Главная // Актуальные документы // МДС (Методический документ)СПРАВКА
Источник публикации
М.: Минстрой России, ГП ЦПП, 1995
Примечание к документу
Название документа
"Методические рекомендации по оценке состояния охраны труда в организациях строительного комплекса"
"Методические рекомендации по оценке состояния охраны труда в организациях строительного комплекса"
| | ИС МЕГАНОРМ: примечание. Общероссийским строительным каталогом СК-1 настоящим Методическим рекомендациям присвоен номер МДС 12-2.2000. | |
МЕТОДИЧЕСКИЕ РЕКОМЕНДАЦИИ
ПО ОЦЕНКЕ СОСТОЯНИЯ ОХРАНЫ ТРУДА
В ОРГАНИЗАЦИЯХ СТРОИТЕЛЬНОГО КОМПЛЕКСА
Разработаны Минстроем России (канд. техн. наук В.А. Алексеев) и Московским Государственным строительным университетом (д-р техн. наук Д.В. Коптев и канд. техн. наук П.Ф. Иващенко).
В Методике содержатся рекомендации по применению показателей социальной и экономической эффективности мероприятий по улучшению охраны труда в организациях строительного комплекса при подведении итогов смотров-конкурсов и анализа состояния охраны труда и отдельной организации.
Рекомендованы для применения Главэкономикой Минстроя России и ЦК профсоюза работников строительства и промышленности строительных материалов.
В строительном комплексе России сложилось критическое положение с охраной труда. При переходе на рыночные отношения в погоне за прибылью многие предприятия всех форм собственности игнорируют нормативные требования по охране труда. В результате этого в последние годы сложилась устойчивая тенденция роста производственного травматизма с летальным исходом, а забота о семьях погибших на производстве, инвалидах труда, лицах, получивших профессиональные заболевания, перекладывается на государственные структуры.
Введение в действие нового законодательства об охране труда Российской Федерации создает благоприятные перспективы для повышения экономической ответственности работодателей за опасные и вредные условия труда на предприятиях, а также обеспечения их экономической заинтересованности в улучшении охраны труда. Внедрение экономического механизма обеспечения охраны труда требует применения социально-экономической оценки состояния охраны труда на предприятии.
Методические рекомендации представляют собой практическое пособие для определения показателей социальной и экономической эффективности мероприятий по улучшению охраны труда в строительных организациях. Методика может быть использована для организации и проведения смотров-конкурсов по охране труда, а также для повышения эффективности системы управления охраной труда строительной организации.
1.1. Оценка состояния охраны труда строительно-монтажной организации осуществляется путем определения социального и экономического эффектов мероприятий по улучшению охраны труда.
Социальный эффект характеризуется снижением уровня производственного травматизма и профессиональной заболеваемости.
Экономический эффект рассматривается как результат социального и характеризуется снижением размера материальных последствий производственного травматизма, профессиональных заболеваний и экономией материальных затрат на улучшение охраны труда.
1.2. Оценка состояния охраны труда в строительных организациях осуществляется в целях проведения смотра-конкурса для выявления лучшей организации по охране труда, а также для повышения эффективности деятельности по охране труда в этих организациях.
1.3. Основными источниками статистической информации при оценке состояния условий и охраны труда в организациях являются:
материалы бухгалтерской отчетности;
отчет о пострадавших при несчастных случаях;
материалы коллективного договора.
Указанные материалы могут быть сопоставлены с аналогичными данными родственных организаций или с аналогичными показателями за предшествующие периоды времени работы данной организации.
2. ПОКАЗАТЕЛИ ЭФФЕКТИВНОСТИ МЕРОПРИЯТИЙ
ПО УЛУЧШЕНИЮ ОХРАНЫ ТРУДА
2.1. Оценка социального эффекта мероприятий по улучшению охраны труда определяется сопоставлением данных производственного травматизма, которые характеризуются:
коэффициентами частоты травматизма -

,

;
коэффициентом тяжести -

.
2.2. Коэффициент частоты травматизма

представляет собой количество несчастных случаев, приходящихся на 1000 работающих за определенный период, и равен:

, (1)
где N - количество несчастных случаев, произошедших за рассматриваемый период;
Р - среднесписочный состав работников за рассматриваемый период.
2.3. Коэффициент тяжести

представляет собой усредненное количество дней нетрудоспособности по одному больничному листу за рассматриваемый период и определяется следующим образом:

, (2)
где

- суммарное количество дней нетрудоспособности по травматизму за рассматриваемый период.
2.4. Коэффициент частоты несчастных случаев со смертельным исходом представляет собой количество несчастных случаев со смертельным исходом, приходящихся на 1000 работающих, и принимается равным:

, (3)
где

- количество несчастных случаев со смертельным исходом за рассматриваемый период.
2.5. Для обобщения данных производственного травматизма используют коэффициент условных трудовых потерь

:

, (4)
где 6000 - условная тяжесть последствий несчастного случая с летальным исходом, чел.-дн.
Для оценки сокращения производственного травматизма используют показатель экономии трудовых потерь

:

, (5)
где

и

- условные трудовые потери соответственно до внедрения мероприятий и после их внедрения.
2.6. Оценка экономического эффекта от мероприятий по улучшению охраны труда осуществляется сопоставлением затрат на мероприятия по улучшению охраны труда S и материальных последствий от производственного травматизма Z.
2.7. Затраты на охрану труда S отражают активную деятельность коллектива предприятия и его руководства по созданию безопасных условий работы. Они включают затраты на устройство и приспособления для временного закрепления и монтажа конструкций или части сооружения, средства подмащивания, а также средства защиты для обеспечения безопасности работ, выполняемых на высоте; приспособления и устройства для защиты работников от опасных производственных факторов; индивидуальные средства защиты; затраты на заработную плату работников службы охраны труда:

, (6)
где

- стоимость затрат за отчетный период на приспособления и устройства, обеспечивающие прочность и устойчивость конструкций или сооружений во время строительства или монтажа; расходы на устройство средств подмащивания и других приспособлений, обеспечивающих безопасность работ на высоте; стоимость устройств и приспособлений для защиты работников от воздействия опасных производственных факторов; расходы на индивидуальные средства защиты;

- затраты на проведение обучения по охране труда;

- заработная плата работников службы охраны труда.
2.8. Материальные последствия от несчастных случаев на производстве характеризуют материальные потери коллектива в связи с несовершенством охраны труда. Их подсчитывают следующим образом:

, (7)
где

- затраты на оплату больничных листов о нетрудоспособности из-за производственного травматизма и профзаболеваний;

- затраты на возмещение заработка;

- затраты на выплату единовременных пособий;

- компенсация дополнительных расходов, связанных с несчастным случаем;

- затраты на возмещение морального ущерба;

- доплаты за неблагоприятные условия работ и спецпитание.
Все затраты определяются по соответствующим статьям бухгалтерского учета.
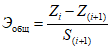
2.9. Для оценки экономической эффективности отдельных мероприятий по улучшению охраны труда используется показатель общей экономической эффективности

:

, (8)
где

- материальные последствия до внедрения i+1-мероприятий по улучшению охраны труда;

- материальные последствия после внедрения мероприятий;

- затраты на реализацию i+1-мероприятий по улучшению охраны труда.
2.10. Для оценки экономического эффекта деятельности по улучшению охраны труда используют показатель экономии удельных приведенных затрат

:

, (9)
где

- затраты на охрану труда и материальные потери до внедрения мероприятий;

- затраты на охрану труда и материальные потери после внедрения мероприятий;

,

- численность работающих до внедрения мероприятий и после их внедрения (чаще всего за год, предшествующий отчетному году и за отчетный год).
3. ПОРЯДОК ПОДВЕДЕНИЯ ИТОГОВ СМОТРА-КОНКУРСА
ПО ОХРАНЕ ТРУДА В СТРОИТЕЛЬНЫХ ОРГАНИЗАЦИЯХ
3.1. При проведении смотра-конкурса по охране труда используется метод сравнительной оценки состояния охраны труда. Для его проведения следует обеспечить сбор необходимых данных, характеризующих состояние охраны труда по представленной в таблице форме. При этом данные должны быть представлены по отчетному и предшествующим годам.
Форма
Показатели социальной и экономической эффективности
мероприятий по улучшению охраны труда организации
(наименование, форма собственности, род деятельности,
местонахождение, принадлежность к акционерным обществам,
концернам, ассоциациям)
┌──────┬───────────────┬──────────────┬───────────────────────┬──┐
│Чис- │ Данные │ Затраты на │ Материальные │П │
│лен- │ о травматизме │ охрану труда,│ последствия, │ у│
│ность │ │ тыс. руб. │ тыс. руб. │ │
│рабо- ├──┬──┬───┬─────┼──┬──┬──┬─────┼──┬──┬──┬──┬──┬──┬─────┤ │
│тающих│K │K │K │K │S │S │S │Всего│Z │Z │Z │Z │Z │Z │Всего│ │
│ │ Ч│ Т│ СМ│ обоб│ 1│ 2│ 3│ │ 1│ 2│ 3│ 4│ 5│ 6│ │ │
├──────┼──┴──┴───┴─────┴──┴──┴──┴─────┴──┴──┴──┴──┴──┴──┴─────┼──┤
│ │ Предыдущий год │ │
│ │ │ │
│ │ │ │ │ │ │ │ │ │ │ │ │ │ │ │ │ │
├──────┼──┴──┴───┴─────┴──┴──┴──┴─────┴──┴──┴──┴──┴──┴──┴─────┼──┤
│ │ Отчетный год │ │
│ │ │ │
│ │ │ │ │ │ │ │ │ │ │ │ │ │ │ │ │ │
└──────┴──┴──┴───┴─────┴──┴──┴──┴─────┴──┴──┴──┴──┴──┴──┴─────┴──┘
Показатель социальной эффективности

Показатель экономической эффективности

Руководитель организации Председатель профсоюзного комитета
Инженер по охране труда Государственный инспектор
по охране труда
В
Прил. 1 приводится методический пример подведения итогов смотра-конкурса для строительных организаций.
Стоимость затрат на приспособления и устройства для защиты работников от опасных производственных факторов, а также на индивидуальные средства защиты определяется из техпромфинплана организации.
Затраты на обучение безопасным методам труда, на оплату больничных листов, на выплату единовременных пособий, на компенсацию длительных расходов, связанных с несчастным случаем, а также на заработную плату работников службы охраны труда определяют на основании бухгалтерской отчетности организации.
Затраты на возмещение заработка приведены в ведомости на выплату заработной платы.
Затраты на возмещение морального ущерба определяются из постановления суда.
Показатели травматизма

,

,

приведены в отчете о пострадавших при несчастных случаях (форма 9т/7-ТВ).
3.2. Победитель смотра-конкурса определяется по большему показателю социальной эффективности мероприятий по улучшению охраны труда.
При равных значениях указанных показателей в двух и более организациях предпочтение должно отдаваться организации, имеющей большие показатели экономической эффективности.
4. ОЦЕНКА ЭФФЕКТИВНОСТИ МЕРОПРИЯТИЙ ОХРАНЫ ТРУДА
В СТРОИТЕЛЬНОЙ ОРГАНИЗАЦИИ
4.1. При оценке эффективности мероприятий охраны труда в строительных организациях используются те же показатели, что и при проведении смотров-конкурсов по охране труда. При этом показатели организации могут сравниваться с показателями других родственных организаций. В
Прил. 2 приведены удельные показатели производственного травматизма за 1993 г. по республиканским акционерным обществам, концернам и ассоциациям, а также по отдельным регионам Российской Федерации.
4.2. При оценке эффективности мероприятий охраны труда в строительной организации ставится, как правило, задача получения максимального эффекта в рамках выделенных материальных и денежных ресурсов, которая решается в рамках управления охраной труда. В этом случае необходимо распределить средства по наиболее эффективным мероприятиям. Их отбор осуществляется при максимальном значении показателя общей экономической эффективности.
4.3. При отсутствии нормативного выделения затрат ставится задача определения рационального размера затрат на мероприятия по улучшению охраны труда. Это можно сделать, применяя показатель удельных приведенных затрат.
Рациональный размер затрат на охрану труда определяется при минимальном значении показателя

.
МЕТОДИЧЕСКИЙ ПРИМЕР ПОДВЕДЕНИЯ ИТОГОВ
СМОТРА-КОНКУРСА ПО ОХРАНЕ ТРУДА
В качестве примера, иллюстрирующего применение предложенных Методических рекомендаций, были сравнены уровни состояния охраны труда в трех организациях: N 1 (завод ЖБК), N 2 (домостроительный комбинат) и N 3 (трест "Отделстрой").
Профили деятельности организаций были различными:
в первой изготавливаются строительные конструкции,
во второй ведутся строительно-монтажные работы,
в третьей - отделочные работы.
Во всех организациях собраны данные и заполнены таблицы 1 -
3 за два года отчетности (1992-й и 1993-й гг.). В соответствии с Методическими рекомендациями подсчитаны показатели оценки состояния охраны труда

, а также определены показатели социальной

и экономической

эффективности.
Таблица 1
Показатели социальной и экономической эффективности
мероприятий по улучшению охраны труда в организации N 1
┌───────┬──────────────────┬───────────────────────┬────────────────────────────┬─────┐
│Числен-│ Данные │ Затраты на охрану │ Материальные последствия, │ П │
│ность │ о травматизме │ труда, тыс. руб. │ тыс. руб. │ у │
│рабо- ├───┬────┬───┬─────┼─────┬─────┬────┬──────┼───┬────┬──┬──┬──┬────┬─────┤ │
│тающих │K │ K │K │K │ S │ S │ S │Всего │Z │ Z │Z │Z │Z │ Z │Всего│ │
│ │ Ч │ Т │ СМ│ обоб│ 1 │ 2 │ 3 │ │ 1 │ 2 │ 3│ 4│ 5│ 6 │ │ │
├───────┼───┴────┴───┴─────┴─────┴─────┴────┴──────┴───┴────┴──┴──┴──┴────┴─────┼─────┤
│ │ Предыдущий год - 1992 г. │ │
│ │ │ │
│ 1241 │0,8│55,0│ 0 │44,0 │10633│2333 │9104│22070 │484│5199│- │- │- │6420│12103│27537│
├───────┼───┴────┴───┴─────┴─────┴─────┴────┴──────┴───┴────┴──┴──┴──┴────┴─────┼─────┤
│ │ Отчетный год - 1993 г. │ │
│ │ │ │
│ 1237 │0,8│45,2│ 0 │34,0 │4330 │110,1│924 │5364,1│10 │485 │- │- │- │3644│4139 │7682 │
└───────┴───┴────┴───┴─────┴─────┴─────┴────┴──────┴───┴────┴──┴──┴──┴────┴─────┴─────┘
Показатель социальной эффективности

= 44 - 34 = 10
Показатель экономической эффективности

= 27537 - 7682 = 19855
Таблица 2
Показатели социальной и экономической эффективности
мероприятий по улучшению охраны труда в организации N 2
┌───────┬───────────────────┬─────────────────────┬──────────────────────────────┬─────┐
│Числен-│ Данные о │ Затраты на охрану │ Материальные последствия, │ П │
│ность │ травматизме │ труда, тыс. руб. │ тыс. руб. │ у │
│рабо- ├───┬────┬───┬──────┼─────┬──┬─────┬──────┼──────┬────┬──┬──┬──┬──┬──────┤ │
│тающих │K │ K │K │K │ S │S │ S │Всего │ Z │ Z │Z │Z │Z │Z │Всего │ │
│ │ Ч │ Т │ СМ│ обоб │ 1 │ 2│ 3 │ │ 1 │ 2 │ 3│ 4│ 5│ 6│ │ │
├───────┼───┴────┴───┴──────┴─────┴──┴─────┴──────┴──────┴────┴──┴──┴──┴──┴──────┼─────┤
│ │ Предыдущий год - 1992 г. │ │
│ │ │ │
│ 2231 │3,1│28,5│0,4│2488,4│13683│- │4800 │18483 │1139,7│5199│- │- │- │- │6338,7│11125│
├───────┼───┴────┴───┴──────┴─────┴──┴─────┴──────┴──────┴────┴──┴──┴──┴──┴──────┼─────┤
│ │ Отчетный год - 1993 г. │ │
│ │ │ │
│ 2119 │3,3│70,8│ 0 │233,6 │3315 │- │358,1│3673,1│194,8 │485 │- │- │- │- │679,8 │2054 │
└───────┴───┴────┴───┴──────┴─────┴──┴─────┴──────┴──────┴────┴──┴──┴──┴──┴──────┴─────┘
Показатель социальной эффективности

= 2488,4 - 233,6 = 2254,8
Показатель экономической эффективности

= 11125 - 2054 = 9071
Таблица 3
Показатели социальной и экономической эффективности
мероприятий по улучшению охраны труда в организации N 3
┌───────┬──────────────────┬───────────────────┬────────────────────────┬─────┐
│Числен-│ Данные │ Затраты на охрану │ Материальные │ П │
│ность │ о травматизме │ труда, тыс. руб. │последствия, тыс. руб. │ у │
│рабо- ├────┬──┬───┬──────┼────┬──┬────┬──────┼───┬──┬──┬──┬──┬──┬─────┤ │
│тающих │ K │K │K │K │ S │S │ S │Всего │Z │Z │Z │Z │Z │Z │Всего│ │
│ │ Ч │ Т│ СМ│ обоб │ 1 │ 2│ 3 │ │ 1 │ 2│ 3│ 4│ 5│ 6│ │ │
├───────┼────┴──┴───┴──────┴────┴──┴────┴──────┴───┴──┴──┴──┴──┴──┴─────┼─────┤
│ │ Предыдущий год - 1992 г. │ │
│ │ │ │
│ 294 │ - │- │ - │ 0 │ 93 │10│7,5 │110,5 │ - │- │- │- │- │- │ - │ 376 │
├───────┼────┴──┴───┴──────┴────┴──┴────┴──────┴───┴──┴──┴──┴──┴──┴─────┼─────┤
│ │ Отчетный год - 1993 г. │ │
│ │ │ │
│ 336 │2,98│68│ - │202,64│4095│78│97,5│4270,5│272│- │- │- │- │- │ 272 │13519│
└───────┴────┴──┴───┴──────┴────┴──┴────┴──────┴───┴──┴──┴──┴──┴──┴─────┴─────┘
Показатель социальной эффективности

= 202,6
Показатель экономической эффективности

= 13519 - 376 = 13143
Из
таблиц 1 -
3 видно, что наибольший показатель социальной эффективности достигнут в организации N 2.
По экономической эффективности лучшие показатели достигнуты в организации N 1.
Победителем смотра-конкурса принимается организация N 2.
ДАННЫЕ ГОСКОМСТАТА РОССИИ О СОСТОЯНИИ
ПРОИЗВОДСТВЕННОГО ТРАВМАТИЗМА В СТРОИТЕЛЬНОМ КОМПЛЕКСЕ
Таблица 1
Удельные показатели производственного травматизма
за 1993 г. по ведомствам и организациям, входящим
в строительный комплекс Российской Федерации
┌────────────────────────────────┬──────────────────────┬────────┐
│ Организация │ Коэффициент │Условные│
│ ├───────┬───────┬──────┤трудовые│
│ │частоты│тяжести│смерт-│потери, │
│ │несча- │несча- │ности │чел.-дн.│
│ │стных │стных │K │K │
│ │случаев│случаев│ СМ │ обоб │
│ │K │K │ │ │
│ │ Ч │ Т │ │ │
├────────────────────────────────┼───────┼───────┼──────┼────────┤
│ 1 │ 2 │ 3 │ 4 │ 5 │
├────────────────────────────────┼───────┼───────┼──────┼────────┤
│1. Акционерное общество │ 6,2 │ 28,7 │0,467 │ 2979,9 │
│ "Росавтодор" │ │ │ │ │
│2. Акционерная производственно- │ 13,1 │ 23,4 │0,321 │ 2232,5 │
│ проектная агростроительная │ │ │ │ │
│ корпорация "Нечерноземагро- │ │ │ │ │
│ промстрой" │ │ │ │ │
│3. Российское акционерное │ 4,5 │ 33,3 │0,331 │ 2135,9 │
│ общество "Роснефтегазстрой" │ │ │ │ │
│4. Российская акционерная │ 9,2 │ 26,1 │0,307 │ 2082,1 │
│ агростроительно-промышленная │ │ │ │ │
│ корпорация "Росагропромстрой"│ │ │ │ │
│5. Акционерное общество │ 6,9 │ 22,3 │0,313 │ 2031,9 │
│ "Россельхозводстрой" │ │ │ │ │
│6. Акционерное общество │ 6,2 │ 32,9 │0,294 │ 1968,0 │
│ "Монтажспецстрой" │ │ │ │ │
│7. Акционерное общество │ 7,1 │ 30,0 │0,286 │ 1929,0 │
│ "Корпорация трансстрой" │ │ │ │ │
│8. Акционерное общество │ 7,7 │ 26,7 │0,273 │ 1843,6 │
│ "Россевзапстрой" │ │ │ │ │
│9. Акционерное общество │ 7,4 │ 27,8 │0,272 │ 1837,7 │
│ "Росвостокстрой" │ │ │ │ │
│10. Акционерное общество │ 7,2 │ 31,4 │0,249 │ 1720,1 │
│ "Росуралсибстрой" │ │ │ │ │
│11. Акционерное общество │ 8,5 │ 27,7 │0,208 │ 1483,5 │
│ "Мособлстройматериалы" │ │ │ │ │
│12. Акционерное общество │ 6,4 │ 26,2 │0,215 │ 1457,7 │
│ "Росгражданреконструкция" │ │ │ │ │
│13. Российское акционерное │ 8,1 │ 24,2 │0,209 │ 1450,0 │
│ общество "Росстром" │ │ │ │ │
│14. Акционерное общество │ 6,6 │ 34,9 │0,200 │ 1430,3 │
│ "Ленстрой" │ │ │ │ │
│15. Акционерное общество │ 5,8 │ 30,1 │0,200 │ 1374,6 │
│ "Росюгстрой" │ │ │ │ │
│16. Мособлстройкомитет │ 5,2 │ 30,4 │0,189 │ 1292,1 │
│17. Департамент строительства │ 6,6 │ 33,2 │0,143 │ 1077,1 │
│ г. Москвы │ │ │ │ │
│ Средние показатели травма- │ 7,1 │ 28,1 │0,275 │ 1849,5 │
│ тизма в целом по области │ │ │ │ │
│ Амурская обл. │ 16,9 │ 20,4 │0,294 │ 2108,8 │
│ Магаданская обл. │ 7,4 │ 34,9 │0,285 │ 1968,3 │
│ Сахалинская обл. │ 15,6 │ 21,7 │0,283 │ 2036,5 │
│ Чукотский автономный округ │ 9,4 │ 31,8 │4,717 │28600,9 │
│ Калининградская обл. │ 8,7 │ 24,0 │0,437 │ 2830,8 │
│ Средние показатели травма- │ 7,1 │ 28,1 │0,275 │ 1849,5 │
│ тизма в целом по отрасли │ │ │ │ │
└────────────────────────────────┴───────┴───────┴──────┴────────┘