Главная // Актуальные документы // ИнструкцияСПРАВКА
Источник публикации
М.: Стройиздат, 1974
Примечание к документу
Название документа
"Руководство по проектированию организации строительства угольных предприятий на основе математических методов и систем СПУ"
"Руководство по проектированию организации строительства угольных предприятий на основе математических методов и систем СПУ"
ПО ПРОЕКТИРОВАНИЮ ОРГАНИЗАЦИИ СТРОИТЕЛЬСТВА
УГОЛЬНЫХ ПРЕДПРИЯТИЙ НА ОСНОВЕ МАТЕМАТИЧЕСКИХ МЕТОДОВ
И СИСТЕМ СПУ
Руководство содержит основные положения по проектированию организации поточного строительства шахты с использованием математических методов и системы СПУ, алгоритмы и программы по расчетам оптимальной очередности строительства объектов, продолжительности отдельных периодов строительства и в целом шахты, а также распределения капитальных вложений по годам строительства.
Руководство подготовлено Донецким Промстройниипроектом (канд. техн. наук Г.И. Гескин, канд. эконом. наук А.М. Дубинский, инженеры П.М. Кричевский, В.Г. Кушмет, М.Д. Портнов, А.М. Мамотливый, В.И. Котляров при участии инженеров А.В. Ботнарева, Р.Б. Рабиновича, Б.А. Лехно, В.П. Бычковой, под общей редакцией канд. эконом. наук И.И. Дядыка).
Настоящее Руководство предназначено для инженерно-технических работников строительных, монтажных, проектных и научно-исследовательских организаций, занимающихся вопросами организации, планирования и строительства шахт, а также может быть полезным для преподавателей и слушателей вузов и техникумов.
Эффективность использования капитальных вложений при строительстве шахт предопределяется и формируется в основном при проектировании организации строительства. Определение наиболее эффективного общего порядка осуществления строительства, продолжительности к последовательности возведения объектов шахты является достаточно сложной многовариантной задачей, каждый вариант которой характеризуется различными значениями параметров, определяющими организацию строительства.
При проектировании организации строительства шахты должен быть принят оптимальный вариант, который обеспечил бы минимальное значение приведенных народнохозяйственных затрат по строительству шахты и наибольшую эффективность работы строительных и монтажных организаций. Оптимальный вариант должен служить основой для финансирования и материально-технического обеспечения в процессе строительства.
Исследования показывают, что при одной и той же общей продолжительности строительства шахты могут быть разные варианты технологии и организации и соответствующие им различные сочетания продолжительности основных периодов и этапов строительства, приводящие к разным значениям приведенных народнохозяйственных затрат.
Существующие нормативные документы по разработке комплексных сетевых графиков не содержат конкретных методических рекомендаций по выбору оптимальной продолжительности основных этапов строительства и очередности возведения объектов комплекса шахты.
Основные положения Руководства базируются на:
основных принципах разработки и применения системы сетевого планирования и управления строительства (СПУ);
существующей теории поточного строительства;
типовой методике определения экономической эффективности капитальных вложений;
основных положениях строительных норм и практики проектирования организации строительства шахт.
В настоящей работе изложены рекомендации по:
разработке общей схемы строительства шахты с определением оптимального общего срока, продолжительности и последовательности периодов и этапов, а также совмещения строительных и монтажных работ;
выбору оптимального варианта организации строительства;
составлению комплексного сетевого графика строительства шахты с распределением капитальных вложений по месяцам и периодам строительства.
Руководство предназначено для выполнения расчетов при разработке проектов организации строительства комплекса шахты с помощью математических методов (ЭВМ) и системы сетевого планирования и управления.
1. ОБЩИЕ ПРИНЦИПЫ ОРГАНИЗАЦИИ СТРОИТЕЛЬСТВА ШАХТ
1.1. Особенность шахтного строительства заключается в совмещении по времени строительства комплекса зданий и сооружений шахтной поверхности с горнопроходческими работами при наличии технологической зависимости между ними. Это обуславливает разделение общего срока строительства шахты на несколько периодов и этапов, которые выполняются в определенной последовательности.
1.2. При разработке проекта организации строительства шахт необходимо учитывать, что:
общая продолжительность строительства шахты зависит от суммарной продолжительности последовательно осуществляемых периодов, которые включают горнопроходческие и общестроительные работы;
продолжительность горнопроходческих работ лимитируется определенным количеством одновременно действующих забоев, производительностью шахтного подъема, горногеологическими и гидрогеологическими условиями (крепость пород, газоносность, пыленосность, водоносность, склонность пород к вспучиванию и горным ударам);
горнопроходческие работы могут осуществляться только после возведения комплекса необходимых зданий и сооружений;
объемы работ и сроки строительства наземных зданий и сооружений определяются сроками начала и окончания горнопроходческих работ соответствующих периодов и этапов.
1.3. При разработке проекта организации строительства шахты устанавливаются:
периоды и этапы строительства, а также степень готовности сооружений к началу определенных этапов и периодов;
последовательность и взаимоувязка строительных, монтажных и горнопроходческих работ;
продолжительность выполнения отдельных видов работ, сроки строительства отдельных объектов и общая продолжительность строительства шахты;
потребность в материально-технических и людских ресурсах.
1.4. Строительство шахты разделяется на два периода:
первый - подготовительный, когда возводятся здания и сооружения для проходки стволов;
второй - основной, когда сооружаются стволы, горизонтальные и наклонные горные выработки по вскрытию месторождения и подготовке шахтного поля к эксплуатации, а также заканчивается строительство комплекса зданий и сооружений шахты.
1.5. Основные периоды рекомендуется разделять на следующие этапы:
подготовительный период
первый - освоение промышленной площадки строительства;
второй - возведение зданий и сооружений для проходки стволов;
основной период
третий - проходка стволов, приствольных камер, сопряжений, армировка стволов;
четвертый - переходный, от проходки стволов к проходке горизонтальных горных выработок (проходка временных горных выработок, демонтаж временного оборудования, строительство постоянных подъемных комплексов);
пятый - проходка горизонтальных и наклонных горных выработок, строительство зданий и сооружений, монтаж оборудования технологической цепи;
шестой - окончание общестроительных и горнопроходческих работ, подготовка и сдача шахты в эксплуатацию.
ИСПОЛЬЗОВАНИЕ ПОСТОЯННЫХ И ВРЕМЕННЫХ ЗДАНИЙ И СООРУЖЕНИЙ
ДЛЯ СТРОИТЕЛЬСТВА ШАХТЫ
А. Постоянные здания и сооружения
1.6. Постоянные здания и сооружения или их отдельные секции в период строительства шахты используются с целью сокращения объема строительства временных объектов. При этом необходимость и целесообразность использования постоянных зданий и сооружений обосновывается технико-экономическими расчетами.
1.7. Следующие постоянные здания и сооружения могут быть использованы в полном или частичном объеме:
башенные и укосные копры, блок вспомогательного ствола (компрессорная, механические мастерские), административно-бытовой комбинат (АБК), вентиляторная установка, дробильно-сортировочный и погрузочный комплексы, котельная, электроподстанция, прирельсовые склады и складские помещения, резервуары противопожарного запаса воды, автомобильные и железные дороги, линии электропередач, водопроводные и канализационные сети, здания машинного отделения канатных террикоников и расходные склады взрывчатых веществ.
1.8. Постоянные башенные копры в период строительства используются:
а) в полном объеме с многоканатными подъемными машинами для проходки стволов;
б) в частичном объеме с временными наземными подъемными машинами. Высота части башенного копра, необходимая для проходки ствола, обусловливается условиями приемки и разгрузки породы.
1.9. Постоянные металлические копры в период строительства рекомендуется использовать:
при применении для проходки стволов постоянных подъемных машин;
при условии, что продолжительность и стоимость усиления постоянных копров не превышает сроков и затрат на возведение временных.
1.10. Секции здания блока вспомогательного ствола рекомендуется использовать следующим образом: компрессорной, склада оборудования и ремонтно-механических мастерских - в период проходки стволов и горизонтальных выработок, секции технологического комплекса - только в период проходки горизонтальных выработок.
1.11. Постоянное здание АБК может быть использовано в период проходки стволов в объеме, отвечающем нормам по обслуживанию определенного количества рабочих.
Окончание строительства АБК следует предусматривать к моменту максимального разворота фронта горнопроходческих работ или сдачи шахты в эксплуатацию.
1.12. Постоянное здание вентиляторной установки может быть использовано в основной период строительства шахты, после выполнения горнопроходческих работ по сбойке между главными и фланговыми стволами.
1.13. Прирельсовые склады и складские площадки необходимо использовать на протяжении всего периода строительства шахты.
1.14. Здание креперазделочной, склада крепи и оборудования рекомендуется использовать в период проходки горизонтальных горных выработок.
1.15. Постоянные резервуары противопожарного запаса воды целесообразно использовать на протяжении всего периода строительства шахты. Отстойники шахтных вод, насосную станцию перекачки и хлораторную - в период проходки горизонтальных горных выработок.
1.16. Шахтная электроподстанция может быть использована в таком объеме, который предусматривает прирост постоянного оборудования и мощности токоприемников к соответствующим периодам и этапам горнопроходческих работ.
1.17. Здания дробильно-сортировочного, погрузочного комплексов и станции канатных террикоников могут быть использованы в объеме, обеспечивающем транспортировку, погрузку и разгрузку горной массы при проходке горизонтальных и наклонных горных выработок.
1.18. Постоянные автомобильные и железные дороги, линии электропередач, водопровода и канализации целесообразно использовать только в таких объемах, которые обеспечат грузопоток материалов, оборудования, а также потребность в энергии и воде.
1.19. Постоянные дегазационные установки могут быть использованы при проходке горизонтальных горных выработок, когда обычные средства проветривания не отвечают требованиям температурного и газового режимов правил техники безопасности.
1.20. Постоянные установки кондиционирования воздуха в период строительства шахт используются в исключительных случаях.
Б. Временные здания и сооружения
1.21. Следующие временные здания и сооружения используются в период строительства шахты: компрессорной, котельной, механической мастерской, подъемных машин, административно-бытовых комбинатов, комплекс зданий для специальных способов проходки стволов, комплекс зданий проходческих лебедок и вентиляторных установок, трансформаторных подстанций, внутриплощадочных автомобильных дорог, копров, водопроводных, воздухопроводных, канализационных, воздушных осветительных силовых сетей, отстойников шахтных вод, складов взрывчатых веществ и здания приготовления патронов-боевиков.
1.22. Временные здания компрессорных установок следует использовать при отсутствии в проектах постоянных и при проходке фланговых стволов, когда стоимость строительства и эксплуатации воздухопровода от центральных до фланговых стволов выше стоимости временной компрессорной установки.
1.23. Временную котельную целесообразно применять при сооружении центральных стволов, когда потребность в тепле не превышает 60 - 70% производительности одного постоянного котла, и при сооружении фланговых стволов, когда стоимость и продолжительность строительства и эксплуатации теплопровода превышает аналогичные затраты по временной котельной.
1.24. Временные подъемные машины и копры рекомендуется использовать в случаях:
когда невозможно применить предусмотренные проектом постоянные подъемные машины и копры;
когда нельзя достигнуть нормативных темпов проведения горных выработок при использовании постоянных подъемных машин;
когда стоимость усиления металлических постоянных копров превышает затраты по возведению временных.
1.25. Временные здания АБК и трансформаторные подстанции следует применять для проходки фланговых стволов, если проектом не предусмотрены постоянные.
Временные дороги, коммуникации и электроосвещение целесообразно использовать в подготовительный период.
ОБЪЕМ РАБОТ ПОДГОТОВИТЕЛЬНОГО И ОСНОВНОГО ПЕРИОДОВ
1.26. Подготовительный период охватывает работы по освоению района, промышленной площадки и строительству объектов для проходки стволов.
Состав и объем строительно-монтажных работ по освоению района строительства определяется характером местности и степенью отдаленности строительства шахты от освоенных районов.
1.27. Состав и объем строительно-монтажных работ подготовительного периода на промышленных площадках строительства шахты определяется принятой технологией проходки стволов, объемно-планировочными и конструктивными решениями зданий и сооружений поверхности шахты.
1.28. В подготовительный период к началу проходки стволов должны быть построены:
а) при использовании постоянных многоканатных подъемных машин для проходки скипового и клетевого стволов - частично: автомобильные и железные дороги, подземные коммуникации, здания блока вспомогательного ствола (компрессорная, мастерские, склады), котельной, электроподстанции, административно-бытового комбината; в полном объеме - башенные копры, резервуар противопожарного запаса воды, временные здания лебедок и отстойники шахтных вод;
б) при использовании для проходки стволов части башенных копров и временных подъемных машин: частично башенные копры, автомобильные и железные дороги, подземные коммуникации, здание блока вспомогательного ствола (компрессорная, мастерские, склады), котельной, электроподстанции, административно-бытового комбината; полностью - здания подъемных машин, лебедок, резервуар противопожарного запаса воды и временные отстойники шахтных вод;
в) при использовании для проходки стволов временных копров и подъемных машин: частично - железные дороги; полностью - постоянный резервуар противопожарного запаса воды; временные автомобильные дороги, сети водоснабжения, энергоснабжения, теплоснабжения, сети сжатого воздуха, здания административно-бытового комбината, компрессорной, здания лебедок, мастерских, складов и отстойников шахтных вод;
г) при сооружении стволов бескопровым способом: частично - автомобильные и железные дороги, подземные коммуникации, здания компрессорной, механических мастерских, складов, котельной, электроподстанций, админбыткомбината; полностью - здания подъемных машин, резервуар противопожарного запаса воды, отстойники шахтных вод, здания лебедок;
д) при использовании для проходки стволов постоянных металлических укосных копров: частично - железные и автомобильные дороги, подземные коммуникации, здания административно-бытового комбината, электроподстанций, котельной, мехмастерских и полностью - копры, здания подъемных машин, резервуар противопожарного запаса воды, отстойники, здания проходческих лебедок;
е) при использовании для проходки клетевого ствола, металлического укосного копра и башенного копра для проходки скипового ствола: частично - железные и автомобильные дороги, подземные коммуникации, здания админбыткомбината, складов, электроподстанций, полностью - укосный копер клетевого ствола, здания подъемных машин, башенный копер с многоканатными подъемными машинами, резервуар противопожарного запаса воды, здания котельной, компрессорной и проходческих лебедок;
ж) при проходке фланговых стволов: полностью - инженерные коммуникации, копер, здания подъемных машин, резервуар противопожарного запаса воды, здания админбыткомбината, котельной, компрессорной установки, склада и проходческих лебедок.
1.29. При специальных способах проходки стволов в состав подготовительного периода включаются здания и сооружения, обеспечивающие проходку стволов в указанных условиях (здания компрессорной, замораживающей станции, склады и др.).
1.30. В подготовительный период строительства шахты в первую очередь необходимо строить коммуникации, здания и сооружения основного производственного назначения, строительство же объектов вспомогательного назначения следует совмещать с вышеуказанными.
1.31. Состав и объем этапа проходки стволов зависит от глубины и сечения стволов, объема сопряжений околоствольного двора, приствольных камер, сбойки между стволами, типа армирования и гидрогеологических условий.
1.32. Состав, объем и продолжительность работ переходного этапа зависят от организации выдачи, разгрузки и транспортировки горной массы при прохождении горизонтальных и наклонных выработок, а также от типов зданий, сооружений и оборудования, используемого для этих целей.
1.33. Состав и объем третьего и четвертого этапов основного периода определяется объемом горных работ по подготовке шахтного поля и строительством остальных зданий и сооружений.
1.34. Проходка горизонтальных и наклонных горных выработок должна осуществляться с использованием постоянных зданий и сооружений, готовность которых должна быть:
к началу проходки горизонтальных и наклонных горных выработок необходимо закончить строительство постоянных копров, подъемных машин, секции технологического комплекса, здания креперазделочной, склада крепи и оборудования, административно-бытового комбината, отстойники шахтных вод, здания электроподстанции и котельной с калориферной;
к моменту сдачи шахты в эксплуатацию закончить строительство здания вентиляторных установок, дегазационных и установок кондиционирования воздуха, отстойников шахтных вод, дробильно-сортировочного и погрузочного комплексов, станции канатных террикоников, железнодорожной шахтной станции и контрольных весов.
1.35. Перечень зданий и сооружений и сроки их готовности указаны на схемах 1,
2,
3.
0,5t'0 + t0 + tзд | tст + tп | tг |
Tп | Tосн |
Tш |
Здания и сооружения главных стволов |
А. Постоянные | А. Постоянные | А. Постоянные |
Башенный копер клетевого ствола | Административно-бытовой комбинат (в осях 1 - 8; 9 - 16) | Шахтная железнодорожная станция |
Башенный копер скипового ствола | Котельная (с тремя котлами) | Распределительное устройство - 6 кВт |
Часть административно-бытового комбината (в осях 9 - 16, 8а - 12а) | Отстойник шахтных вод, химлаборатория | Дробильно-сортировочное отделение - II очередь |
Часть блока вспомогательного ствола (компрессорная, механические мастерские, материальный склад) | Секция технологического комплекса | |
Резервуар противопожарного запаса воды | Склад оборудования | |
Котельная (с одним котлом) | Коммуникации и дороги - II очередь | |
Электроподстанция | Линии электропередач - II очередь | |
Коммуникации и дороги - I очередь | Линии связи - II очередь | |
Линии электропередач - I очередь | Дробильно-сортировочное отделение - I очередь | |
Линии связи - I очередь | Вентиляторная установка | |
Здание подъемной машины вентиляционного ствола Копер вентиляционного ствола | Погрузочная станция канатного терриконика | |
Б. Временные | | |
Отстойник шахтных вод Здания и фундаменты проходческих лебедок клетевого, скипового и вентиляционного ствола Конструкция разгрузочного станка с подшкивными площадками Котельная вентиляционного ствола Здание приготовления патронов-боевиков Вентиляторная установка клетевого, скипового и вентиляционного ствола | | |
0,5t'0 + t0 + tзд | tст + tп | tг |
Tп | Tосн |
Tш |
Здания и сооружения главных стволов |
А. Постоянные | А. Постоянные | А. Постоянные |
Часть башенного копра клетевого ствола Часть башенного копра скипового ствола Часть АБК (в осях 9 - 16, 8а - 12а) Часть блока вспомогательного ствола (компрессорная, механические мастерские, склады) Котельная с монтажом одного котла Резервуар противопожарного запаса воды Электроподстанция Коммуникации и дороги - I очередь Линии электропередач - I очередь Линии связи - I очередь | Строительство остальной части башенного копра клетевого ствола и монтаж МПМ Строительство остальной части башенного копра скипового ствола и монтаж МПМ Секция технологического комплекса Отстойник шахтных вод и химлаборатория | Дробильно-сортировочное отделение Котельная, монтаж трех котлов Часть АБК (в осях 1 - 8; 16 - 21) Вентиляторная установка Станция канатных террикоников Склад оборудования Коммуникации и дороги II очередь Линия электропередач - II очередь Линия связи - II очередь Шахтная станция железной дороги Часть электроподстанции и ОРУ - 6 кВ |
Б. Временные |
Отстойник шахтных вод Проходческие лебедки Здание подъемных машин Вентиляторная с калориферной |
0,5t'0 + t0 + tзд | tст + tп | tг |
Tп | Tосн |
Tш |
Здания и сооружения главных стволов |
А. Временные | Б. Постоянные | Б. Постоянные |
Копры | Башенный копер клетевого ствола | Дробильно-сортировочное отделение |
Компрессорная | Блок вспомогательного ствола (компрессорная, механические мастерские, склады, технологический комплекс) | Погрузочная станция канатного терриконика |
Котельная | Часть административно-бытового комбината | Часть административно-бытового комбината |
Электроподстанция | Котельная (с одним котлом) | Вентиляторная установка |
Отстойник шахтных вод | Отстойник шахтных вод | Башенный копер скипового ствола |
Проходческие лебедки | Электроподстанция (часть) | Шахтная станция железной дороги |
Административно-бытовой комбинат | Склад горючих и смазочных материалов | Котельная (с тремя котлами) |
Механические мастерские | Инженерные коммуникации и дороги - I очередь | Инженерные коммуникации и дороги - II очередь |
Инженерные коммуникации и дороги | Линии электропередач - I очередь | Линии электропередач - II очередь |
Линии электропередач Линии связи Здания подъемных машин Здания приготовления патронов-боевиков | Линии связи - I очередь | Линии связи - II очередь |
Б. Постоянные |
Резервуар противопожарного запаса воды |
ТЕХНОЛОГИЧЕСКИЕ И ОРГАНИЗАЦИОННЫЕ СХЕМЫ СТРОИТЕЛЬСТВА ШАХТЫ
1.36. В шахтном строительстве в зависимости от схем вскрытия, объемно-планировочных, конструктивных и компоновочных решений зданий и сооружений поверхности применяются следующие технологические и организационные схемы строительства шахт:
1 - для проходки стволов используются постоянные здания и сооружения (в полном или частичном объеме), в том числе полностью башенные копры и многоканатные подъемные машины;
2 - для проходки вертикальных стволов используются постоянные здания и сооружения и часть башенных копров с временными наземными подъемными машинами. Строительство оставшейся части башенных копров и монтаж многоканатных подъемных машин осуществляются одновременно с проходкой стволов. Остальные здания и сооружения возводятся к началу соответствующих этапов проходки горизонтальных горных выработок;
3 - для проходки вертикальных стволов используются все временные здания и сооружения, в том числе подъемные машины и копры. Постоянные здания и сооружения возводятся к соответствующим этапам проходки горизонтальных горных выработок и к моменту сдачи шахты в эксплуатацию. Сооружение постоянных башенных копров и монтаж многоканатных подъемных машин производится над стволами в период проходки горизонтальных горных выработок путем попеременной остановки стволов. Если проектом предусмотрены металлические укосные или башенные копры, то в первом этапе основного периода они монтируются в стороне от стволов и затем надвигаются на них;
4 - бескопровый метод применяется для проходки вертикальных стволов, когда устья стволов выполняют функции копров.
2. ПРОЕКТИРОВАНИЕ ОРГАНИЗАЦИИ ПОТОЧНОГО СТРОИТЕЛЬСТВА
КОМПЛЕКСА ЗДАНИЙ И СООРУЖЕНИЙ ШАХТНОЙ ПОВЕРХНОСТИ
ПРОЕКТИРОВАНИЕ ОРГАНИЗАЦИИ СТРОИТЕЛЬСТВА ОТДЕЛЬНЫХ ОБЪЕКТОВ
ШАХТНОЙ ПОВЕРХНОСТИ
2.1. Одна из специфических особенностей шахтного строительства заключается в необходимости ввода в эксплуатацию объектов шахтной поверхности в такой последовательности и объемах, которые обеспечивают высокие темпы проходки горных выработок.
2.2. Для горнопроходческих работ при использовании постоянных зданий и сооружений рекомендуется следующая очередность возведения секций основных блоков зданий и сооружений шахтной поверхности.
Блок вспомогательного ствола
2.3. В блоке вспомогательного ствола в первую очередь возводится башенный копер, от срока окончания которого зависит начало проходки клетевого ствола.
2.4. Одновременно с возведением башенного копра строится компрессорное отделение, которое обеспечивает сжатым воздухом пневмоинструменты при проходке стволов и горизонтальных горных выработок.
2.5. В последнюю очередь строится секция технологического комплекса, которая необходима к началу проходки горизонтальных выработок.
Блок главного ствола
2.6. В блоке главного ствола в первую очередь возводится башенный копер, необходимый для проходки ствола.
2.7. Одновременно с возведением башенного копра строится здание котельной, которое необходимо к началу проходки ствола.
2.8. Во вторую очередь (к моменту сдачи шахты в эксплуатацию) строится здание дробильно-сортировочного отделения.
Блок административно-бытового комбината (АБК)
2.9. В блоке АБК в первую очередь возводится часть здания, где размещаются душевые с раздевалками, ламповая с подзарядным помещением и пристройка-нарядная для административно-управленческого персонала.
2.10. К началу проходки горизонтальных горных выработок заканчивается строительство остальной части АБК.
ОПРЕДЕЛЕНИЕ ПРОДОЛЖИТЕЛЬНОСТИ СТРОИТЕЛЬСТВА ОСНОВНЫХ ЗДАНИЙ
И СООРУЖЕНИЙ ШАХТНОЙ ПОВЕРХНОСТИ
2.11. Продолжительность строительства зданий и сооружений может изменяться в зависимости от применяемых комплектов строительных машин, интенсивности специализированных потоков, технологии и организации строительства.
2.12. Для определения оптимальной продолжительности возведения основных объектов шахтной поверхности разрабатываются объектные сетевые графики в нескольких вариантах и определяются технико-экономические показатели каждого варианта.
2.13. Разработка топологии сети графиков по каждому варианту производится при соблюдении следующих условий:
применение поточных методов организации работ;
максимального совмещения строительно-монтажных работ;
равномерного распределения материально-технических и трудовых ресурсов;
рациональной расстановки и использования строительных машин;
выполнение строительно-монтажных работ с использованием строительных машин - в две смены;
возведение копров в скользящей опалубке - в три смены;
производство остальных работ - в одну смену.
2.14. Исходными данными для составления объектных сетевых графиков являются:
а) разработанная структурная схема объектных потоков. Рекомендуемые структурные схемы объектных потоков для возведения основных зданий шахтной поверхности приведены в
приложениях 13,
14,
15;
б) установленные размеры и границы участков и захваток. В качестве участков принимаются секции блоков вспомогательного ствола (компрессорное отделение, механическая мастерская, технологический комплекс, башенный копер); главного ствола (котельная, дробильно-сортировочное отделение, башенный копер); АБК (в пределах осадочных швов). Пример разбивки на участки основных объектов шахтной поверхности приведен на рис. 1,
2,
3:
Рис. 1. Схема разбивки здания блока
вспомогательного ствола на участки
I, II, III, IV, V, VI, VII - секции здания;
VIII - башенный копер
Рис. 2. Схема разбивки административно-бытового
комбината на участки
I, II, III, IV - участки
Рис. 3. Схема разбивки здания
блока главного ствола на участки
1 - дробильно-сортировочное отделение; 2 - башенный копер;
3 - котельная
в) карточки - определители работ, в которых указываются наименование и объемы работ, трудоемкость, стоимость, комплекты машин и механизмов, состав бригад, продолжительность выполнения работ, организации-исполнители, потребность в материалах, конструкциях, оборудовании.
Основанием для составления карточек-определителей являются:
проектно-сметная документация (объемы, стоимость материалов, оборудование);
типовые технологические карты (подбор машин, механизмов и состава бригад);
действующие нормы и расценки на строительно-монтажные работы (трудоемкость и число рабочих в бригаде);
мощность строительных и монтажных организаций (наличие материально-технических и трудовых ресурсов, количество и типы принимаемых механизмов);
интенсивность специализированных потоков, которая принимается по производительности ведущей строительной машины с подбором состава бригады;
данные о продолжительности и трудоемкости выполнения отдельных работ (на основании практического опыта);
сведения об обеспечении оборудованием и основными строительными конструкциями и полуфабрикатами.
ВЫБОР ОСНОВНЫХ СТРОИТЕЛЬНЫХ МАШИН ДЛЯ ВОЗВЕДЕНИЯ ЗДАНИЙ
И СООРУЖЕНИЙ ШАХТНОЙ ПОВЕРХНОСТИ
2.15. Выбор комплекта строительных машин производится из условия наиболее полного охвата комплексной механизацией всех видов работ на объекте.
При выборе строительных машин для возведения зданий и сооружений шахтной поверхности необходимо стремиться к тому, чтобы количество типов машин было минимальным. Это облегчает эксплуатацию машин и уход за ними.
2.16. Выбор оптимальных комплектов машин для производства строительно-монтажных работ рекомендуется производить по соответствующим методикам.
РАСЧЕТ И ОПТИМИЗАЦИЯ ОБЪЕКТНЫХ СЕТЕВЫХ ГРАФИКОВ
2.17. После разработки топологии сетевого графика и заполнения карточки-определителя производится расчет и анализ сети, в результате которого определяются:
ранние сроки начала и окончания работ;
поздние сроки начала и окончания работ;
критический путь (продолжительность его), который определяет общую продолжительность строительства объекта;
резервы времени (общий и частный).
2.18. Если продолжительность строительства объекта превышает нормативную или директивную tкр > tн или tкр > tдир, то производится оптимизация сети по критерию "время", заключающаяся в сокращении продолжительности работ критического пути. Это достигается следующими методами:
увеличивается интенсивность ведущего специализированного потока за счет увеличения количества звеньев или бригад, обслуживающих машин, сменности работ;
изменяется топология сети вследствие пересмотра технологии выполнения работ, организации параллельных потоков.
2.19. Оптимизацию сетевых графиков по времени рекомендуется производить с помощью алгоритма.
Если после оптимизации получается, что tкр < tн или tкр < tдир, то дополнительный резерв времени Rдоп = tдир - tкр может быть использован для увеличения продолжительности критических работ при последующей оптимизации.
2.20. Для составления комплексных сетевых графиков рекомендуются следующие ориентировочные нормы продолжительности строительства основных зданий и сооружений шахтной поверхности (табл. 1).
Таблица 1
Ориентировочные нормы продолжительности строительства зданий
и сооружений поверхности шахт
N п/п | Наименование зданий и сооружений | Характеристика основных строительных конструкций | Площадь застройки, м2 | Строительный объем, м2 | Сетка колонн, м | Высота этажей, м | Продолжительность строительства, мес |
1 | Блок административно-бытового комбината | Сборный железобетон | 2826 | 28 000 | 6 x 6 | 3 - 9 | 9 - 12 |
2 | Блок вспомогательного ствола: | То же | 5029 | 59 350 | 12 x 6, 18 x 6 | 7,8 - 9,6 | 11 - 12 |
3 | в том числе башенный копер | Монолитный железобетон | 354 | 19 699 | 6 x 6 | 53,4 | 11 |
4 | Блок главного ствола: | Сборный железобетон | 1796 | 50 200 | 9 x 6 | 11,8 - 15,4 | 13,5 |
5 | в том числе башенный копер | Монолитный железобетон | 354 | 32 270 | 6 x 6 | 89,6 | 13,5 |
6 | Котельная на 4 котла ДКВР 10/13 | Сборный и монолитный железобетон | 683 | 8900 | 12 x 6 | 7,2 - 3,2 6,6 | 10 - 12 |
7 | Дробильно-сортировочное отделение | То же | 615 | 8100 | 6 x 6 | 7,2 - 9,6 6,6 | 8 - 10 |
8 | Вентиляторная установка | " | 268 | 2057 | 12 x 6 | 4,2 | 5 - 6 |
9 | Погрузочная станция канатной дороги | " | 312 | 4890 | 3 x 6, 6 x 6 | 10 - 14 - 21 | 7 - 8 |
Примечания: 1. Нормами предусматривается строительство подземной части зданий и сооружений в обычных гидрогеологических условиях. В сложных гидрогеологических условиях нормы могут быть увеличены в соответствии с проектом производства работ.
2. Нормы составлены по проработкам Донецкого Промстройниипроекта.
ПРОЕКТИРОВАНИЕ ОРГАНИЗАЦИИ ПОТОЧНОГО СТРОИТЕЛЬСТВА ЗДАНИЙ
И СООРУЖЕНИЙ ПОВЕРХНОСТИ ШАХТ
2.21. Проектирование организации поточного строительства зданий и сооружений поверхности шахт выполняется в следующем порядке:
а) производится классификация объектов шахтной поверхности по группам:
к первой группе относятся однотипно-однородные объекты, состоящие из одинаковых по геометрическим параметрам секций (участков) и имеющие одноименные, одинаковые или близкие по весу конструкции из одинаковых материалов;
ко второй группе относятся однотипно-неоднородные объекты, состоящие из одинаковых по геометрическим параметрам секций, одноименные конструкции которых различны по весу или выполнены из различных материалов;
к третьей группе относятся разнотипно-однородные объекты, состоящие из различных по геометрическим параметрам секций, не имеющих одноименных конструкций, одинаковых по весу, выполненных из одинаковых материалов;
к четвертой группе относятся разнотипно-неоднородные объекты, отличающиеся друг от друга геометрическими параметрами, различными по весу конструкциями, выполненными из различных материалов.
Примерная классификация зданий и сооружений комплекса шахтной поверхности по группам приведена в табл. 2;
Таблица 2
Классификация зданий и сооружений шахтной поверхности
Группы зданий и сооружений |
Однотипно-однородные | Разнотипно-однородные | Однотипно-неоднородные | Разнотипно-неоднородные |
I. Одноэтажные | I. | I. | I. Линейные сооружения |
Блок вспомогательного ствола (без технологического комплекса) Компрессорная Склад материалов Закрытая подстанция Здание подъемной машины | Металлические копры Мосты и транспортерные галереи Поворотная станция канатной дороги Склад оборудования | Блок вспомогательного ствола (с технологическим комплексом и башенным копром) Блок главного ствола (с технологическим комплексом и башенным копром) Здание вентиляторной установки с вентиляционными каналами | Железные дороги Автомобильные дороги Линии электропередач Линии связи |
II. Многоэтажные | II. | | II. Коммуникации |
Блок главного ствола (без технологического комплекса) АБК Котельная Дробильно-сортировочное отделение | Отстойники шахтных вод Очистные сооружения, тоннели и каналы Резервуары противопожарного запаса воды | | Канализация Теплофикация Водопровод |
III. Отдельно стоящие здания и сооружения |
Электроподстанция Станция железной дороги и железнодорожные весы Склад масел Химическая лаборатория Креперазделочная Здание установки кондиционирования воздуха Породный комплекс |
б) для каждой группы объектов организуется групповой поток. Количество объектов, включаемых в групповой поток, зависит от директивных сроков, установленных для строительства комплекса и от продолжительности строительства отдельных объектов.
Количество групповых потоков в комплексном потоке зависит от количества групп объектов, входящих в состав комплекса; от нормативной продолжительности строительства комплекса и отдельных объектов; от мощностей строительной организации;
в) составляется перечень технологических этапов (технологических стадий) отдельных объектов и определяется продолжительность их выполнения.
Под технологическим этапом (технологической стадией) возводимого объекта подразумеваются или ведущие работы, которые влияют на продолжительность строительства (по ним проходит критический путь), или этапы возведения здания (подземная часть, монтаж здания, технологическое оборудование, отделочные работы и т.д.);
г) определяется оптимальная последовательность возведения объектов в групповом потоке;
д) определяются продолжительности ведущих потоков подготовительного периода Tн, проходки стволов tст и горизонтальных выработок tг и общая продолжительность комплексного потока Tш;
е) составляется комплексный укрупненный сетевой график строительства шахты;
ж) производится оптимизация сетевого графика строительства шахты;
з) составляется график распределения капитальных вложений и график финансирования строительства;
и) определяются технико-экономические показатели строительства шахты.
ОПРЕДЕЛЕНИЕ ОПТИМАЛЬНОЙ ОЧЕРЕДНОСТИ ВОЗВЕДЕНИЯ ЗДАНИЙ
И СООРУЖЕНИЙ ПОВЕРХНОСТИ ШАХТЫ В ПОТОКЕ
2.22. В зависимости от последовательности возведения объектов в одном потоке продолжительность строительства каждого объекта и всего комплекса может изменяться. Поэтому при проектировании организации строительства необходимо определить такую очередность возведения объектов, при которой продолжительность возведения всего комплекса и каждого объекта была бы минимальной.
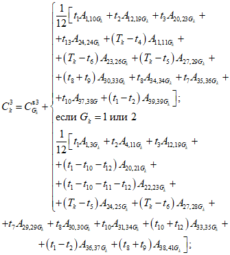
2.23. Оптимальная последовательность возведения объектов может определяться графоаналитическим методом или с помощью алгоритма, основанного на следующей рекуррентной зависимости:
| | ИС МЕГАНОРМ: примечание. Формула дана в соответствии с официальным текстом документа. | |
где

- время окончания
j-й технологической стадии строительства группового потока, состоящего из (
k + 1) объектов в порядке
i1,
i2,
i3, ...,
ik, ...,
in;

- время окончания (
j -
i)-й технологической стадии потока, состоящего из (
k + 1) объектов;

- продолжительность выполнения
j-й технологической стадии (
k + 1)-го объекта;

- время окончания
j-й технологической стадии потока на
k-м объекте.
2.24. На основании алгоритма и программы расчета с помощью ЭВМ определяются все возможные варианты последовательности строительства, которые имеют минимальные сроки.
2.25. При наличии нескольких вариантов с минимальными продолжительностями выбирается тот, у которого минимальные простои специализированных потоков.
2.26. С помощью алгоритма, основанного на рекуррентной зависимости, определяется:
общая минимальная продолжительность строительства;
продолжительность строительства каждого объекта;
суммарный перерыв специализированных потоков
суммарная продолжительность организационных перерывов (простой объектов между окончанием предыдущей технологической стадии и началом последующей стадии строительства на каждом объекте):
2.27. В качестве примера приведен расчет очередности строительства комплекса зданий и сооружений, состоящего из шести объектов и четырех технологических стадий (подземная часть, наземная часть, монтаж оборудования и отделочные работы), каждая из которых имеет фиксированную продолжительность строительства по любому объекту. Исходные данные для расчета приведены в табл. 3.
Таблица 3
Исходные данные для определения вариантов последовательности
строительства зданий и сооружений поверхности шахт в потоке
Номер объекта | Продолжительность отдельных стадий строительства в днях |
t1 | t2 | t3 | t4 |
1 | 60 | 50 | 50 | 60 |
2 | 80 | 70 | 120 | 80 |
3 | 100 | 160 | 130 | 90 |
4 | 120 | 180 | 160 | 110 |
5 | 30 | 40 | 80 | 30 |
6 | 90 | 60 | 50 | 20 |
Полученные результаты расчета на ЭВМ вариантов последовательности строительства зданий и сооружений поверхности шахты в потоке с минимальной продолжительностью приведены в табл. 4.
Таблица 4
Варианты последовательности строительства зданий
и сооружений поверхности шахт в потоке
с минимальными сроками
Варианты последовательности возведения объектов | Продолжительность группового потока в днях | Срок окончания технологических стадий | Продолжительность строительства в днях по объектам | Суммарная продолжительность специализированных потоков | Суммарная продолжительность организационных перерывов группового потока |
1 | 2 | 3 | 4 | N 1 | N 2 | N 3 | N 4 | N 5 | N 6 |
1 | 2 | 3 | 4 | 5 | 6 | 7 | 8 | 9 | 10 | 11 | 12 | 13 | 14 |
5, 2, 4, 1, 3, 6 | 860 | 430 | 680 | 800 | 860 | 510 | 350 | 550 | 570 | 180 | 470 | 550 | 610 |
2, 5, 4, 1, 3, 6 | 860 | 480 | 680 | 800 | 860 | 510 | 350 | 550 | 570 | 300 | 470 | 300 | 730 |
2.28. Из полученных вариантов последовательности строительства с минимальной продолжительностью 860 дней выбирается тот, у которого суммарные перерывы специализированных потоков минимальны, т.е. с последовательностью 2, 5, 4, 1, 3, 6.
По выбранному варианту составляется и оптимизируется сетевой график (рис. 4).
| | ИС МЕГАНОРМ: примечание. Рисунок дан в соответствии с официальным текстом документа. | |
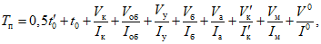
ОПРЕДЕЛЕНИЕ ОБЩЕЙ ПРОДОЛЖИТЕЛЬНОСТИ СТРОИТЕЛЬСТВА ШАХТЫ
2.29. Исходными данными для определения общей продолжительности строительства шахты являются: объем работ по освоению промышленной площадки, объем зданий и сооружений, строящихся в подготовительном и основном периодах, глубина и диаметр вертикальных стволов, объем работ при переходе от проходки стволов к горизонтальным и наклонным горным выработкам и объем работ по проходке горизонтальных и наклонных горных выработок.
2.30. Интенсивность работ по освоению промышленной площадки, а также строительству зданий и сооружений поверхности шахты определяется наличием фронта работ, сроками строительства на основании объектных сетевых графиков в зависимости от технологии и организации их строительства. Интенсивность горных работ определяется по главе СНиП на горнопроходческие работы или по среднетехнической интенсивности, достигнутой в данном районе или бассейне.
2.31. Общая продолжительность строительства шахты определяется из выражения
Tш = Tп + Tосн = 0,5t'0 + tосв + tзд + tст + t'п + tг,
где t'0 - наибольшая продолжительность строительства одного из объектов коммуникаций за пределами промышленной площадки протяженностью свыше 3 км, мес;
tосв - продолжительность освоения промышленной площадки строительства принимается до трех месяцев;
tзд - продолжительность оснащения стволов, мес;
tст - продолжительность проходки ствола, мес;
tг - продолжительность проходки горизонтальных выработок, мес;
t'п - продолжительность перехода от проходки ствола к прохождению горизонтальных выработок, мес
Продолжительность подготовительного периода
где Vк - объем работ по сооружению копра, м3;
Vоб - объем по монтажу забойного оборудования, т;
Vу - объем по проходке устья ствола, м;
Vб - объем по строительству блока вспомогательного ствола, м3;
Vа - объем по строительству АБК, м3;
V'к - объем по строительству котельной, м3;
Vм - объем по строительству подъемных машин, м3;
V0 - объем по оснащению стволов лебедками, м3;
Iк; Iб; Iоб - соответствующие интенсивности выполнения работ, м3/мес, м/мес, т/мес.
Продолжительность проходки ствола
где Vс - объем работ по проходке ствола, м;
Vу - объем работ по проходке устья ствола, м;

- объем работ по проходке камер, сопряжений, м
3;
Vсб - объем работ по проходке сбойки между стволами, м;
Iс; I"к; Iсб - соответствующие интенсивности выполнения работ, м3/мес; м/мес.
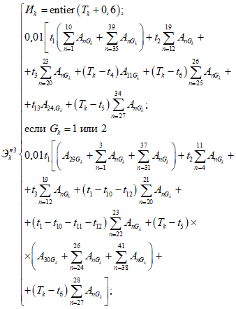
Продолжительность проходки горизонтальных горных выработок
| | ИС МЕГАНОРМ: примечание. Обозначения даны в соответствии с официальным текстом документа. | |

- объем работ по проходке выработок рудничного двора, м;
- объем работ по проходке камер, м
3;
- объем работ по проходке штреков, м;

- объем работ по проходке сопряжений и узлов, м
3;
- объем работ по проходке ходков, м;

- объем работ по проходке уклонов, м;
- объем работ по проходке бремсбергов, м;
- объем работ по проходке печей, просеков, м;
- соответствующие интенсивности выполнения работ, м/мес, м
3/мес.
Продолжительность перехода от проходки ствола к прохождению горизонтальных выработок
где V"п - объем работ по переоборудованию к армировке, т;

- объем работ по армированию ствола, м;
Vд - объем работ по демонтажу временного оборудования, т;
Vн - объем работ по навеске подъемных сосудов, т;
I"п;

;
Iд;
Iн - соответствующие интенсивности выполнения работ, т/мес, м/мес.
2.32. Исходными данными для определения продолжительности строительства являются объемы работ (в физических объемах или денежном выражении) и принятые интенсивности выполнения каждого вида работ.
2.33. Исходные данные записываются в табл. 5. Объектам, не входящим в "главную цепочку", т.е. строящимся одновременно с объектами, лежащими на критическом пути, дается нулевое значение.
Таблица 5
Исходные данные для определения общей продолжительности
строительства шахты
Схемы ------------- Варианты | | | | | | | | | | | | | |
| | | | | | | | | | | | | |
| | | | | | | | | | | | | |
Продолжение табл. 5
Схемы ------------- Варианты | | | | | | | | | | | |
| | | | | | | | | | | |
| | | | | | | | | | | |
2.34. Определение продолжительности строительства шахты производится с помощью алгоритма и программы расчета, разработанной для "Минск-22" с транслятором СТ-3.
2.35. Программа по определению продолжительности, инструкция к алгоритму и правила подготовки к перфорации исходных данных приведены в
приложениях 4,
5.
3. КОМПЛЕКСНЫЙ УКРУПНЕННЫЙ СЕТЕВОЙ ГРАФИК
СТРОИТЕЛЬСТВА ШАХТЫ
СОСТАВЛЕНИЕ КОМПЛЕКСНЫХ УКРУПНЕННЫХ СЕТЕВЫХ ГРАФИКОВ
СТРОИТЕЛЬСТВА ШАХТ (КУСГ)
3.1. Комплексный укрупненный сетевой график представляет собой организационно-технологическую модель комплекса работ, является исходным материалом рабочего проектирования, планирования, финансирования и материально-технического обеспечения строительства.
Комплексный укрупненный сетевой график разрабатывается в составе проекта организации строительства.
Исходными данными для разработки топологии КУСГ являются:
технологические и организационные схемы строительства шахты;
нормативные или директивные сроки строительства;
объектные сетевые графики или циклограммы;
3.2. В состав КУСГ входят следующие материалы:
собственно сетевой график;
сетевые графики возведения основных объектов поверхности и горных выработок;
графики монтажа основного технологического оборудования;
работы основных строительных машин и потребности в рабочей силе.
3.3. Укрупненный сетевой график строительства разрабатывается в следующем порядке:
принимается определенная технологически организационная схема строительства и устанавливаются конечные события каждого этапа строительства;
разрабатываются сетевые графики на строительство основных объектов поверхности шахты и горных выработок.
3.4. В соответствии с принятой организационно-технологической схемой строительства шахты определяются ведущие объектный и групповой потоки на каждом этапе строительства, включающие объекты и работы "главной цепочки":
определяется оптимальная последовательность возведения объектов, включенных в групповые потоки;
производится увязка объектов в групповые потоки и "сшивается" комплексный сетевой график;
производится расчет сетевого графика, определяется продолжительность строительства, частные и общие резервы времени;
производится оптимизация графика по заданным организациям в сроках и ресурсах;
определяются сроки поставки технологического оборудования и технической документации;
составляется график работы основных строительных машин и механизмов, составляется график распределения капиталовложений по объектам и в целом по шахте, на основании которого разрабатывается график финансирования строительства шахты;
составляется график потребности рабочей силы по периодам строительства.
3.5. На рис. 5 в качестве примера показаны комплексные сетевые графики по трем основным схемам строительства шахты производительностью 1,8 млн. т угля в год. Характеристики работ комплексных сетевых графиков приведены в
табл. 6.
Рис. 5. Комплексные сетевые графики строительства шахты
производительностью 1,8 млн. т
Таблица 6
Краткая характеристика работ комплексных сетевых графиков
Шифр работы | Наименование работы | Продолжительность работы в мес |
| Схема 1 | |
00-01 | Освоение площадки строительства | 3 |
01-02 | Проходка устья ствола | 1 |
02-16 | Возведение башенного копра скипового ствола | 13,5 |
07-16 | Возведение башенного копра клетевого ствола | 11 |
01-16 | Строительство инженерных коммуникаций и дорог | 13,5 |
08-16 | Строительство здания котельной (монтаж одного котла) | 10 |
17-16 | Строительство электроподстанции | 6 |
03-16 | Строительство блока вспомогательного ствола | 12 |
13-16 | Строительство АБК (в осях 9 - 16, 8а - 12а) | 7,5 |
04-14 | Строительство копра вентиляционного ствола | 4 |
05-14 | Строительство временной котельной | 54 |
01-14 | Строительство временного АБК | 4,5 |
01-14 | Строительство здания и монтаж подъемной машины | 4,5 |
01-19 | Строительство временного здания калориферной | 2 |
09-14 | Строительство временного здания электроподстанции | 2,5 |
06-11 | Строительство резервуара противопожарного запаса воды | 2 |
11-14 | Строительство зданий, фундамента и монтаж проходческих лебедок вентиляционного ствола | 3 |
12-14 | Строительство временной компрессорной | 3 |
14-18 | Строительство резервуара противопожарного запаса воды главных стволов | 2 |
20-16 | Строительство зданий, фундаментов и монтаж проходческих лебедок главных стволов | 3 |
14-19 | Проходка технологического отхода ствола | 1,5 |
19-21 | Монтаж оборудования ствола | 1 |
21-26 | Проходка вентиляционного ствола | 14 |
26-39 | Проходка горизонтальных горных выработок | 33 |
16-22 | Проходка скипового ствола | 18 |
16-23 | Проходка клетевого ствола | 17,5 |
23-41 | Проходка горизонтальных горных выработок | 30 |
24-28 | Строительство склада горючих и смазочных материалов и химической лаборатории | 3 |
28-23 | Строительство отстойников шахтных вод | 6 |
25-23 | Строительство секции технологического комплекса | 6,5 |
16-23 | Строительство инженерных коммуникаций и дорог | 17,5 |
01-35 | Строительство линий электропередач | 44 |
16-33 | Строительство линий связи | 48 |
33-36 | Строительство здания вентиляторной установки | 5 |
27-35 | Строительство здания котельной (монтаж трех котлов) | 6,5 |
23-40 | Проходка горизонтальных горных выработок | 30 |
29-35 | Строительство здания АБК (в осях 1 - 8; 16 - 21) | 10,5 |
30-35 | Строительство здания дробильно-сортировочного отделения | 9,5 |
23-31 | Строительство склада оборудования | 5 |
31-35 | Строительство здания станции канатного терриконика с машинным залом и мостом | 8 |
35-37 | Монтаж оборудования открытого распредустройства - 6 кВт | 6 |
35-38 | Строительство шахтной железнодорожной станции | 6 |
32-35 | Строительство здания и монтаж оборудования вентиляторной установки | 6 |
Схема 2 |
00-01 | Освоение площадки строительства | 3 |
01-02 | Проходка устья ствола | 1 |
02-15 | Возведение башенного копра скипового ствола до отметки +36,00; (15 - 24); то же, до отметки +86,00 | 5,5 |
01-15 | Строительство зданий и монтаж оборудования временных подъемных машин скипового ствола | 4,5 |
01-03 | Строительство здания и монтаж оборудования котельной | 10 |
01-03 | Строительство инженерных коммуникаций и дорог | 10 |
02-16 | Проходка устья ствола | 1 |
16-22 | Возведение башенного копра клетевого ствола до отметки +36,00 | 7 |
22-25 | То же, до отметки +86,00 | 4 |
04-03 | Строительство здания и монтаж оборудования компрессорной | 6,5 |
05-03 | Строительство здания механических мастерских | 5,5 |
01-06 | Строительство здания и монтаж оборудования подъемных машин клетевого ствола | 4,5 |
06-03 | Строительство склада оборудования | 5 |
07-03 | Строительство здания и монтаж оборудования электростанции | 6 |
01-03 | Строительство линии электропередач | 10 |
08-03 | Строительство здания постоянного АБК (в осях 9 - 16; 8а - 12а) | 7,5 |
01-17 | Строительство здания временного административно-бытового комбината вентиляционного ствола | 4,5 |
09-17 | Строительство здания и монтаж оборудования временной компрессорной | 4 |
10-17 | Монтаж копра вентиляционного ствола | 4 |
11-17 | Строительство здания и монтаж оборудования временной котельной | 4 |
01-12 | Строительство здания и монтаж оборудования временной калориферной | 2 |
12-17 | Строительство здания и монтаж оборудования временной электроподстанции | 2,5 |
13-18 | Строительство резервуара противопожарного запаса воды | 2 |
18-17 | Строительство временного отстойника шахтных вод | 2 |
14-17 | Строительство зданий, фундаментов и монтаж оборудования проходческих лебедок вентиляционного ствола | 3 |
01-17 | Строительство здания и монтаж оборудования подъемной машины вентиляционного ствола | 4,5 |
17-21 | Строительство резервуара противопожарного запаса воды главных стволов | 2 |
17-19 | Проходка технологического отхода ствола | 1,5 |
19-23 | Монтаж технологического оборудования ствола | 1 |
23-26 | Проходка вентиляционного ствола | 14 |
20-03 | Строительство зданий, фундаментов и монтаж оборудования проходческих лебедок главных стволов | 3 |
03-27 | Проходка скипового ствола | 18 |
03-28 | Проходка клетевого ствола | 17,5 |
30-31 | Строительство склада горючих и смазочных материалов и химической лаборатории | 3 |
31-28 | Строительство отстойника шахтных вод | 8 |
03-28 | Строительство инженерных коммуникаций и дорог промышленной площадки | 17,5 |
03-37 | Строительство линий связи | 42 |
03-28 | Строительство линии электропередач и разводка на поверхности | 17,5 |
26-43 | Проходка горизонтальных горных выработок с вентиляционного ствола | 33 |
28-44 | Проходка горизонтальных горных выработок с клетевого ствола | 30 |
29-37 | Строительство здания котельной и монтаж трех котлов | 6,5 |
35-37 | Строительство здания АБК в осях 1 - 8, 16 - 21 | 10,5 |
33-37 | Строительство здания и монтаж оборудования дробильно-сортировочного отделения | 9,5 |
28-37 | Строительство зданий склада оборудования и станции канатного терриконика | 13 |
36-37 | Строительство здания и монтаж оборудования вентиляторной установки | 6 |
28-37 | Строительство линии электропередач и разводка на поверхности | 13 |
38-40 | Строительство здания и монтаж оборудования вентиляторной установки | 5 |
39-40 | Строительство надшахтного здания вентиляционного ствола | 4 |
37-41 | Монтаж оборудования открытого распределительного устройства - 6 кВт | 6 |
37-42 | Строительство шахтной железнодорожной станции | 6 |
Схема 3 |
00-01 | Освоение площадки строительства | 3 |
01-02 | Проходка устья ствола | 1 |
02-18 | Строительство фундаментов башенного копра скипового ствола | 2 |
19-20 | Надвижка копра скипового ствола | 0,5 |
02-14 | Проходка клетевого ствола | 1 |
14-19 | Строительство фундаментов башенного копра клетевого ствола | 2 |
19-21 | Надвижка копра клетевого ствола | 0,5 |
01-03 | Монтаж временного копра скипового ствола | 2 |
03-15 | Монтаж временного копра клетевого ствола | 2 |
01-21 | Строительство зданий и монтаж оборудования временных подъемных машин скипового ствола | 4,5 |
01-21 | Строительство здания временного АБК | 4,5 |
04-21 | Строительство здания и монтаж оборудования временной котельной | 4 |
01-05 | Строительство здания и монтаж оборудования временной электроподстанции | 2,5 |
05-21 | Строительство здания временной механической мастерской | 2 |
01-21 | Строительство временных инженерных коммуникаций | 4,5 |
06-16 | Строительство постоянного резервуара противопожарного запаса воды | 2 |
26-21 | Строительство временного отстойника шахтных вод | 2 |
01-07 | Строительство здания, фундаментов и монтаж оборудования проходческих лебедок вентиляционного ствола | 3 |
07-24 | Строительство зданий, фундаментов и монтаж оборудования проходческих лебедок главных стволов | 3 |
08-22 | Монтаж копра вентиляционного ствола | 4 |
01-22 | Строительство здания временного АБК вентиляционного ствола | 4,5 |
09-22 | Строительство здания и монтаж оборудования временной котельной вентиляционного ствола | 4 |
01-10 | Строительство здания и монтаж оборудования временной калориферной | 2 |
10-22 | Строительство здания и монтаж оборудования временной электроподстанции | 2,5 |
11-22 | Строительство здания и монтаж оборудования временной компрессорной | 3 |
12-17 | Строительство резервуара противопожарного запаса воды | 2 |
17-22 | Строительство временного отстойника шахтных вод | 2 |
13-22 | Строительство здания и монтаж оборудования временных подъемных машин | 4,5 |
27-43 | Строительство постоянного здания котельной и монтаж одного котла | 10 |
28-43 | Строительство здания АБК и переходного тоннеля | 7,5 |
21-23 | Проходка технологического отхода ствола | 1,5 |
23-25 | Монтаж технологического оборудования ствола | 1 |
25-29 | Проходка ствола | 7 |
29-33 | Проходка сопряжений и приствольных камер | 4,5 |
33-36 | Переоборудование ствола для армировки | 0,5 |
36-38 | Армировка ствола | 2 |
38-41 | Демонтаж оборудования ствола | 0,5 |
41-43 | Навеска подъемных сосудов | 1 |
31-32 | Строительство зданий смазочных материалов и химической лаборатории | 3 |
32-44 | Строительство отстойника шахтных вод | 8 |
21-24 | Проходка технологического отхода ствола | 1,5 |
24-26 | Монтаж технологического оборудования ствола | 1 |
26-30 | Проходка ствола | 6,2 |
30-34 | Проходка сопряжений приствольных камер ствола | 3,7 |
34-37 | Проходка сбойки между стволами | 1,15 |
37-39 | Переоборудование ствола для армировки | 0,5 |
39-40 | Армировка ствола | 2 |
40-42 | Демонтаж оборудования ствола | 0,5 |
42-44 | Демонтаж временного копра | 1 |
34-45 | Строительство здания блока вспомогательного ствола | 12 |
21-82 | Строительство линии связи | 47,5 |
21-82 | Строительство линии электропередач | 47,5 |
22-66 | Проходка технологического отхода ствола | 1,5 |
66-67 | Монтаж технологического оборудования ствола | 1 |
67-68 | Проходка вентиляционного ствола | 5,9 |
68-69 | Проходка сопряжений и приствольных камер | 2 |
69-70 | Переоборудование ствола для армировки | 0,5 |
71-72 | Навеска подъемных сосудов | 1,2 |
72-73 | Проходка выработок рудничного двора | 4,5 |
73-74 | Проходка восточного вентиляционного штрека горизонта 211 м | 13 |
74-75 | Проходка квершлага и камеры | 2 |
75-79 | Проходка сборного конвейерного ходка | 12,4 |
79-80 | Проходка наклонного ходка | 1 |
77-78 | Строительство надшахтного здания | 4 |
76-78 | Строительство здания и монтаж оборудования вентиляторной установки | 5 |
57-59 | Строительство здания котельной и монтаж трех котлов | 6 |
56-59 | Строительство здания АБК в осях 1 - 8, 16 - 21 | 10,5 |
43-48 | Проходка выработок околоствольного двора | 9 |
48-50 | Демонтаж временного копра | 1 |
50-65 | Строительство башенного копра скипового ствола | 12,5 |
65-82 | Проходка сборного ходка | 3,85 |
47-59 | Строительство здания и монтаж оборудования электроподстанции | 6 |
44-52 | Строительство башенного копра клетевого ствола | 8,5 |
52-53 | Навеска подъемных сосудов | 1 |
53-59 | Проходка квершлага | 1,5 |
50-59 | Строительство здания и монтаж оборудования вентиляторной установки | 5,5 |
45-49 | Строительство секции технологического комплекса клетевого ствола | 6,5 |
35-51 | Строительство склада оборудования | 5 |
51-55 | Строительство здания и монтаж оборудования погрузочной станции канатной дороги | 8 |
58-59 | Строительство здания и монтаж оборудования дробильно-сортировочного отделения и погрузки угля | 9,5 |
59-63 | Монтаж оборудования открытого распределительного устройства - 6 кВт | 6 |
59-60 | Проходка штрека | 8,5 |
60-61 | Проходка камеры | 1 |
61-62 | Проходка ходка | 1 |
62-81 | Проходка сборного ходка | 6,5 |
59-64 | Строительство шахтной железнодорожной станции | 6 |
Методы оптимизации комплексных сетевых графиков
3.6. Оптимизация графиков по времени, стоимости, материально-техническим и людским ресурсам производится в случаях, когда:
общий срок строительства превышает нормативный или директивные сроки;
мощность строительной организации не обеспечивает предусмотренные графиком темпы выполнения работ.
3.7. Целью оптимизации является сокращение длительности критического пути или равномерное использование имеющихся в наличии ресурсов.
3.8. Оптимизация графика достигается путем:
увеличения степени механизации за счет дополнительного оснащения строительными машинами, механизмами работ, лежащих на критическом пути;
повышения интенсивности труда (введение дополнительных смен, увеличение количества совмещенных работ);
изменения технологической и организационной последовательности выполнения работ.
3.9. Оптимизацию сетевых графиков производят с помощью ЭВМ. Для оптимизации сетевых графиков по времени рекомендуется использовать алгоритм и программу 3; расчета для ЭВМ - "Минск-22". Эта программа решает задачу сокращения продолжительности выполнения отдельных работ так, чтобы общая продолжительность строительства укладывалась в директивные сроки.
3.10. Решение задачи сводится к следующему:
рассчитывается сетевой график;
сортируются работы по группам с одинаковым полным резервом времени;
в каждой группе работы выстраиваются в цепочки;
для каждой цепочки определяется величина ее сокращения;
находится величина сокращения для каждой работы цепочки с учетом заданных ограничений;
составляются исходные данные с новыми оценками времени и рассчитывается сетевой график.
3.11. Результат работы программы считается положительным, если расчетный срок окончания работ равен директивному.
Оптимизация сетевых графиков по стоимости
3.12. Программа, оптимизация сетевых графиков по стоимости определяет оптимальную сокращенную продолжительность строительства всего комплекса (оптимально-сокращенный критический путь) при минимальных дополнительных затратах, связанных с уменьшением продолжительности отдельных работ.
Оптимизация сетевых графиков по ресурсам
3.13. Оптимизацию сетевых графиков по материально-техническому и людским ресурсам рекомендуется производить при помощи процедуры "сглаживания", которая позволяет добиться равномерного распределения рабочей силы.
Распределение капитальных вложений
3.14. График финансирования работ составляется в соответствии с комплексным сетевым графиком после его оптимизации. Основанием для комплексного графика являются предварительно составленные объектные графики финансирования работ на основные объекты и сооружения.
3.15. Распределение капиталовложений на сводном графике финансирования рекомендуется производить по месяцам, кварталам и годам строительства с выделением стоимости оборудования, строительно-монтажных и горных работ.
3.16. По графикам финансирования производится распределение объемов работ в стоимостном измерении между генеральной подрядной и специализированными субподрядными организациями с разбивкой по годам строительства.
3.17. На основании планируемой годовой выработки в рублях на одного работника определяется потребность рабочей силы по работам генподрядной и субподрядной организаций.
3.18. В случае отсутствия объектных графиков финансирования сводный график строительства шахты для составления проекта организации строительства на стадии технического проектирования можно составить для подготовительного и основного периодов строительства по следующим уравнениям параболических кривых, аппроксимирующих усредненное распределение капитальных вложений в месяцах независимо от организационно-технологических схем строительства:
для подготовительного периода
Y = -0,55 + 0,35x - 0,011x2;
для основного периода
Y = -0,41 + 0,08x - 0,007x2,
где x - продолжительность строительства в мес.
3.19. Зависимость распределения капитальных вложений от продолжительности строительства шахты приведена на рис. 6. Значение точек кривой распределения капитальных вложений, полученных на ЭВМ, приведено в
табл. 7. Примерное распределение капитальных вложений по годам строительства приведено в
табл. 8.
Рис. 6. Зависимость распределения капитальных вложений
от продолжительности строительства шахты. Уравнение
распределения капитальных вложений в подготовительном
периоде: y = -0,55 + 0,35x - 0,11x2; корреляционное
отношение
r = 0,95; достоверность

; уравнение распределения
капитальных вложений в основном периоде:
y = -0,41 + 0,08x - 0,007x2; корреляционное отношение
r = 0,768; достоверность

1 - усредненная линия распределения капитальных вложений
по рассмотренным вариантам строительства; 2 - линия
зависимости распределения капитальных вложений
от продолжительности строительства; K - капитальные вложения
в %; T - продолжительность строительства в %;
Tп - продолжительность подготовительного периода;
Tосн - продолжительность основного периода; Tш - общая
продолжительность строительства шахты
Таблица 7
Данные распределения капитальных вложений, полученные на ЭВМ
Значения точек кривых распределения капитальных вложений |
+1277670+02 | +6326468+02 | +1377996+01 | +2005094+01 | +3260789+00 | +2123897+01 | +1929995+01 |
+1535635+01 | +1851191+01 | +1418903+01 | +2010167+01 | +6799622+00 | +2130853+01 | +1944967+01 |
+8113281+01 | +2120049+02 | +1459322+01 | +2013829+01 | +9955012+00 | +2099307+01 | +1958517+01 |
+7666777+00 | +1186170+01 | +1498303+01 | +2016077+01 | +1275751+01 | +2029106+01 | +1970663+01 |
+9688381+00 | +9889646+00 | +1535895+01 | +2016912+01 | +1510689+01 | +1920354+01 | +1981387+01 |
+5142094+00 | +1143695+00 | +1572050+01 | +2016334+01 | +1710504+01 | +1773126+01 | +1984906+01 |
+3623912+00 | +9857065-01 | +1606815+01 | +2014342+01 | +5078373+00 | +1587233+01 | +1998603+01 |
+5142094+00 | +1143695+00 | +1640145+01 | +2010938+01 | +1994317+01 | +1362912+01 | +2005094+01 |
+2882235+01 | +7944699+00 | +1672082+01 | +2006118+01 | +2078365+01 | +1377096+01 | +2010167+01 |
+4859105-01 | +6398991-02 | +1702586+01 | +1999889+01 | +2123897+01 | +1418903+01 | +2013829+01 |
+9148016+00 | +1446361+01 | +1731695+01 | +1992242+01 | +2130853+01 | +1459322+01 | +2016077+01 |
+3623912+00 | +9857065-01 | +1759374+01 | +1983187+01 | +2099307+01 | +1498303+01 | +2016912+01 |
+1720069+01 | +6823966+00 | +1785656+01 | +1972705+01 | +2029106+01 | +1535895+01 | +2016334+01 |
+1292937-02 | +4307759-04 | +1810509+01 | +1960832+01 | +1920354+01 | +1572050+01 | +2014342+01 |
+1239462+01 | +1659415+01 | +1833963+01 | +1947530+01 | +1773126+01 | +1606815+01 | +2010938+01 |
+2658584+01 | +7603568+00 | +1855990+01 | +1932823+01 | +1587233+01 | +1640145+01 | +2006118+01 |
-2213347+01 | -6622960+00 | +1876618+01 | +1916694+01 | +1362912+01 | +1672082+01 | +1999889+01 |
+7516460+00 | +1506918+00 | +1895819+01 | +1899162+01 | +3260789+00 | +1702586+01 | +1992242+01 |
+7123943+01 | +1057095+01 | +1913838+01 | +1880205+01 | +6799622+00 | +1731695+01 | +1983187+01 |
+1346871+00 | +4164681+00 | +1929995+01 | +1857139+01 | +9955012+00 | +1759374+01 | +1972705+01 |
+2512272+00 | +4304563-01 | +1944967+01 | +1838063+01 | +1275751+01 | +1785656+01 | +1960832+01 |
-7896767+02 | -2894383-03 | +1958517+01 | | +1510689+01 | +1810509+01 | +1947530+01 |
| | +1970663+01 | | +1710504+01 | +1833963+01 | +1932823+01 |
| | +1981387+01 | | +5078373+00 | +1855990+01 | +1916694+01 |
| | +1984906+01 | | +1994317+01 | +1876618+01 | +1899162+01 |
| | +1998603+01 | | +2078365+01 | +1895819+01 | +1880205+01 |
| | | | | +1913838+01 | +1857139+01 |
| | | | | | +1838063+01 |
Таблица 8
Распределение капитальных вложений по годам строительства
при продолжительности строительства шахты 63 - 64 мес
Распределение капитальных вложений по годам строительства в % от стоимости предприятий |
I | II | III | IV | V | VI |
16 | 18 | 22 | 22 | 16 | 6 |
Примечание. Нормы распределения приведены по результатам исследований Донецкого Промстройниипроекта.
3.20. Для распределения капитальных вложений разработан алгоритм и программа расчета на ЭВМ "Минск-22".
Описание алгоритма распределения капитальных вложений по периодам строительства приведено в
приложении 6. Программа по распределению капитальных вложений приведена в
приложении 7. Инструкция к программе приведена в
приложении 8. Контрольный пример приведен в
приложении 9.
4. ТЕХНИКО-ЭКОНОМИЧЕСКИЕ РАСЧЕТЫ ПРИ ВЫБОРЕ ОПТИМАЛЬНОГО
ВАРИАНТА ОРГАНИЗАЦИИ СТРОИТЕЛЬСТВА ШАХТЫ
4.1. При выборе оптимального варианта организации строительства шахты необходимо сравнить несколько вариантов, которые отличаются интенсивностью и продолжительностью работ, распределением капитальных вложений по периодам строительства, применением различных строительных машин и временем их использования, количеством временных зданий и сооружений и продолжительностью использования для нужд строительства постоянных зданий и сооружений.
4.2. В соответствии с методикой при определении и сравнении экономической эффективности капитальных вложений в качестве критерия оптимальности принимается минимум приведенных затрат, которые могут быть рассчитаны по формуле
где П - приведенные затраты за весь период строительства;
Cпост - сметная стоимость постоянных зданий и сооружений;

- изменение себестоимости строительно-монтажных работ по сравнению с эталоном (обычно вариантом с нормативной продолжительностью строительства) за счет изменения части прямых затрат и накладных расходов;
Cдоп - дополнительные затраты по устройству временных (титульных) и использованию постоянных зданий и сооружений в период строительства;
Cп.к - часть приведенных затрат, зависящая от капитальных вложений в производственные фонды;
Эз - экономический эффект (ущерб) от изменения размеров отвлечения капитальных вложений в незавершенное строительство.
В отдельных случаях в формулу приведенных затрат вводится еще одна составляющая
где Эд.п - экономический эффект от возможного выпуска дополнительной продукции (для варианта с меньшей продолжительностью строительства) или соответственно возможные народнохозяйственные потери от уменьшения выпуска продукции (для варианта с большей продолжительностью);
Ф - сметная стоимость вводимых в действие основных фондов шахты (включая стоимость технологического оборудования и его монтажа);
T и T1 - соответственно продолжительность строительства шахты по сравниваемым вариантам в годах;
Eн.п - норматив для приведения разновременных затрат;
Tо.м - продолжительность освоения проектной мощности шахты в годах.
Составляющая приведенных затрат Эд.п учитывается при оценке вариантов с различной продолжительностью строительства в тех случаях, когда для варианта с большей продолжительностью не имеется возможности более раннего начала строительства, т.е. в случаях фиксированного начала строительства.
4.3. При расчетах составляющих приведенных затрат возникает вопрос о выборе исходного варианта (эталона). При наличии ранее разработанного проекта организации строительства в качестве эталонного принимается проектный вариант. При составлении проекта организации строительства в качестве эталона принимается один из ранее намеченных с нормативной или близкой к ней продолжительностью.
4.4. Расчет величины отдельных составляющих приведенных затрат производится на основании исходных данных технического проекта и принятой технологической схемы строительства шахты.
4.5. Сметная стоимость постоянных зданий и сооружений Cпост принимается по данным сметы к техническому проекту. Для всех вариантов организации строительства перечень основных объектов шахтной поверхности и их стоимость остаются постоянными.
4.6. Сметная стоимость строительно-монтажных работ включает нормативную (для эталонного варианта) величину затрат на эксплуатацию строительных машин и механизмов и на накладные расходы. Поэтому в расчет приведенных затрат для сопоставляемых вариантов включаются только изменения себестоимости по этим статьям затрат относительно эталонного варианта.
4.7. Изменяемой частью себестоимости строительно-монтажных работ являются: часть прямых затрат (расходы по эксплуатации строительных машин) и накладные расходы строительной организации как в условно-постоянной, так и в условно-переменной частях.
4.8. Изменение себестоимости по сравнению с эталоном определяется как сумма разностей изменяемых элементов себестоимости строительно-монтажных работ между эталонным и сопоставляемым вариантами, т.е.
где

- изменение себестоимости строительно-монтажных работ за счет использования различных комплектов строительных машин и механизмов и различной продолжительности их использования в сопоставляемом и эталонном вариантах;

- изменение величины условно-переменной части накладных расходов, зависящей от численности рабочих в эталонном и сопоставляемом вариантах;

- изменение величины условно-постоянной части накладных расходов, зависящей от сокращения (увеличения) сроков строительства.
4.9. Изменение себестоимости строительно-монтажных работ за счет эксплуатации строительных машин определяется как разность эксплуатационных затрат сопоставляемого и эталонного вариантов
4.10. Затраты на эксплуатацию строительных машин для любого варианта определяются по формуле
| | ИС МЕГАНОРМ: примечание. Формула дана в соответствии с официальным текстом документа. | |

(5)
где

- годовые затраты
n-й машины в расчете на машино-смену;
Cт.э.п - сменные эксплуатационные затраты n-й машины;

- количество машино-смен работы
n-й машины на строительной площадке;
E'тр.п - единовременные затраты по переброске n-й машины;
Eм.д.п - единовременные затраты по монтажу и демонтажу n-й машины;

- количество перестановок
n-й машины;
E"n - затраты на устройство одного звена подкранового пути;

- количество звеньев подкранового пути, необходимое для работы
n-й машины.
4.11. Величины годовых и текущих эксплуатационных затрат, единовременные затраты на монтаж, демонтаж строительных машин, а для башенных кранов и на устройство подкрановых путей принимаются согласно существующим методикам.
4.12. Для расчета затрат по эксплуатации строительных машин и механизмов используются данные комплексных сетевых графиков строительства о типах примененных строительных машин, количество их перебазировок и общем числе смен работы каждой машины.
4.13. Изменение величины условно-переменной части накладных расходов, зависящей от численности рабочих, определяется по формуле
где Pэ - сметная стоимость строительно-монтажных работ в эталонном варианте;
Ni, Nэ - среднесписочное количество рабочих в наиболее напряженном "пиковом" квартале соответственно в сопоставляемом и эталонном вариантах;

- коэффициент, учитывающий долю затрат, зависящих от численности рабочих, в общей величине накладных расходов (примерно 0,18 - 0,20);

- установленный норматив накладных расходов;
0,06 (6%) - установленный норматив плановых накоплений.
4.14. При условии, что средняя выработка рабочих в сопоставляемых вариантах не меняется, изменение величины условно-переменной части накладных расходов можно определять по формуле
где

;

- объем строительно-монтажных работ "пикового" квартала, соответственно сопоставляемого и эталонных вариантов.
Стоимость "пикового" квартала определяется из графиков распределения капиталовложений и объемов строительно-монтажных работ рассматриваемых вариантов.
4.15. Определение величины условно-постоянной части накладных расходов, зависящей от продолжительности строительства, в шахтном строительстве имеет свою специфику. Одна из особенностей шахтного строительства заключается в том, что освоение сметной стоимости происходит неравномерно. Сокращение общего срока строительства шахты (при неизменной продолжительности горных работ) может быть достигнуто за счет уменьшения продолжительности возведения зданий и сооружений, обеспечивающих начало ведения горных работ с соответствующим изменением величины условно-постоянных накладных расходов. При этом продолжительность строительства, интенсивность работ и распределение накладных расходов при строительстве остальных зданий и сооружений, возводимых параллельно с горными работами, остаются неизменными.
4.16. Изменение величины условно-постоянной части накладных расходов рекомендуется определять по формуле:
где P'э; P'i - сметная стоимость строительно-монтажных работ по группе зданий и сооружений, обеспечивающей начало ведения горных работ, соответственно в эталонном и сопоставляемом вариантах;
P"э; P"i - то же, по группе зданий и сооружений, возводимых параллельно ведению горных работ, соответственно в эталонном и сопоставляемом вариантах;
T'э, T'i, T"э, T"i - продолжительность строительства первой и второй групп зданий и сооружений в сопоставляемых вариантах;

- коэффициент, учитывающий долю затрат, зависящих от продолжительности строительства, в общей величине накладных расходов (примерно 0,5 - 0,6).
4.17. Дополнительные затраты (Cдоп) на строительство временных и использование постоянных зданий и сооружений в период строительства шахты состоят из двух частей, одна из которых - сметная стоимость временных зданий и сооружений - не связана со сроками их использования и изменяется лишь при переходе от одной организационно-технологической схемы к другой, а вторая изменяется в связи с сокращением сроков использования постоянных зданий и сооружений для нужд шахтостроителей. Дополнительные затраты определяются как
Cдоп = Cвр.зд + Cам,
где Cвр.зд - сметная стоимость временных титульных зданий и сооружений с учетом возвратных сумм при их ликвидации;
Cам - амортизационные затраты по постоянным зданиям, сооружениям и оборудованию, а также по временному оборудованию.
4.18. Для выполнения горнопроходческих работ в процессе строительства шахты используются некоторые постоянные здания и сооружения шахтной поверхности или вместо них строятся временные здания и сооружения того же назначения. Перечень временных зданий и сооружений определяется проектом организации строительства, а сметная стоимость - сводной сметой к техническому проекту с учетом возвратных сумм при их ликвидации. Возвратная стоимость материалов при разборке временных зданий и сооружений принимается в размере 15% сметной стоимости строительно-монтажных работ, за исключением отдельно стоящих фундаментов под временное оборудование, которые амортизируются полностью.
4.19. Временная эксплуатация постоянных зданий, сооружений и оборудования, которая длится иногда несколько лет, требует от строителей определенных затрат по их содержанию и приведению в порядок перед сдачей шахты в эксплуатацию. По своей природе и величине эти затраты соответствуют амортизационным отчислениям. Величину амортизационных затрат по постоянным зданиям, сооружениям и оборудованию (постоянному и временному) предлагается определять по формуле
где n - число объектов шахтной поверхности, используемых в процессе строительства;
Ai - сметная стоимость строительно-монтажных работ, i-го объекта шахтной поверхности или его части, вводимой во временную эксплуатацию;

- годовая норма амортизационных отчислений на капитальный ремонт постоянных зданий и сооружений;
ti - продолжительность использования зданий, сооружений или оборудования, в мес;
A'i - сметная стоимость оборудования i-го объекта шахтной поверхности;

- годовая общая норма амортизационных отчислений от стоимости оборудования
i-го объекта шахтной поверхности.
4.20. Продолжительность использования зданий, сооружений и оборудования следует принимать в соответствии с комплексным сетевым графиком строительства шахты.
4.21. Сопоставляемые варианты организации строительства отличаются размером используемых основных фондов, необходимых для возведения сооружений. Выполнение определенного объема строительно-монтажных работ при меньших основных фондах ведет к повышению эффективности их использования.
4.22. В повышении эффективности использования основных фондов в строительстве решающую роль играет эффективность использования строительных машин и оборудования, как наиболее значительного и подвижного элемента основных производственных фондов.
4.23. Часть приведенных затрат, зависящая от капитальных вложений в производственные фонды, определяется по формуле
где Eн - нормативный коэффициент эффективности капитальных вложений;
Фi - инвентарно-расчетная стоимость i-й строительной машины, используемой в строительстве;
Ti - продолжительность использования каждого i-го вида машин в машино-годах.
4.24. Различные организационно-технологические схемы и варианты строительства шахтной поверхности имеют разную продолжительность отдельных периодов строительства и обеспечивают разные сроки строительства шахты, что предопределяет различное распределение капитальных вложений во времени по вариантам.
4.25. Одна из особенностей шахтного строительства заключается в том, что постоянные здания производственного назначения после полного или частичного завершения их строительства включаются в эксплуатацию для нужд строительно-монтажных организаций.
4.26. Использование этих зданий и сооружений в процессе строительства сокращает величину народнохозяйственного ущерба от отвлечения капитальных вложений.
4.27. Величина ущерба, учитываемая при расчете приведенных затрат, определяется по формуле
Эз = Э'з - Э"з,
где Э'з - величина ущерба в результате отвлечения капитальных вложений из народнохозяйственного оборота;
Э"з - сокращение ущерба в результате использования фондов, введенных во временную эксплуатацию.
4.28. Величина ущерба в результате отвлечения капитальных вложений из народнохозяйственного оборота определяется по формуле
где Fi - величина капитальных вложений в строительство шахты в любом i-м месяце;
T - срок строительства шахты в мес;
i - порядковый номер месяца строительства.
4.29. Срок строительства шахты по вариантам определяется комплексным укрупненным сетевым графиком. Величины капитальных вложений по месяцам принимаются по графику распределения капитальных вложений.
4.30. Экономический эффект от использования постоянных зданий при временной их эксплуатации определяется по формуле
4.31. Показатели сметной стоимости основных фондов и времени их использования принимаются те же, что при расчете амортизационных затрат.
4.32. Расчеты общей величины приведенных затрат и отдельных составляющих по предлагаемой методике, а также выбор оптимального варианта организации строительства по критерию минимума приведенных затрат производятся по разработанным алгоритму и программе с использованием ЭВМ "Минск-22".
Описание алгоритма по определению приведенных затрат приведено в
приложении 10.
ОПИСАНИЕ И ОБОСНОВАНИЕ АЛГОРИТМА ПО ОПРЕДЕЛЕНИЮ ОПТИМАЛЬНОЙ
ПОСЛЕДОВАТЕЛЬНОСТИ СТРОИТЕЛЬСТВА ОБЪЕКТОВ В ПОТОКЕ
Обозначим через Pn обобщенный поток, получающийся при строительстве объектов i1, i2, ..., ik, in;
где n - число объектов, входящих в поток;

- продолжительность выполнения
j-й технологической стадии строительства
ik-го объекта:
при j = 1, 2, ..., r,
" k = 1, 2, 3, ..., n;
- время окончания
j-й технологической стадии строительства потока, состоящего из
k объектов в порядке
i1,
i2,
i3, ...,
ik;
Pn можно изобразить на оси времени в виде отрезка, разделенного на части и обладающего следующими свойствами:
1) если начало отрезка Pn совместилось с началом координат, то координата конца отрезка равна продолжительности всего потока в порядке i1, i2, ..., ik;
2) каждая часть отрезка Pn поставлена во взаимно-однозначное соответствие определенной технологической стадии строительства;
3) координаты точек разделения отрезка Pn соответствуют срокам окончания соответствующей технологической стадии строительства рассматриваемого потока.
Так как для некоторого потока, состоящего из
k объектов, и для всех
j = 1, 2, ...,
r определены координаты

, то задача заключается в нахождении значений времени окончания технологических стадий потока, состоящего из (
k + 1)-го объекта -

при
j = 1, 2, ...,
r.
Исходя из условий поточного строительства последующая технологическая стадия (j + 1) на последующем (k + 1) объекте может быть начата после того, как закончится (k + 1) технологическая стадия на k объекте и j-я технологическая стадия на (k + 1) объекте.
Так как

совпадает со временем окончания
j-й технологической стадии строительства
ik-го объекта в рассматриваемом порядке, то можно записать следующее рекуррентное соотношение:

(1)
Для использования рекуррентного соотношения (1) необходимо при помощи процедуры Pечт выбрать вектор порядка V[i], при 0 <= V[i] <= n, которому строго соответствует порядок объектов соответствующего потока.
При выбранной последовательности возведения объектов время окончания j-й технологической стадии потока, состоящего из одного объекта:

(2)
где j = 1, 2, 3, ..., r.
Время окончания первой технологической стадии потока, состоящего из (k + 1)-го объекта

(3)
где k = 1, 2, 3, ..., n - 1.
Формулы (1),
(2) и
(3) позволяют для выбранной последовательности сооружения объектов (вычислить время окончания каждой технологической стадии строительства и окончания всего потока. Затем определяются продолжительности строительства каждого объекта, входящего в поток.
Продолжительность строительства первого объекта, входящего в поток, равна сумме продолжительностей выполнения каждой технологической стадии или же времени окончания потока, состоящего из одного рассматриваемого объекта:

(4)
где T1 - продолжительность строительства первого объекта потока.
Учитывая, что окончания каждой технологической стадии потока, состоящего из k объектов, совпадает со временем окончания каждой технологической стадии k-го объекта потока, продолжительность строительства k-го объекта равна разности времени окончания всего потока, состоящего из k объектов, и времени начала первой технологической стадии k-го объекта.

(5)
Время начала первой технологической стадии
k-го объекта равно времени окончания первой технологической стадии
k - 1 объекта того же потока, определяемой по
формуле (3).
Рекуррентная
зависимость (5) позволяет начиная с
T1 последовательно вычислять
T2,
T3,
T4, ...,
Tk и т.д.
Организационные перерывы в каждом объекте определяются разностью между продолжительностью строительства этого объекта и суммой продолжительностей выполнения всех технологических стадий на этом объекте:

(6)
где

- организационный перерыв в строительстве
k-го объекта.
Суммарная продолжительность организационных перерывов определяется

(7)
Перерывы специализированного потока равны разности между продолжительностью j-й технологической стадии всего потока и суммой продолжительностей j-й технологической стадии каждого объекта, входящего в поток;
| | ИС МЕГАНОРМ: примечание. Формула дана в соответствии с официальным текстом документа. | |

(8)
где

- продолжительность строительства
j-й технологической стадии потока;

- перерыв специализированного потока, выполняющего
j-ю технологическую стадию строительства;

- разность между временем окончания
j-й технологической стадии строительства потока и началом этой стадии

(9)
где время окончания технологической стадии строительства всего потока

определяется на основании рекуррентных
зависимостей (1),
(2) и
(3).

- начало
j-й технологической стадии потока, которое определяется следующим образом.
Учитывая, что начало j-й технологической стадии рассматриваемого потока совпадает с началом j-й технологической стадии первого объекта, входящего в поток, начало j-й технологической стадии первого объекта определим по рис. 7.
Рис. 7. График строительства первого объекта
Если начало первой технологической стадии равно 0, начало второй равно t11, начало третьей равно t11 + t12 и т.д., то

(10)

(11)
Для получения величины суммарного перерыва специализированных потоков просуммируем перерывы для всех технологических стадий

(12)
где Tn - суммарный перерыв специализированных потоков.
ПО ОПРЕДЕЛЕНИЮ ОПТИМАЛЬНОЙ ПОСЛЕДОВАТЕЛЬНОСТИ СТРОИТЕЛЬСТВА
ПРОМЫШЛЕННЫХ ОБЪЕКТОВ
К ПРОГРАММЕ ПО ОПРЕДЕЛЕНИЮ ОПТИМАЛЬНОЙ ПОСЛЕДОВАТЕЛЬНОСТИ
СТРОИТЕЛЬСТВА ПРОМЫШЛЕННЫХ ОБЪЕКТОВ
Рабочая программа, составленная транслятором ТАМ-22, настроена на следующее распределение оперативной памяти (начиная с ячейки 0020):
1) рабочие ячейки;
2) фиксированная память (под величины, локализованные в блоках и процедурах);
3) константы программы (записываются транслятором);
4) числа;
5) непривязанные к интерпретирующей программе стандартные подпрограммы (расставляются транслятором);
6) рабочая программа;
7) динамическая память (для компонента массивов);
8) интерпретирующая программа и ее рабочее поле.
Началом рабочего поля является адрес 17000 второго блока МОЗУ.
Повторный пусковой адрес рабочей программы может быть использован для счета по рабочей программе без повторного ее ввода в память, например для счета с различными вариантами исходных данных.
Первоначальным пусковым адресом является всегда 0010.
Правила пользования рабочей программой:
ввести перфоленту с рабочей программой вводом "Цифровой" (на сумматоре контрольная сумма - 777 7777 7777);
поставить перфоленту с исходными данными;
включить устройство ввода;
включить вывод на БПМ;
нажать пуск на автомате (первый просчет) или передать управление в ячейку 100в (при повторном просчете).
Во всех случаях использования рабочей программы на ЛПМО должна находиться копия транслятора ТАМ-22.
Контрольный пример
В качестве контрольного примера была рассчитана следующая задача.
Пусть задана матрица A.
A = | 60 | 50 | 50 | 60 | N, |
80 | 70 | 120 | 80 |
100 | 160 | 130 | 90 |
M |
где N = 3; M = 4.
Информация транслятора и решение приводятся ниже.
Исходные данные записываются и перфорируются в следующем виде:
а) M и N одним массивом в границах ввода в виде целых чисел с фиксированной запятой;
б) матрица A в виде чисел с плавающей запятой;
в) начальный вектор порядка в виде чисел с фиксированной запятой, табл. 9.
Таблица 9
Начальный вектор порядка чисел с фиксированной запятой
ДонУГИ | Вычислительный центр |
Шифр задачи | знак | Л. N | Пл. N | Мл. N |
N ячейки МОЗУ | шифр | число | пояснение |
0 | "10" | | Граница | |
1 | | | | |
2 | | + | 3 | |
3 | | + | 4 | |
4 | | | | |
5 | | | Граница | |
6 | | | | |
7 | | | | |
0 | | | Граница | |
1 | "10" | | | |
2 | | + | 600000002 | |
3 | | + | 500000002 | |
4 | | + | 500000002 | |
5 | | + | 600000002 | |
6 | | + | 220000003 | |
7 | | + | 800000002 | |
0 | | + | 700000002 | |
1 | | + | 120000003 | |
2 | | + | 800000002 | |
3 | | + | 350000003 | |
4 | | + | 100000003 | |
5 | | + | 160000003 | |
6 | | + | 130000003 | |
7 | | + | 900000002 | |
0 | | + | 480000003 | |
1 | | + | 240000003 | |
2 | | + | 280000003 | |
3 | | + | 300000003 | |
4 | | + | 230000003 | |
5 | | + | 105000004 | |
6 | | | Граница | |
7 | | | | |
0 | | | | |
1 | | | | |
2 | | | | |
3 | | | | |
4 | | | | |
В табл. 10 представлены информация к рабочей программе и результаты просчета вариантов последовательности.
Таблица 10
Информация к рабочей программе
Результаты просчета вариантов последовательности |
+6000000+02 | +2200000+03 | +4800000+03 | +3500000+03 | +4800000+03 | +2800000+03 |
+4999999+02 | +3500000+03 | +6600000+03 | +5700000+03 | +6799999+03 | +6900000+03 |
+4999999+02 | +4800000+03 | +8500000+03 | +5599999+03 | +8600000+03 | +8500000+03 |
+5000000+02 | +6099999+03 | +8800000+03 | +5199999+03 | + 5 | +8699999+03 |
+2199999+03 | +5199999+03 | + 3 | +4900000+03 | + 2 | + 2 |
+8000000+02 | +5099999+03 | + 2 | +4800000+03 | + 4 | + 4 |
+5999999+02 | +6700000+03 | + 1 | +9500000+03 | + 1 | + 1 |
+1199999+03 | +5800000+03 | + 4 | +3700000+03 | + 3 | + 3 |
+8000000+0 | +4800000+03 | + 5 | + 5 | + 6 | + 5 |
+3500000+03 | +6999999+03 | + 6 | + 1 | +1799999+03 | + 6 |
+9999999+02 | +8600000+03 | +4800000+03 | + 2 | +3500000+03 | +3500000+03 |
+1000000+03 | +8899999+03 | +4900000+03 | + 4 | +5700000+03 | +5700000+03 |
+1300000+03 | + 2 | +4899999+03 | + 3 | +5099999+03 | +5099999+03 |
+8999999+02 | + 3 | +5899999+03 | + 6 | +5500000+03 | +5500000+03 |
+4799999+03 | + 1 | +5000000+03 | +1799999+03 | +4699999+03 | +4800000+03 |
+1199999+03 | + 4 | +4900000+03 | +2300000+03 | +6100000+03 | +4800000+03 |
+1799999+03 | + 5 | +1000000+04 | +3500000+03 | +5500000+03 | +9200000+03 |
+1600000+03 | + 6 | +1000000+03 | +5700000+03 | +4800000+03 | +3700000+03 |
+1099999+03 | +3500000+03 | +4800000+03 | +5599999+03 | +6799999+03 | +4800000+03 |
+5699999+03 | +4800000+03 | +6600000+03 | +4800000+03 | +8000000+03 | +8900000+03 |
+2999999+02 | +4400000+03 | +8500000+02 | +3500000+03 | +8600000+03 | +8100000+03 |
+3999999+02 | +6000000+03 | +8800000+03 | +5800000+03 | + 2 | +8699999+03 |
+8000000+0 | +5099999+03 | + 3 | +4800000+03 | + 5 | + 1 |
+2999999+02 | +5000000+03 | + 1 | +6799999+03 | + 4 | + 5 |
+1799999+03 | +8600000+03 | + 4 | +8000000+03 | + 1 | + |
+8999999+02 | +3800000+03 | + 5 | +8600000+03 | + 3 | + 4 |
+6000000+0 | +4800000+03 | + 6 | + 5 | + 6 | + 3 |
+4999999+02 | +6600000+03 | +4800000+03 | + 2 | +3500000+03 | + 6 |
+1999999+02 | +8500000+03 | +4400000+03 | + 4 | +3000000+03 | +2200000+03 |
+2199999+03 | +8899999+03 | +4800000+03 | + 1 | +5700000+03 | +2099999+03 |
+4799999+03 | + 3 | +5899999+03 | + 3 | +5099999+03 | +3500000+03 |
+5599999+03 | + 2 | +5000000+03 | + 6 | +5500000+03 | +5700000+03 |
+5899999+03 | + 4 | +4900000+03 | +1799999+03 | +4699999+03 | +5599999+03 |
+3900000+03 | + 5 | +9600000+03 | +3500000+03 | +7300000+03 | +4800000+03 |
+2019999+04 | + 1 | +1000000+03 | +5700000+03 | +3000000+03 | +3700000+03 |
+ 5 | + 6 | +4800000+03 | +5099999+03 | | +5000000+03 |
+ 4 | +4800000+03 | +6900000+03 | +5500000+03 | | +4800000+03 |
+4800000+03 | +4900000+03 | +8500000+03 | +4699999+03 | | +6900000+03 |
+6799999+03 | +6000000+03 | +8699999+03 | +6100000+03 | | +8100000+03 |
+8699999+03 | +5099999+03 | + 2 | +5500000+03 | | +8699999+03 |
+8999999+03 | +5399999+03 | + 4 | | | |
+ 1 | +5000000+03 | + 3 | | | |
+ 2 | +1100000+04 | + 1 | | | |
+ 3 | +1100000+03 | + 5 | | | |
+ 4 | | + 6 | | | |
+ 5 | | | | | |
+ 6 | | | | | |
ПО ОПРЕДЕЛЕНИЮ ПРОДОЛЖИТЕЛЬНОСТИ СТРОИТЕЛЬСТВА
ШАХТЫ ПО НОРМАТИВАМ НА ГОРНОПРОХОДЧЕСКИЕ РАБОТЫ
РАСПРЕДЕЛЕНИЕ ПАМЯТИ В МОЗУ-2
АДРЕС ПЕРЕМЕННОЙ Н БЛОКА | 000-7777 |
АДРЕС ПЕРЕМЕННОЙ И БЛОКА | 000-7776 |
АДРЕС ПЕРЕМЕННОЙ И БЛОКА | 000-7775 |
АДРЕС ПЕРЕМЕННОЙ К БЛОКА | 000-7774 |
АДРЕС ПЕРЕМЕННОЙ Л БЛОКА | 000-7773 |
АДРЕС ПЕРЕМЕННОЙ Д БЛОКА | 001 - В ЯЧЕЙКЕ 7772 |
АДРЕС ПЕРЕМЕННОЙ Т БЛОКА | 001-7766 |
К АЛГОРИТМУ ПО ОПРЕДЕЛЕНИЮ ПРОДОЛЖИТЕЛЬНОСТИ СТРОИТЕЛЬСТВА
ШАХТЫ ПО НОРМАТИВАМ НА ГОРНОПРОХОДЧЕСКИЕ РАБОТЫ
Для исследования функции времени строительства шахты была составлена программа на языке АЛГЭМ. Исследование проводилось не методом сплошного перебора всех возможных вариантов (так как их очень большое число), а вычислением функции времени для наиболее интересных с точки зрения практики вариантов строительства.
Программа транслировалась на ЭВМ "Минск-22" транслятором СТ-3.
Время трансляции - 5 мин.
В результате трансляции созданная в системе команд рабочая программа выдана на перфоленту и распечатана на ТБПМ.
Для счета по программе необходимо:
Монтажную ленту с транслятором и СТ-3 и БСП поставить на ЛПМ-2.
Поставить перфоленту с рабочей программой на фотоввод.
Сделать общее гашение. Включить фотоввод и нажать кнопку "ввод цифровой".
Если контрольная сумма на сумматоре будет 7777 7777 7777, то поставить на фотоввод перфоленту с исходными данными.
Выполнить пуск в режиме "Автомат" с адреса 7727.
Конец работы программы "Останов. счет" 7771.
При всех других остановках по команде "смотри" список остановок БСП СТ-3 в инструкции к транслятору СТ-3.
Правила подготовки и перфорации исходных данных
Данные по варианту, заданные в виде отношений двух чисел, записываются двумя строками, по 25 чисел в каждой.
В первой строке записываются числители, а во второй - знаменатели. При нулевой информации в соответствующей графе числитель и знаменатель равны нулю. Перфорация производится построчно слева направо.
Целые числа перфорируются так:
знак - числовая часть - запись;
вещественные числа:
знак - целая часть - запятая - дробная часть - запись.
Ноль перфорируется последовательно друг за другом и заключается в общие границы ввода.
Перед массивом с вариантами перфорируется ввод - число вариантов (в виде целого числа).
Если количество чисел в массиве больше 1024, то вся информация разбивается на части по 1024 числа в каждой.
ОПИСАНИЕ АЛГОРИТМА РАСПРЕДЕЛЕНИЯ КАПИТАЛЬНЫХ ВЛОЖЕНИЙ
ПО ПЕРИОДАМ СТРОИТЕЛЬСТВА
(В ПРОЦЕНТАХ)
I
В качестве исходной рассматриваем таблицу значений капвложений (в тыс. руб.) по каждому варианту строительства по периодам (в мес). Число строк таблицы равно длительности в месяцах максимального по продолжительности варианта строительства.
Если продолжительность некоторого варианта меньше длительности максимального по продолжительности варианта, то на место несуществующего элемента таблицы ставится ноль (вместо прочерка).
Исходная табл. 11 представлена в
приложении 6. Обозначим ее через
A. Элемент, расположенный на пересечении
i-й строки и
j-го столбца, - через
Aij.
Таблица 11
Схемы и варианты строительства
Месяцы | I схема по вариантам | II схема по вариантам | III схема по вариантам | IV схема по вариантам |
1 | 2 | 3 | 1 | 2 | 1 | 2 | 3 | 1 |
1 | 11,3 | 11,3 | 11,3 | 11 | 11 | 11 | 11 | 11 | 11,3 |
2 | 19,3 | 19,3 | 19,3 | 20 | 20 | 20 | 20 | 20 | 19,3 |
3 | 25,7 | 25,3 | 23,7 | 25,3 | 25,3 | 25 | 25 | 25 | 23,7 |
4 | 138 | 223 | 252 | 279 | 285,8 | 230 | 268 | 286 | 184 |
5 | 218,5 | 175 | 201 | 257 | 241,2 | 163 | 135 | 343 | 243,2 |
6 | 260 | 319 | 303 | 353 | 284,3 | 335 | 220 | 428 | 274,7 |
7 | 335,5 | 404 | 356 | 481,6 | 382,4 | 573 | 347 | 631 | 255 |
8 | 345 | 406 | 381 | 440,5 | 498,6 | 808 | 262 | 703 | 250,6 |
9 | 363 | 477 | 379 | 407 | 582,5 | 889 | 278 | 688 | 257,3 |
10 | 395 | 547 | 576 | 380 | 606,6 | 768 | 219 | 361 | 195,2 |
11 | 568 | 569 | 567 | 447 | 480,1 | 574 | 223 | 366 | 195,2 |
12 | 567 | 680 | 564 | 383 | 400,1 | 188 | 220 | 190 | 195,2 |
13 | 602 | 632 | 548 | 381 | 430,1 | 218 | 220 | 221 | 195,2 |
14 | 556 | 562 | 532 | 442 | 420,2 | 186 | 221 | 229 | 205,2 |
15 | 545 | 264 | 462 | 422 | 328,2 | 212 | 236 | 240 | 211,2 |
16 | 438 | 262 | 318 | 352 | 327,2 | 199 | 268 | 259 | 221,2 |
17 | 280 | 259 | 286 | 353 | 290,2 | 199 | 297 | 268 | 269,2 |
18 | 194 | 194 | 194 | 247 | 198,7 | 207 | 368 | 294 | 294,2 |
19 | 194 | 194 | 194 | 235 | 211 | 216 | 466 | 312 | 327,2 |
20 | 194 | 194 | 194 | 229,5 | 222 | 214 | 623 | 354 | 401,2 |
21 | 195 | 200 | 195 | 207 | 227 | 217 | 747 | 394 | 455,2 |
22 | 221,4 | 228 | 220 | 237 | 255,6 | 238 | 797 | 435 | 495,2 |
23 | 261 | 267 | 260 | 268 | 327,6 | 270 | 840 | 493 | 521,6 |
24 | 271 | 270 | 271 | 273 | 318,6 | 277 | 827 | 526 | 619,5 |
25 | 285 | 285 | 284 | 289 | 328,4 | 285 | 458 | 556 | 404,6 |
26 | 284 | 284 | 283 | 295 | 305,5 | 332 | 477 | 530 | 316 |
27 | 280 | 284 | 279 | 306 | 291,4 | 318 | 481 | 428 | 279,7 |
28 | 267 | 270 | 266 | 314 | 281,5 | 312 | 416 | 415 | 350,8 |
29 | 263 | 274 | 262 | 305 | 292,7 | 295 | 404 | 299 | 381,3 |
30 | 258 | 235 | 237 | 290 | 245,2 | 288 | 298 | 304 | 390,8 |
31 | 257 | 253 | 256 | 284 | 288,9 | 308 | 312 | 318 | 407,8 |
32 | 256 | 258 | 256 | 225 | 313,8 | 332 | 318 | 317 | 447,8 |
33 | 254 | 280 | 263 | 269 | 337,8 | 347 | 317 | 321 | 427,8 |
34 | 253 | 345 | 284 | 291,6 | 351,8 | 364 | 324 | 324 | 416,8 |
35 | 260 | 306 | 291 | 310 | 368,8 | 370 | 345 | 354 | 405,3 |
36 | 228 | 272 | 269 | 327 | 396,8 | 369 | 384 | 380 | 373,1 |
37 | 299 | 315 | 299 | 366 | 436,9 | 431 | 395 | 395 | 353,9 |
38 | 324 | 320 | 314 | 394 | 460,9 | 494 | 387 | 382 | 365,1 |
39 | 334 | 334 | 334 | 442 | 500,9 | 504 | 346 | 318 | 329,9 |
40 | 339 | 338 | 339 | 434 | 578,9 | 553 | 270 | 339 | 435,4 |
41 | 349 | 357 | 349 | 469 | 380,0 | 415 | 339 | 339 | 513,8 |
42 | 349 | 377 | 348 | 589 | 363,5 | 374 | 339 | 339 | 435,9 |
43 | 369 | 416 | 359 | 433 | 359,9 | 338 | 339 | 339 | 414,4 |
44 | 396 | 434 | 386 | 409,4 | 356,4 | 356 | 357 | 357 | 448,4 |
45 | 443 | 445 | 443 | 370 | 370,4 | 372 | 373 | 373 | 451,4 |
46 | 430 | 539 | 434 | 373 | 373,4 | 376 | 377 | 377 | 439,4 |
47 | 464 | 350 | 343 | 368 | 368,3 | 371 | 372 | 372 | 513 |
48 | 305 | 340 | 397 | 432,4 | 432 | 434 | 434 | 434 | 543,2 |
49 | 380 | 380 | 380 | 380 | 380 | 380 | 381 | 381 | 541,4 |
50 | 380 | 380 | 380 | 380 | 380 | 380 | 381 | 389 | 588,3 |
51 | 380 | 380 | 380 | 380 | 380 | 380 | 398 | 398 | 559,3 |
52 | 380 | 380 | 380 | 380 | 380 | 380 | 399 | 390 | 503,6 |
53 | 380 | 380 | 380 | 380 | 388,7 | 380 | 390 | 391 | 393,8 |
54 | 380 | 380 | 380 | 380 | 396,7 | 395 | 390 | 393 | 397,8 |
55 | 298 | 298 | 298 | 307 | 307,5 | 307 | 320 | 320 | 397,8 |
56 | 217 | 225 | 217 | 233 | 225,8 | 228 | 237 | 72 | 148,5 |
57 | 217 | 235 | 227 | 226 | 226,6 | 228 | 0 | 0 | 0 |
58 | 218 | 226 | 234 | 226 | 232,2 | 237 | 0 | 0 | 0 |
59 | 235 | 228 | 216 | 227 | 71,9 | 131 | 0 | 0 | 0 |
60 | 235 | 236 | 244 | 236,8 | 0 | 0 | 0 | 0 | 0 |
61 | 226 | 234 | 245 | 72 | 0 | 0 | 0 | 0 | 0 |
62 | 236 | 63 | 227 | 0 | 0 | 0 | 0 | 0 | 0 |
63 | 236 | 0 | 65 | 0 | 0 | 0 | 0 | 0 | 0 |
64 | 224 | 0 | 0 | 0 | 0 | 0 | 0 | 0 | 0 |
m = 10, n = 64
II
В первом столбце располагаем интервалы значений продолжительности строительства x. Выражаем каждый элемент первого столбца в процентах от длительности максимального по продолжительности варианта по формуле
где N - число строк таблицы.
Каждый элемент первого столбца заменяем центрами реальных интервалов значений X, получаемых как среднеарифметическое между граничными значениями. Так, например, для границ реальных интервалов 0 и 1,56% центр интервала равен
для границ 1,56 и 3,12%
Каждый элемент столбцов начиная со второго выражаем в процентах от общей суммы капиталовложений соответствующего варианта по формуле
где M - число различных вариантов строительства.
Заполненная таким образом таблица выдается на узкую печать для контроля.
Вторая часть задачи заключается в построении таблицы Д зависимости усредненных значений капитальных вложений от центра реальных интервалов продолжительности строительства (в процентах).
Таблица
Д состоит из двух столбцов

, количество строк равно числу строк таблицы
А. В первый столбец таблицы
Д переносим элементы первого столбца таблицы
А в том же порядке. Элементы второго столбца вычисляются по формуле
где Ni - число ненулевых элементов i-й строки начиная со второго столбца.
Функция усредненных значений капитальных вложений от центров реальных интервалов продолжительности строительства представляет собой сложную зависимость, в связи с чем возникают определенные трудности при подборе теоретической аппроксимирующей функции с достаточно высокой теснотой связи и критерием надежности корреляционного отношения.
Для каждого из установленных периодов строительства шахты методом наименьших квадратов подбирается аппроксимирующее уравнение параболического типа.
ПО РАСПРЕДЕЛЕНИЮ КАПИТАЛЬНЫХ ВЛОЖЕНИЙ ПРИ СТРОИТЕЛЬСТВЕ ШАХТ
К ПРОГРАММЕ ПО РАСПРЕДЕЛЕНИЮ КАПИТАЛЬНЫХ ВЛОЖЕНИЙ
ПРИ СТРОИТЕЛЬСТВЕ ШАХТЫ
Инструкция к программе по распределению капитальных вложений и правила пользования ею аналогичны инструкции к программе по определению оптимальной последовательности строительства промышленных объектов.
Примечание. При пользовании рабочей программой п. 5 читать: "нажать пуск на автомат (первый просчет) или передать управление в ячейку 1360 (при повторном пересчете)".
В качестве контрольного примера была просчитана следующая задача:
N п.п. | Схемы и варианты строительства |
1-я схема |
I вариант | II вариант | III вариант |
| 1 | 11,3 | | 10 | 12 |
| 2 | 25,7 | | 22 | 24 |
N | 3 | 40,5 | | 45 | 39 |
| 4 | 15,6 | | 0 | 14,5 |
| 5 | 10,0 | M | 0 | 0 |
где N = 5; M = 3.
Запись исходной информации и информация к рабочей программе приведены в табл. 12,
13. Решения программы даны в
таблицах 14,
15. Исходные данные записываются и перфорируются в следующем виде:
Таблица 12
Запись исходной информации на бланке
ДонУГИ | Вычислительный центр |
Шифр задачи | Л. N | Мл. N |
N ячейки МОЗУ | знак | граница | пояснение |
0 | + | 4 | M |
1 | | 5 | |
2 | | | |
3 | | | |
4 | | Граница | |
5 | | | |
6 | | | |
7 | | Граница | |
0 | + | 1000 0000 1 | |
1 | | 1130 0000 2 | |
2 | | 1000 0000 1 | |
3 | | 1200 0000 2 | |
4 | | 2000 0000 1 | |
5 | | 2570 0000 2 | |
6 | | 2200 0000 2 | |
7 | | 2400 0000 2 | |
0 | | 3000 0000 1 | |
1 | | 4050 0000 2 | |
2 | | 4500 0000 2 | |
3 | | 3900 0000 2 | |
4 | | 4000 0000 1 | |
5 | | 1560 0000 2 | |
6 | | 0 | |
7 | | 1450 0000 2 | |
0 | | 5000 0000 1 | |
1 | | 1000 0000 2 | |
2 | | 0 | |
3 | | 0 | |
Таблица 13
Информация к рабочей программе
Граница | Пояснение |
+0014 | |
+002000008000 | Начальный адрес рабочего поля |
+0000000000137 | Начальный адрес рабочей программы |
+0000000001370 +0002000007223 | Повторный пусковой адрес рабочей программы |
- | Предельный адрес рабочего поля |
+ 5 | Количество строк N таблицы A |
+ 4 | Количество столбцов M таблицы A |
+9999999+00 +1129999+02 +9999999+01 | |
+1199999+02 | Массив A 11:M, 1:M1 |
+1999999+01 +2569999+02 +2199999+02 +2390000+02 +2999999+01 +4049999+02 +4499999+02 +3900000+02 +3999999+01 +1559999+02 +0000000+00 +1449999+02 +4999999+01 +9999999+01 +0000000+00 +0000000+00 | Таблица значений капитальных вложений (в тыс. руб.) по каждому варианту строительства по периодам (в мес), записанная в лексикографическом порядке |
Таблица 14
Значение капитальных вложений по вариантам в строительстве
Граница | Пояснение |
+1000000+02 +1096023+02 +1298701+02 +1340782+02 +3000000+02 +2492725+02 +2857142+02 +2681584+02 +5000000+02 +3928225+02 +5844155+02 +4357541+02 +6999999+02 +1513094+02 +0000000+00 +1620111+02 +8999999+02 +9699320+01 +0000000+00 +0000000+00 | Таблица значений капитальных вложений (в процентах) по каждому варианту строительства по периодам (в процентах), записанная в лексикографическом порядке |
Таблица 15
Значение усредненных капитальных вложений
Граница | Пояснение |
+1000000+02 +1245168+02 | Массив ДН: N 1:21 |
+3000000+02 +2677144+02 +5000000+02 +4709974+02 +6999999+02 +1566602+02 +8999999+02 +9699320+02 | Таблица зависимости усредненных значений капитальных вложений (в процентах) от центров реальных интервалов продолжительности строительства (в процентах) |
а) M и N одним массивом в границах ввода в виде целых чисел с фиксированной запятой;
б) матрица A - в виде чисел с плавающей запятой.
ОПИСАНИЕ АЛГОРИТМА ПО ОПРЕДЕЛЕНИЮ ПРИВЕДЕННЫХ ЗАТРАТ
Приведенные затраты вычисляются по формуле
где Пk - приведенные затраты k-го варианта;
K = 1, 2, ..., M (M - количество рассматриваемых вариантов);
Cпост - сметная стоимость в руб. постоянных зданий и сооружений шахтной поверхности;

- изменение себестоимости строительно-монтажных работ
k-го варианта по сравнению с первым вариантом (эталонным);

- дополнительные затраты по устройству временных и эксплуатации постоянных зданий и сооружений в период строительства в
k-м варианте;
N - количество применяемых механизмов;
Фi - капитальные вложения в i-й механизм, i = 1, 2, ..., N задается числовым массивом размерностью N;

- продолжительность использования
i-го механизма в
k-м варианте,
i = 1, 2, ...,
N;

- экономический эффект от изменения размеров отвлечения капитальных вложений в незавершенное строительство в
k-м варианте,

вычисляется по формуле
где

- величина ущерба в результате отвлечения капитальных вложений из народнохозяйственного оборота
k-го варианта;

- величина сокращения ущерба от отвлечения капитальных вложений в связи с "размораживанием" капитальных вложений по объектам, введенным во временную эксплуатацию
k-го варианта,

определяется по формуле
где Fki - величина капитальных вложений в строительство шахтной поверхности в i-м месяце k-го варианта; задается числовым массивом размерностью M x R1.
где
Uk = R1 = entier(maxTk + 0,6).
Примечание: entier (a) означает: взять целую часть от "a", Tk - продолжительность строительства шахты в месяцах в k-м варианте, задается массивом чисел размерностью M.
если Gk = 3,
где
ti - временные характеристики строительства шахты и поверхности (
i = 1, 2, 3, ..., 12, 13) (см.
схемы 1,
2,
3).
Задается массивом чисел размерностью 13;
Gk - номер схемы k-го варианта, задается массивом чисел размерностью M;
- величина капитальных вложений в руб. в
n-й объект
G-й схемы, задается массивом чисел размерностью 41 x 3.

определяется по формуле
если Gk = 3,
где

- сметная стоимость строительно-монтажных работ по титульным временным зданиям и сооружениям с учетом возвратных сумм при их ликвидации в руб.
Gk-й схемы, задается массивом чисел размерности 3.

вычисляется по формуле
| | ИС МЕГАНОРМ: примечание. Формула дана в соответствии с официальным текстом документа. | |
где A'n(2G-1) - сметная стоимость строительно-монтажных работ n-го объекта Gk-й схемы;

- сметная стоимость оборудования
n-го объекта шахтной поверхности
Gk-й схемы;
A' - задается числовым массивом размерностью 41 x 6, где на нечетных столбцах задаются сметные стоимости строительно-монтажных работ, а на четных - сметная стоимость оборудования;

- годовая норма амортизационных отчислений от сметной стоимости оборудования
n-го объекта шахтной поверхности
k-й схемы, задается массивом чисел размерностью 41 x 3.

- вычисляется по формуле
где Tkl - продолжительность использования l-го механизма в k-м варианте, задается массивом чисел размерностью M x N;

- директивная норма использования
l-го механизма в году, задается массивом чисел размерностью
N;

определяется по формуле
где

- изменение себестоимости строительно-монтажных работ за счет использования различных комплектов строительных машин и механизмов и различной продолжительности их использования в первом (эталонном) и
k-м вариантах;

- изменение величины условно-переменной части накладных расходов, зависящей от численности рабочих в первом (эталонном) и
k-м вариантах;

- изменение величины условно-постоянной части накладных расходов, зависящей от сокращения (увеличения) сроков строительства в
k-м варианте относительно первого (эталонного) варианта.

определяется по формуле
где C'k - эксплуатационные затраты на строительные машины в k-м варианте;
C'1 - эксплуатационные затраты на строительные машины в первом (эталонном) варианте;
C'k определяется по формуле
где

- годовые затраты
l-й машины в расчете на 1 машино-смену задаются массивом чисел размерностью
N;
- сменные эксплуатационные затраты
l-й машины задаются массивом чисел размерностью
N;

- единовременные затраты по переброске
l-й машины задаются числовым массивом размерностью
N;

- единовременные затраты по монтажу и демонтажу
l-й машины задаются числовым массивом размерностью
N;
Hkl - количество перестановок l-й машины в k-м варианте задается числовым массивом размерностью M x N;

- затраты на устройство 1-го звена подкранового пути
l-й машины задаются числовым массивом размерностью
N;
Mkl - количество звеньев подкранового пути, необходимое для работы l-й машины, в k-м варианте задается числовым массивом размерностью M x N.

определяется по формуле
где W - установленный норматив плановых накоплений;
Pki - сметная стоимость строительно-монтажных работ в i-м месяце k-го варианта задается числовым массивом размерностью M x N,
где Rentier(R' + 0,6).
Здесь R' - продолжительность строительства поверхности шахты;
Jk, J1 - сметная стоимость строительно-монтажных работ "пикового" квартала соответственно k-го и 1-го вариантов.
Jk вычисляется по формуле

определяется по формуле
где T'1, T'k - соответственно продолжительность подготовительного периода первого и k-го вариантов, задается числовым массивом размерностью M;
T"1, T"k - соответственно продолжительность основного периода первого и k-го вариантов, задается числовым массивом размерностью M.
Qk = entier(T'k + 0,6).
К ПРОГРАММЕ ПО РЕАЛИЗАЦИИ АЛГОРИТМА ВЫЧИСЛЕНИЯ
ПРИВЕДЕННЫХ ЗАТРАТ
Алгоритм описан на языке SUBSET ALCOL-60 и транслировался на ЭВМ "Минск-22с" транслятором TAM-22 (1).
Программа позволяет вычислять:
приведенные затраты по каждому варианту в руб.;
отклонения приведенных затрат каждого варианта в процентах от эталонного (1-й вариант);
расчетную себестоимость по каждому варианту в руб.;
отклонения себестоимости каждого варианта (в процентах) от эталонного;
ряд промежуточных результатов по каждому варианту, позволяющих обнаружить и устранить ошибку в исходной числовой информации, если она была допущена.
Оформление исходной числовой информации
Информация записывается на специально отпечатанных бланках и перфорируется в границах ввода в десятичной системе исчисления массивами в порядке, строго определенном настоящей инструкцией.
В первом массиве записаны числа в следующем порядке:
MI, NI, RI, R', Cпост, W, причем первые четыре значения представлены в виде целых чисел, остальные два - в форме с плавающей запятой. Ниже представлен порядок записи и соответственно вводов массивов с указанием размерности массива и в какой форме представлены числа.
{Gk} - целые числа, размерность M;
{Tk} - в форме с плавающей запятой, размерность M;
{Fki} - в форме с плавающей запятой, размерность M x R1;
{Фi} - в форме с плавающей запятой, размерность N;

- в форме с плавающей запятой, размерность
N;

- в форме с плавающей запятой, размерность
N;
{Eмд} - в форме с плавающей запятой, размерность N;

- в форме с плавающей запятой, размерность
N;
{Tkl} - в форме с плавающей запятой, размерность M x N;
{Hkl} - в форме с плавающей запятой, размерность M x N;
{Mkl} - в форме с плавающей запятой, размерность M x N;
{Pki} - в форме с плавающей запятой, размерность M(R + 1);
{ti} - в форме с плавающей запятой, размерность 13;

- в форме с плавающей запятой, размерность 3;
{AnGk} - в форме с плавающей запятой, размерность 41 x 3;

- в форме с плавающей запятой, размерность 41 x 3;
{Anj} - в форме с плавающей запятой, размерность 41 x 6.
Следует иметь в виду, что пропуск числа или запись лишнего символа в каком-то из рассмотренных массивов влечет за собой остановку программы и потерю машинного времени.
Перфорация исходной программы, внесение исправлений в исходную программу, пуск транслятора, вывод рабочей программы на перфоратор производятся в соответствии с
п. 2.3,
2.4,
2.5,
2.6,
3.1.
Правила пользования рабочей программой,
находящейся на перфоленте
1. Магнитную ленту с транслятором поставить на ЛМП-0.
2. Стереть МОЗУ. Сделать общее гашение.
3. Ввести перфоленту с рабочей программой (на сумматоре контрольная сумма - 7777 7777 7777).
4. Сделать общее гашение, занести в СЧАК 3532.
5. Поставить на устройство ввода перфоленту с исходными данными.
6. Включить ТБПМ, устройство ввода.
7. В режиме "Автомат" нажать кнопку "Пуск".
Примечание. Если число рассматриваемых вариантов превышает 12, то прежде чем оформлять исходный числовой материал, необходимо провести проверку на достаточность динамической памяти машины для решения данной задачи.
Для этой цели необходимо отперфорировать в границах ввода только первый массив и выполнить процедуры 1 - 7.
Если после печати информации на ТБПМ ЦВМ потребует ввода нового числового массива, то динамическая память машины достаточна для решения, в противном случае по второму адресу сумматора будут высвечиваться или 33, или 35, или 40. Тогда задачу следует разбить на две с включением эталонного варианта в каждую из них.
Расшифровка числовой информации, выданной на ТБПМ
Для контроля выдается числовая информация в той форме и в такой последовательности, в какой она была введена в машину.
Печатается промежуточная информация по эталонному варианту в следующей последовательности:
Номер варианта
C'1
Печатается промежуточная информация по каждому варианту в следующей последовательности:
Номер варианта
C'k

, где порядковый номер варианта
Q = entier(T'k + 0,6).
Печатаются значения расчетной себестоимости по каждому варианту в рублях, отклонения себестоимости каждого варианта от эталонного - в процентах, значения приведенных затрат по каждому варианту - в рублях, отклонения приведенных затрат каждого варианта от эталонного - в процентах, в виде массивов чисел в форме с плавающей запятой.
В приложении представлена лента с ТБПМ с выходной информацией.
ПО ОПРЕДЕЛЕНИЮ ПРИВЕДЕННЫХ ЗАТРАТ
ОБЪЕКТНОГО ПОТОКА N 1 ПО ВОЗВЕДЕНИЮ БЛОКА
ВСПОМОГАТЕЛЬНОГО СТВОЛА (БЕЗ БАШЕННОГО КОПРА)
N специализированных потоков | Наименование специализированных потоков | N частных потоков | Наименование частных потоков |
1 | Земляные работы | 1 | Механизированная разработка грунта |
2 | Доработка грунта вручную |
2 | Устройство сборных железобетонных фундаментов под здание | 1 | Устройство подготовки |
2 | Монтаж железобетонных конструкций |
3 | Устройство гидроизоляции |
3 | Устройство фундаментов под оборудование | 1 | Устройство подготовки |
2 | Установка опалубки |
3 | Установка арматуры |
4 | Укладка бетона |
5 | Распалубливание |
4 | Монтаж каркаса здания и перекрытий из сборных железобетонных элементов | 1 | Монтаж железобетонных конструкций |
2 | Сварка стыков |
3 | Заделка стыков |
5 | Такелаж технологического оборудования | 1 | Подача оборудования на этаж |
2 | Грубая установка оборудования |
6 | Монтаж стеновых панелей | 1 | Монтаж фундаментных балок и стеновых панелей |
2 | Сварка стыков |
3 | Заделка стыков |
4 | Установка оконных блоков |
7 | Устройство кровли | 1 | Устройство пароизоляции |
2 | Укладка утеплителя |
3 | Устройство цементной стяжки |
4 | Наклейка ковра |
8 | Устройство подготовки под полы | 1 | Устройство щебеночного основания |
2 | Устройство бетонной подготовки |
9 | Монтаж технологического оборудования | 1 | Установка и выверка оборудования |
2 | Монтаж деталей оборудования |
3 | Опробование |
10 | Электромонтажные работы | 1 | Установка закладных частей |
2 | Монтаж электросилового оборудования |
3 | Устройство внутреннего освещения |
11 | Внутренние отделочные работы | 1 | Устройство лесов |
2 | Отделка поверхностей под окраску |
3 | Остекление |
4 | Известковая и масляная окраска |
12 | Устройство полов | 1 | Устройство покрытия полов |
13 | Монтаж КИП и автоматики | 1 | Подготовительные работы |
2 | Монтаж и коммутация панелей |
3 | Проверка коммутации |
ОБЪЕКТНОГО ПОТОКА N 2 ПО ВОЗВЕДЕНИЮ БЛОКА
ГЛАВНОГО СТВОЛА (БЕЗ БАШЕННОГО КОПРА)
N специализированных потоков | Наименование специализированных потоков | N частных потоков | Наименование частных потоков |
1 | Земляные работы | 1 | Механизированная разработка грунта |
2 | Устройство фундаментов под здание | 1 | Доработка грунта |
2 | Устройство подготовки |
3 | Установка опалубки |
4 | Установка арматуры |
5 | Укладка бетона |
6 | Распалубливание |
3 | Устройство фундаментов под оборудование | 1 | Доработка грунта вручную |
2 | Устройство подготовки |
3 | Установка опалубки |
4 | Установка арматуры |
5 | Укладка бетона |
6 | Распалубливание |
4 | Монтаж сборного железобетонного каркаса, стеновых панелей, перекрытия и бункеров | 1 | Монтаж сборных железобетонных конструкций |
2 | Сварка стыков |
3 | Заделка стыков |
4 | Такелаж оборудования |
5 | Установка оконных блоков |
5 | Железобетонные и бетонные работы | 1 | Установка опалубки |
2 | Вязка арматуры |
3 | Укладка бетона |
4 | Распалубливание |
6 | Кирпичная кладка стен и перегородок | 1 | Устройство и разборка лесов |
2 | Кладка стен и перегородок |
3 | Установка оконных блоков |
7 | Устройство кровли | 1 | Устройство пароизоляции |
2 | Укладка утеплителя |
3 | Устройство цементной стяжки |
4 | Наклейка ковра |
8 | Монтаж технологического оборудования | 1 | Установка и выверка оборудования, крепление |
2 | Монтаж деталей оборудования |
3 | Опробование |
9 | Устройство подготовки под полы | 1 | Устройство щебеночного основания |
2 | Устройство бетонного основания |
10 | Монтаж механического оборудования | 1 | Установка, выверка и крепление |
2 | Монтаж деталей оборудования |
3 | Опробование |
11 | Монтаж санитарно-технического оборудования | 1 | Сборка трубопроводов и оборудования |
2 | Установка приборов и оборудования |
3 | Испытания приборов и оборудования |
12 | Электромонтажные работы | 1 | Установка закладных частей |
2 | Монтаж электросилового оборудования |
3 | Устройство освещения |
13 | Штукатурные и облицовочные работы | 1 | Устройство и разборка лесов |
2 | Подготовка поверхности |
3 | Оштукатуривание |
4 | Облицовка плитками |
14 | Устройство полов | 1 | Устройство покрытия |
2 | Отделка поверхности |
15 | Монтаж КИП и автоматики | 1 | Подготовительные работы |
2 | Монтаж и коммутация стендов |
3 | Проверка коммутации |
16 | Малярные работы | 1 | Устройство и разборка лесов |
2 | Остекление |
3 | Окраска водными составами |
4 | Масляная окраска |
ОБЪЕКТНОГО ПОТОКА N 3 ПО ВОЗВЕДЕНИЮ
АДМИНИСТРАТИВНО-БЫТОВОГО КОМБИНАТА
N специализированных потоков | Наименование специализированных потоков | N частных потоков | Наименование частных потоков |
1 | Земляные работы | 1 | Механизированная разработка грунта |
2 | Устройство монолитных железобетонных фундаментов и стен каналов | 1 | Доработка грунта вручную |
2 | Установка опалубки |
3 | Установка арматуры |
4 | Укладка бетона |
5 | Распалубливание |
3 | Обратная засыпка пазух | 1 | Гидроизоляция фундаментов |
2 | Обратная засыпка с уплотнением |
4 | Монтаж сборного железобетонного каркаса, кладка кирпичных стен | 1 | Монтаж сборных железобетонных конструкций |
2 | Сварка стыков |
3 | Заделка стыков |
4 | Устройство и разборка лесов |
5 | Кладка кирпичных стен |
5 | Устройство шлакобетонной подготовки | 1 | Укладка утеплителя |
2 | Укладка шлакобетона |
6 | Устройство железобетонных диафрагм жесткости | 1 | Установка опалубки |
2 | Установка арматуры |
3 | Укладка бетона |
4 | Распалубливание |
7 | Устройство шлакобетонной подготовки | 1 | Укладка утеплителя |
2 | Укладка шлакобетона |
8 | Устройство кровли | 1 | Укладка утеплителя |
2 | Устройство асфальтовой стяжки |
3 | Устройство рубероидного ковра |
9 | Устройство кирпичных перегородок | 1 | Устройство подмостей |
2 | Кирпичная кладка |
10 | Санитарно-технические работы | 1 | Сборка трубопроводов и оборудования |
2 | Установка приборов и арматуры |
3 | Испытание трубопроводов и оборудования |
11 | Электромонтажные работы | 1 | Установка закладных частей |
2 | Монтаж электросилового оборудования |
3 | Устройство электросилового оборудования |
12 | Штукатурные и облицовочные работы | 1 | Устройство подмостей |
2 | Подготовка поверхности |
3 | Оштукатуривание |
4 | Облицовка плитками |
13 | Малярные работы | 1 | Устройство подмостей |
2 | Окраска водными составами |
3 | Окраска масляная |