | 100 | 107 | 100 | - | |
Шахты по добыче железной и марганцевой руды мощностью пусковых комплексов по сырой руде в год: | |||||||||
до 500 тыс. т | Производительность труда | 9 | 68 | 90 | 100 | 100 | 90 | 100 | - |
Себестоимость продукции | 9 | 116 | 104 | 100 | 100 | 105 | 100 | - | |
от 500 до 1000 тыс. т включительно | Производительность труда | 12 | 61 | 82 | 93 | 100 | 84 | 100 | - |
Себестоимость продукции | 12 | 120 | 107 | 103 | 100 | 107 | 100 | - | |
более 1000 тыс. т | Производительность труда | 18 | 38 | 60 | 75 | 86 | 70 | 98 | 100 |
Себестоимость продукции | 18 | 125 | 110 | 105 | 103 | 110 | 105 | 100 | |
Обогатительные фабрики горно-обогатительных комбинатов (ГОКов) мощностью пусковых комплексов по сырой железной руде в год: | |||||||||
до 3000 тыс. т | Производительность труда | 5 | 90 | 100 | 100 | 100 | 97 | 100 | - |
Себестоимость продукции | 5 | 110 | 100 | 100 | 100 | 102 | 100 | - | |
от 3000 до 5000 тыс. т включительно | Производительность труда | 8 | 69 | 92 | 100 | 100 | 90 | 100 | - |
Себестоимость продукции | 8 | 115 | 103 | 100 | 100 | 104 | 100 | - | |
более 5000 тыс. т | Производительность труда | 10 | 52 | 82 | 95 | 100 | 82 | 100 | - |
Себестоимость продукции | 10 | 140 | 108 | 102 | 100 | 113 | 100 | - | |
Обогатительные фабрики ГОКов мощностью пусковых комплексов по сырой марганцевой руде в год: | |||||||||
до 1200 тыс. т включительно | Производительность труда | 6 | 80 | 100 | 100 | 100 | 95 | 100 | - |
Себестоимость продукции | 6 | 112 | 100 | 100 | 100 | 103 | 100 | - | |
более 1200 тыс. т | Производительность труда | 9 | 68 | 90 | 100 | 100 | 90 | 100 | - |
Себестоимость продукции | 9 | 116 | 104 | 100 | 100 | 105 | 100 | - | |
Отделения обогатительных фабрик ГОКов по дополнительному извлечению марганца на сепараторах с высокой напряженностью магнитного поля мощностью пусковых комплексов по исходному материалу в год: | |||||||||
до 300 тыс. т | Производительность труда | 6 | 80 | 100 | 100 | 100 | 95 | 100 | - |
Себестоимость продукции | 6 | 112 | 100 | 100 | 100 | 103 | 100 | - | |
от 300 до 500 тыс. т включительно | Производительность труда | 9 | 68 | 90 | 100 | 100 | 90 | 100 | - |
Себестоимость продукции | 9 | 116 | 104 | 100 | 100 | 105 | 100 | - | |
более 500 тыс. т | Производительность труда | 12 | 61 | 82 | 93 | 100 | 84 | 100 | - |
Себестоимость продукции | 12 | 120 | 107 | 103 | 100 | 107 | 100 | - | |
Агломерационные фабрики железных руд мощностью вводимых пусковых комплексов в год: | |||||||||
до 2500 тыс. т включительно | Производительность труда | 3 | 96 | 100 | 100 | 100 | 99 | 100 | - |
Себестоимость продукции | 3 | 121 | 100 | 100 | 100 | 105 | 100 | - | |
более 2500 тыс. т | Производительность труда | 5 | 90 | 100 | 100 | 100 | 97 | 100 | - |
Себестоимость продукции | 5 | 110 | 100 | 100 | 100 | 102 | 100 | - | |
Фабрика окомкования концентрата ГОКов на две обжиговые машины полезной площадью по 520 м2 мощностью до 7 млн. т окатышей в год, в том числе: | |||||||||
первый пусковой комплекс на одну машину мощностью до 3,5 млн. т окатышей в год | Производительность труда | 5 | 90 | 100 | 100 | 100 | 97 | 100 | - |
Себестоимость продукции | 5 | 110 | 100 | 100 | 100 | 102 | 100 | - | |
второй пусковой комплекс на вторую машину мощностью до 3,5 млн. т окатышей в год | Производительность труда | 4 | 97 | 100 | 100 | 100 | 99 | 100 | - |
Себестоимость продукции | 4 | 106 | 100 | 100 | 100 | 102 | 100 | - | |
Коксовые батареи мощностью до 1 млн. т в год кокса валового 6%-ной влажности | Производительность труда | 3 | 96 | 100 | 100 | 100 | 99 | 100 | - |
Себестоимость продукции | 3 | 121 | 100 | 100 | 100 | 105 | 100 | - | |
Коксовые батареи на 65 печей емкостью камеры 41,6 м3 мощностью 1,1 млн. т в год кокса валового 6%-ной влажности | Производительность труда | 6 | 64 | 95 | 100 | 100 | 90 | 100 | - |
Себестоимость продукции | 6 | 132 | 103 | 100 | 100 | 109 | 100 | - | |
Отделения (цехи) улавливания химических продуктов коксования в комплексе с коксовыми батареями мощностью 1 млн. т и выше в год кокса 6%-ной влажности | Производительность труда | 6 | 64 | 95 | 100 | 100 | 90 | 100 | - |
Себестоимость продукции | 6 | 132 | 103 | 100 | 100 | 109 | 100 | - | |
Доменная печь полезным объемом 3000 - 3200 м3 | Производительность труда | 5 | 77 | 99 | 100 | 100 | 94 | 100 | - |
Себестоимость продукции | 5 | 131 | 101 | 100 | 100 | 108 | 100 | - | |
Доменная печь полезным объемом 5000 м3 и выше | Производительность труда | 9 | 53 | 84 | 97 | 100 | 84 | 100 | - |
Себестоимость продукции | 9 | 137 | 107 | 101 | 100 | 111 | 100 | - | |
Кислородно-конвертерный цех с конвертерами емкостью до 300 т и с машинами непрерывного литья заготовок (МНЛЗ) | Производительность труда | 6 | 64 | 95 | 100 | 100 | 90 | 100 | - |
Себестоимость продукции | 6 | 132 | 103 | 100 | 100 | 109 | 100 | - | |
Кислородно-конвертерный цех с МНЛЗ. Три конвертера емкостью 300 - 350 т, мощностью 10 млн. т стали в год в составе двух пусковых комплексов: | |||||||||
первый пусковой комплекс (конвертеры N 1 и 2 емкостью 300 - 350 т) с МНЛЗ мощностью 5 млн. т стали в год | Производительность труда | 9 | 53 | 84 | 97 | 100 | 84 | 100 | - |
Себестоимость продукции | 9 | 137 | 107 | 101 | 100 | 111 | 100 | - | |
второй пусковой комплекс (конвертер N 3 емкостью 300 - 350 т) с МНЛЗ мощностью 5 млн. т стали в год | Производительность труда | 6 | 64 | 95 | 100 | 100 | 90 | 100 | - |
Себестоимость продукции | 6 | 132 | 103 | 100 | 100 | 109 | 100 | - | |
Электроферросплавные рафинировочные электропечи | Производительность труда | 3 | 96 | 100 | 100 | 100 | 99 | 100 | - |
Себестоимость продукции | 3 | 121 | 100 | 100 | 100 | 105 | 100 | - | |
Электроферросплавные печи рудовосстановительных процессов с установленной мощностью трансформаторов до 33 МВ · А | Производительность труда | 5 | 77 | 99 | 100 | 100 | 94 | 100 | - |
Себестоимость продукции | 5 | 131 | 101 | 100 | 100 | 108 | 100 | - | |
Электроферросплавные печи рудовосстановительных процессов с установленной мощностью трансформаторов 63 МВ · А и выше | Производительность труда | 6 | 64 | 95 | 100 | 100 | 90 | 100 | - |
Себестоимость продукции | 6 | 132 | 103 | 100 | 100 | 109 | 100 | - | |
Электросталеплавильные печи емкостью менее 100 т мощностью по проекту | Производительность труда | 3 | 96 | 100 | 100 | 100 | 99 | 100 | - |
Себестоимость продукции | 3 | 121 | 100 | 100 | 100 | 105 | 100 | - | |
Электросталеплавильный цех с МНЛЗ (три дуговые печи емкостью 100 т и мощностью 245 тыс. т стали в год каждая): | |||||||||
первый пусковой комплекс с двумя электропечами и МНЛЗ мощностью 490 тыс. т стали в год | Производительность труда | 6 | 64 | 95 | 100 | 100 | 90 | 100 | - |
Себестоимость продукции | 6 | 132 | 103 | 100 | 100 | 109 | 100 | - | |
второй пусковой комплекс с одной электропечью и МНЛЗ мощностью 245 тыс. т стали в год | Производительность труда | 4 | 90 | 100 | 100 | 100 | 98 | 100 | - |
Себестоимость продукции | 4 | 126 | 100 | 100 | 100 | 106 | 100 | - | |
Установки внепечной обработки стали в комплексе электросталеплавильного цеха с МНЛЗ (три дуговые печи емкостью 100 т и мощностью 350 тыс. т стали в год каждая): | |||||||||
первый пусковой комплекс с двумя электропечами и МНЛЗ мощностью 700 тыс. т стали в год | Производительность труда | 8 | 53 | 86 | 99 | 100 | 85 | 100 | - |
Себестоимость продукции | 8 | 136 | 106 | 101 | 100 | 111 | 100 | - | |
второй пусковой комплекс с одной электропечью и МНЛЗ мощностью 350 тыс. т стали в год | Производительность труда | 5 | 77 | 99 | 100 | 100 | 94 | 100 | - |
Себестоимость продукции | 5 | 131 | 101 | 100 | 100 | 108 | 100 | - | |
Электросталеплавильный цех с печами емкостью по 200 т и МНЛЗ мощностью 1,5 млн. т стали в год: | |||||||||
первый пусковой комплекс с двумя электропечами и МНЛЗ мощностью 1 млн. т стали в год | Производительность труда | 9 | 53 | 84 | 97 | 100 | 84 | 100 | - |
Себестоимость продукции | 9 | 137 | 107 | 101 | 100 | 111 | 100 | - | |
второй пусковой комплекс с одной электропечью и МНЛЗ мощностью 0,5 млн. т стали в год | Производительность труда | 6 | 64 | 95 | 100 | 100 | 90 | 100 | - |
Себестоимость продукции | 6 | 132 | 103 | 100 | 100 | 109 | 100 | - | |
Электроцехи переплава по производству специальных сплавов и сталей мощностью по проекту | Производительность труда | 12 | 46 | 76 | 90 | 98 | 78 | 100 | - |
Себестоимость продукции | 12 | 143 | 110 | 104 | 101 | 114 | 100 | - | |
Станы крупносортные и рельсобалочные, станы для прокатки широкополочных балок мощностью по проекту | Производительность труда | 9 | 53 | 84 | 97 | 100 | 84 | 100 | - |
Себестоимость продукции | 9 | 137 | 107 | 101 | 100 | 111 | 100 | - | |
Среднесортные и мелкосортные станы, оснащенные АСУ ТП, мощностью по проекту | Производительность труда | 9 | 53 | 84 | 97 | 100 | 84 | 100 | - |
Себестоимость продукции | 9 | 137 | 107 | 101 | 100 | 111 | 100 | - | |
Непрерывные и полунепрерывные широкополосные станы горячей прокатки мощностью по проекту | Производительность труда | 12 | 46 | 76 | 90 | 98 | 78 | 100 | - |
Себестоимость продукции | 12 | 143 | 110 | 104 | 101 | 114 | 100 | - | |
Цех с сортовым непрерывным станом мощностью 1,5 млн. т проката в год | Производительность труда | 7 | 54 | 88 | 100 | 100 | 85 | 100 | - |
Себестоимость продукции | 7 | 135 | 105 | 100 | 100 | 110 | 100 | - | |
Толстолистовые станы мощностью по проекту | Производительность труда | 9 | 53 | 84 | 97 | 100 | 84 | 100 | - |
Себестоимость продукции | 9 | 137 | 107 | 101 | 100 | 111 | 100 | - | |
Цех горячей прокатки с листовым непрерывным станом 1700 - 2400 мощностью 6 млн. т проката в год: | |||||||||
первый пусковой комплекс мощностью 4 млн. т проката в год | Производительность труда | 12 | 46 | 76 | 90 | 98 | 78 | 100 | - |
Себестоимость продукции | 12 | 143 | 110 | 104 | 101 | 114 | 100 | - | |
второй пусковой комплекс мощностью 2 млн. т проката в год | Производительность труда | 8 | 53 | 86 | 99 | 100 | 85 | 100 | - |
Себестоимость продукции | 8 | 136 | 106 | 101 | 100 | 110 | 100 | - | |
Цех холодной прокатки жести мощностью по проекту | Производительность труда | 12 | 46 | 76 | 90 | 98 | 78 | 100 | - |
Себестоимость продукции | 12 | 143 | 110 | 104 | 101 | 114 | 100 | - | |
Отделения покрытий листа, жести мощностью по проекту | Производительность труда | 6 | 64 | 95 | 100 | 100 | 90 | 100 | - |
Себестоимость продукции | 6 | 132 | 103 | 100 | 100 | 109 | 100 | - | |
Цехи холодной прокатки электротехнических сталей мощностью по проекту | Производительность труда | 12 | 46 | 76 | 90 | 98 | 78 | 100 | - |
Себестоимость продукции | 12 | 143 | 110 | 104 | 101 | 114 | 100 | - | |
Цехи холодной прокатки нержавеющей и легированной стали мощностью по проекту | Производительность труда | 15 | 34 | 63 | 80 | 90 | 67 | 98 | 100 |
Себестоимость продукции | 15 | 144 | 111 | 105 | 102 | 115 | 101 | 100 | |
Цех с листовым непрерывным станом 2000 холодной прокатки мощностью 2,5 млн. т стального листа и рулонов в год: | |||||||||
первый пусковой комплекс мощностью 1,5 млн. т листа и рулонов в год | Производительность труда | 12 | 46 | 76 | 90 | 98 | 78 | 100 | - |
Себестоимость продукции | 12 | 143 | 110 | 104 | 101 | 114 | 100 | - | |
второй пусковой комплекс мощностью 1 млн. т листа и рулонов в год | Производительность труда | 8 | 53 | 86 | 99 | 100 | 85 | 100 | - |
Себестоимость продукции | 8 | 136 | 106 | 101 | 100 | 111 | 100 | - | |
Трубоволочильный цех мощностью 100 тыс. т труб в год | Производительность труда | 9 | 53 | 84 | 97 | 100 | 84 | 100 | - |
Себестоимость продукции | 9 | 137 | 107 | 101 | 100 | 111 | 100 | - | |
Непрерывный стан для производства бесшовных труб мощностью 400 тыс. т труб в год | Производительность труда | 12 | 46 | 76 | 90 | 98 | 78 | 100 | - |
Себестоимость продукции | 12 | 143 | 110 | 104 | 101 | 114 | 100 | - | |
Непрерывный стан печной сварки труб, электросварные агрегаты для труб большого диаметра (прямошовные и спирально-шовные), электросварные непрерывные агрегаты с редукционными станами в потоке, электросварные станы непрерывные типа 159 - 530 мощностью по проекту | Производительность труда | 12 | 46 | 76 | 90 | 98 | 78 | 100 | - |
Себестоимость продукции | 12 | 143 | 110 | 104 | 101 | 114 | 100 | - | |
Цехи холоднодеформированных и теплодеформированных труб со станами холодной прокатки (ХПТ и ХПТР) мощностью по проекту | Производительность труда | 9 | 53 | 84 | 97 | 100 | 84 | 100 | - |
Себестоимость продукции | 9 | 137 | 107 | 101 | 100 | 111 | 100 | - | |
Цехи и станы электросварных труб малых и средних размеров (без редукционных станов в потоке), цехи для термообработки, нарезки и отделки труб мощностью по проекту | Производительность труда | 6 | 64 | 95 | 100 | 100 | 90 | 100 | - |
Себестоимость продукции | 6 | 132 | 103 | 100 | 100 | 109 | 100 | - | |
Блок железопроволочного производства мощностью 200 тыс. т проволочного производства в год: | |||||||||
первый пусковой комплекс мощностью 100 тыс. т проволоки в год с отделением порошковой проволоки 6 тыс. т в год | Производительность труда | 6 | 64 | 95 | 100 | 100 | 90 | 100 | - |
Себестоимость продукции | 6 | 132 | 103 | 100 | 100 | 109 | 100 | - | |
второй пусковой комплекс мощностью 100 тыс. т проволоки в год | Производительность труда | 3 | 96 | 100 | 100 | 100 | 99 | 100 | - |
Себестоимость продукции | 3 | 121 | 100 | 100 | 100 | 105 | 100 | - | |
Блок сталепроволочного производства в составе сталепроволочного цеха мощностью 150 тыс. т в год и канатного цеха мощностью 75 тыс. т в год: | |||||||||
первый пусковой комплекс - сталепроволочный цех мощностью 80 тыс. т в год и канатный цех мощностью 25 тыс. т в год | Производительность труда | 12 | 46 | 76 | 90 | 98 | 78 | 100 | - |
Себестоимость продукции | 12 | 143 | 110 | 104 | 101 | 114 | 100 | - | |
второй пусковой комплекс - сталепроволочный цех мощностью 70 тыс. т в год и канатный цех мощностью 50 тыс. т в год | Производительность труда | 8 | 53 | 86 | 99 | 100 | 85 | 100 | - |
Себестоимость продукции | 8 | 136 | 106 | 101 | 100 | 111 | 100 | - | |
Цех гнутых профилей мощностью 800 тыс. т проката в год: | |||||||||
первый пусковой комплекс мощностью 250 тыс. т проката в год | Производительность труда | 12 | 46 | 76 | 90 | 98 | 78 | 100 | - |
Себестоимость продукции | 12 | 143 | 110 | 104 | 101 | 114 | 100 | - | |
второй пусковой комплекс мощностью 550 тыс. т проката в год | Производительность труда | 8 | 53 | 86 | 99 | 100 | 85 | 100 | - |
Себестоимость продукции | 8 | 136 | 106 | 101 | 100 | 111 | 100 | - | |
Цех по производству ленты сортовой холоднотянутой стали, высокоточных профилей мощностью по проекту | Производительность труда | 12 | 46 | 76 | 90 | 98 | 78 | 100 | - |
Себестоимость продукции | 12 | 143 | 110 | 104 | 101 | 114 | 100 | - | |
Цех по производству сварочных электродов мощностью по проекту | Производительность труда | 9 | 53 | 84 | 97 | 100 | 84 | 100 | - |
Себестоимость продукции | 9 | 137 | 107 | 101 | 100 | 111 | 100 | - | |
Цехи по производству легированной проволоки, термообработанной ленты металлокорда мощностью по проекту | Производительность труда | 12 | 46 | 76 | 90 | 98 | 78 | 100 | - |
Себестоимость продукции | 12 | 143 | 110 | 104 | 101 | 114 | 100 | - | |
Цех стальной эмалированной посуды мощностью 20 тыс. т в год и более | Производительность труда | 7 | 54 | 88 | 100 | 100 | 85 | 100 | - |
Себестоимость продукции | 7 | 135 | 105 | 100 | 100 | 110 | 100 | - | |
Завод (цех) "Вторчермет" мощностью по переработке лома металлов 200 тыс. т в год в составе зданий и сооружений, необходимых для его эксплуатации: | |||||||||
первый пусковой комплекс мощностью 100 тыс. т в год | Производительность труда | 10 | 52 | 82 | 95 | 100 | 82 | 100 | - |
Себестоимость продукции | 10 | 140 | 108 | 102 | 100 | 113 | 100 | - | |
второй пусковой комплекс мощностью 100 тыс. т в год | Производительность труда | 5 | 77 | 99 | 100 | 100 | 94 | 100 | - |
Себестоимость продукции | 5 | 131 | 101 | 100 | 100 | 108 | 100 | - | |
Примечания: 1. Норма продолжительности освоения проектной мощности карьеров по добыче железной руды установлена при коэффициенте вскрыши 1 м3/т сырой руды. В случае увеличения коэффициента вскрыши более 1 м3/т норма увеличивается при коэффициенте вскрыши до 1,5 м3/т на 50%, при коэффициенте вскрыши более 1,5 м3/т - на 100%. | |||||||||
2. При отсутствии аналогов для обогатительных фабрик железной руды норма продолжительности освоения проектной мощности увеличивается на 20%. | |||||||||
Наименование и характеристика предприятий, производств, цехов и их мощность | Норма продолжительности освоения проектной мощности, в месяцах | Уровень освоения проектной мощности, в %, на конец квартала или года (если норма продолжительности освоения более года) работы предприятий | Объем производства продукции (переработки или добычи сырья), в % от годовой проектной мощности | |||||
первого | второго | третьего | четвертого | в первый год работы | во второй год работы | в третий год работы | ||
Рудники с подземным способом разработки мощностью по сырой руде в год: | ||||||||
до 600 тыс. т | 9 | 70 | 85 | 100 (на конец второго месяца) | - | 85 | 100 | - |
от 600 до 1000 тыс. т | 12 | 65 | 80 | 90 | 100(на конец второго месяца) | 80 | 100 | - |
свыше 1000 тыс. т | 18 | 85 | 100 (на конец четвертого месяца) | - | - | 70 | 95 | 100 |
Рудники с открытым способом разработки мощностью по сырой руде в год: | ||||||||
до 1000 тыс. т | 6 | 80 | 100 (на конец второго месяца) | - | - | 90 | 100 | - |
от 1000 до 2000 тыс. т | 8 | 70 | 85 | 100 (на конец первого месяца) | - | 85 | 100 | - |
от 2000 до 4000 тыс. т | 10 | 65 | 80 | 100 | - | 80 | 100 | - |
свыше 4000 тыс. т | 12 | 60 | 75 | 90 | 100 (на конец второго месяца) | 75 | 100 | - |
Дражный способ разработки россыпных месторождений | ||||||||
Драги с черпаками емкостью 80 л | 6 | 80 | 100 (на конец второго месяца) | - | - | 90 | 100 | - |
Драги с черпаками емкостью 150 л | 9 | 65 | 85 | 100 (на конец второго месяца) | - | 85 | 100 | - |
Драги с черпаками емкостью 250 л и выше | 12 | 70 | 80 | 90 | 100 (на конец второго месяца) | 80 | 100 | - |
Фабрики по переработке руд цветных и редких металлов | ||||||||
Фабрики первой группы сложности, перерабатывающие монометаллические руды с выдачей одного концентрата, мощностью до 10 млн. т в год | 6 | 80 | 100 (на конец второго месяца) | - | - | 90 | 100 | - |
Фабрики второй группы сложности, перерабатывающие полиметаллические руды с выдачей двух и более концентратов, а также работающие по комбинированным схемам, мощностью в год: | ||||||||
до 2 млн. т | 8 | 80 | 90 | 100 (на конец первого месяца) | - | 90 | 100 | - |
от 2 до 10 млн. т | 9 | 75 | 90 | 100 (на конец второго месяца) | - | 85 | 100 | - |
Золотоизвлекательные фабрики | ||||||||
Фабрики первой группы сложности (флотационные) мощностью по переработке руды в год: | ||||||||
до 1000 тыс. т | 6 | 80 | 100 (на конец второго месяца) | - | - | 90 | 100 | - |
от 1000 до 3000 тыс. т | 9 | 70 | 85 | 100 (на конец второго месяца) | - | 85 | 100 | - |
Фабрики второй группы сложности (с гидрометаллургическим переделом) мощностью по переработке руды в год: | ||||||||
до 1000 тыс. т | 8 | 80 | 95 | 100 (на конец первого месяца) | - | 90 | 100 | - |
свыше 1000 тыс. т | 10 | 75 | 85 | 100 | - | 85 | 100 | - |
Фабрики третьей группы сложности (с комбинированным процессом) мощностью по переработке руды в год: | ||||||||
до 1000 тыс. т | 9 | 75 | 90 | 100 (на конец второго месяца) | - | 85 | 100 | - |
свыше 1000 тыс. т | 10 | 75 | 85 | 100 | - | 85 | 100 | - |
Цехи металлургических предприятий | ||||||||
Цехи электролиза алюминия | ||||||||
Корпуса, оборудованные электролизерами с верхним подводом тока, на силу тока по проекту | 3 | 100 (на конец второго месяца) | - | - | - | 95 | 100 | - |
Корпуса, оборудованные электролизерами с обожженными анодами, на силу тока 160 - 175 кА (кроме опытно-промышленных корпусов) | 6 | 90 | 100 (на конец второго месяца) | - | - | 90 | 100 | - |
Технологические линии цехов обожженных анодов мощностью по проекту | 15 | 80 | 100 (на конец первого месяца) | - | - | 75 | 90 | 100 |
Цинкоэлектролитные заводы мощностью по проекту | 5 | 85 | 100 (на конец первого месяца) | - | - | 90 | 100 | - |
Медеэлектролитные цехи мощностью по проекту | 5 | 85 | 100 (на конец первого месяца) | - | - | 90 | 100 | - |
Цехи никель-кобальтовых комбинатов | ||||||||
Цехи по переработке шламов электролиза никеля мощностью по проекту | 12 | 65 | 80 | 90 | 100 (на конец второго месяца) | 80 | 100 | - |
Комплекс шахтной печи для плавки окисленных никелевых руд с очисткой газов и грануляцией шлаков мощностью по проекту | 9 | 70 | 85 | 100 (на конец второго месяца) | - | 85 | 100 | - |
Электропечи для обеднения конвертерных шлаков мощностью трансформаторов до 25 МВ · А | 9 | 70 | 85 | 100 (на конец второго месяца) | - | 85 | 100 | - |
Конвертеры горизонтальные емкостью по проекту | 2 | 100 (на конец первого месяца) | - | - | - | 98 | 100 | - |
Комплекс по производству анодного и гранулированного никеля с электропечами мощностью трансформаторов 20 МВ · А, индукционными миксерами и устройствами для разлива металла мощностью по проекту | 6 | 80 | 100 (на конец второго месяца) | - | - | 90 | 100 | - |
Цехи электролиза никеля мощностью по проекту | 9 | 75 | 90 | 100 (на конец второго месяца) | - | 85 | 100 | - |
Серии ванн электролиза никеля мощностью по проекту | 6 | 80 | 100 (на конец второго месяца) | - | - | 90 | 100 | - |
Гидрометаллургическое производство по переработке пирротиновых концентратов мощностью по проекту | 21 | 65 | 100 (на конец седьмого месяца) | - | - | 60 | 90 | 100 |
Автоклавы емкостью до 125 м3 | 6 | 80 | 100 (на конец второго месяца) | - | - | 90 | 100 | - |
Цехи оловянных заводов | ||||||||
Установки для фьюмингования жидких шлаков и твердых промпродуктов мощностью по проекту | 6 | 75 | 100 (на конец второго месяца) | - | - | 88 | 100 | - |
Цехи по производству титаномагниевой продукции | ||||||||
Цехи восстановления и сепарации с печами цикловой производительностью до 5 т титана губчатого мощностью по проекту | 12 | 60 | 75 | 90 | 100 (на конец второго месяца) | 80 | 100 | - |
Цехи электролиза магния с бездиафрагменными электролизерами при индивидуальном питании мощностью по проекту | 12 | 60 | 75 | 90 | 100 (на конец второго месяца) | 80 | 100 | - |
Производство вторичных цветных металлов | ||||||||
Цехи по производству алюминиевых сплавов и сплавов на медной основе с комплексом плавильных печей и установками непрерывной разливки мощностью по проекту | 5 | 80 | 100 (на конец первого месяца) | - | - | 90 | 100 | - |
Заводы по производству электродной продукции | ||||||||
Производство графитированных электродов мощностью по проекту | 15 | 90 | 100 (на конец первого месяца) | - | - | 85 | 95 | 100 |
Производство угольной продукции мощностью по проекту | 10 | 75 | 85 | 100 | - | 85 | 100 | - |
Производство конструкционных марок графита и химического углеграфитового оборудования мощностью по проекту | 15 | 85 | 100 (на конец первого месяца) | - | - | 85 | 95 | 100 |
Обработка цветных металлов и сплавов | ||||||||
Цехи литейные с электропечами емкостью 6, 16 т и более и установками полунепрерывного и непрерывного литья для производства медных и латунных плоских и круглых слитков мощностью в год: | ||||||||
до 50 тыс. т | 12 | 60 | 75 | 90 | 100 (на конец второго месяца) | 80 | 100 | - |
свыше 50 тыс. т | 18 | 80 | 100 (на конец четвертого месяца) | - | - | 70 | 95 | 100 |
Цехи литейные с электропечами емкостью менее 6 т и установками полунепрерывного литья для производства слитков из сложных сплавов мощностью в год: | ||||||||
до 20 тыс. т | 12 | 60 | 75 | 90 | 100 (на конец второго месяца) | 80 | 100 | - |
свыше 20 тыс. т | 15 | 85 | 100 (на конец первого месяца) | - | - | 85 | 95 | 100 |
Прокатные цехи по производству листов и лент из меди и латуней мощностью в год: | ||||||||
до 50 тыс. т | 12 | 70 | 80 | 90 | 100 (на конец второго месяца) | 80 | 100 | - |
свыше 50 тыс. т | 18 | 80 | 100 (на конец четвертого месяца) | - | - | 70 | 95 | 100 |
Прокатные цехи (участки) по производству листов и лент из сложных сплавов, из никеля и его сплавов, а также листов и лент с прецизионными свойствами и характеристиками из сложных никелевых сплавов, мощностью по проекту | 18 | 80 | 100 (на конец четвертого месяца) | - | - | 70 | 95 | 100 |
Цехи (участки) по производству алюминиевой фольги шириной более 1000 мм мощностью в год: | ||||||||
до 25 тыс. т | 12 | 70 | 80 | 90 | 100 (на конец второго месяца) | 80 | 100 | - |
свыше 25 тыс. т | 15 | 85 | 100 (на конец первого месяца) | - | - | 85 | 95 | 100 |
Цехи по производству труб и прутков из меди, никеля и их сплавов мощностью в год: | ||||||||
до 25 тыс. т | 15 | 85 | 100 (на конец первого месяца) | - | - | 85 | 95 | 100 |
свыше 25 тыс. т | 18 | 80 | 100 (на конец четвертого месяца) | - | - | 70 | 95 | 100 |
Цехи по производству прутков и проволоки из меди, никеля и их сплавов мощностью по проекту | 12 | 70 | 80 | 90 | 100 (на конец второго месяца) | 80 | 100 | - |
Агрегаты непрерывного литья и прокатки катанки ЛПА-АК8 мощностью по проекту | 12 | 65 | 80 | 90 | 100 (на конец второго месяца) | 80 | 100 | - |
Производство твердых сплавов и тугоплавких металлов | ||||||||
Цехи по производству порошкообразного и компактного (штабики) вольфрама и молибдена мощностью по проекту | 15 | 90 | 100 (на конец первого месяца) | - | - | 75 | 95 | 100 |
Цехи по производству металлокерамических твердых сплавов, изделий сложного профиля мощностью по проекту | 18 | 80 | 100 (на конец четвертого месяца) | - | - | 65 | 90 | 100 |
Цехи по производству вакуумно-плавленых вольфрама и молибдена мощностью по проекту | 15 | 90 | 100 (на конец первого месяца) | - | - | 75 | 95 | 100 |
Цехи по производству нитевидной вольфрамовой и молибденовой проволоки мощностью по проекту | 24 | 65 | 100 (на конец десятого месяца) | - | - | 50 | 80 | 100 |
Цехи по производству плоского проката из вольфрама, молибдена, ниобия, тантала мощностью по проекту | 12 | 70 | 80 | 90 | 100 (на конец второго месяца) | 80 | 100 | - |
Цехи по производству порошкообразных наплавочных сплавов, стержневых электродов с легирующей обмазкой, трубчатых материалов с легирующими наполнителями мощностью по проекту | 12 | 70 | 80 | 90 | 100 (на конец второго месяца) | 80 | 100 | - |
Цехи по производству безвольфрамовых и минералокерамических твердых сплавов мощностью по проекту | 18 | 80 | 100 (на конец четвертого месяца) | - | - | 65 | 90 | 100 |
Производство серной кислоты | ||||||||
Цехи по производству серной кислоты контактным способом из отходящих газов мощностью по проекту | 6 | 80 | 100 (на конец второго месяца) | - | - | 85 | 100 | - |
Примечания: 1. Нормы продолжительности освоения проектных мощностей рудников по добыче руд цветных металлов открытым способом установлены при коэффициенте вскрыши до 1 м3/т сырой руды. При коэффициенте вскрыши свыше 1 до 1,5 м3/т сырой руды норма продолжительности освоения проектной мощности увеличивается на 50%, при коэффициенте вскрыши более 1,5 м3/т - на 100%. | ||||||||
2. По предприятиям, объектам с впервые осваиваемой в СССР техникой и технологией, а также для рудников с открытым способом разработки, вводимых в действие в районах Крайнего Севера и приравненных к ним, нормы продолжительности освоения проектных мощностей определяются министерством и утверждаются по согласованию с Госпланом СССР. | ||||||||
Наименование и характеристика предприятий, производств, цехов и их мощность | Наименование экономических показателей | Норма продолжительности освоения в месяцах | Средний уровень освоения проектируемого экономического показателя в % | ||||||
в первый год работы | во второй год работы | в третий год работы | |||||||
кварталы | |||||||||
I | II | III | IV | за год | |||||
Рудники с подземным способом разработки мощностью по сырой руде в год: | |||||||||
до 600 тыс. т | Производительность труда | 9 | 65 | 80 | 95 | 100 | 85 | 100 | - |
Себестоимость продукции | 9 | 125 | 111 | 104 | 100 | 110 | 100 | - | |
от 600 до 1000 тыс. т | Производительность труда | 12 | 60 | 75 | 88 | 97 | 80 | 100 | - |
Себестоимость продукции | 12 | 140 | 123 | 114 | 103 | 120 | 100 | - | |
свыше 1000 тыс. т | Производительность труда | 18 | - | - | - | - | 70 | 95 | 100 |
Себестоимость продукции | 18 | - | - | - | - | 120 | 110 | 100 | |
Рудники с открытым способом разработки мощностью по сырой руде в год: | |||||||||
до 1000 тыс. т | Производительность труда | 6 | 65 | 95 | 100 | 100 | 90 | 100 | - |
Себестоимость продукции | 6 | 129 | 111 | 100 | 100 | 110 | 100 | - | |
от 1000 до 2000 тыс. т | Производительность труда | 8 | 62 | 83 | 95 | 100 | 85 | 100 | - |
Себестоимость продукции | 8 | 133 | 113 | 102 | 100 | 112 | 100 | - | |
от 2000 до 4000 тыс. т | Производительность труда | 10 | 55 | 79 | 88 | 98 | 80 | 100 | - |
Себестоимость продукции | 10 | 135 | 116 | 109 | 100 | 115 | 100 | - | |
свыше 4000 тыс. т | Производительность труда | 12 | 50 | 68 | 85 | 97 | 75 | 100 | - |
Себестоимость продукции | 12 | 130 | 118 | 109 | 103 | 115 | 100 | - | |
Дражный способ разработки россыпных месторождений | |||||||||
Драги с черпаками емкостью 80 л | Производительность труда | 6 | 65 | 95 | 100 | 100 | 90 | 100 | - |
Себестоимость продукции | 6 | 129 | 111 | 100 | 100 | 110 | 100 | - | |
Драги с черпаками емкостью 150 л | Производительность труда | 9 | 63 | 82 | 95 | 100 | 85 | 100 | - |
Себестоимость продукции | 9 | 137 | 118 | 105 | 100 | 115 | 100 | - | |
Драги с черпаками емкостью 250 л и выше | Производительность труда | 12 | 59 | 77 | 87 | 97 | 80 | 100 | - |
Себестоимость продукции | 12 | 130 | 118 | 109 | 103 | 115 | 100 | - | |
Фабрики по переработке руд цветных и редких металлов | |||||||||
Фабрики первой группы сложности, перерабатывающие монометаллические руды с выдачей одного концентрата, мощностью до 10 млн. т в год | Производительность труда | 6 | 65 | 95 | 100 | 100 | 90 | 100 | - |
Себестоимость продукции | 6 | 129 | 111 | 100 | 100 | 110 | 100 | - | |
Фабрики второй группы сложности, перерабатывающие полиметаллические руды с выдачей двух и более концентратов, а также работающие по комбинированным схемам, мощностью в год: | |||||||||
до 2 млн. т | Производительность труда | 8 | 73 | 89 | 98 | 100 | 90 | 100 | - |
Себестоимость продукции | 8 | 130 | 108 | 102 | 100 | 110 | 100 | - | |
от 2 до 10 млн. т | Производительность труда | 9 | 63 | 82 | 95 | 100 | 85 | 100 | - |
Себестоимость продукции | 9 | 137 | 118 | 105 | 100 | 115 | 100 | - | |
Золотоизвлекательные фабрики | |||||||||
Фабрики первой группы сложности (флотационные) мощностью по переработке руды в год: | |||||||||
до 1000 тыс. т | Производительность труда | 6 | 70 | 90 | 100 | 100 | 90 | 100 | - |
Себестоимость продукции | 6 | 129 | 111 | 100 | 100 | 110 | 100 | - | |
от 1000 до 3000 тыс. т | Производительность труда | 9 | 65 | 80 | 95 | 100 | 85 | 100 | - |
Себестоимость продукции | 9 | 137 | 118 | 105 | 100 | 115 | 100 | - | |
Фабрики второй группы сложности (с гидрометаллургическим переделом) мощностью по переработке руды в год: | |||||||||
до 1000 тыс. т | Производительность труда | 8 | 75 | 88 | 97 | 100 | 90 | 100 | - |
Себестоимость продукции | 8 | 140 | 116 | 104 | 100 | 115 | 100 | - | |
свыше 1000 тыс. т | Производительность труда | 10 | 65 | 80 | 95 | 100 | 85 | 100 | - |
Себестоимость продукции | 10 | 147 | 123 | 108 | 102 | 120 | 100 | - | |
Фабрики третьей группы сложности (с комбинированным процессом) мощностью по переработке руды в год: | |||||||||
до 1000 тыс. т | Производительность труда | 9 | 63 | 82 | 95 | 100 | 85 | 100 | - |
Себестоимость продукции | 9 | 147 | 125 | 108 | 100 | 120 | 100 | - | |
свыше 1000 тыс. т | Производительность труда | 10 | 65 | 80 | 95 | 100 | 85 | 100 | - |
Себестоимость продукции | 10 | 152 | 125 | 109 | 102 | 122 | 100 | - | |
Цехи металлургических предприятий | |||||||||
Цехи электролиза алюминия | |||||||||
Корпуса, оборудованные электролизерами с верхним подводом тока, на силу тока по проекту | Производительность труда | 3 | 80 | 100 | 100 | 100 | 95 | 100 | - |
Себестоимость продукции | 3 | 120 | 100 | 100 | 100 | 105 | 100 | - | |
Корпуса, оборудованные электролизерами с обожженными анодами, на силу тока 160 - 175 кА (кроме опытно-промышленных корпусов) | Производительность труда | 6 | 65 | 95 | 100 | 100 | 90 | 100 | - |
Себестоимость продукции | 6 | 140 | 108 | 100 | 100 | 112 | 100 | - | |
Технологические линии цехов обожженных анодов мощностью по проекту | Производительность труда | 15 | - | - | - | - | 75 | 90 | 100 |
Себестоимость продукции | 15 | - | - | - | - | 125 | 110 | 100 | |
Цинкоэлектролитные заводы мощностью по проекту | Производительность труда | 5 | 67 | 93 | 100 | 100 | 90 | 100 | - |
Себестоимость продукции | 5 | 135 | 105 | 100 | 100 | 110 | 100 | - | |
Медеэлектролитные цехи мощностью по проекту | Производительность труда | 5 | 67 | 93 | 100 | 100 | 90 | 100 | - |
Себестоимость продукции | 5 | 132 | 108 | 100 | 100 | 110 | 100 | - | |
Цехи никель-кобальтовых комбинатов | |||||||||
Цехи по переработке шламов электролиза никеля мощностью по проекту | Производительность труда | 12 | 59 | 77 | 87 | 97 | 80 | 100 | - |
Себестоимость продукции | 12 | 141 | 123 | 113 | 103 | 120 | 100 | - | |
Комплекс шахтной печи для плавки окисленных никелевых руд с очисткой газов и грануляцией шлаков мощностью по проекту | Производительность труда | 9 | 63 | 82 | 95 | 100 | 85 | 100 | - |
Себестоимость продукции | 9 | 137 | 118 | 105 | 100 | 115 | 100 | - | |
Электропечи для обеднения конвертерных шлаков мощностью трансформаторов до 25 МВ · А | Производительность труда | 9 | 63 | 82 | 95 | 100 | 85 | 100 | - |
Себестоимость продукции | 9 | 137 | 118 | 105 | 100 | 115 | 100 | - | |
Конвертеры горизонтальные емкостью по проекту | Производительность труда | 2 | 90 | 100 | 100 | 100 | 98 | 100 | - |
Себестоимость продукции | 2 | 110 | 100 | 100 | 100 | 102,5 | 100 | - | |
Комплекс по производству анодного и гранулированного никеля с электропечами мощностью трансформаторов 20 МВ · А, индукционными миксерами и устройствами для разливки металла мощностью по проекту | Производительность труда | 6 | 65 | 95 | 100 | 100 | 90 | 100 | - |
Себестоимость продукции | 6 | 140 | 112 | 100 | 100 | 113 | 100 | - | |
Цехи электролиза никеля мощностью по проекту | Производительность труда | 9 | 63 | 82 | 95 | 100 | 85 | 100 | - |
Себестоимость продукции | 9 | 137 | 118 | 105 | 100 | 115 | 100 | - | |
Серии ванн электролиза никеля мощностью по проекту | Производительность труда | 6 | 70 | 90 | 100 | 100 | 90 | 100 | - |
Себестоимость продукции | 6 | 130 | 110 | 100 | 100 | 110 | 100 | - | |
Гидрометаллургическое производство по переработке пирротиновых концентратов мощностью по проекту | Производительность труда | 21 | - | - | - | - | 60 | 90 | 100 |
Себестоимость продукции | 21 | - | - | - | - | 130 | 110 | 100 | |
Автоклавы емкостью до 125 м3 | Производительность труда | 6 | 70 | 90 | 100 | 100 | 90 | 100 | - |
Себестоимость продукции | 6 | 130 | 110 | 100 | 100 | 110 | 100 | - | |
Цехи оловянных заводов | |||||||||
Установки фьюмингования жидких шлаков и твердых промпродуктов мощностью по проекту | Производительность труда | 6 | 65 | 87 | 100 | 100 | 88 | 100 | - |
Себестоимость продукции | 6 | 133 | 115 | 100 | 100 | 112 | 100 | - | |
Цехи по производству титаномагниевой продукции | |||||||||
Цехи восстановления и сепарации с печами цикловой производительностью до 5 т титана губчатого мощностью по проекту | Производительность труда | 12 | 59 | 77 | 87 | 97 | 80 | 100 | - |
Себестоимость продукции | 12 | 141 | 123 | 113 | 103 | 120 | 100 | - | |
Цехи электролиза магния с бездиафрагменными электролизерами при индивидуальном питании мощностью по проекту | Производительность труда | 12 | 59 | 77 | 87 | 97 | 80 | 100 | - |
Себестоимость продукции | 12 | 141 | 123 | 113 | 103 | 120 | 100 | - | |
Производство вторичных цветных металлов | |||||||||
Цехи по производству алюминиевых сплавов и сплавов на медной основе с комплексом плавильных печей и установками непрерывной разливки мощностью по проекту | Производительность труда | 5 | 67 | 93 | 100 | 100 | 90 | 100 | - |
Себестоимость продукции | 5 | 135 | 105 | 100 | 100 | 110 | 100 | - | |
Заводы по производству электродной продукции | |||||||||
Производство графитированных электродов мощностью по проекту | Производительность труда | 15 | - | - | - | - | 85 | 95 | 100 |
Себестоимость продукции | 15 | - | - | - | - | 130 | 110 | 100 | |
Производство угольной продукции мощностью по проекту | Производительность труда | 10 | 65 | 80 | 95 | 100 | 85 | 100 | - |
Себестоимость продукции | 10 | 152 | 125 | 109 | 102 | 122 | 100 | - | |
Производство конструкционных марок графита и химического углеграфитового оборудования мощностью по проекту | Производительность труда | 15 | - | - | - | - | 85 | 95 | 100 |
Себестоимость продукции | 15 | - | - | - | - | 130 | 110 | 100 | |
Обработка цветных металлов и сплавов | |||||||||
Цехи литейные с электропечами емкостью 6,16 т и более и установками полунепрерывного и непрерывного литья для производства медных и латунных плоских и круглых слитков мощностью в год: | |||||||||
до 50 тыс. т | Производительность труда | 12 | 59 | 77 | 87 | 97 | 80 | 100 | - |
Себестоимость продукции | 12 | 152 | 129 | 115 | 104 | 125 | 100 | - | |
свыше 50 тыс. т | Производительность труда | 18 | - | - | - | - | 60 | 95 | - |
Себестоимость продукции | 18 | - | - | - | - | 130 | 105 | - | |
Цехи литейные с электропечами емкостью менее 6 т и установками полунепрерывного литья для производства слитков из сложных сплавов мощностью в год: | |||||||||
до 20 тыс. т | Производительность труда | 12 | 59 | 77 | 87 | 97 | 80 | 100 | - |
Себестоимость продукции | 12 | 152 | 129 | 115 | 104 | 125 | 100 | - | |
свыше 20 тыс. т | Производительность труда | 15 | - | - | - | - | 85 | 95 | 100 |
Себестоимость продукции | 15 | - | - | - | - | 125 | 105 | 100 | |
Прокатные цехи по производству листов и лент из меди и латуней мощностью в год: | |||||||||
до 50 тыс. т | Производительность труда | 12 | 59 | 77 | 87 | 97 | 80 | 100 | - |
Себестоимость продукции | 12 | 141 | 123 | 113 | 103 | 120 | 100 | - | |
свыше 50 тыс. т | Производительность труда | 18 | - | - | - | - | 70 | 95 | - |
Себестоимость продукции | 18 | - | - | - | - | 125 | 108 | - | |
Прокатные цехи (участки) по производству листов и лент из сложных сплавов, из никеля и его сплавов, а также листов и лент с прецизионными свойствами и характеристиками из сложных никелевых сплавов, мощностью по проекту | Производительность труда | 18 | - | - | - | - | 70 | 95 | 100 |
Себестоимость продукции | 18 | - | - | - | - | 125 | 108 | 100 | |
Цехи (участки) по производству алюминиевой фольги шириной более 1000 мм мощностью в год: | |||||||||
до 25 тыс. т | Производительность труда | 12 | 59 | 77 | 87 | 97 | 80 | 100 | - |
Себестоимость продукции | 12 | 141 | 123 | 113 | 103 | 120 | 100 | - | |
свыше 25 тыс. т | Производительность труда | 15 | - | - | - | - | 85 | 95 | 100 |
Себестоимость продукции | 15 | - | - | - | - | 120 | 105 | 100 | |
Цехи по производству труб и прутков из меди, никеля и их сплавов мощностью в год: | |||||||||
до 25 тыс. т | Производительность труда | 15 | - | - | - | - | 85 | 95 | 100 |
Себестоимость продукции | 15 | - | - | - | - | 120 | 105 | 100 | |
свыше 25 тыс. т | Производительность труда | 18 | - | - | - | - | 70 | 95 | 100 |
Себестоимость продукции | 18 | - | - | - | - | 125 | 108 | 100 | |
Цехи по производству прутков и проволоки из меди, никеля и их сплавов мощностью по проекту | Производительность труда | 12 | 59 | 77 | 87 | 97 | 80 | 100 | - |
Себестоимость продукции | 12 | 141 | 123 | 113 | 103 | 120 | 100 | - | |
Агрегаты непрерывного литья и прокатки катанки ЛПА-АК8 мощностью по проекту | Производительность труда | 12 | 59 | 77 | 87 | 97 | 80 | 100 | - |
Себестоимость продукции | 12 | 141 | 123 | 113 | 103 | 120 | 100 | - | |
Производство твердых сплавов и тугоплавких металлов | |||||||||
Цехи по производству порошкообразного и компактного (штабики) вольфрама и молибдена мощностью по проекту | Производительность труда | 15 | - | - | - | - | 75 | 95 | 100 |
Себестоимость продукции | 15 | - | - | - | - | 125 | 105 | 100 | |
Цехи по производству металлокерамических твердых сплавов, изделий сложного профиля мощностью по проекту | Производительность труда | 18 | - | - | - | - | 65 | 90 | 100 |
Себестоимость продукции | 18 | - | - | - | - | 130 | 110 | 100 | |
Цехи по производству вакуумно-плавленых вольфрама и молибдена мощностью по проекту | Производительность труда | 15 | - | - | - | - | 75 | 95 | 100 |
Себестоимость продукции | 15 | - | - | - | - | 125 | 105 | 100 | |
Цехи по производству нитевидной вольфрамовой и молибденовой проволоки мощностью по проекту | Производительность труда | 24 | - | - | - | - | 50 | 80 | 100 |
Себестоимость продукции | 24 | - | - | - | - | 140 | 120 | 100 | |
Цехи по производству плоского проката из вольфрама, молибдена, ниобия, тантала мощностью по проекту | Производительность труда | 12 | 59 | 77 | 87 | 97 | 80 | 100 | - |
Себестоимость продукции | 12 | 141 | 123 | 113 | 103 | 120 | 100 | - | |
Цехи по производству порошкообразных наплавочных сплавов, стержневых электродов с легирующей обмазкой, трубчатых материалов с легирующими наполнителями мощностью по проекту | Производительность труда | 12 | 59 | 77 | 87 | 97 | 80 | 100 | - |
Себестоимость продукции | 12 | 141 | 123 | 113 | 103 | 120 | 100 | - | |
Цехи по производству безвольфрамовых и минералокерамических твердых сплавов мощностью по проекту | Производительность труда | 18 | - | - | - | - | 65 | 90 | 100 |
Себестоимость продукции | 18 | - | - | - | - | 130 | 110 | 100 | |
Производство серной кислоты | |||||||||
Цехи по производству серной кислоты контактным способом из отходящих газов мощностью по проекту | Производительность труда | 6 | 55 | 85 | 100 | 100 | 85 | 100 | - |
Себестоимость продукции | 6 | 130 | 110 | 100 | 100 | 110 | 100 | - | |
Примечания: 1. Нормы продолжительности освоения проектных экономических показателей рудников по добыче руд цветных металлов открытым способом установлены при коэффициенте вскрыши до 1 м3/т сырой руды. При коэффициенте вскрыши свыше 1 до 1,5 м3/т сырой руды норма продолжительности освоения экономических показателей увеличивается на 50%, при коэффициенте вскрыши более 1,5 м3/т - на 100%. | |||||||||
2. При наличии в планируемом периоде отклонений от проектных показателей по номенклатуре и качеству продукции, ценам, тарифам и другим условиям производится пересчет проектных показателей с учетом этих изменений. | |||||||||
Наименование и характеристика предприятий, производств, цехов и их мощность | Норма продолжительности освоения проектной мощности в месяцах | Уровень освоения проектной мощности в % на конец квартала или года (если норма продолжительности освоения более года) работы предприятий | Объем производства продукции (переработки или добычи сырья) в % от годовой проектной мощности | |||||
первого | второго | третьего | четвертого | в первый год работы | во второй год работы | в третий год работы | ||
Ацетали, мощностью от 4 до 10 тыс. т в год | 6 | 70 | 100 (на конец второго месяца) | - | - | 85 | 100 | - |
Ацетилцеллюлоза полунепрерывным методом, мощностью до 15 тыс. т в год | 12 | 60 | 75 | 90 | 100 (на конец второго месяца) | 75 | 100 | - |
Винилацетат из этилена, мощностью от 50 до 100 тыс. т в год | 12 | 50 | 70 | - | 100 (на конец второго месяца) | 70 | 100 | - |
Волокна искусственные, мощностью от 16 до 120 тыс. т в год | 9 | 70 | 85 | 100 (на конец второго месяца) | - | 83 | 100 | - |
Волокна искусственные высокомодульные, мощностью от 16 до 120 тыс. т в год | 12 | 60 | 5 | 90 | 100 (на конец второго месяца) | 75 | 100 | - |
Волокна синтетические, мощностью от 16 до 120 тыс. т в год | 9 | 70 | 85 | 100 (на конец второго месяца) | - | 83 | 100 | - |
Волокна синтетические жгутовые, мощностью от 10 до 30 тыс. т в год | 10 | 60 | 80 | 100 | - | 77 | 100 | - |
Двуокись титана пигментная, мощностью 40 тыс. т в год | 12 | 50 | 100 (на конец второго месяца) | 70 | 100 | - | ||
Изделия из стеклопластиков, мощностью: | ||||||||
до 5 тыс. т в год | 9 | 65 | 85 | 100 (на конец второго месяца) | - | 80 | 100 | - |
от 5 до 10 тыс. т в год | 12 | 60 | 75 | 90 | 100 (на конец второго месяца) | 75 | 100 | - |
Кабельный пластикат, мощностью до 80 тыс. т в год | 5 | 80 | 100 (на конец первого месяца) | - | - | 87 | 100 | - |
Карбамидные смолы: | ||||||||
жидкофазным методом, мощностью до 100 тыс. т в год | 3 | 100 (на конец второго месяца) | - | - | - | 95 | 100 | - |
газофазным методом, мощностью до 60 тыс. т в год | 6 | 70 | 100 (на конец второго месяца) | - | - | 85 | 100 | - |
Карбамидные смолы лаковые, мощностью до 12 тыс. т в год | 8 | 65 | 85 | 100 (на конец первого месяца) | - | 80 | 100 | - |
Кинофотопленка шириной 35 мм, мощностью 275 млн. пог. м в год | 6 | 70 | 100 (на конец второго месяца) | - | - | 85 | 100 | - |
Магнитная лента шириной 6,25 мм, мощностью 1000 млн. пог. м в год и выше | 4 | 100 | - | - | - | 93 | 100 | - |
Магнитные видеоленты шириной 6,25 мм, мощностью 1400 млн. пог. м в год | 9 | 60 | 84 | 100 (на конец второго месяца) | - | 77 | 100 | - |
Метанол М-750, мощностью 750 тыс. т в год (кроме головного агрегата) | 12 | 60 | 75 | 90 | 100 (на конец второго месяца) | 75 | 100 | - |
Метилхлороформ, мощностью 10 тыс. т в год | 18 | 80 | 100 (на конец пятого месяца) | - | - | 63 | 95 | 100 |
Непрерывное стекловолокно, мощностью: | ||||||||
до 3 тыс. т в год | 6 | 70 | 100 (на конец второго месяца) | - | - | 85 | 100 | - |
от 3 до 5 тыс. т в год | 9 | 55 | 80 | 100 (на конец второго месяца) | - | 75 | 100 | - |
Нетканые изделия из непрерывного стекловолокна, мощностью: | ||||||||
до 2,5 тыс. т в год | 9 | 65 | 85 | 100 (на конец второго месяца) | - | 80 | 100 | - |
от 2,5 до 5 тыс. т в год | 11 | 60 | 75 | 94 | 100 (на конец первого месяца) | 75 | 100 | - |
Нити пленочные, мощностью 20 тыс. т в год | 9 | 70 | 90 | 100 (на конец второго месяца) | - | 85 | 100 | - |
Нить синтетическая для кордной ткани и технических изделий, мощностью: | ||||||||
до 10 тыс. т в год | 12 | 60 | 75 | 90 | 100 (на конец второго месяца) | 75 | 100 | - |
свыше 10 тыс. т в год | 15 | 85 | 100 (на конец второго месяца) | - | - | 70 | 97 | 100 |
Нить текстильная искусственная, мощностью от 5 до 10 тыс. т в год | 15 | 85 | 100 (на конец второго месяца) | - | - | 60 | 95 | 100 |
Нить текстильная синтетическая, мощностью свыше 5 тыс. т в год | 15 | 85 | 100 (на конец второго месяца) | - | - | 65 | 95 | 100 |
Нить текстильная триацетатная, мощностью свыше 15 тыс. т в год | 12 | 50 | 70 | 85 | 100 (на конец второго месяца) | 70 | 100 | - |
Окись этилена, мощностью по проекту | 9 | 55 | 80 | 100 (на конец второго месяца) | - | 75 | 100 | - |
Пигменты железоокисные желтые, мощностью до 24 тыс. т в год | 12 | 70 | 80 | 90 | 100 (на конец второго месяца) | 80 | 100 | - |
Пластификаторы по непрерывной и периодической схеме, мощностью 60 тыс. т в год | 6 | 65 | 100 (на конец второго месяца) | - | - | 82 | 100 | - |
Пленка на основе полиэтилентерефталатных смол для производства кинофотоматериалов, агрегат ПЭТФ-1500 КФ, мощностью по проекту | 9 | 55 | 80 | 100 (на конец второго месяца) | - | 75 | 100 | - |
Поливиниловый спирт, мощностью от 3 до 20 тыс. т в год | 6 | 70 | 100 (на конец второго месяца) | - | - | 85 | 100 | - |
Полипропилен в тяжелом растворителе для волокна, мощностью от 50 до 100 тыс. т в год по базовой марке | 12 | 50 | 70 | 85 | 100 (на конец второго месяца) | 70 | 100 | - |
Полиэтилен высокой плотности по базовой марке с показателем текучести расплава 1 - 3 г/10 мин, мощностью до 200 тыс. т в год | 12 | 50 | 70 | 85 | 100 (на конец второго месяца) | 70 | 100 | - |
Полиэтилен низкой плотности, мощностью от 60 до 120 тыс. т в год | 5 | 80 | 100 (на конец первого месяца) | - | - | 87 | 100 | - |
Полистирол: | ||||||||
вспенивающийся, мощностью от 33 до 100 тыс. т в год | 6 | 70 | 100 (на конец второго месяца) | - | - | 85 | 100 | - |
суспензионный, ударопрочный и общего назначения, мощностью от 33 до 100 тыс. т в год | 6 | 70 | 100 (на конец второго месяца) | - | - | 85 | 100 | - |
ударопрочный, блочный и общего назначения, мощностью от 28 до 110 тыс. т в год | 6 | 70 | 100 (на конец второго месяца) | - | - | 85 | 100 | - |
эмульсионный, сополимеры стирола, мощностью от 3 до 12 тыс. т в год | 6 | 70 | 100 (на конец второго месяца) | - | - | 85 | 100 | - |
Полиуретаны, фенолформальдегидные пресс-порошки, мощностью до 100 тыс. т в год | 6 | 70 | 100 (на конец второго месяца) | - | - | 85 | 100 | - |
Производство изделий из пластмасс методом вакуум- и пневмоформования, мощностью: | ||||||||
до 1 тыс. т в год | 5 | 85 | 100 (на конец первого месяца) | - | - | 90 | 100 | - |
от 1 до 3 тыс. т в год | 7 | 75 | 100 | - | - | 87 | 100 | - |
от 3 до 5 тыс. т в год | 9 | 65 | 85 | 100 (на конец второго месяца) | - | 80 | 100 | - |
Производство изделий из пластмасс методом литья, мощностью: | ||||||||
до 1 тыс. т в год | 7 | 75 | 100 | - | - | 87 | 100 | - |
от 1 до 3 тыс. т в год | 10 | 65 | 80 | 100 | - | 80 | 100 | - |
от 3 до 6 тыс. т в год | 12 | 50 | 70 | 85 | 100 (на конец второго месяца) | 70 | 100 | - |
Производство изделий из пластмасс методом прессования, мощностью: | ||||||||
до 1,5 тыс. т в год | 7 | 75 | 100 | - | - | 87 | 100 | - |
от 1,5 до 4 тыс. т в год | 9 | 65 | 85 | 100 (на конец второго месяца) | - | 80 | 100 | - |
Производство изделий из пластмасс методом раздува мощностью: | ||||||||
до 1 тыс. т в год | 5 | 85 | 100 (на конец первого месяца) | - | - | 90 | 100 | - |
от 1 до 2,5 тыс. т в год | 7 | 70 | 100 | - | - | 85 | 100 | - |
Производство листов из термопластов, мощностью: | ||||||||
до 1,5 тыс. т в год | 3 | 100 (на конец второго месяца) | - | - | - | 95 | 100 | - |
от 1,5 до 5 тыс. т в год | 7 | 70 | 100 | - | - | 85 | 100 | - |
от 5 до 10 тыс. т в год | 10 | 55 | 80 | 100 | - | 75 | 100 | - |
Производство пленки из поливинилхлорида, мощностью: | ||||||||
до 5 тыс. т в год | 3 | 100 (на конец второго месяца) | - | - | - | 95 | 100 | - |
от 5 до 15 тыс. т в год | 5 | 85 | 100 (на конец первого месяца) | - | - | 90 | 100 | - |
от 15 до 30 тыс. т в год | 8 | 60 | 90 | 100 (на конец первого месяца) | - | 80 | 100 | - |
Производство пленки из полинолефинов, мощностью: | ||||||||
до 5 тыс. т в год | 3 | 100 (на конец второго месяца) | - | - | - | 95 | 100 | - |
от 5 до 10 тыс. т в год | 5 | 85 | 100 (на конец первого месяца) | - | - | 90 | 100 | - |
от 10 до 20 тыс. т в год | 8 | 70 | 95 | 100 (на конец первого месяца) | - | 85 | 100 | - |
Производство профилей из термопластов, мощностью: | ||||||||
до 1 тыс. т в год | 6 | 80 | 100 (на конец второго месяца) | - | - | 87 | 100 | - |
от 1 до 2,5 тыс. т в год | 9 | 70 | 80 | 100 (на конец второго месяца) | - | 82 | 100 | - |
Производство труб и фитингов из термопластов, мощностью: | ||||||||
до 5 тыс. т в год | 8 | 60 | 90 | 100 (на конец первого месяца) | - | 80 | 100 | - |
от 5 до 12 тыс. т в год | 11 | 55 | 75 | 95 | 100 (на конец первого месяца) | 73 | 100 | - |
от 12 до 25 тыс. т в год | 15 | 85 | 100 (на конец второго месяца) | - | - | 65 | 95 | 100 |
Синтетические моющие порошки, мощностью до 100 тыс. т в год | 8 | 60 | 90 | 100 (на конец второго месяца) | - | 80 | 100 | - |
Сода кальцинированная, мощностью до 318 тыс. т в год | 8 | 60 | 90 | 100 (на конец первого месяца) | - | 80 | 100 | - |
Сульфат натрия из природного сырья, мощностью от 100 до 140 тыс. т в год | 9 | 65 | 85 | 100 (на конец второго месяца) | - | 80 | 100 | - |
Сода каустическая: | ||||||||
на ваннах с диафрагмой, мощностью до 260 тыс. т в год | 12 | 57 | 73 | 90 | 100 (на конец второго месяца) | 73 | 100 | - |
на ртутных ваннах, мощностью до 220 тыс. т в год | 12 | 60 | 75 | 90 | 100 (на конец второго месяца) | 75 | 100 | - |
Сополимерная дисперсия винилацетата с этиленом, мощностью от 10 до 20 тыс. т в год | 6 | 70 | 100 (на конец второго месяца) | - | - | 85 | 100 | - |
Стеклопластики типа АГ-4, ДСВ, премиксы и др., мощностью: | ||||||||
до 3 тыс. т в год | 5 | 80 | 100 (на конец первого месяца) | - | - | 87 | 100 | - |
от 3 до 10 тыс. т в год | 7 | 60 | 100 | - | - | 80 | 100 | - |
Текстильные изделия из непрерывного стекловолокна, мощностью: | ||||||||
до 3 тыс. т в год | 9 | 65 | 85 | 100 (на конец второго месяца) | - | 80 | 100 | - |
от 3 до 5 тыс. т в год | 10 | 55 | 75 | 100 | - | 75 | 100 | - |
Триацетат целлюлозы периодическим методом, мощностью до 13 тыс. т в год | 8 | 60 | 90 | 100 (на конец первого месяца) | - | 80 | 100 | - |
Фталевый ангидрид из ортоксилола, мощностью до 60 тыс. т в год | 10 | 60 | 80 | 100 | - | 77 | 100 | - |
Эпоксидные смолы лаковые, мощностью от 6 до 20 тыс. т в год | 14 | 85 | 100 (на конец первого месяца) | - | - | 65 | 97 | 100 |
Эпоксидные смолы для производства порошковых красок, мощностью до 20 тыс. т в год | 12 | 50 | 70 | 85 | 100 (на конец второго месяца) | 70 | 100 | - |
Примечания: 1. Нормы продолжительности освоения проектных мощностей установлены для первых производств на новых, а также действующих предприятиях. Для последующих производств (пусковых комплексов) нормы продолжительности освоения проектных мощностей устанавливаются в размере 35 - 50% от нормы для первого производства (пускового комплекса). Первым считается производство, впервые вводимое на данном предприятии. Последующим производством считается ввод в действие дополнительных агрегатов, технологических линий или дублирующих цехов. | ||||||||
2. При вводе в действие предприятий, объектов с новой техникой и технологией, впервые осваиваемой в СССР, нормы продолжительности освоения проектных мощностей по этим предприятиям, объектам разрабатываются министерством и утверждаются по согласованию с Госпланом СССР. | ||||||||
Наименование и характеристика предприятий, производств, цехов и их мощность | Наименование экономических показателей | Норма продолжительности освоения в месяцах | Средний уровень освоения проектируемого экономического показателя в % | ||||||
в первый год работы | во второй год работы | в третий год работы | |||||||
кварталы | за год | ||||||||
I | II | III | IV | ||||||
Ацетали, мощностью от 4 до 10 тыс. т в год | Производительность труда | 6 | 50 | 90 | 100 | 100 | 85 | 100 | - |
Себестоимость продукции | 6 | 136 | 113 | 100 | 100 | 108 | 100 | - | |
Ацетилцеллюлоза полунепрерывным методом, мощностью до 15 тыс. т в год | Производительность труда | 12 | 52 | 67 | 83 | 97 | 75 | 100 | - |
Себестоимость продукции | 12 | 121 | 116 | 111 | 108 | 112 | 100 | - | |
Винилацетат из этилена, мощностью от 50 до 100 тыс. т в год | Производительность труда | 12 | 45 | 60 | 78 | 96 | 70 | 100 | - |
Себестоимость продукции | 12 | 129 | 120 | 113 | 102 | 106 | 100 | - | |
Волокна искусственные, мощностью от 16 до 120 тыс. т в год | Производительность труда | 9 | 58 | 77 | 96 | 100 | 83 | 100 | - |
Себестоимость продукции | 9 | 156 | 124 | 104 | 100 | 116 | 100 | - | |
Волокна искусственные высокомодульные, мощностью от 16 до 120 тыс. т в год | Производительность труда | 12 | 52 | 67 | 83 | 97 | 75 | 100 | - |
Себестоимость продукции | 12 | 171 | 138 | 116 | 102 | 125 | 100 | - | |
Волокна синтетические, мощностью от 16 до 120 тыс. т в год | Производительность труда | 9 | 58 | 77 | 96 | 100 | 83 | 100 | - |
Себестоимость продукции | 9 | 160 | 125 | 104 | 100 | 117 | 100 | - | |
Волокна синтетические жгутовые, мощностью от 10 до 30 тыс. т в год | Производительность труда | 10 | 50 | 70 | 90 | 100 | 77 | 100 | - |
Себестоимость продукции | 10 | 184 | 137 | 110 | 100 | 125 | 100 | - | |
Двуокись титана пигментная, мощностью 40 тыс. т в год | Производительность труда | 12 | 45 | 60 | 80 | 96 | 70 | 100 | - |
Себестоимость продукции | 12 | 155 | 138 | 125 | 117 | 128 | 100 | - | |
Изделия из стеклопластиков, мощностью: | |||||||||
до 5 тыс. т в год | Производительность труда | 9 | 51 | 74 | 95 | 100 | 80 | 100 | - |
Себестоимость продукции | 9 | 193 | 144 | 120 | 100 | 129 | 100 | - | |
от 5 до 10 тыс. т в год | Производительность труда | 12 | 52 | 67 | 83 | 97 | 75 | 100 | - |
Себестоимость продукции | 12 | 190 | 156 | 132 | 118 | 141 | 100 | - | |
Кабельный пластикат, мощностью до 80 тыс. т в год | Производительность труда | 5 | 53 | 95 | 100 | 100 | 87 | 100 | - |
Себестоимость продукции | 5 | 114 | 108 | 100 | 100 | 103 | 100 | - | |
Карбамидные смолы: | |||||||||
жидкофазным методом, мощностью до 100 тыс. т в год | Производительность труда | 3 | 80 | 100 | 100 | 100 | 95 | 100 | - |
Себестоимость продукции | 3 | 116 | 100 | 100 | 100 | 102 | 100 | - | |
газофазным методом, мощностью до 60 тыс. т в год | Производительность труда | 6 | 50 | 90 | 100 | 100 | 85 | 100 | - |
Себестоимость продукции | 6 | 126 | 106 | 100 | 100 | 105 | 100 | - | |
Карбамидные смолы лаковые, мощностью до 12 тыс. т в год | Производительность труда | 8 | 50 | 75 | 95 | 100 | 80 | 100 | - |
Себестоимость продукции | 8 | 132 | 114 | 105 | 100 | 109 | 100 | - | |
Кинофотопленка шириной 35 мм, мощностью 275 млн. пог. м в год | Производительность труда | 6 | 50 | 90 | 100 | 100 | 85 | 100 | - |
Себестоимость продукции | 6 | 131 | 108 | 100 | 100 | 106 | 100 | - | |
Магнитная лента шириной 6,25 мм, мощностью 1000 млн. пог. м в год и выше | Производительность труда | 4 | 72 | 100 | 100 | 100 | 93 | 100 | - |
Себестоимость продукции | 4 | 126 | 100 | 100 | 100 | 106 | 100 | - | |
Магнитные видеоленты шириной 6,25 мм, мощностью 1400 млн. пог. м в год | Производительность труда | 9 | 50 | 70 | 95 | 100 | 77 | 100 | - |
Себестоимость продукции | 9 | 140 | 121 | 108 | 100 | 113 | 100 | - | |
Метанол М-750, мощностью 750 тыс. т в год (кроме головного агрегата) | Производительность труда | 12 | 52 | 67 | 83 | 97 | 75 | 100 | - |
Себестоимость продукции | 12 | 152 | 130 | 115 | 106 | 121 | 100 | - | |
Метилхлороформ, мощностью 10 тыс. т в год | Производительность труда | 18 | - | - | - | - | 63 | 95 | 100 |
Себестоимость продукции | 18 | - | - | - | - | 132 | 105 | 100 | |
Непрерывное стекловолокно, мощностью: | |||||||||
до 3 тыс. т в год | Производительность труда | 6 | 50 | 90 | 100 | 100 | 85 | 100 | - |
Себестоимость продукции | 6 | 190 | 122 | 100 | 100 | 118 | 100 | - | |
от 3 до 5 тыс. т в год | Производительность труда | 9 | 40 | 65 | 95 | 100 | 75 | 100 | - |
Себестоимость продукции | 9 | 228 | 155 | 118 | 100 | 133 | 100 | - | |
Нетканые изделия из непрерывного стекловолокна, мощностью: | |||||||||
до 2,5 тыс. т в год | Производительность труда | 9 | 51 | 74 | 95 | 100 | 80 | 100 | - |
Себестоимость продукции | 9 | 203 | 149 | 121 | 100 | 133 | 100 | - | |
от 2,5 до 5 тыс. т в год | Производительность труда | 11 | 50 | 66 | 85 | 99 | 75 | 100 | - |
Себестоимость продукции | 11 | 207 | 164 | 134 | 116 | 144 | 100 | - | |
Нити пленочные, мощностью 20 тыс. т в год | Производительность труда | 9 | 63 | 80 | 97 | 100 | 85 | 100 | - |
Себестоимость продукции | 9 | 149 | 121 | 103 | 100 | 115 | 100 | - | |
Нить синтетическая для кордной ткани и технических изделий, мощностью: | |||||||||
до 10 тыс. т в год | Производительность труда | 12 | 52 | 67 | 83 | 97 | 75 | 100 | - |
Себестоимость продукции | 12 | 125 | 119 | 116 | 112 | 116 | 100 | - | |
свыше 10 тыс. т в год | Производительность труда | 15 | - | - | - | - | 70 | 97 | 100 |
Себестоимость продукции | 15 | - | - | - | - | 118 | 112 | 100 | |
Нить текстильная искусственная, мощностью от 5 до 10 тыс. т в год | Производительность труда | 15 | - | - | - | - | 60 | 95 | 100 |
Себестоимость продукции | 15 | - | - | - | - | 135 | 103 | 100 | |
Нить текстильная синтетическая, мощностью свыше 5 тыс. т в год | Производительность труда | 15 | - | - | - | - | 65 | 95 | 100 |
Себестоимость продукции | 15 | - | - | - | - | 136 | 104 | 100 | |
Нить текстильная триацетатная, мощностью свыше 15 тыс. т в год | Производительность труда | 12 | 45 | 60 | 80 | 96 | 70 | 100 | - |
Себестоимость продукции | 12 | 202 | 171 | 149 | 137 | 157 | 100 | - | |
Окись этилена, мощностью по проекту | Производительность труда | 9 | 40 | 65 | 95 | 100 | 75 | 100 | - |
Себестоимость продукции | 9 | 159 | 127 | 110 | 100 | 116 | 100 | - | |
Пигменты железоокисные желтые, мощностью до 24 тыс. т в год | Производительность труда | 12 | 62 | 75 | 85 | 97 | 80 | 100 | - |
Себестоимость продукции | 12 | 165 | 133 | 119 | 114 | 120 | 100 | - | |
Пластификаторы по непрерывной и периодической схеме, мощностью 60 тыс. т в год | Производительность труда | 6 | 39 | 88 | 100 | 100 | 82 | 100 | - |
Себестоимость продукции | 6 | 113 | 106 | 100 | 100 | 103 | 100 | - | |
Пленка на основе полиэтилентерефталатных смол для производства кинофотоматериалов, агрегат ПЭТФ-1500 КФ, мощностью по проекту | Производительность труда | 9 | 40 | 65 | 95 | 100 | 75 | 100 | - |
Себестоимость продукции | 9 | 172 | 129 | 106 | 100 | 117 | 100 | - | |
Поливиниловый спирт, мощностью от 3 до 20 тыс. т в год | Производительность труда | 6 | 49 | 90 | 100 | 100 | 85 | 100 | - |
Себестоимость продукции | 6 | 122 | 112 | 100 | 100 | 105 | 100 | - | |
Полипропилен в тяжелом растворителе для волокна, мощностью от 50 до 100 тыс. т в год по базовой марке | Производительность труда | 12 | 45 | 60 | 80 | 96 | 70 | 100 | - |
Себестоимость продукции | 12 | 149 | 130 | 115 | 107 | 121 | 100 | - | |
Полиэтилен высокой плотности по базовой марке с показателем текучести расплава 1 - 3 г/10 мин, мощностью до 200 тыс. т в год | Производительность труда | 12 | 45 | 60 | 80 | 96 | 70 | 100 | - |
Себестоимость продукции | 12 | 160 | 138 | 122 | 112 | 127 | 100 | - | |
Полиэтилен низкой плотности, мощностью от 60 до 120 тыс. т в год | Производительность труда | 5 | 53 | 95 | 100 | 100 | 87 | 100 | - |
Себестоимость продукции | 5 | 145 | 110 | 100 | 100 | 112 | 100 | - | |
Полистирол: | |||||||||
вспенивающийся, мощностью от 33 до 100 тыс. т в год | Производительность труда | 6 | 49 | 90 | 100 | 100 | 85 | 100 | - |
Себестоимость продукции | 6 | 124 | 109 | 100 | 100 | 105 | 100 | - | |
суспензионный, ударопрочный и общего назначения, мощностью от 33 до 100 тыс. т в год | Производительность труда | 6 | 49 | 90 | 100 | 100 | 85 | 100 | - |
Себестоимость продукции | 6 | 123 | 109 | 100 | 100 | 105 | 100 | - | |
ударопрочный, блочный и общего назначения, мощностью от 28 до 110 тыс. т в год | Производительность труда | 6 | 49 | 90 | 100 | 100 | 85 | 100 | - |
Себестоимость продукции | 6 | 123 | 109 | 100 | 100 | 105 | 100 | - | |
эмульсионный, сополимеры стирола, мощностью от 3 до 12 тыс. т в год | Производительность труда | 6 | 49 | 90 | 100 | 100 | 85 | 100 | - |
Себестоимость продукции | 6 | 139 | 114 | 100 | 100 | 108 | 100 | - | |
Полиуретаны, фенолформальдегидные пресс-порошки, мощностью до 100 тыс. т в год | Производительность труда | 6 | 49 | 90 | 100 | 100 | 85 | 100 | - |
Себестоимость продукции | 6 | 124 | 113 | 100 | 100 | 106 | 100 | - | |
Производство изделий из пластмасс методом вакуум- и пневмоформования, мощностью: | |||||||||
до 1 тыс. т в год | Производительность труда | 5 | 63 | 98 | 100 | 100 | 90 | 100 | - |
Себестоимость продукции | 5 | 119 | 107 | 100 | 100 | 104 | 100 | - | |
от 1 до 3 тыс. т в год | Производительность труда | 7 | 60 | 86 | 100 | 100 | 87 | 100 | - |
Себестоимость продукции | 7 | 119 | 111 | 100 | 100 | 106 | 100 | - | |
от 3 до 5 тыс. т в год | Производительность труда | 9 | 50 | 75 | 95 | 100 | 80 | 100 | - |
Себестоимость продукции | 9 | 127 | 114 | 108 | 100 | 109 | 100 | - | |
Производство изделий из пластмасс методом литья, мощностью: | |||||||||
до 1 тыс. т в год | Производительность труда | 7 | 60 | 86 | 100 | 100 | 87 | 100 | - |
Себестоимость продукции | 7 | 118 | 111 | 100 | 100 | 106 | 100 | - | |
от 1 до 3 тыс. т в год | Производительность труда | 10 | 65 | 73 | 91 | 100 | 80 | 100 | - |
Себестоимость продукции | 10 | 120 | 114 | 110 | 100 | 109 | 100 | - | |
от 3 до 6 тыс. т в год | Производительность труда | 12 | 45 | 60 | 80 | 96 | 70 | 100 | - |
Себестоимость продукции | 12 | 136 | 119 | 107 | 101 | 112 | 100 | - | |
Производство изделий из пластмасс методом прессования, мощностью: | |||||||||
до 1,5 тыс. т в год | Производительность труда | 7 | 60 | 86 | 100 | 100 | 87 | 100 | - |
Себестоимость продукции | 7 | 126 | 112 | 100 | 100 | 107 | 100 | - | |
от 1,5 до 4 тыс. т в год | Производительность труда | 9 | 50 | 75 | 95 | 100 | 80 | 100 | - |
Себестоимость продукции | 9 | 137 | 117 | 108 | 100 | 114 | 100 | - | |
Производство изделий из пластмасс методом раздува, мощностью: | |||||||||
до 1 тыс. т в год | Производительность труда | 5 | 63 | 98 | 100 | 100 | 90 | 100 | - |
Себестоимость продукции | 5 | 130 | 106 | 100 | 100 | 105 | 100 | - | |
от 1 до 2,5 тыс. т в год | Производительность труда | 7 | 55 | 85 | 100 | 100 | 85 | 100 | - |
Себестоимость продукции | 7 | 124 | 111 | 100 | 100 | 107 | 100 | - | |
Производство листов из термопластов, мощностью: | |||||||||
до 1,5 тыс. т в год | Производительность труда | 3 | 80 | 100 | 100 | 100 | 95 | 100 | - |
Себестоимость продукции | 3 | 110 | 100 | 100 | 100 | 102 | 100 | - | |
от 1,5 до 5 тыс. т в год | Производительность труда | 7 | 55 | 85 | 100 | 100 | 85 | 100 | - |
Себестоимость продукции | 7 | 117 | 111 | 100 | 100 | 105 | 100 | - | |
от 5 до 10 тыс. т в год | Производительность труда | 10 | 45 | 65 | 89 | 100 | 75 | 100 | - |
Себестоимость продукции | 10 | 120 | 118 | 114 | 100 | 109 | 100 | - | |
Производство пленки из поливинилхлорида, мощностью: | |||||||||
до 5 тыс. т в год | Производительность труда | 3 | 80 | 100 | 100 | 100 | 95 | 100 | - |
Себестоимость продукции | 3 | 110 | 100 | 100 | 100 | 102 | 100 | - | |
от 5 до 15 тыс. т в год | Производительность труда | 5 | 63 | 98 | 100 | 100 | 90 | 100 | - |
Себестоимость продукции | 5 | 123 | 107 | 100 | 100 | 105 | 100 | - | |
от 15 до 30 тыс. т в год | Производительность труда | 8 | 35 | 69 | 98 | 100 | 75 | 100 | - |
Себестоимость продукции | 8 | 128 | 113 | 108 | 100 | 107 | 100 | - | |
Производство пленки из полиолефинов, мощностью: | |||||||||
до 5 тыс. т в год | Производительность труда | 3 | 80 | 100 | 100 | 100 | 95 | 100 | - |
Себестоимость продукции | 3 | 103 | 100 | 100 | 100 | 102 | 100 | - | |
от 5 до 10 тыс. т в год | Производительность труда | 5 | 63 | 98 | 100 | 100 | 90 | 100 | - |
Себестоимость продукции | 5 | 116 | 108 | 100 | 100 | 104 | 100 | - | |
от 10 до 20 тыс. т в год | Производительность труда | 8 | 60 | 80 | 95 | 100 | 85 | 100 | - |
Себестоимость продукции | 8 | 120 | 113 | 108 | 100 | 107 | 100 | - | |
Производство профилей из термопластов, мощностью: | |||||||||
до 1 тыс. т в год | Производительность труда | 6 | 56 | 92 | 100 | 100 | 87 | 100 | - |
Себестоимость продукции | 6 | 131 | 109 | 100 | 100 | 107 | 100 | - | |
от 1 до 2,5 тыс. т в год | Производительность труда | 9 | 57 | 77 | 95 | 100 | 82 | 100 | - |
Себестоимость продукции | 9 | 114 | 111 | 109 | 100 | 107 | 100 | - | |
Производство труб и фитингов из термопластов, мощностью: | |||||||||
до 5 тыс. т в год | Производительность труда | 8 | 50 | 75 | 95 | 100 | 80 | 100 | - |
Себестоимость продукции | 8 | 125 | 114 | 105 | 100 | 110 | 100 | - | |
от 5 до 12 тыс. т в год | Производительность труда | 11 | 45 | 64 | 83 | 98 | 73 | 100 | - |
Себестоимость продукции | 11 | 133 | 126 | 122 | 118 | 121 | 100 | - | |
от 12 до 25 тыс. т в год | Производительность труда | 15 | - | - | - | - | 65 | 95 | 100 |
Себестоимость продукции | 15 | - | - | - | - | 114 | 102 | 100 | |
Синтетические моющие порошки, мощностью до 100 тыс. т в год | Производительность труда | 8 | 50 | 75 | 95 | 100 | 80 | 100 | - |
Себестоимость продукции | 8 | 121 | 115 | 111 | 100 | 108 | 100 | - | |
Сода кальцинированная, мощностью до 318 тыс. т в год | Производительность труда | 8 | 50 | 75 | 95 | 100 | 80 | 100 | - |
Себестоимость продукции | 8 | 131 | 115 | 107 | 100 | 113 | 100 | - | |
Сульфат натрия из природного сырья, мощностью от 100 до 140 тыс. т в год | Производительность труда | 9 | 50 | 75 | 95 | 100 | 80 | 100 | - |
Себестоимость продукции | 9 | 148 | 119 | 107 | 100 | 116 | 100 | - | |
Сода каустическая: | |||||||||
на ваннах с диафрагмой, мощностью до 260 тыс. т в год | Производительность труда | 12 | 50 | 65 | 80 | 98 | 73 | 100 | - |
Себестоимость продукции | 12 | 148 | 130 | 119 | 109 | 122 | 100 | - | |
на ртутных ваннах, мощностью до 220 тыс. т в год | Производительность труда | 12 | 52 | 67 | 83 | 97 | 75 | 100 | - |
Себестоимость продукции | 12 | 181 | 148 | 125 | 111 | 134 | 100 | - | |
Сополимерная дисперсия винилацетата с этиленом, мощностью от 10 до 20 тыс. т в год | Производительность труда | 6 | 50 | 90 | 100 | 100 | 85 | 100 | - |
Себестоимость продукции | 6 | 122 | 112 | 100 | 100 | 105 | 100 | - | |
Стеклопластики типа АГ-4, ДСВ, премиксы и др., мощностью: | |||||||||
до 3 тыс. т в год | Производительность труда | 5 | 53 | 95 | 100 | 100 | 87 | 100 | - |
Себестоимость продукции | 5 | 196 | 119 | 100 | 100 | 117 | 100 | - | |
от 3 до 10 тыс. т в год | Производительность труда | 7 | 40 | 80 | 100 | 100 | 80 | 100 | - |
Себестоимость продукции | 7 | 250 | 140 | 100 | 100 | 129 | 100 | - | |
Текстильные изделия из непрерывного стекловолокна, мощностью: | |||||||||
до 3 тыс. т в год | Производительность труда | 9 | 50 | 75 | 95 | 100 | 80 | 100 | - |
Себестоимость продукции | 9 | 154 | 124 | 111 | 100 | 116 | 100 | - | |
от 3 до 5 тыс. т в год | Производительность труда | 10 | 45 | 65 | 89 | 100 | 75 | 100 | - |
Себестоимость продукции | 10 | 164 | 133 | 115 | 100 | 121 | 100 | - | |
Триацетат целлюлозы периодическим методом, мощностью до 13 тыс. т в год | Производительность труда | 8 | 50 | 75 | 95 | 100 | 80 | 100 | - |
Себестоимость продукции | 8 | 130 | 115 | 108 | 100 | 109 | 100 | - | |
Фталевый ангидрид из ортоксилола, мощностью до 60 тыс. т в год | Производительность труда | 10 | 50 | 70 | 90 | 100 | 77 | 100 | - |
Себестоимость продукции | 10 | 141 | 121 | 110 | 100 | 115 | 100 | - | |
Эпоксидные смолы лаковые, мощностью от 6 до 20 тыс. т в год | Производительность труда | 14 | - | - | - | - | 65 | 97 | 100 |
Себестоимость продукции | 14 | - | - | - | - | 122 | 101 | 100 | |
Эпоксидные смолы для производства порошковых красок, мощностью до 20 тыс. т в год | Производительность труда | 12 | 45 | 60 | 80 | 96 | 70 | 100 | - |
Себестоимость продукции | 12 | 134 | 124 | 117 | 112 | 118 | 100 | - | |
Примечание. При вводе в действие предприятий, объектов с новой техникой и технологией, впервые осваиваемой в СССР, нормы продолжительности освоения проектных мощностей и экономических показателей по этим предприятиям, объектам разрабатываются министерством и утверждаются по согласованию с Госпланом СССР. | |||||||||
Наименование и характеристика предприятий, производств, цехов и их мощность | Норма продолжительности освоения проектной мощности в месяцах | Уровень освоения проектной мощности в % на конец квартала или года (если норма продолжительности освоения более года) работы предприятий | Объем производства продукции (переработки или добычи сырья) в % от годовой проектной мощности | |||||
первого | второго | третьего | четвертого | в первый год работы | во второй год работы | в третий год работы | ||
Производство синтетических каучуков и латексов | ||||||||
Каучуки изопреновые, мощностью по проекту | 12 | 60 | 75 | 85 | 100 (на конец второго месяца) | 70 | 100 | - |
Каучуки бутадиен-стирольные (метилстирольные), мощностью по проекту | 8 | 65 | 85 | 100 (на конец первого месяца) | - | 80 | 100 | - |
Каучуки бутадиен-нитрильные, мощностью по проекту | 15 | 85 | 100 (на конец второго месяца) | - | - | 70 | 97 | 100 |
Бутилкаучук, мощностью по проекту | 15 | 85 | 100 (на конец второго месяца) | - | - | 70 | 97 | 100 |
Термоэластопласты, мощностью по проекту | 18 | 80 | 100 (на конец пятого месяца) | - | - | 60 | 95 | 100 |
Малотоннажные производства каучуков специального назначения, мощностью по проекту | 21 | 75 | 100 (на конец восьмого месяца) | - | - | 55 | 90 | 100 |
Латексы синтетические, мощностью по проекту: | ||||||||
бутадиеновые | 12 | 50 | 70 | 85 | 100 (на конец второго месяца) | 70 | 100 | - |
бутадиен-стирольные и другие сополимерные бутадиеновые латексы | 11 | 60 | 75 | 85 | 100 (на конец первого месяца) | 73 | 100 | - |
Изопрен-мономер: | ||||||||
из изобутилена и формальдегида, мощностью: | ||||||||
до 120 тыс. т в год | 15 | 85 | 100 (на конец второго месяца) | - | - | 70 | 95 | 100 |
свыше 120 тыс. т в год | 16 | 85 | 100 (на конец третьего месяца) | - | - | 68 | 95 | 100 |
из изопентана, мощностью до 240 тыс. в год | 15 | 85 | 100 (на конец второго месяца) | - | - | 70 | 95 | 100 |
Бутадиен: | ||||||||
из бутана, мощностью до 180 тыс. т в год | 9 | 70 | 85 | 100 (на конец второго месяца) | - | 80 | 100 | - |
из пиролизной фракции, мощностью до 120 тыс. т в год | 9 | 70 | 85 | 100 (на конец второго месяца) | - | 80 | 100 | - |
Изобутилен из изобутана, мощностью по проекту | 9 | 70 | 85 | 100 (на конец второго месяца) | - | 80 | 100 | - |
Изопентан изомеризацией нормального пентана, мощностью до 300 тыс. т в год | 9 | 65 | 85 | 100 (на конец второго месяца) | - | 80 | 100 | - |
Производство продуктов нефтехимического синтеза | ||||||||
Высшие жирные спирты методом алюмоорганического синтеза, мощностью до 48 тыс. т в год | 18 | 85 | 100 (на конец пятого месяца) | - | - | 66 | 93 | 100 |
Комплекс производства масляных альдегидов, бутиловых спиртов и 2-этилгексанола, мощностью: | ||||||||
85 тыс. т в год | 15 | 95 | 100 (на конец второго месяца) | - | - | 73 | 97 | 100 |
170 тыс. т в год | 18 | 85 | 100 (на конец пятого месяца) | - | - | 70 | 95 | 100 |
Спирты синтетические жирные методом прямого гидрирования, мощностью 12 тыс. т в год | 12 | 60 | 75 | 90 | 100 (на конец второго месяца) | 75 | 100 | - |
Очищенные синтетические жирные кислоты , мощностью 16,5 тыс. т в год | 12 | 60 | 75 | 90 | 100 (на конец второго месяца) | 75 | 100 | - |
Ректификация синтетических жирных кислот, мощностью 15,6 тыс. т в год | 12 | 60 | 75 | 90 | 100 (на конец второго месяца) | 75 | 100 | - |
Низкомолекулярные кислоты, мощностью по проекту | 9 | 65 | 85 | 100 (на конец второго месяца) | - | 80 | 100 | - |
Окись пропилена (совместно с производством стирола), мощностью по проекту | 18 | 83 | 100 (на конец пятого месяца) | - | - | 60 | 95 | 100 |
Стирол, мощностью до 300 тыс. т в год | 9 | 70 | 85 | 100 (на конец второго месяца) | - | 80 | 100 | - |
Этилбензол, мощностью до 160 тыс. т в год | 9 | 70 | 85 | 100 (на конец второго месяца) | - | 80 | 100 | - |
Ацетальдегид, мощностью: | ||||||||
90 тыс. т в год | 15 | 90 | 100 (на конец второго месяца) | - | - | 73 | 97 | 100 |
180 тыс. т в год | 18 | 85 | 100 (на конец пятого месяца) | - | - | 65 | 95 | 100 |
Этилен (ЭП-300) | 12 | 65 | 75 | 90 | 100 (на конец второго месяца) | 80 | 100 | - |
Бензол (из комплекса ЭП-300) | 12 | 65 | 75 | 90 | 100 (на конец второго месяца) | 80 | 100 | - |
Пиропласт, мощностью 28,9 тыс. т в год | 12 | 70 | 80 | 95 | 100 (на конец второго месяца) | 80 | 100 | - |
Пропионовая кислота, мощностью по проекту | 21 | 75 | 100 (на конец восьмого месяца) | - | - | 65 | 90 | 100 |
Нормальный пропиловый спирт, мощностью 10 тыс. т в год | 21 | 75 | 100 (на конец восьмого месяца) | - | - | 65 | 90 | 100 |
Тримеры и тетрамеры пропилена, мощностью по проекту | 12 | 50 | 75 | 95 | 100 (на конец второго месяца) | 75 | 100 | - |
Алкилфенолы, мощностью по проекту | 15 | 85 | 100 (на конец второго месяца) | - | - | 70 | 97 | 100 |
Фенол синтетический (кумольным методом), мощностью до 120 тыс. т в год | 7 | 70 | 100 | - | - | 85 | 100 | - |
Метилэтилкетон, мощностью 40 тыс. т в год | 15 | 85 | 100 (на конец второго месяца) | - | - | 70 | 96 | 100 |
Производство резиновых и асбестовых изделий | ||||||||
Формовые резинотехнические изделия, мощностью по проекту: | ||||||||
для сельскохозяйственного машиностроения, автомобильной и авиационной промышленности | 15 | 85 | 100 (на конец второго месяца) | - | - | 60 | 95 | 100 |
прочего назначения | 15 | 90 | 100 (на конец второго месяца) | - | - | 65 | 96 | 100 |
Неформовые резинотехнические изделия, мощностью по проекту: | ||||||||
изготовляемые по ранее действующей технологии | 10 | 70 | 85 | 100 | - | 80 | 100 | - |
изготовляемые на установках СВЧ | 12 | 50 | 70 | 90 | 100 (на конец второго месяца) | 70 | 100 | - |
Лента конвейерная, мощностью по проекту: | ||||||||
резинотросовая | 15 | 85 | 100 (на конец второго месяца) | - | - | 60 | 95 | 100 |
резинотканевая | 12 | 50 | 70 | 90 | 100 (на конец второго месяца) | 70 | 100 | - |
Ремни клиновые и вентиляторные, мощностью по проекту | 12 | 50 | 70 | 90 | 100 (на конец второго месяца) | 70 | 100 | - |
Ремни плоские приводные, мощностью по проекту | 12 | 50 | 70 | 90 | 100 (на конец второго месяца) | 70 | 100 | - |
Рукава, мощностью по проекту | 12 | 50 | 70 | 90 | 100 (на конец второго месяца) | 70 | 100 | - |
Рукава с металлической оплеткой, мощностью по проекту | 15 | 83 | 100 (на конец второго месяца) | - | - | 65 | 96 | 100 |
Завод по производству шин мощностью по проекту: | ||||||||
первый пусковой комплекс | 12 | 45 | 63 | 85 | 100 (на конец второго месяца) | 60 | 100 | - |
втором пусковой комплекс | 6 | 70 | 100 (на конец второго месяца) | - | - | 85 | 100 | - |
Регенерат термомеханическим методом, мощностью по проекту | 10 | 65 | 85 | 100 | - | 80 | 100 | - |
Покрышки, восстановленные методом наложения нового протектора, мощностью по проекту | 10 | 65 | 85 | 100 | - | 80 | 100 | - |
Асбестовые технические изделия (накладки и колодки тормозные, накладки фрикционные), мощностью по проекту | 12 | 65 | 75 | 90 | 100 (на конец второго месяца) | 75 | 100 | - |
Листовой паронит, электронит и другие материалы типа паронита, мощностью по проекту | 12 | 55 | 70 | 90 | 100 (на конец второго месяца) | 70 | 100 | - |
Углерод технический, мощностью по проекту | 8 | 60 | 85 | 100 (на конец первого месяца) | - | 80 | 100 | - |
Обувь резиновая, мощностью по проекту | 12 | 65 | 80 | 90 | 100 (на конец второго месяца) | 80 | 100 | - |
Обувь из полимерных материалов, мощностью по проекту | 10 | 65 | 85 | 100 | - | 83 | 100 | - |
Производство латексных изделий мощностью по проекту | 12 | 50 | 70 | 85 | 100 (на конец второго месяца) | 70 | 100 | - |
Примечания: 1. Нормы продолжительности освоения проектных мощностей установлены для первых производств на новых, а также действующих предприятиях. Для последующих производств (пусковых комплексов) нормы продолжительности освоения проектных мощностей устанавливаются в размере 35 - 50% от нормы для первого производства (пускового комплекса). Первым считается производство, впервые вводимое на данном предприятии. Последующим производством считается ввод в действие дополнительных агрегатов, технологических линий или дублирующих цехов. | ||||||||
2. При вводе в действие предприятий, объектов с новой техникой и технологией, впервые осваиваемой в СССР, нормы продолжительности освоения проектных мощностей и экономических показателей по этим предприятиям, объектам разрабатываются министерством и утверждаются по согласованию с Госпланом СССР. | ||||||||
Наименование и характеристика предприятий, производств, цехов и их мощность | Наименование экономических показателей | Норма продолжительности освоения в месяцах | Средний уровень освоения проектируемого экономического показателя в % | ||||||
в первый год работы | во второй год работы | в третий год работы | |||||||
кварталы | за год | ||||||||
I | II | III | IV | ||||||
Производство синтетических каучуков и латексов | |||||||||
Каучуки изопреновые, мощностью по проекту | Производительность труда | 12 | 52 | 64 | 76 | 80 | 70 | 100 | - |
Себестоимость продукции | 12 | 160 | 139 | 129 | 118 | 133 | 100 | - | |
Каучуки бутадиен-стирольные (метил-стирольные), мощностью по проекту | Производительность труда | 8 | 56 | 76 | 88 | 100 | 80 | 100 | - |
Себестоимость продукции | 8 | 149 | 133 | 116 | 100 | 120 | 100 | - | |
Каучуки бутадиен-нитрильные, мощностью по проекту | Производительность труда | 15 | - | - | - | - | 70 | 97 | 100 |
Себестоимость продукции | 15 | - | - | - | - | 138 | 104 | 100 | |
Бутилкаучук, мощностью по проекту | Производительность труда | 15 | - | - | - | - | 70 | 97 | 100 |
Себестоимость продукции | 15 | - | - | - | - | 153 | 105 | 100 | |
Термоэластопласты, мощностью по проекту | Производительность труда | 18 | - | - | - | - | 60 | 95 | 100 |
Себестоимость продукции | 18 | - | - | - | - | 147 | 110 | 100 | |
Малотоннажные производства каучуков специального назначения, мощностью по проекту | Производительность труда | 21 | - | - | - | - | 55 | 90 | 100 |
Себестоимость продукции | 21 | - | - | - | - | 137 | 114 | 100 | |
Латексы синтетические, мощностью по проекту: | 100 | ||||||||
бутадиеновые | Производительность труда | 12 | 48 | 64 | 80 | 88 | 70 | 100 | - |
Себестоимость продукции | 12 | 159 | 137 | 127 | 117 | 132 | 100 | - | |
бутадиен-стирольные и другие сополимерные бутадиеновые латексы | Производительность труда | 11 | 56 | 64 | 76 | 96 | 73 | 100 | - |
Себестоимость продукции | 11 | 154 | 135 | 123 | 114 | 128 | 100 | - | |
Изопрен-мономер: | |||||||||
из изобутилена и формальдегида, мощностью: | |||||||||
до 120 тыс. т в год | Производительность труда | 15 | - | - | - | - | 70 | 95 | 100 |
Себестоимость продукции | 15 | - | - | - | - | 155 | 106 | 100 | |
свыше 120 тыс. т в год | Производительность труда | 16 | - | - | - | - | 68 | 95 | 100 |
Себестоимость продукции | 16 | - | - | - | - | 156 | 108 | 100 | |
из изопентана, мощностью до 240 тыс. т в год | Производительность труда | 15 | - | - | - | - | 70 | 95 | 100 |
Себестоимость продукции | 15 | - | - | - | - | 168 | 107 | 100 | |
Бутадиен: | |||||||||
из бутана, мощностью до 180 тыс. т в год | Производительность труда | 9 | 56 | 72 | 92 | 100 | 80 | 100 | - |
Себестоимость продукции | 9 | 175 | 144 | 124 | 100 | 130 | 100 | - | |
из пиролизной фракции, мощностью до 120 тыс. т в год | Производительность труда | 9 | 56 | 72 | 92 | 100 | 80 | 100 | - |
Себестоимость продукции | 9 | 160 | 139 | 126 | 100 | 127 | 100 | - | |
Изобутилен из изобутана, мощностью по проекту | Производительность труда | 9 | 56 | 72 | 92 | 100 | 80 | 100 | - |
Себестоимость продукции | 9 | 174 | 149 | 135 | 100 | 134 | 100 | - | |
Изопентан изомеризацией нормального пентана, мощностью до 300 тыс. т в год | Производительность труда | 9 | 56 | 72 | 92 | 100 | 80 | 100 | - |
Себестоимость продукции | 9 | 165 | 143 | 127 | 100 | 128 | 100 | - | |
Производство продуктов нефтехимического синтеза | |||||||||
Высшие жирные спирты методом алюмоорганического синтеза, мощностью до 48 тыс. т в год | Производительность труда | 18 | - | - | - | - | 66 | 93 | 100 |
Себестоимость продукции | 18 | - | - | - | - | 137 | 108 | 100 | |
Комплекс производства масляных альдегидов, бутиловых спиртов и 2-этилгексанола, мощностью 85 тыс. т в год | Производительность труда | 15 | - | - | - | - | 73 | 97 | 100 |
Себестоимость продукции | 15 | - | - | - | - | 125 | 106 | 100 | |
Спирты синтетические жирные методом прямого гидрирования, мощностью 12 тыс. т в год | Производительность труда | 12 | 52 | 68 | 82 | 95 | 75 | 100 | - |
Себестоимость продукции | 12 | 127 | 119 | 112 | 107 | 115 | 100 | - | |
Очищенные синтетические жирные кислоты , мощностью 16,5 тыс. т | Производительность труда | 12 | 52 | 68 | 82 | 95 | 75 | 100 | - |
Себестоимость продукции | 12 | 129 | 124 | 120 | 118 | 122 | 100 | - | |
Ректификация синтетических жирных кислот, мощностью 15,6 тыс. т в год | Производительность труда | 12 | 52 | 68 | 82 | 95 | 75 | 100 | - |
Себестоимость продукции | 12 | 133 | 125 | 121 | 117 | 123 | 100 | - | |
Низкомолекулярные кислоты, мощностью по проекту | Производительность труда | 9 | 52 | 75 | 93 | 100 | 80 | 100 | - |
Себестоимость продукции | 9 | 155 | 128 | 110 | 100 | 120 | 100 | - | |
Окись пропилена (совместно с производством стирола), мощностью по проекту | Производительность труда | 18 | - | - | - | - | 60 | 95 | 100 |
Себестоимость продукции | 18 | - | - | - | - | 155 | 111 | 100 | |
Стирол, мощностью до 300 тыс. т в год | Производительность труда | 9 | 56 | 72 | 92 | 100 | 80 | 100 | - |
Себестоимость продукции | 9 | 166 | 143 | 131 | 100 | 130 | 100 | - | |
Этилбензол, мощностью до 160 тыс. т в год | Производительность труда | 9 | 56 | 72 | 92 | 100 | 80 | 100 | - |
Себестоимость продукции | 9 | 152 | 132 | 124 | 100 | 123 | 100 | - | |
Ацетальдегид, мощностью: | |||||||||
до 90 тыс. т в год | Производительность труда | 15 | - | - | - | - | 73 | 97 | 100 |
Себестоимость продукции | 15 | - | - | - | - | 146 | 107 | 100 | |
до 180 тыс. т в год | Производительность труда | 18 | - | - | - | - | 65 | 95 | 100 |
Себестоимость продукции | 18 | - | - | - | - | 146 | 111 | 100 | |
Этилен (ЭП-300) | Производительность труда | 12 | 52 | 68 | 82 | 95 | 80 | 100 | - |
Себестоимость продукции | 12 | 142 | 129 | 120 | 115 | 122 | 100 | - | |
Бензол (из комплекса ЭП-300) | Производительность труда | 12 | 52 | 68 | 82 | 95 | 80 | 100 | - |
Себестоимость продукции | 12 | 135 | 126 | 120 | 117 | 121 | 100 | - | |
Пиропласт, мощностью 28,9 тыс. т в год | Производительность труда | 12 | 52 | 68 | 82 | 95 | 80 | 100 | - |
Себестоимость продукции | 12 | 154 | 133 | 121 | 113 | 122 | 100 | - | |
Пропионовая кислота, мощностью по проекту | Производительность труда | 21 | - | - | - | - | 65 | 90 | 100 |
Себестоимость продукции | 21 | - | - | - | - | 124 | 109 | 100 | |
Нормальный пропиловый спирт, мощностью 10 тыс. т в год | Производительность труда | 21 | - | - | - | - | 65 | 90 | 100 |
Себестоимость продукции | 21 | - | - | - | - | 134 | 116 | 100 | |
Тримеры и тетрамеры пропилена, мощностью по проекту | Производительность труда | 12 | 48 | 72 | 88 | 92 | 75 | 100 | - |
Себестоимость продукции | 12 | 160 | 138 | 128 | 109 | 132 | 100 | - | |
Алкилфенолы, мощностью по проекту | Производительность труда | 15 | - | - | - | - | 70 | 97 | 100 |
Себестоимость продукции | 15 | - | - | - | - | 135 | 103 | 100 | |
Фенол синтетический (кумольным методом), мощностью до 120 тыс. т в год | Производительность труда | 7 | 60 | 80 | 100 | 100 | 85 | 100 | - |
Себестоимость продукции | 7 | 156 | 144 | 102 | 100 | 120 | 100 | - | |
Метилэтилкетон, мощностью 40 тыс. т в год | Производительность труда | 15 | - | - | - | - | 70 | 96 | - |
Себестоимость продукции | 15 | - | - | - | - | 125 | 117 | 100 | |
Производство резиновых и асбестовых изделий | |||||||||
Формовые резинотехнические изделия, мощностью по проекту: | |||||||||
для сельскохозяйственного машиностроения, автомобильной и авиационной промышленности | Производительность труда | 15 | 40 | 50 | 65 | 85 | 60 | 95 | 100 |
Себестоимость продукции | 15 | 143 | 124 | 112 | 104 | 117 | 103 | 100 | |
прочего назначения | Производительность труда | 15 | 45 | 65 | 70 | 90 | 65 | 96 | 100 |
Себестоимость продукции | 15 | 127 | 120 | 113 | 108 | 115 | 103 | 100 | |
Неформовые резинотехнические изделия, мощностью по проекту: | |||||||||
изготовляемые по ранее действующей технологии | Производительность труда | 10 | 55 | 75 | 90 | 100 | 80 | 100 | - |
Себестоимость продукции | 10 | 124 | 112 | 105 | 101 | 109 | 100 | - | |
изготовляемые на установках СВЧ | Производительность труда | 12 | 50 | 65 | 75 | 90 | 70 | 100 | - |
Себестоимость продукции | 12 | 125 | 113 | 107 | 104 | 110 | 100 | - | |
Лента конвейерная, мощностью по проекту: | |||||||||
резинотросовая | Производительность труда | 15 | 45 | 55 | 65 | 85 | 60 | 96 | 100 |
Себестоимость продукции | 15 | 140 | 125 | 120 | 110 | 122 | 107 | 100 | |
резинотканевая | Производительность труда | 12 | 55 | 70 | 75 | 90 | 70 | 100 | - |
Себестоимость продукции | 12 | 125 | 118 | 110 | 103 | 114 | 100 | - | |
Ремни клиновые и вентиляторные, мощностью по проекту | Производительность труда | 12 | 40 | 60 | 80 | 95 | 70 | 100 | - |
Себестоимость продукции | 12 | 125 | 118 | 110 | 103 | 112 | 100 | - | |
Ремни плоские приводные, мощностью по проекту | Производительность труда | 12 | 40 | 60 | 80 | 95 | 70 | 100 | - |
Себестоимость продукции | 12 | 125 | 118 | 110 | 103 | 112 | 100 | - | |
Рукава, мощностью по проекту | Производительность труда | 12 | 40 | 60 | 80 | 95 | 70 | 100 | - |
Себестоимость продукции | 12 | 123 | 120 | 110 | 103 | 114 | 100 | - | |
Рукава с металлической оплеткой, мощностью по проекту | Производительность труда | 15 | 45 | 55 | 70 | 90 | 65 | 95 | 100 |
Себестоимость продукции | 15 | 140 | 127 | 120 | 111 | 122 | 106 | 100 | |
Завод по производству шин, мощностью по проекту: | |||||||||
первый пусковой комплекс | Производительность труда | 12 | 41 | 54 | 65 | 80 | 60 | 100 | - |
Себестоимость продукции | 12 | 118 | 111 | 107 | 103 | 108 | 100 | - | |
второй пусковой комплекс | Производительность труда | 6 | 56 | 85 | 100 | 100 | 85 | 100 | - |
Себестоимость продукции | 6 | 111 | 106 | 100 | 100 | 104 | 100 | - | |
Регенерат термомеханическим методом, мощностью по проекту | Производительность труда | 10 | 55 | 75 | 90 | 100 | 80 | 100 | - |
Себестоимость продукции | 10 | 124 | 112 | 105 | 101 | 109 | 100 | - | |
Покрышки, восстановленные методом наложения нового протектора, мощностью по проекту | Производительность труда | 10 | 55 | 75 | 90 | 100 | 80 | 100 | - |
Себестоимость продукции | 10 | 124 | 112 | 105 | 101 | 109 | 100 | - | |
Асбестовые технические изделия (накладки и колодки тормозные, накладки фрикционные), мощностью по проекту | Производительность труда | 12 | 55 | 68 | 82 | 95 | 75 | 100 | - |
Себестоимость продукции | 12 | 131 | 123 | 117 | 112 | 119 | 100 | - | |
Листовой паронит, электронит и другие материалы типа паронита, мощностью по проекту | Производительность труда | 12 | 55 | 60 | 70 | 95 | 70 | 100 | - |
Себестоимость продукции | 12 | 146 | 128 | 118 | 112 | 122 | 100 | - | |
Углерод технический, мощностью по проекту | Производительность труда | 8 | 50 | 75 | 95 | 100 | 80 | 100 | - |
Себестоимость продукции | 8 | 131 | 112 | 103 | 100 | 111 | 100 | - | |
Обувь резиновая, мощностью по проекту | Производительность труда | 12 | 60 | 77 | 87 | 96 | 80 | 100 | - |
Себестоимость продукции | 12 | 160 | 144 | 131 | 120 | 140 | 100 | - | |
Обувь из полимерных материалов, мощностью по проекту | Производительность труда | 10 | 60 | 77 | 95 | 100 | 83 | 100 | - |
Себестоимость продукции | 10 | 155 | 140 | 130 | 103 | 135 | 100 | - | |
Примечание. При вводе в действие предприятий, объектов с новой техникой и технологией, впервые осваиваемой в СССР, нормы продолжительности освоения проектных мощностей и экономических показателей по этим предприятиям, объектам разрабатываются министерством и утверждаются по согласованию с Госпланом СССР. | |||||||||
Наименование и характеристика предприятий, производств, цехов и их мощность | Норма продолжительности освоения проектной мощности в месяцах | Уровень освоения проектной мощности в % на конец квартала или года (если норма продолжительности освоения более года) работы предприятий | Объем производства продукции (переработки или добычи сырья) в % от годовой проектной мощности | |||||
первого | второго | третьего | четвертого | в первый год работы | во второй год работы | в третий год работы | ||
Аммиак синтетический конверсией метана в трубчатых печах, мощностью 450 тыс. т в год | 9 | 55 | 80 | 100 (на конец второго месяца) | - | 75 | 100 | - |
Аммиачная селитра, мощностью 155,7 тыс. т в год в пересчете на 100% азота | 3 | 100 (на конец второго месяца) | - | - | - | 95 | 100 | - |
Аммиачная селитра, мощностью 155,7 тыс. т в год в пересчете на 100% азота, в комплексе со слабой азотной кислотой, мощностью 120 тыс. т в год | 6 | 70 | 100 (на конец второго месяца) | - | - | 85 | 100 | - |
Аммиачная селитра, мощностью 155,7 тыс. т в год в пересчете на 100% азота, на базе агрегатов слабой азотной кислоты, мощностью 380 тыс. т в год | 8 | 65 | 85 | 100 (на конец первого месяца) | - | 80 | 100 | - |
Карбамид, мощностью 151,8 тыс. т в год (в пересчете на 100% азота) | 10 | 60 | 80 | 100 | - | 80 | 100 | - |
Карбамид, мощностью 207 тыс. т в год (в пересчете на 100% азота) | 12 | 50 | 70 | 85 | 100 (на конец второго месяца) | 70 | 100 | - |
Нитроаммофоска методом азотнокислого разложения фосфатов, мощностью от 90 до 138,5 тыс. т (в год в пересчете на 100% | 15 | 85 | 100 (на конец второго месяца) | - | - | 65 | 96 | 100 |
Нитроаммофоска методом сернокислотного разложения фосфатов, мощностью до 136,5 тыс. т в год (в пересчете на 100% | 12 | 50 | 70 | 85 | 100 (на конец второго месяца) | 70 | 100 | - |
Аммофос на аппаратах БГС (барабан-гранулятор-сушилка) на базе фосфоритных концентратов, мощностью от 100 до 130,9 тыс. т в год (в пересчете на 100% | 8 | 65 | 85 | 100 (на конец первого месяца) | - | 80 | 100 | - |
Суперфосфат двойной, мощностью 160,8 - 278 тыс. т в год (в пересчете на 100% | 9 | 60 | 80 | 100 (на конец второго месяца) | - | 80 | 100 | - |
Жидкие комплексные удобрения, мощностью 97,2 тыс. т в год (в пересчете на 100% | 3 | 100 (на конец второго месяца) | - | - | - | 95 | 100 | - |
Серная кислота (в том числе олеум, серный ангидрид): | ||||||||
из отходящих газов цветной металлургии (при наличии газа по количеству и качеству согласно проекту), мощностью до 180 тыс. т в год | 6 | 70 | 100 (на конец второго месяца) | - | - | 85 | 100 | - |
из гидролизной кислоты и сульфатных солей, одна технологическая нитка мощностью до 100 тыс. т в год | 9 | 60 | 80 | 100 (на конец второго месяца) | - | 80 | 100 | - |
Серная кислота контактным методом из серы, мощностью до 500 тыс. т в год | 3 | 100 (на конец второго месяца) | - | - | - | 95 | 100 | - |
Серная кислота контактным методом из колчедана, мощностью от 300 до 360 тыс. т в год | 5 | 85 | 100 (на конец первого месяца) | - | - | 90 | 100 | - |
Обесфторенные фосфаты кормовые, мощностью 93,5 тыс. т в год (в пересчете на 100% | 9 | 60 | 80 | 100 (на конец второго месяца) | - | 75 | 100 | - |
Борная кислота, мощностью по проекту | 10 | 60 | 80 | 100 | - | 75 | 100 | - |
Хлористый калий флотационный, мощностью 374,4 тыс. т (в год в пересчете на 100% | 15 | 85 | 100 (на конец второго месяца) | - | - | 65 | 96 | 100 |
Мука фосфоритная методом флотации, мощностью 214 тыс. т в год (в пересчете на 100% | 12 | 50 | 70 | 85 | 100 (на конец второго месяца) | 70 | 100 | - |
Апатитовый концентрат, мощностью 1300 тыс. т в год (в пересчете на 39,4% | 9 | 55 | 80 | 100 (на конец второго месяца) | - | 75 | 100 | - |
Карналлит обогащенный, мощностью 1100 тыс. т в год (в пересчете на 31,8% | 12 | 50 | 70 | 85 | 100 (на конец второго месяца) | 70 | 100 | - |
Фосфоритный концентрат, мощностью: | ||||||||
до 650 тыс. т в год | 6 | 70 | 100 (на конец второго месяца) | - | - | 85 | 100 | - |
от 650 до 1000 тыс. т в год | 9 | 60 | 80 | 100 (на конец второго месяца) | - | 75 | 100 | - |
Фосфор желтый, печи РКЗ-80, мощностью 27,5 тыс. т в год | 12 | 50 | 70 | 85 | 100 (на конец второго месяца) | 70 | 100 | - |
Триполифосфат натрия с термической фосфорной кислотой, мощностью 125 тыс. т в год | 7 | 65 | 100 | - | - | 80 | 100 | - |
Сера техническая комовая и жидкая: | ||||||||
автоклавным методом, мощностью до 500 тыс. т в год | 9 | 55 | 80 | 100 (на конец второго месяца) | - | 75 | 100 | - |
методом подземной выплавки, мощностью до 400 тыс. т в год | 12 | 50 | 70 | 85 | 100 (на конец второго месяца) | 70 | 100 | - |
Химические средства защиты растений: | ||||||||
с простой и средней сложности технологией производства (пропинат 82%-ный растворимый порошок, оксомат 60%-ный концентрат эмульсии), мощностью от 2 до 18 тыс. т в год | 15 | 85 | 100 (на конец второго месяца) | - | - | 65 | 96 | 100 |
со сложной и особо сложной технологией производства (гексахлорбутадиен, карбофос 50%-ный концентрат эмульсии, хлорат магния 60%-ный, фозалон технический, трефлан технический), мощностью от 3,35 до 58 тыс. т в год | 18 | 80 | 100 (на конец пятого месяца) | - | - | 60 | 95 | 100 |
жидкие препаративные формы химических средств защиты растений: майазин 15%-ный масляный раствор, мощностью 8 тыс. т в год | 6 | 80 | 100 (на конец второго месяца) | - | - | 90 | 100 | - |
фозалон 35%-ный концентрат эмульсии, мощностью 3 тыс. т в год | 6 | 80 | 100 (на конец второго месяца) | - | - | 90 | 100 | - |
Капролактам из бензола, мощностью 50 тыс. т в год в двух технологических линиях | 9 | 55 | 80 | 100 (на конец второго месяца) | - | 75 | 100 | - |
Примечания: 1. Нормы продолжительности освоения проектных мощностей установлены для первых производств на новых, а также действующих предприятиях. Для последующих производств (пусковых комплексов) нормы продолжительности освоения проектных мощностей устанавливаются в размере 35 - 50% от нормы для первого производства (пускового комплекса). Первым считается производство, впервые вводимое на данном предприятии. Последующим производством считается ввод в действие дополнительных агрегатов, технологических линий или дублирующих цехов. | ||||||||
2. При вводе в действие предприятий, объектов с новой техникой и технологией, впервые осваиваемой в СССР, нормы продолжительности освоения проектных мощностей по этим предприятиям, объектам разрабатываются министерством и утверждаются по согласованию с Госпланом СССР. | ||||||||
Наименование и характеристика предприятий, производств, цехов и их мощность | Наименование экономических показателей | Норма продолжительности освоения в месяцах | Средний уровень освоения проектируемого экономического показателя в % | ||||||
в первый год работы | во второй год работы | в третий год работы | |||||||
кварталы | за год | ||||||||
I | II | III | IV | ||||||
Аммиак синтетический конверсией метана в трубчатых печах, мощностью 450 тыс. т в год | Производительность труда | 9 | 40 | 65 | 95 | 100 | 75 | 100 | - |
Себестоимость продукции | 9 | 153 | 123 | 108 | 100 | 116 | 100 | - | |
Аммиачная селитра, мощностью 155,7 тыс. т в год (в пересчете на 100% азота) | Производительность труда | 3 | 80 | 100 | 100 | 100 | 95 | 100 | - |
Себестоимость продукции | 3 | 110 | 100 | 100 | 100 | 102 | 100 | - | |
Аммиачная селитра, мощностью 155,7 тыс. т в год (в пересчете на 100% азота), в комплексе со слабой азотной кислотой, мощностью 120 тыс. т в год | Производительность труда | 6 | 50 | 90 | 100 | 100 | 85 | 100 | - |
Себестоимость продукции | 6 | 115 | 109 | 100 | 100 | 104 | 100 | - | |
Аммиачная селитра, мощностью 155,7 тыс. т в год (в пересчете на 100% азота), на базе агрегатов слабой азотной кислоты, мощностью 380 тыс. т в год | Производительность труда | 8 | 50 | 75 | 95 | 100 | 80 | 100 | - |
Себестоимость продукции | 8 | 115 | 111 | 108 | 100 | 106 | 100 | - | |
Карбамид, мощностью 151,8 тыс. т в год (в пересчете на 100% азота) | Производительность труда | 10 | 55 | 73 | 91 | 100 | 80 | 100 | - |
Себестоимость продукции | 10 | 138 | 125 | 117 | 100 | 117 | 100 | - | |
Карбамид, мощностью 207 тыс. т в год (в пересчете на 100% азота) | Производительность труда | 12 | 45 | 60 | 80 | 96 | 70 | 100 | - |
Себестоимость продукции | 12 | 158 | 137 | 121 | 112 | 126 | 100 | - | |
Нитроаммофоска методом азотнокислого разложения фосфатов, мощностью от 90 до 138,5 тыс. т (в год в пересчете на 100% | Производительность труда | 15 | - | - | - | - | 65 | 96 | 100 |
Себестоимость продукции | 15 | - | - | - | - | 128 | 103 | 100 | |
Нитроаммофоска методом сернокислотного разложения фосфатов, мощностью до 136,5 тыс. т в год (в пересчете на 100% | Производительность труда | 12 | 45 | 60 | 80 | 96 | 70 | 100 | - |
Себестоимость продукции | 12 | 127 | 117 | 110 | 106 | 112 | 100 | - | |
Аммофос на аппаратах БГС (барабан-гранулятор-сушилка) на базе фосфоритных концентратов, мощностью 100 - 130,9 тыс. т в год (в пересчете на 100% | Производительность труда | 8 | 50 | 75 | 95 | 100 | 80 | 100 | - |
Себестоимость продукции | 8 | 131 | 116 | 108 | 100 | 109 | 100 | - | |
Суперфосфат двойной, мощностью от 160,8 до 278 тыс. т в год (в пересчете на 100% | Производительность труда | 9 | 50 | 75 | 95 | 100 | 80 | 100 | - |
Себестоимость продукции | 9 | 128 | 118 | 112 | 100 | 111 | 100 | - | |
Жидкие комплексные удобрения, мощностью 97,2 тыс. т в год (в пересчете на 100% | Производительность труда | 3 | 80 | 100 | 100 | 100 | 95 | 100 | - |
Себестоимость продукции | 3 | 111 | 100 | 100 | 100 | 102 | 100 | - | |
Серная кислота (в том числе олеум, серный ангидрид): | |||||||||
из отходящих газов цветной металлургии (при наличии газа по количеству и качеству согласно проекту), мощностью до 180 тыс. т в год | Производительность труда | 6 | 50 | 90 | 100 | 100 | 85 | 100 | - |
Себестоимость продукции | 6 | 147 | 113 | 100 | 100 | 110 | 100 | - | |
из гидролизной кислоты и сульфатных солей, одна технологическая нитка мощностью до 100 тыс. т в год | Производительность труда | 9 | 40 | 65 | 95 | 100 | 75 | 100 | - |
Себестоимость продукции | 9 | 167 | 130 | 110 | 100 | 118 | 100 | - | |
Серная кислота контактным методом из серы, мощностью до 500 тыс. т в год | Производительность труда | 3 | 80 | 100 | 100 | 100 | 95 | 100 | - |
Себестоимость продукции | 3 | 112 | 100 | 100 | 100 | 102 | 100 | - | |
Серная кислота контактным методом из колчедана, мощностью от 300 до 360 тыс. т в год | Производительность труда | 5 | 63 | 98 | 100 | 100 | 90 | 100 | - |
Себестоимость продукции | 5 | 144 | 103 | 100 | 100 | 109 | 100 | - | |
Обесфторенные фосфаты кормовые, мощностью 93,5 тыс. т в год (в пересчете на 100% | Производительность труда | 9 | 40 | 65 | 95 | 100 | 75 | 100 | - |
Себестоимость продукции | 9 | 158 | 127 | 111 | 100 | 116 | 100 | - | |
Борная кислота, мощностью по проекту | Производительность труда | 10 | 45 | 65 | 89 | 100 | 75 | 100 | - |
Себестоимость продукции | 10 | 126 | 115 | 109 | 100 | 110 | 100 | - | |
Хлористый калий флотационный, мощностью 374,4 тыс. т в год (в пересчете на 100% | Производительность труда | 15 | - | - | - | - | 65 | 96 | 100 |
Себестоимость продукции | 15 | - | - | - | - | 148 | 109 | 100 | |
Мука фосфоритная методом флотации, мощностью 214 тыс. т в год (в пересчете на 100% | Производительность труда | 12 | 45 | 60 | 80 | 96 | 70 | 100 | - |
Себестоимость продукции | 12 | 195 | 155 | 125 | 110 | 140 | 100 | - | |
Апатитовый концентрат, мощностью 1300 тыс. т в год (в пересчете на 39,4% | Производительность труда | 9 | 40 | 65 | 95 | 100 | 75 | 100 | - |
Себестоимость продукции | 9 | 169 | 128 | 108 | 100 | 117 | 100 | - | |
Карналлит обогащенный, мощностью 1100 тыс. т в год (в пересчете на 31,8% | Производительность труда | 12 | 45 | 60 | 80 | 96 | 70 | 100 | - |
Себестоимость продукции | 12 | 139 | 123 | 110 | 104 | 115 | 100 | - | |
Фосфоритный концентрат, мощностью: | |||||||||
до 650 тыс. т в год | Производительность труда | 6 | 50 | 90 | 100 | 100 | 85 | 100 | - |
Себестоимость продукции | 6 | 188 | 114 | 100 | 100 | 116 | 100 | - | |
от 650 до 1000 тыс. т в год | Производительность труда | 9 | 40 | 65 | 95 | 100 | 75 | 100 | - |
Себестоимость продукции | 9 | 229 | 150 | 109 | 100 | 138 | 100 | - | |
Фосфор желтый, печи РКЗ-80, мощностью 27,5 тыс. т в год | Производительность труда | 12 | 45 | 60 | 80 | 96 | 70 | 100 | - |
Себестоимость продукции | 12 | 165 | 144 | 128 | 118 | 133 | 100 | - | |
Триполифосфат натрия с термической фосфорной кислотой, мощностью 125 тыс. т в год | Производительность труда | 7 | 40 | 80 | 100 | 100 | 80 | 100 | - |
Себестоимость продукции | 7 | 127 | 116 | 100 | 100 | 107 | 100 | - | |
Сера техническая комовая и жидкая: | |||||||||
автоклавным методом, мощностью до 500 тыс. т в год | Производительность труда | 9 | 40 | 65 | 95 | 100 | 75 | 100 | - |
Себестоимость продукции | 9 | 153 | 123 | 108 | 100 | 114 | 100 | - | |
методом подземной выплавки, мощностью до 400 тыс. т в год | Производительность труда | 12 | 45 | 60 | 80 | 96 | 70 | 100 | - |
Себестоимость продукции | 12 | 169 | 145 | 127 | 116 | 129 | 100 | - | |
Химические средства защиты растений: | |||||||||
с простой и средней сложности технологией производства (пропинат 82%-ный растворимый порошок, оксомат 60%-ный концентрат эмульсии), мощностью от 2 до 18 тыс. т в год | Производительность труда | 15 | - | - | - | - | 65 | 96 | 100 |
Себестоимость продукции | 15 | - | - | - | - | 128 | 103 | 100 | |
со сложной и особо сложной технологией производства (гексахлорбутадиен, карбофос 50%-ный концентрат эмульсии, хлорат магния 60%-ный, фозалон технический, трефлан технический), мощностью от 3,35 до 58 тыс. т в год, жидкие препаративные формы химических средств защиты растений: | Производительность труда | 18 | - | - | - | - | 60 | 95 | 100 |
Себестоимость продукции | 18 | - | - | - | - | 156 | 107 | 100 | |
майазин 15%-ный масляный раствор, мощностью 8 тыс. т в год | Производительность труда | 6 | 65 | 95 | 100 | 100 | 90 | 100 | - |
Себестоимость продукции | 6 | 131 | 119 | 100 | 100 | 110 | 100 | - | |
фозалон 35%-ный концентрат эмульсии, мощностью 3 тыс. т в год | Производительность труда | 6 | 65 | 95 | 100 | 100 | 90 | 100 | - |
Себестоимость продукции | 6 | 145 | 111 | 100 | 100 | 110 | 100 | - | |
Капролактам из бензола, мощностью 50 тыс. т в год в двух технологических линиях | Производительность труда | 9 | 40 | 65 | 95 | 100 | 75 | 100 | - |
Себестоимость продукции | 9 | 150 | 123 | 108 | 100 | 114 | 100 | - | |
Примечание. При вводе в действие предприятий, объектов с новой техникой и технологией, впервые осваиваемой в СССР, нормы продолжительности освоения проектных мощностей и экономических показателей по этим предприятиям, объектам разрабатываются министерством и утверждаются по согласованию с Госпланом СССР. | |||||||||
Наименование и характеристика предприятий, производств, цехов и их мощность | Норма продолжительности освоения проектной мощности в месяцах | Уровень освоения проектной мощности в % на конец квартала или года (если норма продолжительности освоения более года) работы предприятий | Объем производства продукции (переработки или добычи сырья) в % от годовой проектной мощности | |||||
первого | второго | третьего | четвертого | в первый год работы | во второй год работы | в третий год работы | ||
Термические цехи мощностью до 12 тыс. т в год: | ||||||||
особо сложной продукции | 9 | 75 | 90 | 100 (на конец второго месяца) | - | 85 | 100 | - |
сложной продукции | 6 | 82 | 100 (на конец второго месяца) | - | - | 92 | 100 | - |
простой продукции | 3 | 100 (на конец второго месяца) | - | - | - | 96 | 100 | - |
Цехи и корпуса механической обработки деталей с годовым выпуском до 25 тыс. т: | ||||||||
особо сложной продукции | 10 | 70 | 85 | 100 | - | 84 | 100 | - |
сложной продукции | 8 | 80 | 95 | 100 (на конец первого месяца) | - | 90 | 100 | - |
простой продукции | 6 | 82 | 100 (на конец второго месяца) | - | - | 92 | 100 | - |
Сборочные цехи с годовым выпуском до 50 тыс. т: | ||||||||
особо сложной продукции | 10 | 70 | 85 | 100 | - | 84 | 100 | - |
сложной продукции | 9 | 75 | 90 | 100 (на конец второго месяца) | - | 85 | 100 | - |
простой продукции | 6 | 82 | 100 (на конец второго месяца) | - | - | 92 | 100 | - |
Механосборочные цехи с годовым выпуском до 50 тыс. т: | ||||||||
особо сложной продукции | 13 | 65 | 75 | 90 | 100 (на конец второго месяца) | 78 | 100 | - |
сложной продукции | 11 | 67 | 80 | 92 | 100 (на конец первого месяца) | 80 | 100 | - |
простой продукции | 8 | 80 | 95 | 100 (на конец первого месяца) | - | 90 | 100 | - |
Специализированное производство (гальванические покрытия, изделия из пластических масс, металлокерамики) | 6 | 82 | 100 (на конец второго месяца) | - | - | 92 | 100 | - |
Примечание. В каждом производстве в зависимости от сложности изготовления продукция разделена на особо сложную, сложную и простую. К особо сложной продукции относятся машины, оборудование и приборы сложной кинематики, оснащенные гидравлическими или электрическими устройствами и системами автоматического или полуавтоматического управления, большая часть деталей которых обрабатывается по 2 - 3-му классам точности. К этой же группе относятся изделия, имеющие общую массу более 5 т, отдельные детали которых требуют сложной обработки на тяжелом и уникальном оборудовании. К этой группе относятся дизели и дизель-генераторы, тепловозы магистральные, прокатные станы, установки непрерывной разливки стали, конвертеры емкостью более 100 т, валки холодного и горячего проката, оборудование адъюстажное, роторные комплексы горнотранспортного оборудования, экскаваторы с ковшом емкостью более 4 м3, комбайны для добычи угля, машины шахтные разного назначения, буровые установки и станки для бурения скважин, мостовые и козловые электрические краны грузоподъемностью 100 т и более, редукторы, вагоны специального назначения и другая аналогичная продукция. | ||||||||
К сложной продукции относятся изделия с менее сложной кинематикой, общей массой менее 5 т, большинство деталей которых обрабатывается не ниже 4-го класса точности и оснащенные более простыми гидравлическими и электрическими устройствами. Например, оборудование доменное, коксовое, агломерационное, некоторые виды оборудования для цветной металлургии, экскаваторы с ковшом емкостью менее 4 м3, крепи механизированные, конвейеры, краны мостовые и козловые грузоподъемностью менее 100 т, вагоны общего назначения, машины путевые универсальные, подвесные дороги, запчасти к оборудованию, машинам и изделиям, обрабатываемым по 2 - 4-му классам точности, и другая аналогичная продукция. | ||||||||
К простой продукции относятся изделия, обрабатываемые по 4 - 7-му классам точности, имеющие простую кинематику и управление. Например, шахтные вагонетки, лебедки ручные, автосцепы, стрелочные переводы, запчасти к оборудованию, машинам и изделиям, обрабатываемые по 4-му и более низким классам точности, и другая аналогичная продукция. | ||||||||
Распределение продукции по группам сложности уточняется при разработке проекта. | ||||||||
Наименование и характеристика предприятий, производств, цехов и их мощность | Наименование экономических показателей | Норма продолжительности освоения в месяцах | Средний уровень освоения проектируемого экономического показателя в % | ||||||
в первый год работы | во второй год работы | в третий год работы | |||||||
кварталы | за год | ||||||||
I | II | III | IV | ||||||
Термические цехи мощностью до 12 тыс. т в год: | |||||||||
особо сложной продукции | Производительность труда | 9 | 68 | 83 | 97 | 100 | 85 | 100 | - |
Себестоимость продукции | 9 | 123 | 112 | 102 | 100 | 109 | 100 | - | |
сложной продукции | Производительность труда | 6 | 69 | 94 | 100 | 100 | 92 | 100 | - |
Себестоимость продукции | 6 | 118 | 104 | 100 | 100 | 105 | 100 | - | |
простой продукции | Производительность труда | 3 | 88 | 100 | 100 | 100 | 96 | 100 | - |
Себестоимость продукции | 3 | 108 | 100 | 100 | 100 | 102 | 100 | - | |
Цехи и корпуса механической обработки деталей с годовым выпуском до 25 тыс. т: | |||||||||
особо сложной продукции | Производительность труда | 10 | 65 | 78 | 93 | 100 | 84 | 100 | - |
Себестоимость продукции | 10 | 125 | 115 | 105 | 100 | 111 | 100 | - | |
сложной продукции | Производительность труда | 8 | 73 | 88 | 99 | 100 | 90 | 100 | - |
Себестоимость продукции | 8 | 122 | 110 | 101 | 100 | 108 | 100 | - | |
простой продукции | Производительность труда | 6 | 69 | 94 | 100 | 100 | 92 | 100 | - |
Себестоимость продукции | 6 | 118 | 104 | 100 | 100 | 105 | 100 | - | |
Сборочные цехи с годовым выпуском до 50 тыс. т: | |||||||||
особо сложной продукции | Производительность труда | 10 | 65 | 78 | 93 | 100 | 84 | 100 | - |
Себестоимость продукции | 10 | 116 | 110 | 103 | 100 | 107 | 100 | - | |
сложной продукции | Производительность труда | 9 | 68 | 83 | 97 | 100 | 85 | 100 | - |
Себестоимость продукции | 9 | 114 | 108 | 102 | 100 | 106 | 100 | - | |
простой продукции | Производительность труда | 6 | 69 | 94 | 100 | 100 | 92 | 100 | - |
Себестоимость продукции | 6 | 110 | 102 | 100 | 100 | 103 | 100 | - | |
Механосборочные цехи с годовым выпуском до 50 тыс. т.: | |||||||||
особо сложной продукции | Производительность труда | 13 | 60 | 70 | 83 | 97 | 78 | 100 | - |
Себестоимость продукции | 13 | 133 | 122 | 112 | 102 | 117 | 100 | - | |
сложной продукции | Производительность труда | 11 | 61 | 74 | 85 | 97 | 80 | 100 | - |
Себестоимость продукции | 11 | 130 | 119 | 109 | 101 | 115 | 100 | - | |
простой продукции | Производительность труда | 8 | 73 | 88 | 99 | 100 | 90 | 100 | - |
Себестоимость продукции | 8 | 125 | 111 | 101 | 100 | 109 | 100 | - | |
Специализированное производство (гальванические покрытия, изделия из пластических масс, металлокерамики) | Производительность труда | 6 | 69 | 94 | 100 | 100 | 92 | 100 | - |
Себестоимость продукции | 6 | 116 | 103 | 100 | 100 | 105 | 100 | - | |
Наименование и характеристика предприятий, производств, цехов и их мощность | Норма продолжительности освоения проектной мощности в месяцах | Уровень освоения проектной мощности в % на конец квартала или года (если норма продолжительности освоения более года) работы предприятий | Объем производства продукции (переработки или добычи сырья) в % от годовой проектной мощности | |||||
первого | второго | третьего | четвертого | в первый год работы | во второй год работы | в третий год работы | ||
Цехи по производству оборудования АЭС - первого контура мощностью по проекту | 15 | 90 | 100 (на конец первого месяца) | - | - | 75 | 98 | 100 |
Цехи по производству котлов паровых производительностью свыше 10 т пара в час мощностью по проекту | 15 | 90 | 100 (на конец первого месяца) | - | - | 75 | 98 | 100 |
Цехи по производству котлов паровых производительностью до 10 т пара в час мощностью по проекту | 9 | 75 | 90 | 100 (на конец второго месяца) | - | 85 | 100 | - |
Цехи по производству аппаратуры химводоподготовки, подогревателей мощностью по проекту | 9 | 75 | 90 | 100 (на конец второго месяца) | - | 85 | 100 | - |
Цехи по производству тягодутьевых машин мощностью по проекту: | ||||||||
из углеродистых сталей | 12 | 67 | 80 | 92 | 100 (на конец второго месяца) | 79 | 100 | - |
из высоколегированных сталей | 15 | 90 | 100 (на конец первого месяца) | - | - | 75 | 98 | 100 |
Цехи по производству котлов-утилизаторов мощностью по проекту | 15 | 90 | 100 (на конец первого месяца) | - | 75 | 98 | 100 | |
Цехи по производству трубопроводов мощностью по проекту | 10 | 65 | 80 | 100 | - | 80 | 100 | - |
Цехи по производству топок (ручных, механических, полумеханических) мощностью по проекту | 9 | 75 | 90 | 100 (на конец второго месяца) | - | 85 | 100 | - |
Цехи по производству горелок ротационных мощностью по проекту | 9 | 75 | 90 | 100 (на конец второго месяца) | - | 85 | 100 | - |
Цехи по производству паровых турбин мощностью по проекту: | ||||||||
энергетических | 15 | 90 | 100 (на конец первого месяца) | - | - | 75 | 98 | 100 |
приводных | 9 | 75 | 90 | 100 (на конец второго месяца) | - | 85 | 100 | - |
для АЭС мощностью 500 МВт и выше | 18 | 85 | 100 (на конец четвертого месяца) | - | - | 65 | 90 | 100 |
Цехи по производству газовых турбин мощностью по проекту: | ||||||||
энергетических | 15 | 90 | 100 (на конец первого месяца) | - | - | 75 | 98 | 100 |
приводных | 12 | 67 | 80 | 92 | 100 (на конец второго месяца) | 79 | 100 | - |
Цехи по производству гидравлических турбин мощностью по проекту | 15 | 90 | 100 (на конец первого месяца) | - | - | 75 | 98 | 100 |
Цехи по производству компрессоров и нагнетателей мощностью по проекту | 11 | 60 | 75 | 93 | 100 (на конец первого месяца) | 75 | 100 | - |
Цехи по производству мельниц и дробилок мощностью по проекту | 11 | 75 | 85 | 95 | 100 (на конец первого месяца) | 85 | 100 | - |
Цехи по обработке турбинных лопаток мощностью по проекту | 13 | 93 | 100 (на конец первого месяца) | - | - | 75 | 97 | 100 |
Примечания: 1. Нормы продолжительности освоения проектных мощностей по выпуску изделий с длительным циклом производства (12 месяцев и более) устанавливаются независимо от длительности нормативного цикла изготовления продукции. | ||||||||
2. Нормативные уровни освоения проектной мощности и объема производства продукции в период освоения в производственном объединении "Атоммаш" им. Л.И. Брежнева определяются по завершении строительства завода в соответствии с проектом. | ||||||||
3. Для предприятий, объектов, которые создаются на базе закупленных лицензий и импортного комплектного технологического оборудования, нормы продолжительности освоения проектных мощностей устанавливаются в каждом конкретном случае с учетом договоров (контрактов) с фирмами-поставщиками оборудования. | ||||||||
Наименование и характеристика предприятий, производств, цехов и их мощность | Наименование экономических показателей | Норма продолжительности освоения в месяцах | Средний уровень освоения проектируемого экономического показателя в % | ||||||
в первый год работы | во второй год работы | в третий год работы | |||||||
кварталы | за год | ||||||||
I | II | III | IV | ||||||
Цехи по производству оборудования АЭС - первого контура мощностью по проекту | Производительность труда | 15 | 65 | 72 | 80 | 85 | 75 | 100 | - |
Себестоимость продукции | 15 | 121 | 114 | 108 | 104 | 111 | 100 | 100 | |
Цехи по производству котлов паровых производительностью свыше 10 т пара в час мощностью по проекту | Производительность труда | 15 | 65 | 72 | 80 | 85 | 75 | 100 | - |
Себестоимость продукции | 15 | 121 | 114 | 108 | 104 | 111 | 100,5 | 100 | |
Цехи по производству котлов паровых производительностью до 10 т пара в час мощностью по проекту | Производительность труда | 9 | 68 | 80 | 95 | 100 | 85 | 100 | - |
Себестоимость продукции | 9 | 118 | 108 | 101 | 100 | 106 | 100 | - | |
Цехи по производству аппаратуры химводоподготовки, подогревателей мощностью по проекту | Производительность труда | 9 | 68 | 80 | 95 | 100 | 85 | 100 | - |
Себестоимость продукции | 9 | 118 | 108 | 101 | 100 | 106 | 100 | - | |
Цехи по производству тягодутьевых машин мощностью по проекту: | |||||||||
из углеродистых сталей | Производительность труда | 12 | 65 | 73 | 86 | 96 | 80 | 100 | - |
Себестоимость продукции | 12 | 117 | 111 | 104 | 102 | 108 | 100 | - | |
из высоколегированных сталей | Производительность труда | 15 | 65 | 72 | 80 | 85 | 75 | 100 | - |
Себестоимость продукции | 15 | 121 | 114 | 108 | 104 | 111 | 100,5 | 100 | |
Цехи по производству котлов-утилизаторов мощностью по проекту | Производительность труда | 15 | 65 | 72 | 80 | 85 | 75 | 100 | - |
Себестоимость продукции | 15 | 121 | 114 | 108 | 104 | 111 | 100,5 | 100 | |
Цехи по производству трубопроводов мощностью по проекту | Производительность труда | 10 | 60 | 70 | 90 | 100 | 80 | 100 | - |
Себестоимость продукции | 10 | 118 | 108 | 101 | 100 | 106 | 100 | - | |
Цехи по производству топок (ручных, механических, полумеханических) мощностью по проекту | Производительность труда | 9 | 68 | 80 | 95 | 100 | 85 | 100 | - |
Себестоимость продукции | 9 | 118 | 108 | 101 | 100 | 106 | 100 | - | |
Цехи по производству горелок ротационных мощностью по проекту | Производительность труда | 9 | 68 | 80 | 95 | 100 | 85 | 100 | - |
Себестоимость продукции | 9 | 118 | 108 | 101 | 100 | 106 | 100 | - | |
Цехи по производству паровых турбин мощностью по проекту: | |||||||||
энергетических | Производительность труда | 15 | 65 | 72 | 80 | 85 | 75 | 100 | - |
Себестоимость продукции | 15 | 121 | 114 | 108 | 104 | 111 | 100,5 | 100 | |
приводных | Производительность труда | 9 | 68 | 80 | 95 | 100 | 85 | 100 | - |
Себестоимость продукции | 9 | 118 | 108 | 101 | 100 | 106 | 100 | - | |
для АЭС мощностью 500 МВт и выше | Производительность труда | 18 | 55 | 62 | 67 | 78 | 65 | 90 | 100 |
Себестоимость продукции | 18 | 132 | 121 | 114 | 108 | 117 | 104 | 100 | |
Цехи по производству газовых турбин мощностью по проекту: | |||||||||
энергетических | Производительность труда | 15 | 65 | 72 | 80 | 85 | 75 | 100 | - |
Себестоимость продукции | 15 | 121 | 114 | 108 | 104 | 111 | 100,5 | 100 | |
приводных | Производительность труда | 12 | 65 | 73 | 86 | 96 | 80 | 100 | - |
Себестоимость продукции | 12 | 117 | 111 | 104 | 102 | 108 | 100 | - | |
Цехи по производству гидравлических турбин мощностью по проекту | Производительность труда | 15 | 65 | 72 | 80 | 85 | 75 | 100 | - |
Себестоимость продукции | 15 | 121 | 114 | 108 | 104 | 111 | 100,5 | 100 | |
Цехи по производству компрессоров и нагнетателей мощностью по проекту | Производительность труда | 11 | 58 | 68 | 80 | 95 | 75 | 100 | - |
Себестоимость продукции | 11 | 120 | 110 | 104 | 101 | 107 | 100 | - | |
Цехи по производству мельниц и дробилок мощностью по проекту | Производительность труда | 11 | 72 | 82 | 90 | 97 | 85 | 100 | - |
Себестоимость продукции | 11 | 120 | 110 | 104 | 101 | 107 | 100 | - | |
Цехи по обработке турбинных лопаток мощностью по проекту | Производительность труда | 13 | 65 | 69 | 80 | 88 | 75 | 100 | - |
Себестоимость продукции | 13 | 117 | 111 | 104 | 102 | 108 | 100 | - | |
Примечание. Нормативные уровни освоения проектных экономических показателей в производственном объединении "Атоммаш" им. Л.И. Брежнева определяются по завершении строительства завода в соответствии с проектом. | |||||||||
Наименование и характеристика предприятий, производств, цехов и их мощность | Норма продолжительности освоения проектной мощности в месяцах | Уровень освоения проектной мощности в % на конец квартала или года (если норма продолжительности освоения более года) работы предприятий | Объем производства продукции (переработки или добычи сырья) в % от годовой проектной мощности | |||||
первого | второго | третьего | четвертого | в первый год работы | во второй год работы | в третий год работы | ||
Предприятия мощностью по проекту по производству светотехнического оборудования | 9 | 72 | 89 | 100 (на конец второго месяца) | - | 85 | 100 | - |
Предприятия мощностью по проекту по производству: | ||||||||
фарфора электротехнического на напряжение до 35 кВ, свинцовых аккумуляторов, электродвигателей переменного тока мощностью от 0,25 до 100 кВт, электродвигателей малой мощности (кроме специальных импульсных), проводов установочных, осветительных, автопроводов, неизолированных проводов и слаботочных шнуров | 12 | 60 | 75 | 90 | 100 (на конец второго месяца) | 75 | 100 | - |
Предприятия мощностью по проекту по производству: | ||||||||
гальванических элементов и батарей, щелочных аккумуляторов и батарей, ламп накаливания общего назначения, люминесцентных ламп, электродвигателей переменного тока мощностью свыше 100 кВт, аппаратуры высоковольтной на напряжение до 220 кВ | 15 | 90 | 100 (на конец первого месяца) | - | - | 75 | 90 | 100 |
Предприятия мощностью по проекту по производству: | ||||||||
силовых полупроводниковых преобразователей мощностью 5 кВт и выше, электродвигателей малой мощности специальных, химических источников тока специальных, фарфора электротехнического на напряжение до 500 кВ, электроизоляционных материалов, ламп газоразрядных и ламп накаливания специального назначения, электротермического оборудования, промышленного, электросварочного оборудования, конденсаторов силовых, трансформаторов силовых I и II габаритов, аппаратуры высоковольтной на напряжение 220 кВ и выше, аппаратуры низковольтной, станций магнитных, щитов управления, машин постоянного тока, электродвигателей крановых, генераторов переменного тока мощностью свыше 100 кВт, комплектных распределительных устройств напряжением до 10 кВ, комплектных трансформаторных подстанций, взрывобезопасных электродвигателей, кабелей судовых, шланговых, управления, радиочастотных, городской связи, проводов эмалированных, авиационных и монтажных, в том числе с радиационной модифицированной изоляцией, тяговых электродвигателей для городского, пригородного и автомобильного транспорта, тяговых электродвигателей и аппаратуры | 18 | 86 | 100 (на конец четвертого месяца) | - | - | 66 | 95 | 100 |
Предприятия мощностью по проекту по производству: | ||||||||
комплектных распределительных устройств на напряжение свыше 10 кВ, силовых полупроводниковых приборов, аппаратуры высоковольтной для ЛЭП-1150 и 1500 и электровакуумных выключателей, трансформаторов силовых III и IV габаритов, кабелей волоконно-оптических, бронекабелей, кабелей дальней связи, электростанций передвижных, фарфора электротехнического на напряжение 500 кВ и выше, погружных электродвигателей, специального технологического оборудования | 21 | 80 | 100 (на конец седьмого месяца) | - | - | 62 | 94 | 100 |
Предприятия мощностью по проекту по производству турбогенераторов (мощностью до 500 тыс. кВт) и крупных электрических машин | 21 | 80 | 100 (на конец седьмого месяца) | - | - | 62 | 94 | 100 |
Предприятия мощностью по проекту по производству: | ||||||||
турбо- и гидрогенераторов (мощностью свыше 500 тыс. кВт) крупных электрических машин индивидуального производства, трансформаторов силовых V габарита и выше, электропечей крупных индивидуального производства, электровозов магистральных и промышленных, синхронных компенсаторов, специального технологического оборудования (роботов), крупного электросварочного оборудования индивидуального исполнения | 24 | 75 | 100 (на конец десятого месяца) | - | - | 60 | 90 | 100 |
Наименование и характеристика предприятий, производств, цехов и их мощность | Наименование экономических показателей | Норма продолжительности освоения в месяцах | Средний уровень освоения проектируемого экономического показателя в % | ||||||
в первый год работы | во второй год работы | в третий год работы | |||||||
кварталы | за год | ||||||||
I | II | III | IV | ||||||
Предприятие мощностью по проекту по производству светотехнического оборудования | Производительность труда | 9 | 56 | 76 | 93 | 100 | 85 | 100 | - |
Себестоимость продукции | 9 | 116 | 106 | 102 | 100 | 105 | 100 | - | |
Предприятия мощностью по проекту по производству: | |||||||||
фарфора электротехнического на напряжение до 35 кВ, свинцовых аккумуляторов, электродвигателей переменного тока мощностью от 0,25 до 100 кВт, электродвигателей малой мощности (кроме специальных импульсных), проводов установочных, осветительных, автопроводов, неизолированных проводов и слаботочных шнуров | Производительность труда | 12 | 45 | 75 | 90 | 98 | 75 | 100 | - |
Себестоимость продукции | 12 | 124 | 107 | 103 | 101 | 107 | 100 | - | |
Предприятия мощностью по проекту по производству: | |||||||||
гальванических элементов и батарей щелочных аккумуляторов и батарей, ламп накаливания общего назначения, люминесцентных ламп, электродвигателей переменного тока мощностью свыше 100 кВт, аппаратуры высоковольтной на напряжение до 220 кВ | Производительность труда | 15 | - | - | - | - | 75 | 90 | 100 |
Себестоимость продукции | 15 | - | - | - | - | 107 | 102 | 100 | |
Предприятия мощностью по проекту по производству: | |||||||||
силовых полупроводниковых преобразователей мощностью 5 кВт и выше, электродвигателей малой мощности специальных, химических источников тока специальных, фарфора электротехнического на напряжение до 500 кВ, электроизоляционных материалов, ламп газоразрядных и ламп накаливания специального назначения, электротермического оборудования промышленного, электросварочного оборудования, конденсаторов силовых, трансформаторов силовых I и II габаритов, аппаратуры высоковольтной на напряжение 220 кВ и выше, комплектных трансформаторных подстанций, аппаратуры низковольтной, станций магнитных, щитов управления, машин постоянного тока, электродвигателей крановых, генераторов переменного тока мощностью свыше 100 кВт, комплектных распределительных устройств напряжением до 10 кВ, взрывобезопасных электродвигателей, кабелей судовых, шланговых, управления, радиочастотных, городской связи, проводов эмалированных, авиационных и монтажных, в том числе с радиационной модифицированной изоляцией, тяговых электродвигателей для городского, пригородного и автомобильного транспорта, тяговых электродвигателей и аппаратуры | Производительность труда | 18 | - | - | - | - | 66 | 95 | 100 |
Себестоимость продукции | 18 | - | - | - | - | 110,5 | 101 | 100 | |
Предприятия мощностью по проекту по производству: | |||||||||
комплектных распределительных устройств на напряжение свыше 10 кВ, силовых полупроводниковых приборов, аппаратуры высоковольтной для ЛЭП-1150 и 1500 и электровакуумных выключателей, трансформаторов силовых III и IV габаритов, кабелей волоконно-оптических, бронекабелей, кабелей дальней связи, электростанций передвижных, фарфора электротехнического на напряжение 500 кВ и выше, погружных электродвигателей, специального технологического оборудования | Производительность труда | 21 | - | - | - | - | 62 | 94 | 100 |
Себестоимость продукции | 21 | - | - | - | - | 112 | 101,3 | 100 | |
Предприятия мощностью по проекту по производству турбогенераторов (мощностью до 500 тыс. кВт) и крупных электрических машин | Производительность труда | 21 | - | - | - | - | 62 | 94 | 100 |
Себестоимость продукции | 21 | - | - | - | - | 112 | 101,3 | 100 | |
Предприятия мощностью по проекту по производству турбо- и гидрогенераторов (мощностью свыше 500 тыс. кВт), крупных электрических машин индивидуального производства, трансформаторов силовых V габарита и выше, электропечей крупных индивидуального производства, электровозов магистральных и промышленных, синхронных компенсаторов, специального технологического оборудования (роботов), крупного электросварочного оборудования индивидуального исполнения | Производительность труда | 24 | - | - | - | - | 60 | 90 | 100 |
Себестоимость продукции | 24 | - | - | - | - | 113 | 102,2 | 100 | |
Наименование и характеристика предприятий, производств, цехов и их мощность | Норма продолжительности освоения проектной мощности в месяцах | Уровень освоения проектной мощности в % на конец квартала или года (если норма продолжительности освоения более года) работы предприятий | Объем производства продукции (переработки или добычи сырья) в % от годовой проектной мощности | |||||
первого | второго | третьего | четвертого | в первый год работы | во второй год работы | в третий год работы | ||
Заводы по производству арматуры мощностью по проекту: | ||||||||
задвижек и арматуры с условным проходом от 50,0 до 1400 мм, специальной арматуры для низких температур и высоких давлений, клапанов и вентилей редукционных, регулирующих и предохранительных | 15 | 86 | 100 (на конец первого месяца) | - | - | 65 | 96 | 100 |
кранов и вентилей запорных, клапанов, конденсатоотводчиков из черных и цветных металлов | 9 | 75 | 90 | 100 (на конец второго месяца) | - | 80 | 100 | - |
Заводы по производству насосов мощностью по проекту: | ||||||||
осевых, крупных питательных, конденсатных, крупных поршневых, горизонтальных и химических | 18 | 90 | 100 (на конец четвертого месяца) | - | - | 75 | 99 | 100 |
Заводы автогенного машиностроения по производству: | ||||||||
автоматического и механизированного оборудования для кислородной, плазменной и газофлюсовой резки металлов, закалки, наплавки и металлизации мощностью до 40 млн. руб. в год | 12 | 70 | 80 | 90 | 100 (на конец второго месяца) | 80 | 100 | - |
аппаратуры для кислородной и плазменно-дуговой резки металлов, сварки, закалки, наплавки и металлизации, ацетиленовых станций и ацетиленового коммуникационного оборудования мощностью по проекту | 12 | 70 | 80 | 90 | 100 (на конец второго месяца) | 80 | 100 | - |
Заводы кислородно-криогенного машиностроения по производству кислородно-криогенного оборудования мощностью по проекту | 18 | 90 | 100 (на конец четвертого месяца) | - | - | 75 | 99 | 100 |
Заводы компрессорно-холодильного машиностроения мощностью по проекту по производству: | ||||||||
компрессоров поршневых и винтовых, стационарных воздушных и газовых мощностью 300 кВт и выше, компрессоров центробежных, холодильных установок холодопроизводительностью свыше 100 тыс. калорий в час | 21 | 85 | 100 (на конец седьмого месяца) | - | - | 70 | 96 | 100 |
холодильных установок холодопроизводительностью до 100 тыс. калорий в час, компрессоров поршневых и винтовых стационарных и передвижных мощностью до 300 кВт | 15 | 95 | 100 (на конец первого месяца) | - | - | 80 | 100 | - |
Заводы целлюлозно-бумажного машиностроения по производству: | ||||||||
размольного оборудования для подготовки сырья, сортировки и сгущения массы мощностью по проекту | 18 | 90 | 100 (на конец четвертого месяца) | - | - | 75 | 99 | 100 |
тяжелого бумагоделательного, картоноделательного и отделочного оборудования мощностью по проекту | 24 | 75 | 100 (на конец десятого месяца) | - | - | 60 | 90 | 100 |
Примечание. Для заводов по производству арматуры промышленной трубопроводной с заготовительным производством следует пользоваться нормами продолжительности освоения по соответствующему виду заготовительного производства. | ||||||||
Наименование и характеристика предприятий, производств, цехов и их мощность | Наименование экономических показателей | Норма продолжительности освоения в месяцах | Средний уровень освоения проектируемого экономического показателя в % | ||||||
в первый год работы | во второй год работы | в третий год работы | |||||||
кварталы | за год | ||||||||
I | II | III | IV | ||||||
Заводы по производству арматуры мощностью по проекту: | |||||||||
задвижек и арматуры с условным проходом от 50 до 1400 мм, специальной арматуры для низких температур и высоких давлений, клапанов и вентилей редукционных, регулирующих и предохранительных | Производительность труда | 15 | 72 | 80 | 85 | 95 | 85 | 99 | 100 |
Себестоимость продукции | 15 | 141 | 123 | 115 | 108 | 118 | 101,5 | 100 | |
кранов и вентилей запорных, клапанов, конденсатоотводчиков из черных и цветных металлов | Производительность труда | 9 | 83 | 94 | 98 | 100 | 93 | 100 | - |
Себестоимость продукции | 9 | 119 | 106 | 102 | 100 | 109 | 100 | - | |
Заводы по производству насосов мощностью по проекту: | |||||||||
осевых, крупных питательных, конденсатных, крупных поршневых, горизонтальных и химических | Производительность труда | 18 | 82 | 87 | 89 | 90 | 89 | 99 | 100 |
Себестоимость продукции | 18 | 121 | 116 | 111 | 105 | 113 | 102 | 100 | |
Заводы автогенного машиностроения по производству: | |||||||||
автоматического и механизированного оборудования для кислородной, плазменной и газофлюсовой резки металлов, закалки, наплавки и металлизации мощностью до 40 млн. руб. в год | Производительность труда | 12 | 83 | 89 | 94 | 97 | 92 | 100 | - |
Себестоимость продукции | 12 | 120 | 113 | 109 | 104 | 109 | 100 | - | |
аппаратуры для кислородной и плазменно-дуговой резки металлов, сварки, закалки, наплавки и металлизации, ацетиленовых станций и ацетиленового коммуникационного оборудования мощностью по проекту | Производительность труда | 12 | 83 | 89 | 94 | 97 | 92 | 100 | - |
Себестоимость продукции | 12 | 120 | 113 | 109 | 104 | 110 | 100 | - | |
Заводы кислородно-криогенного машиностроения по производству кислородно-криогенного оборудования мощностью по проекту | Производительность труда | 18 | 82 | 88 | 92 | 92 | 89 | 97 | 100 |
Себестоимость продукции | 18 | 124 | 116 | 111 | 106 | 113 | 103 | 100 | |
Заводы компрессорно-холодильного машиностроения мощностью по проекту по производству: | |||||||||
компрессоров поршневых и винтовых, стационарных воздушных и газовых мощностью 300 кВт и выше, компрессоров центробежных, холодильных установок холодопроизводительностью свыше 100 тыс. калорий в час | Производительность труда | 21 | 77 | 83 | 87 | 90 | 84 | 97 | 100 |
Себестоимость продукции | 21 | 130 | 122 | 116 | 111 | 112 | 103 | 100 | |
холодильных установок холодопроизводительностью до 100 тыс. калорий в час, компрессоров поршневых и винтовых стационарных и передвижных мощностью до 300 кВт | Производительность труда | 15 | 84 | 89 | 92 | 95 | 92 | 98 | 100 |
Себестоимость продукции | 15 | 120 | 114 | 109 | 107 | 110 | 101 | 100 | |
Заводы целлюлозно-бумажного машиностроения по производству: | |||||||||
размольного оборудования для подготовки сырья, сортировки и сгущения массы мощностью по проекту | Производительность труда | 18 | 82 | 86 | 89 | 90 | 88 | 99 | 100 |
Себестоимость продукции | 18 | 122 | 116 | 111 | 105 | 114 | 102 | 100 | |
тяжелого бумагоделательного, картоноделательного и отделочного оборудования мощностью по проекту | Производительность труда | 24 | 70 | 76 | 80 | 86 | 82 | 96 | 100 |
Себестоимость продукции | 24 | 145 | 136 | 128 | 119 | 125 | 105 | 100 | |
Наименование и характеристика предприятий, производств, цехов и их мощность | Норма продолжительности освоения проектной мощности в месяцах | Уровень освоения проектной мощности в % на конец квартала или года (если норма продолжительности освоения более года) работы предприятий | Объем производства продукции (переработки или добычи сырья) в % от годовой проектной мощности | |||||
первого | второго | третьего | четвертого | в первый год работы | во второй год работы | в третий год работы | ||
Заводы станкостроения, кузнечно-прессовых машин, деревообрабатывающего оборудования, роботов и оборудования для литейного производства: | ||||||||
мощность 25 млн. руб. продукции в год, общая площадь всех производственных корпусов 65 тыс. м2 | ||||||||
в том числе: | ||||||||
первый пусковой комплекс мощностью 3 млн. руб. продукции в год | 6 | 86 | 100 (на конец второго месяца) | - | - | 93 | 100 | - |
второй пусковой комплекс мощностью 10 млн. руб. продукции в год | 12 | 67 | 80 | 92 | 100 (на конец второго месяца) | 79 | 100 | - |
третий пусковой комплекс мощностью 12 млн. руб. продукции в год | 9 | 72 | 89 | 100 (на конец второго месяца) | - | 85 | 100 | - |
мощностью 50 млн. руб. продукции в год, общая площадь всех производственных корпусов 120 тыс. м2 | ||||||||
в том числе: | ||||||||
первый пусковой комплекс мощностью 10 млн. руб. продукции в год | 12 | 60 | 75 | 90 | 100 (на конец второго месяца) | 75 | 100 | - |
второй пусковой комплекс мощностью 15 млн. руб. продукции в год | 9 | 72 | 89 | 100 (на конец второго месяца) | - | 85 | 100 | - |
третий пусковой комплекс мощностью 25 млн. руб. продукции в год | 9 | 72 | 89 | 100 (на конец второго месяца) | - | 85 | 100 | - |
Мощность 80 млн. руб. продукции в год, общая площадь всех производственных корпусов 150 тыс. м2 | ||||||||
в том числе: | ||||||||
первый пусковой комплекс мощностью 15 млн. руб. продукции в год | 12 | 60 | 75 | 90 | 100 (на конец второго месяца) | 75 | 100 | - |
второй пусковой комплекс мощностью 25 млн. руб. продукции в год | 9 | 72 | 89 | 100 (на конец второго месяца) | - | 85 | 100 | - |
третий пусковой комплекс мощностью 25 млн. руб. продукции в год | 9 | 72 | 89 | 100 (на конец второго месяца) | - | 85 | 100 | - |
четвертый пусковой комплекс мощностью 15 млн. руб. продукции в год | 8 | 75 | 90 | 100 (на конец первого месяца) | - | 86 | 100 | - |
Заводы по производству металлообрабатывающего инструмента, технологической оснастки: | ||||||||
мощность 20 млн. руб. продукции в год, общая площадь 40 тыс. м2, в том числе производственных корпусов до 30 тыс. м2, | ||||||||
в том числе: | ||||||||
первый пусковой комплекс мощностью 7 млн. руб. продукции в год | 9 | 72 | 89 | 100 (на конец второго месяца) | - | 85 | 100 | - |
второй пусковой комплекс мощностью 13 млн. руб. продукции в год | 12 | 67 | 80 | 92 | 100 (на конец второго месяца) | 79 | 100 | - |
Мощность 40 млн. руб. продукции в год, общая площадь до 70 тыс. м2, в том числе производственных корпусов до 55 тыс. м2 | ||||||||
в том числе: | ||||||||
первый пусковой комплекс мощностью 10 млн. руб. продукции в год | 9 | 72 | 89 | 100 (на конец второго месяца) | - | 85 | 100 | - |
второй пусковой комплекс мощностью 15 млн. руб. продукции в год | 9 | 72 | 89 | 100 (на конец второго месяца) | - | 85 | 100 | - |
третий пусковой комплекс мощностью 15 млн. руб. продукции в год | 8 | 75 | 90 | 100 (на конец первого месяца) | - | 85 | 100 | - |
Заводы по производству абразивного инструмента, инструмента из твердых материалов, производство шлифовальной шкурки, мощностью 25 млн. руб. продукции в год, общая площадь до 40 тыс. м2, в том числе производственных корпусов до 30 тыс. м2 | ||||||||
в том числе: | ||||||||
первый пусковой комплекс мощностью 10 млн. руб. продукции в год | 9 | 72 | 89 | 100 (на конец второго месяца) | - | 85 | 100 | - |
второй пусковой комплекс мощностью 15 млн. руб. продукции в год | 9 | 72 | 89 | 100 (на конец второго месяца) | - | 85 | 100 | - |
Наименование и характеристика предприятий, производств, цехов и их мощность | Наименование экономических показателей | Норма продолжительности освоения в месяцах | Средний уровень освоения проектируемого экономического показателя в % | ||||||
в первый год работы | во второй год работы | в третий год работы | |||||||
кварталы | за год | ||||||||
I | II | III | IV | ||||||
Заводы станкостроения, кузнечно-прессовых машин, деревообрабатывающего оборудования, роботов и оборудования для литейного производства: | |||||||||
мощность 25 млн. руб. продукции в год, общая площадь всех производственных корпусов 65 тыс. м2 | |||||||||
в том числе: | |||||||||
первый пусковой комплекс мощностью 3 млн. руб. продукции в год | Производительность труда | 6 | 80 | 97 | 100 | 100 | 93 | 100 | - |
Себестоимость продукции | 6 | 117 | 104 | 100 | 100 | 104 | 100 | - | |
второй пусковой комплекс мощностью 10 млн. руб. продукции в год | Производительность труда | 12 | 61 | 74 | 86 | 96 | 79 | 100 | - |
Себестоимость продукции | 12 | 119 | 111 | 105 | 102 | 108 | 100 | - | |
третий пусковой комплекс мощностью 12 млн. руб. продукции в год | Производительность труда | 9 | 64 | 81 | 95 | 100 | 85 | 100 | - |
Себестоимость продукции | 9 | 114 | 106 | 102 | 100 | 105 | 100 | - | |
мощность 50 млн. руб. продукции в год, общая площадь всех производственных корпусов 120 тыс. м2 | |||||||||
в том числе: | |||||||||
первый пусковой комплекс мощностью 10 млн. руб. продукции в год | Производительность труда | 12 | 61 | 74 | 86 | 96 | 79 | 100 | - |
Себестоимость продукции | 12 | 141 | 122 | 109 | 103 | 116 | 100 | - | |
второй пусковой комплекс мощностью 15 млн. руб. продукции в год | Производительность труда | 9 | 64 | 81 | 95 | 100 | 85 | 100 | - |
Себестоимость продукции | 9 | 120 | 108 | 102 | 100 | 107 | 100 | - | |
третий пусковой комплекс мощностью 25 млн. руб. продукции в год | Производительность труда | 9 | 64 | 81 | 95 | 100 | 85 | 100 | - |
Себестоимость продукции | 9 | 114 | 106 | 102 | 100 | 105 | 100 | - | |
мощность 80 млн. руб. продукции в год, общая площадь всех производственных корпусов 150 тыс. м2 | |||||||||
в том числе: | |||||||||
первый пусковой комплекс мощностью 15 млн. руб. продукции в год | Производительность труда | 12 | 61 | 74 | 86 | 96 | 79 | 100 | - |
Себестоимость продукции | 12 | 141 | 122 | 109 | 103 | 116 | 100 | - | |
второй пусковой комплекс мощностью 25 млн. руб. продукции в год | Производительность труда | 9 | 64 | 81 | 95 | 100 | 85 | 100 | - |
Себестоимость продукции | 9 | 118 | 108 | 102 | 100 | 106 | 100 | - | |
третий пусковой комплекс мощностью 25 млн. руб. продукции в год | Производительность труда | 9 | 64 | 81 | 95 | 100 | 85 | 100 | - |
Себестоимость продукции | 9 | 118 | 108 | 102 | 100 | 106 | 100 | - | |
четвертый пусковой комплекс мощностью 15 млн. руб. продукции в год | Производительность труда | 8 | 66 | 82 | 96 | 100 | 86 | 100 | - |
Себестоимость продукции | 8 | 114 | 106 | 102 | 100 | 105 | 100 | - | |
Заводы по производству металлообрабатывающего инструмента, технологической оснастки: | |||||||||
мощность 20 млн. руб. продукции в год, общая площадь 40 тыс. м2, в том числе производственных корпусов до 30 тыс. м2 | |||||||||
в том числе: | |||||||||
первый пусковой комплекс мощностью 7 млн. руб. продукции в год | Производительность труда | 9 | 64 | 81 | 95 | 100 | 85 | 100 | - |
Себестоимость продукции | 9 | 119 | 108 | 102 | 100 | 106 | 100 | - | |
второй пусковой комплекс мощностью 13 млн. руб. продукции в год | Производительность труда | 12 | 61 | 74 | 86 | 96 | 79 | 100 | - |
Себестоимость продукции | 12 | 113 | 108 | 103 | 101 | 106 | 100 | - | |
мощность 40 млн. руб. продукции в год, общая площадь до 70 тыс. м2, в том числе производственных корпусов до 55 тыс. м2 | |||||||||
в том числе: | |||||||||
первый пусковой комплекс мощностью 10 млн. руб. продукции в год | Производительность труда | 9 | 66 | 81 | 95 | 100 | 85 | 100 | - |
Себестоимость продукции | 9 | 120 | 109 | 103 | 100 | 107 | 100 | - | |
второй пусковой комплекс мощностью 15 млн. руб. продукции в год | Производительность труда | 9 | 64 | 81 | 95 | 99 | 85 | 100 | - |
Себестоимость продукции | 9 | 122 | 111 | 105 | 102 | 109 | 100 | - | |
третий пусковой комплекс мощностью 15 млн. руб. продукции в год | Производительность труда | 8 | 66 | 82 | 96 | 100 | 86 | 100 | - |
Себестоимость продукции | 8 | 118 | 107 | 102 | 100 | 106 | 100 | - | |
Заводы по производству абразивного инструмента, инструмента из твердых материалов, производство шлифовальной шкурки, мощностью 25 млн. руб. продукции в год, общая площадь до 40 тыс. м2, в том числе производственных корпусов до 30 тыс. м2 | |||||||||
в том числе: | |||||||||
первый пусковой комплекс мощностью 10 млн. руб. продукции в год | Производительность труда | 9 | 64 | 81 | 95 | 100 | 85 | 100 | - |
Себестоимость продукции | 9 | 114 | 106 | 102 | 100 | 105 | 100 | - | |
второй пусковой комплекс мощностью 15 млн. руб. продукции в год | Производительность труда | 9 | 64 | 81 | 95 | 100 | 85 | 100 | - |
Себестоимость продукции | 9 | 118 | 108 | 102 | 100 | 106 | 100 | - | |
Наименование и характеристика предприятий, производств, цехов и их мощность | Норма продолжительности освоения проектной мощности в месяцах | Уровень освоения проектной мощности в % на конец квартала или года (если норма продолжительности освоения более года) работы предприятий | Объем производства продукции (переработки или добычи сырья) в % от годовой проектной мощности | |||||
первого | второго | третьего | четвертого | в первый год работы | во второй год работы | в третий год работы | ||
Пусковые комплексы предприятий по производству чугунного, стального и цветного литья мощностью: | ||||||||
до 30 тыс. т в год | 12 | 52 | 70 | 87 | 100 (на конец второго месяца) | 71 | 100 | - |
более 30 тыс. т в год | 15 | 95 | 100 (на конец второго месяца) | - | - | 64 | 97 | 100 |
Пусковые комплексы предприятий по производству сварных металлоконструкций мощностью до 50 тыс. т в год | 12 | 52 | 70 | 87 | 100 (на конец второго месяца) | 71 | 100 | - |
Пусковые комплексы предприятий по производству изделий из металлокерамических порошков мощностью до 5 тыс. т в год | 15 | 95 | 100 (на конец второго месяца) | - | - | 64 | 97 | 100 |
Предприятия и пусковые комплексы по производству материалов формовочных мощностью по проекту | 8 | 65 | 96 | 100 (на конец первого месяца) | - | 82 | 100 | - |
Предприятия и пусковые комплексы по производству материалов формовочных мощностью по проекту с обогатительной фабрикой | 12 | 52 | 70 | 87 | 100 (на конец второго месяца) | 71 | 100 | - |
Пусковые комплексы предприятий по производству нормализованных узлов гидро- и пневмоприводов, гидро- и пневмоавтоматики, смазочного оборудования и фильтрующих устройств мощностью: | ||||||||
до 5 млн. руб. в год | 11 | 54 | 74 | 94 | 100 (на конец первого месяца) | 73 | 100 | - |
более 5 млн. руб. в год | 14 | 96 | 100 (на конец первого месяца) | - | - | 66 | 98 | 100 |
Пусковые комплексы предприятий по производству нормализованных редукторов и мотор-редукторов мощностью: | ||||||||
до 10 тыс. шт. в год | 12 | 52 | 70 | 87 | 100 (на конец второго месяца) | 71 | 100 | - |
более 10 тыс. шт. в год | 14 | 96 | 100 (на конец первого месяца) | - | - | 66 | 98 | 100 |
Наименование и характеристика предприятий, производств, цехов и их мощность | Наименование экономических показателей | Норма продолжительности освоения в месяцах | Средний уровень освоения проектируемого экономического показателя в % | ||||||
в первый год работы | во второй год работы | в третий год работы | |||||||
кварталы | за год | ||||||||
I | II | III | IV | ||||||
Пусковые комплексы предприятий по производству чугунного, стального и цветного литья мощностью: | |||||||||
до 30 тыс. т в год | Производительность труда | 12 | 46 | 65 | 81 | 96 | 72 | 100 | 100 |
Себестоимость продукции | 12 | 120 | 111 | 104 | 100 | 110 | 100 | 100 | |
более 30 тыс. т в год | Производительность труда | 15 | - | - | - | - | 65 | 97 | 100 |
Себестоимость продукции | 15 | - | - | - | - | 115 | 101 | 100 | |
Пусковые комплексы предприятий по производству сварных металлоконструкций мощностью до 50 тыс. т в год | Производительность труда | 12 | 46 | 65 | 81 | 96 | 72 | 100 | 100 |
Себестоимость продукции | 12 | 125 | 110 | 105 | 100 | 112 | 100 | 100 | |
Пусковые комплексы предприятий по производству изделий из металлокерамических порошков мощностью до 5 тыс. т в год | Производительность труда | 15 | - | - | - | - | 65 | 97 | 100 |
Себестоимость продукции | 15 | - | - | - | - | 115 | 101 | 100 | |
Предприятия и пусковые комплексы по производству материалов формовочных мощностью по проекту | Производительность труда | 8 | 50 | 81 | 98 | 100 | 82 | 100 | 100 |
Себестоимость продукции | 8 | 114 | 102 | 100 | 100 | 104 | 100 | 100 | |
Предприятия и пусковые комплексы по производству материалов формовочных мощностью по проекту с обогатительной фабрикой | Производительность труда | 12 | 46 | 65 | 81 | 96 | 72 | 100 | 100 |
Себестоимость продукции | 12 | 126 | 110 | 105 | 100 | 112 | 100 | 100 | |
Пусковые комплексы предприятий по производству нормализованных узлов гидро- и пневмоприводов, гидро- и пневмоавтоматики, смазочного оборудования и фильтрующих устройств мощностью: | |||||||||
до 5 млн. руб. в год | Производительность труда | 11 | 45 | 66 | 84 | 97 | 73 | 100 | 100 |
Себестоимость продукции | 11 | 118 | 109 | 102 | 100 | 107 | 100 | 100 | |
более 5 млн. руб. в год | Производительность труда | 14 | - | - | - | - | 66 | 98 | 100 |
Себестоимость продукции | 14 | - | - | - | - | 113 | 100,5 | 100 | |
Пусковые комплексы предприятий по производству нормализованных редукторов и мотор-редукторов мощностью: | |||||||||
до 10 тыс. шт. в год | Производительность труда | 12 | 46 | 65 | 81 | 96 | 72 | 100 | 100 |
Себестоимость продукции | 12 | 123 | 109 | 104 | 100 | 110 | 100 | 100 | |
более 10 тыс. шт. в год | Производительность труда | 14 | - | - | - | - | 66 | 98 | 100 |
Себестоимость продукции | 14 | - | - | - | - | 113 | 100,5 | 100 | |
Наименование и характеристика предприятий, производств, цехов и их мощность | Норма продолжительности освоения проектной мощности в месяцах | Уровень освоения проектной мощности в % на конец квартала или года (если норма продолжительности освоения более года) работы предприятий | Объем производства продукции (переработки или добычи сырья) в % от годовой проектной мощности | |||||
первого | второго | третьего | четвертого | в первый год работы | во второй год работы | в третий год работы | ||
Заводы (цехи) по производству отливок из ковкого чугуна мощностью до 75 тыс. т в год | 15 | 96 | 100 (на конец второго месяца) | - | - | 70 | 99 | 100 |
Заводы (цехи) по производству отливок из серого чугуна мощностью от 80 до 150 тыс. т в год | 18 | 86 | 100 (на конец пятого месяца) | - | - | 66 | 98 | 100 |
Заводы (цехи) по производству стальных отливок мощностью от 50 до 100 тыс. т в год | 18 | 86 | 100 (на конец пятого месяца) | - | - | 66 | 98 | 100 |
Заводы (цехи) по производству цветного литья мощностью до 50 тыс. т в год | 15 | 96 | 100 (на конец второго месяца) | - | - | 70 | 99 | 100 |
Заводы (цехи) по производству штамповок мощностью до 160 тыс. т в год | 12 | 60 | 75 | 90 | 100 (на конец второго месяца) | 75 | 100 | - |
Наименование и характеристика предприятий, производств, цехов и их мощность | Наименование экономических показателей | Норма продолжительности освоения в месяцах | Средний уровень освоения проектируемого экономического показателя в % | ||||||
в первый год работы | во второй год работы | в третий год работы | |||||||
кварталы | за год | ||||||||
I | II | III | IV | ||||||
Заводы (цехи) по производству отливок из ковкого чугуна мощностью до 75 тыс. т в год | Производительность труда | 15 | - | - | - | - | 70 | 99 | 100 |
Себестоимость продукции | 15 | - | - | - | - | 126 | 104 | 100 | |
Заводы (цехи) по производству отливок из серого чугуна мощностью от 80 до 150 тыс. т в год | Производительность труда | 18 | - | - | - | - | 66 | 98 | 100 |
Себестоимость продукции | 18 | - | - | - | - | 125 | 105 | 100 | |
Заводы (цехи) по производству стальных отливок мощностью от 50 до 100 тыс. т в год | Производительность труда | 18 | - | - | - | - | 66 | 98 | 100 |
Себестоимость продукции | 18 | - | - | - | - | 130 | 105 | 100 | |
Заводы (цехи) по производству цветного литья мощностью до 50 тыс. т в год | Производительность труда | 15 | - | - | - | - | 70 | 99 | 100 |
Себестоимость продукции | 15 | - | - | - | - | 117 | 104 | 100 | |
Заводы (цехи) по производству цветного литья мощностью до 50 тыс. т в год | Производительность труда | 12 | 53 | 68 | 82 | 95 | 75 | 100 | - |
Себестоимость продукции | 12 | 132 | 119 | 111 | 105 | 115 | 100 | - | |
Наименование и характеристика предприятий, производств, цехов и их мощность | Норма продолжительности освоения проектной мощности в месяцах | Уровень освоения проектной мощности в % на конец квартала или года (если норма продолжительности освоения более года) работы предприятий | Объем производства продукции (переработки или добычи сырья) в % от годовой проектной мощности | |||||
первого | второго | третьего | четвертого | в первый год работы | во второй год работы | в третий год работы | ||
Предприятия, объекты по производству: | ||||||||
средств вычислительной техники мощностью: | ||||||||
до 20 млн. руб. в год | 10 | 57 | 81 | 100 | - | 80 | 100 | - |
до 40 млн. руб. в год: | ||||||||
первый пусковой комплекс мощностью по проекту | 12 | 54 | 72 | 86 | 100 (на конец второго месяца) | 76 | 100 | - |
второй пусковой комплекс мощностью по проекту | 9 | 80 | 93 | 100 (на конец второго месяца) | - | 92 | 100 | - |
более 40 млн. руб. в год: | ||||||||
первый пусковой комплекс мощностью по проекту | 15 | 95 | 100 (на конец первого месяца) | - | - | 65 | 99 | 100 |
второй пусковой комплекс мощностью по проекту | 12 | 78 | 86 | 94 | 100 (на конец второго месяца) | 86 | 100 | - |
приборов для физических исследований мощностью: | ||||||||
до 20 млн. руб. в год | 10 | 57 | 81 | 100 | - | 80 | 100 | - |
до 40 млн. руб. в год: | ||||||||
первый пусковой комплекс мощностью по проекту | 12 | 54 | 72 | 86 | 100 (на конец второго месяца) | 76 | 100 | - |
второй пусковой комплекс мощностью по проекту | 9 | 80 | 93 | 100 (на конец второго месяца) | - | 92 | 100 | - |
более 40 млн. руб. в год: | ||||||||
первый пусковой комплекс мощностью по проекту | 15 | 95 | 100 (на конец первого месяца) | - | - | 65 | 99 | 100 |
второй пусковой комплекс мощностью по проекту | 12 | 78 | 86 | 94 | 100 (на конец второго месяца) | 86 | 100 | - |
средств телемеханики мощностью: | ||||||||
до 20 млн. руб. в год | 10 | 57 | 81 | 100 | - | 80 | 100 | - |
до 40 млн. руб. в год: | ||||||||
первый пусковой комплекс мощностью по проекту | 12 | 54 | 72 | 86 | 100 (на конец второго месяца) | 76 | 100 | - |
второй пусковой комплекс мощностью по проекту | 9 | 80 | 93 | 100 (на конец второго месяца) | - | 92 | 100 | - |
более 40 млн. руб. в год: | ||||||||
первый пусковой комплекс мощностью по проекту | 15 | 95 | 100 (на конец первого месяца) | - | - | 65 | 99 | 100 |
второй пусковой комплекс мощностью по проекту | 12 | 78 | 86 | 94 | 100 (на конец второго месяца) | 86 | 100 | - |
приборов контроля и регулирования технологических процессов: | ||||||||
первой группы сложности мощностью: | ||||||||
до 20 млн. руб. в год | 10 | 57 | 81 | 100 | - | 80 | 100 | - |
до 40 млн. руб. в год: | ||||||||
первый пусковой комплекс мощностью по проекту | 15 | 96 | 100 (на конец первого месяца) | - | - | 71 | 99 | 100 |
второй пусковой комплекс мощностью по проекту | 10 | 81 | 92 | 100 | - | 91 | 100 | - |
более 40 млн. руб. в год: | ||||||||
первый пусковой комплекс мощностью по проекту | 15 | 95 | 100 (на конец первого месяца) | - | - | 65 | 99 | 100 |
второй пусковой комплекс мощностью по проекту | 12 | 72 | 82 | 93 | 100 (на конец второго месяца) | 86 | 100 | - |
второй группы сложности мощностью: | ||||||||
до 20 млн. руб. в год | 8 | 62 | 90 | 100 (на конец первого месяца) | - | 83 | 100 | - |
до 40 млн. руб. в год: | ||||||||
первый пусковой комплекс мощностью по проекту | 9 | 59 | 85 | 100 (на конец второго месяца) | - | 81 | 100 | - |
второй пусковой комплекс мощностью по проекту | 6 | 87 | 100 (на конец второго месяца) | - | - | 93 | 100 | - |
более 40 млн. руб. в год: | ||||||||
первый пусковой комплекс мощностью по проекту | 12 | 54 | 72 | 86 | 100 (на конец второго месяца) | 76 | 100 | - |
второй пусковой комплекс мощностью по проекту | 8 | 79 | 94 | 100 (на конец первого месяца) | - | 90 | 100 | - |
третьей группы сложности мощностью: | ||||||||
до 20 млн. руб. в год | 5 | 89 | 100 (на конец первого месяца) | - | - | 88 | 100 | - |
до 40 млн. руб. в год: | ||||||||
первый пусковой комплекс мощностью по проекту | 6 | 71 | 100 (на конец второго месяца) | - | - | 87 | 100 | - |
второй пусковой комплекс мощностью по проекту | 4 | 100 | - | - | - | 93 | 100 | - |
более 40 млн. руб. в год: | ||||||||
первый пусковой комплекс мощностью по проекту | 7 | 65 | 100 | - | - | 85 | 100 | - |
второй пусковой комплекс мощностью по проекту | 5 | 89 | 100 (на конец первого месяца) | - | - | 88 | 100 | - |
электроизмерительных приборов: | ||||||||
первой группы сложности мощностью: | ||||||||
до 20 млн. руб. в год | 10 | 57 | 81 | 100 | - | 80 | 100 | - |
до 40 млн. руб. в год: | ||||||||
первый пусковой комплекс мощностью по проекту | 12 | 54 | 72 | 86 | 100 (на конец второго месяца) | 76 | 100 | - |
второй пусковой комплекс мощностью по проекту | 9 | 80 | 93 | 100 (на конец второго месяца) | - | 92 | 100 | - |
более 40 млн. руб. в год: | ||||||||
первый пусковой комплекс мощностью по проекту | 15 | 95 | 100 (на конец первого месяца) | - | - | 65 | 99 | 100 |
второй пусковой комплекс мощностью по проекту | 12 | 78 | 86 | 94 | 100 (на конец второго месяца) | 86 | 100 | - |
второй группы сложности мощностью: | ||||||||
до 20 млн. руб. в год | 8 | 62 | 90 | 100 (на конец первого месяца) | - | 83 | 100 | - |
до 40 млн. руб. в год: | ||||||||
первый пусковой комплекс мощностью по проекту | 9 | 59 | 85 | 100 (на конец второго месяца) | - | 81 | 100 | - |
второй пусковой комплекс мощностью по проекту | 6 | 87 | 100 (на конец второго месяца) | - | - | 93 | 100 | - |
более 40 млн. руб. в год: | ||||||||
первый пусковой комплекс мощностью по проекту | 12 | 54 | 72 | 86 | 100 (на конец второго месяца) | 76 | 100 | - |
второй пусковой комплекс мощностью по проекту | 8 | 79 | 94 | 100 (на конец первого месяца) | - | 90 | 100 | - |
третьей группы сложности мощностью: | ||||||||
до 20 млн. руб. в год | 5 | 89 | 100 (на конец первого месяца) | - | - | 88 | 100 | - |
до 40 млн. руб. в год: | ||||||||
первый пусковой комплекс мощностью по проекту | 6 | 71 | 100 (на конец второго месяца) | - | - | 87 | 100 | - |
второй пусковой комплекс мощностью по проекту | 4 | 100 | - | - | - | 93 | 100 | - |
более 40 млн. руб. в год: | ||||||||
первый пусковой комплекс мощностью по проекту | 7 | 65 | 100 | - | - | 85 | 100 | - |
второй пусковой комплекс мощностью по проекту | 5 | 89 | 100 (на конец первого месяца) | - | - | 88 | 100 | - |
приборов для измерения механических величин: | ||||||||
первый группы сложности мощностью: | ||||||||
до 20 млн. руб. в год | 10 | 57 | 81 | 100 | - | 80 | 100 | - |
до 40 млн. руб. в год: | ||||||||
первый пусковой комплекс мощностью по проекту | 15 | 96 | 100 (на конец первого месяца) | - | - | 71 | 99 | 100 |
второй пусковой комплекс мощностью по проекту | 10 | 81 | 92 | 100 | - | 91 | 100 | - |
более 40 млн. руб. в год: | ||||||||
первый пусковой комплекс мощностью по проекту | 15 | 95 | 100 (на конец первого месяца) | - | - | 65 | 99 | 100 |
второй пусковой комплекс мощностью по проекту | 12 | 72 | 82 | 93 | 100 (на конец второго месяца) | 86 | 100 | - |
второй группы сложности мощностью: | ||||||||
до 20 млн. руб. в год | 8 | 62 | 90 | 100 (на конец первого месяца) | - | 83 | 100 | - |
до 40 млн. руб. в год: | ||||||||
первый пусковой комплекс мощностью по проекту | 9 | 59 | 85 | 100 (на конец второго месяца) | - | 81 | 100 | - |
второй пусковой комплекс мощностью по проекту | 6 | 87 | 100 (на конец второго месяца) | - | - | 93 | 100 | - |
более 40 млн. руб. в год: | ||||||||
первый пусковой комплекс мощностью по проекту | 12 | 54 | 72 | 86 | 100 (на конец второго месяца) | 76 | 100 | - |
второй пусковой комплекс мощностью по проекту | 8 | 79 | 94 | 100 (на конец первого месяца) | - | 90 | 100 | - |
средств механизации и автоматизации управленческого и инженерно-технического труда: | ||||||||
первой группы сложности мощностью: | ||||||||
до 20 млн. руб. в год | 10 | 57 | 81 | 100 | - | 80 | 100 | - |
до 40 млн. руб. в год: | ||||||||
первый пусковой комплекс мощностью по проекту | 15 | 96 | 100 (на конец первого месяца) | - | - | 71 | 99 | 100 |
второй пусковой комплекс мощностью по проекту | 10 | 81 | 92 | 100 | - | 91 | 100 | - |
более 40 млн. руб. в год: | ||||||||
первый пусковой комплекс мощностью по проекту | 15 | 95 | 100 (на конец первого месяца) | - | - | 65 | 99 | 100 |
второй пусковой комплекс мощностью по проекту | 12 | 72 | 82 | 93 | 100 (на конец второго месяца) | 86 | 100 | - |
третьей группы сложности мощностью: | ||||||||
до 20 млн. руб. в год | 5 | 89 | 100 (на конец первого месяца) | - | - | 88 | 100 | - |
до 40 млн. руб. в год: | ||||||||
первый пусковой комплекс мощностью по проекту | 6 | 71 | 100 (на конец второго месяца) | - | - | 87 | 100 | - |
второй пусковой комплекс мощностью по проекту | 4 | 100 | - | - | - | 93 | 100 | - |
более 40 млн. руб. в год: | ||||||||
первый пусковой комплекс мощностью по проекту | 7 | 65 | 100 | - | - | 85 | 100 | - |
второй пусковой комплекс мощностью по проекту | 5 | 89 | 100 (на конец первого месяца) | - | - | 88 | 100 | - |
приборов для научных исследований мощностью: | ||||||||
до 20 млн. руб. в год | 10 | 57 | 81 | 100 | - | 80 | 100 | - |
до 40 млн. руб. в год: | ||||||||
первый пусковой комплекс мощностью по проекту | 15 | 96 | 100 (на конец первого месяца) | - | - | 71 | 99 | 100 |
второй пусковой комплекс мощностью по проекту | 10 | 81 | 92 | 100 | - | 91 | 100 | - |
более 40 млн. руб. в год: | ||||||||
первый пусковой комплекс мощностью по проекту | 15 | 95 | 100 (на конец первого месяца) | - | - | 65 | 99 | 100 |
второй пусковой комплекс мощностью по проекту | 12 | 72 | 82 | 93 | 100 (на конец второго месяца) | 86 | 100 | - |
Предприятия (объекты) по производству: | ||||||||
бриллиантов и выращиванию кристаллов мощностью | ||||||||
до 35 млн. руб. в год | 10 | 57 | 81 | 100 | - | 80 | 100 | - |
до 70 млн. руб. в год: | ||||||||
первый пусковой комплекс мощностью по проекту | 15 | 96 | 100 (на конец первого месяца) | - | - | 71 | 99 | 100 |
второй пусковой комплекс мощностью по проекту | 10 | 81 | 92 | 100 | - | 86 | 100 | - |
изделий ювелирной промышленности мощностью: | ||||||||
до 20 млн. руб. в год | 5 | 89 | 100 (на конец первого месяца) | - | - | 88 | 100 | - |
до 40 млн. руб. в год: | ||||||||
первый пусковой комплекс мощностью по проекту | 6 | 71 | 100 (на конец второго месяца) | - | - | 87 | 100 | - |
второй пусковой комплекс мощностью по проекту | 4 | 100 | - | - | - | 93 | 100 | - |
изделий часовой промышленности: | ||||||||
первой группы сложности мощностью: | ||||||||
до 20 млн. руб. в год | 10 | 57 | 81 | 100 | - | 80 | 100 | - |
до 40 млн. руб. в год: | ||||||||
первый пусковой комплекс мощностью по проекту | 12 | 54 | 72 | 86 | 100 (на конец второго месяца) | 76 | 100 | - |
второй пусковой комплекс мощностью по проекту | 9 | 80 | 93 | 100 (на конец второго месяца) | - | 92 | 100 | - |
более 40 млн. руб. в год: | ||||||||
первый пусковой комплекс мощностью по проекту | 15 | 95 | 100 (на конец первого месяца) | - | - | 65 | 99 | 100 |
второй пусковой комплекс мощностью по проекту | 12 | 78 | 86 | 94 | 100 (на конец второго месяца) | 86 | 100 | - |
второй группы сложности мощностью: | ||||||||
до 20 млн. руб. в год | 8 | 62 | 90 | 100 (на конец первого месяца) | - | 82 | 100 | - |
до 40 млн. руб. в год: | ||||||||
первый пусковой комплекс мощностью по проекту | 9 | 59 | 85 | 100 (на конец второго месяца) | - | 81 | 100 | - |
второй пусковой комплекс мощностью по проекту | 6 | 87 | 100 (на конец второго месяца) | - | - | 93 | 100 | - |
более 40 млн. руб. в год: | ||||||||
первый пусковой комплекс мощностью по проекту | 12 | 54 | 72 | 86 | 100 (на конец второго месяца) | 76 | 100 | - |
второй пусковой комплекс мощностью по проекту | 8 | 79 | 94 | 100 (на конец первого месяца) | - | 90 | 100 | - |
технического обслуживания и ремонта продукции отрасли мощностью до 10 млн. руб. в год | 5 | 89 | 100 (на конец первого месяца) | - | - | 88 | 100 | - |
специального технологического оборудования и приборов для производства изделий микроэлектроники мощностью до 30 млн. руб. в год | 21 | 75 | 100 (на конец седьмого месяца) | - | - | 58 | 95 | 100 |
Специализированные комплексы (цехи) по производству: | ||||||||
изделий из пластмасс, футляров, крепежа, разъемов, оснастки, нестандартизированного оборудования мощностью до 20 млн. руб. в год | 5 | 89 | 100 (на конец первого месяца) | - | - | 88 | 100 | - |
плат печатного монтажа мощностью до 20 млн. руб. в год | 12 | 54 | 72 | 86 | 100 (на конец второго месяца) | 76 | 100 | - |
изделий и узлов микроэлектроники мощностью до 40 млн. руб. в год | 21 | 75 | 100 (на конец седьмого месяца) | - | - | 58 | 95 | 100 |
оптических деталей, трансформаторов, нормализованных деталей и узлов, специализированного инструмента и оснастки, литья чугунного, литья стального, литья цветного, поковок и горячих штамповок, унифицированных типовых конструкций ГСП мощностью до 20 млн. руб. в год | 8 | 62 | 90 | 100 (на конец первого месяца) | - | 83 | 100 | - |
Наименование и характеристика предприятий, производств, цехов и их мощность | Наименование экономических показателей | Норма продолжительности освоения в месяцах | Средний уровень освоения проектируемого экономического показателя в % | ||||||
в первый год работы | во второй год работы | в третий год работы | |||||||
кварталы | за год | ||||||||
I | II | III | IV | ||||||
Предприятия, объекты по производству: | |||||||||
средств вычислительной техники мощностью: | |||||||||
до 20 млн. руб. в год | Производительность труда | 10 | 52 | 76 | 92 | 100 | 80 | 100 | - |
Себестоимость продукции | 10 | 135 | 115 | 105 | 100 | 111 | 100 | - | |
до 40 млн. руб. в год: | |||||||||
первый пусковой комплекс мощностью по проекту | Производительность труда | 12 | 52 | 68 | 84 | 100 | 76 | 100 | - |
Себестоимость продукции | 12 | 136 | 118 | 109 | 100 | 113 | 100 | - | |
второй пусковой комплекс мощностью по проекту | Производительность труда | 9 | 79 | 91 | 97 | 100 | 92 | 100 | - |
Себестоимость продукции | 9 | 110 | 104 | 101 | 100 | 103 | 100 | - | |
более 40 млн. руб. в год: | |||||||||
первый пусковой комплекс мощностью по проекту | Производительность труда | 15 | 40 | 56 | 76 | 88 | 65 | 99 | 100 |
Себестоимость продукции | 15 | 158 | 136 | 115 | 107 | 124 | 102 | 100 | |
второй пусковой комплекс мощностью по проекту | Производительность труда | 12 | 75 | 80 | 89 | 100 | 86 | 100 | - |
Себестоимость продукции | 12 | 115 | 109 | 104 | 100 | 106 | 100 | - | |
приборов для физических исследований мощностью: | |||||||||
до 20 млн. руб. в год | Производительность труда | 10 | 52 | 76 | 92 | 100 | 80 | 100 | - |
Себестоимость продукции | 10 | 135 | 115 | 105 | 100 | 111 | 100 | - | |
до 40 млн. руб. в год: | |||||||||
первый пусковой комплекс мощностью по проекту | Производительность труда | 12 | 52 | 68 | 84 | 100 | 76 | 100 | - |
Себестоимость продукции | 12 | 136 | 118 | 109 | 100 | 113 | 100 | - | |
второй пусковой комплекс мощностью по проекту | Производительность труда | 9 | 79 | 91 | 97 | 100 | 92 | 100 | - |
Себестоимость продукции | 9 | 110 | 104 | 101 | 100 | 103 | 100 | - | |
более 40 млн. руб. в год: | |||||||||
первый пусковой комплекс мощностью по проекту | Производительность труда | 15 | 40 | 56 | 76 | 88 | 65 | 99 | 100 |
Себестоимость продукции | 15 | 158 | 136 | 115 | 107 | 124 | 102 | 100 | |
второй пусковой комплекс мощностью по проекту | Производительность труда | 12 | 75 | 80 | 89 | 100 | 86 | 100 | - |
Себестоимость продукции | 12 | 115 | 109 | 104 | 100 | 106 | 100 | - | |
средств телемеханики мощностью: | |||||||||
до 20 млн. руб. в год | Производительность труда | 10 | 52 | 76 | 92 | 100 | 80 | 100 | - |
Себестоимость продукции | 10 | 135 | 115 | 105 | 100 | 111 | 100 | - | |
до 40 млн. руб. в год: | |||||||||
первый пусковой комплекс мощностью по проекту | Производительность труда | 12 | 52 | 68 | 84 | 100 | 76 | 100 | - |
Себестоимость продукции | 12 | 136 | 118 | 109 | 100 | 113 | 100 | - | |
второй пусковой комплекс мощностью по проекту | Производительность труда | 9 | 79 | 91 | 97 | 100 | 92 | 100 | - |
Себестоимость продукции | 9 | 110 | 104 | 101 | 100 | 103 | 100 | - | |
более 40 млн. руб. в год: | |||||||||
первый пусковой комплекс мощностью по проекту | Производительность труда | 15 | 40 | 56 | 76 | 88 | 65 | 99 | 100 |
Себестоимость продукции | 15 | 158 | 136 | 115 | 107 | 124 | 102 | 100 | |
второй пусковой комплекс мощностью по проекту | Производительность труда | 12 | 75 | 80 | 89 | 100 | 86 | 100 | - |
Себестоимость продукции | 12 | 115 | 109 | 104 | 100 | 106 | 100 | - | |
приборов контроля и регулирования технологических процессов: | |||||||||
первой группы сложности мощностью: | |||||||||
до 20 млн. руб. в год | Производительность труда | 10 | 52 | 76 | 92 | 100 | 80 | 100 | - |
Себестоимость продукции | 10 | 135 | 115 | 105 | 100 | 111 | 100 | - | |
до 40 млн. руб. в год: | |||||||||
первый пусковой комплекс мощностью по проекту | Производительность труда | 15 | 48 | 64 | 80 | 92 | 71 | 99 | 100 |
Себестоимость продукции | 15 | 149 | 130 | 112 | 107 | 121 | 102 | 100 | |
второй пусковой комплекс мощностью по проекту | Производительность труда | 10 | 72 | 84 | 192 | 100 | 88 | 100 | - |
Себестоимость продукции | 10 | 112 | 107 | 103 | 100 | 105 | 100 | - | |
более 40 млн. руб. в год: | |||||||||
первый пусковой комплекс мощностью по проекту | Производительность труда | 15 | 40 | 56 | 76 | 88 | 65 | 99 | 100 |
Себестоимость продукции | 15 | 158 | 136 | 115 | 107 | 124 | 102 | 100 | |
второй пусковой комплекс мощностью по проекту | Производительность труда | 12 | 75 | 80 | 89 | 100 | 86 | 100 | - |
Себестоимость продукции | 12 | 115 | 109 | 104 | 100 | 106 | 100 | - | |
второй группы сложности мощностью: | |||||||||
до 20 млн. руб. в год | Производительность труда | 8 | 52 | 84 | 96 | 100 | 83 | 100 | - |
Себестоимость продукции | 8 | 139 | 108 | 102 | 100 | 109 | 100 | - | |
до 40 млн. руб. в год: | |||||||||
первый пусковой комплекс мощностью по проекту | Производительность труда | 9 | 52 | 80 | 92 | 100 | 81 | 100 | - |
Себестоимость продукции | 9 | 139 | 110 | 104 | 100 | 110 | 100 | - | |
второй пусковой комплекс мощностью по проекту | Производительность труда | 6 | 80 | 92 | 100 | 100 | 93 | 100 | - |
Себестоимость продукции | 6 | 110 | 105 | 100 | 100 | 104 | 100 | - | |
более 40 млн. руб. в год: | |||||||||
первый пусковой комплекс мощностью по проекту | Производительность труда | 12 | 52 | 68 | 84 | 96 | 76 | 100 | - |
Себестоимость продукции | 12 | 139 | 120 | 108 | 102 | 113 | 100 | - | |
второй пусковой комплекс мощностью по проекту | Производительность труда | 8 | 72 | 88 | 96 | 100 | 90 | 100 | - |
Себестоимость продукции | 8 | 117 | 109 | 102 | 100 | 104 | 100 | - | |
третьей группы сложности мощностью: | |||||||||
до 20 млн. руб. в год | Производительность труда | 5 | 60 | 92 | 100 | 100 | 88 | 100 | - |
Себестоимость продукции | 5 | 129 | 104 | 100 | 100 | 106 | 100 | - | |
до 40 млн. руб. в год: | |||||||||
первый пусковой комплекс мощностью по проекту | Производительность труда | 6 | 56 | 92 | 100 | 100 | 87 | 100 | - |
Себестоимость продукции | 6 | 137 | 104 | 100 | 100 | 107 | 100 | - | |
второй пусковой комплекс мощностью по проекту | Производительность труда | 4 | 72 | 100 | 100 | 100 | 93 | 100 | - |
Себестоимость продукции | 4 | 118 | 100 | 100 | 100 | 104 | 100 | - | |
более 40 млн. руб. в год: | |||||||||
первый пусковой комплекс мощностью по проекту | Производительность труда | 7 | 52 | 88 | 100 | 100 | 85 | 100 | - |
Себестоимость продукции | 7 | 114 | 106 | 100 | 100 | 108 | 100 | - | |
второй пусковой комплекс мощностью по проекту | Производительность труда | 5 | 78 | 96 | 100 | 100 | 88 | 100 | - |
Себестоимость продукции | 5 | 113 | 102 | 100 | 100 | 104 | 100 | - | |
электроизмерительных приборов: | |||||||||
первой группы сложности мощностью: | |||||||||
до 20 млн. руб. в год | Производительность труда | 10 | 52 | 76 | 92 | 100 | 80 | 100 | - |
Себестоимость продукции | 10 | 135 | 115 | 105 | 100 | 111 | 100 | - | |
до 40 млн. руб. в год: | |||||||||
первый пусковой комплекс мощностью по проекту | Производительность труда | 12 | 52 | 64 | 84 | 100 | 76 | 100 | - |
Себестоимость продукции | 12 | 136 | 118 | 109 | 100 | 113 | 100 | - | |
второй пусковой комплекс мощностью по проекту | Производительность труда | 9 | 79 | 91 | 97 | 100 | 92 | 100 | - |
Себестоимость продукции | 9 | 110 | 104 | 101 | 100 | 103 | 100 | - | |
более 40 млн. руб. в год: | |||||||||
первый пусковой комплекс мощностью по проекту | Производительность труда | 15 | 40 | 56 | 76 | 88 | 65 | 99 | 100 |
Себестоимость продукции | 15 | 158 | 136 | 115 | 107 | 124 | 102 | 100 | |
второй пусковой комплекс мощностью по проекту | Производительность труда | 12 | 75 | 80 | 89 | 100 | 86 | 100 | - |
Себестоимость продукции | 12 | 115 | 109 | 104 | 100 | 106 | 100 | - | |
второй группы сложности мощностью: | |||||||||
до 20 млн. руб. в год | Производительность труда | 8 | 52 | 84 | 96 | 100 | 83 | 100 | - |
Себестоимость продукции | 8 | 139 | 108 | 102 | 100 | 109 | 100 | - | |
до 40 млн. руб. в год: | |||||||||
первый пусковой комплекс мощностью по проекту | Производительность труда | 9 | 52 | 80 | 92 | 100 | 81 | 100 | - |
Себестоимость продукции | 9 | 139 | 110 | 104 | 100 | 110 | 100 | - | |
второй пусковой комплекс мощностью по проекту | Производительность труда | 6 | 80 | 92 | 100 | 100 | 93 | 100 | - |
Себестоимость продукции | 6 | 110 | 105 | 100 | 100 | 104 | 100 | - | |
более 40 млн. руб. в год: | |||||||||
первый пусковой комплекс мощностью по проекту | Производительность труда | 12 | 52 | 68 | 84 | 96 | 76 | 100 | - |
Себестоимость продукции | 12 | 139 | 120 | 108 | 102 | 113 | 100 | - | |
второй пусковой комплекс мощностью по проекту | Производительность труда | 8 | 72 | 88 | 96 | 100 | 90 | 100 | - |
Себестоимость продукции | 8 | 117 | 109 | 102 | 100 | 104 | 100 | - | |
третьей группы сложности мощностью: | |||||||||
до 20 млн. руб. в год | Производительность труда | 5 | 60 | 92 | 100 | 100 | 88 | 100 | - |
Себестоимость продукции | 5 | 129 | 104 | 100 | 100 | 106 | 100 | - | |
до 40 млн. руб. в год: | |||||||||
первый пусковой комплекс мощностью по проекту | Производительность труда | 6 | 56 | 92 | 100 | 100 | 87 | 100 | - |
Себестоимость продукции | 6 | 137 | 104 | 100 | 100 | 107 | 100 | - | |
второй пусковой комплекс мощностью по проекту | Производительность труда | 4 | 72 | 100 | 100 | 100 | 93 | 100 | - |
Себестоимость продукции | 4 | 118 | 100 | 100 | 100 | 104 | 100 | - | |
более 40 млн. руб. в год: | |||||||||
первый пусковой комплекс мощностью по проекту | Производительность труда | 7 | 56 | 83 | 100 | 100 | 85 | 100 | - |
Себестоимость продукции | 7 | 144 | 106 | 100 | 100 | 108 | 100 | - | |
второй пусковой комплекс мощностью по проекту | Производительность труда | 5 | 78 | 96 | 100 | 100 | 88 | 100 | - |
Себестоимость продукции | 5 | 113 | 102 | 100 | 100 | 104 | 100 | - | |
приборов для измерения механических величин: | |||||||||
первой группы сложности мощностью: | |||||||||
до 20 млн. руб. в год | Производительность труда | 10 | 52 | 76 | 92 | 100 | 80 | 100 | - |
Себестоимость продукции | 10 | 135 | 115 | 105 | 100 | 111 | 100 | - | |
до 40 млн. руб. в год: | |||||||||
первый пусковой комплекс мощностью по проекту | Производительность труда | 15 | 48 | 64 | 80 | 92 | 71 | 99 | 100 |
Себестоимость продукции | 15 | 149 | 130 | 112 | 107 | 121 | 102 | 100 | |
второй пусковой комплекс мощностью по проекту | Производительность труда | 10 | 76 | 84 | 92 | 100 | 88 | 100 | - |
Себестоимость продукции | 10 | 112 | 107 | 103 | 100 | 105 | 100 | - | |
более 40 млн. руб. в год: | |||||||||
первый пусковой комплекс мощностью по проекту | Производительность труда | 15 | 40 | 56 | 76 | 88 | 65 | 99 | 100 |
Себестоимость продукции | 15 | 158 | 136 | 115 | 107 | 124 | 102 | 100 | |
второй пусковой комплекс мощностью по проекту | Производительность труда | 12 | 75 | 80 | 89 | 100 | 86 | 100 | - |
Себестоимость продукции | 12 | 115 | 109 | 104 | 100 | 106 | 100 | - | |
второй группы сложности мощностью: | |||||||||
до 20 млн. руб. в год | Производительность труда | 8 | 52 | 84 | 96 | 100 | 83 | 100 | - |
Себестоимость продукции | 8 | 139 | 108 | 102 | 100 | 109 | 100 | - | |
до 40 млн. руб. в год: | |||||||||
первый пусковой комплекс мощностью по проекту | Производительность труда | 9 | 52 | 80 | 92 | 100 | 81 | 100 | - |
Себестоимость продукции | 9 | 139 | 110 | 104 | 100 | 110 | 100 | - | |
второй пусковой комплекс мощностью по проекту | Производительность труда | 6 | 80 | 92 | 100 | 100 | 93 | 100 | - |
Себестоимость продукции | 6 | 110 | 105 | 100 | 100 | 104 | 100 | - | |
более 40 млн. руб. в год: | |||||||||
первый пусковой комплекс мощностью по проекту | Производительность труда | 12 | 52 | 68 | 84 | 96 | 76 | 100 | - |
Себестоимость продукции | 12 | 139 | 120 | 108 | 102 | 113 | 100 | - | |
второй пусковой комплекс мощностью по проекту | Производительность труда | 8 | 77 | 88 | 96 | 100 | 90 | 100 | - |
Себестоимость продукции | 8 | 117 | 109 | 102 | 100 | 104 | 100 | - | |
средств механизации и автоматизации управленческого и инженерно-технического труда: | |||||||||
первой группы сложности мощностью: | |||||||||
до 20 млн. руб. в год | Производительность труда | 10 | 52 | 76 | 92 | 100 | 80 | 100 | - |
Себестоимость продукции | 10 | 135 | 115 | 105 | 100 | 111 | 100 | - | |
до 40 млн. руб. в год: | |||||||||
первый пусковой комплекс мощностью по проекту | Производительность труда | 15 | 48 | 64 | 80 | 92 | 71 | 99 | 100 |
Себестоимость продукции | 15 | 149 | 130 | 112 | 107 | 121 | 102 | 100 | |
второй пусковой комплекс мощностью по проекту | Производительность труда | 10 | 76 | 84 | 92 | 100 | 88 | 100 | - |
Себестоимость продукции | 10 | 112 | 107 | 103 | 100 | 105 | 100 | - | |
более 40 млн. руб. в год: | |||||||||
первый пусковой комплекс мощностью по проекту | Производительность труда | 15 | 40 | 56 | 76 | 88 | 65 | 99 | 100 |
Себестоимость продукции | 15 | 158 | 136 | 115 | 107 | 124 | 102 | 100 | |
второй пусковой комплекс мощностью по проекту | Производительность труда | 12 | 75 | 80 | 89 | 100 | 86 | 100 | - |
Себестоимость продукции | 12 | 115 | 109 | 104 | 100 | 106 | 100 | - | |
третьей группы сложности мощностью: | |||||||||
до 20 млн. руб. в год | Производительность труда | 5 | 60 | 92 | 100 | 100 | 88 | 100 | - |
Себестоимость продукции | 5 | 129 | 104 | 100 | 100 | 106 | 100 | - | |
до 40 млн. руб. в год: | |||||||||
первый пусковой комплекс мощностью по проекту | Производительность труда | 6 | 56 | 92 | 100 | 100 | 87 | 100 | - |
Себестоимость продукции | 6 | 137 | 104 | 100 | 100 | 107 | 100 | - | |
второй пусковой комплекс мощностью по проекту | Производительность труда | 4 | 72 | 100 | 100 | 100 | 93 | 100 | - |
Себестоимость продукции | 4 | 118 | 100 | 100 | 100 | 104 | 100 | - | |
более 40 млн. руб. в год: | |||||||||
первый пусковой комплекс мощностью по проекту | Производительность труда | 7 | 52 | 88 | 100 | 100 | 85 | 100 | - |
Себестоимость продукции | 7 | 144 | 106 | 100 | 100 | 108 | 100 | - | |
второй пусковой комплекс мощностью по проекту | Производительность труда | 5 | 78 | 96 | 100 | 100 | 88 | 100 | - |
Себестоимость продукции | 5 | 113 | 102 | 100 | 100 | 104 | 100 | - | |
приборов для научных исследований мощностью: | |||||||||
до 20 млн. руб. в год | Производительность труда | 10 | 52 | 76 | 92 | 100 | 80 | 100 | - |
Себестоимость продукции | 10 | 135 | 115 | 105 | 100 | 111 | 100 | - | |
до 40 млн. руб. в год: | |||||||||
первый пусковой комплекс мощностью по проекту | Производительность труда | 15 | 48 | 64 | 80 | 92 | 71 | 99 | 100 |
Себестоимость продукции | 15 | 149 | 130 | 112 | 107 | 121 | 102 | 100 | |
второй пусковой комплекс мощностью по проекту | Производительность труда | 10 | 76 | 84 | 92 | 100 | 88 | 100 | - |
Себестоимость продукции | 10 | 112 | 107 | 103 | 100 | 105 | 100 | - | |
более 40 млн. руб. в год: | |||||||||
первый пусковой комплекс мощностью по проекту | Производительность труда | 15 | 40 | 56 | 76 | 88 | 65 | 99 | 100 |
Себестоимость продукции | 15 | 158 | 136 | 115 | 107 | 124 | 102 | 100 | |
второй пусковой комплекс мощностью по проекту | Производительность труда | 12 | 75 | 80 | 89 | 100 | 86 | 100 | - |
Себестоимость продукции | 12 | 115 | 109 | 104 | 100 | 106 | 100 | - | |
Предприятия (объекты) по производству: бриллиантов и выращиванию кристаллов мощностью: | |||||||||
до 35 млн. руб. в год | Производительность труда | 10 | 52 | 76 | 92 | 100 | 80 | 100 | - |
Себестоимость продукции | 10 | 135 | 115 | 105 | 100 | 111 | 100 | - | |
до 70 млн. руб. в год: | |||||||||
первый пусковой комплекс мощностью по проекту | Производительность труда | 15 | 48 | 64 | 80 | 92 | 71 | 99 | 100 |
Себестоимость продукции | 15 | 149 | 130 | 112 | 107 | 121 | 102 | 100 | |
второй пусковой комплекс мощностью по проекту | Производительность труда | 10 | 72 | 84 | 92 | 100 | 87 | 100 | - |
Себестоимость продукции | 10 | 112 | 107 | 103 | 100 | 105 | 100 | - | |
изделий ювелирной промышленности мощностью: | |||||||||
до 20 млн. руб. в год | Производительность труда | 5 | 60 | 92 | 100 | 100 | 88 | 100 | - |
Себестоимость продукции | 5 | 129 | 104 | 100 | 100 | 106 | 100 | - | |
до 40 млн. руб. в год: | |||||||||
первый пусковой комплекс мощностью по проекту | Производительность труда | 6 | 56 | 92 | 100 | 100 | 87 | 100 | - |
Себестоимость продукции | 6 | 137 | 104 | 100 | 100 | 107 | 100 | - | |
второй пусковой комплекс мощностью по проекту | Производительность труда | 4 | 72 | 100 | 100 | 100 | 93 | 100 | - |
Себестоимость продукции | 4 | 118 | 100 | 100 | 100 | 104 | 100 | - | |
изделий часовой промышленности: | |||||||||
первой группы сложности мощностью: | |||||||||
до 20 млн. руб. в год | Производительность труда | 10 | 52 | 76 | 92 | 100 | 80 | 100 | - |
Себестоимость продукции | 10 | 135 | 115 | 105 | 100 | 111 | 100 | - | |
до 40 млн. руб. в год: | |||||||||
первый пусковой комплекс мощностью по проекту | Производительность труда | 12 | 52 | 68 | 84 | 100 | 76 | 100 | - |
Себестоимость продукции | 12 | 136 | 118 | 109 | 100 | 113 | 100 | - | |
второй пусковой комплекс мощностью по проекту | Производительность труда | 9 | 79 | 91 | 97 | 100 | 92 | 100 | - |
Себестоимость продукции | 9 | 110 | 104 | 101 | 100 | 103 | 100 | - | |
более 40 млн. руб. в год: | |||||||||
первый пусковой комплекс мощностью по проекту | Производительность труда | 15 | 40 | 56 | 76 | 88 | 65 | 99 | 100 |
Себестоимость продукции | 15 | 158 | 136 | 115 | 107 | 124 | 102 | 100 | |
второй пусковой комплекс мощностью по проекту | Производительность труда | 12 | 75 | 80 | 89 | 100 | 86 | 100 | - |
Себестоимость продукции | 12 | 115 | 109 | 104 | 100 | 106 | 100 | - | |
второй группы сложности мощностью: | |||||||||
до 20 млн. руб. в год | Производительность труда | 8 | 52 | 84 | 96 | 100 | 83 | 100 | - |
Себестоимость продукции | 8 | 139 | 108 | 102 | 100 | 109 | 100 | - | |
до 40 млн. руб. в год: | |||||||||
первый пусковой комплекс мощностью по проекту | Производительность труда | 9 | 52 | 80 | 92 | 100 | 81 | 100 | - |
Себестоимость продукции | 9 | 139 | 110 | 104 | 100 | 110 | 100 | - | |
второй пусковой комплекс мощностью по проекту | Производительность труда | 6 | 80 | 92 | 100 | 100 | 93 | 100 | - |
Себестоимость продукции | 6 | 110 | 105 | 100 | 100 | 104 | 100 | - | |
более 40 млн. руб. в год: | |||||||||
первый пусковой комплекс мощностью по проекту | Производительность труда | 12 | 52 | 68 | 84 | 96 | 76 | 100 | - |
Себестоимость продукции | 12 | 139 | 120 | 108 | 102 | 113 | 100 | - | |
второй пусковой комплекс мощностью по проекту | Производительность труда | 8 | 72 | 88 | 96 | 100 | 90 | 100 | - |
Себестоимость продукции | 8 | 117 | 109 | 102 | 100 | 104 | 100 | - | |
технического обслуживания и ремонта продукции отрасли мощностью до 10 млн. руб. в год | Производительность труда | 5 | 60 | 92 | 100 | 100 | 88 | 100 | - |
Себестоимость продукции | 5 | 129 | 104 | 100 | 100 | 106 | 100 | - | |
специального технологического оборудования и приборов для производства микроэлектроники мощностью до 30 млн. руб. в год | Производительность труда | 21 | 44 | 52 | 64 | 76 | 58 | 95 | 100 |
Себестоимость продукции | 21 | 196 | 182 | 142 | 124 | 157 | 104 | 100 | |
Специализированные комплексы (цехи) по производству: | |||||||||
изделий из пластмасс, футляров, крепежа, разъемов, оснастки нестандартизированного оборудования мощностью до 20 млн. руб. в год | Производительность труда | 5 | 60 | 92 | 100 | 100 | 88 | 100 | - |
Себестоимость продукции | 5 | 129 | 104 | 100 | 100 | 106 | 100 | - | |
плат печатного монтажа мощностью до 20 млн. руб. в год | Производительность труда | 12 | 52 | 68 | 84 | 96 | 76 | 100 | - |
Себестоимость продукции | 12 | 163 | 132 | 113 | 102 | 122 | 100 | - | |
изделий и узлов микроэлектроники мощностью до 40 млн. руб. в год | Производительность труда | 21 | 40 | 52 | 64 | 76 | 58 | 95 | 100 |
Себестоимость продукции | 21 | 216 | 169 | 142 | 124 | 156 | 103 | 100 | |
оптических деталей, трансформаторов, нормализованных деталей и узлов, специализированного инструмента и оснастки, литья чугунного, литья стального, литья цветного, поковок и горячих штамповок, унифицированных типовых конструкций ГСП мощностью до 20 млн. руб. в год | Производительность труда | 8 | 52 | 84 | 96 | 100 | 83 | 100 | - |
Себестоимость продукции | 8 | 169 | 114 | 103 | 100 | 114 | 100 | - | |
Наименование и характеристика предприятий, производств, цехов и их мощность | Норма продолжительности освоения проектной мощности в месяцах | Уровень освоения проектной мощности в % на конец квартала или года (если норма продолжительности освоения более года) работы предприятий | Объем производства продукции (переработки или добычи сырья) в % от годовой проектной мощности | |||||
первого | второго | третьего | четвертого | в первый год работы | во второй год работы | в третий год работы | ||
Автомобильный завод грузовых автомобилей грузоподъемностью до 4 т без производства двигателей и коробок передач мощностью 100 тыс. шт. в год | 15 | 90 | 100 (на конец второго месяца) | - | - | 75 | 95 | 100 |
Завод по производству автомобильных прицепов грузоподъемностью до 2,5 т мощностью свыше 100 тыс. шт. в год | 9 | 70 | 90 | 100 (на конец второго месяца) | - | 85 | 100 | - |
Завод по производству автомобильных и мотоциклетных двигателей (бензиновых и дизельных) и коробок передач мощностью 100 - 630 л. с., мощностью от 250 до 400 тыс. шт. в год, в том числе: | 15 | 90 | 100 (на конец второго месяца) | - | - | 75 | 95 | 100 |
первый пусковой комплекс мощностью от 125 до 200 тыс. шт. в год | ||||||||
второй пусковой комплекс мощностью от 125 до 200 тыс. шт. в год | 12 | 65 | 80 | 90 | 100 (на конец второго месяца) | 80 | 100 | - |
Завод по производству автомобильных деталей, узлов и агрегатов мощностью от 40 до 100 млн. руб. продукции в год | 12 | 65 | 80 | 90 | 100 (на конец второго месяца) | 80 | 100 | - |
Заводы по производству автоэлектрооборудования и приборов без кузнечных цехов мощностью свыше 100 млн. руб. продукции в год | 12 | 65 | 80 | 90 | 100 (на конец второго месяца) | 80 | 100 | - |
Велосипедный завод без литейных и кузнечных цехов мощностью 600 тыс. шт. в год | 5 | 85 | 100 (на конец второго месяца) | - | - | 90 | 100 | - |
Заводы подшипниковые мощностью до 100 млн. шт. в год, в том числе: | ||||||||
первый пусковой комплекс мощностью 60 млн. шт. в год | 12 | 65 | 80 | 90 | 100 (на конец второго месяца) | 80 | 100 | - |
второй пусковой комплекс мощностью 40 млн. шт. в год | 9 | 70 | 90 | 100 (на конец второго месяца) | - | 85 | 100 | - |
Наименование и характеристика предприятий, производств, цехов и их мощность | Наименование экономических показателей | Норма продолжительности освоения в месяцах | Средний уровень освоения проектируемого экономического показателя в % | ||||||
в первый год работы | во второй год работы | в третий год работы | |||||||
кварталы | за год | ||||||||
I | II | III | IV | ||||||
Автомобильный завод грузовых автомобилей грузоподъемностью до 4 т без производства двигателей и коробок передач мощностью 100 тыс. шт. в год | Производительность труда | 15 | - | - | - | - | 75 | 95 | 100 |
Себестоимость продукции | 15 | - | - | - | - | 111 | 100 | - | |
Завод по производству автомобильных прицепов грузоподъемностью до 2,5 т мощностью свыше 100 тыс. шт. в год | Производительность труда | 9 | 62 | 85 | 95 | 100 | 85 | 100 | - |
Себестоимость продукции | 9 | 115 | 106 | 101 | 100 | 105 | 100 | - | |
Завод по производству автомобильных и мотоциклетных двигателей (бензиновых и дизельных) и коробок передач мощностью 100 - 630 л. с., мощностью от 250 до 400 тыс. шт. в год, в том числе: | |||||||||
первый пусковой комплекс мощностью от 125 до 200 тыс. шт. в год | Производительность труда | 15 | - | - | - | - | 75 | 95 | 100 |
Себестоимость продукции | 15 | - | - | - | - | 111 | 100 | - | |
второй пусковой комплекс мощностью от 125 до 200 тыс. шт. в год | Производительность труда | 12 | 60 | 75 | 86 | 96 | 80 | 100 | - |
Себестоимость продукции | 12 | 116 | 109 | 104 | 101 | 107 | 100 | - | |
Завод по производству автомобильных деталей, узлов и агрегатов мощностью от 40 до 100 млн. руб. продукции в год | Производительность труда | 12 | 60 | 75 | 86 | 96 | 80 | 100 | - |
Себестоимость продукции | 12 | 116 | 109 | 104 | 101 | 107 | 100 | - | |
Заводы по производству автоэлектрооборудования и приборов без кузнечных цехов мощностью свыше 100 млн. руб. продукции в год | Производительность труда | 12 | 60 | 75 | 86 | 96 | 80 | 100 | - |
Себестоимость продукции | 12 | 116 | 109 | 104 | 101 | 107 | 100 | - | |
Велосипедный завод без литейных и кузнечных цехов мощностью 600 тыс. шт. в год | Производительность труда | 5 | 75 | 92 | 100 | 100 | 90 | 100 | - |
Себестоимость продукции | 5 | 106 | 100 | 100 | 100 | 101 | 100 | - | |
Заводы подшипниковые мощностью до 100 млн. шт. в год, в том числе: | |||||||||
первый пусковой комплекс мощностью 60 млн. шт. в год | Производительность труда | 12 | 60 | 75 | 86 | 96 | 80 | 100 | - |
Себестоимость продукции | 12 | 123 | 113 | 106 | 101 | 109 | 100 | - | |
второй пусковой комплекс мощностью 40 млн. шт. в год | Производительность труда | 9 | 62 | 85 | 95 | 100 | 85 | 100 | - |
Себестоимость продукции | 9 | 120 | 109 | 102 | 100 | 106 | 100 | - | |
Наименование и характеристика предприятий, производств, цехов и их мощность | Норма продолжительности освоения проектной мощности в месяцах | Уровень освоения проектной мощности в % на конец квартала или года (если норма продолжительности освоения более года) работы предприятий | Объем производства продукции (переработки или добычи сырья) в % от годовой проектной мощности | |||||
первого | второго | третьего | четвертого | в первый год работы | во второй год работы | в третий год работы | ||
Предприятия первой группы сложности | ||||||||
Завод сельхозмашин по выпуску простых машин (плуги, бороны, культиваторы и т.д.) мощностью по проекту: | ||||||||
первый пусковой комплекс | 6 | 80 | 100 (на конец второго месяца) | - | - | 90 | 100 | - |
второй пусковой комплекс | 3 | 100 (на конец второго месяца) | - | - | - | 97 | 100 | - |
Предприятия второй группы сложности | ||||||||
Завод сельхозмашин по выпуску сложных машин (типа зерноуборочных комбайнов) мощностью по проекту | 12 | 60 | 75 | 90 | 100 (на конец второго месяца) | 75 | 100 | - |
Агрегатные заводы по выпуску водяных и масляных насосов к тракторным и комбайновым двигателям, водяных и масляных радиаторов, муфт сцепления и др. мощностью по проекту | 9 | 72 | 89 | 100 (на конец второго месяца) | - | 85 | 100 | - |
Специализированные заводы по выпуску гильз, поршней, поршневых пальцев, осей, катков, пальцев звеньев гусениц, клапанов, коромысел, толкателей тракторных двигателей мощностью по проекту | 9 | 72 | 89 | 100 (на конец второго месяца) | - | 85 | 100 | - |
Предприятия третьей группы сложности | ||||||||
Заводы по выпуску тракторов класса 0,6 - 1,4 т тяги мощностью по проекту | 12 | 60 | 75 | 90 | 100 (на конец второго месяца) | 75 | 100 | - |
Заводы по выпуску тракторов класса 3 - 4 т тяги мощностью по проекту | 13 | 100 | - | - | - | 75 | 100 | - |
Заводы по выпуску тракторов класса 5 - 10 т тяги и выше мощностью по проекту: | ||||||||
первый пусковой комплекс | 18 | 86 | 100 (на конец пятого месяца) | - | - | 66 | 98 | 100 |
второй пусковой комплекс | 12 | 60 | 75 | 90 | 100 (на конец второго месяца) | 75 | 100 | - |
Заводы по выпуску двигателей к тракторам и комбайнам мощностью по проекту | 15 | 96 | 100 (на конец второго месяца) | - | - | 70 | 99 | 100 |
Агрегатные заводы по выпуску топливных насосов, пусковых двигателей и других агрегатов мощностью по проекту | 12 | 60 | 75 | 90 | 100 (на конец второго месяца) | 75 | 100 | - |
Специализированные заводы по выпуску блоков, головок блока, коленчатых валов, шатунов и корпусных деталей мощностью по проекту | 13 | 100 | - | - | - | 75 | 100 | - |
Механические цехи мощностью по проекту: | ||||||||
цехи по обработке деталей первой группы сложности | 6 | 80 | 100 (на конец второго месяца) | - | - | 90 | 100 | - |
цехи по обработке деталей второй группы сложности | 9 | 72 | 89 | 100 (на конец второго месяца) | - | 85 | 100 | - |
Цехи или отделения по сборке тракторов, двигателей, комбайнов и других сельхозмашин мощностью по проекту | 6 | 80 | 100 (на конец второго месяца) | - | - | 90 | 100 | - |
Примечание. Нормы установлены для предприятий со следующими уровнями кооперирования: для предприятий по производству двигателей и тракторов - от 30 до 45%, для предприятий по производству агрегатов для тракторов и сельскохозяйственного машиностроения - 15%. В случае отклонения уровней кооперирования от указанных нормы продолжительности освоения проектных мощностей уменьшаются: | ||||||||
для предприятий по производству агрегатов для тракторов и сельскохозяйственного машиностроения при уровне кооперирования от 15 до 30% - на 10%; | ||||||||
для предприятий по производству агрегатов для тракторов и сельскохозяйственного машиностроения при уровне кооперирования от 30 до 45% и для предприятий по производству двигателей и тракторов при уровне кооперирования от 45 до 60% - на 20%; | ||||||||
для предприятий по производству тракторов при уровне кооперирования от 60 до 70% и для предприятий по производству агрегатов при уровне кооперирования от 45 до 60% - на 30%. | ||||||||
Наименование и характеристика предприятий, производств, цехов и их мощность | Наименование экономических показателей | Норма продолжительности освоения в месяцах | Средний уровень освоения проектируемого экономического показателя в % | ||||||
в первый год работы | во второй год работы | в третий год работы | |||||||
кварталы | за год | ||||||||
I | II | III | IV | ||||||
Предприятия первой группы сложности | |||||||||
Завод сельхозмашин по выпуску простых машин (плуги, бороны, культиваторы и т.д.) мощностью по проекту: | |||||||||
первый пусковой комплекс | Производительность труда | 6 | 62 | 90 | 100 | 100 | 90 | 100 | - |
Себестоимость продукции | 6 | 108 | 101 | 100 | 100 | 102 | 100 | - | |
второй пусковой комплекс | Производительность труда | 3 | 72 | 100 | 100 | 100 | 97 | 100 | - |
Себестоимость продукции | 3 | 106 | 100 | 100 | 100 | 101 | 100 | - | |
Предприятия второй группы сложности | |||||||||
Завод сельхозмашин по выпуску сложных машин (типа зерноуборочных комбайнов) мощностью по проекту | Производительность труда | 12 | 52 | 67 | 82 | 95 | 75 | 100 | - |
Себестоимость продукции | 12 | 122 | 112 | 103 | 100 | 109 | 100 | - | |
Агрегатные заводы по выпуску водяных и масляных насосов к тракторным и комбайновым двигателям, водяных и масляных радиаторов, муфт сцепления и др. мощностью по проекту | Производительность труда | 9 | 59 | 80 | 92 | 100 | 85 | 100 | - |
Себестоимость продукции | 9 | 116 | 106 | 102 | 100 | 106 | 100 | - | |
Специализированные заводы по выпуску гильз, поршней, поршневых пальцев, осей, катков, пальцев звеньев гусениц, клапанов, коромысел, толкателей тракторных двигателей мощностью по проекту | Производительность труда | 9 | 59 | 80 | 92 | 100 | 85 | 100 | - |
Себестоимость продукции | 9 | 116 | 106 | 102 | 100 | 106 | 100 | - | |
Предприятия третьей группы сложности | |||||||||
Заводы по выпуску тракторов класса 0,6 - 1,4 т тяги мощностью по проекту | Производительность труда | 12 | 52 | 67 | 82 | 95 | 75 | 100 | - |
Себестоимость продукции | 12 | 122 | 112 | 103 | 100 | 109 | 100 | - | |
Заводы по выпуску тракторов класса 3 - 4 т тяги мощностью по проекту | Производительность труда | 13 | - | - | - | - | 76 | 100 | - |
Себестоимость продукции | 13 | - | - | - | - | 105 | 100 | - | |
Заводы по выпуску тракторов класса 5 - 10 т тяги и выше мощностью по проекту: | |||||||||
первый пусковой комплекс | Производительность труда | 18 | - | - | - | - | 66 | 98 | - |
Себестоимость продукции | 18 | - | - | - | - | 113 | 100 | 100 | |
второй пусковой комплекс | Производительность труда | 12 | 52 | 67 | 82 | 95 | 75 | 100 | - |
Себестоимость продукции | 12 | 122 | 112 | 103 | 100 | 109 | 100 | - | |
Заводы по выпуску двигателей к тракторам и комбайнам мощностью по проекту | Производительность труда | 15 | - | - | - | - | 70 | 99 | - |
Себестоимость продукций | 15 | - | - | - | - | 111 | 100 | 100 | |
Агрегатные заводы по выпуску топливных насосов, пусковых двигателей и других агрегатов мощностью по проекту | Производительность труда | 12 | 52 | 67 | 82 | 95 | 75 | 100 | - |
Себестоимость продукции | 12 | 116 | 109 | 102 | 100 | 107 | 100 | - | |
Специализированные заводы по выпуску блоков, головок блока, коленчатых валов, шатунов и корпусных деталей мощностью по проекту | Производительность труда | 13 | - | - | - | - | 76 | 100 | - |
Себестоимость продукции | 13 | - | - | - | - | 105 | 100 | - | |
Механические цехи мощностью по проекту: | |||||||||
цехи по обработке деталей первой группы сложности | Производительность труда | 6 | 62 | 90 | 100 | 100 | 90 | 100 | - |
Себестоимость продукции | 6 | 111 | 105 | 100 | 100 | 102 | 100 | - | |
цехи по обработке деталей второй группы сложности | Производительность труда | 9 | 59 | 80 | 92 | 100 | 85 | 100 | - |
Себестоимость продукции | 9 | 120 | 109 | 102 | 100 | 106 | 100 | - | |
Цехи или отделения по сборке тракторов, двигателей, комбайнов и других сельхозмашин мощностью по проекту | Производительность труда | 6 | 62 | 90 | 100 | 100 | 90 | 100 | - |
Себестоимость продукции | 6 | 108 | 103 | 100 | 100 | 102 | 100 | - | |
Наименование и характеристика предприятий, производств, цехов и их мощность | Норма продолжительности освоения проектной мощности в месяцах | Уровень освоения проектной мощности в % на конец квартала или года (если норма продолжительности освоения более года) работы предприятий | Объем производства продукции (переработки или добычи сырья) в % от годовой проектной мощности | |||||
первого | второго | третьего | четвертого | в первый год работы | во второй год работы | в третий год работы | ||
Предприятия по выпуску машин и оборудования для животноводства и кормопроизводства | ||||||||
Предприятия первой группы сложности | ||||||||
Заводы по производству простых машин, механизмов, оборудования (автопоилки, стойловое оборудование, транспортеры для уборки навоза, стационарные кормораздатчики, грабли) мощностью: | ||||||||
до 25 млн. руб. в год | 9 | 63 | 85 | 100 (на конец второго месяца) | - | 80 | 100 | - |
от 25 до 50 млн. руб. в год, в том числе: | ||||||||
первый пусковой комплекс мощностью по проекту | 5 | 91 | 100 (на конец первого месяца) | - | - | 94 | 100 | - |
второй пусковой комплекс мощностью по проекту | 3 | 100 (на конец второго месяца) | - | - | - | 97 | 100 | - |
третий пусковой комплекс мощностью по проекту | 3 | 100 (на конец второго месяца) | - | - | - | 97 | 100 | - |
от 50 до 100 млн. руб. в год, в том числе: | ||||||||
первый пусковой комплекс мощностью по проекту | 8 | 74 | 94 | 100 (на конец первого месяца) | - | 87 | 100 | - |
второй пусковой комплекс мощностью по проекту | 4 | 100 | - | - | - | 95 | 100 | - |
третий пусковой комплекс мощностью по проекту | 3 | 100 (на конец второго месяца) | - | - | - | 97 | 100 | - |
четвертый пусковой комплекс мощностью по проекту | 3 | 100 (на конец второго месяца) | - | - | - | 97 | 100 | - |
Предприятия второй группы сложности | ||||||||
Заводы по выпуску оборудования для содержания птицы, машин для внесения твердых и жидких удобрений, теплогенераторов, мобильных кормораздатчиков, пресс-подборщиков мощностью: | ||||||||
до 25 млн. руб. в год | 10 | 70 | 85 | 100 | - | 83 | 100 | - |
от 25 до 50 млн. руб. в год, в том числе: | ||||||||
первый пусковой комплекс мощностью по проекту | 6 | 70 | 100 (на конец второго месяца) | - | - | 85 | 100 | - |
второй пусковой комплекс мощностью по проекту | 4 | 100 | - | - | - | 95 | 100 | - |
третий пусковой комплекс мощностью по проекту | 3 | 100 (на конец второго месяца) | - | - | - | 97 | 100 | - |
от 50 до 100 млн. руб. в год, в том числе: | ||||||||
первый пусковой комплекс мощностью по проекту | 8 | 74 | 94 | 100 (на конец первого месяца) | - | 87 | 100 | - |
второй пусковой комплекс мощностью по проекту | 4 | 100 | - | - | - | 95 | 100 | - |
третий пусковой комплекс мощностью по проекту | 3 | 100 (на конец второго месяца) | - | - | - | 97 | 100 | - |
четвертый пусковой комплекс мощностью по проекту | 3 | 100 (на конец второго месяца) | - | - | - | 97 | 100 | - |
Предприятия третьей группы сложности | ||||||||
Заводы по выпуску самоходной кормоуборочной техники, комбикормовых цехов, экскаваторных самоходных погрузчиков, оборудования для приготовления витаминизированной травяной муки и термобарохимической обработки соломы мощностью: | ||||||||
от 50 до 100 млн. руб. в год, в том числе: | ||||||||
первый пусковой комплекс мощностью по проекту | 12 | 60 | 75 | 90 | 100 (на конец второго месяца) | 75 | 100 | - |
второй пусковой комплекс мощностью по проекту | 9 | 63 | 85 | 100 (на конец второго месяца) | - | 80 | 100 | - |
третий пусковой комплекс мощностью по проекту | 6 | 70 | 100 (на конец второго месяца) | - | - | 85 | 100 | - |
четвертый пусковой комплекс мощностью по проекту | 4 | 100 | - | - | - | 95 | 100 | - |
от 100 до 200 млн. руб. в год, в том числе: | ||||||||
первый пусковой комплекс мощностью по проекту | 12 | 60 | 75 | 90 | 100 (на конец второго месяца) | 75 | 100 | - |
второй пусковой комплекс мощностью по проекту | 9 | 63 | 85 | 100 (на конец второго месяца) | - | 80 | 100 | - |
третий пусковой комплекс мощностью по проекту | 6 | 70 | 100 (на конец второго месяца) | - | - | 85 | 100 | - |
четвертый пусковой комплекс мощностью по проекту | 4 | 100 | - | - | - | 95 | 100 | - |
пятый пусковой комплекс мощностью по проекту | 3 | 100 (на конец второго месяца) | - | - | - | 97 | 100 | - |
Предприятия по выпуску сборочных единиц к машинам и оборудованию для животноводства и кормопроизводства и технологической оснастки | ||||||||
Заводы по выпуску сборочных единиц кормоперерабатывающего оборудования (прессы, грануляторы, матрицы для гранулирования и брикетирования и т.п.) мощностью: | ||||||||
до 25 млн. руб. в год | 10 | 70 | 85 | 100 | - | 83 | 100 | - |
от 25 до 50 млн. руб. в год, в том числе: | ||||||||
первый пусковой комплекс мощностью по проекту | 5 | 91 | 100 (на конец первого месяца) | - | - | 94 | 100 | - |
второй пусковой комплекс мощностью по проекту | 2 | 100 | - | - | - | 99 | 100 | - |
третий пусковой комплекс мощностью по проекту | 2 | 100 | - | - | - | 99 | 100 | - |
Специализированные и агрегатные заводы по выпуску редукторов, пневмотормозной аппаратуры, насосов, гидроаппаратуры, технологической оснастки, инструмента и сложных корпусных деталей мощностью: | ||||||||
до 25 млн. руб. в год | 12 | 60 | 75 | 90 | 100 (на конец второго месяца) | 75 | 100 | - |
от 25 до 50 млн. руб. в год, в том числе: | ||||||||
первый пусковой комплекс мощностью по проекту | 7 | 82 | 100 | - | - | 91 | 100 | - |
второй пусковой комплекс мощностью по проекту | 5 | 91 | 100 (на конец первого месяца) | - | - | 94 | 100 | - |
третий пусковой комплекс мощностью по проекту | 3 | 100 (на конец второго месяца) | - | - | - | 97 | 100 | - |
Цехи | ||||||||
Механические цехи мощностью по проекту: | ||||||||
первой и второй групп сложности по обработке простых и средней сложности деталей | 5 | 91 | 100 (на конец первого месяца) | - | - | 94 | 100 | - |
третьей и четвертой групп сложности по обработке сложных и специализированных деталей | 8 | 74 | 94 | 100 (на конец первого месяца) | - | 87 | 100 | - |
Окрасочные цехи мощностью по проекту: | ||||||||
первой группы сложности без конвейера с напольной механизацией | 4 | 100 | - | - | - | 95 | 100 | - |
второй группы сложности с подвесными и напольными конвейерами, с централизованными приготовлением и раздачей краски и растворов | 6 | 70 | 100 (на конец второго месяца) | - | - | 85 | 100 | - |
третьей группы сложности с электрофорезом | 9 | 63 | 85 | 100 (на конец второго месяца) | - | 80 | 100 | - |
Гальванические цехи мощностью по проекту: | ||||||||
первой группы сложности со стационарными ваннами | 5 | 91 | 100 (на конец первого месяца) | - | - | 94 | 100 | - |
второй группы сложности с автоматическими линиями | 8 | 74 | 94 | 100 (на конец первого месяца) | - | 87 | 100 | - |
Сборочные цехи по сборке узлов и машин мощностью по проекту | 5 | 91 | 100 (на конец первого месяца) | - | - | 94 | 100 | - |
Сварочные цехи мощностью по проекту | 8 | 74 | 94 | 100 (на конец первого месяца) | - | 87 | 100 | - |
Заготовительно-прессовые цехи мощностью по проекту | 8 | 74 | 94 | 100 (на конец первого месяца) | - | 87 | 100 | - |
Цехи на базе гибких автоматизированных производств с применением промышленных роботов, станков с числовым программным управлением и обрабатывающих центров мощностью по проекту | 9 | 63 | 85 | 100 (на конец второго месяца) | - | 80 | 100 | - |
Наименование и характеристика предприятий, производств, цехов и их мощность | Наименование экономических показателей | Норма продолжительности освоения в месяцах | Средний уровень освоения проектируемого экономического показателя в % | ||||||
в первый год работы | во второй год работы | в третий год работы | |||||||
кварталы | за год | ||||||||
I | II | III | IV | ||||||
Предприятия по выпуску машин и оборудования для животноводства и кормопроизводства | |||||||||
Предприятия первой группы сложности | |||||||||
Заводы по производству простых машин, механизмов и оборудования (автопоилки, стойловое оборудование, транспортеры для уборки навоза, стационарные кормораздатчики, грабли) мощностью: | |||||||||
до 25 млн. руб. в год | Производительность труда | 9 | 52 | 74 | 93 | 100 | 80 | 100 | - |
Себестоимость продукции | 9 | 116 | 110 | 102 | 100 | 106 | 100 | - | |
от 25 до 50 млн. руб. в год, в том числе: | |||||||||
первый пусковой комплекс мощностью по проекту | Производительность труда | 5 | 85 | 99 | 100 | 100 | 96 | 100 | - |
Себестоимость продукции | 5 | 109 | 101 | 100 | 100 | 103 | 100 | - | |
второй пусковой комплекс мощностью по проекту | Производительность труда | 3 | 88 | 100 | 100 | 100 | 97 | 100 | - |
Себестоимость продукции | 3 | 108 | 101 | 100 | 100 | 102 | 100 | - | |
третий пусковой комплекс мощностью по проекту | Производительность труда | 3 | 88 | 100 | 100 | 100 | 97 | 100 | - |
Себестоимость продукции | 3 | 106 | 100 | 100 | 100 | 102 | 100 | - | |
от 50 до 100 млн. руб. в год, в том числе: | |||||||||
первый пусковой комплекс мощностью по проекту | Производительность труда | 8 | 70 | 88 | 99 | 100 | 89 | 100 | - |
Себестоимость продукции | 8 | 116 | 106 | 101 | 100 | 106 | 100 | - | |
второй пусковой комплекс мощностью по проекту | Производительность труда | 4 | 85 | 99 | 100 | 100 | 96 | 100 | - |
Себестоимость продукции | 4 | 108 | 101 | 100 | 100 | 102 | 100 | - | |
третий пусковой комплекс мощностью по проекту | Производительность труда | 3 | 88 | 100 | 100 | 100 | 97 | 100 | - |
Себестоимость продукции | 3 | 106 | 100 | 100 | 100 | 102 | 100 | - | |
четвертый пусковой комплекс мощностью по проекту | Производительность труда | 3 | 88 | 100 | 100 | 100 | 97 | 100 | - |
Себестоимость продукции | 3 | 106 | 100 | 100 | 100 | 102 | 100 | - | |
Предприятия второй группы сложности | |||||||||
Заводы по выпуску оборудования для содержания птицы, машин для внесения твердых и жидких удобрений, теплогенераторов, мобильных кормораздатчиков, пресс-подборщиков мощностью: | |||||||||
до 25 млн. руб. в год | Производительность труда | 10 | 63 | 78 | 93 | 100 | 83 | 100 | - |
Себестоимость продукции | 10 | 120 | 110 | 104 | 100 | 110 | 100 | - | |
от 25 до 50 млн. руб. в год, в том числе: | |||||||||
первый пусковой комплекс мощностью по проекту | Производительность труда | 6 | 55 | 85 | 100 | 100 | 85 | 100 | - |
Себестоимость продукции | 6 | 111 | 103 | 100 | 100 | 103 | 100 | - | |
второй пусковой комплекс мощностью по проекту | Производительность труда | 4 | 83 | 99 | 100 | 100 | 96 | 100 | - |
Себестоимость продукции | 4 | 110 | 101 | 100 | 100 | 103 | 100 | - | |
третий пусковой комплекс мощностью по проекту | Производительность труда | 3 | 88 | 100 | 100 | 100 | 97 | 100 | - |
Себестоимость продукции | 3 | 106 | 100 | 100 | 100 | 102 | 100 | - | |
от 50 до 100 млн. руб. в год, в том числе: | |||||||||
первый пусковой комплекс мощностью по проекту | Производительность труда | 8 | 70 | 88 | 99 | 100 | 89 | 100 | - |
Себестоимость продукции | 8 | 116 | 106 | 101 | 100 | 106 | 100 | - | |
второй пусковой комплекс мощностью по проекту | Производительность труда | 4 | 83 | 99 | 100 | 100 | 96 | 100 | - |
Себестоимость продукций | 4 | 110 | 101 | 100 | 100 | 103 | 100 | - | |
третий пусковой комплекс мощностью по проекту | Производительность труда | 3 | 88 | 100 | 100 | 100 | 97 | 100 | - |
Себестоимость продукции | 3 | 106 | 100 | 100 | 100 | 102 | 100 | - | |
четвертый пусковой комплекс мощностью по проекту | Производительность труда | 3 | 88 | 100 | 100 | 100 | 97 | 100 | - |
Себестоимость продукции | 3 | 106 | 100 | 100 | 100 | 102 | 100 | - | |
Предприятия третьей группы сложности | |||||||||
Заводы по выпуску самоходной кормоуборочной техники, комбикормовых цехов, экскаваторных самоходных погрузчиков, оборудования для приготовления витаминизированной травяной муки и термобарохимической обработки соломы мощностью: | |||||||||
от 50 до 100 млн. руб. в год, в том числе: | |||||||||
первый пусковой комплекс мощностью по проекту | Производительность труда | 12 | 52 | 68 | 84 | 95 | 75 | 100 | - |
Себестоимость продукции | 12 | 122 | 112 | 103 | 100 | 109 | 100 | - | |
второй пусковой комплекс мощностью по проекту | Производительность труда | 9 | 52 | 74 | 93 | 100 | 80 | 100 | - |
Себестоимость продукции | 9 | 116 | 110 | 102 | 100 | 106 | 100 | - | |
третий пусковой комплекс мощностью по проекту | Производительность труда | 6 | 55 | 85 | 100 | 100 | 85 | 100 | - |
Себестоимость продукции | 6 | 111 | 103 | 100 | 100 | 103 | 100 | - | |
четвертый пусковой комплекс мощностью по проекту | Производительность труда | 4 | 83 | 99 | 100 | 100 | 96 | 100 | - |
Себестоимость продукции | 4 | 110 | 101 | 100 | 100 | 103 | 100 | - | |
от 100 до 200 млн. руб. в год, в том числе: | |||||||||
первый пусковой комплекс мощностью по проекту | Производительность труда | 12 | 52 | 68 | 84 | 95 | 75 | 100 | - |
Себестоимость продукции | 12 | 122 | 112 | 103 | 100 | 109 | 100 | - | |
второй пусковой комплекс мощностью по проекту | Производительность труда | 9 | 52 | 74 | 93 | 100 | 80 | 100 | - |
Себестоимость продукции | 9 | 116 | 110 | 102 | 100 | 106 | 100 | - | |
третий пусковой комплекс мощностью по проекту | Производительность труда | 6 | 55 | 85 | 100 | 100 | 85 | 100 | - |
Себестоимость продукции | 6 | 111 | 103 | 100 | 100 | 103 | 100 | - | |
четвертый пусковой комплекс мощностью по проекту | Производительность труда | 4 | 83 | 99 | 100 | 100 | 96 | 100 | - |
Себестоимость продукции | 4 | 110 | 101 | 100 | 100 | 103 | 100 | - | |
пятый пусковой комплекс мощностью по проекту | Производительность труда | 3 | 88 | 100 | 100 | 100 | 97 | 100 | - |
Себестоимость продукции | 3 | 106 | 100 | 100 | 100 | 102 | 100 | - | |
Предприятия по выпуску сборочных единиц к машинам и оборудованию для животноводства и кормопроизводства и технологической оснастки | |||||||||
Заводы по выпуску сборочных единиц кормоперерабатывающего оборудования (прессы, грануляторы, матрицы для гранулирования и брикетирования и т.п.) мощностью: | |||||||||
до 25 млн. руб. в год | Производительность труда | 10 | 63 | 78 | 93 | 100 | 83 | 100 | - |
Себестоимость продукции | 10 | 120 | 110 | 104 | 100 | 110 | 100 | - | |
от 25 до 50 млн. руб. в год, в том числе: | |||||||||
первый пусковой комплекс мощностью по проекту | Производительность труда | 5 | 85 | 99 | 100 | 100 | 96 | 100 | - |
Себестоимость продукции | 5 | 109 | 101 | 100 | 100 | 99 | 100 | - | |
второй пусковой комплекс мощностью по проекту | Производительность труда | 2 | 94 | 100 | 100 | 100 | 99 | 100 | - |
Себестоимость продукции | 2 | 105 | 100 | 100 | 100 | 101 | 100 | - | |
третий пусковой комплекс мощностью по проекту | Производительность труда | 2 | 94 | 100 | 100 | 100 | 99 | 100 | - |
Себестоимость продукции | 2 | 105 | 100 | 100 | 100 | 101 | 100 | - | |
Специализированные и агрегатные заводы по выпуску редукторов, пневмотормозной аппаратуры, насосов, гидроаппаратуры, технологической оснастки, инструмента и сложных корпусных деталей мощностью: | |||||||||
до 25 млн. руб. в год | Производительность труда | 12 | 52 | 68 | 84 | 95 | 75 | 100 | - |
Себестоимость продукции | 12 | 122 | 112 | 103 | 100 | 109 | 100 | - | |
от 25 до 50 млн. руб. в год, в том числе: | |||||||||
первый пусковой комплекс мощностью по проекту | Производительность труда | 7 | 80 | 95 | 100 | 100 | 94 | 100 | - |
Себестоимость продукции | 7 | 112 | 104 | 100 | 100 | 104 | 100 | - | |
второй пусковой комплекс мощностью по проекту | Производительность труда | 5 | 85 | 99 | 100 | 100 | 96 | 100 | - |
Себестоимость продукции | 5 | 109 | 101 | 100 | 100 | 103 | 100 | - | |
третий пусковой комплекс мощностью по проекту | Производительность труда | 3 | 88 | 100 | 100 | 100 | 97 | 100 | - |
Себестоимость продукции | 3 | 106 | 100 | 100 | 100 | 102 | 100 | - | |
Наименование и характеристика предприятий, производств, цехов и их мощность | Норма продолжительности освоения проектной мощности в месяцах | Уровень освоения проектной мощности в % на конец квартала или года (если норма продолжительности освоения более года) работы предприятий | Объем производства продукции (переработки или добычи сырья) в % от годовой проектной мощности | |||||
первого | второго | третьего | четвертого | в первый год работы | во второй год работы | в третий год работы | ||
Заводы по производству строительных, дорожных и коммунальных машин на базе тракторов и автомобилей (экскаваторы, краны автомобильные, автобашенные краны, автобетонораствороцементовозы, автобетоносмесители, погрузчики, трубоукладчики, бульдозеры, скреперы, снегоочистители, мелиоративные и лесозаготовительные машины, машины для уборки и санитарной очистки городов, пожарные машины и т.п.) мощностью: | ||||||||
до 100 тыс. т в год | 12 | 64 | 74 | 86 | 100 (на конец второго месяца) | 77 | 100 | - |
до 150 тыс. т в год | 15 | 89 | 100 (на конец первого месяца) | - | - | 72 | 99 | 100 |
Заводы по производству самоходных, строительных, дорожных и коммунальных машин на спецшасси, пневмоколесном и гусеничном ходу (экскаваторы, краны, погрузчики, автогрейдеры, бульдозеры, скреперы, комплекты машин для приготовления и укладки бетонных смесей) мощностью: | ||||||||
до 50 тыс. т в год | 12 | 64 | 74 | 86 | 100 (на конец второго месяца) | 77 | 100 | - |
до 100 тыс. т в год | 15 | 89 | 100 (на конец первого месяца) | - | - | 72 | 99 | 100 |
до 300 тыс. т в год | 18 | 82 | 100 (на конец четвертого месяца) | - | - | 69 | 96 | 100 |
Заводы по производству строительных машин, навесного оборудования, пневмотранспорта, машин и оборудования для промышленности строительных материалов, цементной промышленности строительных материалов, цементной промышленности сборного железобетона мощностью: | ||||||||
до 50 тыс. т в год | 12 | 64 | 74 | 86 | 100 (на конец второго месяца) | 77 | 100 | - |
до 150 тыс. т в год | 15 | 89 | 100 (на конец первого месяца) | - | - | 72 | 99 | 100 |
Заводы по производству оборудования для прачечных и предприятий химчистки, противопожарного оборудования, грузовых и пассажирских лифтов и т.п. мощностью: | ||||||||
до 50 тыс. т в год | 12 | 64 | 74 | 86 | 100 (на конец второго месяца) | 77 | 100 | - |
до 100 тыс. т в год | 15 | 89 | 100 (на конец первого месяца) | - | - | 72 | 99 | 100 |
Заводы по производству оборудования для кондиционирования воздуха и вентиляции (кондиционеры центральные и бытовые, автономные и неавтономные, транспортные, вентиляторы общепромышленного назначения, калориферы и т.п.) мощностью: | ||||||||
до 50 тыс. т в год | 12 | 64 | 74 | 86 | 100 (на конец второго месяца) | 77 | 100 | - |
до 100 тыс. т в год | 15 | 89 | 100 (на конец первого месяца) | - | - | 72 | 99 | 100 |
Заводы по производству строительно-монтажного механизированного инструмента (МИ) и строительно-отделочных машин (СОМ) мощностью: | ||||||||
до 10 тыс. т в год (МИ) | 12 | 64 | 74 | 86 | 100 (на конец второго месяца) | 77 | 100 | - |
до 20 тыс. т в год (СОМ) | 9 | 67 | 82 | 100 (на конец второго месяца) | - | 83 | 100 | - |
до 40 тыс. т в год (СОМ) | 12 | 64 | 74 | 86 | 100 (на конец второго месяца) | 77 | 100 | - |
Заводы по производству узлов и агрегатов для строительных, дорожных и коммунальных машин мощностью: | ||||||||
до 100 тыс. т в год | 9 | 67 | 82 | 100 (на конец второго месяца) | - | 83 | 100 | - |
до 150 тыс. т в год | 12 | 64 | 74 | 86 | 100 (на конец второго месяца) | 77 | 100 | - |
Наименование и характеристика предприятий, производств, цехов и их мощность | Наименование экономических показателей | Норма продолжительности освоения в месяцах | Средний уровень освоения проектируемого экономического показателя в % | ||||||
в первый год работы | во второй год работы | в третий год работы | |||||||
кварталы | за год | ||||||||
I | II | III | IV | ||||||
Заводы по производству строительных, дорожных и коммунальных машин на базе тракторов и автомобилей (экскаваторы, краны автомобильные, автобашенные краны, автобетонораствороцементовозы, автобетоносмесители, погрузчики, трубоукладчики, бульдозеры, скреперы, снегоочистители, мелиоративные и лесозаготовительные машины, машины для уборки и санитарной очистки городов, пожарные машины и т.п.) мощностью: | |||||||||
до 100 тыс. т в год | Производительность труда | 12 | 61 | 71 | 82 | 95 | 77 | 100 | - |
Себестоимость продукции | 12 | 122 | 116 | 111 | 106 | 112 | 100 | - | |
до 150 тыс. т в год | Производительность труда | 15 | - | - | - | - | 72 | 99 | 100 |
Себестоимость продукции | 15 | - | - | - | - | 115 | 101 | 100 | |
Заводы по производству самоходных, строительных, дорожных и коммунальных машин на спецшасси, пневмоколесном ходу (экскаваторы, краны, погрузчики, автогрейдеры, бульдозеры, скреперы, комплекты машин для приготовления и укладки бетонных смесей) мощностью: | |||||||||
до 50 тыс. т в год | Производительность труда | 12 | 61 | 71 | 82 | 95 | 77 | 100 | - |
Себестоимость продукции | 12 | 126 | 119 | 113 | 107 | 115 | 100 | - | |
до 100 тыс. т в год | Производительность труда | 15 | - | - | - | - | 72 | 99 | 100 |
Себестоимость продукции | 15 | - | - | - | - | 117 | 102 | 100 | |
до 300 тыс. т в год | Производительность труда | 18 | - | - | - | - | 69 | 96 | 100 |
Себестоимость продукции | 18 | - | - | - | - | 121 | 103 | 100 | |
Заводы по производству строительных машин, навесного оборудования, пневмотранспорта, машин и оборудования для промышленности строительных материалов, цементной промышленности строительных материалов, цементной промышленности сборного железобетона мощностью: | |||||||||
до 50 тыс. т в год | Производительность труда | 12 | 61 | 71 | 82 | 95 | 77 | 100 | - |
Себестоимость продукции | 12 | 126 | 119 | 113 | 107 | 115 | 100 | - | |
до 150 тыс. т в год | Производительность труда | 15 | - | - | - | - | 72 | 99 | 100 |
Себестоимость продукции | 15 | - | - | - | - | 117 | 102 | 100 | |
Заводы по производству оборудования для прачечных и предприятий химчистки, противопожарного оборудования, грузовых и пассажирских лифтов и т. п. мощностью: | |||||||||
до 50 тыс. т в год | Производительность труда | 12 | 61 | 71 | 82 | 95 | 77 | 100 | - |
Себестоимость продукции | 12 | 126 | 119 | 113 | 107 | 115 | 100 | - | |
до 100 тыс. т в год | Производительность труда | 15 | - | - | - | - | 72 | 99 | 100 |
Себестоимость продукции | 15 | - | - | - | - | 117 | 102 | 100 | |
Заводы по производству оборудования для кондиционирования воздуха и вентиляции (кондиционеры центральные и бытовые, автономные и неавтономные, транспортные, вентиляторы общепромышленного назначения, калориферы и т.п.) мощностью: | |||||||||
до 50 тыс. т в год | Производительность труда | 12 | 61 | 71 | 82 | 95 | 77 | 100 | - |
Себестоимость продукции | 12 | 126 | 119 | 113 | 107 | 115 | 100 | - | |
до 150 тыс. т в год | Производительность труда | 15 | - | - | - | - | 72 | 99 | 100 |
Себестоимость продукции | 15 | - | - | - | - | 117 | 102 | 100 | |
Заводы по производству строительно-монтажного механизированного инструмента (МИ) и строительно-отделочных машин (СОМ) мощностью: | |||||||||
до 10 тыс. т в год (МИ) | Производительность труда | 12 | 61 | 71 | 82 | 95 | 77 | 100 | - |
Себестоимость продукции | 12 | 122 | 116 | 111 | 106 | 112 | 100 | - | |
до 20 тыс. т в год (СОМ) | Производительность труда | 9 | 63 | 77 | 94 | 100 | 83 | 100 | - |
Себестоимость продукции | 9 | 120 | 112 | 106 | 100 | 110 | 100 | - | |
до 40 тыс. т в год (СОМ) | Производительность труда | 12 | 61 | 71 | 82 | 95 | 77 | 100 | - |
Себестоимость продукции | 12 | 122 | 116 | 111 | 106 | 112 | 100 | - | |
Заводы по производству узлов и агрегатов для строительных, дорожных и коммунальных машин мощностью: | |||||||||
до 100 тыс. т в год | Производительность труда | 9 | 63 | 77 | 94 | 100 | 83 | 100 | - |
Себестоимость продукции | 9 | 120 | 112 | 106 | 100 | 110 | 100 | - | |
до 150 тыс. т в год | Производительность труда | 12 | 61 | 71 | 82 | 95 | 77 | 100 | - |
Себестоимость продукции | 12 | 122 | 116 | 111 | 106 | 112 | 100 | - | |
Наименование и характеристика предприятий, производств, цехов и их мощность | Норма продолжительности освоения проектной мощности в месяцах | Уровень освоения проектной мощности в % на конец квартала или года (если норма продолжительности освоения более года) работы предприятий | Объем производства продукции (переработки или добычи сырья) в % от годовой проектной мощности | |||||
первого | второго | третьего | четвертого | в первый год работы | во второй год работы | в третий год работы | ||
Заводы мощностью по проекту по производству: | ||||||||
технологического оборудования для молочной промышленности, торгово-холодильного оборудования, хлебопекарного и кондитерского оборудования | 9 | 60 | 84 | 100 (на конец второго месяца) | - | 78 | 100 | - |
хлопкоочистительного, кожевенного, валяльно-войлочного, сахарного, мукомольного комбикормового, торгово-технологического оборудования | 10 | 57 | 78 | 100 | - | 76 | 100 | - |
мотальных и чесальных машин, консервного оборудования, стиральных машин, электропылесосов и электрополотеров, запасных частей для технологического оборудования, мясного оборудования, электробытовых приборов | 12 | 50 | 70 | 85 | 100 (на конец второго месяца) | 70 | 100 | - |
прядильных, крутильных, ровничных машин, швейных, обувных машин, оборудования для нетканых материалов, стекольного оборудования | 13 | 100 | - | - | - | 68 | 100 | - |
холодильных агрегатов, холодильников бытовых, сепараторов | 15 | 96 | 100 (на конец второго месяца) | - | - | 65 | 98 | 100 |
Заводы по производству красильно-отделочного оборудования, оборудования по выпуску химических волокон и пленок, ткацких станков, трикотажных машин, расфасовочно-упаковочного оборудования и разливоукупорочных автоматов, полиграфического оборудования, оборудования для пищевой промышленности: | ||||||||
мощностью до 40 млн. руб.: | ||||||||
главный корпус площадью 30 тыс. м2 | 15 | 96 | 100 (на конец второго месяца) | - | - | 65 | 98 | 100 |
первый пусковой комплекс (60% от общей мощности) | 10 | 57 | 78 | 100 | - | 76 | 100 | - |
второй пусковой комплекс (40% от общей мощности) | 7 | 67 | 100 | - | - | 86 | 100 | - |
мощностью более 40 млн. руб.: | ||||||||
главный корпус площадью 40 тыс. м2 | 18 | 83 | 100 (на конец пятого месяца) | - | - | 60 | 95 | 100 |
первый пусковой комплекс (75% от общей мощности) | 12 | 50 | 70 | 85 | 100 (на конец второго месяца) | 70 | 100 | - |
второй пусковой комплекс (25% от общей мощности) | 8 | 63 | 90 | 100 (на конец первого месяца) | - | 81 | 100 | - |
Наименование и характеристика предприятий, производств, цехов и их мощность | Наименование экономических показателей | Норма продолжительности освоения в месяцах | Средний уровень освоения проектируемого экономического показателя в % | ||||||
в первый год работы | во второй год работы | в третий год работы | |||||||
кварталы | за год | ||||||||
I | II | III | IV | ||||||
Заводы мощностью по проекту по производству: | |||||||||
технологического оборудования для молочной промышленности, торгово-холодильного оборудования, хлебопекарного и кондитерского оборудования | Производительность труда | 9 | 50 | 75 | 90 | 100 | 79 | 100 | - |
Себестоимость продукции | 9 | 121 | 107 | 101 | 100 | 105 | 100 | - | |
хлопкоочистительного, кожевенного, валяльно-войлочного, сахарного, мукомольного комбикормового, торгово-технологического оборудования | Производительность труда | 10 | 48 | 70 | 90 | 100 | 77 | 100 | - |
Себестоимость продукции | 10 | 131 | 113 | 103 | 100 | 109 | 100 | - | |
мотальных и чесальных машин, консервного оборудования, стиральных машин, электропылесосов и электрополотеров, запасных частей для технологического оборудования, мясного оборудования, электробытовых приборов | Производительность труда | 12 | 45 | 64 | 82 | 100 | 72 | 100 | - |
Себестоимость продукции | 12 | 139 | 119 | 108 | 101 | 113 | 100 | - | |
прядильных, крутильных и ровничных машин, швейных, обувных машин, оборудования для нетканых материалов, стекольного оборудования | Производительность труда | 13 | - | - | - | - | 73 | 100 | - |
Себестоимость продукции | 13 | - | - | - | - | 112 | 101 | 100 | |
холодильных агрегатов, холодильников бытовых, сепараторов | Производительность труда | 15 | - | - | - | - | 68 | 100 | - |
Себестоимость продукции | 15 | - | - | - | - | 116 | 101 | 100 | |
Заводы по производству красильно-отделочного оборудования, оборудования по выпуску химических волокон и пленок, ткацких станков, трикотажных машин, расфасовочно-упаковочного оборудования и разливоукупорочных автоматов, полиграфического оборудования, оборудования для пищевой промышленности: | |||||||||
мощностью до 40 млн. руб.: | |||||||||
главный корпус площадью 30 тыс. м2 | Производительность труда | 15 | - | - | - | - | 68 | 100 | - |
Себестоимость продукции | 15 | - | - | - | - | 116 | 101 | 100 | |
первый пусковой комплекс (60% от общей мощности) | Производительность труда | 10 | 48 | 70 | 90 | 100 | 77 | 100 | - |
Себестоимость продукции | 10 | 131 | 113 | 103 | 100 | 109 | 100 | - | |
второй пусковой комплекс (40% от общей мощности) | Производительность труда | 7 | 54 | 94 | 100 | 100 | 86 | 100 | - |
Себестоимость продукции | 7 | 129 | 103 | 100 | 100 | 105 | 100 | - | |
мощностью более 40 млн. руб.: | |||||||||
главный корпус площадью 40 тыс. м2 | Производительность труда | 18 | - | - | - | - | 62 | 98 | 100 |
Себестоимость продукции | 18 | - | - | - | - | 120 | 104 | 100 | |
первый пусковой комплекс (75% от общей мощности) | Производительность труда | 12 | 45 | 64 | 82 | 100 | 72 | 100 | - |
Себестоимость продукции | 12 | 139 | 119 | 108 | 101 | 113 | 100 | - | |
второй пусковой комплекс (25% от общей мощности) | Производительность труда | 8 | 52 | 79 | 100 | 100 | 83 | 100 | - |
Себестоимость продукции | 8 | 129 | 110 | 100 | 100 | 107 | 100 | - | |
Наименование и характеристика предприятий, производств, цехов и их мощность | Норма продолжительности освоения проектной мощности в месяцах | Уровень освоения проектной мощности в % на конец квартала или года (если норма продолжительности освоения более года) работы предприятий | Объем производства продукции (переработки или добычи сырья) в % от годовой проектной мощности | |||||
первого | второго | третьего | четвертого | в первый год работы | во второй год работы | в третий год работы | ||
Новые судоремонтные предприятия, производства мощностью по годовому выпуску валовой продукции: | ||||||||
до 5 млн. руб. | 10 | 64 | 82 | 100 | - | 80 | 100 | - |
от 5 до 10 млн. руб. | 12 | 60 | 75 | 90 | 100 (на конец второго месяца) | 75 | 100 | - |
от 10 до 20 млн. руб. | 15 | 95 | 100 (на конец первого месяца) | - | - | 70 | 97 | 100 |
от 20 до 30 млн. руб. | 18 | 83 | 100 (на конец четвертого месяца) | - | - | 65 | 95 | 100 |
от 30 до 60 млн. руб. | 21 | 75 | 100 (на конец седьмого месяца) | - | - | 60 | 90 | 100 |
Цехи (блоки цехов) корпусные, механосборочные, трубопроводные, судостроительные мощностью по годовому выпуску валовой продукции: | ||||||||
до 1 млн. руб. | 6 | 78 | 100 (на конец второго месяца) | - | - | 90 | 100 | - |
от 1 до 3 млн. руб. | 9 | 70 | 90 | 100 (на конец второго месяца) | - | 85 | 100 | - |
свыше 3 млн. руб. | 10 | 65 | 85 | 100 | - | 82 | 100 | - |
Судоподъемные сооружения, плавдоки подъемной силой: | ||||||||
до 10 тыс. т | 2 | 100 (на конец первого месяца) | - | - | - | 97 | 100 | - |
свыше 10 тыс. т | 4 | 100 | - | - | - | 95 | 100 | - |
Примечания: 1. Для вводимых в действие предприятий и цехов в районе Заполярья и Крайнего Севера нормы продолжительности освоения проектных мощностей увеличиваются на 20%. | ||||||||
2. Начальный уровень освоения проектных мощностей на момент ввода в действие предприятий, объектов принимается не менее 45%. | ||||||||
3. Нормы продолжительности освоения проектных мощностей для реконструируемых предприятий без изменения номенклатуры выпускаемой продукции принимаются по утвержденным нормам для новых предприятий, уменьшенным не менее чем на 40%. | ||||||||
Наименование и характеристика предприятий, производств, цехов и их мощность | Наименование экономических показателей | Норма продолжительности освоения в месяцах | Средний уровень освоения проектируемого экономического показателя в % | ||||||
в первый год работы | во второй год работы | в третий год работы | |||||||
кварталы | за год | ||||||||
I | II | III | IV | ||||||
Новые судоремонтные предприятия, производства мощностью по годовому выпуску валовой продукции: | |||||||||
до 5 млн. руб. | Производительность труда | 10 | 52 | 73 | 91 | 100 | 80 | 100 | - |
Себестоимость продукции | 10 | 152 | 112 | 107 | 100 | 117 | 100 | - | |
от 5 до 10 млн. руб. | Производительность труда | 12 | 55 | 70 | 83 | 92 | 75 | 100 | - |
Себестоимость продукции | 12 | 155 | 126 | 109 | 103 | 123 | 100 | - | |
от 10 до 20 млн. руб. | Производительность труда | 15 | - | - | - | - | 70 | 100 | - |
Себестоимость продукции | 15 | - | - | - | - | 127 | 100 | - | |
от 20 до 30 млн. руб. | Производительность труда | 18 | - | - | - | - | 65 | 96 | 100 |
Себестоимость продукции | 18 | - | - | - | - | 133 | 101,5 | 100 | |
от 30 до 60 млн. руб. | Производительность труда | 21 | - | - | - | - | 60 | 90 | 100 |
Себестоимость продукции | 21 | - | - | - | - | 138 | 104,5 | 100 | |
Цехи (блоки цехов) корпусные, механосборочные, трубопроводные, судостроительные мощностью по годовому выпуску валовой продукции: | |||||||||
до 1 млн. руб. | Производительность труда | 6 | 66 | 92 | 100 | 100 | 90 | 100 | - |
Себестоимость продукции | 6 | 130 | 106 | 100 | 100 | 109 | 100 | - | |
от 1 до 3 млн. руб. | Производительность труда | 9 | 63 | 84 | 95 | 100 | 85 | 100 | - |
Себестоимость продукции | 9 | 138 | 110 | 104 | 100 | 113 | 100 | - | |
свыше 3 млн. руб. | Производительность труда | 10 | 55 | 76 | 97 | 100 | 82 | 100 | - |
Себестоимость продукции | 10 | 160 | 111 | 105 | 100 | 119 | 100 | - | |
Наименование и характеристика предприятий, производств, цехов и их мощность | Норма продолжительности освоения проектной мощности в месяцах | Уровень освоения проектной мощности в % на конец квартала или года (если норма продолжительности освоения более года) работы предприятий | Объем производства продукции (переработки или добычи сырья) в % от годовой проектной мощности | |||||
первого | второго | третьего | четвертого | в первый год работы | во второй год работы | в третий год работы | ||
Лесозаготовительные предприятия мощностью в год: | ||||||||
200 тыс. м3 | 11 | 60 | 75 | 92 | 100 (на конец первого месяца) | 75 | 100 | - |
от 201 до 400 тыс. м3 | 15 | 85 | 100 (на конец первого месяца) | - | - | 65 | 96 | 100 |
от 401 до 600 тыс. м3 | 16 | 83 | 100 (на конец второго месяца) | - | - | 63 | 95 | 100 |
от 601 до 800 тыс. м3 | 17 | 80 | 100 (на конец третьего месяца) | - | - | 60 | 90 | 100 |
от 801 до 1000 тыс. м3 | 18 | 78 | 100 (на конец четвертого месяца) | - | - | 58 | 89 | 100 |
Лесопильные предприятия без комплексов по сушке и пакетированию пиломатериалов мощностью в год: | ||||||||
от 140 до 160 тыс. м3 | 6 | 70 | 100 (на конец второго месяца) | - | - | 85 | 100 | - |
от 280 до 300 тыс. м3 | 9 | 65 | 80 | 100 (на конец второго месяца) | - | 80 | 100 | - |
Лесопильные предприятия с комплексами по сушке и пакетированию материалов мощностью в год: | ||||||||
от 140 до 160 тыс. м3 | 12 | 50 | 70 | 85 | 100 (на конец второго месяца) | 70 | 100 | - |
от 280 до 300 тыс. м3 | 15 | 85 | 100 (на конец первого месяца) | - | - | 65 | 96 | 100 |
Заводы и цехи по производству древесно-стружечных плит мощностью в год: | ||||||||
до 100 тыс. м3 | 15 | 85 | 100 (на конец первого месяца) | - | - | 65 | 96 | 100 |
от 100 до 125 тыс. м3 | 18 | 80 | 100 (на конец четвертого месяца) | - | - | 60 | 90 | 100 |
Заводы и цехи по производству твердых древесно-волокнистых плит мощностью от 13 до 20 млн. м2 в год | 18 | 80 | 100 (на конец четвертого месяца) | - | - | 60 | 90 | 100 |
Целлюлозно-бумажные предприятия | ||||||||
Предприятия, отдельные технологические потоки и линии, вырабатывающие целлюлозу, бумагу и картон на оборудовании с годовой мощностью: | ||||||||
до 160 тыс. т | 18 | 80 | 100 (на конец пятого месяца) | - | - | 60 | 90 | 100 |
свыше 160 тыс. т | 21 | 70 | 100 (на конец восьмого месяца) | - | - | 55 | 85 | 100 |
Домостроительные предприятия | ||||||||
Завод оконных блоков и балконных дверных блоков мощностью 250 тыс. м2 в год | 12 | 50 | 70 | 85 | 100 (на конец второго месяца) | 70 | 100 | - |
Завод по производству деревянных панельных домов мощностью 250 тыс. м2 общей площади в год | 15 | 85 | 100 (на конец первого месяца) | - | - | 65 | 96 | 100 |
Производство клееной фанеры | ||||||||
Цехи мощностью до 50 тыс. м3 в год | 12 | 50 | 70 | 85 | 100 (на конец второго месяца) | 70 | 100 | - |
Цехи и предприятия мощностью от 50 до 100 тыс. м3 в год | 15 | 85 | 100 (на конец первого месяца) | - | - | 65 | 96 | 100 |
Цехи и предприятия мощностью свыше 100 тыс. м3 в год | 18 | 80 | 100 (на конец четвертого месяца) | - | - | 60 | 90 | 100 |
Мебельные предприятия | ||||||||
Отделочно-сборочные предприятия мощностью в год: | ||||||||
до 12 млн. руб. | 12 | 50 | 70 | 85 | 100 (на конец второго месяца) | 70 | 100 | - |
от 13 до 24 млн. руб. | 16 | 85 | 100 (на конец второго месяца) | - | - | 65 | 95 | 100 |
Комбинаты по выпуску щитовых мебельных деталей мощностью в год: | ||||||||
до 2,5 млн. м2 | 12 | 50 | 70 | 85 | 100 (на конец второго месяца) | 70 | 100 | - |
от 2,6 до 5 млн. м2 | 16 | 85 | 100 (на конец второго месяца) | - | - | 65 | 95 | 100 |
Примечания: 1. При вводе в действие лесозаготовительных предприятий очередями (пусковыми комплексами) нормы продолжительности освоения проектных мощностей устанавливаются для каждой очереди (пускового комплекса). | ||||||||
2. Для предприятий, цехов, оснащенных оборудованием, ранее не применявшимся в отечественной промышленности, норма продолжительности освоения проектной мощности увеличивается до 50%. | ||||||||
Наименование и характеристика предприятий, производств, цехов и их мощность | Наименование экономических показателей | Норма продолжительности освоения в месяцах | Средний уровень освоения проектируемого экономического показателя в % | ||||||
в первый год работы | во второй год работы | в третий год работы | |||||||
кварталы | за год | ||||||||
I | II | III | IV | ||||||
Лесозаготовительные предприятия мощностью в год: | |||||||||
200 тыс. м3 | Производительность труда | 11 | 54 | 67 | 83 | 96 | 75 | 100 | - |
Себестоимость продукции | 11 | 158 | 135 | 112 | 105 | 127 | 100 | - | |
от 201 до 400 тыс. м3 | Производительность труда | 15 | - | - | - | - | 65 | 96 | 100 |
Себестоимость продукции | 15 | - | - | - | - | 130 | 106 | 100 | |
от 401 до 600 тыс. м3 | Производительность труда | 16 | - | - | - | - | 63 | 95 | 100 |
Себестоимость продукции | 16 | - | - | - | - | 137 | 108 | 100 | |
от 601 до 800 тыс. м3 | Производительность труда | 17 | - | - | - | - | 60 | 90 | 100 |
Себестоимость продукции | 17 | - | - | - | - | 149 | 114 | 100 | |
от 801 до 1000 тыс. м3 | Производительность труда | 18 | - | - | - | - | 58 | 89 | 100 |
Себестоимость продукции | 18 | - | - | - | - | 160 | 118 | 100 | |
Лесопильные предприятия без комплексов по сушке и пакетированию пиломатериалов мощностью в год: | |||||||||
от 140 до 160 тыс. м3 | Производительность труда | 6 | 55 | 85 | 100 | 100 | 85 | 100 | - |
Себестоимость продукции | 6 | 123 | 111 | 106 | 100 | 110 | 100 | - | |
от 280 до 300 тыс. м3 | Производительность труда | 9 | 56 | 72 | 93 | 100 | 80 | 100 | - |
Себестоимость продукции | 9 | 120 | 113 | 106 | 100 | 110 | 100 | - | |
Лесопильные предприятия с комплексами по сушке и пакетированию пиломатериалов мощностью в год: | |||||||||
от 140 до 160 тыс. м3 | Производительность труда | 12 | 46 | 60 | 78 | 96 | 70 | 100 | - |
Себестоимость продукции | 12 | 135 | 118 | 109 | 103 | 116 | 100 | - | |
от 280 до 300 тыс. м3 | Производительность труда | 15 | - | - | - | - | 65 | 96 | 100 |
Себестоимость продукции | 15 | - | - | - | - | 120 | 106 | 100 | |
Заводы и цехи по производству древесно-стружечных плит мощностью в год: | |||||||||
до 100 тыс. м3 | Производительность труда | 15 | - | - | - | - | 65 | 96 | 100 |
Себестоимость продукции | 15 | - | - | - | - | 155 | 120 | 100 | |
от 100 до 125 тыс. м3 | Производительность труда | 18 | - | - | - | - | 60 | 90 | 100 |
Себестоимость продукции | 18 | - | - | - | - | 160 | 125 | 100 | |
Заводы и цехи по производству твердых древесно-волокнистых плит мощностью от 15 до 20 млн. м2 | Производительность труда | 18 | - | - | - | - | 60 | 90 | 100 |
Себестоимость продукции | 18 | - | - | - | - | 150 | 120 | 100 | |
Целлюлозно-бумажные предприятия | |||||||||
Предприятия, отдельные технологические потоки и линии, вырабатывающие целлюлозу, бумагу и картон на оборудовании с годовой мощностью: | |||||||||
до 160 тыс. т | Производительность труда | 18 | - | - | - | - | 60 | 90 | 100 |
Себестоимость продукции | 18 | - | - | - | - | 155 | 127 | 100 | |
свыше 160 тыс. т | Производительность труда | 21 | - | - | - | - | 55 | 85 | 100 |
Себестоимость продукции | 21 | - | - | - | - | 160 | 130 | 100 | |
Домостроительные предприятия | |||||||||
Завод оконных блоков и балконных дверных блоков мощностью 250 тыс. м2 в год | Производительность труда | 12 | 46 | 60 | 78 | 96 | 70 | 100 | - |
Себестоимость продукции | 12 | 135 | 118 | 109 | 103 | 116 | 100 | - | |
Завод по производству деревянных панельных домов мощностью 250 тыс. м2 общей площади в год | Производительность труда | 15 | - | - | - | - | 65 | 96 | 100 |
Себестоимость продукции | 15 | - | - | - | - | 120 | 106 | 100 | |
Производство клееной фанеры | |||||||||
Цехи мощностью до 50 тыс. м3 в год | Производительность труда | 12 | 46 | 60 | 78 | 96 | 70 | 100 | - |
Себестоимость продукции | 12 | 173 | 162 | 130 | 115 | 145 | 100 | - | |
Цехи и предприятия мощностью от 50 до 100 тыс. м3 в год | Производительность труда | 15 | - | - | - | - | 65 | 96 | 100 |
Себестоимость продукции | 15 | - | - | - | - | 155 | 120 | 100 | |
Цехи и предприятия мощностью свыше 100 тыс. м3 в год | Производительность труда | 18 | - | - | - | - | 60 | 90 | 100 |
Себестоимость продукции | 18 | - | - | - | - | 160 | 130 | 100 | |
Мебельные предприятия | |||||||||
Отделочно-сборочные предприятия мощностью в год: | |||||||||
до 12 млн. руб. | Производительность труда | 12 | 46 | 60 | 78 | 96 | 70 | 100 | - |
Себестоимость продукции | 12 | 167 | 143 | 125 | 105 | 135 | 100 | - | |
от 13 до 24 млн. руб. | Производительность труда | 16 | - | - | - | - | 65 | 95 | 100 |
Себестоимость продукции | 16 | - | - | - | - | 140 | 115 | 100 | |
Комбинаты по выпуску щитовых мебельных деталей мощностью в год: | |||||||||
до 2,5 млн. м2 | Производительность труда | 12 | 46 | 60 | 78 | 96 | 70 | 100 | - |
Себестоимость продукции | 12 | 167 | 143 | 125 | 105 | 135 | 100 | - | |
от 2,6 до 5 млн. м2 | Производительность труда | 16 | - | - | - | - | 65 | 95 | 100 |
Себестоимость продукции | 16 | - | - | - | - | 140 | 115 | 100 | |
Примечания: 1. При вводе в действие предприятий и объектов очередями (пусковыми комплексами) нормы продолжительности освоения проектных экономических показателей определяются для каждой очереди (пускового комплекса). | |||||||||
2. Для предприятий, цехов, оснащенных оборудованием, ранее в отечественной промышленности не применявшимся, нормы продолжительности освоения проектных экономических показателей увеличиваются до 50%. | |||||||||
Наименование и характеристика предприятий, производств, цехов и их мощность | Норма продолжительности освоения проектной мощности в месяцах | Уровень освоения проектной мощности в % на конец квартала или года (если норма продолжительности освоения более года) работы предприятий | Объем производства продукции (переработки или добычи сырья) в % от годовой проектной мощности | |||||
первого | второго | третьего | четвертого | в первый год работы | во второй год работы | в третий год работы | ||
Цементный завод мощностью 2300 тыс. т в год в составе двух технологических линий с печами диаметром 4,5 м, длиной 80 м: | ||||||||
первый пусковой комплекс мощностью 1150 тыс. т | 18 | 86 | 100 (на конец пятого месяца) | - | - | 66 | 98 | 100 |
второй пусковой комплекс мощностью 1150 тыс. т | 12 | 60 | 75 | 90 | 100 (на конец второго месяца) | 75 | 100 | - |
Производство асбестоцементных листов и труб мощностью по проекту: | ||||||||
первая очередь | 12 | 60 | 75 | 90 | 100 (на конец второго месяца) | 75 | 100 | - |
каждая последующая очередь | 9 | 65 | 86 | 100 (на конец второго месяца) | - | 82 | 100 | - |
Производство мягких кровельных и гидроизоляционных материалов мощностью от 134 до 144 млн. м2 в год: | ||||||||
первая очередь мощностью по проекту | 12 | 60 | 75 | 90 | 100 (на конец второго месяца) | 75 | 100 | - |
каждая последующая очередь мощностью по проекту | 9 | 65 | 86 | 100 (на конец второго месяца) | - | 82 | 100 | - |
Технологическая линия по производству кровельного картона мощностью по проекту | 12 | 60 | 75 | 90 | 100 (на конец второго месяца) | 75 | 100 | - |
Производство керамических стеновых материалов мощностью от 60 до 75 млн. шт. усл. кирпича в год | 14 | 98 | 100 (на конец первого месяца) | - | - | 68 | 99 | 100 |
Производство силикатного кирпича мощностью до 120 млн. шт. усл. кирпича в год | 12 | 60 | 75 | 90 | 100 (на конец второго месяца) | 75 | 100 | - |
Производство стеновых блоков из ячеистых и плотных силикатных бетонов мощностью 100 млн. шт. усл. кирпича в год и более | 12 | 60 | 75 | 90 | 100 (на конец второго месяца) | 75 | 100 | - |
Производство керамических плиток мощностью: | ||||||||
до 500 тыс. м2 | 10 | 63 | 82 | 100 | - | 78 | 100 | - |
более 500 тыс. м2 | 12 | 60 | 75 | 90 | 100 (на конец второго месяца) | 75 | 100 | - |
Производство керамических канализационных труб мощностью по проекту | 12 | 60 | 75 | 90 | 100 (на конец второго месяца) | 75 | 100 | - |
Производство санитарных керамических изделий мощностью по проекту | 15 | 96 | 100 (на конец второго месяца) | - | - | 70 | 99 | 100 |
Производство кислотоупорных изделий мощностью по проекту | 10 | 63 | 82 | 100 | - | 78 | 100 | - |
Производство керамических дренажных раструбных и безраструбных труб мощностью по проекту | 10 | 63 | 82 | 100 | - | 78 | 100 | - |
Технологическая линия по производству линолеума мощностью по проекту | 9 | 65 | 86 | 100 (на конец второго месяца) | - | 82 | 100 | - |
Щебеночный завод с карьером мощностью: | ||||||||
до 700 тыс. м3 щебня в год | 6 | 78 | 100 (на конец второго месяца) | - | - | 88 | 100 | - |
свыше 700 до 1000 тыс. м3 щебня в год | 9 | 65 | 86 | 100 (на конец второго месяца) | - | 82 | 100 | - |
свыше 1000 до 2000 тыс. м3 щебня в год | 12 | 60 | 75 | 90 | 100 (на конец второго месяца) | 75 | 100 | - |
свыше 2000 тыс. м3 щебня в год | 18 | 86 | 100 (на конец пятого месяца) | - | - | 66 | 98 | 100 |
Гравийно-песчаный завод с карьером мощностью: | ||||||||
до 700 тыс. м3 щебня, гравия и песка в год | 6 | 78 | 100 (на конец второго месяца) | - | - | 88 | 100 | - |
свыше 700 до 1400 тыс. м3 щебня, гравия и песка в год | 9 | 65 | 86 | 100 (на конец второго месяца) | - | 82 | 100 | - |
свыше 1400 тыс. м3 щебня, гравия и песка в год | 12 | 60 | 75 | 90 | 100 (на конец второго месяца) | 75 | 100 | - |
Месторождения песчано-гравийных материалов, разрабатываемые способом гидромеханизации: | ||||||||
гравийно-песчаный завод с карьером мощностью: | ||||||||
до 600 тыс. м3 щебня, гравия и песка в год | 6 | 78 | 100 (на конец второго месяца) | - | - | 88 | 100 | - |
свыше 600 до 1200 тыс. м3 щебня, гравия и песка в год | 9 | 65 | 86 | 100 (на конец второго месяца) | - | 82 | 100 | - |
свыше 1200 до 2000 тыс. м3 щебня, гравия и песка в год | 12 | 60 | 75 | 90 | 100 (на конец второго месяца) | 75 | 100 | - |
свыше 2000 тыс. м3 щебня, гравия и песка в год | 18 | 86 | 100 (на конец пятого месяца) | - | - | 66 | 98 | 100 |
Производство искусственных пористых заполнителей (керамзит, аглопорит, вспученный перлит) мощностью по проекту | 6 | 78 | 100 (на конец второго месяца) | - | - | 88 | 100 | - |
Известковый цех мощностью 130 тыс. т извести в год в составе отделения обжига с двумя шахтными печами производительностью по 200 т/сутки | 9 | 65 | 86 | 100 (на конец второго месяца) | - | 82 | 100 | - |
Производство минераловатных изделий мощностью по проекту | 12 | 60 | 75 | 90 | 100 (на конец второго месяца) | 75 | 100 | - |
Производство листового оконного стекла мощностью от 14 до 18 млн. м2 в год | 12 | 60 | 75 | 90 | 100 (на конец второго месяца) | 75 | 100 | - |
Производство полированного стекла термическим способом мощностью от 10 до 12 млн. м2 в год | 12 | 60 | 75 | 90 | 100 (на конец второго месяца) | 75 | 100 | - |
Производство бутылок мощностью по проекту | 12 | 60 | 75 | 90 | 100 (на конец второго месяца) | 75 | 100 | - |
Производство стеклянной консервной тары (в 0,5-литровом исчислении) мощностью по проекту | 12 | 60 | 75 | 90 | 100 (на конец второго месяца) | 75 | 100 | - |
Технологические линии по производству стеклянной сортовой посуды мощностью по проекту | 12 | 60 | 75 | 90 | 100 (на конец второго месяца) | 75 | 100 | - |
Технологическая линия по производству чугунных отопительных радиаторов мощностью по проекту: | ||||||||
первая линия | 9 | 65 | 86 | 100 (на конец второго месяца) | - | 82 | 100 | - |
последующие линии и новые линии на действующем предприятии | 6 | 78 | 100 (на конец второго месяца) | - | - | 88 | 100 | - |
Производство стальных отопительных радиаторов мощностью по проекту: | ||||||||
первая линия | 6 | 78 | 100 (на конец второго месяца) | - | - | 88 | 100 | - |
последующие линии и новые линии на действующем предприятии | 4 | 100 | - | - | - | 96 | 100 | - |
Производство чугунных отопительных котлов мощностью по проекту | 13 | 65 | 75 | 90 | 100 (на конец второго месяца) | 73 | 100 | - |
Производство чугунных эмалированных ванн мощностью по проекту | 15 | 96 | 100 (на конец первого месяца) | - | - | 70 | 99 | 100 |
Производство чугунных канализационных труб и фасонных частей к ним мощностью по проекту | 10 | 63 | 82 | 100 | - | 78 | 100 | - |
Наименование и характеристика предприятий, производств, цехов и их мощность | Наименование экономических показателей | Норма продолжительности освоения в месяцах | Средний уровень освоения проектируемого экономического показателя в % | ||||||
в первый год работы | во второй год работы | в третий год работы | |||||||
кварталы | за год | ||||||||
I | II | III | IV | ||||||
Цементный завод мощностью 2300 тыс. т в год в составе двух технологических линий с печами диаметром 4,5 м, длиной 80 м: | |||||||||
первый пусковой комплекс мощностью 1150 тыс. т | Производительность труда | 18 | - | - | - | - | 66 | 95 | 100 |
Себестоимость продукции | 18 | - | - | - | - | 139 | 109 | 100 | |
второй пусковой комплекс мощностью 1150 тыс. т | Производительность труда | 12 | 54 | 68 | 82 | 95 | 75 | 100 | - |
Себестоимость продукции | 12 | 140 | 130 | 120 | 110 | 125 | 100 | - | |
Производство асбестоцементных листов и труб мощностью по проекту: | |||||||||
первая очередь | Производительность труда | 12 | 54 | 68 | 82 | 95 | 75 | 100 | - |
Себестоимость продукции | 12 | 133 | 114 | 107 | 102 | 111 | 100 | - | |
каждая последующая очередь | Производительность труда | 9 | 54 | 72 | 91 | 100 | 82 | 100 | - |
Себестоимость продукции | 9 | 124 | 110 | 105 | 101 | 108 | 100 | - | |
Производство мягких кровельных и гидроизоляционных материалов мощностью от 134 до 144 млн. м2 в год: | |||||||||
первая очередь мощностью по проекту | Производительность труда | 12 | 54 | 68 | 82 | 95 | 75 | 100 | - |
Себестоимость продукции | 12 | 112 | 107 | 103 | 101 | 105 | 100 | - | |
каждая последующая очередь мощностью по проекту | Производительность труда | 9 | 57 | 75 | 95 | 100 | 82 | 100 | - |
Себестоимость продукции | 9 | 111 | 106 | 103 | 101 | 104 | 100 | - | |
Технологическая линия по производству кровельного картона мощностью по проекту | Производительность труда | 12 | 54 | 68 | 82 | 95 | 75 | 100 | - |
Себестоимость продукции | 12 | 112 | 107 | 103 | 101 | 105 | 100 | - | |
Производство керамических стеновых материалов мощностью от 60 до 75 млн. шт. усл. кирпича в год | Производительность труда | 14 | - | - | - | - | 68 | 96 | 100 |
Себестоимость продукции | 14 | - | - | - | - | 123 | 101 | 100 | |
Производство силикатного кирпича мощностью до 120 млн. шт. усл. кирпича в год | Производительность труда | 12 | 54 | 68 | 82 | 95 | 75 | 100 | - |
Себестоимость продукции | 12 | 134 | 120 | 112 | 102 | 115 | 100 | - | |
Производство стеновых блоков из ячеистых и плотных силикатных бетонов мощностью 100 млн. шт. усл. кирпича в год и более | Производительность труда | 12 | 54 | 68 | 82 | 95 | 75 | 100 | - |
Себестоимость продукции | 12 | 137 | 122 | 112 | 105 | 117 | 100 | - | |
Производство керамических плиток мощностью: | |||||||||
до 500 тыс. м2 | Производительность труда | 10 | 51 | 72 | 88 | 98 | 78 | 100 | - |
Себестоимость продукции | 10 | 129 | 119 | 115 | 100 | 116 | 100 | - | |
более 500 тыс. м2 | Производительность труда | 12 | 54 | 68 | 82 | 95 | 75 | 100 | - |
Себестоимость продукции | 12 | 132 | 121,5 | 118 | 102 | 118 | 100 | - | |
Производство керамических канализационных труб мощностью по проекту | Производительность труда | 12 | 54 | 68 | 82 | 95 | 75 | 100 | - |
Себестоимость продукции | 12 | 132 | 121,5 | 118 | 102 | 118 | 100 | - | |
Производство санитарных керамических изделий мощностью по проекту | Производительность труда | 15 | - | - | - | - | 70 | 98 | 100 |
Себестоимость продукции | 15 | - | - | - | - | 126 | 108 | 100 | |
Производство кислотоупорных изделий мощностью по проекту | Производительность труда | 10 | 54 | 72 | 88 | 98 | 78 | 100 | - |
Себестоимость продукции | 10 | 129 | 119 | 115 | 100 | 116 | 100 | - | |
Производство керамических дренажных раструбных и безраструбных труб мощностью по проекту | Производительность труда | 10 | 54 | 72 | 88 | 98 | 78 | 100 | - |
Себестоимость продукции | 10 | 129 | 119 | 115 | 100 | 116 | 100 | - | |
Технологическая линия по производству линолеума мощностью по проекту | Производительность труда | 9 | 57 | 75 | 94 | 100 | 82 | 100 | - |
Себестоимость продукции | 9 | 145 | 125 | 115 | 100 | 120 | 100 | - | |
Щебеночный завод с карьером мощностью: | |||||||||
до 700 тыс. м3 щебня в год | Производительность труда | 6 | 61 | 92 | 100 | 100 | 88 | 100 | - |
Себестоимость продукции | 6 | 150 | 105 | 100 | 100 | 110 | 100 | - | |
свыше 700 до 1000 тыс. м3 щебня в год | Производительность труда | 9 | 54 | 75 | 94 | 100 | 82 | 100 | - |
Себестоимость продукции | 9 | 145 | 125 | 115 | 100 | 120 | 100 | - | |
свыше 1000 до 2000 тыс. м3 щебня в год | Производительность труда | 12 | 54 | 68 | 82 | 95 | 75 | 100 | - |
Себестоимость продукции | 12 | 160 | 130 | 115 | 101 | 125 | 100 | - | |
свыше 2000 тыс. м3 щебня в год | Производительность труда | 18 | - | - | - | - | 65 | 95 | 100 |
Себестоимость продукции | 18 | - | - | - | - | 150 | 120 | 100 | |
Гравийно-песчаный завод с карьером мощностью: | |||||||||
до 700 тыс. м3 щебня, гравия и песка в год | Производительность труда | 6 | 61 | 92 | 100 | 100 | 88 | 100 | - |
Себестоимость продукции | 6 | 150 | 105 | 100 | 100 | 110 | 100 | - | |
свыше 700 до 1400 тыс. м3 щебня, гравия и песка в год | Производительность труда | 9 | 54 | 75 | 94 | 100 | 82 | 100 | - |
Себестоимость продукции | 9 | 145 | 125 | 115 | 100 | 120 | 100 | - | |
свыше 1400 тыс. м3 щебня, гравия и песка в год | Производительность труда | 12 | 54 | 68 | 82 | 95 | 75 | 100 | - |
Себестоимость продукции | 12 | 160 | 130 | 115 | 101 | 125 | 100 | - | |
Месторождения песчано-гравийных материалов, разрабатываемые способом гидромеханизации: | |||||||||
гравийно-песчаный завод с карьером мощностью: | |||||||||
до 600 тыс. м3 щебня, гравия, песка в год | Производительность труда | 6 | 61 | 92 | 100 | 100 | 88 | 100 | - |
Себестоимость продукции | 6 | 175 | 115 | 100 | 100 | 115 | 100 | - | |
свыше 600 до 1200 тыс. м3 щебня, гравия, песка в год | Производительность труда | 9 | 54 | 75 | 94 | 100 | 82 | 100 | - |
Себестоимость продукции | 9 | 160 | 130 | 110 | 100 | 125 | 100 | - | |
свыше 1200 до 2000 тыс. м3 щебня, гравия, песка в год | Производительность труда | 12 | 54 | 68 | 82 | 95 | 75 | 100 | - |
Себестоимость продукции | 12 | 210 | 160 | 125 | 105 | 150 | 100 | - | |
свыше 2000 тыс. м3 щебня, гравия, песка в год | Производительность труда | 18 | - | - | - | - | 65 | 95 | 100 |
Себестоимость продукции | 18 | - | - | - | - | 170 | 105 | 100 | |
Производство искусственных пористых заполнителей (керамзит, аглопорит, вспученный перлит) мощностью по проекту | Производительность труда | 6 | 61 | 92 | 100 | 100 | 88 | 100 | - |
Себестоимость продукции | 6 | 150 | 105 | 100 | 100 | 110 | 100 | - | |
Известковый цех мощностью 130 тыс. т извести в год в составе отделения обжига с двумя шахтными печами производительностью по 200 т/сутки | Производительность труда | 9 | 54 | 75 | 94 | 100 | 82 | 100 | - |
Себестоимость продукции | 9 | 145 | 125 | 115 | 100 | 120 | 100 | - | |
Производство минераловатных изделий мощностью по проекту | Производительность труда | 12 | 54 | 68 | 82 | 95 | 75 | 100 | - |
Себестоимость продукции | 12 | 160 | 130 | 115 | 107 | 123 | 100 | - | |
Производство листового оконного стекла мощностью от 14 до 18 млн. м2 в год | Производительность труда | 12 | 54 | 68 | 82 | 95 | 75 | 100 | - |
Себестоимость продукции | 12 | 170 | 152 | 131 | 118 | 140 | 100 | - | |
Производство полированного стекла термическим способом мощностью от 10 до 12 млн. м2 в год | Производительность труда | 12 | 55 | 70 | 80 | 95 | 75 | 100 | - |
Себестоимость продукции | 12 | 170 | 140 | 125 | 115 | 135 | 100 | - | |
Производство бутылок мощностью по проекту | Производительность труда | 12 | 55 | 70 | 80 | 90 | 74 | 100 | - |
Себестоимость продукции | 12 | 170 | 140 | 125 | 115 | 135 | 100 | - | |
Производство стеклянной консервной тары (в 0,5-литровом исчислении) мощностью по проекту | Производительность труда | 12 | 55 | 70 | 80 | 90 | 74 | 100 | - |
Себестоимость продукции | 12 | 170 | 140 | 125 | 115 | 135 | 100 | - | |
Технологические линии по производству стеклянной сортовой посуды мощностью по проекту | Производительность труда | 12 | 55 | 70 | 80 | 90 | 74 | 100 | - |
Себестоимость продукции | 12 | 170 | 140 | 125 | 115 | 135 | 100 | - | |
Технологическая линия по производству чугунных радиаторов мощностью по проекту: | |||||||||
первая линия | Производительность труда | 9 | 54 | 75 | 94 | 100 | 82 | 100 | - |
Себестоимость продукции | 9 | 115 | 106 | 101 | 100 | 105 | 100 | - | |
последующие линии и новые линии на действующем предприятии | Производительность труда | 6 | 61 | 92 | 100 | 100 | 88 | 100 | - |
Себестоимость продукции | 6 | 109 | 101 | 100 | 100 | 101 | 100 | - | |
Производство стальных отопительных радиаторов мощностью по проекту: | |||||||||
первая линия | Производительность труда | 6 | 61 | 92 | 100 | 100 | 88 | 100 | - |
Себестоимость продукции | 6 | 109 | 101 | 100 | 100 | 101 | 100 | - | |
последующие линии и новые линии на действующем предприятии | Производительность труда | 4 | 68 | 96 | 100 | 100 | 92 | 100 | - |
Себестоимость продукции | 4 | 105 | 101 | 100 | 100 | 101 | 100 | - | |
Производство чугунных отопительных котлов мощностью по проекту | Производительность труда | 13 | - | - | - | - | 73 | 98 | 100 |
Себестоимость продукции | 13 | - | - | - | - | 109 | 101 | 100 | |
Производство чугунных эмалированных ванн мощностью по проекту | Производительность труда | 15 | - | - | - | - | 70 | 95 | 100 |
Себестоимость продукции | 15 | - | - | - | - | 110 | 103 | 100 | |
Производство чугунных канализационных труб и фасонных частей к ним мощностью по проекту | Производительность труда | 10 | 54 | 72 | 88 | 99 | 78 | 100 | - |
Себестоимость продукции | 10 | 120 | 111 | 105 | 101 | 107 | 100 | - | |
Наименование и характеристика предприятий, производств, цехов и их мощность | Норма продолжительности освоения проектной мощности в месяцах | Уровень освоения проектной мощности в % на конец квартала или года (если норма продолжительности освоения более года) работы предприятий | Объем производства продукции (переработки или добычи сырья) в % от годовой проектной мощности | |||||
первого | второго | третьего | четвертого | в первый год работы | во второй год работы | в третий год работы | ||
Завод железобетонных изделий мощностью в год: | ||||||||
до 100 тыс. м3 | 9 | 70 | 90 | 100 (на конец второго месяца) | - | 85 | 100 | - |
от 101 до 200 тыс. м3 | 12 | 60 | 75 | 90 | 100 (на конец второго месяца) | 75 | 100 | - |
Завод крупнопанельного домостроения мощностью в год: | ||||||||
до 140 тыс. м2 общей площади включительно | 12 | 60 | 75 | 90 | 100 (на конец второго месяца) | 75 | 100 | - |
свыше 140 тыс. м2 общей площади | 15 | 95 | 100 (на конец второго месяца) | - | - | 70 | 98 | 100 |
Завод объемно-блочного домостроения мощностью до 160 тыс. м2 общей площади в год | 12 | 60 | 75 | 90 | 100 (на конец второго месяца) | 75 | 100 | - |
Завод железобетонных напорных труб мощностью до 60 тыс. м3 в год | 15 | 95 | 100 (на конец второго месяца) | - | - | 70 | 98 | 100 |
Завод железобетонных безнапорных труб мощностью по проекту | 12 | 60 | 75 | 90 | 100 (на конец второго месяца) | 75 | 100 | - |
Завод железобетонных шпал мощностью до 90 тыс. м3 в год | 8 | 75 | 95 | 100 (на конец первого месяца) | - | 88 | 100 | - |
Завод железобетонных опор ЛЭП, связи и освещения мощностью до 30 тыс. м3 в год | 12 | 60 | 75 | 90 | 100 (на конец второго месяца) | 75 | 100 | - |
Бетоносмесительный завод мощностью до 300 тыс. м3 в год | 3 | 100 (на конец второго месяца) | - | - | - | 97 | 100 | - |
Завод строительных стальных конструкций мощностью 90 тыс. т в год | 13 | 60 | 73 | 87 | 100 | 73 | 100 | - |
Завод легких металлических конструкций производственных зданий мощностью 500 тыс. м2 в год | 12 | 60 | 75 | 90 | 100 (на конец второго месяца) | 75 | 100 | - |
Цех клееных деревянных конструкций мощностью до 15 тыс. м3 в год | 9 | 70 | 90 | 100 (на конец второго месяца) | - | 85 | 100 | - |
Предприятия деревообработки по производству столярных изделий мощностью в год: | ||||||||
до 250 тыс. м2 включительно | 12 | 60 | 75 | 100 (на конец второго месяца) | 100 | - | ||
свыше 250 тыс. м2 | 15 | 95 | 100 (на конец второго месяца) | - | - | 98 | 100 | |
Наименование и характеристика предприятий, производств, цехов и их мощность | Наименование экономических показателей | Норма продолжительности освоения в месяцах | Средний уровень освоения проектируемого экономического показателя в % | ||||||
в первый год работы | во второй год работы | в третий год работы | |||||||
кварталы | за год | ||||||||
I | II | III | IV | ||||||
Завод железобетонных изделий мощностью в год: | |||||||||
до 100 тыс. м3 | Производительность труда | 9 | 65 | 80 | 96 | 100 | 85 | 100 | - |
Себестоимость продукции | 9 | 130 | 107 | 102 | 100 | 108 | 100 | - | |
от 101 до 200 тыс. м3 | Производительность труда | 12 | 55 | 68 | 82 | 96 | 75 | 100 | - |
Себестоимость продукции | 12 | 133 | 112 | 105 | 102 | 111 | 100 | - | |
Завод крупнопанельного домостроения мощностью в год: | |||||||||
до 140 тыс. м2 общей площади включительно | Производительность труда | 12 | 55 | 68 | 82 | 96 | 75 | 100 | - |
Себестоимость продукции | 12 | 137 | 121 | 110 | 103 | 116 | 100 | - | |
свыше 140 тыс. м2 общей площади | Производительность труда | 15 | - | - | - | - | 70 | 98 | - |
Себестоимость продукции | 15 | - | - | - | - | 119 | 101,5 | - | |
Завод объемно-блочного домостроения мощностью до 160 тыс. м2 общей площади в год | Производительность труда | 12 | 55 | 68 | 82 | 96 | 75 | 100 | - |
Себестоимость продукции | 12 | 140 | 122 | 111 | 103 | 117 | 100 | - | |
Завод железобетонных напорных труб мощностью до 60 тыс. м3 в год | Производительность труда | 15 | - | - | - | - | 70 | 98 | - |
Себестоимость продукции | 15 | - | - | - | - | 119 | 101,5 | - | |
Завод железобетонных безнапорных труб мощностью по проекту | Производительность труда | 12 | 55 | 68 | 82 | 96 | 75 | 100 | - |
Себестоимость продукции | 12 | 135 | 118 | 109 | 103 | 113 | 100 | - | |
Завод железобетонных шпал мощностью до 90 тыс. м3 в год | Производительность труда | 8 | 70 | 85 | 98 | 100 | 88 | 100 | - |
Себестоимость продукции | 8 | 122 | 104 | 101 | 100 | 105 | 100 | - | |
Завод железобетонных опор ЛЭП, связи и освещения мощностью до 30 тыс. м3 в год | Производительность труда | 12 | 55 | 68 | 82 | 96 | 75 | 100 | - |
Себестоимость продукции | 12 | 135 | 119 | 110 | 103 | 114 | 100 | - | |
Бетоносмесительный завод мощностью до 300 тыс. м3 в год | Производительность труда | 3 | 90 | 100 | 100 | 100 | 97 | 100 | - |
Себестоимость продукции | 3 | 111 | 100 | 100 | 100 | 102,5 | 100 | - | |
Завод строительных стальных конструкций мощностью 90 тыс. т в год | Производительность труда | 13 | 52 | 67 | 80 | 94 | 73 | 100 | - |
Себестоимость продукции | 13 | 135 | 120 | 111 | 104 | 115 | 100 | - | |
Завод легких металлических конструкций производственных зданий мощностью 500 тыс. м2 в год | Производительность труда | 12 | 55 | 68 | 82 | 96 | 75 | 100 | - |
Себестоимость продукции | 12 | 135 | 118 | 109 | 103 | 113 | 100 | - | |
Цех клееных деревянных конструкций мощностью до 15 тыс. м3 в год | Производительность труда | 9 | 65 | 80 | 96 | 100 | 85 | 100 | - |
Себестоимость продукции | 9 | 135 | 116 | 105 | 100 | 112 | 100 | - | |
Предприятия деревообработки по производству столярных изделий мощностью в год: | |||||||||
до 250 тыс. м2 включительно | Производительность труда | 12 | 55 | 68 | 82 | 96 | 75 | 100 | - |
Себестоимость продукции | 12 | 136 | 120 | 111 | 103 | 115 | 100 | - | |
свыше 250 тыс. м2 | Производительность труда | 15 | - | - | - | - | 70 | 98 | - |
Себестоимость продукции | 15 | - | - | - | - | 118 | 102 | - | |
Наименование и характеристика предприятий, производств, цехов и их мощность | Норма продолжительности освоения проектной мощности в месяцах | Уровень освоения проектной мощности в % на конец квартала или года (если норма продолжительности освоения более года) работы предприятий | Объем производства продукции (переработки или добычи сырья) в % от годовой проектной мощности | |||||
первого | второго | третьего | четвертого | в первый год работы | во второй год работы | в третий год работы | ||
Хлопчатобумажная промышленность | ||||||||
Хлопкопрядильная фабрика гребенного прядения мощностью 130 тыс. прядильных веретен: | ||||||||
первый пусковой комплекс мощностью 65 тыс. прядильных веретен | 12 | 50 | 70 | 85 | 100 (на конец второго месяца) | 70 | 100 | - |
второй пусковой комплекс мощностью 65 тыс. прядильных веретен | 8 | 60 | 90 | 100 (на конец первого месяца) | - | 80 | 100 | - |
Хлопкопрядильная фабрика гребенного прядения мощностью 60 тыс. прядильных веретен | 12 | 50 | 70 | 85 | 100 (на конец второго месяца) | 70 | 100 | - |
Хлопкопрядильная фабрика кардного прядения мощностью 40 тыс. прядильных камер (типа БД): | ||||||||
первый пусковой комплекс мощностью 20 тыс. прядильных камер | 12 | 50 | 70 | 85 | 100 (на конец второго месяца) | 70 | 100 | - |
второй пусковой комплекс мощностью 20 тыс. прядильных камер | 9 | 58 | 85 | 100 (на конец второго месяца) | - | 77 | 100 | - |
Хлопкопрядильная фабрика кардного прядения мощностью 70 тыс. прядильных камер (типа БД): | ||||||||
первый пусковой комплекс мощностью 35 тыс. прядильных камер | 13 | 50 | 70 | 85 | 100 | 68 | 100 | - |
второй пусковой комплекс мощностью 35 тыс. прядильных камер | 9 | 58 | 85 | 100 (на конец второго месяца) | - | 77 | 100 | - |
Прядильно-ниточная фабрика мощностью 160 млн. условных катушек в год, в составе прядильного производства - 50 тыс. прядильных веретен и крутильно-ниточного производства - 28 тыс. крутильных веретен: | ||||||||
первый пусковой комплекс - прядильное производство мощностью 50 тыс. веретен | 12 | 50 | 70 | 85 | 100 (на конец второго месяца) | 70 | 100 | - |
второй пусковой комплекс - крутильно-ниточное производство мощностью 28 тыс. крутильных веретен | 8 | 60 | 90 | 100 (на конец первого месяца) | - | 80 | 100 | - |
Прядильно-ткацкая фабрика мощностью 120 тыс. веретен с соответствующим числом ткацких станков | 15 | 85 | 100 (на конец второго месяца) | - | - | 60 | 90 | 100 |
Ткацкая фабрика по производству хлопчатобумажных тканей мощностью 1000 ткацких станков (типа СТБ): | ||||||||
первый пусковой комплекс мощностью 500 ткацких станков (типа СТБ) | 10 | 55 | 80 | 100 | - | 75 | 100 | - |
второй пусковой комплекс мощностью 500 ткацких станков (типа СТБ) | 7 | 70 | 100 | - | - | 85 | 100 | - |
Ткацкая фабрика по производству хлопчатобумажных тканей мощностью 1600 ткацких станков (типа СТБ): | ||||||||
первый пусковой комплекс мощностью 800 ткацких станков (типа СТБ) | 12 | 50 | 70 | 85 | 100 (на конец второго месяца) | 70 | 100 | - |
второй пусковой комплекс мощностью 800 ткацких станков (типа СТБ) | 8 | 60 | 90 | 100 (на конец первого месяца) | - | 80 | 100 | - |
Отделочная фабрика хлопчатобумажных платьевых и одежных тканей мощностью 100 млн. м2 готовых тканей в год: | ||||||||
первый пусковой комплекс мощностью 50 млн. м2 готовых тканей в год | 10 | 55 | 80 | 100 | - | 75 | 100 | - |
второй пусковой комплекс мощностью 50 млн. м2 готовых тканей в год | 6 | 80 | 100 (на конец второго месяца) | - | - | 90 | 100 | - |
Отделочная фабрика хлопчатобумажных платьевых тканей мощностью 200 млн. м2 готовых тканей в год: | ||||||||
первый пусковой комплекс мощностью 100 млн. м2 готовых тканей в год | 12 | 50 | 70 | 85 | 100 (на конец второго месяца) | 70 | 100 | - |
второй пусковой комплекс мощностью 100 млн. м2 готовых тканей в год | 8 | 60 | 90 | 100 (на конец первого месяца) | - | 80 | 100 | - |
Фабрика гигроскопической ваты мощностью 5 тыс. т в год | 12 | 50 | 70 | 85 | 100 (на конец второго месяца) | 70 | 100 | - |
Шерстяная промышленность | ||||||||
Камвольно-суконный комбинат мощностью 55 тыс. веретен с соответствующим приготовительным, ткацким и отделочным оборудованием | 15 | 85 | 100 (на конец второго месяца) | - | - | 60 | 90 | 100 |
Шерстопрядильная фабрика мощностью 50 тыс. веретен | 12 | 50 | 70 | 85 | 100 (на конец второго месяца) | 70 | 100 | - |
Фабрика объемной пряжи мощностью 40 тыс. прядильных веретен с цехами крашения | 9 | 58 | 85 | 100 (на конец второго месяца) | - | 77 | 100 | - |
Фабрика первичной обработки шерсти мощностью 7 моечных агрегатов | 9 | 58 | 85 | 100 (на конец второго месяца) | - | 77 | 100 | - |
Фабрика первичной обработки шерсти мощностью 10 моечных агрегатов | 12 | 50 | 70 | 85 | 100 (на конец второго месяца) | 70 | 100 | - |
Ковровая фабрика мощностью 6 - 10 млн. м2 тафтинговых ковров | 12 | 50 | 70 | 85 | 100 (на конец второго месяца) | 70 | 100 | - |
Шелковая промышленность | ||||||||
Прядильно-ткацкая фабрика по производству шелковых тканей из штапельного волокна мощностью 141 тыс. прядильных веретен и 1018 ткацких станков | 12 | 50 | 70 | 85 | 100 (на конец второго месяца) | 70 | 100 | - |
Прядильно-ткацкая и отделочная фабрика шелковых тканей из штапельного волокна мощностью 153,3 тыс. прядильных веретен, 1140 ткацких станков, 80,4 млн. м2 готовых тканей в год | 15 | 85 | 100 (на конец второго месяца) | - | - | 60 | 90 | 100 |
Комбинат шелковых тканей из химических нитей мощностью 3 тыс. станков с соответствующим крутильным и отделочным оборудованием | 15 | 85 | 100 (на конец второго месяца) | - | - | 60 | 90 | 100 |
Шелкомотальная фабрика с цехом первичной обработки коконов мощностью 3600 ловителей: | ||||||||
первый пусковой комплекс - шелкомотальное производство на 3600 ловителей | 10 | 55 | 80 | 100 | - | 75 | 100 | - |
второй пусковой комплекс - цех первичной обработки коконов | 9 | 58 | 85 | 100 (на конец второго месяца) | - | 77 | 100 | - |
Льняная и пенькоджутовая промышленность | ||||||||
Льночесальная фабрика мощностью 14 агрегатов | 15 | 85 | 100 (на конец второго месяца) | - | - | 60 | 90 | 100 |
Льночесальная фабрика мощностью 6 агрегатов | 12 | 50 | 70 | 85 | 100 (на конец второго месяца) | 70 | 100 | - |
Прядильная фабрика мощностью 25 тыс. прядильных веретен | 12 | 50 | 70 | 85 | 100 (на конец второго месяца) | 70 | 100 | - |
Прядильная фабрика мощностью 10 тыс. прядильных веретен | 10 | 55 | 80 | 100 | - | 75 | 100 | - |
Цех приготовления ровницы и крашения пряжи мощностью 6 тыс. т в год | 12 | 50 | 70 | 85 | 100 (на конец второго месяца) | 70 | 100 | - |
Цех приготовления ровницы и крашения пряжи мощностью 3 тыс. т в год | 10 | 55 | 80 | 100 | - | 75 | 100 | - |
Ткацкая фабрика мощностью 900 ткацких станков | 12 | 50 | 70 | 85 | 100 (на конец второго месяца) | 70 | 100 | - |
Ткацкая фабрика мощностью 400 ткацких станков | 10 | 55 | 80 | 100 | - | 75 | 100 | - |
Отделочная фабрика мощностью 25 млн. м2 готовых бытовых тканей в год | 12 | 50 | 70 | 85 | 100 (на конец второго месяца) | 70 | 100 | - |
Отделочная фабрика мощностью 10 млн. м2 готовых бытовых тканей в год | 10 | 55 | 80 | 100 | - | 75 | 100 | - |
Трикотажная промышленность | ||||||||
Фабрика чулочно-носочных изделий мощностью 50 млн. пар изделий в год | 18 | 80 | 100 (на конец пятого месяца) | - | - | 55 | 90 | 100 |
Фабрика чулочно-носочных изделий мощностью 30 млн. пар изделий в год | 12 | 50 | 70 | 85 | 100 (на конец второго месяца) | 70 | 100 | - |
Фабрика бельевого трикотажа мощностью 9 млн. шт. изделий в год | 10 | 55 | 80 | 100 | - | 75 | 100 | - |
Перчаточная фабрика мощностью 30 млн. пар в год | 12 | 50 | 70 | 85 | 100 (на конец второго месяца) | 70 | 100 | - |
Фабрика по производству женских чулок с машин высоких классов мощностью 40 млн. пар в год | 15 | 85 | 100 (на конец второго месяца) | - | - | 60 | 90 | 100 |
Фабрика по производству детских колготок мощностью 15 млн. шт. в год | 12 | 50 | 70 | 85 | 100 (на конец второго месяца) | 70 | 100 | - |
Фабрика бельевого трикотажа мощностью 18 млн. шт. изделий в год | 15 | 85 | 100 (на конец второго месяца) | - | - | 60 | 90 | 100 |
Фабрика верхнего трикотажа мощностью от 3 до 6 млн. шт. изделий в год | 12 | 50 | 70 | 85 | 100 (на конец второго месяца) | 70 | 100 | - |
Фабрика трикотажного полотна мощностью от 5 до 10 тыс. т полотна в год | 12 | 50 | 70 | 85 | 100 (на конец второго месяца) | 70 | 100 | - |
Швейная фабрика по пошиву бельевого трикотажа из товарного полотна мощностью от 10 до 15 млн. шт. белья в год | 9 | 58 | 85 | 100 (на конец второго месяца) | - | 77 | 100 | - |
Швейная фабрика по пошиву бельевого трикотажа из товарного полотна мощностью 25 млн. шт. белья в год | 12 | 50 | 70 | 85 | 100 (на конец второго месяца) | 70 | 100 | - |
Швейная промышленность | ||||||||
Швейная фабрика мощностью по нормативной стоимости обработки от 1,5 до 2,5 млн. руб. в год | 8 | 60 | 90 | 100 (на конец первого месяца) | - | 80 | 100 | - |
Производство нетканых материалов | ||||||||
Фабрика клееных нетканых материалов мощностью 45 млн. м2 в год: | ||||||||
первый пусковой комплекс мощностью 25 млн. м2 в год | 7 | 70 | 100 | - | - | 85 | 100 | - |
второй пусковой комплекс мощностью 20 млн. м2 в год | 5 | 70 | 100 (на конец первого месяца) | - | - | 92 | 100 | - |
Фабрика клееных нетканых материалов мощностью 95 млн. м2 в год: | ||||||||
первый пусковой комплекс мощностью 50 млн. м2 в год | 9 | 58 | 85 | 100 (на конец второго месяца) | - | 77 | 100 | - |
второй пусковой комплекс мощностью 45 млн. м2 в год | 7 | 70 | 100 | - | - | 85 | 100 | - |
Фабрика нетканых вязально-прошивных материалов мощностью 10 млн. м2 вязально-прошивных нетканых материалов в год: | ||||||||
первый пусковой комплекс мощностью 5 млн. м2 вязально-прошивных нетканых материалов в год | 6 | 80 | 100 (на конец второго месяца) | - | - | 90 | 100 | - |
второй пусковой комплекс мощностью 5 млн. м2 вязально-прошивных нетканых материалов в год | 4 | 100 | - | - | - | 95 | 100 | - |
Фабрика нетканых вязально-прошивных материалов мощностью 15 млн. м2 вязально-прошивных нетканых материалов в год: | ||||||||
первый пусковой комплекс мощностью 7,5 млн. м2 вязально-прошивных нетканых материалов в год | 7 | 70 | 100 | - | - | 85 | 100 | - |
второй пусковой комплекс мощностью 7,5 млн. м2 вязально-прошивных нетканых материалов в год | 5 | 87 | 100 (на конец первого месяца) | - | 92 | 100 | - | |
Фабрика нетканых иглопробивных материалов мощностью 15 млн. м2 в год | 7 | 70 | 100 | - | - | 85 | 100 | - |
Текстильно-галантерейная промышленность | ||||||||
Гардинно-тюлевая фабрика мощностью 350 машин | 12 | 50 | 70 | 85 | 100 (на конец второго месяца) | 70 | 100 | - |
Кружевная фабрика мощностью 300 машин | 12 | 50 | 70 | 85 | 100 (на конец второго месяца) | 70 | 100 | - |
Фабрика по производству гипюра и вышитой ткани мощностью 200 автоматов | 15 | 85 | 100 (на конец второго месяца) | - | - | 60 | 90 | 100 |
Лентоткацкая фабрика мощностью от 600 до 800 лентоткацких станков | 12 | 50 | 70 | 85 | 100 (на конец второго месяца) | 70 | 100 | - |
Фабрика плетеных изделий мощностью 1300 машин | 9 | 58 | 85 | 100 (на конец второго месяца) | - | 77 | 100 | - |
Кожевенно-обувная промышленность | ||||||||
Кожевенный завод по производству мягких кож мощностью 200 млн. дм2 мягких кож в год, в том числе 60 млн. дм2 спилка кожевенного | 12 | 50 | 70 | 85 | 100 (на конец второго месяца) | 70 | 100 | - |
Кожевенный завод по производству мягких кож мощностью 300 млн. дм2 мягких кож в год, в том числе 100 млн. дм2 спилка кожевенного | 15 | 85 | 100 (на конец второго месяца) | - | - | 60 | 90 | 100 |
Завод жестких кож мощностью 120 млн. дм2 кожи в год | 15 | 85 | 100 (на конец второго месяца) | - | - | 60 | 90 | 100 |
Завод первичной обработки сырья мощностью от 800 до 1200 тыс. условных единиц сырья крупного рогатого скота | 9 | 58 | 85 | 100 (на конец второго месяца) | - | 77 | 100 | - |
Обувная фабрика мощностью от 1,5 до 3 млн. пар обуви в год | 15 | 85 | 100 (на конец второго месяца) | - | - | 60 | 90 | 100 |
Кожгалантерейная фабрика мощностью от 25 до 40 млн. руб. продукции в год | 9 | 58 | 85 | 100 (на конец второго месяца) | - | 77 | 100 | - |
Промышленность искусственных кож и пленочных материалов | ||||||||
Завод поливинилхлоридной пленки мощностью 20 млн. м2 в год | 8 | 60 | 90 | 100 (на конец первого месяца) | - | 80 | 100 | - |
Завод мощностью 20 млн. м2 искусственной мягкой кожи на тканевой основе | 15 | 85 | 100 (на конец второго месяца) | - | - | 60 | 90 | 100 |
Завод, цех подошвенной резины мощностью от 20 до 45 тыс. т в год | 12 | 50 | 70 | 85 | 100 (на конец второго месяца) | 70 | 100 | - |
Фабрика обувных картонов мощностью 6 тыс. т в год | 9 | 58 | 85 | 100 (на конец второго месяца) | - | 77 | 100 | - |
Промышленность первичной обработки сельскохозяйственного сырья для текстильной промышленности | ||||||||
Хлопкоочистительный завод мощностью 48 валичных джинов, или 4 пильных джина, или две поточные линии | 9 | 58 | 85 | 100 (на конец второго месяца) | - | 77 | 100 | - |
Участок промышленного приготовления льняной тресты завода первичной обработки льна мощностью 5,5 тыс. т льносоломы в год | 6 | 80 | 100 (на конец второго месяца) | - | - | 90 | 100 | - |
Участок промышленного приготовления льняной тресты завода первичной обработки льна мощностью 11 тыс. т льносоломы в год | 7 | 70 | 100 | - | - | 85 | 100 | - |
Завод первичной обработки льна без участка промышленного приготовления тресты мощностью 4,5 тыс. т льноволокна в год | 9 | 58 | 85 | 100 (на конец второго месяца) | - | 77 | 100 | - |
Фарфоровый завод мощностью 30 млн. шт. изделий в год | 15 | 85 | 100 (на конец второго месяца) | - | 60 | 90 | 100 | |
Примечание. При вводе в действие заводов первичной обработки льна с участками приготовления льнотресты другой мощности нормы продолжительности освоения проектных мощностей по таким заводам устанавливаются Минлегпромом СССР по согласованию с Госпланом СССР. | ||||||||
Наименование и характеристика предприятий, производств, цехов и их мощность | Наименование экономических показателей | Норма продолжительности освоения в месяцах | Средний уровень освоения проектируемого экономического показателя в % | ||||||
в первый год работы | во второй год работы | в третий год работы | |||||||
кварталы | за год | ||||||||
I | II | III | IV | ||||||
Хлопчатобумажная промышленность | |||||||||
Хлопкопрядильная фабрика гребенного прядения мощностью 130 тыс. прядильных веретен: | |||||||||
первый пусковой комплекс мощностью 65 тыс. прядильных веретен | Производительность труда | 12 | 45 | 55 | 80 | 98 | 70 | 100 | - |
Себестоимость продукции | 12 | 120 | 113 | 108 | 105 | 111,5 | 100 | - | |
второй пусковой комплекс мощностью 65 тыс. прядильных веретен | Производительность труда | 8 | 50 | 70 | 100 | 100 | 80 | 100 | - |
Себестоимость продукции | 8 | 113 | 105 | 102 | 100 | 105 | 100 | - | |
Хлопкопрядильная фабрика гребенного прядения мощностью 60 тыс. прядильных веретен | Производительность труда | 12 | 45 | 55 | 80 | 98 | 70 | 100 | - |
Себестоимость продукции | 12 | 120 | 113 | 108 | 105 | 111,5 | 100 | - | |
Хлопкопрядильная фабрика кардного прядения мощностью 40 тыс. прядильных камер (типа БД): | |||||||||
первый пусковой комплекс мощностью 20 тыс. прядильных камер | Производительность труда | 12 | 45 | 55 | 80 | 98 | 70 | 100 | - |
Себестоимость продукции | 12 | 120 | 113 | 108 | 105 | 111,5 | 100 | - | |
второй пусковой комплекс мощностью 20 тыс. прядильных камер | Производительность труда | 9 | 50 | 68 | 90 | 100 | 77 | 100 | - |
Себестоимость продукции | 9 | 115 | 107 | 104 | 100 | 106,5 | 100 | - | |
Хлопкопрядильная фабрика кардного прядения мощностью 70 тыс. прядильных камер (типа БД): | |||||||||
первый пусковой комплекс мощностью 35 тыс. прядильных камер | Производительность труда | 13 | 50 | 62 | 80 | 92 | 68 | 100 | - |
Себестоимость продукции | 13 | 124 | 115 | 110 | 107 | 114 | 100 | 100 | |
второй пусковой комплекс мощностью 35 тыс. прядильных камер | Производительность труда | 9 | 50 | 68 | 90 | 100 | 77 | 100 | - |
Себестоимость продукции | 9 | 115 | 107 | 104 | 100 | 106,5 | 100 | - | |
Прядильно-ниточная фабрика мощностью 160 млн. условных катушек в год, в составе прядильного производства - 50 тыс. прядильных веретен и крутильно-ниточного производства - 28 тыс. крутильных веретен: | |||||||||
первый пусковой комплекс - прядильное производство мощностью 50 тыс. веретен | Производительность труда | 12 | 45 | 55 | 80 | 98 | 70 | 100 | - |
Себестоимость продукции | 12 | 120 | 113 | 108 | 105 | 111,5 | 100 | 100 | |
второй пусковой комплекс - крутильно-ниточное производство мощностью 28 тыс. крутильных веретен | Производительность труда | 8 | 50 | 70 | 100 | 100 | 80 | 100 | - |
Себестоимость продукции | 8 | 112 | 104 | 101 | 100 | 106 | 100 | - | |
Прядильно-ткацкая фабрика мощностью 120 тыс. веретен с соответствующим числом ткацких станков | Производительность труда | 15 | 45 | 55 | 60 | 80 | 60 | 90 | 100 |
Себестоимость продукции | 15 | 118 | 111 | 106 | 102 | 108 | 101,5 | 100 | |
Ткацкая фабрика по производству хлопчатобумажных тканей мощностью 1000 ткацких станков (типа СТБ): | |||||||||
первый пусковой комплекс мощностью 500 ткацких станков (типа СТБ) | Производительность труда | 10 | 50 | 70 | 80 | 100 | 75 | 100 | - |
Себестоимость продукции | 10 | 115 | 109 | 103 | 100 | 107 | 100 | - | |
второй пусковой комплекс мощностью 500 ткацких станков (типа СТБ) | Производительность труда | 7 | 60 | 80 | 100 | 100 | 85 | 100 | - |
Себестоимость продукции | 7 | 108 | 104 | 101 | 100 | 103 | 100 | - | |
Ткацкая фабрика по производству хлопчатобумажных тканей мощностью 1600 ткацких станков (типа СТБ): | |||||||||
первый пусковой комплекс мощностью 800 ткацких станков (типа СТБ) | Производительность труда | 12 | 45 | 55 | 80 | 98 | 70 | 100 | - |
Себестоимость продукции | 12 | 118 | 111 | 105 | 102 | 109 | 100 | - | |
второй пусковой комплекс мощностью 800 ткацких станков (типа СТБ) | Производительность труда | 8 | 50 | 70 | 100 | 100 | 80 | 100 | - |
Себестоимость продукции | 8 | 110 | 105 | 102 | 100 | 104 | 100 | - | |
Отделочная фабрика хлопчатобумажных платьевых и одежных тканей мощностью 100 млн. м2 готовых тканей в год: | |||||||||
первый пусковой комплекс мощностью 50 млн. м2 готовых тканей в год | Производительность труда | 10 | 60 | 70 | 80 | 90 | 75 | 100 | - |
Себестоимость продукции | 10 | 110 | 106 | 103 | 101 | 105 | 100 | - | |
второй пусковой комплекс мощностью 50 млн. м2 готовых тканей в год | Производительность труда | 6 | 75 | 85 | 100 | 100 | 90 | 100 | - |
Себестоимость продукции | 6 | 106 | 104 | 102 | 100 | 103 | 100 | - | |
Отделочная фабрика хлопчатобумажных платьевых тканей мощностью 200 млн. м2 готовых тканей в год: | |||||||||
первый пусковой комплекс мощностью 100 млн. м2 готовых тканей в год | Производительность труда | 12 | 45 | 55 | 80 | 98 | 70 | 100 | - |
Себестоимость продукции | 12 | 112 | 108 | 105 | 102 | 107 | 100 | - | |
второй пусковой комплекс мощностью 100 млн. м2 готовых тканей в год | Производительность труда | 8 | 60 | 70 | 90 | 100 | 80 | 100 | - |
Себестоимость продукции | 8 | 108 | 106 | 102 | 100 | 104 | 100 | - | |
Фабрика гигроскопической ваты мощностью 5 тыс. т в год | Производительность труда | 12 | 45 | 55 | 80 | 98 | 70 | 100 | - |
Себестоимость продукции | 12 | 154 | 134 | 120 | 110 | 129,5 | 100 | - | |
Шерстяная промышленность | |||||||||
Камвольно-суконный комбинат мощностью 55 тыс. веретен с соответствующим приготовительным, ткацким и отделочным оборудованием | Производительность труда | 15 | 45 | 55 | 60 | 80 | 60 | 90 | 100 |
Себестоимость продукции | 15 | 118 | 111 | 106 | 102 | 108 | 100,5 | 100 | |
Шерстопрядильная фабрика мощностью 50 тыс. веретен | Производительность труда | 12 | 47 | 60 | 80 | 98 | 70 | 100 | - |
Себестоимость продукции | 12 | 112 | 108 | 104 | 102 | 106 | 100 | - | |
Фабрика объемной пряжи мощностью 40 тыс. прядильных веретен с цехами крашения | Производительность труда | 9 | 50 | 66 | 90 | 100 | 77 | 100 | - |
Себестоимость продукции | 9 | 109 | 106 | 103 | 100 | 104,5 | 100 | - | |
Фабрика первичной обработки шерсти мощностью 7 моечных агрегатов | Производительность труда | 9 | 50 | 66 | 90 | 100 | 77 | 100 | - |
Себестоимость продукции | 9 | 124 | 113 | 107 | 100 | 111,5 | 100 | - | |
Фабрика первичной обработки шерсти мощностью 10 моечных агрегатов | Производительность труда | 12 | 45 | 54 | 78 | 98 | 68 | 100 | - |
Себестоимость продукции | 12 | 129 | 113 | 107 | 102 | 112 | 100 | - | |
Ковровая фабрика мощностью 6 - 10 млн. м2 тафтинговых ковров | Производительность труда | 12 | 47 | 60 | 80 | 98 | 70 | 100 | - |
Себестоимость продукции | 12 | 113 | 107 | 104 | 102 | 105 | 100 | - | |
Шелковая промышленность | |||||||||
Прядильно-ткацкая фабрика по производству шелковых тканей из штапельного волокна мощностью 141 тыс. прядильных веретен и 1018 ткацких станков | Производительность труда | 12 | 45 | 55 | 80 | 98 | 70 | 100 | - |
Себестоимость продукции | 12 | 125 | 116 | 109 | 105 | 114 | 100 | - | |
Прядильно-ткацкая и отделочная фабрика шелковых тканей из штапельного волокна мощностью 153,3 тыс. прядильных веретен, 1140 ткацких станков, 80,4 млн. м2 готовых тканей в год | Производительность труда | 15 | 45 | 55 | 60 | 80 | 60 | 90 | 100 |
Себестоимость продукции | 15 | 127 | 118 | 112 | 109 | 116 | 105 | 100 | |
Комбинат шелковых тканей из химических нитей мощностью 3 тыс. станков с соответствующим крутильным и отделочным оборудованием | Производительность труда | 15 | 45 | 55 | 60 | 80 | 60 | 90 | 100 |
Себестоимость продукции | 15 | 124 | 116 | 110 | 108 | 115 | 105 | 100 | |
Шелкомотальная фабрика с цехом первичной обработки коконов мощностью 3600 ловителей: | |||||||||
первый пусковой комплекс - шелкомотальное производство на 3600 ловителей | Производительность труда | 10 | 50 | 70 | 80 | 100 | 75 | 100 | - |
Себестоимость продукции | 10 | 140 | 130 | 118 | 109 | 124 | 100 | - | |
второй пусковой комплекс - цех первичной обработки коконов | Производительность труда | 9 | 50 | 68 | 90 | 100 | 77 | 100 | - |
Себестоимость продукции | 9 | 135 | 120 | 107 | 100 | 116 | 100 | - | |
Льняная и пенькоджутовая промышленность | |||||||||
Льночесальная фабрика мощностью 14 агрегатов | Производительность труда | 15 | 45 | 55 | 60 | 80 | 60 | 90 | 100 |
Себестоимость продукции | 15 | 116 | 109 | 105 | 103 | 106 | 101 | 100 | |
Льночесальная фабрика мощностью 6 агрегатов | Производительность труда | 12 | 45 | 55 | 80 | 98 | 70 | 100 | - |
Себестоимость продукции | 12 | 115 | 107 | 102 | 101 | 106 | 100 | - | |
Прядильная фабрика мощностью 25 тыс. прядильных веретен | Производительность труда | 12 | 45 | 55 | 80 | 98 | 70 | 100 | - |
Себестоимость продукции | 12 | 115 | 107 | 102 | 101 | 106 | 100 | - | |
Прядильная фабрика мощностью 10 тыс. прядильных веретен | Производительность труда | 10 | 50 | 70 | 80 | 100 | 75 | 100 | - |
Себестоимость продукции | 10 | 115 | 107 | 102 | 100 | 106 | 100 | - | |
Цех приготовления ровницы и крашения пряжи мощностью 6 тыс. т в год | Производительность труда | 12 | 45 | 55 | 80 | 98 | 70 | 100 | - |
Себестоимость продукции | - | - | - | - | - | - | - | ||
Цех приготовления ровницы и крашения пряжи мощностью 3 тыс. т в год | Производительность труда | 10 | 50 | 70 | 80 | 100 | 75 | 100 | - |
Себестоимость продукции | - | - | - | - | - | - | - | ||
Ткацкая фабрика мощностью 900 ткацких станков | Производительность труда | 12 | 45 | 55 | 80 | 98 | 70 | 100 | - |
Себестоимость продукции | 12 | 118 | 111 | 106 | 102 | 108 | 100 | - | |
Ткацкая фабрика мощностью 400 ткацких станков | Производительность труда | 10 | 50 | 70 | 80 | 100 | 75 | 100 | - |
Себестоимость продукции | 10 | 114 | 105 | 101 | 100 | 105 | 100 | - | |
Отделочная фабрика мощностью 25 млн. м2 готовых бытовых тканей в год | Производительность труда | 12 | 45 | 55 | 80 | 98 | 70 | 100 | - |
Себестоимость продукции | 12 | 115 | 107 | 102 | 101 | 106 | 100 | - | |
Отделочная фабрика мощностью 10 млн. м2 готовых бытовых тканей в год | Производительность труда | 10 | 50 | 70 | 80 | 100 | 75 | 100 | - |
Себестоимость продукции | 10 | 115 | 107 | 102 | 100 | 106 | 100 | - | |
Трикотажная промышленность | |||||||||
Фабрика чулочно-носочных изделий мощностью 50 млн. пар изделий в год | Производительность труда | 18 | 45 | 55 | 60 | 80 | 55 | 90 | 100 |
Себестоимость продукции | 18 | 145 | 135 | 125 | 110 | 128,5 | 106 | 100 | |
Фабрика чулочно-носочных изделий мощностью 30 млн. пар изделий в год | Производительность труда | 12 | 45 | 55 | 80 | 98 | 70 | 100 | - |
Себестоимость продукции | 12 | 142 | 126 | 112 | 104 | 121 | 100 | - | |
Фабрика бельевого трикотажа мощностью 9 млн. шт. изделий в год | Производительность труда | 10 | 50 | 70 | 80 | 100 | 75 | 100 | - |
Себестоимость продукции | 10 | 140 | 125 | 115 | 105 | 121 | 100 | - | |
Перчаточная фабрика мощностью 30 млн. пар в год | Производительность труда | 12 | 45 | 55 | 80 | 98 | 70 | 100 | - |
Себестоимость продукции | 12 | 141 | 125 | 115 | 104 | 121 | 100 | - | |
Фабрика по производству женских чулок с машин высоких классов мощностью 40 млн. пар в год | Производительность труда | 15 | 45 | 55 | 60 | 80 | 60 | 90 | 100 |
Себестоимость продукции | 15 | 142 | 126 | 116 | 109 | 125 | 105 | 100 | |
Фабрика по производству детских колготок мощностью 15 млн. шт. в год | Производительность труда | 12 | 45 | 55 | 80 | 98 | 70 | 100 | - |
Себестоимость продукции | 12 | 142 | 126 | 112 | 104 | 121 | 100 | - | |
Фабрика бельевого трикотажа мощностью 18 млн. шт. изделий в год | Производительность труда | 15 | 45 | 55 | 80 | 90 | 60 | 90 | 100 |
Себестоимость продукции | 15 | 141 | 125 | 115 | 109 | 124 | 105 | 100 | |
Фабрика верхнего трикотажа мощностью от 3 до 6 млн. шт. изделий в год | Производительность труда | 12 | 45 | 55 | 80 | 98 | 70 | 100 | - |
Себестоимость продукции | 12 | 141 | 125 | 112 | 104 | 121 | 100 | - | |
Фабрика трикотажного полотна мощностью от 5 до 10 тыс. т полотна в год | Производительность труда | 12 | 45 | 55 | 80 | 98 | 70 | 100 | - |
Себестоимость продукции | 12 | 131 | 117 | 108 | 103 | 114,5 | 100 | - | |
Швейная фабрика по пошиву бельевого трикотажа из товарного полотна мощностью от 10 до 15 млн. шт. белья в год | Производительность труда | 9 | 50 | 68 | 90 | 100 | 77 | 100 | - |
Себестоимость продукции | 9 | 124 | 111 | 104 | 100 | 109,5 | 100 | - | |
Швейная фабрика по пошиву бельевого трикотажа из товарного полотна мощностью 25 млн. шт. белья в год | Производительность труда | 12 | 45 | 55 | 80 | 98 | 70 | 100 | - |
Себестоимость продукции | 12 | 140 | 125 | 115 | 110 | 120 | 100 | - | |
Швейная промышленность | |||||||||
Швейная фабрика мощностью по нормативной стоимости обработки от 1,5 до 2,5 млн. руб. в год | Производительность труда | 8 | 60 | 70 | 90 | 100 | 80 | 100 | - |
Себестоимость продукции | 8 | 103 | 102 | 101 | 100 | 101,5 | 100 | - | |
Производство нетканых материалов | |||||||||
Фабрика клееных нетканых материалов мощностью 45 млн. м2 в год: | |||||||||
первый пусковой комплекс мощностью 25 млн. м2 в год | Производительность труда | 7 | 55 | 85 | 100 | 100 | 85 | 100 | - |
Себестоимость продукции | 7 | 120 | 105 | 100 | 100 | 106 | 100 | - | |
второй пусковой комплекс мощностью 20 млн. м2 в год | Производительность труда | 5 | 73 | 95 | 100 | 100 | 92 | 100 | - |
Себестоимость продукции | 5 | 108 | 102 | 100 | 100 | 102,5 | 100 | - | |
Фабрика клееных нетканых материалов мощностью 95 млн. м2 в год: | |||||||||
первый пусковой комплекс мощностью 50 млн. м2 в год | Производительность труда | 9 | 50 | 68 | 90 | 100 | 77 | 100 | - |
Себестоимость продукции | 9 | 118 | 107 | 101 | 100 | 106,5 | 100 | - | |
второй пусковой комплекс мощностью 45 млн. м2 в год | Производительность труда | 7 | 55 | 75 | 95 | 100 | 85 | 100 | - |
Себестоимость продукции | 7 | 112 | 104 | 110 | 100 | 104 | 100 | - | |
Фабрика нетканых вязально-прошивных материалов мощностью 10 млн. м2 вязально-прошивных нетканых материалов в год: | |||||||||
первый пусковой комплекс мощностью 5 млн. м2 вязально-прошивных нетканых материалов в год | Производительность труда | 6 | 65 | 85 | 100 | 100 | 90 | 100 | - |
Себестоимость продукции | 6 | 110 | 103 | 100 | 100 | 103 | 100 | - | |
второй пусковой комплекс мощностью 5 млн. м2 вязально-прошивных нетканых материалов в год | Производительность труда | 4 | 80 | 95 | 100 | 100 | 95 | 100 | - |
Себестоимость продукции | 4 | 107 | 100 | 100 | 100 | 102 | 100 | - | |
Фабрика нетканых вязально-прошивных материалов мощностью 15 млн. м2 вязально-прошивных нетканых материалов в год: | |||||||||
первый пусковой комплекс мощностью 7,5 млн. м2 вязально-прошивных нетканых материалов в год | Производительность труда | 7 | 55 | 85 | 100 | 100 | 85 | 100 | - |
Себестоимость продукции | 7 | 120 | 105 | 100 | 100 | 106 | 100 | - | |
второй пусковой комплекс мощностью 7,5 млн. м2 вязально-прошивных нетканых материалов в год | Производительность труда | 5 | 73 | 95 | 100 | 100 | 92 | 100 | - |
Себестоимость продукции | 5 | 108 | 102 | 100 | 100 | 102,5 | 100 | - | |
Фабрика нетканых иглопробивных материалов мощностью 15 млн. м2 в год | Производительность труда | 7 | 55 | 85 | 100 | 100 | 85 | 100 | - |
Себестоимость продукции | 7 | 120 | 105 | 100 | 100 | 106 | 100 | - | |
Текстильно-галантерейная промышленность | |||||||||
Гардинно-тюлевая фабрика мощностью 350 машин | Производительность труда | 12 | 45 | 55 | 80 | 98 | 70 | 100 | - |
Себестоимость продукции | 12 | 130 | 120 | 105 | 101 | 114 | 100 | - | |
Кружевная фабрика мощностью 300 машин | Производительность труда | 12 | 45 | 55 | 80 | 98 | 70 | 100 | - |
Себестоимость продукции | 12 | 130 | 120 | 105 | 101 | 114 | 100 | - | |
Фабрика по производству гипюра и вышитой ткани мощностью на 200 автоматов | Производительность труда | 15 | 40 | 55 | 70 | 80 | 60 | 90 | 100 |
Себестоимость продукции | 15 | 140 | 125 | 115 | 107 | 120 | 103 | 100 | |
Лентоткацкая фабрика мощностью от 600 до 800 лентоткацких станков | Производительность труда | 12 | 45 | 55 | 80 | 98 | 70 | 100 | - |
Себестоимость продукции | 12 | 130 | 120 | 105 | 101 | 114 | 100 | - | |
Фабрика плетеных изделий мощностью 1300 машин | Производительность труда | 9 | 50 | 68 | 90 | 100 | 77 | 100 | - |
Себестоимость продукции | 9 | 120 | 105 | 100 | 100 | 106 | 100 | - | |
Кожевенно-обувная промышленность | |||||||||
Кожевенный завод по производству мягких кож мощностью 200 млн. дм2 мягких кож в год, в том числе 60 млн. дм2 спилка кожевенного | Производительность труда | 12 | 45 | 55 | 80 | 98 | 70 | 100 | - |
Себестоимость продукции | 12 | 113 | 105 | 102 | 101 | 105 | 100 | - | |
Кожевенный завод по производству мягких кож мощностью 300 млн. дм2 мягких кож в год, в том числе 100 млн. дм2 спилка кожевенного | Производительность труда | 15 | 45 | 55 | 60 | 80 | 60 | 90 | 100 |
Себестоимость продукции | 15 | 118 | 113 | 109 | 106 | 112 | 102 | 100 | |
Завод жестких кож мощностью 120 млн. дм2 кожи в год | Производительность труда | 15 | 45 | 55 | 60 | 80 | 60 | 90 | 100 |
Себестоимость продукции | 15 | 118 | 113 | 110 | 108 | 112,5 | 104 | 100 | |
Завод первичной обработки сырья мощностью от 800 до 1200 тыс. условных единиц сырья крупного рогатого скота | Производительность труда | 9 | 50 | 68 | 90 | 100 | 77 | 100 | - |
Себестоимость продукции | 9 | 108 | 106 | 103 | 100 | 104,5 | 100 | - | |
Обувная фабрика мощностью 1,5 - 3 млн. пар обуви в год | Производительность труда | 15 | 45 | 55 | 60 | 80 | 60 | 90 | 100 |
Себестоимость продукции | 15 | 114 | 113 | 110 | 107 | 111 | 103 | 100 | |
Кожгалантерейная фабрика мощностью от 25 до 40 млн. руб. продукции в год | Производительность труда | 9 | 50 | 68 | 90 | 100 | 77 | 100 | - |
Себестоимость продукции | 9 | 108 | 104 | 102 | 100 | 103,5 | 100 | - | |
Промышленность искусственных кож и пленочных материалов | |||||||||
Завод поливинилхлоридной пленки мощностью 20 млн. м2 в год | Производительность труда | 8 | 53 | 75 | 92 | 100 | 80 | 100 | - |
Себестоимость продукции | 8 | 112 | 108 | 104 | 100 | 106 | 100 | - | |
Завод мощностью 20 млн. м2 искусственной мягкой кожи на тканевой основе | Производительность труда | 15 | 45 | 55 | 60 | 80 | 60 | 90 | 100 |
Себестоимость продукции | 15 | 117 | 112 | 108 | 103 | 110 | 101,5 | 100 | |
Завод, цех подошвенной резины мощностью от 20 до 45 тыс. т в год | Производительность труда | 12 | 45 | 55 | 80 | 98 | 70 | 100 | - |
Себестоимость продукции | 12 | 116 | 114 | 110 | 108 | 112 | 100 | - | |
Фабрика обувных картонов мощностью 6 тыс. т в год | Производительность труда | 9 | 50 | 68 | 90 | 100 | 77 | 100 | - |
Себестоимость продукции | 9 | 108 | 106 | 103 | 100 | 104,5 | 100 | - | |
Промышленность первичной обработки сельскохозяйственного сырья для текстильной промышленности | |||||||||
Хлопкоочистительный завод мощностью 48 валичных джинов, или 4 пильных джина, или две поточные линии | Производительность труда | 9 | 50 | 68 | 90 | 100 | 77 | 100 | - |
Себестоимость продукции | 9 | 120 | 110 | 105 | 100 | 109 | 100 | - | |
Участок промышленного приготовления льняной тресты завода первичной обработки льна мощностью 5,5 тыс. т льносоломы в год | Производительность труда | 6 | 70 | 90 | 100 | 100 | 90 | 100 | - |
Себестоимость продукции | 6 | 110 | 106 | 100 | 100 | 104 | 100 | - | |
Участок промышленного приготовления льняной тресты завода первичной обработки льна мощностью 11 тыс. т льносоломы в год | Производительность труда | 7 | 65 | 80 | 95 | 100 | 85 | 100 | - |
Себестоимость продукции | 7 | 115 | 110 | 105 | 100 | 106 | 100 | - | |
Завод первичной обработки льна без участка промышленного приготовления тресты мощностью 4,5 тыс. т льноволокна в год | Производительность труда | 9 | 50 | 68 | 90 | 100 | 77 | 100 | - |
Себестоимость продукции | 9 | 120 | 110 | 105 | 100 | 109 | 100 | - | |
Фарфоровый завод мощностью 30 млн. шт. изделий в год | Производительность труда | 15 | 45 | 55 | 60 | 80 | 60 | 90 | 100 |
Себестоимость продукции | 15 | 125 | 116 | 115 | 111 | 116,5 | 105 | 100 | |
Наименование и характеристика предприятий, производств, цехов и их мощность | Норма продолжительности освоения проектной мощности в месяцах | Уровень освоения проектной мощности в % на конец квартала или года (если норма продолжительности освоения более года) работы предприятий | Объем производства продукции (переработки или добычи сырья) в % от годовой проектной мощности | |||||
первого | второго | третьего | четвертого | в первый год работы | во второй год работы | в третий год работы | ||
Сахарный завод мощностью по переработке 6 тыс. т свеклы в сутки | 10 | 65 | 85 | 100 | - | 60 | 80 | 90 |
Маргариновый завод мощностью до 70 тыс. т маргариновой продукции и 10 тыс. т майонеза в год | 5 | 75 | 100 (на конец первого месяца) | - | - | 87 | 100 | - |
Маслоэкстракционный завод мощностью по переработке масличных культур от 1000 до 1200 т в сутки | 9 | 57 | 78 | 100 (на конец второго месяца) | - | 77 | 100 | - |
Хлебозавод мощностью от 30 до 65 т хлебобулочных изделий и 3 т тортов и пирожных в сутки | 5 | 75 | 100 (на конец первого месяца) | - | - | 87 | 100 | - |
Хлебозавод мощностью 100 т хлебобулочных изделий в сутки | 5 | 75 | 100 (на конец первого месяца) | 100 | - | 87 | 100 | - |
Хлебозавод мощностью 135 т хлебобулочных изделий в сутки | 10 | 60 | 80 | - | - | 75 | 100 | - |
Кондитерская фабрика мощностью до 30 тыс. т кондитерских изделий в год | 10 | 60 | 80 | 100 | - | 75 | 100 | - |
Завод по производству шампанских вин мощностью 20 млн. бутылок в год | 18 | 80 | 100 (на конец пятого месяца) | - | - | 55 | 90 | 100 |
Солодовенный завод мощностью свыше 40 тыс. т солода в год | 15 | 85 | 100 (на конец, второго месяца) | - | - | 60 | 90 | 100 |
Солодовенный завод мощностью от 80 тыс. т солода в год и выше | 18 | 80 | 100 (на конец пятого месяца) | - | - | 55 | 87 | 100 |
Пивоваренный завод мощностью от 7 до 10 млн. дал пива в год | 12 | 50 | 70 | 85 | 100 (на конец второго месяца) | 70 | 100 | - |
Пивоваренный завод мощностью 10 млн. дал пива в год | 15 | 85 | 100 (на конец второго месяца) | - | - | 60 | 90 | 100 |
Парфюмерно-косметическая фабрика мощностью свыше 65 млн. руб. в год парфюмерно-косметических изделий | 13 | 50 | 70 | 82 | 90 | 70 | 95 | 100 |
Наименование и характеристика предприятий, производств, цехов и их мощность | Наименование экономических показателей | Норма продолжительности освоения в месяцах | Средний уровень освоения проектируемого экономического показателя в % | ||||||
в первый год работы | во второй год работы | в третий год работы | |||||||
кварталы | за год | ||||||||
I | II | III | IV | ||||||
Сахарный завод мощностью по переработке 6 тыс. т свеклы в сутки | Производительность труда | 10 | - | - | - | - | 60 | 80 | 90 |
Себестоимость продукции | 10 | - | - | - | - | 111 | 104 | 101 | |
Маргариновый завод мощностью до 70 тыс. т в год маргариновой продукции и 10 тыс. т майонеза | Производительность труда | 5 | 55 | 91 | 100 | 100 | 86 | 100 | - |
Себестоимость продукции | 5 | 103 | 101 | 100 | 100 | 101 | 100 | - | |
Маслоэкстракционный завод мощностью по переработке масличных культур от 1000 до 1200 т в сутки | Производительность труда | 9 | 46 | 67 | 89 | 100 | 76 | 100 | - |
Себестоимость продукции | 9 | 106 | 102 | 101 | 100 | 102 | 100 | - | |
Хлебозавод мощностью от 30 до 65 т хлебобулочных изделий и 3 т тортов и пирожных в сутки | Производительность труда | 5 | 62 | 92 | 100 | 100 | 89 | 100 | - |
Себестоимость продукции | 5 | 107 | 101 | 100 | 100 | 102 | 100 | - | |
Хлебозавод мощностью 100 т хлебобулочных изделий в сутки | Производительность труда | 5 | 62 | 92 | 100 | 100 | 89 | 100 | - |
Себестоимость продукции | 5 | 106 | 101 | 100 | 100 | 102 | 100 | - | |
Хлебозавод мощностью 135 т хлебобулочных изделий в сутки | Производительность труда | 10 | 55 | 70 | 88 | 100 | 78 | 100 | - |
Себестоимость продукции | 10 | 109 | 104 | 102 | 100 | 104 | 100 | - | |
Кондитерская фабрика мощностью до 30 тыс. т кондитерских изделий в год | Производительность труда | 10 | 50 | 65 | 85 | 100 | 75 | 100 | - |
Себестоимость продукции | 10 | 105 | 103 | 101 | 100 | 102 | 100 | - | |
Завод по производству шампанских вин мощностью 20 млн. бутылок в год | Производительность труда | 18 | - | - | - | - | 55 | 90 | 100 |
Себестоимость продукции | 18 | - | - | - | - | 111 | 103 | 100 | |
Солодовенный завод мощностью свыше 40 тыс. т солода в год | Производительность труда | 15 | - | - | - | - | 60 | 90 | 100 |
Себестоимость продукции | 15 | - | - | - | - | 113 | 103 | 100 | |
Солодовенный завод мощностью от 80 тыс. т солода в год и выше | Производительность труда | 18 | - | - | - | - | 55 | 87 | 100 |
Себестоимость продукции | 18 | - | - | - | - | 114 | 104 | 100 | |
Пивоваренный завод мощностью от 7 до 10 млн. дал пива в год | Производительность труда | 12 | 49 | 60 | 78 | 93 | 70 | 100 | - |
Себестоимость продукции | 12 | 131 | 120 | 109 | 104 | 116 | 100 | - | |
Пивоваренный завод мощностью 10 млн. дал пива в год | Производительность труда | 15 | - | - | - | - | 60 | 90 | 100 |
Себестоимость продукции | 15 | - | - | - | - | 120 | 105 | 100 | |
Парфюмерно-косметическая фабрика мощностью свыше 65 млн. руб. в год парфюмерно-косметических изделий | Производительность труда | 13 | - | - | - | - | 70 | 95 | 100 |
Себестоимость продукции | 13 | - | - | - | - | 104 | 100,5 | 100 | |
Примечание. По сахарным заводам мощностью по переработке 6 тыс. т свеклы в сутки уровни освоения проектных экономических показателей в четвертый год работы составляют 100%. | |||||||||
Наименование и характеристика предприятий, производств, цехов и их мощность | Норма продолжительности освоения проектной мощности в месяцах | Уровень освоения проектной мощности в % на конец квартала или года (если норма продолжительности освоения более года) работы предприятий | Объем производства продукции (переработки или добычи сырья) в % от годовой проектной мощности | |||||
первого | второго | третьего | четвертого | в первый год работы | во второй год работы | в третий год работы | ||
Мясная промышленность | ||||||||
Производство мяса мощностью до 50 т в смену | 3 | 100 (на конец второго месяца) | - | - | - | 90 | 100 | - |
Производство мяса мощностью от 51 до 100 т в смену | 5 | 70 | 100 (на конец первого месяца) | - | - | 87 | 100 | - |
Производство мяса мощностью свыше 100 т в смену | 9 | 55 | 85 | 100 (на конец второго месяца) | - | 80 | 100 | - |
Переработка мяса мощностью до 30 т в смену | 3 | 100 (на конец второго месяца) | - | - | - | 90 | 100 | - |
Переработка мяса мощностью от 31 до 75 т в смену | 5 | 80 | 100 (на конец первого месяца) | - | - | 87 | 100 | - |
Переработка мяса мощностью свыше 75 т в смену | 8 | 60 | 90 | 100 (на конец первого месяца) | - | 75 | 100 | - |
Производство мясных консервов мощностью 100 тыс. усл. банок в смену и выше | 9 | 60 | 80 | 100 (на конец второго месяца) | - | 75 | 100 | - |
Молочная промышленность | ||||||||
Молочный завод мощностью 25 т цельномолочной продукции в смену | 3 | 100 (на конец второго месяца) | - | - | - | 95 | 100 | - |
Молочный комбинат мощностью 50 т цельномолочной продукции в смену | 7 | 70 | 100 | - | - | 85 | 100 | - |
Молочный комбинат мощностью 100 т цельномолочной продукции в смену | 9 | 65 | 85 | 100 (на конец второго месяца) | - | 80 | 100 | - |
Молочный комбинат мощностью 150 т цельномолочной продукции в смену | 9 | 65 | 85 | 100 (на конец второго месяца) | - | 80 | 100 | - |
Сыродельный комбинат мощностью от 2,5 до 2,8 т сыра в смену | 3 | 100 (на конец второго месяца) | - | - | - | 95 | 100 | - |
Сыродельный комбинат мощностью от 5 до 6,5 т сыра в смену | 7 | 70 | 100 | - | - | 87 | 100 | - |
Сыродельный комбинат мощностью от 10 до 12 т сыра в смену | 9 | 65 | 85 | 100 (на конец второго месяца) | - | 85 | 100 | - |
Цех сухого обезжиренного молока или заменителя цельного молока мощностью от 2,5 до 3 т в смену | 3 | 100 (на конец второго месяца) | - | - | - | 95 | 100 | - |
Цех сухого обезжиренного молока или заменителя цельного молока мощностью от 5 до 6 т в смену | 5 | 85 | 100 (на конец первого месяца) | - | - | 90 | 100 | - |
Цех сухого обезжиренного молока или заменителя цельного молока мощностью от 10 до 12 т в смену | 9 | 65 | 85 | 100 (на конец второго месяца) | - | 80 | 100 | - |
Маслодельный комбинат с выработкой сухого обезжиренного молока или заменителя цельного молока мощностью от 2,5 до 3 т в смену | 3 | 100 (на конец второго месяца) | - | - | - | 95 | 100 | - |
Маслодельный комбинат с выработкой сухого обезжиренного молока или заменителя цельного молока мощностью от 5 до 6 т в смену | 6 | 75 | 100 (на конец второго месяца) | - | - | 85 | 100 | - |
Маслодельный комбинат с выработкой сухого обезжиренного молока или заменителя цельного молока мощностью от 10 до 12 т в смену | 9 | 65 | 85 | 100 (на конец второго месяца) | - | 80 | 100 | - |
Примечания: 1. Нормы продолжительности освоения проектных мощностей вводимых в действие предприятий мясной и молочной промышленности с неравномерным поступлением сырья установлены с учетом соблюдения следующего условия: предприятие в последнем месяце нормативного срока освоения работает в период максимального поступления сырья (скота, птицы, молока) на переработку. Для предприятий, введенных в действие в сроки, не позволяющие обеспечить это условие, норма увеличивается на минимальное число месяцев в году, по истечении которых последний месяц нормативного срока освоения приходится на период максимального поступления сырья на переработку. | ||||||||
2. Уровень освоения проектной мощности предприятий мясной и молочной промышленности при неравномерном поступлении сырья на переработку определяется по периоду максимального поступления скота, птицы или молока при работе предприятий в течение месяца по установленному режиму. | ||||||||
Уровень освоения проектной мощности молочных заводов определяется с учетом работы предприятия в течение месяца в одну смену, но при этом предприятие должно отработать не менее 30 смен. | ||||||||
3. Объем производства продукции молочных заводов и комбинатов установлен с учетом наличия сырья и потребителей продукции в соответствии с проектом. В остальных случаях объем производства продукции устанавливается министерством по согласованию с Госпланом СССР. | ||||||||
4. По сыродельным и маслодельным комбинатам объемы производства продукции в процентах от годовой проектной мощности определяются с учетом режимного количества смен работы в год. | ||||||||
Наименование и характеристика предприятий, производств, цехов и их мощность | Наименование экономических показателей | Норма продолжительности освоения в месяцах | Средний уровень освоения проектируемого экономического показателя в % | ||||||
в первый год работы | во второй год работы | в третий год работы | |||||||
кварталы | за год | ||||||||
I | II | III | IV | ||||||
Мясная промышленность | |||||||||
Производство мяса мощностью до 50 т в смену | Производительность труда | 3 | 85 | 100 | 100 | 100 | 95 | 100 | - |
Себестоимость продукции | 3 | 125 | 100 | 100 | 100 | 105 | 100 | - | |
Производство мяса мощностью от 51 до 100 т в смену | Производительность труда | 5 | 80 | 90 | 100 | 100 | 90 | 100 | - |
Себестоимость продукции | 5 | 122 | 112 | 100 | 100 | 110 | 100 | - | |
Производство мяса мощностью свыше 100 т в смену | Производительность труда | 9 | 75 | 85 | 90 | 100 | 85 | 100 | - |
Себестоимость продукции | 9 | 130 | 120 | 108 | 100 | 115 | 100 | - | |
Переработка мяса мощностью до 30 т в смену | Производительность труда | 3 | 85 | 100 | 100 | 100 | 95 | 100 | - |
Себестоимость продукции | 3 | 130 | 100 | 100 | 100 | 107 | 100 | - | |
Переработка мяса мощностью от 31 до 75 т в смену | Производительность труда | 5 | 80 | 90 | 100 | 100 | 90 | 100 | - |
Себестоимость продукции | 5 | 128 | 115 | 100 | 100 | 111 | 100 | - | |
Переработка мяса мощностью свыше 75 т в смену | Производительность труда | 8 | 65 | 75 | 90 | 100 | 80 | 100 | - |
Себестоимость продукции | 8 | 128 | 119 | 110 | 100 | 112 | 100 | - | |
Производство мясных консервов мощностью 100 тыс. усл. банок в смену и выше | Производительность труда | 9 | 75 | 85 | 90 | 100 | 85 | 100 | - |
Себестоимость продукции | 9 | 130 | 120 | 108 | 100 | 115 | 100 | - | |
Молочная промышленность | |||||||||
Молочный завод мощностью 25 т цельномолочной продукции в смену | Производительность труда | 3 | 80 | 100 | 100 | 100 | 95 | 100 | - |
Себестоимость продукции | 3 | 107 | 100 | 100 | 100 | 105 | 100 | - | |
Молочный комбинат мощностью 50 т цельномолочной продукции в смену | Производительность труда | 7 | 60 | 80 | 100 | 100 | 85 | 100 | - |
Себестоимость продукции | 7 | 109 | 106 | 100 | 100 | 106 | 100 | - | |
Молочный комбинат мощностью 100 т цельномолочной продукции в смену | Производительность труда | 9 | 60 | 75 | 90 | 100 | 80 | 100 | - |
Себестоимость продукции | 9 | 110 | 107 | 105 | 100 | 106 | 100 | - | |
Молочный комбинат мощностью 150 т цельномолочной продукции в смену | Производительность труда | 9 | 60 | 75 | 90 | 100 | 80 | 100 | - |
Себестоимость продукции | 9 | 110 | 107 | 105 | 100 | 106 | 100 | - | |
Сыродельный комбинат мощностью от 2,5 до 2,8 т сыра в смену | Производительность труда | 3 | 80 | 100 | 100 | 100 | 95 | 100 | - |
Себестоимость продукции | 3 | 110 | 100 | 100 | 100 | 105 | 100 | - | |
Сыродельный комбинат мощностью от 5 до 6,5 т сыра в смену | Производительность труда | 7 | 60 | 85 | 100 | 100 | 85 | 100 | - |
Себестоимость продукции | 7 | 117 | 112 | 100 | 100 | 112 | 100 | - | |
Сыродельный комбинат мощностью от 10 до 12 т сыра в смену | Производительность труда | 9 | 60 | 75 | 90 | 100 | 80 | 100 | - |
Себестоимость продукции | 9 | 114 | 108 | 105 | 100 | 107 | 100 | - | |
Цех сухого обезжиренного молока или заменителя цельного молока мощностью от 2,5 до 3 т в смену | Производительность труда | 3 | 80 | 100 | 100 | 100 | 95 | 100 | - |
Себестоимость продукции | 3 | 107 | 100 | 100 | 100 | 105 | 100 | - | |
Цех сухого обезжиренного молока или заменителя цельного молока мощностью от 5 до 6 т в смену | Производительность труда | 5 | 65 | 95 | 100 | 100 | 90 | 100 | - |
Себестоимость продукции | 5 | 115 | 104 | 100 | 100 | 106 | 100 | - | |
Цех сухого обезжиренного молока или заменителя цельного молока мощностью от 10 до 12 т в смену | Производительность труда | 9 | 60 | 80 | 90 | 100 | 85 | 100 | - |
Себестоимость продукции | 9 | 113 | 108 | 105 | 100 | 107 | 100 | - | |
Маслодельный комбинат с выработкой сухого обезжиренного молока или заменителя цельного молока мощностью от 2,5 до 3 т в смену | Производительность труда | 3 | 80 | 100 | 100 | 100 | 95 | 100 | - |
Себестоимость продукции | 3 | 107 | 100 | 100 | 100 | 105 | 100 | - | |
Маслодельный комбинат с выработкой сухого обезжиренного молока или заменителя цельного молока мощностью от 5 до 6 т в смену | Производительность труда | 6 | 60 | 90 | 100 | 100 | 90 | 100 | - |
Себестоимость продукции | 6 | 117 | 106 | 100 | 100 | 107 | 100 | - | |
Маслодельный комбинат с выработкой сухого обезжиренного молока или заменителя цельного молока мощностью от 10 до 12 т в смену | Производительность труда | 9 | 60 | 80 | 90 | 100 | 85 | 100 | - |
Себестоимость продукции | 9 | 117 | 109 | 106 | 100 | 108 | 100 | - | |
Примечания: 1. Нормы продолжительности освоения проектных экономических показателей вводимых в действие предприятий мясной и молочной промышленности с неравномерным поступлением сырья установлены с учетом соблюдения следующего условия: предприятие в последнем месяце нормативного срока освоения работает в период максимального поступления сырья (скота, птицы, молока) на переработку. Для предприятий, введенных в действие в сроки, не позволяющие обеспечить это условие, норма увеличивается на минимальное число месяцев в году, по истечении которых последний месяц нормативного срока освоения приходится на период максимального поступления сырья на переработку. | |||||||||
2. Уровни освоения проектных экономических показателей предприятий мясной и молочной промышленности при неравномерном поступлении сырья на переработку определяются по периоду максимального поступления скота, птицы или молока при работе предприятий в течение месяца по установленному режиму. | |||||||||
Наименование и характеристика предприятий, производств, цехов и их мощность | Норма продолжительности освоения проектной мощности в месяцах | Уровень освоения проектной мощности в % на конец квартала или года (если норма продолжительности освоения более года) работы предприятий | Объем производства продукции (переработки или добычи сырья) в % от годовой проектной мощности | |||||
первого | второго | третьего | четвертого | в первый год работы | во второй год работы | в третий год работы | ||
Плодоовощной консервный завод мощностью до 50 млн. усл. банок в год | 3 | 100 (на конец второго месяца) | - | - | - | 95 | 100 | - |
Плодоовощной консервный завод мощностью свыше 50 млн. усл. банок в год | 6 | 80 | 100 (на конец второго месяца) | - | - | 90 | 100 | - |
Овощесушильный завод мощностью 600 т в год сушеной продукции (в пересчете на картофель 12%-ной влажности) | 6 | 80 | 100 (на конец второго месяца) | - | - | 90 | 100 | - |
Овощесушильный завод мощностью 1200 т в год сушеной продукции (в пересчете на картофель 12%-ной влажности) | 9 | 70 | 90 | 100 (на конец второго месяца) | - | 85 | 100 | - |
Цех по производству сухого картофельного пюре мощностью 800 т в год | 6 | 80 | 100 (на конец второго месяца) | - | - | 90 | 100 | - |
Цех по производству сухого картофельного пюре мощностью 1600 т в год | 9 | 70 | 90 | 100 (на конец второго месяца) | - | 85 | 100 | - |
Примечания: 1. Под нормой продолжительности освоения проектной мощности следует понимать время от начала массовой переработки сырья до устойчивого выпуска продукции. Длительность устойчивого выпуска продукции суммарно равна одному месяцу и слагается из времени переработки основных видов сырья согласно профилю данного завода. | ||||||||
2. Нормы освоения проектных мощностей для реконструируемых и расширяемых предприятий, цехов принимается по утвержденным нормам для новых объектов, уменьшенным не менее чем на 40 - 50% в зависимости от мощности. | ||||||||
3. Норма продолжительности освоения проектной мощности плодоовощных консервных заводов мощностью свыше 50 млн. усл. банок в год в связи с сезонным поступлением сырья на переработку может быть уточнена по согласованию с Госпланом СССР. | ||||||||
Наименование и характеристика предприятий, производств, цехов и их мощность | Наименование экономических показателей | Норма продолжительности освоения в месяцах | Средний уровень освоения проектируемого экономического показателя в % | ||||||
в первый год работы | во второй год работы | в третий год работы | |||||||
кварталы | за год | ||||||||
I | II | III | IV | ||||||
Плодоовощной консервный завод мощностью до 50 млн. усл. банок в год | Производительность труда | 3 | 90 | 100 | 100 | 100 | 95 | 100 | - |
Себестоимость продукции | 3 | 107 | 100 | 100 | 100 | 102 | 100 | - | |
Плодоовощной консервный завод мощностью свыше 50 млн. усл. банок в год | Производительность труда | 6 | 70 | 91 | 100 | 100 | 90 | 100 | - |
Себестоимость продукции | 6 | 111 | 102 | 100 | 100 | 103 | 100 | - | |
Овощесушильный завод мощностью 600 т в год сушеной продукции (в пересчете на картофель 12%-ной влажности) | Производительность труда | 6 | 65 | 90 | 100 | 100 | 90 | 100 | - |
Себестоимость продукции | 6 | 109 | 103 | 100 | 100 | 103 | 100 | - | |
Овощесушильный завод мощностью 1200 т в год сушеной продукции (в пересчете на картофель 12%-ной влажности) | Производительность труда | 9 | 54 | 69 | 95 | 100 | 85 | 100 | - |
Себестоимость продукции | 9 | 117 | 110 | 103 | 100 | 107 | 100 | - | |
Цех по производству сухого картофельного пюре мощностью 800 т в год | Производительность труда | 6 | 70 | 96 | 100 | 100 | 90 | 100 | - |
Себестоимость продукции | 6 | 111 | 104 | 100 | 100 | 104 | 100 | - | |
Цех по производству сухого картофельного пюре мощностью 1600 т в год | Производительность труда | 9 | 55 | 70 | 97 | 100 | 85 | 100 | - |
Себестоимость продукции | 9 | 116 | 109 | 103 | 100 | 107 | 100 | - | |
Наименование и характеристика предприятий, производств, цехов и их мощность | Норма продолжительности освоения проектной мощности в месяцах | Уровень освоения проектной мощности в % на конец квартала или года (если норма продолжительности освоения более года) работы предприятий | Объем производства продукции (переработки или добычи сырья) в % от годовой проектной мощности | |||||
первого | второго | третьего | четвертого | в первый год работы | во второй год работы | в третий год работы | ||
Завод фурфурольно-дрожжевой (комплексный) мощностью 38 тыс. т дрожжей и 12 тыс. т фурфурола в год: | ||||||||
первый пусковой комплекс мощностью 19 тыс. т дрожжей и 6 тыс. т фурфурола в год | 21 | 70 | 100 (на конец восьмого месяца) | - | - | 55 | 85 | 100 |
второй пусковой комплекс мощностью 19 тыс. т дрожжей и 6 тыс. т фурфурола в год | 12 | 50 | 70 | 85 | 100 (на конец второго месяца) | 70 | 100 | - |
Завод (цех) кормовых дрожжей мощностью 10 тыс. т дрожжей в год | 15 | 85 | 100 (на конец второго месяца) | - | - | 65 | 95 | 100 |
Завод белково-витаминных концентратов (БВК) мощностью до 300 тыс. т в год: | ||||||||
первый пусковой комплекс мощностью до 100 тыс. т БВК в год | 18 | 80 | 100 (на конец пятого месяца) | - | - | 60 | 90 | 100 |
второй пусковой комплекс мощностью до 100 тыс. т БВК в год | 9 | 55 | 80 | 100 (на конец второго месяца) | - | 75 | 100 | - |
третий пусковой комплекс мощностью до 100 тыс. т БВК в год | 9 | 55 | 80 | 100 (на конец второго месяца) | - | 75 | 100 | - |
Цех премиксов мощностью от 36 до 50 тыс. т в год | 9 | 55 | 80 | 100 (на конец второго месяца) | - | 75 | 100 | - |
Завод аминокислот - кормового концентрата лизина мощностью до 10 тыс. т кормового лизина в год (в пересчете на 100% лизина): | ||||||||
первый пусковой комплекс мощностью до 5 тыс. т лизина в год | 12 | 50 | 70 | 85 | 100 (на конец второго месяца) | 70 | 100 | - |
второй пусковой комплекс мощностью до 5 тыс. т лизина в год | 9 | 55 | 80 | 100 (на конец второго месяца) | - | 75 | 100 | - |
Наименование и характеристика предприятий, производств, цехов и их мощность | Наименование экономических показателей | Норма продолжительности освоения в месяцах | Средний уровень освоения проектируемого экономического показателя в % | ||||||
в первый год работы | во второй год работы | в третий год работы | |||||||
кварталы | за год | ||||||||
I | II | III | IV | ||||||
Завод фурфурольно-дрожжевой (комплексный) мощностью 38 тыс. т дрожжей и 12 тыс. т фурфурола в год: | |||||||||
первый пусковой комплекс мощностью 19 тыс. т дрожжей и 6 тыс. т фурфурола в год | Производительность труда | 21 | 40 | 50 | 60 | 67 | 54 | 91 | 100 |
Себестоимость продукции | 21 | 166 | 148 | 136 | 127 | 141 | 108 | 100 | |
второй пусковой комплекс мощностью 19 тыс. т дрожжей и 6 тыс. т фурфурола в год | Производительность труда | 12 | 42 | 60 | 77 | 92 | 68 | 100 | - |
Себестоимость продукции | 12 | 161 | 135 | 118 | 107 | 125 | 100 | - | |
Завод (цех) кормовых дрожжей мощностью 10 тыс. т в год | Производительность труда | 15 | 42 | 56 | 70 | 81 | 62 | 98 | 100 |
Себестоимость продукции | 15 | 163 | 142 | 128 | 116 | 134 | 102 | 100 | |
Завод белково-витаминных концентратов (БВК) мощностью до 300 тыс. т в год: | |||||||||
первый пусковой комплекс мощностью до 100 тыс. т БВК в год | Производительность труда | 18 | 40 | 52 | 63 | 75 | 58 | 96 | 100 |
Себестоимость продукции | 18 | 165 | 146 | 133 | 123 | 138 | 104 | 100 | |
второй пусковой комплекс мощностью до 100 тыс. т БВК в год | Производительность труда | 9 | 45 | 67 | 90 | 100 | 76 | 100 | - |
Себестоимость продукции | 9 | 158 | 128 | 110 | 100 | 118 | 100 | - | |
третий пусковой комплекс мощностью до 100 тыс. т БВК в год | Производительность труда | 9 | 45 | 67 | 90 | 100 | 76 | 100 | - |
Себестоимость продукции | 9 | 158 | 128 | 110 | 100 | 118 | 100 | - | |
Цех премиксов мощностью от 36 до 50 тыс. т в год | Производительность труда | 9 | 45 | 67 | 90 | 100 | 76 | 100 | - |
Себестоимость продукции | 9 | 106 | 102 | 101 | 100 | 102 | 100 | - | |
Завод аминокислот - кормового концентрата лизина мощностью до 10 тыс. т кормового лизина в год (в пересчете на 100 % лизина): | |||||||||
первый пусковой комплекс мощностью до 5 тыс. т лизина в год | Производительность труда | 12 | 42 | 60 | 77 | 92 | 68 | 100 | - |
Себестоимость продукции | 12 | 162 | 135 | 118 | 107 | 125 | 100 | - | |
второй пусковой комплекс мощностью до 5 тыс. т лизина в год | Производительность труда | 9 | 45 | 67 | 90 | 100 | 76 | 100 | - |
Себестоимость продукции | 9 | 158 | 128 | 110 | 100 | 118 | 100 | - | |
Наименование и характеристика предприятий, производств, цехов и их мощность | Норма продолжительности освоения проектной мощности в месяцах | Уровень освоения проектной мощности в % на конец квартала или года (если норма продолжительности освоения более года) работы предприятий | Объем производства продукции (переработки или добычи сырья) в % от годовой проектной мощности | |||||
первого | второго | третьего | четвертого | в первый год работы | во второй год работы | в третий год работы | ||
Мельничные заводы по переработке зерна сортового помола мощностью: | ||||||||
до 300 т в сутки включительно | 12 | 60 | 75 | 90 | 100 (на конец второго месяца) | 75 | 100 | - |
в том числе на высокопроизводительном комплектном оборудовании мощностью 250 т в сутки | 9 | 72 | 89 | 100 (на конец второго месяца) | - | 85 | 100 | - |
от 300 до 600 т в сутки | 15 | 92 | 100 (на конец второго месяца) | - | - | 69 | 99 | 100 |
в том числе на высокопроизводительном комплектном оборудовании мощностью 500 т в сутки | 12 | 67 | 80 | 92 | 100 (на конец второго месяца) | 80 | 100 | - |
Мельничные заводы обойного помола мощностью по проекту | 6 | 86 | 100 (на конец второго месяца) | - | - | 93 | 100 | - |
Крупяные заводы мощностью: | ||||||||
до 150 т в сутки включительно | 9 | 63 | 85 | 100 (на конец второго месяца) | - | 80 | 100 | - |
от 151 до 300 т в сутки | 12 | 56 | 73 | 89 | 100 (на конец второго месяца) | 72 | 100 | - |
Комбикормовые заводы мощностью: | ||||||||
до 250 т в сутки включительно | 6 | 76 | 100 (на конец второго месяца) | - | - | 87 | 100 | - |
от 251 до 630 т в сутки включительно | 9 | 63 | 85 | 100 (на конец второго месяца) | - | 80 | 100 | - |
от 631 до 1000 т в сутки | 12 | 49 | 68 | 87 | 100 (на конец второго месяца) | 68 | 100 | - |
Примечание. По мельничным заводам на высокопроизводительном комплектном оборудовании мощностью 250 и 500 т в сутки нормы продолжительности освоения мощностей с 1 января 1986 г. пересматриваются министерством по согласованию с Госпланом СССР в сторону уменьшения. | ||||||||
Наименование и характеристика предприятий, производств, цехов и их мощность | Наименование экономических показателей | Норма продолжительности освоения в месяцах | Средний уровень освоения проектируемого экономического показателя в % | ||||||
в первый год работы | во второй год работы | в третий год работы | |||||||
кварталы | за год | ||||||||
I | II | III | IV | ||||||
Мельничные заводы по переработке зерна сортового помола мощностью: | |||||||||
до 300 т в сутки включительно | Производительность труда | 12 | 53 | 68 | 83 | 95 | 75 | 100 | - |
Себестоимость продукции | 12 | 101 | 100,5 | 100,2 | 100 | 100,5 | 100 | - | |
в том числе на высокопроизводительном комплектном оборудовании мощностью 250 т в сутки | Производительность труда | 9 | 64 | 81 | 95 | 100 | 85 | 100 | - |
Себестоимость продукции | 9 | 100,5 | 100,2 | 100 | 100 | 100,2 | 100 | - | |
от 300 до 600 т в сутки | Производительность труда | 15 | 51 | 63 | 74 | 86 | 69 | 99 | 100 |
Себестоимость продукции | 15 | 101 | 100,5 | 100,3 | 100,1 | 100,5 | 100 | - | |
в том числе на высокопроизводительном комплектном оборудовании мощностью 500 т в сутки | Производительность труда | 12 | 61 | 74 | 86 | 96 | 80 | 100 | - |
Себестоимость продукции | 12 | 101 | 100,3 | 100,1 | 100 | 100,4 | 100 | - | |
Мельничные заводы обойного помола мощностью по проекту | Производительность труда | 6 | 76 | 93 | 100 | 100 | 93 | 100 | - |
Себестоимость продукции | 6 | 100,3 | 100,1 | 100 | 100 | 100,1 | 100 | - | |
Крупяные заводы мощностью: | |||||||||
до 150 т в сутки включительно | Производительность труда | 9 | 47 | 69 | 83 | 100 | 78 | 100 | - |
Себестоимость продукции | 9 | 102 | 101 | 100 | 100 | 101 | 100 | - | |
от 151 до 300 т в сутки | Производительность труда | 12 | 48 | 65 | 81 | 95 | 72 | 100 | - |
Себестоимость продукции | 12 | 102 | 101 | 100 | 100 | 101 | 100 | - | |
Комбикормовые заводы мощностью: | |||||||||
до 250 т в сутки включительно | Производительность труда | 6 | 58 | 88 | 100 | 100 | 87 | 100 | - |
Себестоимость продукции | 6 | 101 | 100 | 100 | 100 | 100,5 | 100 | - | |
от 251 до 630 т в сутки включительно | Производительность труда | 9 | 47 | 69 | 83 | 100 | 78 | 100 | - |
Себестоимость продукции | 9 | 102 | 101 | 100 | 100 | 100,5 | 100 | - | |
от 631 до 1000 т в сутки | Производительность труда | 12 | 40 | 59 | 78 | 94 | 68 | 100 | - |
Себестоимость продукции | 12 | 102 | 101 | 100 | 100 | 101 | 100 | - | |
Примечание. Нормативные уровни освоения себестоимости продукции по комбикормовым заводам могут уточняться с учетом фактического соотношения видов поступающего на переработку сырья. | |||||||||
Наименование и характеристика предприятий, производств, цехов и их мощность | Норма продолжительности освоения проектной мощности в месяцах | Уровень освоения проектной мощности в % на конец квартала или года (если норма продолжительности освоения более года) работы предприятий | Объем производства продукции (переработки или добычи сырья) в % от годовой проектной мощности | |||||
первого | второго | третьего | четвертого | в первый год работы | во второй год работы | в третий год работы | ||
Производство лекарственных средств | ||||||||
Пармидин, мощностью 40 т в год | 9 | 72 | 89 | 100 (на конец второго месяца) | - | 85 | 100 | - |
Нитроксолин, мощностью 10 т в год | 9 | 72 | 89 | 100 (на конец второго месяца) | - | 85 | 100 | - |
Пирацетам, мощностью 20 т в год | 12 | 67 | 80 | 92 | 100 (на конец второго месяца) | 79 | 100 | - |
Вольтарен, мощностью 3 т в год | 12 | 67 | 80 | 92 | 100 (на конец второго месяца) | 79 | 100 | - |
Сульфадимезин, мощностью 300 т в год | 9 | 72 | 89 | 100 (на конец второго месяца) | - | 85 | 100 | - |
Изоптин, мощностью 10 т в год | 15 | 86 | 100 (на конец второго месяца) | - | - | 66 | 98 | 100 |
Рентгеноконтрастные препараты, мощностью до 150 т в год | 12 | 67 | 80 | 92 | 100 (на конец второго месяца) | 79 | 100 | - |
Производство психотропных препаратов мощностью до 9 т в год | 12 | 67 | 80 | 92 | 100 (на конец второго месяца) | 79 | 100 | - |
Эфедрин микробиологический, мощностью 50 т в год | 12 | 67 | 80 | 92 | 100 (на конец второго месяца) | 79 | 100 | - |
Противоопухолевые препараты на основе эстрола, мощностью до 50 кг | 15 | 86 | 100 (на конец второго месяца) | - | - | 66 | 98 | 100 |
Оксибутират натрия, мощностью 12 т в год | 9 | 72 | 89 | 100 (на конец второго месяца) | - | 85 | 100 | - |
Соласодин методом прямого гидролиза, мощностью 20 т в год | 6 | 86 | 100 (на конец второго месяца) | - | - | 93 | 100 | - |
Цефедрин, мощностью до 1 т в год | 12 | 67 | 80 | 92 | 100 (на конец второго месяца) | 79 | 100 | - |
Салициловые препараты, мощностью 2200 т в год | 9 | 72 | 89 | 100 (на конец второго месяца) | - | 85 | 100 | - |
Сульфазин, заданной мощностью | 12 | 67 | 80 | 92 | 100 (на конец второго месяца) | 79 | 100 | - |
Ксантинола никотинат, мощностью 60 т в год | 12 | 67 | 80 | 92 | 100 (на конец второго месяца) | 79 | 100 | - |
Гепарин, мощностью 200 кг в год | 12 | 67 | 80 | 92 | 100 (на конец второго месяца) | 79 | 100 | - |
Рибоксин, мощностью по проекту | 12 | 67 | 80 | 92 | 100 (на конец второго месяца) | 79 | 100 | - |
Цефалексин, мощностью по проекту | 15 | 86 | 100 (на конец второго месяца) | - | - | 66 | 98 | 100 |
Бензилпенициллин, мощностью по проекту | 9 | 72 | 89 | 100 (на конец второго месяца) | - | 85 | 100 | - |
Готовые лекарственные средства в упаковках, мощностью по проекту | 12 | 75 | 84 | 94 | 100 (на конец второго месяца) | 80 | 100 | - |
Готовые лекарственные средства в ампулах, мощностью по проекту | 12 | 75 | 84 | 94 | 100 (на конец второго месяца) | 80 | 100 | - |
Перевязочные средства, мощностью по проекту | 12 | 75 | 84 | 94 | 100 (на конец второго месяца) | 80 | 100 | - |
Производство полупродуктов | ||||||||
Тигогенин, мощностью по проекту | 12 | 67 | 80 | 92 | 100 (на конец второго месяца) | 79 | 100 | - |
Салициловая сублимированная кислота мощностью 4800 т в год | 9 | 72 | 89 | 100 (на конец второго месяца) | - | 85 | 100 | - |
Урацил, мощностью 10 т в год | 9 | 72 | 89 | 100 (на конец второго месяца) | - | 85 | 100 | - |
Метиловый эфир хлоругольной кислоты, мощностью 30 т в год | 9 | 72 | 89 | 100 (на конец второго месяца) | - | 85 | 100 | - |
6-Аминопенициллановая кислота, мощностью по проекту | 9 | 72 | 89 | 100 (на конец второго месяца) | - | 85 | 100 | - |
Производство медицинского стекла и пластических масс | ||||||||
Ампулы, мощностью по проекту | 9 | 72 | 89 | 100 (на конец второго месяца) | - | 85 | 100 | - |
Аптекарская посуда, мощностью по проекту | 9 | 72 | 89 | 100 (на конец второго месяца) | - | 85 | 100 | - |
Изделия из пластмасс (гемодиализаторы и т.п. изделия), мощностью по проекту | 15 | 86 | 100 (на конец второго месяца) | - | - | 66 | 98 | 100 |
Производство медицинской техники | ||||||||
Медицинские инструменты простейшие однодетальные, мощностью: | ||||||||
до 5 млн. руб. в год | 9 | 72 | 89 | 100 (на конец второго месяца) | - | 85 | 100 | - |
от 5 млн. руб. в год и выше | 12 | 67 | 80 | 92 | 100 (на конец второго месяца) | 79 | 100 | - |
Медицинские инструменты сложные многодетальные, мощностью: | ||||||||
до 5 млн. руб. в год | 12 | 67 | 80 | 92 | 100 (на конец второго месяца) | 79 | 100 | - |
от 5 млн. руб. в год и выше | 15 | 97 | 100 (на конец второго месяца) | - | - | 76 | 100 | - |
Медицинское оборудование средней сложности, мощностью: | ||||||||
до 5 млн. руб. в год | 12 | 75 | 84 | 94 | 100 (на конец второго месяца) | 84 | 100 | - |
от 5 млн. руб. в год и выше | 15 | 97 | 100 (на конец второго месяца) | - | - | 81 | 100 | - |
Медицинское оборудование сложное, мощностью: | ||||||||
до 10 млн. руб. в год | 15 | 94 | 100 (на конец второго месяца) | - | - | 68 | 100 | - |
от 10 млн. руб. в год и выше | 18 | 86 | 100 (на конец пятого месяца) | - | - | 66 | 98 | 100 |
Линзы очковые, мощностью: | ||||||||
до 10 млн. шт. в год включительно | 9 | 60 | 85 | 100 (на конец второго месяца) | - | 78 | 100 | - |
до 20 млн. шт. в год включительно | 12 | 60 | 75 | 90 | 100 (на конец второго месяца) | 75 | 100 | - |
свыше 20 млн. шт. в год | 15 | 96 | 100 (на конец второго месяца) | - | - | 72 | 98 | 100 |
Оправы очковые, мощностью: | ||||||||
до 2 млн. шт. в год включительно | 9 | 60 | 85 | 100 (на конец второго месяца) | - | 78 | 100 | - |
свыше 2 млн. шт. в год | 12 | 60 | 75 | 90 | 100 (на конец второго месяца) | 75 | 100 | - |
Специальное технологическое оборудование, технологическая оснастка, мощностью до 10 млн. руб. в год | 15 | 85 | 100 (на конец второго месяца) | - | - | 65 | 95 | 100 |
Приборы и аппараты особой сложности | ||||||||
Аппараты эндоскопические, в том числе с волоконной оптикой, аппараты наркозно-дыхательные, электрокардиографы, мониторы сигнальные, электронная лабораторная медицинская техника, аппараты офтальмологические, аппараты с ИВК, аппараты для диагностики и лечения, приборы и аппараты для кардиологии, мощностью: | ||||||||
до 5 млн. руб. в год включительно | 15 | 85 | 100 (на конец второго месяца) | - | - | 65 | 95 | 100 |
до 10 млн. руб. в год включительно | 18 | 80 | 100 (на конец пятого месяца) | - | - | 60 | 90 | 100 |
свыше 10 млн. руб. в год | 24 | 70 | 100 (на конец одиннадцатого месяца) | - | - | 57 | 80 | 100 |
Наименование и характеристика предприятий, производств, цехов и их мощность | Наименование экономических показателей | Норма продолжительности освоения в месяцах | Средний уровень освоения проектируемого экономического показателя в % | ||||||
в первый год работы | во второй год работы | в третий год работы | |||||||
кварталы | за год | ||||||||
I | II | III | IV | ||||||
Производство лекарственных средств | |||||||||
Пармидин, мощностью 40 т в год | Производительность труда | 9 | 64 | 81 | 94 | 100 | 85 | 100 | - |
Себестоимость продукции | 9 | 130 | 120 | 110 | 100 | 115 | 100 | - | |
Нитроксолин, мощностью 10 т в год | Производительность труда | 9 | 64 | 81 | 94 | 100 | 85 | 100 | - |
Себестоимость продукции | 9 | 130 | 120 | 110 | 100 | 115 | 100 | - | |
Пирацетам, мощностью 20 т в год | Производительность труда | 12 | 61 | 73 | 86 | 96 | 79 | 100 | - |
Себестоимость продукции | 12 | 132 | 126 | 119 | 112 | 122 | 100 | - | |
Вольтарен, мощностью 3 т в год | Производительность труда | 12 | 61 | 73 | 86 | 96 | 79 | 100 | - |
Себестоимость продукции | 12 | 132 | 126 | 119 | 112 | 122 | 100 | - | |
Сульфадимезин, мощностью 300 т в год | Производительность труда | 9 | 64 | 81 | 94 | 100 | 85 | 100 | - |
Себестоимость продукции | 9 | 130 | 120 | 110 | 100 | 115 | 100 | - | |
Изоптин, мощностью 10 т в год | Производительность труда | 15 | - | - | - | - | 66 | 98 | 100 |
Себестоимость продукции | 15 | - | - | - | - | 130 | 116 | 100 | |
Рентгеноконтрастные препараты, мощностью до 150 т в год | Производительность труда | 12 | 61 | 73 | 86 | 96 | 79 | 100 | - |
Себестоимость продукции | 12 | 137 | 128 | 122 | 117 | 126 | 100 | - | |
Производство психотропных препаратов мощностью до 9 т в год | Производительность труда | 12 | 61 | 73 | 86 | 96 | 79 | 100 | - |
Себестоимость продукции | 12 | 137 | 128 | 122 | 117 | 126 | 100 | - | |
Эфедрин микробиологический, мощностью 50 т в год | Производительность труда | 12 | 61 | 73 | 86 | 96 | 79 | 100 | - |
Себестоимость продукции | 12 | 137 | 128 | 122 | 117 | 126 | 100 | - | |
Противоопухолевые препараты на основе эстрола, мощностью до 50 кг | Производительность труда | 15 | - | - | - | - | 66 | 98 | 100 |
Себестоимость продукции | 15 | - | - | - | - | 130 | 116 | 100 | |
Оксибутират натрия, мощностью 12 т в год | Производительность труда | 9 | 64 | 81 | 94 | 100 | 85 | 100 | - |
Себестоимость продукции | 9 | 130 | 120 | 110 | 100 | 115 | 100 | - | |
Соласодин методом прямого гидролиза, мощностью 20 т в год | Производительность труда | 6 | 78 | 93 | 100 | 100 | 93 | 100 | - |
Себестоимость продукции | 6 | 120 | 110 | 100 | 100 | 107 | 100 | - | |
Цефедрин, мощностью до 1 т в год | Производительность труда | 12 | 61 | 73 | 86 | 96 | 79 | 100 | - |
Себестоимость продукции | 12 | 132 | 126 | 119 | 112 | 122 | 100 | - | |
Салициловые препараты, мощностью 2200 т в год | Производительность труда | 9 | 64 | 81 | 94 | 100 | 85 | 100 | - |
Себестоимость продукции | 9 | 130 | 120 | 110 | 100 | 115 | 100 | - | |
Сульфазин, заданной мощностью | Производительность труда | 12 | 61 | 73 | 86 | 96 | 79 | 100 | - |
Себестоимость продукции | 12 | 132 | 126 | 119 | 112 | 122 | 100 | - | |
Ксантинола никотинат, мощностью 60 т в год | Производительность труда | 12 | 61 | 73 | 86 | 96 | 79 | 100 | - |
Себестоимость продукции | 12 | 132 | 126 | 119 | 112 | 122 | 100 | - | |
Гепарин, мощностью 200 кг в год | Производительность труда | 12 | 61 | 73 | 86 | 96 | 79 | 100 | - |
Себестоимость продукции | 12 | 132 | 126 | 119 | 112 | 122 | 100 | - | |
Рибоксин, мощностью по проекту | Производительность труда | 12 | 61 | 73 | 86 | 96 | 79 | 100 | - |
Себестоимость продукции | 12 | 132 | 126 | 119 | 112 | 122 | 100 | - | |
Цефалексин, мощностью по проекту | Производительность труда | 15 | - | - | - | - | 66 | 98 | 100 |
Себестоимость продукции | 15 | - | - | - | - | 130 | 116 | 100 | |
Бензилпенициллин, мощностью по проекту | Производительность труда | 9 | 64 | 81 | 94 | 100 | 85 | 100 | - |
Себестоимость продукции | 9 | 130 | 120 | 110 | 100 | 115 | 100 | - | |
Готовые лекарственные средства в упаковках, мощностью по проекту | Производительность труда | 12 | 63 | 74 | 86 | 96 | 80 | 100 | - |
Себестоимость продукции | 12 | 130 | 122 | 116 | 112 | 120 | 100 | - | |
Готовые лекарственные средства в ампулах, мощностью по проекту | Производительность труда | 12 | 63 | 74 | 86 | 96 | 80 | 100 | - |
Себестоимость продукции | 12 | 130 | 122 | 116 | 112 | 120 | 100 | - | |
Перевязочные средства, мощностью по проекту | Производительность труда | 12 | 63 | 74 | 86 | 96 | 80 | 100 | - |
Себестоимость продукции | 12 | 130 | 122 | 116 | 112 | 120 | 100 | - | |
Производство полупродуктов | |||||||||
Тигогенин, мощностью по проекту | Производительность труда | 12 | 61 | 73 | 86 | 96 | 79 | 100 | - |
Себестоимость продукции | 12 | 132 | 126 | 119 | 112 | 122 | 100 | - | |
Салициловая сублимированная кислота, мощностью 4800 т в год | Производительность труда | 9 | 64 | 81 | 94 | 100 | 85 | 100 | - |
Себестоимость продукции | 9 | 130 | 120 | 110 | 100 | 115 | 100 | - | |
Урацил, мощностью 10 т в год | Производительность труда | 9 | 64 | 81 | 94 | 100 | 85 | 100 | - |
Себестоимость продукции | 9 | 130 | 120 | 110 | 100 | 115 | 100 | - | |
Метиловый эфир хлоругольной кислоты, мощностью 30 т в год | Производительность труда | 9 | 64 | 81 | 94 | 100 | 85 | 100 | - |
Себестоимость продукции | 9 | 130 | 120 | 110 | 100 | 115 | 100 | - | |
6-Аминопенициллановая кислота, мощностью по проекту | Производительность труда | 9 | 64 | 81 | 94 | 100 | 85 | 100 | - |
Себестоимость продукции | 9 | 130 | 120 | 110 | 100 | 115 | 100 | - | |
Производство медицинского стекла и пластических масс | |||||||||
Ампулы, мощностью по проекту | Производительность труда | 9 | 64 | 81 | 94 | 100 | 85 | 100 | - |
Себестоимость продукции | 9 | 130 | 120 | 110 | 100 | 115 | 100 | - | |
Аптекарская посуда, мощностью по проекту | Производительность труда | 9 | 64 | 81 | 94 | 100 | 85 | 100 | - |
Себестоимость продукции | 9 | 130 | 120 | 110 | 100 | 115 | 100 | - | |
Изделия из пластмасс (гемодиализаторы) и т.п. изделия, мощностью по проекту | Производительность труда | 15 | - | - | - | - | 66 | 98 | 100 |
Себестоимость продукции | 15 | - | - | - | - | 130 | 116 | 100 | |
Производство медицинской техники | |||||||||
Медицинские инструменты простейшие однодетальные, мощностью: | |||||||||
до 5 млн. руб. в год | Производительность труда | 9 | 64 | 81 | 94 | 100 | 85 | 100 | - |
Себестоимость продукции | 9 | 130 | 120 | 110 | 100 | 115 | 100 | - | |
от 5 млн. руб. в год и выше | Производительность труда | 12 | 61 | 73 | 86 | 96 | 79 | 100 | - |
Себестоимость продукции | 12 | 132 | 126 | 119 | 112 | 122 | 100 | - | |
Медицинские инструменты сложные многодетальные, мощностью: | |||||||||
до 5 млн. руб. в год | Производительность труда | 12 | 61 | 73 | 86 | 96 | 79 | 100 | - |
Себестоимость продукции | 12 | 132 | 126 | 119 | 112 | 122 | 100 | - | |
от 5 млн. руб. в год и выше | Производительность труда | 15 | - | - | - | - | 76 | 100 | - |
Себестоимость продукции | 15 | - | - | - | - | 121 | 100 | - | |
Медицинское оборудование средней сложности, мощностью: | |||||||||
до 5 млн. руб. в год | Производительность труда | 12 | 70 | 80 | 89 | 97 | 84 | 100 | - |
Себестоимость продукции | 12 | 132 | 126 | 119 | 112 | 122 | 100 | - | |
от 5 млн. руб. в год и выше | Производительность труда | 15 | - | - | - | - | 81 | 100 | - |
Себестоимость продукции | 15 | - | - | - | - | 121 | 100 | - | |
Медицинское оборудование сложное, мощностью: | |||||||||
до 10 млн. руб. в год | Производительность труда | 15 | - | - | - | - | 68 | 100 | - |
Себестоимость продукции | 15 | - | - | - | - | 128 | 100 | - | |
от 10 млн. руб. в год и выше | Производительность труда | 18 | - | - | - | - | 66 | 98 | 100 |
Себестоимость продукции | 18 | - | - | - | - | 130 | 116 | 100 | |
Линзы очковые, мощностью: | |||||||||
до 10 млн. шт. в год включительно | Производительность труда | 9 | 55 | 72 | 85 | 100 | 78 | 100 | - |
Себестоимость продукции | 9 | 130 | 120 | 110 | 100 | 115 | 100 | - | |
до 20 млн. шт. в год включительно | Производительность труда | 12 | 53 | 68 | 83 | 95 | 75 | 100 | - |
Себестоимость продукции | 12 | 132 | 126 | 119 | 112 | 122 | 100 | - | |
свыше 20 млн. шт. в год | Производительность труда | 15 | - | - | - | - | 72 | 98 | 100 |
Себестоимость продукции | 15 | - | - | - | - | 125 | 109 | 100 | |
Оправы очковые, мощностью: | |||||||||
до 2 млн. шт. в год включительно | Производительность труда | 9 | 55 | 72 | 85 | 100 | 78 | 100 | - |
Себестоимость продукции | 9 | 130 | 120 | 110 | 100 | 115 | 100 | - | |
свыше 2 млн. шт. в год | Производительность труда | 12 | 54 | 68 | 83 | 95 | 75 | 100 | - |
Себестоимость продукции | 12 | 132 | 126 | 119 | 112 | 122 | 100 | - | |
Специальное технологическое оборудование, технологическая оснастка, мощностью до 10 млн. руб. в год | Производительность труда | 15 | - | - | - | - | 65 | 95 | 100 |
Себестоимость продукции | 15 | - | - | - | - | 132 | 117 | 100 | |
Приборы и аппараты особой сложности | |||||||||
Аппараты эндоскопические, в том числе с волоконной оптикой, аппараты наркозно-дыхательные, электрокардиографы, мониторы сигнальные, электронная лабораторная медицинская техника, аппараты офтальмологические, аппараты для диагностики и лечения, аппараты с ИВК, приборы и аппараты для кардиологии, мощностью: | |||||||||
до 5 млн. руб. в год включительно | Производительность труда | 15 | - | - | - | - | 65 | 95 | 100 |
Себестоимость продукции | 15 | - | - | - | - | 132 | 117 | 100 | |
до 10 млн. руб. в год включительно | Производительность труда | 18 | - | - | - | - | 60 | 90 | 100 |
Себестоимость продукции | 18 | - | - | - | - | 130 | 122 | 100 | |
свыше 10 млн. руб. в год | Производительность труда | 24 | - | - | - | - | 57 | 80 | 100 |
Себестоимость продукции | 24 | - | - | - | - | 136 | 125 | 100 | |
Наименование и характеристика предприятий, производств, цехов и их мощность | Норма продолжительности освоения проектной мощности в месяцах | Уровень освоения проектной мощности в % на конец квартала или года (если норма продолжительности освоения более года) работы предприятий | Объем производства продукции (переработки или добычи сырья) в % от годовой проектной мощности | |||||
первого | второго | третьего | четвертого | в первый год работы | во второй год работы | в третий год работы | ||
Газетно-книжно-журнальные предприятия с годовой мощностью: | ||||||||
до 500 млн. ед. печати | 12 | 67 | 80 | 92 | 100 (на конец второго месяца) | 80 | 100 | - |
от 501 до 900 млн. ед. печати | 14 | 100 | - | - | - | 70 | 100 | - |
от 901 до 1500 млн. ед. печати: | ||||||||
первая очередь до 400 млн. ед. печати | 12 | 67 | 80 | 92 | 100 (на конец второго месяца) | 80 | 100 | - |
вторая очередь до 500 млн. ед. печати | 4 | 100 | - | - | - | 98 | 100 | - |
третья очередь до 600 млн. ед. печати | 4 | 100 | - | - | - | 98 | 100 | - |
Книжные и книжно-журнальные предприятия с годовой мощностью: | ||||||||
до 200 млн. ед. печати | 10 | 65 | 80 | 100 | - | 80 | 100 | - |
от 201 до 350 млн. ед. печати | 12 | 68 | 80 | 92 | 100 (на конец второго месяца) | 80 | 100 | - |
от 351 до 500 млн. ед. печати | 14 | 100 | - | - | - | 78 | 100 | - |
от 501 до 1000 млн. ед. печати | 15 | 96 | 100 (на конец первого месяца) | - | - | 75 | 100 | - |
от 1001 до 1500 млн. ед. печати: | ||||||||
первая очередь до 400 млн. ед. печати | 12 | 68 | 80 | 92 | 100 (на конец второго месяца) | 80 | 100 | - |
вторая очередь до 500 млн. ед. печати | 4 | 100 | - | - | - | 98 | 100 | - |
третья очередь до 600 млн. ед. печати | 4 | 100 | - | - | - | 98 | 100 | - |
Предприятия по выпуску изобразительно-этикеточной продукции с годовой мощностью: | ||||||||
до 300 млн. ед. печати | 12 | 60 | 75 | 90 | 100 (на конец второго месяца) | 75 | 100 | - |
от 301 до 500 млн. ед. печати | 14 | 100 | - | - | - | 77 | 100 | - |
Бланочные предприятия с годовой мощностью до 200 млн. ед. печати | 10 | 63 | 82 | 100 | - | 80 | 100 | - |
Газетно-бланочные и универсальные предприятия с годовой мощностью: | ||||||||
до 5 млн. ед. печати | 3 | 100 (на конец второго месяца) | - | - | - | 100 | - | - |
от 6 до 40 млн. ед. печати | 6 | 92 | 100 (на конец второго месяца) | - | - | 96 | 100 | - |
от 41 до 80 млн. ед. печати | 9 | 84 | 94 | 100 (на конец второго месяца) | - | 92 | 100 | - |
от 81 до 160 млн. ед. печати | 9 | 81 | 93 | 100 (на конец второго месяца) | - | 90 | 100 | - |
Наименование и характеристика предприятий, производств, цехов и их мощность | Наименование экономических показателей | Норма продолжительности освоения в месяцах | Средний уровень освоения проектируемого экономического показателя в % | ||||||
в первый год работы | во второй год работы | в третий год работы | |||||||
кварталы | за год | ||||||||
I | II | III | IV | ||||||
Газетно-книжно-журнальные предприятия с годовой мощностью: | |||||||||
до 500 млн. ед. печати | Производительность труда | 12 | 61 | 74 | 86 | 97 | 80 | 100 | - |
Себестоимость продукции | 12 | 108 | 104 | 102 | 100 | 103 | 100 | - | |
от 501 до 900 млн. ед. печати | Производительность труда | 14 | - | - | - | - | 70 | 100 | - |
Себестоимость продукции | 14 | - | - | - | - | 105 | 100 | - | |
от 901 до 1500 млн. ед. печати: | |||||||||
первая очередь до 400 млн. ед. печати | Производительность труда | 12 | 61 | 74 | 86 | 97 | 80 | 100 | - |
Себестоимость продукции | 12 | 108 | 104 | 102 | 100 | 103 | 100 | - | |
вторая очередь до 500 млн. ед. печати | Производительность труда | 4 | 93 | 100 | 100 | 100 | 98 | 100 | - |
Себестоимость продукции | 4 | 101 | 100 | 100 | 100 | 100 | - | - | |
третья очередь до 600 млн. ед. печати | Производительность труда | 4 | 93 | 100 | 100 | 100 | 98 | 100 | - |
Себестоимость продукции | 4 | 101 | 100 | 100 | 100 | 100 | - | - | |
Книжные и книжно-журнальные предприятия с годовой мощностью: | |||||||||
до 200 млн. ед. печати | Производительность труда | 10 | 58 | 75 | 89 | 100 | 80 | 100 | - |
Себестоимость продукции | 10 | 117 | 107 | 101 | 100 | 104 | 100 | - | |
от 201 до 350 млн. ед. печати | Производительность труда | 12 | 62 | 74 | 86 | 97 | 80 | 100 | - |
Себестоимость продукции | 12 | 109 | 105 | 102 | 100 | 104 | 100 | - | |
от 351 до 500 млн. ед. печати | Производительность труда | 14 | - | - | - | - | 78 | 100 | - |
Себестоимость продукции | 14 | - | - | - | - | 104 | 100 | - | |
от 501 до 1000 млн. ед. печати | Производительность труда | 15 | - | - | - | 75 | 100 | - | |
Себестоимость продукции | 15 | - | - | - | - | 105 | 100 | - | |
от 1001 до 1500 млн. ед. печати: | |||||||||
первая очередь до 400 млн. ед. печати | Производительность труда | 12 | 62 | 74 | 86 | 97 | 80 | 100 | - |
Себестоимость продукции | 12 | 108 | 104 | 102 | 100 | 103 | 100 | - | |
вторая очередь до 500 млн. ед. печати | Производительность труда | 4 | 90 | 100 | 100 | 100 | 98 | 100 | - |
Себестоимость продукции | 4 | 101 | 100 | 100 | 100 | 100 | - | - | |
третья очередь до 600 млн. ед. печати | Производительность труда | 4 | 90 | 100 | 100 | 100 | 98 | 100 | - |
Себестоимость продукции | 4 | 101 | 100 | 100 | 100 | 100 | - | - | |
Предприятия по выпуску изобразительно-этикеточной продукции с годовой мощностью: | |||||||||
до 300 млн. ед. печати | Производительность труда | 12 | 53 | 68 | 83 | 97 | 75 | 100 | - |
Себестоимость продукции | 12 | 111 | 106 | 103 | 101 | 104 | 100 | - | |
от 301 до 500 млн. ед. печати | Производительность труда | 14 | - | - | - | - | 77 | 100 | - |
Себестоимость продукции | 14 | - | - | - | - | 104 | 100 | - | |
Бланочные предприятия с годовой мощностью до 200 млн. ед. печати | Производительность труда | 10 | 54 | 73 | 96 | 100 | 80 | 100 | - |
Себестоимость продукции | 10 | 114 | 106 | 101 | 100 | 104 | 100 | - | |
Газетно-бланочные и универсальные предприятия с годовой мощностью: | |||||||||
до 5 млн. ед. печати | Производительность труда | 3 | 98 | 100 | 100 | 100 | 100 | - | - |
Себестоимость продукции | 3 | 100 | 100 | 100 | 100 | 100 | - | - | |
от 6 до 40 млн. ед. печати | Производительность труда | 6 | 86 | 97 | 100 | 100 | 96 | 100 | - |
Себестоимость продукции | 6 | 103 | 101 | 100 | 100 | 101 | 100 | - | |
от 41 до 80 млн. ед. печати | Производительность труда | 9 | 80 | 89 | 98 | 100 | 92 | 100 | - |
Себестоимость продукции | 9 | 105 | 102 | 100 | 100 | 102 | 100 | - | |
от 81 до 160 млн. ед. печати | Производительность труда | 9 | 76 | 87 | 96 | 100 | 90 | 100 | - |
Себестоимость продукции | 9 | 105 | 102 | 101 | 100 | 102 | 100 | - | |
Наименование и характеристика предприятий, производств, цехов и их мощность | Норма продолжительности освоения проектной мощности в месяцах | Уровень освоения проектной мощности в % на конец квартала или года (если норма продолжительности освоения более года) работы предприятий | Объем производства продукции (переработки или добычи сырья) в % от годовой проектной мощности | |||||||||
первого | второго | третьего | четвертого | пятого | в первый год работы | во второй год работы | в третий год работы | в четвертый год работы | в пятый год работы | в шестой год работы | ||
Почтовая связь | ||||||||||||
Почтамты | ||||||||||||
Почтамты разной мощности (тыс. руб. объема продукции в год) | 48/12 | 70 | 80 | 90 | 100 | - | 35 | 75 | 85 | 95 | 100 | - |
Прижелезнодорожные почтамты (ПЖДП) мощностью: | ||||||||||||
до 3 млн. руб. объема продукции в год | 48/12 | 55 | 70 | 85 | 100 | - | 27 | 53 | 77 | 92 | 100 | - |
свыше 3 млн. руб. объема продукции в год | 48/15 | 50 | 65 | 80 | 100 | - | 25 | 57 | 72 | 90 | 100 | - |
Отделения перевозки почты при железнодорожных станциях (ОПП), аэропортах (АОПП) мощностью: | ||||||||||||
до 1 млн. руб. объема продукции в год | 48/12 | 65 | 80 | 90 | 100 | - | 32 | 72 | 85 | 95 | 100 | - |
свыше 1 млн. руб. объема продукции в год | 48/15 | 75 | 80 | 90 | 100 | - | 37 | 77 | 85 | 95 | 100 | - |
Междугородная телефонная связь | ||||||||||||
Междугородные телефонные станции мощностью: | ||||||||||||
до 500 каналов | 36/9 | 60 | 75 | 100 | - | - | 30 | 67 | 87 | 100 | - | - |
501 канал и более | 60/9 | 40 | 55 | 70 | 85 | 100 | 20 | 47 | 63 | 77 | 92 | 100 |
Телеграфная связь | ||||||||||||
Телеграфные станции мощностью по проекту (номер емкости): | ||||||||||||
станция абонентского телеграфа, прямых соединений и передачи данных (АТ-ПС-ПД) | 60/9 | 60 | 70 | 80 | 90 | 100 | 30 | 67 | 80 | 87 | 95 | 100 |
телеграфная станция малой емкости | 48/9 | 60 | 70 | 80 | 100 | - | 30 | 65 | 75 | 90 | 100 | - |
Городская телефонная связь | ||||||||||||
Городские телефонные станции мощностью по проекту (номер емкости) | 24/6 | 70 | 100 | - | - | - | 35 | 85 | 100 | - | - | - |
Сельская телефонная связь | ||||||||||||
Центральные узловые и оконечные телефонные станции мощностью по проекту (номер емкости) | 24/3 | 60 | 100 | - | - | - | 30 | 65 | 100 | - | - | - |
Радиофикация | ||||||||||||
Радиотрансляционные узлы и сети (радиоточка) мощностью по проекту | 48/- | 65 | 75 | 85 | 100 | - | 32 | 70 | 80 | 92 | 100 | - |
Примечания. 1. В графе "Норма продолжительности освоения проектной мощности в месяцах" приведены: в числителе - значение нормы продолжительности освоения (задействования) проектной мощности, в знаменателе - значение нормы технической готовности введенной мощности. Уровни освоения проектной мощности и объемы продукции рассчитаны в соответствии с нормами продолжительности освоения (задействования) проектной мощности. | ||||||||||||
2. Для городских телефонных станций мощностью по проекту (АТС) городов Москвы и Ленинграда норма продолжительности освоения (задействования) проектной мощности - 12 месяцев. | ||||||||||||
3. 100%-ные уровни освоения (задействования) проектной мощности и 100%-ные объемы продукции предприятий междугородной, городской и сельской телефонной связи, а также телеграфной связи включают в себя резерв мощности, определяемый по согласованию с Госпланом СССР, необходимый для технической эксплуатации этих предприятий и обеспечения проведения специальных мероприятий. | ||||||||||||
Наименование и характеристика предприятий и их мощность | Наименование экономических показателей | Норма продолжительности освоения в месяцах | Средний уровень освоения проектируемого экологического показателя в % | |||||
в первый год работы | во второй год работы | в третий год работы | в четвертый год работы | в пятый год работы | в шестой год работы | |||
Почтовая связь | ||||||||
Почтамты | ||||||||
Почтамты разной мощности (тыс. руб. объема продукции в год) | Производительность труда | 48/12 | 65 | 86 | 92 | 97 | 100 | - |
Себестоимость продукции | 48/12 | 175 | 116 | 109 | 104 | 100 | - | |
Прижелезнодорожные почтамты (ПЖДП) мощностью: | ||||||||
до 3 млн. руб. объема продукции в год | Производительность труда | 48/12 | 62 | 80 | 88 | 96 | 100 | - |
Себестоимость продукции | 48/12 | 193 | 128 | 114 | 104 | 100 | - | |
свыше 3 млн. руб. объема продукции в год | Производительность труда | 48/15 | 59 | 77 | 86 | 93 | 100 | - |
Себестоимость продукции | 48/15 | 201 | 135 | 118 | 106 | 100 | - | |
Отделения перевозки почты при железнодорожных станциях (ОПП), аэропортах (АОПП) мощностью: | ||||||||
до 1 млн. руб. объема продукции в год | Производительность труда | 48/12 | 64 | 86 | 92 | 97 | 100 | - |
Себестоимость продукции | 48/12 | 170 | 118 | 109 | 104 | 100 | - | |
свыше 1 млн. руб. объема продукции в год | Производительность труда | 48/15 | 66 | 88 | 92 | 97 | 100 | - |
Себестоимость продукции | 48/15 | 160 | 114 | 109 | 104 | 100 | - | |
Междугородная телефонная связь | ||||||||
Междугородные телефонные станции мощностью: | ||||||||
до 500 каналов | Производительность труда | 36/9 | 75 | 91 | 94 | 100 | - | - |
Себестоимость продукции | 36/9 | 180 | 115 | 106 | 100 | - | - | |
501 канал и более | Производительность труда | 60/9 | 50 | 84 | 90 | 94 | 98 | 100 |
Себестоимость продукции | 60/9 | 367 | 170 | 135 | 116 | 106 | 100 | |
Телеграфная связь | ||||||||
Телеграфные станции мощностью по проекту (номер емкости): | ||||||||
станция абонентского телеграфа, прямых соединений и передачи данных (АТ-ПС-ПД) | Производительность труда | 60/9 | 96 | 98 | 98 | 99 | 100 | - |
Себестоимость продукции | 60/9 | 164 | 114 | 108 | 104 | 103 | 100 | |
телеграфная станция малой емкости | Производительность труда | 48/9 | 77 | 90 | 90 | 94 | 100 | - |
Себестоимость продукции | 48/9 | 170 | 119 | 115 | 106 | 100 | - | |
Городская телефонная связь | ||||||||
Городские телефонные станции мощностью по проекту (номер емкости) | Производительность труда | 24/6 | 68 | 92 | 100 | - | - | - |
Себестоимость продукции | 24/6 | 150 | 107 | 100 | - | - | - | |
Сельская телефонная связь | ||||||||
Центральные узловые и оконечные телефонные станции мощностью по проекту (номер емкости) | Производительность труда | 24/3 | 44 | 71 | 100 | - | - | - |
Себестоимость продукции | 24/3 | 245 | 140 | 100 | - | - | - | |
Радиофикация | ||||||||
Радиотрансляционные узлы и сети (радиоточка) мощностью по проекту | Производительность труда | 48/- | 72 | 94 | 97 | 99 | 100 | - |
Себестоимость продукции | 48/- | 193 | 120 | 105 | 102 | 100 | - | |
Примечание. Уровни освоения проектных экономических показателей определены в соответствии с нормами продолжительности освоения, указанными в числителе. В знаменателе приведены значения норм технической готовности введенных мощностей. | ||||||||
Наименование и характеристика предприятий, производств, цехов и их мощность | Норма продолжительности освоения проектной мощности в месяцах | Уровень освоения проектной мощности в % на конец квартала или года (если норма продолжительности освоения более года) работы предприятий | Объем производства продукции (переработки или добычи сырья) в % от годовой проектной мощности | |||||
первого | второго | третьего | четвертого | в первый год работы | во второй год работы | в третий год работы | ||
Ремонтно-механические предприятия мощностью: | ||||||||
до 2000 усл. ремонтов в год | 12 | 56 | 73 | 89 | 100 (на конец второго месяца) | 70 | 100 | - |
свыше 2000 усл. ремонтов в год | 15 | 95 | 100 (на конец второго месяца) | - | - | 68 | 97 | 100 |
Примечание. Нормы освоения проектных мощностей и объемы производства для ремонтных предприятий определены с учетом работы предприятий в период максимального поступления ремонтного фонда. | ||||||||
Наименование и характеристика предприятий, производств, цехов и их мощность | Наименование экономических показателей | Норма продолжительности освоения в месяцах | Средний уровень освоения проектируемого экономического показателя в % | ||||||
в первый год работы | во второй год работы | в третий год работы | |||||||
кварталы | за год | ||||||||
I | II | III | IV | ||||||
Ремонтно-механические предприятия мощностью: | |||||||||
до 2000 усл. ремонтов в год | Производительность труда | 12 | 48 | 64 | 81 | 96 | 70 | 100 | - |
Себестоимость продукции | 12 | 135 | 118 | 108 | 101 | 114 | 100 | - | |
свыше 2000 усл. ремонтов в год | Производительность труда | 15 | - | - | - | - | 68 | 97 | 100 |
Себестоимость продукции | 15 | - | - | - | - | 115 | 101 | 100 | |
Примечание. Нормы освоения проектных экономических показателей для ремонтных предприятий определены с учетом работы предприятий в период максимального поступления ремонтного фонда. | |||||||||
Наименование и характеристика предприятий, производств, цехов и их мощность | Норма продолжительности освоения проектной мощности в месяцах | Уровень освоения проектной мощности в % на конец квартала или года (если норма продолжительности освоения более года) работы предприятий | Объем производства продукции (переработки или добычи сырья) в % от годовой проектной мощности | |||||
первого | второго | третьего | четвертого | в первый год работы | во второй год работы | в третий год работы | ||
Завод по производству крупногабаритной и толстостенной химаппаратуры мощностью 80 - 90 млн. руб. в год, в том числе: | ||||||||
первый пусковой комплекс мощностью 25 млн. руб. в год | 12 | 60 | 75 | 90 | 100 (на конец второго месяца) | 75 | 100 | - |
второй пусковой комплекс мощностью по проекту | 6 | 86 | 100 (на конец второго месяца) | - | - | 93 | 100 | - |
Завод по производству химического оборудования машинного типа мощностью 50 - 100 млн. руб. в год, в том числе: | ||||||||
первый пусковой комплекс мощностью 30 млн. руб. в год | 12 | 60 | 75 | 90 | 100 (на конец второго месяца) | 75 | 100 | - |
второй пусковой комплекс мощностью по проекту | 6 | 86 | 100 (на конец второго месяца) | - | - | 93 | 100 | - |
Завод по производству химической аппаратуры мощностью 65 млн. руб. в год | 16 | 95 | 100 (на конец второго месяца) | - | - | 70 | 98 | 100 |
Завод по производству нефтеперерабатывающего толстостенного, реакторного, крупноблочного оборудования и аппаратов мощностью 50 - 100 млн. руб. в год, в том числе: | ||||||||
первый пусковой комплекс мощностью 20 млн. руб. в. год | 9 | 72 | 89 | 100 (на конец второго месяца) | - | 85 | 100 | - |
второй пусковой комплекс мощностью по проекту | 9 | 72 | 89 | 100 (на конец второго месяца) | - | 85 | 100 | - |
Завод по производству нефтепромыслового оборудования мощностью 50 - 70 млн. руб. в год, в том числе: | ||||||||
первый пусковой комплекс мощностью 26 млн. руб. в год | 10 | 70 | 85 | 100 | - | 83 | 100 | - |
второй пусковой комплекс мощностью по проекту | 8 | 80 | 92 | 100 (на конец первого месяца) | - | 90 | 100 | - |
Завод по производству оборудования для переработки полимерных материалов мощностью 40 - 50 млн. руб. в год | 18 | 85 | 100 (на конец четвертого месяца) | - | - | 65 | 98 | 100 |
Наименование и характеристика предприятий, производств, цехов и их мощность | Наименование экономических показателей | Норма продолжительности освоения в месяцах | Средний уровень освоения проектируемого экономического показателя в % | ||||||
в первый год работы | во второй год работы | в третий год работы | |||||||
кварталы | за год | ||||||||
I | II | III | IV | ||||||
Завод по производству крупногабаритной и толстостенной химаппаратуры мощностью 80 - 90 млн. руб. в год, в том числе: | |||||||||
первый пусковой комплекс мощностью 25 млн. руб. в год | Производительность труда | 12 | 83 | 89 | 93 | 98 | 89 | 100 | 100 |
Себестоимость продукции | 12 | 121 | 114 | 108 | 103 | 112 | 100 | 100 | |
второй пусковой комплекс мощностью по проекту | Производительность труда | 6 | 90 | 96 | 100 | 100 | 96 | 100 | 100 |
Себестоимость продукции | 6 | 111 | 103 | 100 | 100 | 103 | 100 | 100 | |
Завод по производству химического оборудования машинного типа мощностью 50 - 100 млн. руб. в год, в том числе: | |||||||||
первый пусковой комплекс мощностью 30 млн. руб. в год | Производительность труда | 12 | 83 | 88 | 92 | 98 | 89 | 100 | 100 |
Себестоимость продукции | 12 | 121 | 113 | 108 | 102 | 112 | 100 | 100 | |
второй пусковой комплекс мощностью по проекту | Производительность труда | 6 | 90 | 96 | 100 | 100 | 97 | 100 | 100 |
Себестоимость продукции | 6 | 110 | 103 | 100 | 100 | 101 | 100 | 100 | |
Завод по производству химической аппаратуры мощностью 65 млн. руб. в год | Производительность труда | 16 | 70 | 78 | 84 | 91 | 85 | 98 | 100 |
Себестоимость продукции | 16 | 151 | 134 | 121 | 113 | 120 | 103 | 100 | |
Завод по производству нефтеперерабатывающего толстостенного, реакторного, крупноблочного оборудования и аппаратов мощностью 50 - 100 млн. руб. в год, в том числе: | |||||||||
первый пусковой комплекс мощностью 20 млн. руб. в год | Производительность труда | 9 | 84 | 92 | 98 | 100 | 96 | 100 | 100 |
Себестоимость продукции | 9 | 122 | 110 | 103 | 100 | 108 | 100 | 100 | |
второй пусковой комплекс мощностью по проекту | Производительность труда | 9 | 83 | 91 | 96 | 100 | 96 | 100 | 100 |
Себестоимость продукции | 9 | 121 | 110 | 102 | 100 | 107 | 100 | 100 | |
Завод по производству нефтепромыслового оборудования мощностью 50 - 70 млн. руб. в год, в том числе: | |||||||||
первый пусковой комплекс мощностью 26 млн. руб. продукции в год | Производительность труда | 10 | 78 | 87 | 94 | 98 | 93 | 100 | 100 |
Себестоимость продукции | 10 | 129 | 116 | 106 | 102 | 107 | 100 | 100 | |
второй пусковой комплекс мощностью по проекту | Производительность труда | 8 | 78 | 91 | 98 | 100 | 98 | 100 | 100 |
Себестоимость продукции | 8 | 132 | 112 | 102 | 100 | 102 | 100 | 100 | |
Завод по производству оборудования для переработки полимерных материалов мощностью 40 - 50 млн. руб. в год | Производительность труда | 18 | 71 | 79 | 85 | 90 | 83 | 96 | 100 |
Себестоимость продукции | 18 | 136 | 124 | 114 | 108 | 118 | 102 | 100 | |