Главная // Актуальные документы // МДС (Методический документ)СПРАВКА
Источник публикации
М.: Госстрой России, ГУП ЦПП, 2003
"Ценообразование и сметное нормирование в строительстве", N 5, 2014
Примечание к документу
Взамен "Рекомендаций по определению годовых режимов работы и эксплуатационной производительности строительных машин" (ЦНИИОМТП, М., 1982).
Название документа
"МДС 12-13.2003. Механизация строительства. Годовые режимы работы строительных машин"
"МДС 12-13.2003. Механизация строительства. Годовые режимы работы строительных машин"
МЕТОДИЧЕСКАЯ ДОКУМЕНТАЦИЯ В СТРОИТЕЛЬСТВЕ
МЕХАНИЗАЦИЯ СТРОИТЕЛЬСТВА
ГОДОВЫЕ РЕЖИМЫ РАБОТЫ СТРОИТЕЛЬНЫХ МАШИН
МДС 12-13.2003
1. Разработан Центральным научно-исследовательским и проектно-экспериментальным институтом организации, механизации и технической помощи строительству (ЦНИИОМТП).
Внесен Управлением государственной строительной политики Госстроя России и Техническим комитетом по стандартизации (ТК 376) "Эксплуатация строительно-дорожных машин и оборудования".
2. Взамен "Рекомендаций по определению годовых режимов работы и эксплуатационной производительности строительных машин" (ЦНИИОМТП, М., 1982).
Эффективность использования машин определяется временем, в течение которого машина выполняет работу при номинальных режимах нагрузки. Чем больше это время, тем лучше используется машина и выше качество ее эксплуатации.
Оценка качества использования машины производится сравнением фактического времени, отработанного машиной, с расчетной нормой времени, определить которую можно, проведя расчет годового режима работы машины.
Важно не только установить факт выполнения или невыполнения расчетного годового режима работы машины, но и наметить мероприятия по улучшению ее использования.
В настоящем документе дана методика определения годовых режимов работы строительных машин и приводятся исходные данные для анализа режимов их работы.
Определенные расчетом годовые режимы работы машин могут применяться не только для оценки качества эксплуатации строительных машин, но и для сметных расчетов.
Настоящий документ подготовлен ЦНИИОМПТ (Колосков В.Н., Гутарев Ю.А., Корытов Ю.А.) и Управлением государственной строительной политики Госстроя России (Молоткова Л.Н., Симонов С.Н.).
Настоящий документ распространяется на эксплуатацию строительных машин в части определения годовых режимов их работы.
Документ устанавливает правила определения годовых режимов работы строительных машин, содержит исходные данные для расчетов и типовые годовые режимы работы строительных машин.
Документ предназначен для использования во всех организациях, занимающихся проектированием, изготовлением и эксплуатацией строительных машин.
В настоящем документе использованы ссылки на следующие документы:
| | ИС МЕГАНОРМ: примечание. По сообщению Управления технормирования Госстроя РФ номер документа изменен с СП 12-134-2001 на СП 12-102-2001. | |
СП 12-134-2001. Механизация строительства. Расчет расхода топлива на работу строительных и дорожных машин
МДС 12-8.2000. Рекомендации по организации технического обслуживания и ремонта строительных машин.
Годовой режим работы строительной машины - продолжительность рабочего времени и перерывов в работе в течение года.
Суточный режим работы строительной машины - продолжительность рабочего времени и перерывов в работе в течение суток.
Коэффициент внутрисменного использования строительной машины - отношение времени использования машины по назначению к продолжительности сменного рабочего времени.
Эксплуатация строительной машины и условия эксплуатации машины - по
ГОСТ 25866.
4.1. Режим работы строительных машин определяется продолжительностью времени работы машины и перерывов в работе машин за соответствующий период календарного времени.
Рабочее время машин включает продолжительность выполнения операций технологического процесса работ (передвижения машины по фронту работ в пределах одного строительного объекта), технологических перерывов в работе машин, подготовки машины к работе в начале смены и сдачи ее в конце смены, технического обслуживания машин в течение смены (ЕО).
4.2. В основном режимы работы машин подразделяются на годовые и суточные, но могут разрабатываться и на другие периоды календарного времени года.
4.3. Определение годового режима работы машин предусматривает получение данных по распределению календарного времени на рабочее время и время, когда машина по тем или иным причинам не работает: техническое обслуживание, за исключением ежесменного, ремонт, перемещение с одного объекта на другой, монтаж или демонтаж и др. В годовом режиме учитываются только целосменные перерывы в работе машин.
Годовой режим работы может определяться как на каждую машину, так и на среднесписочную машину по каждой группе.
4.4. Суточный режим определяет количество смен работы машин в течение суток. Количество смен работы при этом определяется как средняя величина.
5. РАСЧЕТ ГОДОВОГО РЕЖИМА РАБОТЫ СТРОИТЕЛЬНЫХ МАШИН
5.1. Годовые режимы работы строительных машин должны разрабатываться применительно к конкретным условиям их эксплуатации, организованной согласно требованиям
ГОСТ 25646.
5.2. Годовой режим работы машин может быть определен в сутках, сменах и часах рабочего времени.
Расчет годового режима работы машин заключается в определении количества суток, смен, часов;
времени работы машины в году;
перерывов в работе машины в результате перебазировок, выходных дней, метеоусловий, ремонта и др.
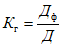
5.3. Количество рабочих суток машины в году Д определяется путем исключения из календарного времени года числа суток перерывов в работе машины по всем причинам, т.е.

, (1)
где

- праздничные и выходные дни;

- время, затрачиваемое на перебазировку машин (время на демонтаж, перевозку и монтаж машин на новом месте работы);

- перерывы в работе, связанные с неблагоприятными метеорологическими условиями, при которых машины не могут работать;

- непредвиденные перерывы в работе машин;

- время, затрачиваемое на доставку машин на ремонтное предприятие и обратно, а также время ожидания ремонта;

- время нахождения машин в техническом обслуживании и ремонте.
Количество смен работы машины в году

определяется исходя из количества смен работы машины в сутки, с учетом требований технологии производства работ и фактически достигнутой сменности, учитывающей конкретные условия эксплуатации машин в организации, для которой разрабатываются годовые режимы работы

, (2)
где

- количество смен работы машины в сутки.
Для группы (вида) машин

рассчитывается исходя из данных о количестве машин, работавших с различной сменностью в сутки соответствующего календарного периода времени по следующей формуле

, (3)
где

- количество смен работы отдельных машин в сутки;

- среднесписочное количество машин, работавших со сменностью, равной соответствующей величине

;

- количество суток работы данной группы машин с одинаковой сменностью;
М - общее среднесписочное количество работавших машин;
Т - количество суток, отработанных машинами в соответствующем периоде.
Количество часов рабочего времени машины в течение года

при продолжительности смены в часах согласно режиму, установленному для данной организации и в соответствии с действующим законодательством, определяется как

, (4)
где

- продолжительность рабочей смены, ч.
5.4. Количество праздничных и выходных дней

принимается по календарю, а при работе машинистов по скользящему графику - на основании графиков, принятых в данной организации.
5.5. Количество суток, затрачиваемых на перебазировку машин в течение года

, определяется на основании данных о количестве и территориальном размещении строящихся объектов, продолжительности их строительства. При этом учитываются намечаемые на планируемый период изменения структуры работ, количества и размещения объектов и мероприятия, сокращающие продолжительность перебазировки. При определении продолжительности перебазировок машин могут быть использованы данные, приведенные в Прил. 1 (
табл. 1 -
5).
При расчете режимов использования самоходных колесных машин, которые имеют постоянную стоянку на эксплуатационной базе строительной организации, время, затрачиваемое ежедневно на переезды к месту работы и обратно (при расстояниях не более 25 - 30 км), учитывают в составе сменного рабочего времени и в затраты времени на перебазировку не включают.
5.6. Перерывы в работе машин, связанные с неблагоприятными метеорологическими условиями, определяются на основании данных соответствующих районных управлений гидрометеослужбы с учетом типа машины.
Данные гидрометеослужбы по отдельным географическим пунктам о количестве дней в году с неблагоприятными метеорологическими условиями, влияющими на продолжительность рабочего времени машин, приведены в Прил. 1 (
табл. 6).
5.7. При расчете годового режима может быть предусмотрено время на перерывы в работе машин по непредвиденным причинам и резерва времени машин

, продолжительность которых принимается 3% календарного времени за вычетом праздничных и выходных дней.
5.8. Время, затрачиваемое на доставку машин на ремонтное предприятие и обратно, а также время ожидания ремонта определяются на основании расчетов и данных о фактических затратах времени (
Прил. 2).
5.9. Время нахождения машины в техническом обслуживании и ремонте

(в сутках) определяется по формуле

, (2)
где

- перерывы в работе машин по всем причинам, кроме перерывов для технического обслуживания и ремонта;

- количество смен работы в сутки;

- продолжительность смены, ч;

- количество дней нахождения машин в техническом обслуживании и ремонте в расчете на 1 ч сменного рабочего времени машины.
5.10. При наличии счетчика моточасов время нахождения машины в техническом обслуживании и ремонте (в сутках) можно определить из выражения

, (6)
где

- наработка машины в моточасах.
5.11. Величина

принимается на основании показателей, содержащихся в эксплуатационной документации, по
ГОСТ 2.601, заводов-изготовителей и фактических сведений по аналогичным машинам.
Если эти данные отсутствуют, то

определяется по формуле

, (7)
где

- количество технических обслуживаний и ремонтов каждого вида машин за один ремонтный цикл;

- продолжительность одного технического обслуживания и ремонта соответствующего вида машин в рабочих сутках;

- продолжительность ремонтного цикла в моточасах;

- коэффициент отношения наработки машины в моточасах к сменному рабочему времени, за которое она получена.
Значения величины

принимаются по данным МДС 12-8.2000.
Коэффициент

определяется по каждой организации, для которой рассчитывают режимы работы машин.
5.12. Для упрощения расчетов

при отсутствии фактических данных о наработке машин можно пользоваться усредненными значениями коэффициента

, приведенными в
табл. 7 Прил. 1. При определении режимов работы для парка менее 15 одноименных машин затраты времени на ремонты рекомендуется определять для каждой машины с учетом фактически отработанного количества часов.
5.13. При определении продолжительности перерывов в работе машин по различным причинам рекомендуется учитывать возможность сокращения их за счет совмещения перерывов во времени. Так, сутки с неблагоприятными метеорологическими условиями могут совпадать с выходными и праздничными днями. Продолжительность перерывов в работе машин в связи с выходными днями может быть уменьшена за счет введения скользящего графика работы машинистов. Перерывы в работе для технического обслуживания машин могут быть сокращены за счет организации проведения его в выходные дни или в нерабочие смены.
ЭКСПЛУАТАЦИОННОЙ ПРОИЗВОДИТЕЛЬНОСТИ
СТРОИТЕЛЬНЫХ МАШИН
6.1. Годовая эксплуатационная производительность (выработка) машины П определяется на основании данных годового режима работы машины и ее эксплуатационной производительности

, (8)
где

- количество часов рабочего времени в году;

- эксплуатационная производительность машины.
6.2. Эксплуатационная производительность машины определяется на основании данных о фактическом количестве часов рабочего времени и выполненном объеме работ за расчетный период.
Эксплуатационная производительность

может быть подсчитана по формулам технической производительности

с учетом коэффициента внутрисменного использования рабочего времени

, т.е.

. (9)
6.3. Коэффициент использования внутрисменного времени

определяется на основании данных систематических наблюдений о внутрисменных потерях рабочего времени.
Если эти данные отсутствуют, можно использовать значения

, приведенные в
СП 12-134-2001.
ИСПОЛЬЗОВАНИЯ СТРОИТЕЛЬНЫХ МАШИН
7.1. Для оценки использования строительных машин по времени и производительности следует применять следующие показатели:
коэффициент использования машины по времени в году;
коэффициент использования внутрисменного времени;
показатель использования машины по производительности в году.
7.2. Коэффициент использования машины по времени в году

определяется

, (10)
где

- фактическое количество суток, отработанное машиной в течение года.
7.3. Коэффициент использования внутрисменного времени

определяется

, (11)
где

- фактическое время работы машины в смену.
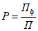
7.4. Показатель использования машины по производительности в году Р определяется

, (12)
где

- фактическая годовая эксплуатационная производительность (выработка) машины.
7.5. Дополнительными показателями оценки использования машин могут служить данные анализа режимов работы, полученные путем сравнения фактических затрат времени на перебазировку машин, техническое обслуживание и ремонт машин, потерь рабочего времени в связи с неблагоприятными метеорологическими условиями и непредвиденными причинами с затратами времени, предусмотренными в режимах работы.
Эти данные используют при расчете режимов работы на последующий планируемый период и разработке мероприятий по улучшению использования машин.
8. ПРИМЕНЕНИЕ РАСЧЕТОВ ГОДОВЫХ РЕЖИМОВ
РАБОТЫ СТРОИТЕЛЬНЫХ МАШИН
8.1. Типовые годовые режимы работы строительных машин приведены в табл. 1 -
9 и могут быть использованы:
для практических целей планирования и анализа фактического использования машин, если исходные данные, принятые для расчета режимов, соответствуют условиям работы организаций, использующих эти режимы;
в качестве методического пособия для разработки режимов при различии исходных данных соответствующей строительной организации и принятых в типовых режимах.
Таблица 1
┌────────────────────────────┬───────────────────────────────────┐
│ Элементы режима работы │ Температурные зоны │
│ ├────┬─────┬─────┬──────┬─────┬─────┤
│ │ I │ II │ III │ IV │ V │ VI │
├────────────────────────────┴────┴─────┴─────┴──────┴─────┴─────┤
│ Экскаваторы одноковшовые 1 - 4-размерных групп │
├────────────────────────────┬────┬─────┬─────┬──────┬─────┬─────┤
│Количество нерабочих суток │163 │166 │166 │168 │173 │189 │
│в году │ │ │ │ │ │ │
├────────────────────────────┼────┼─────┼─────┼──────┼─────┼─────┤
│В том числе по причинам: │ │ │ │ │ │ │
│ праздничные и выходные дни │115 │115 │115 │115 │115 │115 │
│ перебазировка машин │5 │5 │4 │4 │3 │3 │
│ метеорологические причины │6 │9 │11 │14 │20 │38 │
│ непредвиденные причины │7 │7 │7 │7 │7 │7 │
│ техническое обслуживание │27 │27 │27 │26 │26 │24 │
│и ремонт │ │ │ │ │ │ │
│ доставка в ремонт и обрат- │3 │3 │2 │2 │2 │2 │
│но, а также ожидание ремонта│ │ │ │ │ │ │
├────────────────────────────┼────┼─────┼─────┼──────┼─────┼─────┤
│Количество суток работы │202 │199 │199 │197 │194 │176 │
│в году │ │ │ │ │ │ │
├────────────────────────────┼────┼─────┼─────┼──────┼─────┼─────┤
│Количество часов рабочего │3313│3264 │3264 │3234 │3182 │2886 │
│времени в году │ │ │ │ │ │ │
└────────────────────────────┴────┴─────┴─────┴──────┴─────┴─────┘
Таблица 2
┌────────────────────────────┬───────────────────────────────────┐
│ Элементы режима работы │ Температурные зоны │
│ ├────┬─────┬─────┬──────┬─────┬─────┤
│ │ I │ II │ III │ IV │ V │ VI │
├────────────────────────────┴────┴─────┴─────┴──────┴─────┴─────┤
│ Бульдозеры │
├────────────────────────────┬────┬─────┬─────┬──────┬─────┬─────┤
│Количество нерабочих суток │160 │162 │163 │165 │170 │186 │
│в году │ │ │ │ │ │ │
├────────────────────────────┼────┼─────┼─────┼──────┼─────┼─────┤
│В том числе по причинам: │ │ │ │ │ │ │
│ праздничные и выходные дни │115 │115 │115 │115 │115 │115 │
│ перебазировка машин │7 │7 │6 │6 │5 │5 │
│ метеорологические причины │6 │9 │11 │14 │20 │38 │
│ непредвиденные причины │8 │8 │8 │8 │8 │8 │
│ техническое обслуживание │20 │19 │19 │19 │19 │17 │
│и ремонт │ │ │ │ │ │ │
│ доставка в ремонт и обрат- │4 │4 │4 │3 │3 │3 │
│но, а также ожидание ремонта│ │ │ │ │ │ │
├────────────────────────────┼────┼─────┼─────┼──────┼─────┼─────┤
│Количество суток работы в │205 │203 │202 │201 │195 │179 │
│году │ │ │ │ │ │ │
├────────────────────────────┼────┼─────┼─────┼──────┼─────┼─────┤
│Количество часов рабочего │3362│3329 │3313 │3296 │3198 │2936 │
│времени в году │ │ │ │ │ │ │
└────────────────────────────┴────┴─────┴─────┴──────┴─────┴─────┘
Таблица 3
┌──────────────────────────────────┬─────────────────────────────┐
│ Элементы режима работы │ Температурные зоны │
│ ├─────┬─────┬─────┬─────┬─────┤
│ │ I │ II │ III │ IV │ V │
├──────────────────────────────────┴─────┴─────┴─────┴─────┴─────┤
│ Скреперы │
├──────────────────────────────────┬─────┬─────┬─────┬─────┬─────┤
│Количество нерабочих суток в году │ 192 │ 237 │ 242 │ 254 │ 264 │
├──────────────────────────────────┼─────┼─────┼─────┼─────┼─────┤
│В том числе по причинам: │ │ │ │ │ │
│ праздничные и выходные дни │115 │115 │115 │115 │115 │
│ перебазировка машин │6 │6 │5 │4 │4 │
│ метеорологические причины │47 │96 │103 │117 │129 │
│ непредвиденные причины │8 │8 │8 │8 │8 │
│ техническое обслуживание и ремонт│16 │12 │11 │10 │8 │
├──────────────────────────────────┼─────┼─────┼─────┼─────┼─────┤
│Количество суток работы в году │173 │127 │126 │111 │101 │
├──────────────────────────────────┼─────┼─────┼─────┼─────┼─────┤
│Количество часов рабочего времени │2837 │2083 │2017 │1820 │1656 │
│в году │ │ │ │ │ │
└──────────────────────────────────┴─────┴─────┴─────┴─────┴─────┘
Таблица 4
┌──────────────────────────────────┬─────────────────────────────┐
│ Элементы режима работы │ Температурные зоны │
│ ├─────┬─────┬─────┬─────┬─────┤
│ │ I │ II │ III │ IV │ V │
├──────────────────────────────────┴─────┴─────┴─────┴─────┴─────┤
│ Автогрейдеры │
├──────────────────────────────────┬─────┬─────┬─────┬─────┬─────┤
│Количество нерабочих суток в году │183 │230 │236 │249 │261 │
├──────────────────────────────────┼─────┼─────┼─────┼─────┼─────┤
│В том числе по причинам: │ │ │ │ │ │
│ праздничные и выходные дни │115 │115 │115 │115 │115 │
│ перебазировка машин │5 │5 │4 │4 │4 │
│ метеорологические причины │47 │96 │103 │117 │129 │
│ непредвиденные причины │8 │8 │8 │8 │8 │
│ техническое обслуживание и ремонт│8 │6 │6 │5 │5 │
├──────────────────────────────────┼─────┼─────┼─────┼─────┼─────┤
│Количество суток работы в году │182 │135 │129 │116 │104 │
├──────────────────────────────────┼─────┼─────┼─────┼─────┼─────┤
│Количество часов рабочего времени │2985 │2214 │2116 │1902 │1706 │
│в году │ │ │ │ │ │
├──────────────────────────────────┴─────┴─────┴─────┴─────┴─────┤
│ Примечание. Годовой режим работы автогрейдеров рассчитан│
│применительно к использованию их на земляных работах. При│
│использовании автогрейдеров в зимнее время на расчистке дорог и│
│других работах рабочее время соответственно увеличивается. │
└────────────────────────────────────────────────────────────────┘
Таблица 5
┌──────────────────────────────┬─────────────────────────────────┐
│ Элементы режима работы │ Температурные зоны │
│ ├─────┬─────┬────┬─────┬─────┬────┤
│ │ I │ II │III │ IV │ V │ VI │
├──────────────────────────────┴─────┴─────┴────┴─────┴─────┴────┤
│ Автомобильные краны │
├──────────────────────────────┬─────┬─────┬────┬─────┬─────┬────┤
│Количество нерабочих суток │152 │157 │158 │161 │164 │181 │
│в году │ │ │ │ │ │ │
├──────────────────────────────┼─────┼─────┼────┼─────┼─────┼────┤
│В том числе по причинам: │ │ │ │ │ │ │
│ праздничные и выходные дни │115 │115 │115 │115 │115 │115 │
│ перебазировка машин │7 │7 │6 │6 │5 │5 │
│ метеорологические причины │5 │8 │10 │13 │19 │37 │
│ непредвиденные причины │7 │7 │7 │7 │7 │7 │
│ техническое обслуживание │16 │16 │16 │16 │15 │14 │
│и ремонт │ │ │ │ │ │ │
│ доставка в ремонт и обратно, │5 │4 │4 │4 │3 │3 │
│а также ожидание ремонта │ │ │ │ │ │ │
├──────────────────────────────┼─────┼─────┼────┼─────┼─────┼────┤
│Количество суток работы в │210 │208 │207 │204 │201 │184 │
│году │ │ │ │ │ │ │
├──────────────────────────────┼─────┼─────┼────┼─────┼─────┼────┤
│Количество часов рабочего │3444 │3411 │3395│3346 │3296 │3018│
│времени в году │ │ │ │ │ │ │
└──────────────────────────────┴─────┴─────┴────┴─────┴─────┴────┘
Таблица 6
┌──────────────────────────────┬─────────────────────────────────┐
│ Элементы режима работы │ Температурные зоны │
│ ├─────┬─────┬────┬─────┬─────┬────┤
│ │ I │ II │III │ IV │ V │ VI │
├──────────────────────────────┴─────┴─────┴────┴─────┴─────┴────┤
│ Краны на пневмоколесном ходу │
├──────────────────────────────┬─────┬─────┬────┬─────┬─────┬────┤
│Количество нерабочих суток │163 │165 │168 │169 │172 │188 │
│в году │ │ │ │ │ │ │
├──────────────────────────────┼─────┼─────┼────┼─────┼─────┼────┤
│В том числе по причинам: │ │ │ │ │ │ │
│ праздничные и выходные дни │115 │115 │115 │115 │115 │115 │
│ перебазировка машин │7 │7 │6 │6 │5 │5 │
│ метеорологические причины │6 │9 │11 │14 │20 │38 │
│ непредвиденные причины │8 │8 │8 │8 │8 │8 │
│ техническое обслуживание │22 │22 │22 │22 │21 │19 │
│и ремонт │ │ │ │ │ │ │
│ доставка в ремонт и обратно, │5 │4 │4 │4 │3 │3 │
│а также ожидание ремонта │ │ │ │ │ │ │
├──────────────────────────────┼─────┼─────┼────┼─────┼─────┼────┤
│Количество суток работы в │202 │200 │199 │196 │193 │177 │
│году │ │ │ │ │ │ │
├──────────────────────────────┼─────┼─────┼────┼─────┼─────┼────┤
│Количество часов рабочего │3313 │3280 │3264│3214 │3165 │2902│
│времени в году │ │ │ │ │ │ │
└──────────────────────────────┴─────┴─────┴────┴─────┴─────┴────┘
Таблица 7
┌──────────────────────────────┬─────────────────────────────────┐
│ Элементы режима работы │ Температурные зоны │
│ ├─────┬─────┬────┬─────┬─────┬────┤
│ │ I │ II │III │ IV │ V │ VI │
├──────────────────────────────┴─────┴─────┴────┴─────┴─────┴────┤
│ Гусеничные краны │
├──────────────────────────────┬─────┬─────┬────┬─────┬─────┬────┤
│Количество нерабочих суток │164 │166 │166 │169 │172 │189 │
│в году │ │ │ │ │ │ │
├──────────────────────────────┼─────┼─────┼────┼─────┼─────┼────┤
│В том числе по причинам: │ │ │ │ │ │ │
│ праздничные и выходные дни │115 │115 │115 │115 │115 │115 │
│ перебазировка машин │5 │5 │4 │4 │3 │3 │
│ метеорологические причины │6 │9 │11 │14 │20 │38 │
│ непредвиденные причины │8 │8 │8 │8 │8 │8 │
│ техническое обслуживание │24 │23 │23 │23 │22 │21 │
│и ремонт │ │ │ │ │ │ │
│ доставка в ремонт и обратно, │6 │6 │5 │5 │4 │4 │
│а также ожидание ремонта │ │ │ │ │ │ │
├──────────────────────────────┼─────┼─────┼────┼─────┼─────┼────┤
│Количество суток работы в │201 │199 │199 │196 │193 │176 │
│году │ │ │ │ │ │ │
├──────────────────────────────┼─────┼─────┼────┼─────┼─────┼────┤
│Количество часов рабочего │3296 │3264 │3264│3214 │3165 │2886│
│времени в году │ │ │ │ │ │ │
└──────────────────────────────┴─────┴─────┴────┴─────┴─────┴────┘
Таблица 8
┌──────────────────────────────┬─────────────────────────────────┐
│ Элементы режима работы │ Температурные зоны │
│ ├─────┬─────┬────┬─────┬─────┬────┤
│ │ I │ II │III │ IV │ V │ VI │
├──────────────────────────────┴─────┴─────┴────┴─────┴─────┴────┤
│ Башенные краны │
├──────────────────────────────┬─────┬─────┬────┬─────┬─────┬────┤
│Количество нерабочих суток │169 │173 │179 │180 │194 │232 │
│в году │ │ │ │ │ │ │
├──────────────────────────────┼─────┼─────┼────┼─────┼─────┼────┤
│В том числе по причинам: │ │ │ │ │ │ │
│ праздничные и выходные дни │115 │115 │115 │115 │115 │115 │
│ перебазировка машин │20 │20 │20 │20 │20 │20 │
│ метеорологические причины │8 │12 │19 │21 │36 │78 │
│ непредвиденные причины │8 │8 │8 │8 │8 │8 │
│ техническое обслуживание │13 │13 │12 │12 │12 │9 │
│и ремонт │ │ │ │ │ │ │
│ доставка в ремонт и обратно, │5 │5 │5 │4 │3 │2 │
│а также ожидание ремонта │ │ │ │ │ │ │
├──────────────────────────────┼─────┼─────┼────┼─────┼─────┼────┤
│Количество суток работы в │196 │192 │186 │185 │171 │133 │
│году │ │ │ │ │ │ │
├──────────────────────────────┼─────┼─────┼────┼─────┼─────┼────┤
│Количество часов рабочего │3214 │3149 │3050│3034 │2804 │2181│
│времени в году │ │ │ │ │ │ │
└──────────────────────────────┴─────┴─────┴────┴─────┴─────┴────┘
┌──────────────────────────────┬─────────────────────────────────┐
│ Элементы режима работы │ Температурные зоны │
│ ├─────┬─────┬────┬─────┬─────┬────┤
│ │ I │ II │III │ IV │ V │ VI │
├──────────────────────────────┴─────┴─────┴────┴─────┴─────┴────┤
│ Одноковшовые погрузчики │
├──────────────────────────────┬─────┬─────┬────┬─────┬─────┬────┤
│Количество нерабочих суток │152 │155 │156 │158 │164 │181 │
│в году │ │ │ │ │ │ │
├──────────────────────────────┼─────┼─────┼────┼─────┼─────┼────┤
│В том числе по причинам: │ │ │ │ │ │ │
│ праздничные и выходные дни │115 │115 │115 │115 │115 │115 │
│ перебазировка машин │10 │10 │9 │9 │8 │8 │
│ метеорологические причины │5 │8 │10 │13 │20 │38 │
│ непредвиденные причины │7 │7 │7 │7 │7 │7 │
│ техническое обслуживание │11 │11 │11 │11 │11 │10 │
│и ремонт │ │ │ │ │ │ │
│ доставка в ремонт и обратно, │4 │4 │4 │3 │3 │3 │
│а также ожидание ремонта │ │ │ │ │ │ │
├──────────────────────────────┼─────┼─────┼────┼─────┼─────┼────┤
│Количество суток работы в │213 │210 │209 │207 │201 │184 │
│году │ │ │ │ │ │ │
├──────────────────────────────┼─────┼─────┼────┼─────┼─────┼────┤
│Количество часов рабочего │3493 │3444 │3428│3395 │3296 │3018│
│времени в году │ │ │ │ │ │ │
└──────────────────────────────┴─────┴─────┴────┴─────┴─────┴────┘
8.2. За основу расчета режимов работы машин приняты:
двухсменная работа машин при пятидневной рабочей неделе;
продолжительность смены 8,2 ч;
количество выходных и праздничных дней - по календарю;
затраты времени на перебазировку машин - по фактическим данным ряда строительных организаций.
При расчете режимов перерывы в работе машин по метеорологическим причинам приняты не в среднем по зоне, а применительно к конкретным пунктам. Для экскаваторов, погрузчиков, бульдозеров, кранов стреловых приняты следующие пункты: I зона - Краснодар, II зона - Петербург, III зона - Москва, IV зона - Хабаровск, V зона - Чита, VI зона - Бодайбо; для тракторов с навесным экскаваторным оборудованием вместимостью 0,25 м3, скреперов, автогрейдеров: I зона - Краснодар, II зона - Воронеж, III зона - Волгоград, IV зона - Казань, V зона - Иркутск; для кранов башенных: I зона - Краснодар, II зона - Минск, III зона - Москва, IV зона - Вятка, V зона - Кемерово.
Продолжительность пребывания машин в ремонте и техническом обслуживании определена на основе данных, приведенных в МДС 12-8.2000.
Техническое обслуживание машин частично производят во внесменное время, поэтому время, необходимое для технического обслуживания, уменьшено на 5 - 10%.
Для землеройных машин, учитывая сезонный характер их использования и возможность проведения ремонтов в межсезонный период, в режимах указана лишь продолжительность технических обслуживаний. По этой же причине в режимах не предусмотрено время на доставку этих машин в ремонт и обратно и ожидание ремонта. Среднесуточное время работы принято 16,4 ч.
ИСХОДНЫЕ ДАННЫЕ
ДЛЯ РАСЧЕТА РЕЖИМОВ РАБОТЫ
СТРОИТЕЛЬНЫХ МАШИН
Таблица 1
Средние скорости перевозки строительных машин на трайлере
Группа дорог | Тип дорожного покрытия | Скорость, км/ч |
| В городе | 10 |
За городом | |
I | Дороги асфальтобетонные, цементобетонные | 15 |
II | Дороги щебеночные, гравийные | 12 |
III | Дороги грунтовые естественные | 10 |
Таблица 2
Средние скорости передвижения пневмоколесных машин,
буксируемых тягачами
Группа дорог | Тип дорожного покрытия | Скорость, км/ч |
| В городе | 20 |
За городом | |
I | | 30 |
II | | 20 |
III | | 15 |
Таблица 3
Средние скорости передвижения автомобильных
и пневмоколесных кранов
Группа дорог | Тип дорожного покрытия | Скорость, км/ч |
| В городе | 25 |
За городом | |
I | | 40 |
II | | 25 |
III | | 20 |
Таблица 4
Затраты времени при перебазировке строительных машин
┌─────────────────────────────────────────────┬──────────────────┐
│ Наименование работ │Затраты времени, ч│
├─────────────────────────────────────────────┼──────────────────┤
│Погрузка на трайлер, разгрузка с трайлера: │ │
│ экскаваторы и краны гусеничные │ 1 │
│ тракторы, бульдозеры, катки дорожные, │ 0,75 │
│трубоукладчики, скреперы │ │
│Прицепка к буксиру и отцепка от буксира │ 0,3 │
│машины на пневмоколесном ходу │ │
└─────────────────────────────────────────────┴──────────────────┘
Таблица 5
Затраты времени на одну перебазировку
(монтаж, демонтаж и перевозка) башенного крана
Грузовой момент крана, кН х м | Затраты времени на одну перебазировку, сутки |
До 250 От 251 до 500 От 501 до 1000 Более 1000 | 3 8 12 15 |
Таблица 6
с неблагоприятными метеорологическими условиями,
влияющими на продолжительность рабочего времени
машин (по данным гидрометеослужбы)
Температурные зоны, города | Факторы, влияющие на продолжительность рабочего времени машин | Число суток |
I температурная зона | | |
Краснодар | Ветер более 10 м/с Дождь | 37,8 18,9 |
II температурная зона | | |
Петербург | Ветер более 10 м/с Дождь | 2,7 11,6 |
Минск | Ветер более 10 м/с Дождь | 18,1 11 |
Ростов-на-Дону | Ветер более 10 м/с Дождь | 50 13 |
III температурная зона | | |
Москва | Ветер более 10 м/с Дождь | 21,5 15,8 |
Гурьев | Ветер более 10 м/с Дождь | 43,1 2,9 |
Владивосток | Ветер более 10 м/с Дождь | 128,7 20,8 |
Петропавловск- Камчатский | Ветер более 10 м/с Дождь | 149,4 29,8 |
Волгоград | Ветер более 10 м/с Дождь | 52,4 7,9 |
Саратов | Ветер более 10 м/с Дождь | 41,4 6 |
Псков | Ветер более 10 м/с Дождь | 10 9,3 |
Рязань | Ветер более 10 м/с Дождь | 22,4 11,3 |
IV температурная зона | | |
Мурманск | Ветер более 10 м/с Дождь | 87,8 8,5 |
Казань | Ветер более 10 м/с Дождь | 19,4 8,2 |
Хабаровск | Температура - 30 °С Ветер более 10 м/с Дождь | 4,9 65,7 16,2 |
Уфа | Температура - 30 °С Ветер более 10 м/с Дождь | 1,6 7,5 6,5 |
Вятка | Температура - 30 °С Ветер более 10 м/с Дождь | 2,4 30,7 10,3 |
V температурная зона | | |
Нижний Тагил | Температура - 30 °С Ветер более 10 м/с Дождь | 3,5 12,5 8,9 |
Омск | Температура - 30 °С Ветер более 10 м/с Дождь | 7,7 15,4 8,9 |
Кемерово | Температура - 30 °С Ветер более 10 м/с Дождь | 9,3 51,4 8,8 |
Красноярск | Температура - 30 °С Ветер более 10 м/с Дождь | 8,1 21,7 7,9 |
Иркутск | Температура - 30 °С Ветер более 10 м/с Дождь | 11,3 3,6 10 |
Чита | Температура - 30 °С Ветер более 10 м/с Дождь | 19,2 4,5 10 |
Братск | Температура - 30 °С Ветер более 10 м/с Дождь | 20,3 3,3 4,3 |
Таблица 7
Количество суток нахождения машин
в техническом обслуживании и ремонте,
приходящееся на 1 моточас,
и значения коэффициента

Машины | Техническое обслуживание и ремонт | К п |
Экскаваторы одноковшовые (1 - 4-размерные группы) | 0,016 | 0,48 |
Экскаваторы многоковшовые | 0,017 | 0,44 |
Бульдозеры | 0,015 | 0,45 |
Скреперы | 0,016 | 0,74 |
Автогрейдеры | 0,011 | 0,46 |
Рыхлители на базе тракторов | 0,018 | 0,69 |
Корчеватели и кусторезы | 0,013 | 0,32 |
Буровые машины | 0,016 | 0,24 |
Сваебойное оборудование | 0,012 | 0,25 |
Катки моторные | 0,007 | 0,4 |
Асфальтоукладчики, бетоноукладчики | 0,012 | 0,36 |
Краны стреловые автомобильные | 0,017 | 0,22 |
Краны стреловые пневмоколесные | 0,025 | 0,33 |
Краны стреловые гусеничные | 0,026 | 0,34 |
Краны башенные | 0,014 | 0,4 |
Подъемники строительные мачтовые | 0,002 | 0,1 |
Трубоукладчики | 0,018 | 0,4 |
Погрузчики одноковшовые | 0,016 | 0,26 |
ГОДОВОГО РЕЖИМА РАБОТЫ
И ЭКСПЛУАТАЦИОННОЙ ПРОИЗВОДИТЕЛЬНОСТИ
ОДНОКОВШОВЫХ ЭКСКАВАТОРОВ
Исходные данные
Состав парка: экскаваторы - 8 шт., третьей размерной группы, универсальные, гидравлические, на гусеничном ходу, оборудованные обратной лопатой с ковшом вместимостью 0,65 м3.
В планируемом году пройдут капитальный ремонт 2 экскаватора.
Температурная зона, для которой рассчитывается режим работы, - III (Волгоград).
Фактическое число перебазировок экскаваторов за прошедший год составило 96, или

= 12 перебазировок на один среднесписочный экскаватор при среднем времени на одну перебазировку 7 ч.
Экскаваторы работают в 1,5 смены, продолжительность смены 8,2 ч при пятидневной рабочей неделе.
Расчет годового режима
1. Количество выходных и праздничных дней в году - 115. Для повышения выработки машин на летние месяцы (июнь, июль, август) следует организовать скользящий график работы машинистов и за счет этого уменьшить простои в выходные и праздничные дни.
Количество выходных и праздничных дней

в этом случае составит:

= 115 - 27 = 88 дней,
где 27 - количество выходных дней в июне-августе.
2. Затраты времени на перебазировку машин. В планируемом году, для которого определяют режим работы экскаваторов, увеличивается число строящихся объектов, причем средняя величина объема земляных работ, приходящаяся на один объект, уменьшается на 8% и составит по отношению к базовому году 0,92.
В результате среднее количество перебазировок на одну машину изменится следующим образом:

.
Затраты времени на перебазировку экскаватора составят:
13 х 7 = 91 ч.
При организации работ по перебазировке машин в две смены затраты

в сутках составят:

= 91: 16,4 = 6 суток.
3. Перерывы в работе экскаваторов в связи с неблагоприятными метеорологическими условиями.
В соответствии с Прил. 1 (
табл. 6) для III зоны (Волгоград) число суток с неблагоприятными условиями

(с дождем) составляет 7,9

8.
4. Перерывы в работе машин по непредвиденным причинам. Величину перерывов по непредвиденным причинам определяют на основании рассмотрения фактических данных о перерывах в работе машин за отчетный (базовый) период.
Для данного примера принимается продолжительность непредвиденных перерывов

в размере 3% количества календарных суток, за исключением праздничных и выходных дней, т.е.

= (365 - 87)0,03 = 8 суток.
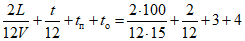
5. Время, затрачиваемое на перевозку машин в ремонт и из ремонта и на ожидание ремонта, Д

определяют расчетом из условия, что перевозка в капитальный ремонт осуществляется на трайлере на расстояние L = 100 км по дорогам первой группы со скоростью V = 15 км/ч (Прил. 1,
табл. 1), затраты времени на погрузку и разгрузку на объекте и ремонтном предприятии t = 2 ч (Прил. 1,
табл. 4), сдача машин в ремонт и приемка из ремонта занимают

= 3 суток и ожидание ремонта

= 4 суток.
Таким образом, время, затрачиваемое на транспортировку в ремонт и из ремонта и ожидание ремонта, составит

= 8,3 суток,
где 12 - продолжительность движения трайлера и погрузочно-разгрузочных работ, ч/сут.
На одну среднесписочную машину рассматриваемого парка величина

составляет

= 2 суток,
где 8 - количество машин в парке, из которых 2 подвергаются капитальному ремонту.
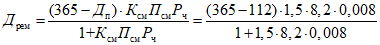
6. Затраты времени на техническое обслуживание и ремонт экскаваторов определяются по
формуле (2).
Общая величина перерывов в работе

равна

= 88 + 6 + 8 + 8 + 2 = 112 суток.
Количество суток нахождения машин в техническом обслуживании и ремонте в расчете на 1 ч сменного времени

определяется по данным Прил. 1 (
табл. 7)

= 0,016 х 0,48 = 0,008 сут/маш.-ч.
Количество суток нахождения экскаваторов в техническом обслуживании и ремонте

составит

= 23 суток.
7. Годовой режим работы экскаваторов характеризуется следующими данными:
Количество нерабочих суток в году ........................ 135
В том числе:
праздничные и выходные дни .............................. 88
перебазировка машин ...................................... 6
метеорологические причины ................................ 8
непредвиденные причины ................................... 8
техническое обслуживание и ремонт ....................... 23
доставка в ремонт, из ремонта и ожидание ремонта ......... 2
Количество суток работы в году ........................... 221
Среднесуточное время работы, ч .......................... 16,4
Количество часов рабочего времени в году ................ 3624
8. Годовая эксплуатационная производительность (выработка) составит

= 3624 х 36 х 0,8 = 104371 м3 = 104 тыс. м3,
где

= 36 м3/ч - техническая производительность экскаватора;

= 0,8 - коэффициент использования внутрисменного времени для данной организации при работе в грунтах 1 группы в отвал.