Главная // Актуальные документы // ИнструкцияСПРАВКА
Источник публикации
Документ опубликован не был
Примечание к документу
Взамен РД 31.74.08-85.
Название документа
"РД 31.74.08-94. Техническая инструкция по производству морских дноуглубительных работ"
(утв. Минтрансом России 19.12.1994)
"РД 31.74.08-94. Техническая инструкция по производству морских дноуглубительных работ"
(утв. Минтрансом России 19.12.1994)
Заместитель директора
Департамента морского транспорта
Б.С.ГРИШИН
19 декабря 1994 года
Согласовано
Начальник отдела
инвестиционной политики ДМТ
А.Н.СОЛОВЬЕВ
16 декабря 1994 года
Срок введения в действие
установлен с 1 января 1995 года
ТЕХНИЧЕСКАЯ ИНСТРУКЦИЯ
ПО ПРОИЗВОДСТВУ МОРСКИХ ДНОУГЛУБИТЕЛЬНЫХ РАБОТ
РД 31.74.08-94
Разработана Ростовским Центральным проектно-конструкторским бюро "Стапель":
Директор бюро А.В. Святенко
Руководитель разработки К.П. Кобец
Ответственный исполнитель К.П. Кобец.
Согласована:
Северо-Каспийское морское пароходство
Начальник Управления морских путей и дноуглубительных работ Н.Д. Абакшин
Северное морское пароходство
Начальник службы портового хозяйства и морских путей В.П. Шошин
Балтийское морское пароходство
Председатель АО "С.-Петербург. Морской путь" Н.С. Стаканов.
Взамен РД 31.74.08-85.
Настоящий Руководящий документ (РД) устанавливает требования к организации и технологии дноуглубительных работ.
РД является обязательным для предприятий и организаций морского транспорта, организующих и выполняющих дноуглубительные работы, разрабатывающих проекты производства дноуглубительных работ, экипажей судов дноуглубительного флота и администрации соответствующих служб, осуществляющих планирование и организацию дноуглубительных работ.
РД может быть использован в родственных организациях на предприятиях других ведомств.
1. ОРГАНИЗАЦИЯ РАБОТЫ ДНОУГЛУБИТЕЛЬНОГО ФЛОТА
1.1. Классификация дноуглубительного флота
1.1.1. Все технические средства дноуглубления распределяются по классам:
1. Самоотвозные трюмные рефулерные землесосы.
2. Якорные рефулерные землесосы.
3. Землесосы самоходные с подвесным рефулерным грунтопроводом (транзитные землесосы).
4. Грейферные земснаряды.
5. Одночерпаковые земснаряды.
6. Многочерпаковые земснаряды.
7. Скреперные самоотвозные земснаряды.
8. Грунтоотвозные шаланды.
9. Морские завозные краны (мотозавозни).
Все вышеперечисленные суда составляют основное ядро дноуглубительного флота. Обслуживание основного ядра осуществляется служебно-вспомогательными судами (буксировщики, бункеровщики, сборщики мусора, пассажирские катера, плавкраны и т.д.).
1.1.2. В каждом классе производится распределение судов по типам.
1.1.2.1. Тип самоотвозных землесосов определяется вместимостью трюма. Принимаются следующие типоразмеры самоотвозных землесосов:
Типоразмер | Вместимость трюма, м2 |
1000 | 600...1500 |
2500 | 1600...2500 |
3500 | 2600...3500 |
4500 | 3600...4500 |
свыше 5000 | 4600 и более |
1.1.2.2. Тип якорных рефулерных землесосов определяется по контрактовой производительности.
В каждом типе производится разделение на подтипы по признакам:
по способу перемещения на прорези:
папильонажные - при разработке землесос осуществляет поперечное перемещение по прорези с постепенным перемещением вдоль прорези;
траншейные - землесос перемещается вдоль прорези, покрывая площадь прорези продольными траншеями;
по устройствам, обеспечивающим перемещение землесоса в процессе грунторазработки:
авантово-папильонажные - поперечное перемещение осуществляется папильонажными лебедками, продольное - авантовой лебедкой;
свайно-папильонажные - поперечное перемещение осуществляется папильонажными лебедками, продольное - свайным устройством;
по способу разработки грунта:
с механическим разрыхлением - отделение грунта от массива и его рыхление производится фрезерным или роторным разрыхлителем;
с гидравлическим разрыхлением - отделение грунта от массива и его рыхление производится водяными струями;
без рыхления - отделение грунта от массива производится потоком воды, поступающим в грунтоприемник;
по способу транспортировки грунта на отвал:
рефулерные - транспортировка разработанного грунта осуществляется по напорному трубопроводу в виде смеси с водой;
шаландо-рефулерные - транспортировка грунта может осуществляться как по напорному трубопроводу, так и путем погрузки его в трюм грунтоотвозных шаланд по специальному устройству;
пульпометы - грунт в виде смеси с водой выбрасывается через специальный насадок.
1.1.2.3. Тип транзитных землесосов определяется по контрактовой производительности.
1.1.2.4. Тип грейферных самоотвозных земснарядов определяется по контрактовой производительности грейферного устройства.
1.1.2.5. Тип одночерпаковых земснарядов определяется по устройству разработки грунта:
грейферные - разработка грунта производится грейфером;
штанговые - разработка грунта производится с помощью ковша, закрепленного на штанге.
Внутри каждый тип одночерпаковых земснарядов подразделяется на подтипы по признакам:
по контрактовой производительности;
по вместимости грейфера, ковша;
по способу резания грунта;
прямая лопата;
обратная лопата.
1.1.2.6. Тип многочерпаковых земснарядов определяется по контрактовой производительности, внутри каждый тип подразделяется на подтипы по устройству черпаковой цепи:
майонные - черпаки в цепи соединены друг с другом с помощью промежуточных звеньев-майонов;
безмайонные - черпаки в цепи соединены непосредственно друг с другом;
по способу погрузки грунта в шаланды:
лотковые - погрузка грунта производится по лоткам (подвижному и неподвижному);
транспортерные - погрузка грунта производится по транспортеру;
по способу транспортировки грунта на отвал:
шаландовые - транспортировка разработанного грунта производится в трюмах грунтоотвозных шаланд;
шаландо-рефулерные - транспортировка осуществляется шаландами или по напорному рефулерному трубопроводу.
1.1.2.7. Тип скреперных самоотвозных земснарядов определяется по вместимости трюма.
1.1.2.8. Тип грузоотвозных шаланд определяется по вместимости трюма, внутри каждый тип подразделяется на подтипы по способу разгрузки трюма:
люковые - разгрузка трюма производится через днищевые дверцы (ляды);
с раскрывающимся корпусом - разгрузка производится путем раскрытия корпуса шаланды.
1.1.2.9. Тип морских завозных кранов определяется по мощности силовой установки.
1.2. Назначение и условия эксплуатации технических средств
дноуглубления
1.2.1. Самоотвозные землесосы используются для выполнения дноуглубительных работ на открытых акваториях при скорости ветра до 10 м/с (5 баллов) и высоте волны, указанной в табл. 1, для разработки несвязных грунтов плотностью в состоянии естественного залегания

при наличии включений размером 5...25 см в количестве, не превышающем 4% от общего объема разрабатываемого грунта.
Таблица 1
МИНИМАЛЬНЫЕ УСЛОВИЯ, ПРИ КОТОРЫХ ВОЗМОЖНО ИСПОЛЬЗОВАНИЕ
САМООТВОЗНОГО ЗЕМЛЕСОСА
Вместимость трюма землесоса, м3 | Максимальная высота волны, м | Минимальная глубина разработки, м3 | Минимальная глубина на участке, трассе движения, на отвале, м | Минимальная длина разрабатываемой прорези, м | Минимальная ширина акватории для разворота на 180°, м | Минимальная дальность видимости, миль | Максимальная скорость течения, м/с |
нос корма | борт | вдоль прорези | вертикально к оси прорези |
Менее 1000 | 1,75 | 1,25 | 4,5 | 4,5 | 500 | 100 | 0,5 | 1 | 0,1 |
1000...2500 | 2,00 | 1,50 | 5...6,0 | 5,0 | 700 | 140 | 1,0 | 1 | 0,15 |
2600...4500 | 2,5 | 1,75 | 6,5...7,5 | 7,0 | 1000 | 180 | 1,0 | 1 | 0,15 |
Более 4500 | 3,5 | 2,0 | 8 и более | более 8 | 1000 | 200 | 1,5 | 1 | 0,15 |
При наличии включений в большом количестве производительность землесоса по грунтозабору резко снижается.
При специальном обосновании допускается использование самоотвозных землесосов для подбора дробленого каменистого грунта при максимальном размере камней не более 25 см2.
1.2.1.1. Минимальные габариты акватории, при которых возможно использование землесосов приведены в
табл. 1.
1.2.1.2. Работа самоотвозных землесосов возможна при следующих гидрометеорологических условиях:
при видимости не менее 1,0 мили (~= 2,0 км);
при скорости течения вдоль прорези не более 1 м/с;
и нормально оси прорези не более 0,15 м/с.
Работа самоотвозного землесоса не допускается при наличии на акватории битого льда.
1.2.1.3. При разгрузке трюма путем рефулирования грунта по напорному трубопроводу на береговой отвал (склад) необходима установка причального сооружения, обеспечивающего надежную стоянку землесоса и не допускающего значительных продольных его перемещений относительно стыковочного устройства.
1.2.1.4. Акватория в месте установки причального сооружения должна позволять нормальную швартовку землесоса к причальному сооружению самостоятельно или с помощью буксиров и полный разворот (на 180°) после разгрузки трюма и отхода на участок.
Минимальный диаметр акватории для разворота должен быть не менее (1,7...2) Lк, где Lк - длина корпуса землесоса, м.
1.2.2. Якорные рефулерные землесосы используются для разработки прорезей на защищенных от волнения акваториях с рефулированием грунта по напорному трубопроводу на подводный или береговой отвал.
1.2.2.1. Землесосы с механическим разрыхлителем могут разрабатывать как слабые, так и плотные грунты, включая полутвердые глины (1...6 группа по трудности разработки по классификации грунтов, принятой для морского дноуглубления, приведенной в
Приложении 1). Для разработки тяжелых и скальных грунтов существуют специальные землесосы с мощным фрезерным разрыхлителем.
1.2.2.2. Землесосы с гидравлическим разрыхлителем используются для разработки несвязных грунтов с 1 по 4 группы по трудности разработки (илы, пески, супеси и суглинки текучепластичные).
1.2.2.3. Землесосы без разрыхлителя разрабатывают илы, супеси и суглинки текучие и текучепластичные и рыхлые пески (1...3 группа по трудности разработки).
1.2.2.4. Рефулирование грунта производится по плавучему грунтопроводу при подводном отвале и по плавучему и береговому грунтопроводам при рефулировании на береговой отвал.
Плавучий грунтопровод состоит из отдельных звеньев длиной 10...12 м, соединенных гибкими соединениями (шаровые соединения или резиновые рукава).
Для обеспечения свободного перемещения земснаряда по прорези в процессе разработки грунта плавучий грунтопровод должен обладать достаточной гибкостью.
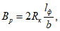
1.2.2.5. Для папильонажных и траншейных землесосов необходимое количество звеньев плавучего грунтопровода при подводном отвале должно быть не менее величины, определяемой по зависимости:

(1)
где:
D - удаленность грунта от бровки разрабатываемой прорези, м;
Вр - рабочая ширина прорези, м;
lс - длина звена плавучего трубопровода, м.
При рефулировании на береговой отвал количество звеньев должно быть увеличено - 4...5 ед.
1.2.2.6. Для свайно-папильонажных землесосов из-за жесткого закрепления кормы землесоса гибкость плавучего грунтопровода должна быть увеличена на 3...4 звена.
1.2.2.7. Удаленность подводного отвала грунта от бровки разрабатываемой прорези зависит от глубины на отвале, гранулометрического состава разрабатываемого грунта, скорости и направления течения, объема отрефулированного грунта.
Для предотвращения попадания отрефулированного грунта в разработанную прорезь удаление оси отвала от бровки разрабатываемой прорези должно быть не менее величины, приведенной в табл. 2.
Таблица 2
МИНИМАЛЬНАЯ УДАЛЕННОСТЬ ПОДВОДНОГО ОТВАЛА ГРУНТА
ОТ БРОВКИ РАЗРАБАТЫВАЕМОЙ ПРОРЕЗИ, М
Объем намыва, м3 | Средний диаметр частиц грунта, мм |
менее 0,05 | 0,05...0,1 | 0,11...0,25 | 0,26...0,50 | 0,51...1,0 | 1,1...2,0 | 2,1...10,0 | более 10,0 |
5000 | 120 | 110 | 100 | 96 | 90 | 80 | 75 | 65 |
7500 | 140 | 125 | 110 | 105 | 100 | 90 | 80 | 70 |
10000 | 150 | 130 | 125 | 120 | 110 | 100 | 85 | 75 |
12500 | 160 | 150 | 135 | 130 | 120 | 110 | 95 | 80 |
15000 | 170 | 160 | 145 | 140 | 130 | 115 | 100 | 85 |
17500 | 180 | 170 | 150 | 140 | 130 | 120 | 105 | 90 |
20000 | 190 | 180 | 160 | 150 | 140 | 125 | 110 | 96 |
1.2.2.8. Минимальная ширина акватории, на которой возможно разместить плавучий грунтопровод при рефулировании на подводный отвал, должна быть не менее 90 м, а при работе на береговой отвал с береговым грунтопроводом - не менее 200 м (lс), где lс - длина секции (звена) плавучего грунтопровода.
1.2.2.9. При наличии постоянных течений рефулерные землесосы устанавливаются против течения. Использование землесосов возможно при скоростях течения до 1 м/с и высоте волны до 0,5 м (2 балла).
1.2.2.10. Для снижения нагрузок от течения и волнения на плавучий трубопровод и земснаряд, плавучий трубопровод, в зависимости от длины, закрепляется в одной или двух точках якорями или сваями, при этом длина плавучего трубопровода между землесосом и ближайшей к ней точкой закрепления должна обеспечивать необходимую гибкость для нормальной работы землесоса (8...10 звеньев).
1.2.2.11. Перемещение землесоса на прорези осуществляется с помощью папильонажных тросов, скрепленных на завезенных якорях. Для обеспечения необходимой держащей силы якоря дальность его завозки от бровок разрабатываемой прорези должна быть не менее 50 м.
Схема установки рефулерных якорных землесосов приведена на рис. 1, 2 (здесь и далее рисунки не приводятся).
1.2.3. Землесос самоходный с подвесным рефулерным трубопроводом типа "Ямал" используется для разработки узких прорезей на открытых акваториях (баровая часть рек) при складировании разработанного грунта непосредственно на забровочном пространстве.
Обычно длина подвесного грунтопровода составляет 50 м и может поворачиваться на 90° в сторону любого борта. Наличие насадка на конце подвесного грунтопровода и значительная его высота над уровнем воды позволяют выбрасывать смесь (пульпу) на расстояние до 70...75 м от диаметральной плоскости землесоса.
1.2.4. Грейферные самоотвозные земснаряды используются для разработки траншей, котлованов, подчистки прикордоновых полос у гидротехнических сооружений.
1.2.4.1. Работа грейферного самоотвозного земснаряда возможна при следующих гидрометеорологических условиях:
скорость течения до 1 м/с;
при наличии на акватории битого льда сплошностью не более 5 баллов по 10-балльной шкале;
при видимости горизонта не менее 0,5 мили;
при волнении не более 2 баллов (0,5 м);
при скорости ветра более 3 баллов (5,5 м/с).
Разработанный грейфером грунт погружается в трюм земснаряда и отвозится на отвал.
1.2.4.2. Установка земснаряда на участке работ производится самостоятельно на трех, четырех якорях. Схема установки приведена на рис. 3.
1.2.4.3. Минимальная глубина на акватории разработки, по трассе движения и на отвале должна быть не менее максимальной осадки судна плюс 0,5 м. Для грейферных земснарядов типа "Аракс" - не менее 4,0 м.
1.2.4.4. Разгрузка трюма осуществляется через днищевые дверцы.
1.2.4.5. Дополнительно самоотвозный грейферный земснаряд может использоваться для добычи строительного материала, отсыпки банкетов, как грузоподъемное средство для подъема предметов с глубин до 20 м.
1.2.4.6. При разгрузке трюма грейфером необходимо на днище трюма устанавливать настил для предотвращения повреждения поперечных балок грейфером.
1.2.4.7. Диаметр акватории для разворота грейферного самоотвозного земснаряда должен быть не менее 1,5Lз, где Lз - длина земснаряда.
Грейферные самоотвозные земснаряды могут быть оборудованы двумя или тремя грейферными кранами.
1.2.5. Одночерпаковые земснаряды, как грейферные так и штанговые, используются для разработки траншей и котлованов под гидротехнические сооружения.
1.2.5.1. Разработка грунта производится грейфером или ковшом, разработанный грунт грузится в шаланды, которыми отвозится на подводный отвал.
1.2.5.2. Работа одночерпаковых земснарядов возможна при следующих гидрометеорологических условиях:
при скорости течения до 1 м/с;
при волнении не более 2 баллов (0,5 м);
при скорости ветра не более 5,5 м/с (3 балла);
при видимости горизонта не менее 0,5 мили;
при наличии на акватории битого льда сплошностью не более 5 баллов.
1.2.5.3. Одночерпаковые земснаряды могут разрабатывать грунты 1...7 группы по трудности разработки.
Однако разработка плотных тяжелых грунтов грейферными земснарядами малоэффективна, так как для разработки этих грунтов требуется большая масса грейфера, что приводит к резкому снижению массы полезного груза.
1.2.5.4. Грейферные одночерпаковые земснаряды устанавливаются на участке на трех, четырех якорях или сваях.
Штанговые земснаряды устанавливаются на участке на трех сваях.
Якоря завозятся для центровки земснаряда в период передвижки земснаряда на прорези.
Схема установки приведена на рис. 3.
1.2.6. Многочерпаковые земснаряды используются для разработки прорезей на открытых и защищенных акваториях при следующих гидрометеорологических условиях:
дальность видимости горизонта не менее 0,5 мили;
скорость течения до 1 м/с;
высота волны не более 0,75 м;
при наличии на акватории битого льда сплошностью не более 5 баллов.
Многочерпаковые земснаряды разрабатывают все группы грунтов, согласно принятой классификации, включая скальные предварительно раздробленные до кусков размером 20...25 см.
1.2.6.1. Земснаряды типа "Кубань-2" контрактовой производительностью 400 м3/ч рассчитаны для разработки грунтов 1...4 группы по трудности разработки, у них легкая черпаковая цепь, поэтому использование этого типа земснарядов для разработки грунтов 6 и 7 группы нецелесообразно, производительность их резко снижается, наблюдается большой износ деталей черпакового устройства, большая неравномерность нагрузки на привод верхнего черпакового барабана.
1.2.6.2. Земснаряды типа "Скадовск" контрактовой производительностью 750 м3/ч предназначены для разработки тяжелых грунтов (5...6 группа). Тяжелая черпаковая цепь и большое водоизмещение земснаряда обеспечивают плавную разработку тяжелых грунтов.
1.2.6.3. Земснаряды типа "Ильичевск" японской постройки с безмайонной черпаковой цепью свободно разрабатывают все группы грунтов, но их применение для разработки грунтов, имеющих включения в виде валунов, нецелесообразно из-за возможного заклинивания валунов между черпаками, что приводит к поломке шинельных листов черпаков.
1.2.6.4. Земснаряды типа "Бурцев" постройки завода "Ленинская Кузница" контрактовой производительностью 400 м3/ч на грунтах 5 группы по трудности разработки имеют тяжелую черпаковую цепь, но разработка тяжелых грунтов сопровождается большими рывками из-за недостаточного водоизмещения.
1.2.6.5. Разработку прорези многочерпаковые земснаряды производят, перемещаясь поперек на рабочих тросах, закрепленных на завезенных якорях. Продольное перемещение земснаряда на прорези осуществляется также по авантовому тросу, закрепленному на завезенном якоре.
Для обеспечения необходимой держащей силы рабочие (папильонажные) якоря завозятся на расстояние 100...150 м от линии бровки разрабатываемой прорези.
Схема установки на участке приведена на рис. 4.
1.2.6.6. Устройства по заглублению папильонажных тросов могут быть использованы при глубинах за бровками разрабатываемой прорези более величины заглубления троса не менее чем на 0,5 м.
1.2.6.7. При разработке прорези на мелководье дальность закладки папильонажных якорей может быть сокращена до 20...50 м, но при этом возрастает частота перекладки якорей.
1.2.6.8. Шаг перекладки папильонажных якорей в среднем составляет 0,5...0,6 дальности закладки якоря от линии бровки.
1.2.6.9. Шаг перекладки авантового якоря определяется по зависимости:
Sа = Dа - (2Вр + 200), (2)
где:
Dа - дальность завозки авантового якоря по условиям на участке или исходя из длины авантового троса (в среднем 1000 м);
Вр - рабочая ширина разрабатываемой прорези, м;
200 - запас троса, необходимый для обеспечения держащей силы якоря, м.
1.2.6.10. Разработанный многочерпаковым земснарядом грунт грузится в трюм шаланды, которая транспортирует его на отвал.
1.2.6.11. Нормальная работа земснаряда обеспечивается при длине радиуса качания земснаряда на авантовом якоре не менее 2...2,5 ширины разрабатываемой прорези. В связи с этим минимальная дальность завозки авантового якоря должна быть не менее:
Dаmin = 2Вр + (200...250), (3)
где:
Dаmin - минимальная дальность завозки авантового якоря, м;
200...250 - запас на суточную проходку земснаряда и обеспечение необходимой держащей силы авантового якоря.
1.2.6.12. Минимальная глубина разработки многочерпаковых земснарядов составляет 4,0 м, максимальная глубина колеблется от 10 до 24 м. Данные по условиям работы земснарядов разного типа приведены в табл. 3.
Таблица 3
УСЛОВИЯ, ПРИ КОТОРЫХ ДОПУСКАЕТСЯ РАБОТА МНОГОЧЕРПАКОВЫХ
ЗЕМСНАРЯДОВ
Тип земснаряда | Количество точек подвеса рамы | Глубина разработки, м | Тип черпаковой цепи | Группа разрабатываемого грунта | Толщина разрабатываемого слоя, м | Минимальная ширина прорези, м | Проходная глубина, м |
минимальная | максимальная |
Мин. | Макс. | большие забровочные глубины | мелководье |
МС-Ш-400 типа "Кубань-2" | 2 | 4 | 14 | Майонная | 1...6 | 0,3 | 2,0 | 15 | 60 | 3,5 |
МС-Ш-400 типа "Инж. Агашин" | 1 | 4 | 16 | Безмайонная | 1...7 без включений размером более 40 см | 0,3 | 2,0 | 15 | 60 | 4,0 |
МС-Ш-400 типа "Бурцев" | 1 | 4 | 10 | Майонная | 1...7 | 0,3 | 2,0 | 15 | 60 | 2,6 |
МС-Ш-750 типа "Ильичевск" | 1 | 5 | 18 | Безмайонная | 1...7 без включений размером более 60 см | 0,3 | 2,0 | 15 | 60 | 4,0 |
МС-Ш-750 типа "Г. Наливайко" | 3 и вставка | 5 | 24 | Майонная | 1...7 | 0,3 | 2,0 | 15 | 60 | 4,5 |
МС-Ш-750 типа "Скадовск" | 3 и вставка | 5 | 24 | Майонная | 1...7 | 0,3 | 2,0 | 15 | 60 | 4,5 |
Диапазоны глубин разработки приведены в табл. 4.
Таблица 4
ИЗМЕНЕНИЕ ГЛУБИНЫ РАЗРАБОТКИ ПРИ ИЗМЕНЕНИИ ТОЧЕК
ПОДВЕСА РАМЫ НА МНОГОЧЕРПАКОВЫХ ЗЕМСНАРЯДАХ
Тип земснаряда | Диапазон глубины разработки при нахождении рамы на точке подвеса, м | Примечание |
1-я | 2-я | 3-я | 3-я и вставка |
МС-Ш-400 типа "Кубань-2" | 4...12 | 11...14 | - | - | |
МС-Ш-400 типа "Инж. Агашин" | 4...16 | - | - | - |
МС-Ш-400 типа "Бурцев" | 4...10 | - | - | - |
МС-Ш-750 типа "Ильичевск" | 5...18 | - | - | - |
МС-Ш-750 типа "Г. Наливайко" | 5...14 | 13...16 | 15...18 | 17...24 | Работа земснаряда не допускается, если заданная глубина разработки не попадает в диапазон изменения глубины при нахождении рамы в данной точке подвеса |
МС-Ш-750 типа "Скадовск" | 5...14 | 13...16 | 15...18 | 17...24 | Необходимо произвести подъем рамы на точку подвеса (или демонтаж вставки), при которой заданная глубина разработки попадает в диапазон изменения глубины разработки |
1.2.6.13. Минимальная ширина прорези, которую может разработать земснаряд при забровочных глубинах, превышающих максимальную осадку земснаряда или шаланды, составляет в среднем 15 м, ширина прорези в этом случае обуславливается необходимостью разворота земснаряда при подходе к бровкам.
При забровочных глубинах менее максимальной осадки земснаряда или шаланды минимальная ширина прорези в среднем составляет 60 м.
1.2.6.14. При разработке прорези в сухом береге поверхность до отметки +0,5 м над уровнем воды разрабатывается сухопутными землеройными машинами.
1.2.6.15. Погрузка грунта может осуществляться с двух бортов поочередно, однако, прием шаланд с двух бортов возможен, если забровочные глубины более максимальной осадки шаланды или ширина прорези более 75 м на мелководье.
Во всех остальных случаях прием шаланд осуществляется только под один борт.
При работе у стенок гидротехнических сооружений прием шаланд осуществляется только под один борт.
1.2.6.16. Минимальная толщина разрабатываемого слоя для многочерпаковых земснарядов составляет 0,3 м.
Максимальная толщина разрабатываемого слоя связных плотных грунтов не должна превышать 2,0 м.
При разработке прорези на мелководье или в сухом береге допускается увеличение толщины разрабатываемого слоя, но при этом периодически производится срезание нависающего козырька грунта.
1.2.6.17. Разработка больших слоев несвязных грунтов сопряжена со сползанием откоса, которое происходит после проходки земснаряда и приводит к образованию вала грунта, что требует оттяжки земснаряда назад для подбора вала, а, следовательно, снижается его производительность.
1.2.6.18. Многочерпаковые земснаряды обеспечивают точность выработки по глубине до 0,30 м и по ширине при обеспечении необходимой чувствительности бровочных створов до 3,0 м.
1.2.6.19. При наличии в разрабатываемом грунте включений размером более 40 см точность выработки снижается.
При размере включений до 60 см точность выработки по глубине составляет 0,5 м, при размере включений до 100 см - 0,7 м и при размере включения более 100 см точность выработки составляет 0,8 м.
Допустимые условия применения многочерпаковых земснарядов приведены в
табл. 3.
Изменения глубины разработки при изменении точки подвеса рамы приведены в
табл. 4.
1.2.7. Скреперные самоотвозные земснаряды используются для разработки несвязных и связных грунтов текучепластичной консистенции на открытых и защищенных акваториях при следующих гидрометеорологических условиях:
дальность видимости горизонта не менее 0,5 мили;
высота волны не более 0,5 м (2 балла);
скорость ветра не более 6,0 м (4 балла);
скорость продольного течения до 1 м/с.
1.2.7.1. Разработка грунта выполняется специальным скребком, которым сгребается грунт в опущенный на дно трюм. По заполнению трюма грунтом трюм поднимается и транспортируется к месту разгрузки.
1.2.7.2. Разгрузка может осуществляться как на подводный отвал, так и на берег, в последнем случае грунт из трюма выталкивается скребком.
1.2.7.3. Скреперный самоотвозный земснаряд может быть использован для отсыпки постели под гидротехнические сооружения и их выравнивания.
1.2.7.4. Скреперный самоотвозный земснаряд может производить разработку на мелководье и в сухом береге.
1.2.7.5. Проходная глубина на акватории разворота по трассе движения и в месте отвала грунта определяется по зависимости:
Нпр = Тmax + 0,5, (4)
где:
Тmax - максимальная осадка земснаряда в грузу, м;
0,5 - навигационный запас.
1.2.7.6. Ширина акватории для разворотов земснаряда должна быть не менее полторы - две длины корпуса земснаряда.
1.2.8. Грунтоотвозные шаланды - средство транспортировки разработанного одночерпаковыми и многочерпаковыми земснарядами грунта на отвал.
В настоящее время эксплуатируемые шаланды имеют 1-й ограниченный район плавания без груза и ограничения до 20 миль от берега с грузом в трюме.
Разработаны проекты шаланд, имеющие 1-й ограниченный район плавания без груза и 2-й район плавания с грузом в трюме.
1.2.8.1. Работа грунтоотвозных шаланд возможна при следующих гидрометеорологических условиях:
видимость горизонта не менее 0,5 мили;
скорость ветра до 10 м/с (5 баллов);
высота волны до 1,25 м (4 балла);
скорость течения до 1 м/с;
при наличии битого льда сплошностью не более 5 баллов.
1.2.8.2. При удалении отвала грунта от береговой черты более 20 миль необходимо уменьшить объем грунта в трюме до 70% от нормативной загрузки, определяемой грузоподъемностью шаланды и плотностью загруженного в трюм грунта.
1.2.8.3. В нормативах объем погруженного в трюм грунта дается в состоянии естественного залегания так же, как и нормы производительности земснаряда.
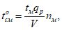
Норма загрузки трюма шаланды рассчитывается по зависимости:

(5)
где:
G - грузоподъемность шаланды, т;
Wтр - максимальная вместимость трюма до уровня сливных окон, в среднем 90% от геометрической вместимости трюма, м3;

- плотность воды, т/м
3;

- плотность грунта в состоянии естественного залегания, т/м
3.
Полученная величина дает несколько заниженное значение по объему загруженного в трюм грунта при полном использовании грузоподъемности шаланды, так как объем воды, особенно при погрузке тяжелых грунтов, значительно меньше, чем принимается при расчетах.
1.2.8.4. По данным натурных исследований возможный объем погруженного в трюм грунта может быть определен по зависимости:

(6)
где:
Wтр - максимальная геометрическая вместимость трюма, м3;
Ктр - коэффициент использования вместимости трюма, величина которого приведена в табл. 5.
Таблица 5
КОЭФФИЦИЕНТ ИСПОЛЬЗОВАНИЯ ВМЕСТИМОСТИ ТРЮМА
Группа грунта по трудности разработки | 1 | 2 | 3 | 4 | 5 | 6 | 7 |
Коэффициент использования вместимости трюма | 90 | 85 | 80 | 75 | 70 | 67 | 65 |
1.2.8.5. При определении объема погруженного грунта в трюме по замерам необходимо учитывать степень его разрыхления.
Ориентировочно величины разрыхления грунта в трюме шаланды приведены в табл. 6.
Таблица 6
КОЭФФИЦИЕНТ РАЗРЫХЛЕНИЯ ГРУНТА, ПОГРУЖЕННОГО В ТРЮМ ШАЛАНДЫ
Грунт | Илы | Песок | Суглинок, супесь | Гравий, щебень | Глины | Известняк, мергень | Скальный грунт |
Коэффициент разрыхления | 1,05...1,1 | 1,00...1,1 | 1,15...1,20 | 1,15...1,20 | 1,25...1,30 | 1,30...1,35 | 1,4...1,5 |
1.2.8.6. Разгрузка грунта из трюма шаланды осуществляется через днищевые дверцы (ляды).
1.2.8.7. По процессу разгрузки трюма грунты разделены на три категории, которые служат для определения трудности и продолжительности разгрузки трюма.
К первой категории по трудности разгрузки отнесены грунты, практически не обладающие прилипаемостью.
Разгрузка трюма начинается с момента начала открытия днищевых дверец и заканчивается при полном их открытии.
Ко второй категории относятся грунты, обладающие слабой прилипаемостью и сцеплением (пески, супеси, суглинки, глины слабоприлипаемые).
Разгрузка трюма начинается не сразу с момента открытия днищевых дверец, но с момента начала обрушивания грунт из трюма выходит быстро.
К третьей категории относятся грунты, обладающие высокой степенью прилипаемости. В период погрузки и транспортировки куски грунта слипаются и расклиниваются. После раскрытия дверец грунт продолжает оставаться в устойчивом состоянии, часто наблюдается явление зависания дверец, когда цепи удерживаются грунтом. Для начала разгрузки используются гидромониторы для размыва и реверсы двигателей для создания вибрации корпуса шаланды.
1.2.8.8. Транспортировку грунтов третьей категории следует производить шаландами с вертикальными стенками трюма и с поперечной подвеской дверец, цепи которых вынесены за пределы трюма.
Предпочтение также необходимо отдавать шаландам, у которых отношение площади днищевых дверец к площади трюма больше.
1.2.8.9. Улучшение разгрузки тяжелых грунтов возможно достичь, если перед погрузкой в трюм глины загрузить трюм на 1/4 его вместимости илом или песком.
1.2.8.10. Наиболее эффективным средством являются шаланды с раскрывающимся корпусом. В процессе раскрытия трюма происходит разрушение связей между слипшимися кусками грунта и грунт сползает в расширяемую щель по всей длине трюма.
1.2.8.11. Для разворота шаланд при отходе от земснаряда диаметр акватории должен быть не менее 1,7...2,0 длины корпуса шаланды.
1.2.8.12. У всех лядовых шаланд (с днищевыми дверцами) в открытом положении дверцы выступают за пределы днища.
Проходная глубина на акватории для разворота, трассе движения и на отвале для существующих типов шаланд приведена в табл. 7.
Таблица 7
ПРОХОДНАЯ ГЛУБИНА ДЛЯ ШАЛАНД
Тип шаланд | ШС-ДЛ 280 | ШС-ДЛ 300 | ШС-ДЛ 450 | ШС-ДЛ 500 | ШС-ДЛ 600 | ШС-ДЛ 1000 |
Проходная глубина на трассе, м | 3,20 | 3,20 | 3,80 | 4,10 | 4,00 | 4,10 |
Проходная глубина на отвале, м | 3,20 | 4,00 | 4,00 | 4,60 | 5,00 | 5,00 |
1.2.9. Морские завозные краны (мотозавозни) используются для завозки и перекладки рабочих якорей и тросов якорных землесосов, одночерпаковых и многочерпаковых земснарядов. Дополнительно мотозавозня может использоваться для буксировок служебно-вспомогательных судов, входящих в состав каравана, для отвода от борта шаланд и оказания ей помощи при разворотах на мелководье и узких прорезях, для буксировок земснаряда, плавучего грунтопровода при переходе с участка на участок работ, как грузоподъемное устройство, как промерное судно.
При наличии дополнительного оборудования морские завозные краны (мотозавозни) успешно могут использоваться для обслуживания средств плавучей навигационной обстановки, для установки и съемки плавучих знаков СНО.
1.2.9.1. Ширина акватории для полного разворота мотозавозни должна быть не менее 1,5 длины ее корпуса.
1.2.9.2. Навигационный запас глубины под килем должен быть не менее 0,1 м.
1.2.9.3. Гидрометеорологические условия, при которых возможна работа мотозавозни:
дальность видимости горизонта - 500 м;
высота волнения - 1,25 м (4 балла);
скорость ветра - 9,5 м/с (5 баллов);
скорость течения - до 1 м/с;
при наличии на акватории битого льда сплошностью не более 5 баллов.
1.3. Выбор класса и типоразмера земснарядов и их расстановка
на участке работ
1.3.1. Основанием для выбора технического средства для выполнения дноуглубительных работ являются:
техническое задание на производство дноуглубительных работ, выданное заказчиком;
планы промера участка работ, трассы движения к местам отвала, отвала грунта;
вид отвала (береговой, подводный);
характеристика разрабатываемых грунтов;
гидрометеорологический режим в районе проведения дноуглубительных работ;
объект работ и его габариты;
действующие запреты и ограничения по охране окружающей среды;
правила технической эксплуатации технических средств дноуглубления;
настоящая Инструкция по производству морских дноуглубительных работ.
1.3.2. В техническом задании на производство дноуглубительных работ должны быть приведены следующие сведения:
вид работы (ремонтные, развитие, новое строительство);
объект работы (канал, котлован, траншея, акватория, намыв территории и т.д.);
проектные габариты объекта работ (длина, ширина, глубина, отметка намыва и т.д.);
требования по точности выполнения проектных габаритов;
вид отвала и его местонахождение;
требования и ограничения природоохранных организаций;
плановый срок завершения дноуглубительных работ.
На работы по развитию или новому строительству к техническому заданию должны прикладываться:
рабочие чертежи, геологическая карта объекта работ;
анализ грунтов на степень загрязнения вредными веществами;
разрешение на производство работ от природоохранных организаций;
согласование с природоохранными организациями мест отвалов грунта, их вместимость и требования по укладке грунта на отвале;
периоды запретов выполнений дноуглубительных работ.
При ремонтном дноуглублении к техническому заданию прикладываются:
согласованные с природоохранными организациями места отвала грунта;
периоды запретов проведения дноуглубительных работ.
1.3.3. Выбор технического средства дноуглубления начинается с определения класса земснаряда (одночерпаковый, многочерпаковый, самоотвозный землесос, якорный рефулерный землесос и т.д.) по объекту работ (канал, траншея, котлован, акватория и т.д.), по его проектным габаритам, по степени защищенности от волнения, по грунтам, подлежащим разработке, по гидрометеорологическому режиму, по действующим ограничениям и запретам, по объему работ и плановым срокам выполнения работ.
При этом рекомендуется рассматривать несколько вариантов.
1.3.4. По плану промера участка работ, трассы движения на отвал и отвала определяется допустимая максимальная осадка предполагаемого к использованию технического средства, ширина акватории для разворотов, средняя толщина срезаемого слоя, неравномерность разрабатываемого слоя по ширине и длине прорези. По планам объекта и навигационным картам определяются места стоянок судов в ожидании погрузки, выбирается трасса движения на отвале, определяется дальность транспортировки грунта на отвал.
1.3.5. По грунтовой карте определяется характеристика разрабатываемого грунта, наличие и размеры включений, определяется рабочая ширина прорези по средней толщине разрабатываемого слоя.
1.3.6. По данным гидрометеорологических условий на участке определяются возможные простои земкаравана; уточняется схема установки на участке; определяется необходимость установки временного уровенного поста; определяется форма и границы зоны мутности; определяется степень навигационной опасности участка.
1.3.7. По действующим запретам и ограничениям природоохранных органов выбирается режим работы технических средств дноуглубления, определяются сроки выполнения работ с учетом всех особенностей по условиям производства работ.
1.3.8. Класс и типоразмер земснаряда принимается на основании выполненных проработок и анализа условий производства работ с учетом наличия данного технического средства по максимальной суточной выработке и минимальному сроку выполнения работы.
Для выбранной технологической схемы работы составляется проект производства работ.
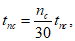
1.3.9. При строго фиксированных сроках выполнения работы необходимое количество земснарядов определяется по зависимости:

(7)
где:
V - объем работ на участке, м3;
Тр - установленный срок выполнения работ, сут.;
Qз - средняя суточная выработка земснаряда, м3/сут.
1.3.10. Проверяется возможность установки необходимого количества земснарядов на участке и последовательность их установки по срокам.
1.3.11. Возможны следующие схемы расстановки земснарядов на участке работ:
1. На участке одновременно работают самоотвозный землесос и многочерпаковый земснаряд. Многочерпаковый земснаряд выполняет работы в прибрежной части объекта, а самоотвозный землесос - в морской части.
Между участками работ земснарядов должна быть оставлена акватория, свободная от рабочих тросов многочерпакового земснаряда для разворотов самоотвозного землесоса при смене галсов. В пределах указанной акватории запрещена стоянка судов земкаравана в ожидании подхода к борту многочерпакового земснаряда.
При выполнении разворота самоотвозным землесосом в зоне работы многочерпакового земснаряда запрещается движение судов к многочерпаковому земснаряду и отход от борта многочерпакового земснаряда.
Грунтоотвозные шаланды и другие суда, входящие в состав каравана многочерпакового земснаряда, должны делать запрос на право движения мимо самоотвозного землесоса. Схема расстановки приведена на рис. 5.
2. На участке одновременно работают два самоотвозных землесоса. При длине участка работ более 2 км каждому землесосу выделяют свой участок работ. В связи с сопряжением участков работ землесосы заранее уведомляют друг друга о разворотах для смены галсов. Прохождение землесоса мимо работающего второго землесоса производится по правилам предупреждения столкновений судов на море МППСС.
При длине участка работ менее 2,0 км грунтозабор на участке землесосы выполняют поочередно. После ухода с участка одного землесоса на него заходит второй землесос. Допускается одновременная работа на участке двух землесосов, если ширина прорези более 120 м, разрабатываемый грунт находится на бровках, при этом движение землесосов должно производиться навстречу друг другу по разным бровкам. Заход второго землесоса на участок рекомендуется производить при нахождении первого землесоса более чем на середине участка. Схема расстановки и работы приведена на рис. 6.
3. На участке одновременно работают два многочерпаковых или авантово-папильонажных рефулерных землесоса. При ширине прорези, превышающей 120 м, участок по ширине разбивается на два участка и земснаряды устанавливаются параллельно друг другу, при этом расстояние между земснарядами должно быть не менее трех длин корпусов шаланд, для обеспечения разворота шаланд при отходе от борта земснаряда на акватории, свободной от рабочих тросов земснарядов.
Отход шаланды от впереди работающего земснаряда рекомендуется производить при нахождении земснарядов у противоположных бровок или при движении нижеработающего земснаряда к противоположной бровке.
Отход шаланд согласовывается с нижеработающим земснарядом.
При параллельной установке двух якорных рефулерных землесосов необходимо учитывать возможность прохода судов мимо земснарядов.
При наличии отвала грунта с двух сторон разрабатываемой прорези рефулерные плавучие грунтопроводы завозятся за ближайшую по работе бровку.
При отвале только с одной стороны для пропуска судов нижеработающий землесос оттягивается за ось общей прорези, освобождая полностью прорезь, на которой выполняет работы, для прохода судов.
При параллельной работе земснарядов рабочие якоря вышеработающего земснаряда пересыпаны авантовым тросом нижеработающего земснаряда, поэтому объем тросов на барабанах папильонажных лебедок должен обеспечивать их перекладку без подтягивания перекладываемых якорей к борту земснаряда. Для предотвращения обрыва или затягивания буйков этих якорей они должны завозиться за пределы судоходной части, иметь повышенную плавучесть и большую длину буевой.
При ширине разрабатываемой прорези в пределах 100...120 м возможна организация параллельной работы двух земснарядов, разбив прорезь по ширине на два участка, но при этом выработка земснарядов снизится до 90...95%.
При ширине прорези менее 100 м установка двух земснарядов возможна при их движении в противоположные стороны, при этом в начальный период расстояние между земснарядами должно быть не менее 150...200 м (3/4 длины корпуса шаланды) для обеспечения разворота шаланд при подходе (отходе) к земснаряду на акватории, свободной от рабочих тросов, а при последовательной работе двух земснарядов расстояние между ними должно быть не менее 400 м, при этом авантовый якорь нижеработающего земснаряда должен завозиться без буйка для предотвращения намотки на винты буевой во время разворота шаланды. Схемы расстановки приведены на рис. 7, 8.
1.4. Организация производства дноуглубительных работ
1.4.1. До начала производства дноуглубительных работ должны быть выполнены следующие мероприятия:
разработана или выбрана технологическая схема проведения дноуглубительных работ;
сформирован и укомплектован земкараван;
выполнена подготовка земкаравана к морскому переходу, выполнен морской переход от места базирования или места последней работы до места новой работы и подготовка судов каравана к производству дноуглубительных работ;
разработана система доставки на суда земкаравана провизии, воды, топлива, запчастей и других материалов;
организован прием с судов земкаравана мусора, подсланевых вод и фекалий;
при отсутствии жилых мест на судах или запрете проживания экипажей на судах должно быть организовано размещение экипажей на берегу;
организована доставка экипажей судов на берег и с берега на судно;
определены и согласованы места отстоя судов земкаравана в период штормовой погоды;
организована система связи земкаравана с портнадзором, техническим участком, управлением и между судами;
организована постоянная и своевременная доставка сводок прогнозов погоды на земснаряд;
разработаны мероприятия по обеспечению навигационной безопасности судов земкаравана на опасных в навигационном отношении участках работ;
организована система наблюдения за колебанием уровня моря и передача сведений о состоянии уровня на земкараван;
произведен выбор опорных знаков или разбивка береговой опорной сети для определения положения земснаряда на прорези;
разработана система ограждения и расставлены средства плавучей обстановки по трассе движения судов на отвал и на отвалах;
составлен проект производства работ и согласован с природоохранными организациями.
1.4.2. Технологическая схема дноуглубления определяется условиями на участке и требованиями природоохранных организаций. Наиболее характерными являются следующие технологические схемы дноуглубления:
1.4.2.1. Разработка прорези на акватории с глубинами, превышающими максимальную осадку судов земкаравана, многочерпаковым земснарядом с транспортировкой грунта шаландами на подводный отвал.
Данная схема применяется при любой ширине прорези при удалении отвалов грунта от беговой черты не более 20 миль от места разработки, при глубинах на отвалах, больших или равных проходной глубине грунтоотвозной шаланды.
Указанная технологическая схема дноуглубления оказывает минимальное вредное воздействие на окружающую среду.
Прием шаланд под погрузку производится под два борта, при наличии устройств по заглублению рабочих тросов смена шаланд может производиться без остановки земснаряда.
Примечание. При удалении отвала грунта от береговой черты более чем на 20 миль необходим охранный буксир или уменьшение объема загружаемого в трюм грунта.
1.4.2.2. Разработка прорези на акватории с глубинами менее проходной глубины судов земкаравана многочерпаковым земснарядом с транспортировкой грунта на подводный отвал.
Применение этой схемы возможно при ширине разрабатываемой прорези не менее 50 м.
Использование заглубителей рабочих тросов не рекомендуется, так как возможна их поломка при подходе к бровкам, а также имеется опасность намотки рабочих тросов на винты подходящих или отходящих шаланд.
При ширине прорези менее 75 м прием шаланд производится только с одного борта.
Для смены шаланд земснаряд останавливается. Разворот шаланды производится с помощью катера или мотозавозни.
1.4.2.3. Разработка прорези в сухом береге или на мелководье (глубины за бровкой менее 1,5 м или осадки мотозавозни) многочерпаковым земснарядом с транспортировкой грунта на подводный отвал грунтоотвозными шаландами.
Применение схемы возможно при ширине прорези не менее 50 м.
При ширине прорези менее 75 м прием шаланд производится только под один борт.
Разворот шаланд производится с помощью катера или мотозавозни, или шаланда задним ходом буксируется к месту разворота. Вторая шаланда начинает движение к земснаряду после ухода отошедшей от борта груженной шаланды.
Для предотвращения завала рамы обрушивающимся откосом производится периодическое обрушивание нависающего козырька грунта черпаковым устройством.
1.4.2.4. Разработка прорези многочерпаковым земснарядом с укладкой разработанного грунта на береговой или мелководный отвал. Возможны следующие схемы работы:
разработка грунта многочерпаковым земснарядом с погрузкой в шаланды с глухим днищем и разгрузкой шаланд гидроперегружателями с дальнейшей транспортировкой грунта на береговой отвал;
разработка грунта многочерпаковым земснарядом с погрузкой в трюмы обычных шаланд с разгрузкой шаланд в котлован с дальнейшим забором грунта из котлована рефулерным землесосом и рефулированием на береговой или подводный отвал;
разработка грунта многочерпаковым земснарядом с рефулированием на подводный или береговой отвал по напорному грунтопроводу;
разработка грунта многочерпаковым земснарядом с транспортировкой грунта по плавучему и береговому конвейеру.
Применение технологической схемы с использованием комплексов: многочерпаковый земснаряд - гидроперегружатель; многочерпаковый земснаряд - рефулерный землесос - возможно при разработке несвязных грунтов.
Технологическая схема с рефулированием разработанного черпаками грунта по напорному трубопроводу применяется при наличии на земснаряде рефулерного устройства или при наличии специальной рефулерной станции. Разработка связных грунтов должна производиться тонкой стружкой для предотвращения забоев колосниковой решетки грунтового насоса.
Дальность рефулирования определяется напорной характеристикой грунтовых насосов.
Технологическая схема с отводом грунта по конвейерной линии применяется на защищенных от волнения акваториях, допускается разработка всех видов грунтов, кроме текучих илов.
Для размещения и свободного перемещения в процессе работы конвейерной линии необходима акватория, площадь которой определяется гибкостью конвейерной линии и ее протяженностью.
1.4.2.5. Выравнивание поверхности дна прорези, разработанной самоотвозными землесосами, многочерпаковым земснарядом.
При разработке грунтов с углом естественного откоса более 10 градусов (m > 1:5) самоотвозными землесосами образуются глубокие траншеи и гребни, выступающие выше проектной отметки дна прорези.
Убрать гребни самоотвозным землесосом невозможно из-за сползания грунтоприемника по склону.
Выравнивание поверхности дна (срезку гребней) выполняет многочерпаковый земснаряд, работая на отвал.
Многочерпаковый земснаряд, перемещаясь поперек прорези, срезая гребни до заданной отметки, сбрасывает грунт по лотку за борт.
Применение схемы связано со значительным загрязнением окружающей среды за счет образования облака мутности от падающего грунта.
1.4.2.6. Разработка прорези большой протяженности самоотвозным землесосом на акватории с глубинами, превышающими проходную глубину самоотвозного землесоса, с транспортировкой грунта на подводный отвал.
Ограничениями являются:
запреты работы при рунном ходе рыбы и скатывании рыбной молоди;
разработка связных грунтов 4-й группы по трудности по классификации грунтов для морского дноуглубления;
значительное вторичное загрязнение окружающей среды от облака мутности, образованного при сливе за борт осветленной смеси.
Дальность транспортировки не регламентируется, глубины на трассе движения и отвале должны быть больше или равны проходной глубине землесоса.
1.4.2.7. Разработка прорези большой протяженностью самоотвозным землесосом на акватории с забровочными глубинами менее проходной глубины землесоса с транспортировкой грунта на подводный отвал.
Схема применяется при ширине разрабатываемой прорези не менее 50 м.
При ширине прорези менее (1,5...2,0)Lк, где Lк - длина корпуса землесоса, с обоих концов прорези должны быть акватории для разворотов землесоса с глубинами не менее проходной глубины землесоса и шириной не менее 1,5Lк.
Кроме вышеуказанных требований, должны учитываться ограничения, приведенные в
п. 1.4.2.6.
1.4.2.8. Разработка прорези самоотвозным землесосом с рефулированием грунта на береговой или мелководный отвал. Дополнительно к требованиям, приведенным в
пп. 1.4.2.6 и
1.4.2.7, необходимо выполнить следующие условия:
в месте расположения берегового или мелководного отвала установить причальное устройство с размещенным на нем стыковочным устройством;
от причального устройства до места складирования проложить береговой или плавучий трубопровод;
оградить карту намыва (берегового отвала) первичным обвалованием;
организовать на карте намыва прудок-отстойник и сброс осветленной воды с допустимой мутностью.
В месте установки причального устройства глубина у причала в акватории для разворотов должна быть не менее проходной глубины землесоса.
Диаметр акватории для разворотов землесоса у причального устройства должен быть не менее 1,5Lк, где Lк - длина корпуса землесоса.
1.4.2.9. Разработка прорези длиной менее 5 длин корпусов самоотвозным землесосом производится при челночном движении землесоса (грунтозабор производится при движении землесоса вперед, после прохождения всей длины прорези землесос задним ходом возвращается к началу прорези).
Длина каждого из участков выработки и выхода из рабочей зоны должна быть не менее 0,5Lк. За пределами участка работы должна быть акватория для разворота землесоса с глубинами не менее проходной глубины и шириной не менее 1,5Lк.
1.4.2.10. Разработка прорези самоотвозным землесосом или землесосом с подвесным грунтопроводом при складировании грунта вдоль бровок разрабатываемой прорези.
Схема применяется при разработке песков и при наличии на землесосе поворотной трубы длиной не менее 30...50 м. Для увеличения дальности полета струи на конце трубы устанавливается конический насадок. Ширина разрабатываемой полосы вдоль бровки составляет:

(8)
Общая ширина прорези при укладке грунта вдоль двух бровок, которую может разработать землесос, составляет:
Вр = 2lп - Вз, (9)
где:
lп - длина подвесного трубопровода, м;
Вз - ширина землесоса, м.
1.4.2.11. Разработка связных грунтов самоотвозным землесосом в комплексе с якорным землесосом с механическим разрыхлителем.
Возможны следующие варианты:
1-й вариант. Якорный землесос производит рыхление грунта механическим разрыхлителем, оставляя его на прорези. Толщина разрыхленного грунта составляет 0,4...0,6 м.
Самоотвозный землесос производит подборку разрыхленного грунта, его погрузку в трюм и транспортировку на отвал.
2-й вариант. Якорный землесос производит разработку прорези и рефулирование грунта вдоль бровки, самоотвозный землесос производит забор грунта с отвала и транспортирует его на морской подводный отвал.
3-й вариант. Якорный землесос производит разработку прорези с рефулированием грунта в трюм самоотвозного землесоса, который транспортирует его на подводный или береговой отвал.
При использовании 1-го варианта технологической схемы землесосы на прорези работают поочередно, якорный землесос производит послойно рыхление грунта, самоотвозный землесос - его послойную уборку и транспортировку на отвал.
При использовании второго варианта возможна одновременная работа землесосов.
Первым на участок для создания резерва выходит якорный землесос.
Для ритмичной работы рекомендуется подбирать землесосы с равной часовой производительностью.
3-й вариант схемы. Землесосы работают одновременно, но якорный землесос разработку ведет только в период загрузки трюма самоотвозного землесоса.
Первый и третий варианты схемы используются, когда запрещен отвал грунта вдоль бровки и глубины на акватории за бровкой меньше проходных глубин землесоса.
Второй вариант схемы используется, если глубины на забровочном пространстве обеспечивают проходную глубину самоотвозного землесоса на отвалах якорного землесоса.
Основное требование по рыхлению - максимальный размер кусков разрыхленного грунта или грунта, укладываемого в отвал вдоль бровки, не должен превышать 0,20 м.
При использовании третьего варианта на самоотвозном землесосе устанавливается устройство для стыковки плавучего грунтопровода с грунтопроводом, ведущим в погрузочный лоток самоотвозного землесоса.
1.4.2.12. Разработка прорези якорным рефулерным землесосом с транспортировкой грунта по напорному плавучему и береговому грунтопроводам на подводный или береговой отвал.
В зависимости от типа землесоса разработка ведется продольными траншеями при использовании траншейного землесоса или поперек прорези при использовании папильонажного землесоса.
Схема применяется на реках и защищенных от волнения акваториях по условиям эксплуатации плавучего грунтопровода, дальность рефулирования, в зависимости от напорной характеристики грунтового насоса, может достигать 2000 м. При использовании бустерных станций (дополнительных грунтовых насосов, устанавливаемых на берегу в линии напорного грунтопровода) дальность рефулирования можно довести до любой необходимой величины.
При использовании бустерных станций необходимо, чтобы остаточный напор в напорном трубопроводе в месте подключения станции был не менее 2...2,5 м.
Установка бустерных станций возможна как по длине напорного грунтопровода через определенное расстояние, так и непосредственно у землесоса.
В первом случае напорный грунтопровод находится под давлением, развиваемым грунтовым насосом бустерной станции, при последовательном включении бустерных станций непосредственно у землесоса напорный грунтопровод находится под суммарным давлением, развиваемым бустерными станциями.
Ориентировочно необходимый напор для транспортировки грунта по трубопроводу может быть определен по зависимости:

(10)
где:
lреф - дальность рефулирования грунта, м;
500 - стандартная дальность рефулирования большинства землесосов, м;
30 - потери напора в грунтопроводе при регулировании на расстояние 500 м.
Точное значение напора определяется по специальным расчетам с учетом условий рефулирования и характеристики рефулируемого грунта.
На береговом отвале необходимо выполнить первичное обвалование, создать прудок-отстойник и сброс осветленной до заданной мутности воды.
1.4.2.13. Подрезка бровок якорным землесосом с выбросом грунта за бровку по подвесному грунтопроводу. Схема используется при разработке песков и возможности их складирования на бровке прорези, схема позволяет быстро обеспечить заданное уширение канала или восстановить его навигационную ширину.
Ширина уширения (разрабатываемой полосы) составляет 10...20 м.
Выброс грунта на бровку производится по подвесному грунтопроводу, установленному на землесосе или на специальном понтоне, закрепленном в корме землесоса. Разработка полосы производится веерным способом папильонирования.
Для увеличения дальности выброса струи на конце подвесного грунтопровода устанавливается конический насадок.
1.4.2.14. Разработка прорези якорным землесосом с погрузкой грунта в трюм шаланд и дальнейшей его транспортировкой на подводный или береговой отвал.
Использование этой схемы возможно при наличии на землесосе устройства для погрузки шаланд или при установке такого устройства.
Рекомендуется применять для добычи строительного материала (песка, гравия, щебня), в этом случае целесообразно использовать сгустительный аппарат.
Недостатком схемы является большой объем сбрасываемой за борт осветленной смеси с большим содержанием грунта.
Разгрузка шаланд на береговой отвал (склад) производится грейферным краном или гидроперегружателем, в последнем варианте необходимо организовать карту намыва с механизацией работ по укладке грунта.
1.4.2.15. Разработка траншеи для укладки трубопровода или кабеля якорным рефулерным землесосом при действии поперечного (бокового) течения.
При скорости течения до 0,5 м/с разработка траншеи производится при установке землесоса вдоль оси траншеи (поперек течения) на 4...5 якорях, схема установки приведена на рис. 9. Плавучий грунтопровод заводится вверх по течению и в средней части закрепляется на якоре.
При сложении ложа дна водоема несвязными грунтами могут использоваться траншейные землесосы, если грунты связные, используются только землесосы с механическим разрыхлителем.
При скоростях течений более 0,5 м/с разработка траншеи выполняется при установке земснаряда против течения. Для уменьшения кривизны траншеи, вызванной качанием земснаряда на авантовом якоре, необходимо увеличить радиус качания путем подведения под авантовый трос 2...3-х понтонов (поковок).
1.4.2.16. Разработка котлована грейферным самоотвозным земснарядом с погрузкой грунта в трюм и его транспортировкой на подводный или береговой отвал.
Схема используется на акваториях с глубинами не менее проходных. Разрабатываемые грунты 1...4 группы по трудности разработки. Максимальная ширина разрабатываемой прорези с одной стоянки земснаряда равна двум вылетам стрелы грейферного крана.
При ширине котлована более возможной ширины прорези, разрабатываемой земснарядом, котлован разбивается на прорези шириной, равной:
Впр = 2Rmaх - 5, (11)
где:
Rmaх - максимальный вылет стрелы грейферного крана, м;
5 - величина перекрытия прорезей.
Границы котлована на местности закрепляются створами, створами также закрепляются оси прорезей.
При разгрузке трюма грейфером на берег днище в трюме должно зашиваться.
1.4.2.17. Подчистка прикордоновой полосы грейферным самоотвозным земснарядом производится при пришвартованном к причалу земснаряде. Ширина разрабатываемой полосы равна максимальному вылету стрелы грейферного крана. В процессе разработки земснаряд продвигается вперед путем перетяжек. Из-за возможной большой засоренности грунтов посторонними предметами на трюм земснаряда обязательно устанавливается колосниковая решетка. По мере накопления предметов захламления на решетке она очищается. Предметы захламления по согласованию со службами порта могут выгружаться на причал или сбрасываться на отвале в определенном месте. При этом глубины на отвале в местах сбрасывания предметов захламления должны обеспечивать безопасное движение земснаряда при накоплении предметов захламления.
1.4.2.18. Разработка траншей и котлованов штанговыми земснарядами с погрузкой грунта в трюм шаланд и транспортировкой его на подводный отвал.
Штанговые земснаряды на участке работ устанавливаются на сваях и перемещение вдоль прорези в процессе разработки также осуществляется с помощью свайного устройства. Для удержания земснаряда на оси прорези в период его передвижки завозятся якоря.
Штанговый земснаряд типа "прямая лопата" в процессе разработки перемещается вперед по прорези, штанговый земснаряд "обратная лопата" - назад.
Ширина разрабатываемой прорези с одной стоянки земснаряда при нахождении шаланды у одного борта определяется по зависимости:
Вmax = 1,3Rк, (12)
где Rк - радиус копания, зависящий от глубины разработки, длины и максимального вылета рукояти, м.
При ширине котлована больше максимальной ширины прорези, разрабатываемой земснарядом, котлован по ширине делится на отдельные прорези с перекрытием не менее 5,0 м.
В мелководной зоне, где глубины менее проходной глубины шаланды, ширина прорези должна быть не меньше суммарной ширины земснаряда и шаланды плюс 10 м.
1.4.2.19. Разработка прорези штанговым земснарядом при работе в отвал используется при разработке на мелководье или в сухом береге. Ширина прорези по дну должна быть не менее ширины корпуса земснаряда. Укладка грунта может производиться с двух сторон разрабатываемой прорези.
Максимальный объем грунта, который может вместить один погонный метр берегового отвала с одной стороны, определяется по зависимости:

(13)
где:
Rmax - максимальный вылет ковша, м;
Вз - ширина земснаряда, м;
m - коэффициент естественного откоса грунта на береговом отвале;
Кр - коэффициент разрыхления грунта при разработке.
1.4.2.20. Разработка прорези грейферным земснарядом с погрузкой разработанного грунта в трюм шаланд и транспортировкой его на подводный отвал применяется для создания котлованов под гидротехнические сооружения.
В зависимости от массы грейфера и грузоподъемности кранового устройства разрабатываются грунты 1...7 группы по трудности разработки. Максимальная ширина прорези с одной стоянки земснаряда определяется зависимостью:
Вmax = Rmax + 0,5Вз, (14)
где:
Rmax - максимальный вылет стрелы, м;
Вз - ширина корпуса земснаряда, м.
Земснаряд на участке устанавливается на 3...4-х якорях или на сваях при наличии свайного устройства.
В этом случае якоря завозятся для удержания земснаряда на оси прорези в период передвижки (подачи вперед).
Глубина на акватории работы грейферного земснаряда должна быть не менее проходной глубины шаланды.
При работе на мелководье или в сухом береге ширина разрабатываемой прорези должна быть не менее суммы ширины земснаряда, шаланды плюс 10 м.
1.4.2.21. При разработке прорези грейферным земснарядом на мелководье или в сухом береге на отвал ширина прорези должна быть не менее ширины корпуса земснаряда. Объем грунта, укладываемый в береговой отвал, несколько выше, чем у штанговых земснарядов за счет раскачки грейфера.
1.4.3. Комплектование земкаравана производится согласно принятой технологической схеме выполнения работ и условий на объекте.
1.4.3.1. При выборе технологических схем с использованием многочерпакового земснаряда с транспортировкой грунта на подводный отвал при удалении отвала грунта от береговой черты менее 20 миль в состав каравана должны входить:
шаланды грунтоотвозные;
мотозавозня;
пассажирский катер;
промерная партия;
водолазная станция.
При отсутствии бункеровщиков и сборщиков мусора и подсланевых вод в порту, где производятся дноуглубительные работы, эти суда также включаются в состав каравана в долях пропорционально времени их занятости под караваном.
На участках, опасных в навигационном отношении, в состав каравана вводится охранный буксир.
При удалении отвала грунта от береговой черты более чем на 20 миль в состав каравана дополнительно вводится буксир сопровождения, если не получено разрешения регистра на транспортировку грунта на данное расстояние с уменьшенной нормой загрузки трюма.
Шаланды, имеющие 2-й район плавания, в сопровождающем буксире не нуждаются.
При запрете проживания экипажей на судах в состав каравана включается брандвахта при ее наличии, или затраты на оплату жилья экипажей на берегу (оплачиваются отдельно).
1.4.3.2. При использовании технологической схемы с применением многочерпакового земснаряда и гидроперегружателя (отвал грунта на берег или на мелководье) в состав каравана должны входить:
шаланды с глухим днищем;
мотозавозня;
пассажирский катер;
промерная партия;
водолазная станция;
гидроперегружатель;
плавучий (при отвале на мелководье), береговой грунтопровод необходимой длины;
мелкосидящая мотозавозня (отвал на мелководье);
средства механизации работы на карте намыва (береговой отвал),
а также все служебно-вспомогательные суда, указанные в
п. 1.4.3.1.
При использовании для разгрузки шаланд грейферных кранов в состав каравана включается грейферный кран и средства механизации по распределению выгруженного на берег грунта.
1.4.3.3. При производстве выравнивания поверхности дна прорези, разработанной самоотвозными землесосами, многочерпаковым земснарядом в состав каравана включаются:
мотозавозня;
пассажирский катер;
промерная партия и служебно-вспомогательные суда, приведенные в
п. 1.4.3.1.
1.4.3.4. При применении технологической схемы с использованием многочерпакового земснаряда и рефулированием грунта на подводный или береговой отвал в состав каравана включаются:
рефулерная станция при отсутствии установленных на земснаряде грунтовых насосов;
мотозавозня;
мелкосидящая мотозавозня;
плавучий и береговой грунтопроводы;
средства механизации работ на карте намыва при береговом складировании грунта;
площадка для транспортировки труб берегового грунтопровода;
пассажирский катер;
промерная партия и служебно-вспомогательные суда, приведенные в
п. 1.4.3.1.
Примечания:
1. При разработке прорези на мелководье (забровочные глубины менее осадки мотозавозни) в состав каравана вводится мелкосидящая завозня или несамоходная завозня и мелкосидящий буксирный катер.
2. При разработке прорези в сухом береге с креплением рабочих тросов на "мертвяках" в состав каравана включается экскаватор для рытья "мертвяков".
1.4.3.5. При конвейерном отводе грунта от многочерпакового земснаряда на береговой отвал в состав каравана должны включаться:
мотозавозня;
плавучая конвейерная линия;
береговая конвейерная линия;
пассажирский катер;
промерная партия;
служебно-вспомогательные суда, приведенные в
п. 1.4.3.1.
1.4.3.6. В состав каравана самоотвозного землесоса при транспортировке грунта на подводный отвал включаются:
пассажирский катер;
промерная партия и служебно-вспомогательные суда, приведенные в
п. 1.4.3.1.
При рефулировании грунта на береговой отвал дополнительно в состав каравана включаются:
причальное устройство;
грунтопроводы плавучий (отвал на мелководье), береговой;
средства механизации работ на карте намыва.
При организации отвала на мелководье и рефулировании по плавучему грунтопроводу необходимо включить в состав каравана мелкосидящую мотозавозню для работы с плавучим грунтопроводом.
1.4.3.7. В состав каравана-комплекса самоотвозный землесос - якорный землесос с механическим разрыхлителем включается:
при первом варианте схемы:
мотозавозня;
пассажирский катер;
промерная партия и служебно-вспомогательные суда, приведенные в
п. 1.4.3.1;
при втором варианте:
мотозавозня;
плавучий грунтопровод;
пассажирский катер;
промерная партия и служебно-вспомогательные суда, приведенные в
п. 1.4.3.1;
при третьем варианте в дополнение к судам каравана по второму варианту включается устройство для стыковки плавучего грунтопровода с трубопроводом самоотвозного землесоса.
1.4.3.8. В состав каравана якорных землесосов при рефулировании грунта на подводный или береговой отвал входят:
мотозавозня;
плавучий и береговой грунтопроводы;
бустерные станции по расчету;
мелкосидящая мотозавозня;
площадка для транспортировки берегового трубопровода;
средства механизации работы на карте намыва;
промерная партия;
пассажирский катер;
служебно-вспомогательные суда, обеспечивающие бункеровку судов каравана, прием мусора и подсланевых вод.
При погрузке грунта в грунтоотвозные шаланды с их дальнейшей разгрузкой на подводном отвале в состав каравана включаются:
шаланды грунтоотвозные;
мотозавозня;
промерная партия;
водолазная станция;
пассажирский катер и служебно-вспомогательные суда, приведенные в
п. 1.4.3.1.
При выбросе грунта по подвесному грунтопроводу в состав каравана входят:
мотозавозня;
промерная партия;
пассажирский катер;
площадка с подвесным трубопроводом;
суда служебно-вспомогательные, приведенные в
п. 1.4.3.1.
1.4.3.9. В состав каравана грейферного самоотвозного земснаряда включается промерная партия.
1.4.3.10. В состав каравана штанговых и грейферных земснарядов при работе на шаланды входят:
грунтоотвозные шаланды;
промерная партия;
мотозавозня или буксирный катер для перекладки якорей и служебно-вспомогательные суда, приведенные в
п. 1.4.3.1.
При работе на внешних рейдах или незащищенных от волнения акваториях в состав каравана включается охранный буксир.
1.4.3.11. Количество шаланд в составе земкаравана определяется их наличием в эксплуатации, средней укомплектованностью черпаковых земснарядов шаландами, определяемой как отношение количества шаланд, находящихся в эксплуатации, к количеству земснарядов, находящихся в эксплуатации:

(15)
где:
Nш - количество шаланд, находящихся в эксплуатации;
Nз - количество земснарядов, находящихся в эксплуатации, ед.
При укомплектовании шаландами земснарядов с различной производительностью необходимо стремиться к тому, чтобы потери выработки от неукомплектованности шаландами земснаряда с меньшей производительностью перекрывались приростом выработки земснарядов с более высокой производительностью.
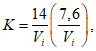
Максимальное количество шаланд в составе земкаравана не должно превышать необходимого, рассчитываемого по зависимости:

(16)
где tц - продолжительность полного цикла шаланды, рассчитываемая по формуле:

(17)
где:
tп - продолжительность погрузки трюма шаланды, ч;
Sн - дальность транспортировки грунта на отвал, км;

- норма времени на 1 км отвозки грунта на отвал и возвращение к земснаряду, ч;
tраз - продолжительность разгрузки трюма, ч;
Кv - коэффициент, учитывающий ограничение скорости движения на отдельных участках трассы.
2. ПОДГОТОВКА К ПРОИЗВОДСТВУ РАБОТ
2.1. Подготовительные работы, выполняемые управлением
или техническим участком
2.1.1. Основанием для начала подготовительных работ являются заявка и техническое задание, выданные заказчиком, на основании которых составляется проект производства работ (
Приложение 10).
2.1.2. Проект производства работ разрабатывается подрядной организацией, выполняющей дноуглубительные работы или по ее поручению - специальной проектной организацией.
2.1.3. Проект производства работ (ППР) должен содержать:
обоснование выбранной технологической схемы производства работ;
состав каравана;
ведомость объемов работ и условий их производства;
расчет основных производственных показателей земснаряда и грунтоотвозных шаланд;
расчет рабочего и календарного периодов выполнения работ;
систему обеспечения судов каравана топливом, водой, материалами и систему сдачи судами каравана мусора и подсланевых вод;
комплекс мероприятий по обеспечению навигационной безопасности судов земкаравана;
план промера участков работ;
последовательность выполнения работ на участках;
схему с системой ограждения рабочей прорези;
трассы движения на отвал и вид отвала.
При производстве намывных работ ППР должен дополнительно содержать:
генеральный план участка намыва с указанием существующих и вновь возводимых сооружений;
план карты намыва с расположением первичного обвалования, прудка-отстойника, основных и резервных сбросных колодцев;
расчет прудка-отстойника, водосбросных колодцев и мутности сбрасываемой с прудка-отстойника воды;
требования к намываемому грунту и мероприятия по обеспечению заданной характеристики намытого грунта;
состав механизации работ на карте намыва;
методы определения объема намытого грунта и расчета потерь на осадку основания, ветровую эрозию, уплотнения, слив;
способы контроля за качеством намывки.
2.1.4. В состав работ по подготовке участка входят:
выполнение предварительного промера на участках работ, трассах движения на отвал и на отвале;
выполнение траления на участках работ, отвалах и подходах к ним;
разбивка рабочих границ прорези и их закрепление на местности створными знаками;
выбор опорных пунктов и разработка системы определения положения земснаряда на прорези;
установка водомерной рейки и ее привязка к нулю порта или водомерного поста;
установка плавучих знаков навигационной обстановки на трассе движения на отвал и на отвале;
согласование мест отвалов грунта и трассы движения судов земкаравана с портнадзором.
2.1.4.1. Предварительный промер выполняется промерной партией технического участка или дистанции пути с подробностью и в сроки, указанные в РД 31.74.04-79 "Технология промерных работ при производстве дноуглубительных работ".
По материалам промера составляется план промера на участке в масштабе 1:2000.
2.1.4.2. Траление участка работ, трассы движения и отвала грунта выполняется в случаях, если он раньше не обследовался, когда имеются предположения о засорении после предшествующих дноуглубительных работ.
Целесообразность и способ траления или водолазного обследования в каждом случае определяются Управлением морских путей и при необходимости согласовываются с инспекцией портового надзора.
При тралении в первую очередь производится обнаружение и ограждение известных подводных препятствий, после чего производится траление по всей площади.
Обнаруженные при тралении препятствия должны сразу обвеховываться. Производится водолазное обследование и их удаление. При невозможности их удаления устанавливается навигационный знак опасности.
Результаты траления и водолазного обследования оформляются актами.
2.1.4.3. Отвалы грунта подразделяются на глубоководные, мелководные и береговые.
К глубоководным относятся отвалы грунта с глубинами не менее полторы осадки судна:

(18)
где:
Н - глубина на отвале, м;
Т - осадка судна в грузу, м.
К мелководным - отвалы с глубинами менее полторы осадки судна:

(19)
К береговым - отвалы с плюсовыми отметками.
| | ИС МЕГАНОРМ: примечание. Нумерация пунктов дана в соответствии с официальным текстом документа. | |
2.1.4.3. Положение глубоководного отвала при глубинах, не превышающих 25 м, закрепляется на местности установкой буя. При глубинах, превышающих 25 м, положение отвала определяется по двум пеленгам хорошо видимых с отвала береговых знаков.
2.1.4.4. Мелководные отвалы обычно имеют ограниченную вместимость и ограниченные границы, поэтому первоначально закрепляется дальняя граница отвала установкой двух буев. По мере заполнения отвала буи передвигаются.
2.1.4.5. Береговой отвал имеет строго определенные границы.
Разбивка границ береговых отвалов производится инструментально. По границам отвала отсыпается первичное обвалование, устанавливаются сбросные колодцы.
Высота первичного обвалования должна быть на 0,3...0,5 м выше уровня воды в прудке-отстойнике.
2.1.4.6. Положение подводного отвала грунта для рефулерных землесосов закрепляется на местности путем установки буйков или вешек по оси отвала.
2.1.4.7. При намыве территории на берегу на карте намыва по углам квадратов размером 25 x 25 м устанавливаются визирки (вешки, указывающие проектную отметку намыва).
2.1.4.8. Положения рабочих границ прорези на местности закрепляются створами. Чувствительность створов (боковое смещение) должна быть выше допустимого отклонения по ширине прорези.
Для повышения чувствительности створов на линии устанавливается не менее трех знаков.
При большом удалении прорези от береговой черты производится провешивание створной линии на воде с установкой вешек на напор.
2.1.4.9. Для многочерпаковых земснарядов и якорных папильонажных землесосов устанавливаются бровочные створы и осевые.
Бровочные створы устанавливаются по рабочим бровкам прорези, ширина которой определяется по зависимости:
Вр = Во + hСАm, (20)
где:
Во - проектная ширина прорези, м;
hСА - средняя толщина срезаемого слоя на бровках, м;
m - величина откоса грунта.
2.1.4.10. Для самоотвозных землесосов бровочные створы устанавливаются на расстоянии от оси прорези, равном:
Вств = 0,5(Во - Вз + hСАm - 2,5), (21)
где:
Во - проектная ширина прорези, м;
Вз - ширина землесоса, м;
hСА - толщина разрабатываемого слоя без учета допустимого перебора по глубине, м;
m - величина заложения откоса;
2,5 - отстояние грунтоприемника от борта, м.
2.1.4.11. Для траншейных якорных землесосов бровочные створы устанавливаются на расстоянии от оси прорези, равном:
Вств = 0,5(Во - Вз + hСАm). (22)
2.1.4.12. Для одночерпаковых земснарядов закрепляется на местности ось прорези, отстояние которой от рабочей бровки определяется зависимостью:
Sо = Rmax, (23)
где Rmax - максимальный радиус копания, м.
2.1.4.13. Начало и окончание прорези закрепляется вешкой или буйком, устанавливаемым на забровочном пространстве. Все разбивочные работы сдаются по акту заказчику.
2.1.4.14. До установки земснаряда на прорезь знаки навигационной обстановки по согласованию с портнадзором должны быть убраны из рабочей зоны земснаряда.
2.1.4.15. Положение земснаряда на прорези в процессе работы может определяться по береговым опорным знакам и с помощью радиосистемы.
При определении положения земснаряда по береговым опорным знакам (по горизонтальному углу и створу, по двум горизонтальным углам) опорные знаки должны быть хорошо видны с места работы земснаряда. На земснаряд должны выдаваться таблицы углов по профилям или планшеты с соответствующими сетками.
При использовании радиосистем опорные знаки для установки передающих радиостанций должны выбираться таким образом, чтобы одна из линий положения шла вдоль разрабатываемой прорези.
2.1.4.16. При большом удалении района проведения дноуглубительных работ от места нахождения постоянного уровенного поста и отсутствии радиосвязи между земснарядом и уровенным постом в районе работ должен устанавливаться временный уровенный пост.
Погрешность передачи нуля глубин с постоянного на временный пост не должна превышать +/- 5 см.
На морях с приливами, а также при наличии сгоно-нагонных явлений в районе проведения дноуглубительных работ должны действовать одновременно постоянный и временный уровенные посты.
Положение мгновенного уровня при действии нескольких уровенных постов в районе проведения дноуглубительных работ определяется по зависимости:

(24)
где:
Аi - превышение мгновенного уровня над нулем глубин, определяемое по показаниям рейки на уровенном посту, см;
Di - удаление места работы земснаряда от места нахождения уровенного поста, км.
Правильность положения водомерной рейки в районе работы земснаряда контролируется промерной партией каждые 10 суток.
2.1.4.17. Согласно техническому заданию заказчика, проекту производства работ управлением или техническим участком составляется техническое задание на выполнение дноуглубительных работ для земснаряда.
Техническое задание капитану-багермейстеру на выполнение дноуглубительных работ должно содержать:
проектные габариты разрабатываемой прорези;
величины допустимых переборов по глубине и ширине прорези;
группу разрабатываемых грунтов;
вид отвала грунта и его удаленность от места работы;
требования и ограничения природоохранных организаций;
предполагаемый объем работ, м3;
сроки выполнения работы;
особые условия по производству работ.
Обязательным приложением к техническому заданию являются:
предварительный план промера участка работ;
состав каравана;
производственные показатели работы земснаряда (производительность, КИРП, суточная выработка);
ведомость предварительного подсчета объемов работ;
схема ограждения границ прорези, отвалы грунта и трассы движения судов на отвал;
акт траления и водолазного обследования участка работ, отвала грунта и трассы движения на отвал;
отметка нуля глубин и схема места установки временного уровенного поста;
отметка нуля водомерной рейки уровенного поста;
система опорных знаков для определения положения земснаряда на прорези, таблица углов или планшет с линиями положения;
продолжительность подготовительного периода к морскому переходу, продолжительность морского перехода и подготовительного периода к производству работ;
перечень мероприятий по обеспечению навигационной безопасности судов земкаравана на опасном в навигационном отношении участке работы.
2.2. Подготовительные работы, выполняемые судами
земкаравана, к производству дноуглубления
2.2.1. При получении технического задания на производство дноуглубительных работ капитан-багермейстер приступает к подготовке земкаравана к работе.
В состав подготовительных работ, выполняемых на судах земкаравана, входят:
ознакомление с условиями производства работ по техническому заданию и приложениям к нему;
выбор схемы установки земснаряда и подбор необходимого оборудования и оснастки;
при необходимости морского перехода производятся работы по подготовке земснаряда и судов земкаравана к морскому переходу;
определяется состав служебно-вспомогательных судов и средств механизации и разрабатывается схема их переброски на новое место работы;
производится пополнение запасов воды, топлива и провизии;
определяется перечень необходимых запасных деталей;
производится крепление палубного груза и устройств по-походному;
при совершении морского перехода в разоруженном состоянии производится демонтаж спецустройств и их погрузка в транспортное средство;
при морских переходах в законвертированном состоянии производится конвертировка и герметизация корпуса судна и его надстроек;
производится оформление документации на право морского перехода в инспекции Регистра;
при совершении морского перехода без команды на борту производится организация перевозки экипажа на место работы и его размещение на берегу до прихода судна;
производится оформление отхода в конторе капитана порта.
По приходу земкаравана на место работ в состав подготовительных операций входят:
подготовка механизмов и устройств к работе;
если производился демонтаж спецустройств, производится монтаж спецустройств;
при необходимости произвести установку рамы на нужную точку подвеса;
ознакомление с участком работ и условиями их производства на местности;
производится согласование с портнадзором схемы установки земснаряда, мест стоянки судов в период ожидания подхода к борту и в период отстоя в штормовую погоду, трасс движения на отвал, режима движения в порту, порядка пропуска судов, системы связи;
согласовываются со службами порта порядки доставки на суда провизии, воды, топлива, сдачи мусора и подсланевых вод.
2.3. Условия производства дноуглубительных работ
и показатели работы земснарядов
2.3.1. Одними из важнейших факторов, оказывающих значительное влияние на производственные показатели работы земснаряда, являются условия производства работ, к которым относятся:
габариты разрабатываемой прорези;
забровочные глубины;
разрабатываемые грунты;
наличие включений и предметов захламления в разрабатываемых грунтах;
толщина разрабатываемого слоя;
неравномерность разрабатываемого слоя по ширине и длине разрабатываемой прорези;
допуски по габаритам разрабатываемой прорези;
гидрометеорологические условия (течение, колебание уровня воды, сила и направление ветра, высота волнения, ледовая обстановка, периодичность туманов и их продолжительность, периодичность штормовых явлений, температура окружающей среды и т.д.);
вид отвала и дальность транспортировки грунта на отвал;
требования по укладке грунта на отвале;
ограничения и специальные требования природоохранных органов.
2.3.1.1. Условия производства работ указываются в техническом задании на выполнение дноуглубительных работ, однако, в процессе выполнения работ могут наблюдаться значительные отклонения.
Все отмеченные отклонения фиксируются в судовом журнале и оформляются двусторонним актом с заказчиком.
2.3.1.2. Простои по гидрометеорологическим причинам, по очистке спецустройств от предметов захламления и пропуску судов не поддаются предварительным расчетам и могут значительно отличаться от указанных в техническом задании.
Величины этих простоев фиксируются в судовом журнале, по выпискам из которого определяются фактические затраты времени и составляется двусторонний акт.
При определении простоев по гидрометеорологическим причинам к выпискам из судового журнала прикладываются сводки гидрометеорологической станции о состоянии погоды за указанный период.
Затраты времени на пропуски судов и занятость участка согласовываются с портнадзором.
2.3.1.3. Простои земснаряда из-за запрета производства дноуглубительных работ подтверждаются документами природоохранных организаций.
2.3.1.4. При несовпадении разрабатываемых грунтов с указанными в техническом задании совместно с представителем заказчика отбираются пробы грунта из рабочих органов земснаряда и фактический вид грунта определяется на основании лабораторного анализа отобранных проб.
2.3.1.5. При обнаружении расхождения между заданными габаритами прорези и фактическими вызывается промерная партия, производившая разбивку границ прорези на местности, и представитель заказчика, производится проверка разбивки на берегу и замеры фактических габаритов на месте работ и составляется акт.
Отклонения фактических габаритов от указанных в техническом задании фиксируются в судовом журнале.
2.3.2. Основными производственными показателями работы земснарядов являются:
часовая производительность;
коэффициент использования рабочего периода;
суточная выработка.
2.3.2.1. У многочерпаковых земснарядов, папильонажных землесосов часовая производительность определяется по объему разработанного грунта в состоянии естественного залегания за один час непрерывной работы.
2.3.2.2. У одночерпаковых земснарядов, траншейных землесосов часовая производительность определяется по объему разработанного в состоянии естественного залегания грунта за час работы земснаряда и рассчитывается по зависимости:

(25)
где:
V - объем грунта, разработанного земснарядом, м3;
tраз - чистое время разработки грунта, ч;
tпер - продолжительность передвижек земснаряда с полосы на полосу, ч.
2.3.2.3. У самоотвозных землесосов и грейферных самоотвозных земснарядов часовая производительность определяется по объему разработанного и отвезенного на отвал грунта за час работы и рассчитывается по зависимости:

(26)
где:

- объем погруженного в трюм грунта в состоянии естественного залегания, м
3;
tц - продолжительность цикла работы землесоса, земснаряда, рассчитываемая по зависимости:

(27)
где:
tгр - продолжительность грунтозабора (погрузки трюма), ч;
tразв - продолжительность разворотов при смене галсов, у грейферных самоотвозных земснарядов - продолжительность передвижек с полосы на полосу, ч;
Sн - дальность транспортировки грунта на отвал, км;
tх - норма времени на 1 км отвозки грунта на отвал и возвращение к месту работы, ч;
Кv - коэффициент, учитывающий ограничение скорости движения землесоса на трассе;
tразг - продолжительность разгрузки трюма, ч, при разгрузке трюма на береговой или мелководный отвал рефулированием.
В продолжительность разгрузки трюма включаются:
продолжительность подхода и отхода землесоса к причальному сооружению, ч;
продолжительность стыковки и расстыковки корпусного грунтопровода с береговым или плавучим, ч;
продолжительность разгрузки трюма рефулированием, ч.
При разгрузке трюма рефулированием в трюме остается "мертвый" слой грунта, объем которого в среднем находится в пределах 10% объема погруженного в трюм грунта.
2.3.2.4. Норма на 1 км отвозки грунта на отвал и возвращение грунтоотвозного судна к месту работы рассчитывается по зависимости:

(28)
где Vср - средняя скорость движении судна в грузу и порожнем, км/ч;
Vгр = 0,5(Vгр + Vп), (29)
где:
Vгр - скорость судна в грузу, км/ч;
Vп - скорость судна порожнем, км/ч;
К
рт - коэффициент, учитывающий разгон и торможение судна, выбирается по
табл. П.8.1 Приложения 8;
К
з - коэффициент, учитывающий задержки в пути, выбирается из
табл. П.8.2 Приложения 8.
2.3.2.5. Производственными показателями грунтовоотвозных шаланд являются:
часовая производительность по транспортировке грунта на отвал, рассчитываемая как отношение объема погруженного в трюм грунта в состоянии естественного залегания к продолжительности учета работы шаланды:

(30)
где:

- норма погрузки трюма, м
3;
tц - продолжительность цикла работы, ч, рассчитываемая по зависимости:

(31)
где:
tп - продолжительность погрузки трюма, ч;
tпо - продолжительность подхода (отхода) к земснаряду, ч;
Количество рейсов, совершаемых шаландой за сутки работы, рассчитывается по зависимости:

(32)
где 24 - продолжительность суток в часах.
Объем вывезенного грунта за сутки, рассчитываемый по зависимости:

(33)
2.4. Годовой баланс времени судов дноуглубительного
флота и порядок его учета
2.4.1. Годовой баланс времени судов дноуглубительного флота складывается из следующих периодов:
ремонтного;
эксплуатационного;
зимнего отстоя.
Все виды периодов исчисляются с округлением до полных суток.
2.4.1.1. Ремонтный период - период пребывания судна в ремонте. Граничными датами являются даты приема судна на ремонт и приема судна из ремонта.
2.4.1.2. Эксплуатационным периодом называется промежуток времени от момента выхода судна из ремонта (отстоя) до момента постановки на ремонт (отстой):
Тэ = 365 - Тзр - Тот, (34)
где:
Тэ - эксплуатационный период, сут.;
Тзр - продолжительность заводского ремонта, сут.;
Тот - продолжительность отстоя, сут.
2.4.1.3. Отстойным периодом считается период времени пребывания судна вне эксплуатации по следующим причинам:
невозможность использования из-за ледовых условий;
ожидание постановки на ремонт;
недоукомплектованность экипажа;
отсутствие работы по причинам запрета производства дноуглубления природоохранными организациями;
отсутствие потребности в эксплуатации.
Период отстоя (консервации) оформляется приказом.
2.4.1.4. Эксплуатационный период состоит из следующих периодов:
подготовительный;
техническое обслуживание;
рабочий.
Тэ = Тр + Тп + Тто, (35)
где:
Тр - рабочий период, сут.;
Тп - подготовительный период, сут.;
Тто - период технического обслуживания (профилактики), сут.
Тр = Тэ - (Тп + Тто). (36)
2.4.1.5. Навигационным периодом называется промежуток времени от начала до конца навигации.
Продолжительность зимнего отстоя может быть определена по зависимости:
Тот = 365 - (Тн + Тэр + Тп), (37)
где:
Тн - продолжительность навигационного периода, сут.;
Тп - продолжительность подготовительного периода, сут.
2.4.1.6. Рабочий период складывается из чистого времени работы земснаряда и производственных остановок:
Тр = tч + tост, (38)
где:
tч - чистое время работы земснаряда, ч;
tост - продолжительность производственных остановок, ч.
Продолжительность рабочего периода обычно выражается в часах.
2.4.1.7. Продолжительностью рабочего периода на участке работ считается время пребывания судна на участке плюс продолжительность морского перехода.
2.4.1.8. Использование рабочего периода определяется коэффициентом, рассчитываемым как отношение чистого времени работы к полной продолжительности рабочего периода:

(39)
2.4.1.9. Под частым временем работы у одночерпаковых и многочерпаковых земснарядов, якорных землесосов понимается время, затраченное на разработку грунта.
У самоотвозных землесосов и грейферных самоотвозных земснарядов - время, затраченное на разработку и транспортировку грунта, определяется по зависимости:
tч = nрейс tц, (40)
где:
nрейс - количество рейсов, совершенных землесосом или земснарядом;
tц - продолжительность цикла, ч.
У грунтоотвозных шаланд чистое время работы определяется затратами времени на погрузку и транспортировку грунта и рассчитывается по зависимости:
tч = nрейс tц. (41)
2.4.1.10. В состав производственных остановок одночерпаковых и многочерпаковых земснарядов входят:
установка (съемка) на участке работ;
перекладка рабочих якорей;
подход и швартовка шаланд;
осмотр и смазка механизмов и замена изношенных деталей;
недостаток шаланд;
пропуск судов;
перерывы в работе по гидрометеорологическим причинам;
пополнение запасов воды и топлива;
сдача мусора и льяльных вод;
очистка черпаковой цепи, рамы и нижнего черпакового барабана от предметов захламления.
К простоям относятся:
неподготовленность объекта или участка работ;
необеспеченность топливом, водой и запасными деталями;
неисправность шаланд и мотозавозни;
устранение поломок и повреждений;
неукомплектованность экипажей;
запреты на работу природоохранных органов;
прочие причины, обусловленные недостатками в организации производства.
2.4.1.11. В состав производственных остановок якорных рефулерных землесосов входят:
установка (съемка) на участок работ;
перекладка рабочих якорей;
перекладка, удлинение (укорачивание) плавучего и берегового грунтопроводов;
очистка грунтоприемных устройств;
промывка грунтопровода;
осмотр, смазка механизмов и замена изношенных деталей;
пополнение запасов воды и топлива;
сдача мусора и льяльных вод;
пропуск судов;
перерывы по гидрометеорологическим причинам.
К простоям относятся те же причины, что приведены в п. 2.3.1.9.
2.4.1.12. В состав производственных остановок самоотвозных землесосов, земснарядов и шаланд входят:
осмотр, смазка механизмов и замена изношенных деталей;
пополнение запасов воды и топлива;
сдача мусора и льяльных вод;
перерывы в работе по гидрометеорологическим причинам;
ожидание погрузки (для шаланд);
пропуск судов и ожидание разрешения на заход или выход в порт.
При рефулировании на береговой отвал (склад) - подготовка карты намыва.
К простоям относятся:
неподготовленность объекта или участка работ;
необеспеченность топливом, водой и сменными деталями;
неисправность механизмов и устройств;
неукомплектованность экипажей;
запреты на работу природоохранных органов;
прочие причины, обусловленные недостатками в организации производства.
2.5. Контроль за качеством и сдача выполненных работ
2.5.1. Контроль качества выполняемых работ должен производиться в течение всего периода проведения работ.
Капитан-багермейстер обязан выполнять ежедневный оперативный контроль, в состав которого входят:
проверка состояния береговых и плавучих знаков рабочей обстановки, ограждающей разрабатываемую прорезь;
проверка состояния водомерной рейки временного уровенного поста;
выполнение в установленной периодичности (не реже 2 раз за вахту) контрольных промеров собственными силами с борта земснаряда;
проверка выработки бровок;
проверка технического состояния люковых закрытий грунтового трюма землесоса (шаланд);
проверка исправности радионавигационных систем определения положения земснаряда на прорези.
Все выявленные неисправности и замечания записываются в судовом журнале с указанием принимаемых мер и сроков устранения неисправностей.
2.5.2. Контроль за качеством выполняемых работ Управлением морских путей (техническим участком) производится не реже одного раза за 5 суток работы земснаряда. В состав контроля входят:
проведение промера за земснарядом и на участке работ;
проверка положения створных знаков, ограждающих рабочие границы прорези;
установка фактического положения бровок прорези на выработанной части;
проверка положения нуля рейки временного уровенного поста;
проверка отметок намытых площадей.
2.5.3. Контроль качества выполнения работ совместно с представителями заказчика, генподрядчика, авторов проекта производства работ и управления морских путей производится на участках с интенсивностью заносимости не более 0,3 м3/год каждые 10 дней. На участках со штормовой заносимостью не позднее 3 суток после окончания шторма.
В состав контроля входят:
проверка соответствия разбивки и ограждения рабочих границ прорези проектным;
выполнение контрольного промера на выработанной части прорези;
проверка качества выполненных работ (определение фактических переборов по глубине и ширине прорези);
предварительный подсчет объемов выполненных работ.
На участках с заносимостью, превышающей 0,3 м3/год, через каждые 30 суток выполняется контрольный промер всего участка работ.
На участках со штормовой заносимостью контрольный промер всего участка выполняется не позднее трех суток после окончания шторма.
По контрольным промерам оформляется план промера, производится уточнение объема работ на участке и оформляется промежуточный акт.
Замечания по результатам контроля передаются капитану-багермейстеру земснаряда, который обязан принять меры по устранению отмеченных недостатков.
2.5.4. Прием выполненных дноуглубительных работ производится представителем заказчика непосредственно на участке работ совместно с представителем подрядчика и генподрядчика путем выполнения исполнительного промера.
На участках с заносимостью более 0,3 м3/год и штормовой заносимостью прием работ производится подекадно.
На участках с заносимостью менее 0,3 м3/год прием работ производится ежемесячно.
2.5.4.1. Исполнительный промер на участках работ одночерпаковых, многочерпаковых и папильонажных землесосов выполняется по углубленному участку и на всем участке работы у самоотвозных земснарядов и траншейных землесосов.
2.5.5. Прием-сдача дноуглубительных (намывных) работ оформляется промежуточными актами. Если в установленные сроки производство исполнительного промера невозможна из-за метеорологических условий, объем выполненных работ устанавливается по оперативным сводкам с последующей корректировкой по выполненным промерам.
2.5.6. По окончании дноуглубительных работ на участке (объекте) исполнитель в десятидневный срок должен представить заказчику (генподрядчику) план промера участка (объекта) с нанесенными глубинами до и после дноуглубления и ведомость подсчетов фактически выполненного объема работ. На участках с заносимостью, превышающей 0,3 м
3/год и штормовой заносимостью, прикладываются планы контрольных промеров, выполняемых в процессе производства согласно
п. п. 2.5.2.
2.5.7. Сдача участков работ нового строительства производится комиссией.
2.5.8. Обнаруженные при контроле или приемке-сдаче работ недоборы по глубине свыше 10 см относительно проектной должны быть устранены повторной проходкой по требованию заказчика.
Переборы по глубине сверх установленного допуска при подсчетах объема выполненных работ не учитываются.
2.5.9. Объем намытого грунта на территорию определяется по результатам нивелировки карты намыва по объему отрефулированного из трюма грунта или по объему разработанного на карьере грунта.
2.5.9.1. При определении объема намытого грунта по нивелировке карты намыва необходимо учитывать потери грунта в связи:
с осадкой основания под сооружением;
с уносом грунта течением при намыве подводной части сооружения;
с уносом грунта ветром;
с фильтрацией грунта через дамбы обвалования;
с уносом грунта в осветленной смеси, сбрасываемой с карты намыва.
2.5.9.2. При определении объема намытого грунта по объему отрефулированного из трюма, объем отрефулированного из трюма грунта определяется по разности водоизмещений землесоса в грузу и при разгруженном трюме и рассчитывается по зависимости:

(42)
где:
Gгр - водоизмещение землесоса в грузу, т;
Gп - водоизмещение землесосов при разгруженном трюме, т;

- плотность грунта в трюме, т/м
3.
2.5.9.3. Плотность грунта в трюме определяется как отношение разности водоизмещений землесоса в грузу и после разгрузки к объему грунта, определенному по замерам в трюме:

(43)
где:
Wтр - объем грунта в трюме по замерам, м3;

- водоизмещение землесоса при отсутствии "мертвого" слоя грунта в трюме.
2.5.9.4. Водоизмещение землесоса при отсутствии "мертвого" слоя определяется после разгрузки "мертвого" слоя через днищевые дверцы и промывки трюма при закрытых днищевых дверцах.
2.5.9.5. Объем грунта в трюме определяется по замерам в трюме не менее чем в пяти точках по правому и левому борту и с помощью графика вместимости трюма.
2.5.9.6. При однородном грунте на карьере плотность грунта в трюме определяется не менее трех раз за период производства намывных работ. Частота определения плотности грунта в трюме устанавливается по согласованию подрядчика и заказчика.
Измеренная плотность грунта в трюме оформляется актом.
2.5.10. Определение намытого грунта по выемке на карьере производится при расположении карьера в непосредственной близости от мест намыва и при выполнении работ по намыву якорными рефулерными землесосами. Объем выемки подсчитывается по планам промера до и после проведения намывных работ.
2.5.11. Объем намытого грунта при выполнении работ технологическим комплексом (многочерпаковый земснаряд - гидроперегружатель, многочерпаковый земснаряд - рефулерный землесос) может определяться как по нивелировке карты намыва, так и по объему выемки на карьере.
2.6. Расчет объемов выполненных работ
2.6.1. Объем подводных выемок и насыпей рассчитывается по планам промера, выполненным до и после выполнения разработки. Для учета грунта, сползающего с откосов бровок, при выполнении промеров необходимо произвести удлинение промерного профиля в каждую сторону от рабочих бровок на величину, приведенную в табл. 8.
Таблица 8
УДЛИНЕНИЕ ПРОМЕРНОГО ПРОФИЛЯ В КАЖДУЮ СТОРОНУ
ОТ РАБОЧИХ БРОВОК, М
Наименование грунтов | Глубина прорези, м |
1 - 5 | 6 | 8 | 10 | 12 | 14 |
Ил, глина, суглинок, супесь, текучие | 60 | 90 | 120 | 150 | 180 | 210 |
Ил, глина, суглинок, текучепластичные, пластичные, песок пылеватый, пески рыхлые | 40 | 60 | 80 | 100 | 120 | 140 |
Пески средней плотности и плотные, ракушечник заиленный, гравий, галька, щебень | 25 | 30 | 30 | 30 | 40 | 40 |
Глины полутвердые и твердые, мергель | 10 | 20 | 20 | 20 | 30 | 30 |
3. САМООТВОЗНЫЕ ЗЕМЛЕСОСЫ
3.1. Технология работы самоотвозных землесосов
3.1.1. Самоотвозные землесосы могут быть оборудованы одним или двумя бортовыми всасывающими грунтопроводами или одним грунтопроводом, расположенным в диаметральной плоскости землесоса и закрепленным на жесткой раме.
3.1.2. Разработку прорези самоотвозные землесосы производят траншеями, перемещаясь вдоль оси прорези.
Количество разрабатываемых траншей зависит от количества всасывающих грунтопроводов и условий работы.
Подборка и подрезка бровок производится одним грунтоприемником.
Ширина разрабатываемой траншеи практически равна ширине грунтоприемника, величина которой в среднем составляет:
у землесосов с вместимостью трюма до 2000 м3 - 1,4...1,7 м;
у землесосов с вместимостью трюма от 2000 до 4500 м3 - 2,0...3,5 м;
у землесосов с вместимостью трюма более 4500 м3 - более 3,5 м.
Толщина разрабатываемого слоя за одну проходку грунтоприемника зависит от плотности разрабатываемых грунтов и находится в пределах 0,1..0,25 м.
3.1.3. Положение траншей на местности не фиксируется, а зависит от траектории движения землесоса, поэтому вероятны проходы по ранее разработанной траншее или пропуски между траншеями. После разработки самоотвозными землесосами поверхность дна прорези имеет большую неравномерность как в поперечном, так и в продольном направлениях.
Для предотвращения больших пропусков и гребней выше проектной отметки количество проходов по прорези должно превышать необходимое количество проходов по объему разрабатываемого грунта в 1,2..1,3 раза, а заглубление грунтоприемника при разработке последнего слоя ниже проектной отметки - не менее половины допустимого перебора.
Величина допустимых переборов по глубине приведена в табл. 9.
Таблица 9
ДОПУСТИМАЯ ВЕЛИЧИНА ПЕРЕБОРА ПО ГЛУБИНЕ
ДЛЯ САМООТВОЗНЫХ ЗЕМЛЕСОСОВ
Вид грунта | Текучий или рыхлый | Пластичные, тугопластичные, плотные несвязные | Полутвердые и твердые |
Допустимый перебор по глубине, м | 0,50 | 0,70 | 0,90 |
При наличии в грунте включений размером более 0,25 м указанные допустимые переборы увеличиваются:
при размере включений 26...40 см на 0,2 м,
при размере включений до 60 см на 0,4 м.
3.1.4. Точность выработки прорези по ширине определяется чувствительностью бровочных створов и рысканием землесоса, величина которого определяется зависимостью:

(44)
где:
Vгр - скорость землесоса при грунтозаборе, м/с;
t - продолжительность рыскания, с;

- угол рыскания, радиан (град).
При средней скорости движения в процессе грунтозабора, равной 2,5 узла (1,3 м/с), и величине

по нормам технологического проектирования морских каналов:

(45)
Боковое отклонение бровочного створа (чувствительность створа) может быть определено по зависимости:

(46)
где:
Рст - боковое отклонение створа, м;
D - удаленность наблюдателя от переднего створного знака, км;
d - разнос между створными знаками, км;
n - кратность бинокля.
Разнос створных знаков при величине бокового отклонения, равной Рст = 3,0 м, приведен в табл. 10.
Таблица 10
ВЕЛИЧИНА РАЗНОСА МЕЖДУ СТВОРНЫМИ ЗНАКАМИ
И РАЗМЕР ТОПОВЫХ ФИГУР
Показатели | Дальность наблюдения створного знака, км |
0,5...1,0 | 1,1...1,5 | 1,6...2,0 | 2,1...3,0 | 3,1...3,5 | 3,6...4,0 |
Разнос между створами, м | 150 | 350 ----- 100 | 500 ----- 110 | - ----- 250 | - ----- 340 | - ----- 450 |
Размер "а" для топовой фигуры, м | Не менее 0,5 | Не менее 1,2 |
Примечания:
1. В числителе дан разнос створных знаков для невооруженного глаза, в знаменателе - для глаза, вооруженного шестикратным биноклем.
2. При пользовании биноклем с другой кратностью увеличения разнос между створами рассчитывается по зависимости:

(47)
3.1.5. При действии бокового ветра и течения суммарный угол дрейфа и сноса землесоса не должен превышать 5 градусов. Удержание землесоса на заданном курсе в пределах допустимого дрейфа и сноса производится с помощью носового подруливающего устройства и перекладки рулей в сторону сноса, подбора частоты вращения гребных винтов.
Подработка подветренной бровки производится одним грунтоприемником наветренного борта.
3.1.6. Минимальная глубина разработки должна быть не менее проходной глубины землесоса, величина которой приведена в табл. 11.
Таблица 11
ПРОХОДНАЯ ГЛУБИНА САМООТВОЗНЫХ ЗЕМЛЕСОСОВ НА УЧАСТКЕ,
ТРАССЕ ДВИЖЕНИЯ НА ОТВАЛ И НА ОТВАЛЕ
Тип землесоса (вместимость трюма, м3) | При отсутствии волнения | При наличии волнения |
на участке работ и на подводном отвале | на трассе движения на отвал | на участке работ и на подводном отвале | по трассе движения |
Менее 1000 | 4,5 | 5,1 | 5,0 | 5,5 |
1000...2500 | 5,0 | 5,6 | 5,5 | 6,0 |
2500...4500 | 7,0 | 7,6 | 7,5 | 8,0 |
Более 4500 | Более 8,0 | Более 8,6 | Более 8,6 | Более 9,2 |
3.1.7. При использовании в работе пневмогидрокомпенсаторов необходимо учитывать, что амплитуда колебаний грунтоприемников по глубине без участия лебедок достигает двойного хода поршня пневмогидрокомпенсатора, при разработке прорези с большой неравномерностью слоя грунтоприемник, двигаясь по контуру поверхности дна, вбирает грунт и в местах с глубинами, превышающими проектные.
3.1.8. Максимальная консистенция смеси при разработке данного вида грунта достигается соответствующим режимом работы гидроразрыхлителя, давлением грунтоприемника на грунт, регулируемым давлением в системе пневмогидрокомпенсаторов и скоростью движения землесоса на прорези в процессе грунтозабора.
Рекомендуемые давления в системе пневмогидрокомпенсаторов приведены в табл. 12.
Таблица 12
РЕКОМЕНДУЕМЫЕ ДАВЛЕНИЯ В СИСТЕМЕ ПНЕВМОГИДРОКОМПЕНСАТОРОВ
В ОТНОСИТЕЛЬНЫХ ВЕЛИЧИНАХ Р/Рmax
Группа грунта по трудности разработки | Гранулометрический класс грунта |
(IV - VI), IV, V, VI | IIIп | IIIм | IIIрс | IIIк |
1 | 0,30 | - | - | - | - |
2 | 0,50 | 0,50 | 0,5 | 0,45 | 0,40 |
3 | 0,70 | 0,70 | 0,65 | 0,60 | 0,50 |
4 | 0,90 | 0,85 | 0,80 | 0,75 | 0,70 |
Режим работы гидроразрыхлителя изменяется путем замены сопел. При разработке плотных грунтов должны устанавливаться сопла большего диаметра.
Рекомендуемые скорости движения землесоса при грунтозаборе приведены в табл. 13.
Таблица 13
РЕКОМЕНДУЕМЫЕ СКОРОСТИ ДВИЖЕНИЯ ЗЕМЛЕСОСА
ПРИ ГРУНТОЗАБОРЕ, УЗЛ.
Группа грунта по трудности разработки | Гранулометрический класс |
(IV - VI), IV, V, VI | IIIп | IIIм | IIIрс | IIIк |
1 | 3...4 | - | - | - | - |
2 | 2,5...3,0 | 2,0...2,5 | 2,0...3,0 | 2,3...3,0 | 2,5...3,0 |
3 | 2,0...2,4 | 1,8...2,0 | 1,8...2,2 | 2,0...2,8 | 2,0...2,4 |
4 | - | 1,6...1,8 | 2,0 | 2,0 | 2,0...2,4 |
Примечание. При использовании гидроразрыхлителя скорость движения землесоса при грунтозаборе должна быть снижена на 20...25%.
3.1.9. В процессе грунтозабора необходимо подчеркивать максимально возможную консистенцию смеси, что обеспечивает максимальную производительность грунтовых насосов по грунту, при этом необходимо стремиться, чтобы величина вакуума была близка к нулевому значению. При высоком вакууме может возникнуть кавитация, сопровождающаяся вибрацией и характерными стуками в грунтовом насосе, которая приводит к повышенному износу деталей грунтовых насосов, к резкому снижению расхода или к срыву процесса всасывания.
3.1.9.1. Наиболее часто явление кавитации наблюдается при разработке илистых грунтов, рыхлых крупнозернистых и песков средней крупности, а также при разработке плотных пылеватых песков от явления присоса грунтоприемника к грунту.
3.1.9.2. Для предотвращения явления кавитации на илистых грунтах и рыхлых песках необходимо в полость грунтоприемника подать больше воды, что достигается путем приоткрытия предохранительного клапана, установленного на грунтоприемнике.
3.1.9.3. Предотвращение процесса кавитации при разработке плотных мелких и пылеватых песков достигается путем снижения давления грунтоприемника на грунт.
3.1.9.4. Рекомендуемые консистенции смеси, при которых обеспечивается нормальная работа грунтового насоса и высокая производительность, приведены в табл. 14,
15.
Таблица 14
РЕКОМЕНДУЕМЫЕ ОБЪЕМНЫЕ КОНСИСТЕНЦИИ СМЕСИ
Группа грунта по трудности разработки | Гранулометрический класс грунта |
(IV - VI), IV, V, VI | IIIп | IIIм | IIIрс | IIIк |
1 | 0,4...0,5 | - | - | - | - |
2 | 0,30 | 0,15 | 0,18 | 0,20 | 0,25 |
3 | 0,25 | 0,10 | 0,12 | 0,15 | 0,20 |
4 | - | 0,08 | 0,10 | 0,10 | 0,15 |
Таблица 15
РЕКОМЕНДУЕМЫЕ ДЕЙСТВИТЕЛЬНЫЕ КОНСИСТЕНЦИИ СМЕСИ
Группа грунта по трудности разработки | Гранулометрический класс грунта |
(IV - VI), IV, V, VI | IIIп | IIIм | IIIрс | IIIк |
1 | 0,125 | - | - | - | - |
2 | 0,12 | 0,064 | 0,072 | 0,097 | 0,012 |
3 | 0,10 | 0,053 | 0,063 | 0,082 | 0,012 |
4 | - | 0,040 | 0,054 | 0,065 | 0,087 |
Примечание. При использовании гидроразрыхлителя необходимо консистенцию смеси, приведенную в
табл. 14 и
15, на грунтах 3 и 4 группы по трудности разработки умножить на коэффициент 1,5.
3.1.9.5. Действительная объемная консистенция смеси рассчитывается по зависимости:

(48)
где:

- плотность смеси, т/м
3;

- плотность воды, т/м
3;

- удельная плотность грунта, т/м
3.
Средняя удельная плотность песков составляет 2,65 т/м3; средняя удельная плотность суглинков и глин - 2,70 т/м3.
3.1.9.6. Для удобства перехода к объему грунта в состоянии естественного залегания вводится понятие объемной консистенции смеси, которая рассчитывается по зависимости:

(49)
где

- плотность грунта в состоянии естественного залегания, т/м
3.

(50)
для песков:

(51)
для суглинков, глин:

(52)
При измерении консистенции смеси установленными на землесосах консистометрами необходимо учитывать, какая плотность грунта устанавливается на консистометре, согласно инструкции по эксплуатации консистометра.
3.1.10. Разработка прорези выполняется послойно, заглубление грунтоприемника в грунт не должно превышать 0,5 м во избежание образования валов вдоль разрабатываемой траншеи.
3.1.11. Разработка прорези может выполняться методом "копирования поверхности дна", когда грунтоприемник в процессе разработки повторяет все неровности поверхности дна, срезая стружку одинаковой толщины на всей протяженности участка, и методом послойной разработки со строгой фиксацией глубины грунтозабора на всей протяженности участка.
3.1.11.1. При способе "копирования поверхности дна" обеспечивается постоянная устойчивая консистенция поступающей в трюм смеси на всем протяжении разрабатываемого участка, указанный способ рекомендуется использовать при неравномерном распределении наносов или разрабатываемого грунта по длине участка.
Для обеспечения движения грунтоприемника по поверхности дна, повторяя рельеф, необходимо использовать пневмогидрокомпенсаторы. Для предотвращения значительных переборов во впадинах необходимо ограничивать величину хода штока вниз с учетом того, что величина опускания грунтоприемника под действием хода штока пневмогидрокомпенсатора равна двойной величине опускания штока.
При равномерном слое разрабатываемого грунта по длине прорези и отсутствии волнения рекомендуется разработку выполнять без использования пневмогидрокомпенсаторов. Это обеспечивает создание горизонтальной поверхности дна после разработки по длине прорези, ограничение величины переборов по глубине.
При значительной неравномерности разрабатываемого слоя работа с фиксированным по глубине положением грунтоприемника приводит к большим колебаниям консистенции смеси в процессе грунтозабора.
3.1.12. Для уменьшения заносимости разработанной прорези просорами, имеющими место в процессе работы самоотвозных землесосов, разработку рекомендуется начинать с береговой (прибрежной) зоны, с мелкой части участка, продвигаясь к более глубокой части прорези.
3.1.13. При наличии большой неравномерности разрабатываемого слоя по ширине прорези разработка может выполняться слоями, параллельными фактической поверхности дна, или горизонтальными слоями (рис. 10). При первом методе разработки ширина разрабатываемой прорези по мере снятия слоев уменьшается, во втором - увеличивается.
При разработке параллельными наклонными слоями глубина опускания грунтоприемников при проработках у бровок изменяется.
При разработке горизонтальными слоями слой разрабатывается при одной и той же глубине опускания грунтоприемников.
3.1.13.1. При нахождении больших слоев наносов у бровок прорези, в первую очередь, ведутся разработки у бровок.
3.1.13.2. Подрезка бровок канала при увеличении его ширины может производиться путем создания вдоль существующих бровок траншей с глубинами, превышающими проектную глубину (рис. 11).
Сползающий в траншею грунт с бровок в период формирования откоса забирается периодически самоотвозным землесосом.
Глубина траншеи относительно проектной глубины прорези определяется по зависимости:

(53)
где:

- уширение канала с одной стороны, м;
m - величина коэффициента естественного откоса грунта.
3.1.14. Для предотвращения образования глубоких траншей, затрудняющих выработку прорези до проектной отметки, при разработке грунтов, длительное время удерживающих крутой откос, рекомендуется использовать грунтоприемники с гидропланирующим устройством и чередовать параллельные и диагональные галсы (рис. 12).
3.1.15. Длина галсов и их количество определяется длиной участка, продолжительностью погрузки трюма и распределением наносов по длине участка.
Не рекомендуется длину галса принимать менее величины, приведенной в
табл. 1. Количество галсов должно быть целым числом.
При расположении отвала грунта с одного конца участка количество галсов должно быть четным, при расположении отвалов грунта с обоих концов участка количество галсов может быть нечетным.
Общее количество галсов в первом приближении может быть рассчитано по зависимости:
nгал = 1,7tтр, (54)
где tтр - нормативная продолжительность погрузки трюма, ч.
Длина галса разрабатываемого участка может быть определена по зависимости:
lгал = 0,6Vср, (55)
где Vср - скорость землесоса при грунтозаборе, км/с.
3.1.15.1. Если разрабатываемый грунт находится на прорези в виде отдельных пятен, количество галсов увеличивается и может быть определено по зависимости:
nгал = Кнерnгал, (56)
где Кнер - коэффициент, учитывающий неравномерность разрабатываемого слоя по длине прорези; рассчитывается как отношение длины участка к сумме длин пятен вдоль одной бровки (рис. 13).
3.1.16. Контроль за положением грунтоприемников и глубиной их опускания производится по модели положения всасывающих трубопроводов и индикаторам. На землесосах, где глубина опускания грунтоприемника определяется по длине вытравленного троса, необходимо учитывать поправку на изменение осадки землесоса, величина которой при бортовых волочащихся грунтоприемниках равна изменению средней осадки землесоса. При кормовом расположении всасывающего трубопровода величина поправки рассчитывается по зависимости:

(57)
где:

- изменение средней осадки землесоса, м;

- угол дифферента землесоса, принимается знак (+) при дифференте на корму и знак (-) при дифференте на нос, град.
3.2. Погрузка грунта в трюм землесоса
3.2.1. Погрузка грунта в трюм землесоса происходит путем накопления части частиц грунта из поступающей в трюм смеси.
Количество осевших частиц зависит от среднего диаметра частицы и консистенции поступающей в трюм смеси. Не осевшие частицы уходят в перелив за борт.
3.2.1.1. Погрузку трюма при разработке всех видов грунта рекомендуется начинать при верхнем уровне перелива с последующим снижением уровня перелива по мере накопления грунта в трюме.
3.2.1.2. При разработках илов, суглинков и глин текучей консистенции погрузка трюма производится при верхнем уровне перелива, так как основная масса грунта находится во взвешенном состоянии.
Осаждение частиц из-за их малого размера (в среднем 0,08 мм) происходит очень медленно, а турбулентность потока в трюме дополнительно замедляет осаждение частиц.
3.2.1.3. При разработке супесей и пылеватых песков происходит осаждение и накопление осадка в трюме.
Однако значительная его часть остается во взвешенном состоянии, поэтому загрузку трюма следует заканчивать при среднем уровне перелива.
3.2.1.4. Мелкие, средней крупности и крупные пески хорошо осаждаются в трюме, для наиболее полного использования грузоподъемности землесоса погрузку трюма при разработке этих грунтов следует заканчивать при нижнем уровне перелива.
3.2.2. Объем погруженного в трюм грунта выражается в объеме в состоянии естественного его залегания и определяется по зависимости:

(58)
где:
Wтр - объем груза в трюме, м3, принимается равным вместимости трюма при уровне перелива, на котором была закончена погрузка трюма;

- плотность груза в трюме, т/м
3, определяется как отношение приращения водоизмещения землесоса до и после погрузки к объему груза;

- плотность грунта в состоянии естественного залегания, т/м
3;

- плотность воды, т/м
3.
Для обеспечения равномерной загрузки трюма погрузку необходимо производить через все лотки разливного устройства.
3.2.3. Под кормой загрузки трюма следует понимать объем грунта в состоянии естественного залегания, погруженного в трюм, при котором максимально или полностью используется грузоподъемность землесоса.
Для достижения этого условия окончание погрузки трюма должно производиться при условиях перелива, указанных в табл. 16.
Таблица 16
УРОВНИ ПЕРЕЛИВА
Наименование разрабатываемого грунта | Уровень перелива, при котором заканчивается погрузка трюма |
Илы, суглинки и глины текучие | Верхний |
Супеси, пылеватые пески | Средний |
Пески мелкие, средней крупности, крупные, гравилистые, гравий, галька, ракушечниковые | Нижний |
3.2.4. Расчетная норма загрузки трюма определяется по зависимости:
для илов, суглинков и глин текучих:

(59)
где

- максимальная вместимость трюма на верхнем уровне перелива, м
3;
для супесей, пылеватых песков:

(60)
где

- вместимость трюма при среднем уровне перелива, м
3;
для песков мелких, средней крупности, крупных, гравилистых, гравия, гальки, ракушечниковых:

(61)
где:

- вместимость трюма на нижнем уровне перелива;
Ктр - коэффициент использования вместимости трюма, который равен для крупных и гравилистых песков, гравия, гальки и ракушечниковых грунтов Ктр = 1,03, для песков средней крупности Ктр = 0,95, для мелких песков Ктр = 0,9.
3.2.4.1. У землесосов с плавной регулировкой уровня перелива при расчете нормы загрузки трюма для супесей и пылеватых песков вместимость трюма следует принимать равной 0,9 максимальной вместимости на верхнем уровне перелива.
3.3. Продолжительность грунтозабора
3.3.1. Расчетная продолжительность грунтозабора при равномерном разрабатываемом слое по длине прорези рассчитывается по зависимости:

(62)
где:

- норма загрузки трюма, м
3;
Qсм - расход грунтовых насосов по смеси, м3/ч, рассчитываемый по зависимости:
Qсм = Qв(1 - 2,5Со), (63)
где:
Qв - расход грунтовых насосов по воде, м3/ч;
Со - действительная объемная консистенция смеси, рассчитываемая по зависимости:

(64)
где:

- плотность смеси, т/м
3;

- удельная плотность грунта, т/м
3;

- плотность воды, т/м
3;
Ка - коэффициент, учитывающий аккумуляцию грунта в трюме;

- плотность грунта в естественном состоянии, т/м
3.
3.3.1.1. Удельная плотность грунта принимается для песков

= 2,65 т/м
3; для глин, гальки и гравия

= 2,73 т/м
3.
3.3.1.2. Средние значения консистенций смеси, принимаемые при расчете продолжительности погрузки трюма, приведены в Приложении 1,
табл. П.1.2.
Значения коэффициентов аккумуляции для разных видов грунтов приведены в табл. 17.
Таблица 17
ЗНАЧЕНИЯ КОЭФФИЦИЕНТОВ АККУМУЛЯЦИИ ГРУНТОВ
Наименование грунтов | Коэффициент аккумуляции |
Глины, суглинки текучие, илы | 0,15...0,20 |
Супеси и пески пылеватые | 0,30...0,40 |
Пески мелкие, илы с ракушей | 0,40...0,60 |
Пески средней крупности | 0,60...0,75 |
Пески крупные | 0,75...0,85 |
Пески гравилистые, гравий, гальки | 0,85...0,95 |
3.3.2. Для достижения расчетной продолжительности погрузки трюма необходимо в течение всей погрузки и особенно в конце погрузки поддерживать максимальную для данных грунтов консистенцию смеси. Необходимо учитывать, что при снижении консистенции смеси, поступающей в трюм, увеличиваются расходы грунтовых насосов, что приводит к размыву осевшего грунта.
Для предотвращения размыва грунта в трюме обедненную смесь необходимо сбрасывать за борт, используя существующую автоматику.
3.3.2.1. Система автоматического сброса обедненной смеси за борт должна срабатывать при плотности смеси менее 1,05 т/м3 (действительная объемная консистенция равна 0,04).
3.3.2.2. При разработке плотных супесей, пылеватых и мелких песков необходимо использовать гидроразрыхлитель, при наличии двух комплектов сопел необходимо установить сопла с большим диаметром отверстия.
3.3.2.3. Скорость движения землесоса при использовании гидроразрыхлителя должна быть снижена по сравнению с рекомендуемой, приведенной
в табл. 13, на 20...25%.
3.3.2.4. При отсутствии системы гидроразрыхления, а также и при ее наличии, рекомендуется на решетку поворотной части грунтоприемника устанавливать плунжерные рыхлители.
3.3.2.5. При наличии эжекционных устройств в грунтоприемниках расход воды на эжектор должен быть в пределах 30% от расхода грунтового насоса по смеси.
3.3.3. При значительной неравномерности разрабатываемого слоя по длине участка (разрабатываемый грунт расположен в виде отдельных бугров) продолжительность погрузки трюма определяется по зависимости:
tп = Кнtгр, (65)
где Кн - коэффициент, учитывающий неравномерность распределения разрабатываемого слоя по длине прорези, рассчитываемый по зависимости:

(66)
где:
lу - общая протяженность разрабатываемого участка, км;

- сумма длин разрабатываемых бугров вдоль одной бровки, км.
3.3.4. При разработке одним грунтоприемником (подрезка бровок) продолжительность погрузки трюма определяется по зависимости:
tп = 1,8tп. (67)
Для повышения консистенции смеси грунтовые насосы рекомендуется перевести на последовательную работу.
3.4. Погрузка грунта в трюм при добыче нерудных материалов
3.4.1. К строительным материалам предъявляются определенные требования по содержанию мелких глинистых частиц. Для уменьшения содержания глинистых частиц в погруженном в трюм грунте применяется следующий способ погрузки трюма:
забор грунта производится одним грунтоприемником;
второй насос переключается для забора грунта из трюма и подачи его в трюм;
после заполнения трюма до уровня перелива включается грунтовый насос, забирающий грунт из трюма;
после полной загрузки трюма грунтом второй насос также переключается для забора грунта из трюма.
3.4.2. Продолжительность погрузки трюма с перемывом грунта определяется по зависимости:

(68)
Продолжительность перемыва грунта двумя насосами определяется по зависимости:

(69)
где:
Wн - норма загрузка трюма, м3;
Qв - расход грунтового насоса по воде, м3/ч;
nпер - количество перемывок грунта.
3.5. Объем грунта, ушедшего в перелив и унос его течением
3.5.1. Накопление грунта в трюме, по данным лабораторных исследований и некоторой части натурных наблюдений, в течение погрузки трюма происходит неравномерно.
Закон накопления грунта по времени, по мнению некоторых авторов, описывается логарифмической кривой, при этом радиус кривизны кривой зависит от среднего диаметра частиц разрабатываемого грунта (чем мельче частица, тем больше радиус кривизны). Однако на практике построить кривую накопления грунта в трюме весьма затруднительно из-за неустойчивости процесса грунтозабора (расход насосов не стабилен и консистенция смеси, поступающая в трюм, также не стабильна, иногда наблюдается размыв накопленного грунта в трюме).
На основании вышеизложенного, для практики закон накопления грунта в трюме после начала перелива и до полной загрузки трюма можно считать прямолинейным, т.е. накопление грунта идет равномерно.
При принятом допущении объем грунта, ушедшего в перелив, рассчитывается по зависимости:

(70)
где:
Wн - норма загрузки трюма, м3;
Ка - коэффициент, учитывающий аккумуляцию грунта в трюме.
3.5.2. Гранулометрический состав грунта, ушедшего в перелив в осветленной смеси, зависит от гранулометрического состава разрабатываемого грунта. В основном преобладают мелкие частицы. На рис. 14 приведены усредненные гранулометрические составы грунтов, ушедших в перелив по основным грунтам, разрабатываемым самоотвозными землесосами.
3.5.3. При ступенчатой системе регулировки уровня перелива осветленная смесь из окон перелива выходит горизонтально на уровне поверхности моря, растекаясь по поверхности и погружаясь под действием гравитационных сил, образуя шлейф мутности.
Большая часть шлейфа попадает в кильватерную струю, где происходит перемешивание шлейфа с кильватерной струей по всей ее толще.
После разрушения вихревых потоков кильватерной струи начинается осаждение частиц грунта.
При наличии дрейфовых или постоянных течений происходит дрейф шлейфа мутности. Дальность уноса частицы определяется зависимостью:

(71)
где:
Н - глубина осаждения частицы, м;
Vт - скорость течения, м/с;

- гидравлическая крупность частицы, м/с.
3.5.4. Коэффициент, учитывающий снижение мутности в шлейфе от выпадания частиц на прорези, рассчитывается по формуле:

(72)
где:
В - ширина разрабатываемой прорези, м;

- средняя гидравлическая крупность грунта, ушедшего в перелив, м/с;
Но - забровочная глубина, м;
Vт - скорость течения, м/с;

- угол между направлением течения и осью разрабатываемой прорези, рад. (град).
3.5.5. Объем грунта, ушедшего в перелив и унесенного течением за пределы прорези, рассчитывается по формуле:

(73)
где:
Н - глубина разработки, м;
3.5.6. Коэффициент уноса грунта течением определяется как отношение унесенного течением за пределы прорези грунта, ушедшего в перелив, к норме загрузки трюма:

(74)
3.5.7. Мутностью называется масса твердых частиц, содержащихся в единице объема жидкости (воды):

(75)
где:
Мсм - масса смеси, т;
Vсм - объем смеси, м3.
3.5.8. Начальная мутность шлейфа мутности после перемешивания кильватерной струей рассчитывается по зависимости:

(76)
где:
WН - норма загрузки трюма, м3;

- плотность грунта в естественном залегании, т/м
3;
Вз - ширина корпуса землесоса, м;
Тз - осадка землесоса в грузу, м;
Vгр - скорость движения при грунтозаборе, м/ч;
Ка - коэффициент, учитывающий аккумуляцию грунта в трюме;
tгр - продолжительность грунтозабора, ч.
3.5.9. Мутность шлейфа за пределами прорези рассчитывается по зависимости:

(77)
где Н - глубина разрабатываемой прорези.
3.5.10. Расчетная длина зоны осаждения частиц по направлению течения от бровки прорези рассчитывается по зависимости:

(78)
3.5.11. Максимальная дальность уноса частиц грунта шлейфа мутности течением рассчитывается по зависимости:

(79)
где

- гидравлическая крупность наименьшей частицы грунта, ушедшего в перелив.
3.5.12. Фактическая дальность осаждения шлейфа мутности может быть значительно меньше расчетной по следующим причинам: скорости течения в придонных слоях могут быть значительно меньше, чем на поверхности.
Направление течения в поверхностных и приглубинных слоях может иметь разное направление вплоть до противоположного.
В табл. 18 приведены средние диаметры частиц грунта, ушедшего в перелив, и гидравлическая их крупность.
Таблица 18
ГИДРАВЛИЧЕСКАЯ КРУПНОСТЬ

М/С
Гранулометрический класс грунта | Средний диаметр частиц, мм | Температура воды, °C |
5 | 10 | 15 | 20 |
IIIк | 0,25 | 0,0211 | 0,0227 | 0,02436 | 0,02602 |
IIIрс | 0,15 | 0,0099 | 0,11500 | 0,01325 | 0,014990 |
IIIм | 0,08 | 0,0028 | 0,00328 | 0,003770 | 0,004240 |
IIIи | 0,05 | 0,0011 | 0,00123 | 0,001440 | 0,001500 |
IV - VI | 0,005 | 0,00002 | 0,000025 | 0,000028 | 0,000032 |
3.5.13. У землесосов с плавной регулировкой уровня перелива осветленная смесь сбрасывается через вертикальную трубу под днище землесоса и быстро достигает поверхности дна. Обладая высокой кинетической энергией и действуя под некоторым углом (за счет скорости движения землесоса) к поверхности дна, струя, отражаясь, создает облако мутности в пространстве между корпусом землесоса и поверхностью дна, которое, попадая в кильватерную струю, перемешивается с ней. Насыщенность сливаемой смеси после отражения может быть выше сливаемой за счет размыва грунта на поверхности дна, однако размытый грунт, находясь в агрегатном состоянии (в виде комков), быстро осаждается и не оказывает существенного влияния на общую мутность кильватерной струи после смешения со сливаемой смесью.
Как показали натурные наблюдения, при наличии дрейфовых течений величина унесенного за пределы прорези грунта находится в тех же пределах, что и у землесосов со ступенчатой системой перелива.
3.6. Работа грунтонасосного агрегата
3.6.1. В состав грунтонасосного агрегата входят:
грунтовые насосы с приводом;
насос промывки сальников;
насос гидроразрыхлительного устройства;
трубопроводы, соединяющие грунтовые насосы друг с другом, с бортовыми грунтоприемными устройствами, с разливным лотком, с корпусным напорным трубопроводом для рефулирования грунта по подвесному или береговому грунтопроводам, с трюмом для забора грунта из трюма при рефулировании;
система клинкетов, установленных на трубопроводах, позволяет обеспечивать как параллельную, так и последовательную работу грунтовых насосов.
3.6.2. Грунтовые насосы на самоотвозных землесосах установлены ниже ватерлинии и поэтому работают с подпором, близким к осадке землесоса.
Перед запуском грунтового насоса при разработке грунта на прорези опускаются бортовые грунтозаборные трубы под воду до посадки цапф на штатное место, запускается насос прокачки сальников, напорный грунтопровод переключается на сброс за борт.
Включается привод грунтового насоса и плавно с выдержкой для входа в режим увеличивается частота вращения рабочего колеса насоса до номинальной.
3.6.3. Контроль за работой грунтового насоса осуществляется по приборам на пульте:
вольтметру;
амперметру;
вакуумметру;
манометру;
тахометру, расходомеру и консистометру
и выбрасываемой из трубы сбросного устройства воды.
3.6.4. При работе на воде нормальная работа грунтонасосного агрегата характеризуется:
показанием вольтметра - в пределах номинального;
показанием амперметра - меньше номинального;
показанием вакуумметра - плюсовое значение, близкое к нулю;
показанием манометра - в пределах 10...12 м;
показанием расходомера - в пределах номинального паспортного расхода (максимальный);
показанием консистометра - нулевое значение.
После установления устойчивого режима работы грунтового насоса включается насос гидроразрыхлителя, нормальная работа которого контролируется по показанию манометра (6...8 кгс/см2, 0,6...0,8 МПа).
3.6.5. Всасывающие трубопроводы с грунтоприемником опускаются на грунт.
При работе на смеси показания расходомера уменьшаются, возрастают показания консистометра, манометра и вакуумметра. По мере заполнения трюма смесью показания вакуумметра могут несколько снижаться.
В процессе грунтозабора необходимо следить, чтобы показания вакуумметра не повышались до величины 5 м, а показания расходомера не снижались ниже 0,5 номинального расхода насоса на воде.
3.6.6. Удержание устойчивого режима работы грунтонасосного агрегата производится путем регулировки подачи воды в грунтоприемник через предохранительный клапан срыва вакуума, а также путем регулировки заглубления грунтоприемника в грунт.
3.6.7. При разработке грунтов с наличием включений в виде камней и валунов возможны случаи забоя решетки грунтоприемника камнями, что характеризуется снижением показаний расходомера, манометра, при снижении показаний консистометра и увеличении показаний вакуумметра также увеличивается частота вращения рабочего колеса грунтового насоса.
Необходимо приподнять грунтоприемник над грунтом и, если ничего не меняется, остановить, а затем запустить грунтовый насос. Если после этого также ничего не изменилось, необходимо поднять грунтоприемник на палубу и очистить решетку от камней.
3.6.8. При рефулировании грунта из трюма землесоса за борт открываются кормовые кингстоны, насосы переключаются для приема грунта из трюма и вводятся в режим, напорный трубопровод переключается на сброс за борт.
При системе бортовых каналов забор грунта из трюма производится путем постепенного приоткрытия разгрузочных дверец, бортовых каналов.
При центральной системе забора грунта из трюма забор грунта производится одним грунтовым насосом, для этого открывается кормовой кингстон, насос переключается на прием из трюма и вводится в режим. Забор грунта из трюма производится через боковые патрубки путем приоткрытия задвижек.
3.6.9. При рефулировании на берег по напорному грунтопроводу корпусный грунтопровод подключается к береговому при помощи стыковочного устройства.
Грунтовые насосы, если предусмотрено схемой, переключаются на последовательную работу.
С помощью клинкетов на всасывающем грунтопроводе прием грунта насосом переключается на трюм.
Открывается кормовой кингстон и запускаются насосы. Первым запускается насос, который производит забор грунта из трюма.
После установления номинального режима работы насосов на воде производится забор грунта из трюма путем приоткрытия разгрузочных дверец на бортовых каналах или клинкетов боковых патрубков при центральной системе разгрузки.
3.6.10. Разгрузка трюма начинается с первых (носовых) отсеков, при бортовой системе разгрузки забор грунта производится поочередно с одного и другого борта.
При центральной системе разгрузки забор грунта производится одновременно с обоих бортов.
После разгрузки первой секции разгрузочные дверцы первой секции закрываются, а в следующей секции приоткрываются, также приоткрываются днищевые дверцы в первой секции для подачи воды в трюм, улучшающей процесс размыва грунта в трюме.
Если на кормовом кингстоне степень открытия заслонки регулируется, то после приоткрытия днищевых дверец рекомендуется несколько прикрыть заслонку на кингстоне.
Необходимо учитывать, что при очень высокой консистенции смеси, поступающей из трюма, возможно образование "мертвого" слоя в разгрузочных каналах или центральной трубе и даже забой.
3.6.11. Контроль за работой грунтовых насосов осуществляется по показаниям приборов: манометров, вакуумметров, расходомеров и консистометров.
Нормальная работа агрегата характеризуется следующими показателями:
показания манометра при работе на смеси должны быть выше показаний при работе на воде в пределах 10...15%;
показания расходомера при работе на смеси должны быть ниже показаний на воде в пределах 15...20%;
показания вакуумметра насоса, забирающего грунт из трюма, должны быть близкими к нулю или положительными;
показания вакуумметра второго насоса, работающего на рефулирование, должны быть только положительными.
3.6.12. После завершения разгрузки трюма необходимо промыть весь трубопровод водой в течение 10...15 мин. (0,25 ч).
3.6.13. При рефулировании на берег необходимо:
оборудовать рефулерную станцию на причальном устройстве;
произвести контрольную швартовку землесоса к рефулерной станций и стыковку корпусного трубопровода к береговому;
произвести маркировку на швартовных тросах (на носовом и кормовом шпрингах).
3.6.14. Станция рефулирования должна устанавливаться согласно схеме швартовки землесоса и расположению поворотного стыковочного устройства землесоса так, чтобы швартовка к ней груженного землесоса осуществлялась по ходу без предварительного разворота.
3.6.15. Магистральный грунтопровод рекомендуется прокладывать с уклоном в сторону карты намыва или сифоном для уменьшения количества сбрасываемой воды через грунтовый насос после окончания разгрузки трюма.
3.6.16. При большой высоте рефулирования для сброса воды с трубопровода необходимо на станции рефулирования на магистральном трубопроводе установить клинкет и патрубок с клинкетом.
После окончания промывки трубопровода, магистральный трубопровод перекрывается клинкетом, а спуск воды с трубопровода производится через боковой патрубок с задвижкой.
3.6.17. Для уменьшения потерь напора в береговом грунтопроводе магистральный грунтопровод, соединяющий станцию рефулирования с картой намыва, рекомендуется прокладывать прямолинейно по кратчайшему расстоянию.
3.6.18. При неизбежности установки на магистральном трубопроводе поворотных колен радиус поворота колена должен быть не менее четырех радиусов трубопровода.
3.6.19. Потери напора в напорном грунтопроводе рассчитываются по зависимости:
Нгр = Jсмlпр, (80)
где:
Jсм - удельные потери напора в грунтопроводе;
lпр - приведенная длина напорного грунтопровода, м, рассчитываемая по зависимости:

(81)
где:
lб - длина берегового грунтопровода, измеряемая от стыковочного устройства на станции рефулирования до выкидного патрубка на карте намыва, м;

- эквивалентная длина грунтопровода от местных потерь (поворотные колена, сужения, расширения, разветвления, задвижки и т.д.), рассчитываемая по зависимости:

(82)
где:

- сумма коэффициентов местных потерь;

Q - подача грунтовых насосов по смеси, м
3/с;
D - диаметр грунтопровода, м;
Jсм - удельные потери напора в трубопроводе;

- эквивалентная длина грунтопровода на высоту рефулирования, м, рассчитываемая по формуле:

(83)
где:
Нреф - высота рефулирования, измеряется от уровня воды в море до центра выкидного патрубка, м;

- плотность смеси, т/м
3;

- плотность воды, т/м
3.
3.7. Производственные показатели работы
3.7.1. В состав производственных показателей самоотвозного землесоса входят:
часовая производительность;
коэффициент использования рабочего периода;
суточная выработка.
3.7.2. Производительность самоотвозного землесоса рассчитывается по зависимости:

(84)
где:
WН - норма загрузки трюма, м3;
Ку - коэффициент, учитывающий унос течением грунта, ушедшего в перелив;
tц - продолжительность цикла работы землесоса, ч, рассчитываемая по формуле:
tц = tп + tх + tраз, (85)
где tп - продолжительность погрузки, в состав которой входят продолжительность грунтозабора и продолжительность разворотов при смене галсов, ч:
tп = tгр + tразв, (86)
где tразв - продолжительность разворотов при смене галсов рассчитывается по формуле:

(87)
где:
nгал - количество галсов, совершаемых землесосом за период полной погрузки трюма;

- нормативная продолжительность одного разворота, ч;
tх - продолжительность хода на отвал и возвращение к месту работы, ч;
tразв - продолжительность разгрузки трюма, ч.
3.7.2.1. Развороты на участке работ при смене галсов производятся, если ширина акватории с глубинами, превышающими проходную глубину землесоса, не менее 1,5Lк, где Lк - длина корпуса землесоса. Если эти условия не выполняются, для совершения разворотов землесос совершает пробежки к местам разворота.
3.7.2.2. Перед разворотами для смены галсов необходимо поднять грунтоприемники над поверхностью грунта так, чтобы они не зацепились за грунт в процессе разворота. Грунтовые насосы переключаются на сброс за борт.
3.7.2.3. При разворотах на участке работ увеличение продолжительности погрузки трюма за счет разворотов учитывается коэффициентом, приведенным в
табл. 19 и рассчитанным по зависимости:

(88)
где:
tразв - суммарная продолжительность разворотов при смене галсов, ч;
tгр - суммарная продолжительность грунтозабора, ч.
Таблица 19
КОЭФФИЦИЕНТ, УЧИТЫВАЮЩИЙ УВЕЛИЧЕНИЕ ПРОДОЛЖИТЕЛЬНОСТИ
ПОГРУЗКИ ТРЮМА ЗА СЧЕТ РАЗВОРОТОВ ПРИ СМЕНЕ ГАЛСОВ
Вместимость трюма землесоса, м3 | Длина разрабатываемого участка, м |
1000 | 2000 | 3000 | 4000 |
Менее 1000 | 1,30 | 1,15 | 1,10 | 1,08 |
1001...2500 | 1,40 | 1,20 | 1,13 | 1,10 |
2501...6000 | 1,60 | 1,30 | 1,20 | 1,15 |
Более 6000 | 1,70 | 1,40 | 1,25 | 1,18 |
3.7.2.4. При разворотах с пробежкой к местам разворотов продолжительность разворота рассчитывается по зависимости:

(89)
где:
Sн - дальность пробежки к месту разворота, км;
tразв - продолжительность разворота на 180 градусов, ч.
Средние продолжительности одного разворота приведены в табл. 20.
Таблица 20
Вместимость трюма землесоса, м3 | Продолжительность разворота, ч |
Менее 1000 | 0,08 |
1001...2500 | 0,10 |
2500...6000 | 0,15 |
Более 6000 | 0,18 |
3.7.2.5. Продолжительность хода к месту отвала грунта и возвращение к месту работы при удалении отвала грунта от места работы более 5 км рассчитывается по зависимости:

(90)
где:
Sн - дальность транспортировки грунта на отвал, км;

- норма времени на 1 км отвозки грунта на отвал и возвращения к месту работы, ч;
Кv - коэффициент, учитывающий ограничение скорости движения землесоса на отдельных участках трассы.
При дальности транспортировки грунта на отвал менее 5 км продолжительность отвозки рассчитывается по зависимости:

(91)
где 0,3 - продолжительность подъема и укладки по-походному всасывающих грунтопроводов и их спуска при выходе на участок работ, ч.
При береговом отвале грунта в продолжительность хода на отвал необходимо включить продолжительность швартовки к причальному сооружению и разворотов при подходе и отходе.
3.7.2.6. Коэффициент, учитывающий ограничение скорости движения землесоса на отдельных участках трассы, рассчитывается по зависимости:

(92)
где:
S - дальность транспортировки грунта на отвал, км;
Vср - средняя паспортная скорость землесоса, км/ч (узл.);
Si - длина участка трассы с ограниченной скоростью движения, км;
Vi - допустимая скорость движения на данном участке трассы, км/ч (узл.)
Примечание. Общая сумма "Si" должна быть равна "S", в расчет также включаются участки, где ограничения по скорости движения землесоса нет.
3.7.2.7. Норма времени на 1 км отвозки грунта на отвал и возвращения к месту работы рассчитывается по зависимости:

(93)
где:
Vср - средняя паспортная скорость движения землесоса, км/ч;
К
з - коэффициент, учитывающий задержки в пути, выбирается по
табл. П.8.2;
К
рт - коэффициент, учитывающий разгон и торможение землесоса, выбирается из
табл. П.8.1.
3.7.2.7. При расположении трассы движения землесоса на мелководных участках

где Т - максимальная осадка судна, м, Н - глубина на трассе движения, м, допустимая скорость движения определяется по графику, приведенному в
Приложении 8.
3.7.2.8. Разгрузка трюма землесоса на подводном отвале с неограниченной вместимостью производится через днищевые дверцы или цилиндрические отверстия на малом ходу путем открытия дверец или затворов. Для ускорения процесса разгрузки грунтовыми насосами в трюм подается вода.
На отвалах с ограниченной вместимостью, когда возможно касание дна створками дверей при их открытии, производится частичная или полная разгрузка трюма путем рефулирования, рассеивая грунт по акватории отвала на малом ходу землесоса.
Средняя продолжительность разгрузки трюма на отвалах с неограниченной вместимостью (глубоководные отвалы) приведена в табл. 21.
Таблица 21
СРЕДНЯЯ ПРОДОЛЖИТЕЛЬНОСТЬ РАЗГРУЗКИ ТРЮМА НА ПОДВОДНЫЙ
ГЛУБОКОВОДНЫЙ ОТВАЛ С НЕОГРАНИЧЕННОЙ ВМЕСТИМОСТЬЮ
Землесос с вместимостью трюма, м3 | Продолжительность разгрузки грунтов гранулометрических классов, ч |
(IV - VI), IV, V, IIIг | остальные классы |
600...2500 | 0,15 | 0,10 |
2501...7000 | 0,20 | 0,15 |
Более 7000 | 0,30 | 0,25 |
Продолжительность разгрузки трюма путем рефулирования на подводный отвал определяется по зависимости:

(94)
где:
Wн - норма загрузки трюма, м3;
Qв - расход грунтового насоса по воде, м3/ч.
3.7.2.9. При разгрузке трюма на береговой отвал путем рефулирования из трюма по подвесному напорному грунтопроводу с коническим насадком грунтовые насосы переключаются на последовательную работу. Продолжительность разгрузки трюма рассчитывается по зависимости:

(95)
3.7.2.10. При разгрузке трюма путем рефулирования по напорному грунтопроводу на береговой отвал в продолжительность разгрузки трюма входят:
стыковка и расстыковка корпусного грунтопровода с береговым;
разгрузка трюма путем рефулирования;
промывка трубопровода после окончания разгрузки трюма.
3.7.3. Коэффициентом использования рабочего периода самоотвозного землесоса называется отношение продолжительности работы землесоса к календарному периоду пребывания на участке:

(96)
где:
tр - продолжительность работы самоотвозного землесоса, состоящая из продолжительности всех элементов цикла работы землесоса, ч;
Тк - календарный период пребывания землесоса на участке работ, ч;
tп - простой землесоса.
3.7.4. В состав производственных остановок самоотвозного землесоса входят:
осмотр, смазка механизмов и смена изношенных деталей;
пополнение запасов воды и топлива;
сдача мусора и подсланевых вод;
очистка спецустройств от предметов захламления;
пропуск судов;
стоянки по гидрометеорологическим условиям.
В состав простоев самоотвозного землесоса входят:
запреты на производство работ;
ликвидация последствий аварий и аварийных происшествий;
простои из-за отсутствия топлива;
материально-техническое снабжение;
неукомплектованность экипажа.
Простои землесоса учитываются отдельно и не включаются при расчете коэффициента использования рабочего периода.
3.7.5. Суточная выработка самоотвозного землесоса рассчитывается по зависимости:
Qс = 24qКвр, (97)
где:
24 - продолжительность суток, ч;
q - часовая производительность самоотвозного землесоса, м3/ч;
Квр - коэффициент использования рабочего периода.
4.1. Технология работы рефулерных землесосов
4.1.1. В состав рефулерных землесосов входят:
самоходные рефулерные землесосы с подвесным рефулерным трубопроводом;
якорные рефулерные землесосы, транспортирующие грунт по плавучему и береговому грунтопроводам.
4.1.2. Самоходный рефулерный землесос разрабатывает грунт, двигаясь вдоль прорези, волочащимися грунтоприемниками и рефулирует его по поворотному подвесному трубопроводу, на концах которого установлен конический насадок.
Длина подвесного грунтопровода в среднем составляет 50 м, при наличии конического насадка дальность выброса пульпы - 70...80 м.
4.1.2.1. Разработка прорези ведется продольными галсами. Ширина разрабатываемой прорези устанавливается по минимальному удалению отвала грунта от бровки прорези и рассчитывается по зависимости:
В = Dmax - Dmin, (98)
где:
Dmax - максимальная дальность полета струи, м;
Dmin - минимальное расстояние от оси отвала до бровки прорези, м.
4.1.2.2. Процесс грунтозабора идентичен процессу грунтозабора самоотвозного землесоса.
4.1.3. Якорные папильонажные землесосы разработку прорези выполняют, перемещаясь на тросах по ширине прорези от бровки до бровки и продвигаясь вперед после каждого поперечного прохода прорези.
4.1.3.1. При наличии свайного устройства перемещение по ширине прорези производится веерным способом.
При расположении свайного устройства в диаметральной плоскости (напорный свайный ход) перемещение землесоса вперед определяется величиной продвижения главной сваи относительно корпуса землесоса, при этом радиус качания земснаряда увеличивается с продвижением сваи в корму.
При выборе всего свайного хода производится перезаколка сваи, для чего землесос устанавливается по оси прорези, закалывается вспомогательная свая, главная свая поднимается и на тележке перемещается в начало прорези.
Главная свая закалывается, вспомогательная свая поднимается и процесс разработки грунта продолжается.
4.1.3.2. Максимальная ширина разрабатываемой прорези землесоса с напорным свайным ходом должна быть не более:
Вmax <= 1,40Rmin, (99)
где Rmin - минимальный радиус качания землесоса, определяемый по зависимости:

(100)
где:
lk - расстояние между осью главной сваи при ее нахождении в носовой части прорези и цапфами подвеса рамы, м;
lр - длина рамы, м;
lф - длина фрезы, м;
Нг - глубина разработки, м.
4.1.3.3. Землесос устанавливается на свае и двух якорях на оси прорези.
Папильонажные якоря завозятся перпендикулярно оси прорези при угле поворота землесоса для выхода на бровку более 30° и с опережением на 5...10 градусов при угле поворота менее 30 градусов.
4.1.3.4. Перекладка рабочих якорей производится, если углы отставания тросов при положении землесоса на оси прорези будут составлять 60 градусов.
4.1.3.5. От точности установки землесоса на прорези зависит точность выхода на рабочие бровки, поэтому для ориентации землесоса на прорези должны быть выставлены осевые створы с боковым отклонением меньше допустимого перебора по ширине прорези.
В период перезаколок необходимо осуществлять постоянный контроль и корректировку положения землесоса на прорези.
Проходка землесоса определяется по количеству перезаколок главной сваи.
Схема установки землесоса на прорези и его перемещения приведена на рис. 15 "а".
4.1.4. При расположении свай в плоскости, перпендикулярной диаметральной плоскости землесоса, перемещение землесоса вдоль прорези осуществляется путем поочередной перезаколки свай при нахождении земснаряда на бровке (методом шагания на сваях).
Схема установки и перемещения землесоса приведена на рис. 15 "б".
Величина подачи землесоса вперед за один шаг рассчитывается по зависимости:

(101)
где:
b - база свай (расстояние между осями свай), м;

- угол поворота землесоса от оси к бровке, град.
При шагающем свайном ходе возможны образования у бровок неразработанных клиньев, ширина которых на бровке определяется зависимостью:

(102)
где lф - длина фрезы, м.
4.1.4.1. Для предотвращения пропусков на бровках угол разворота землесоса при выходе на бровку должен быть не более рассчитанного по зависимости:

(103)
при этом ширина разрабатываемой прорези будет составлять величину, рассчитанную по формуле:

(104)
где Rк - радиус качания землесоса на свае, рассчитываемый по зависимости:

(105)
где:
lk - расстояние от оси свай до оси цапф подвески рамы, м;
lр - длина рамы, м;
lф - длина фрезы, м;
Нг - глубина разработки, м.
4.1.5. Авантово-папильонажные землесосы могут перемещаться по ширине прорези параллельно оси, под углом к оси, веерным способом, крестовым способом.
4.1.5.1. Параллельное перемещение и перемещение под углом к оси прорези применяются при большой ширине разрабатываемой прорези (до 120 м).
4.1.5.2. Веерный способ перемещения применяется при разработке траншей, узких котлованов и узких прорезей (ширина прорези не более 1,4 длины корпуса землесоса).
4.1.5.3. Крестовый способ перемещения используется при разработке узких прорезей на мелководье (забровочные глубины менее осадки землесоса).
4.1.5.4. При веерном способе перемещения землесос устанавливается на прорези на четырех якорях.
4.1.5.5. При других способах перемещения землесос устанавливается на пяти - шести якорях.
Схемы установки и перемещения землесоса приведены на рис. 11 и 16.
4.1.6. Траншейные землесосы разрабатывают прорезь сериями - продольными траншеями протяженностью 100...200 м в зависимости от возможной дальности завозки рабочих якорей и длины грунтопровода.
По ширине прорезь в каждой серии делится на траншеи шириной не более ширины корпуса землесоса.
На землесосах, оборудованных щелевыми грунтоприемниками, ширина траншеи принимается равной ширине корпуса землесоса.
4.1.7. На участке работ траншейный землесос устанавливается на четырех или пяти якорях, схема установки приведена на рис. 2.
4.1.7.1. Положение траншей и границы серий на местности фиксируются створными знаками, освещаемыми в ночное время. Створные знаки могут устанавливаться как на берегу, так и на воде. Удаленность створных знаков от места работы землесоса должна быть не более 2000 м.
4.1.7.2. На прямолинейных участках большой протяженности, когда из-за судоходства невозможна установка на прорези створных знаков, ограждающих границы траншей, траншеи располагаются под углом к оси прорези.
Створные знаки устанавливаются на берегу или на забровочном пространстве. Угол между осью траншей и осью прорези должен быть не более 10 градусов.
Положение траншеи на местности можно также зафиксировать путем сбрасывания с борта землесоса буй в процессе движения на прорези.
4.1.7.3. При использовании радионавигационной системы положение землесоса на прорези определяется по показаниям индикаторов на планшетах с нанесенными границами разрабатываемой прорези. Масштаб планшета должен обеспечивать необходимую точность определения положения земснаряда на прорези и положение траншеи.
4.1.8. При наличии на участках работ постоянных течений якорные рефулерные землесосы устанавливают против течения.
При разработке прорези, где действует боковое течение, необходимо на течение завозить якоря с повышенной держащей силой и увеличивать дальность завозки якорей в 1,3...1,5 раза, при этом на барабанах лебедок должно оставаться не менее 10 шлагов троса при нахождении землесоса на противоположной бровке.
4.1.8.1. После установки землесоса на прорези подключается к корпусному грунтопроводу плавучий и плавучий грунтопровод завозится к месту отвала грунта.
У папильонажных землесосов плавучий грунтопровод завозится на траверз носовой части землесоса.
У траншейных землесосов - на траверз средней части разрабатываемой серии.
4.1.8.2. При работе на береговой отвал плавучий грунтопровод подключается к береговому.
4.1.8.3. Разливной понтон при подводном отвале грунта закрепляется на местности на двух якорях и свае при ее наличии для возможности его перемещения в процессе намыва грунта на отвале.
4.1.8.4. Рефулирование грунта на отвале может производиться как в надводном, так и в подводном положении.
При рефулировании грунта в подводном положении уменьшается степень вторичного загрязнения окружающей среды за счет образования облака мутности. При подводном рефулировании с целью снижения выходных скоростей пульпы на конце разливной трубы рекомендуется устанавливать расширяющийся насадок.
4.1.8.5. Рефулирование сильно загрязненных вредными веществами грунтов производится под водой через расширяющийся насадок, место рефулирования ограждается съемными шторами для предотвращения выноса облака мутности за пределы места рефулирования.
4.1.8.6. При подводном рефулировании необходимо по мере накопления грунта приподнимать разливную трубу для предотвращения ее засыпки.
4.1.8.7. Как при подводном, так и при надводном рефулировании грунта по мере накопления грунта на отвале разливной понтон периодически перемещается путем выбирания одного троса и потравливания второго.
4.1.8.8. По мере перемещения земснаряда вперед периодически производится потравление и выбирание тросов якорей, поддерживающих плавучий грунтопровод.
4.1.8.9. При ограниченной вместимости отвала грунта допускается подсыпка разливного понтона на 2/3 его длины. Необходимо учитывать, что при подсыпке разливного понтона происходит его всплытие на подсыпающем грунте и разливной понтон может оказаться выше уровня воды.
4.1.8.10. При ограниченной ширине акватории, особенно при работе с береговым грунтопроводом, необходимо проверить возможность размещения и нормальной работы плавучего грунтопровода.
Минимальная ширина акватории от бровки прорези до оси подводного отвала грунта должна быть:
для авантово-папильонажных землесосов:
Вак >= 9lск, (106)
для свайно-папильонажных землесосов:
Вак >= 12lск, (107)
где lск - длина секций плавучего грунтопровода, м.
При работе с береговым грунтопроводом ширина акватории должна быть больше рассчитанной по формулам в 1,5 раза.
4.1.8.11. Необходимая длина плавучего грунтопровода для свайно-папильонажных землесосов с длиной секции 10...12 м рассчитывается по зависимости:
lпл = 1,2D + Вр + 6lск, (108)
где:
D - удаление отвала грунта от бровки прорези, м;
Вр - рабочая ширина разрабатываемой прорези, м;
lск - длина секции плавучего грунтопровода, м.
4.1.8.12. При применении резинотканевого плавучего грунтопровода необходимая длина грунтопровода рассчитывается по зависимости:
4.1.9. Для авантово-папильонажных землесосов необходимая длина плавучего грунтопровода с секциями длиной 10...12 м рассчитывается по зависимости:
lпл = 1,2D + Вр + 4lск, (110)
4.1.9.1. Шаг перекладки плавучего грунтопровода при неограниченной вместимости подводного отвала рассчитывается по зависимости:
Sпер = 0,8D + Вр, (111)
при ограниченной вместимости подводного отвала определяется вместимостью отвала по условию подсыпки разливного понтона.
4.1.10. Минимальная длина плавучего грунтопровода при стесненной акватории для размещения колышки рассчитывается по зависимости:

(112)
учитывая предельный угол поворота шарнира, равный

= 20°:
lш = 20lск, (113)
где:

- предельный угол поворота гибкого соединения, рад. (град.);
lск - длина секции плавучего грунтопровода, м.
4.1.11. Толщина срезаемой стружки у фрезерных разрыхлителей определяется по зависимости:

(114)
где:
Vп - скорость папильонирования, м/мин.;
nф - частота вращения разрыхлителя, мин.-1;
zф - количество режущих ножей.
У роторных разрыхлителей толщина срезаемой стружки также зависит от величины перемещения землесоса вперед.
4.1.12. В процессе разработки связных грунтов частоту вращения фрезы необходимо поддерживать номинальной, также необходимо учитывать снижение частоты вращении фрезы с увеличением на нее нагрузки.
При электроприводе снижение частоты вращения может достигать 50%.
4.1.13. При разработке несвязных грунтов и связных грунтов скрыто-текучей консистенции скорость папильонирования не ограничивается.
4.1.14. При разработке плотных связных грунтов скорость папильонирования не должна превышать величины, рассчитываемой по зависимости:
Vп <= врnфzф, (115)
где вр - ширина отверстия на решетке грунтоприемника, м.
4.1.14.1. При разработке тонких слоев с применением фрезерных разрыхлителей для предотвращения выкатывания фрезы при резании грунта внакат папильонажный трос противоположного борта следует держать втугую.
4.2. Технологические параметры работы якорных землесосов
4.2.1. Папильонажные землесосы оборудованы механическим разрыхлителем грунта, способным, в зависимости от конструкции разрыхлителя и мощности привода, разрыхлять все виды грунтов.
4.2.2. Траншейные землесосы оборудуются гидравлическими разрыхлителями, которые эффективно работают на несвязных грунтах. На связных грунтах (суглинки, глины) эффективность гидравлических разрыхлителей очень низкая.
4.2.3. При разработке связных грунтов с использованием механического разрыхлителя максимальная толщина разрабатываемого слоя не должна быть более среднего диаметра фрезы. Для роторных разрыхлителей толщина разрабатываемого слоя не должна быть более 0,8 диаметра роторного разрыхлителя.
4.2.3.1. На несвязных грунтах при использовании механического разрыхлителя толщину разрабатываемого слоя не рекомендуется принимать больше 1,5 диаметра разрыхлителя.
4.2.3.2. Для траншейных землесосов толщину разрабатываемого слоя не рекомендуется принимать более 3,0 м.
4.2.3.3. При разработках на мелководье или в сухом береге толщина разрабатываемого слоя определяется проходной глубиной землесоса. Для предотвращения завала рамы от обрушивания нависающего козырька грунта периодически производится его разрушение разрыхлителем путем подъема рамы.
4.2.4. Скорость папильонирования при разработке связных грунтов третьей, четвертой группы по трудности разработки рассчитывается по зависимости:
Vп = 0,8врnфzф, (116)
где:
вр - ширина отверстия решетки, м;
nф - номинальная паспортная частота фрезы (ротора), мин.-1;
zф - количество ножей (черпаков) в фрезе.
При разработке связных фунтов пятой, шестой группы по трудности разработки скорость папильонирования рассчитывается по зависимости:
Vп = (0,45...0,5)врnфzф. (117)
4.2.5. Перемещение землесоса вперед, оборудованного фрезерным разрыхлителем, на связных грунтах зависит от заданной чистоты выработки (высоты гребня) и рассчитывается по зависимости:

(118)
где:
hгр - допустимая высота гребня, м;

- угол наклона рамы, рад. (град.),
а также может быть определено по табл. 22.
Таблица 22
ПЕРЕМЕЩЕНИЕ ЗЕМСНАРЯДА ВПЕРЕД
Глубина разработки в диапазоне | Величина перемещения землесоса вперед, м |
От минимальной до середины диапазона глубины разработки | Ра = hгр (5...3,5) |
От середины диапазона до максимальной глубины разработки | Ра = hгр (3,0...2,0) |
Примечание. С увеличением глубины разработки величина коэффициента, приведенного в скобках, уменьшается.
4.2.6. Перемещение землесоса, оборудованного роторным разрыхлителем, вперед на плотных связных грунтах не должно превышать ширины окна решетки грунтоприемника для предотвращения забоя грунтоприемника.
4.2.7. Перемещение землесоса на несвязных грунтах при использовании фрезерного разрыхлителя не должно превышать длины фрезы:
Р <= lф, (119)
где lф - длина фрезы, м.
Перемещение землесоса на несвязных грунтах при использовании роторного разрыхлителя не должно превышать вылета ковша.
4.2.8. При траншейном способе разработки, когда ширина грунтоприемника меньше ширины корпуса землесоса, заглубление грунтоприемника ниже проектной отметки дна определяется по зависимости:

(120)
где:
В - ширина корпуса землесоса, м;
bгр - ширина грунтоприемника, м;
mо - величина заложения мгновенного откоса, выбирается из табл. 23;
m - величина заложения естественного откоса после его формирования, выбирается из табл. 23.
Таблица 23
ВЕЛИЧИНА ЗАЛОЖЕНИЯ ОТКОСА ГРУНТА
Наименование грунта | Гранулометрический класс | m | mо |
Илы структурные | IV - VI | 5...6 | 2,5...4,0 |
Супесь, песок пылеватый | IV, IIIп | 4...5 | 2,0...2,5 |
Песок рыхлый | IIIк, IIIс, IIIм | 3...4 | 2,0...2,3 |
Песок средней плотности | IIIк, IIIс, IIIм | 3...2 | 2,0...1,5 |
Песок плотный | IIIк, IIIс, IIIк | 2...1,5 | 1,5...1,0 |
4.2.9. Производительность землесоса зависит от объема разрыхленного грунта и транспортирующей способности потока в напорном грунтопроводе.
Производительность разрыхлителя должна быть на 10...20% больше производительности по транспортирующей способности потока.
4.2.10. Производительность фрезерного разрыхлителя определяется по зависимости:
qраз = 60РhслVп, (121)
qраз = 60hслbрnфzф, (122)
где:
Р - перемещение землесоса вперед, м;
hсл - толщина разрабатываемого слоя, м;
Vп - скорость папильонирования, м/мин.;
bр - ширина отверстия сетки на грунтоприемнике, м;
nф - частота вращения фрезы, мин.-1;
zф - количество ножей фрезы.
4.2.11. Производительность роторного разрыхлителя определяется по зависимости:

(123)

(124)
где:
nр - частота вращения роторного разрыхлителя, мин.-1;
nг - количество черпаков в роторном разрыхлителе, ед.;

- вместимость черпака, м
3;
Кч - коэффициент наполнения черпака роторного разрыхлителя.
4.2.12. Объем разрыхленного грунта гидроразрыхлителем рассчитывается по зависимости:

(125)
где:
Qраз - расход воды, проходящей через сопла гидроразрыхлителя, м3/ч;
qу - удельный расход воды на размыв 1 м3 грунта, ориентировочные величины которого приведены в табл. 24.
Таблица 24
УДЕЛЬНЫЙ РАСХОД ВОДЫ НА РАЗРЫХЛЕНИЕ 1 М3 ГРУНТА
Наименование грунта | Гранулометрический класс | Группа грунта по трудности разработки |
Пески разнозернистые | IIIк, IIIс, IIIм | 2 | 3 | 4 |
Пески пылеватые | IIIп | 3 | 4 | 5 |
Супеси | IV | 4 | 5 | 6 |
Суглинки | V | 5 | 5 | 6 |
Глины | VI | 6 | 7 | 8 |
4.2.12.1. Расход воды через сопла определяется по зависимости:

(126)
где:
nс - количество сопел;

- площадь поперечного сечения сопла, м
2;

- коэффициент, учитывающий сжатие струи, принимается равным 0,8;
g - ускорение свободного падения, м/с2;
Н - напор в системе перед соплом, м.
Для увеличения расхода воды через сопло необходимо увеличить диаметр отверстия сопла и напор в системе.
4.2.13. Скорость перемещения траншейного землесоса вперед по траншее рассчитывается при щелевом грунтоприемнике по зависимости:

(127)
где:
Vа - скорость перемещения землесоса вперед по траншее, м/мин.;
Qгр - расход грунтового насоса по грунту, м3/ч, рассчитываемый по зависимости:

(128)
где:
Qсм - расход грунтового насоса по смеси, м3/ч;
Со - действительная объемная консистенция смеси;

- удельная плотность грунта, т/м
3;

- плотность воды, т/м
3;

- плотность грунта в состоянии естественного залегания, т/м
3;
bгр - ширина грунтоприемника, м;
hсл - толщина разрабатываемого слоя, м.
При обычном грунтоприемнике с шириной меньше ширины корпуса землесоса по зависимости:

(129)
где:
bгр - ширина грунтоприемника, м;
hсл - заглубление грунтоприемника в грунт, м;
m - коэффициент мгновенного заложения откоса.
4.2.14. Производительность землесоса по гидротранспорту определяется по зависимости:
где:
qк - контрактовая производительность землесоса, м3/ч;
Кq - коэффициент, учитывающий изменение контрактовой производительности от дальности рефулирования и вида транспортируемого грунта.
Если приведенная длина рефулирования меньше паспортной (контрактовой), величина коэффициента рассчитывается по зависимости:

(131)
где:
lп - приведенная паспортная дальность рефулирования, м;
lф - приведенная фактическая дальность рефулирования, м;
К
ф - коэффициент, учитывающий увеличение потерь напора в напорном грунтопроводе от грунта, выбирается по графику на рис. 17, для

= 1,25 т/м
3;

- плотность грунта в естественном состоянии, т/м
3;

- плотность воды, т/м
3.
При расчете коэффициента необходимо выполнение условия:

(132)
4.2.15. Приведенная длина рефулирования рассчитывается по зависимости:

(133)
где:
lпл - геометрическая длина плавучего грунтопровода, м;
1,3 - коэффициент, учитывающий местные потери в плавучем грунтопроводе и гибких соединениях между секциями;
lб - геометрическая длина берегового грунтопровода, м;

- эквивалентная длина на высоту рефулирования, рассчитываемая по зависимости:

(134)
где:
Нр - высота рефулирования, измеряемая от уровня воды до центра отверстия выпускного патрубка, м;

- плотность смеси, т/м
3;

- плотность воды, т/м
3;
Кф - коэффициент, учитывающий увеличение потерь напора в грунтопроводе от грунта, выбирается по графику, приведенному на рис. 17.
4.2.16. При приведенной длине рефулирования, превышающей паспортную приведенную, величина коэффициента Кq, рассчитывается по зависимости:

(135)
где:
Со - действительная объемная консистенция смеси;

- плотность грунта в естественном состоянии, т/м
3;
К
ф - коэффициент, выбирается по графику на рис. 17 для

= 1,25 т/м
3.
Значения величины (1 - 1,65Со) Со приведены в табл. 25.
Таблица 25
Плотность смеси,  т/м 3 | Со | (1 - 1,65Со) Со | 8,9 (1 - 1,65Со) Со |
1,03 | 0,02 | 0,019 | 0,172 |
1,07 | 0,04 | 0,037 | 0,333 |
1,10 | 0,06 | 0,054 | 0,481 |
1,13 | 0,08 | 0,069 | 0,618 |
1,17 | 0,10 | 0,084 | 0,743 |
1,20 | 0,12 | 0,096 | 0,857 |
1,23 | 0,14 | 0,108 | 0,959 |
1,25 | 0,15 | 0,112 | 1,000 |
1,32 | 0,16 | 0,117 | 1,048 |
Гидравлическая характеристика грунтов приведена в табл. 26.
Таблица 26
ГИДРАВЛИЧЕСКАЯ ХАРАКТЕРИСТИКА ГРУНТОВ
Наименование грунта | Гранулометрический класс | Средний диаметр, D, мм | Коэффициент транспортабельности |
Илы | (IV - VI) | 0,05 | 0,02 |
Суглинок | VI | 0,10 | 0,10 |
Супесь | IV | 0,14 | 0,13 |
Песок пылеватый | IIIп | 0,20 | 0,20 |
Песок мелкий | IIIм | 0,43 | 0,30 |
Песок средней крупности | IIIс | 0,60 | 0,43 |
Песок крупный | IIIк | 1,00 | 0,80 |
Песчано-ракушечный | IIIр | 1,00 | 1,00 |
Песок гравилистый | IIIгр, IIIг | 2,50 | 1,50 |
Гравий | II | 14,70 | 2,00 |
Галька | I | 41,60 | 2,00 |
Супеси песчаные с гравием | IVгр | 2,50 | 1,80 |
Грунты с галькой | III | 20,00 | 2,00 |
Гравийно-глинистые и супесчаные | IIIгргл, IIгр | 10,00 | 1,90 |
4.2.17. Определяется скорость движения смеси в грунтопроводе по зависимости:

(136)
где:
qгр - рассчитанная производительность землесоса по гидротранспорту, м3/ч;
D - диаметр напорного грунтопровода, м;
Со - действительная объемная консистенция смеси, принимается равной Со = 0,15.
4.2.18. По номограмме, приведенной на рис. 18, и характеристике грунта определяется критическая скорость смеси.
4.2.19. Производится проверка отношения:

(137)
где:
Vкр - критическая скорость смеси, м/с;
Vсм - расчетная скорость смеси, м/с.
Если

то величина коэффициента К
q рассчитывается по
формуле (135);
если

(в напорном грунтопроводе образуется "мертвый" слой грунта толщиной, равной 0,2D), рассчитывается поправочный коэффициент, учитывающий наличие "мертвого" слоя в грунтопроводе по зависимости:

(138)
в этом случае производительность по гидротранспорту рассчитывается по зависимости:
Если

необходимо снизить консистенцию смеси.
4.2.20. В первом приближении консистенция смеси рассчитывается по зависимости:

(140)
где:
q
гр - производительность землесоса по гидротранспорту при заданной длине рефулирования и консистенции смеси, равной С
о = 0,15

Vкр - критическая скорость смеси при заданной консистенции, м/с.
4.2.21. Производится расчет коэффициента К
q по
формуле (135) для консистенции смеси, равной

производится определение критической и фактической скорости смеси и их сравнение. Если отношение

рассчитывается коэффициент К
пр по
формуле (138) и производительность по гидротранспорту при наличии "мертвого" слоя по
формуле (139).
Рекомендуется сделать расчет коэффициента К
q для консистенции смеси, равной

Пример расчета производительности рефулерного землесоса по гидротранспорту.
Контрактовая производительность землесоса qк = 1200 м3/ч на песках третьей группы по трудности разработки средней крупности.
Контрактовая дальность регулирования - 500 м плавучего грунтопровода при высоте рефулирования Нр = 4 м. Диаметр напорного грунтопровода D = 0,8 м.
Условия работы:
группа грунта по трудности разработки - 2;
грунт - крупнозернистый песок;
рефулирование по плавучему грунтопроводу длиной lпл = 350 м;
береговому грунтопроводу длиной lб = 300 м;
высота рефулирования Нр = 6,0 м.
Определяется контрактовая и фактическая приведенная дальность рефулирования по зависимостям
(133) и
(134):
Контрактовая приведенная дальность рефулирования:
Коэффициент Кф для песков средней крупности (IIIс = 0,60 мм) по графику на рис. 17 (Кф = 2,50):
lп = 650 + 100 = 750 м.
Фактическая приведенная дальность рефулирования:
Коэффициент Кф для крупных песков (IIIк dср = 1,0 мм) по графику на рис. 17 (Кф = 2,9):
lф = 455 + 300 + 129 = 884 м.
Средняя плотность песков второй группы по трудности разработки

= 1,78 т/м
3 (
Приложение 1).
Производительность по гидротранспорту рассчитывается по
формуле (130):
qгр = qкКq,
qгр = 1200 x 0,848 = 1017,6 м3/ч.
Скорость движения смеси в грунтопроводе определяется по
формуле (136):
По номограмме на рис. 18 критическая скорость смеси равна Vкр = 5,3 м/с.
Производится расчет коэффициента К
q для

= 0,08.
Производительность по гидротранспорту:
qгр = 1200·0,76 = 912 м3/ч,
По номограмме на рис. 18 Vкр = 4,8 м/с.
4.3. Производственные показатели рефулерных землесосов
4.3.1. За часовую производительность рефулерного земснаряда следует принимать меньшую из рассчитанных производительностей разрыхлителя и гидротранспорта.
Если в результате расчетов производительность по гидротранспорту окажется выше производительности разрыхлителя, за часовую производительность землесоса принимается производительность разрыхлителя с коэффициентом, учитывающим забор разрыхленного грунта Кз, равным 0,9.
Если производительность по гидротранспорту ниже производительности разрыхлителя, за часовую производительность землесоса принимается производительность по гидротранспорту:
qз = Кз qраз, если qраз <= qгр; (141)
qз = qгр, если qгр <= qраз, (142)
где:
qз - производительность землесоса, м3/ч;
qраз - производительность разрыхлителя, м3/ч;
qгр - производительность гидротранспорта, м3/ч.
У землесосов, не имеющих разрыхлителя, часовая производительность принимается равной производительности по гидротранспорту:
qз = qгр. (143)
4.3.2. Коэффициент использования рабочего периода определяется как отношение чистого времени работы землесоса к продолжительности пребывания на участке без учета продолжительности простоев:

(144)
где:
Тр - продолжительность пребывания землесоса на участке работ, ч;
tп - продолжительность простоев, ч;
tос - продолжительность производственных остановок, ч.
4.3.2.1. У траншейных землесосов в продолжительность чистого времени работы входят продолжительность спуска землесоса к началу серии для захода на следующую траншею.
4.3.2.2. Средняя производительность траншейного землесоса рассчитывается по зависимости:

(145)
где:
qгр - производительность землесоса по грунтозабору, м3/ч;
Fт - площадь разрабатываемой траншеи, м2, у землесосов с щелевым грунтоприемником, рассчитываемая по зависимости:
Fт = Взhсл, (146)
где:
Вз - ширина корпуса землесоса, м;
hсл - толщина разрабатываемого слоя, м.
У землесосов с обычным грунтоприемником площадь траншеи рассчитывается по зависимости:
Fт = (вгр + mоhсл) hсл, (147)
где:
вгр - ширина грунтоприемника, м;
mо - величина мгновенного заложения откоса грунта.
4.3.2.3. В состав производственных остановок рефулерных якорных землесосов входят:
установка (съемка) на участке работ;
перекладка рабочих якорей;
перевод плавучего грунтопровода на новое место отвала;
включение (выключение) секций плавучего грунтопровода;
осмотр, смазка механизмов и замена изношенных деталей;
пропуск судов;
очистка грунтозаборного устройства от предметов захламления;
отстой по гидрометеорологическим причинам.
4.3.2.4. При работе на береговой отвал в состав производственных остановок дополнительно входят:
прокладка и перекладка берегового грунтопровода;
наращивание берегового грунтопровода;
подготовка карты намыва;
уплотнение грунта на карте намыва для возможности производства на ней работ;
подключение (отключение) плавучего грунтопровода от берегового;
промыв грунтопровода.
4.3.3. К простоям земснаряда относятся:
запреты на работу природоохранных органов;
ликвидация последствий аварий и аварийных происшествий;
неукомплектованность экипажей землесоса;
отсутствие топлива.
4.3.4. При работе на шаланды в состав производственных остановок входят:
установка (съемка) на участок работ;
перекладка рабочих якорей;
осмотр, смазка механизмов и замена изношенных деталей;
ожидание подхода шаланд;
пополнение запасов воды и топлива;
сдача льяльных вод и мусора.
Состав простоев тот же, что и рефулерных землесосов, работающих на грунтопровод.
4.3.5. Суточная выработка землесоса рассчитывается по зависимости:
Qс = 24qзКвр, (148)
где:
qз - расчетная производительность землесоса, м3/ч;
Квр - коэффициент использования рабочего периода;
24 - количество часов в сутках.
5. МНОГОЧЕРПАКОВЫЕ ЗЕМСНАРЯДЫ
5.1.1. Оптимальной прорезью для многочерпакового земснаряда является прорезь шириной 100...120 м.
При ширине участка более 120 м его следует разбить по ширине на ряд прорезей, при этом минимальная ширина прорези должна быть не менее 70 м.
5.1.2. Разработка прорезей производится поочередно. Возможны два варианта разработки:
участок разрабатывается на всю ширину до полной выработки папильонажных якорей, при переходе с полосы на полосу земснаряд оттягивается к началу участка и производится перекладка авантового якоря;
разрабатывается полоса до полной выработки авантового якоря, после чего земснаряд устанавливается на следующую полосу.
5.1.3. При возможности обеспечить длину радиуса качания на авантовом тросе в пределах 2...2,5 ширины участка авантовый якорь завозится по оси участка работ и, в этом случае, перекладка авантового якоря при переходе с полосы на полосу может не производиться.
Разработку прорезей следует производить с перекрытием по ширине не менее 5 м.
5.1.4. Максимальная толщина разрабатываемого слоя на плотных связных грунтах не должна превышать 2,0 м, на несвязных - 2,5 м.
При разработке прорези на мелководье или в сухом береге толщина разрабатываемого слоя устанавливается по проходной глубине судна каравана, имеющего максимальную осадку.
5.1.5. При толщине слоя, подлежащего разработке больше максимально допустимого, разработка выполняется послойно.
Рекомендуется толщину последнего слоя оставлять не менее 1,0 м.
5.1.6. Оптимальная толщина разрабатываемого слоя, по данным натурных наблюдений, составляет 1,0...1,5 м.
Минимальная толщина разрабатываемого слоя составляет 0,3 м.
| | ИС МЕГАНОРМ: примечание. Нумерация пунктов дана в соответствии с официальным текстом документа. | |
5.1.6. Глубина опускания рамы рассчитывается по зависимости:

(149)
где:
Но - проектная глубина прорези, м;

- поправка на колебания уровня воды в море, м;
hg - величина допустимого перебора по глубине, м.
Глубина опускания рамы корректируется по фактической глубине, получаемой после прохода земснаряда, путем промера вдоль борта земснаряда.
5.1.7. Заглубление рамы на проектную отметку производится постепенно, чередуясь с продвижением земснаряда вперед.
Общая длина участка вработки должна быть не менее пяти толщин разрабатываемого слоя:
lвр >= 5hсл, (150)
где:
lвр - общая длина вработки, м;
hсл - толщина разрабатываемого слоя, м.
5.1.8. Разработка ведется путем перемещения земснаряда на рабочих тросах по ширине прорези.
Земснаряд на прорези устанавливается на пяти якорях, шестой якорь завозится при необходимости быстрой оттяжки земснаряда из забоя.
5.1.9. Перемещение земснаряда на прорези может осуществляться следующими способами:
параллельно или под углом к оси прорези, применяется при ширине прорези более 70 м, забровочных глубинах больше проходной глубины земснаряда или шаланды;
веерным - при ширине прорези менее 70 м;
крестовым - при ширине прорези менее 70 м и при забровочных глубинах менее проходной осадки шаланды или земснаряда.
Схема установки земснаряда приведена на рис. 4 "а", способы его перемещения на прорези приведены из рис. 19.
5.1.10. Разработанный земснарядом грунт грузится в трюм грунтоотвозной шаланды, пришвартованной к борту земснаряда. При забровочных глубинах больше проходной глубины шаланды прием шаланд осуществляется с двух бортов.
При малых забровочных глубинах и ширине прорези менее 70 м прием шаланд производится только с одного борта.
При работе у гидротехнических сооружений прием шаланд производится только с одного борта.
5.1.11. Толщина разрабатываемого слоя считается неравномерной, если разница между максимальной и минимальной толщиной срезаемого слоя превышает 0,2 м.
Возможны следующие случаи распределения неравномерности:
1-й - толщина слоя возрастает от одной бровки к другой, минимальная толщина слоя меньше вылета черпака, максимальная - в пределах допустимой;
2-й - толщина слоя возрастает от бровки к бровке, минимальная толщина больше вылета черпака, максимальная - больше допустимой;
3-й - толщина слоя уменьшается от бровки к оси, минимальная толщина меньше вылета черпака, максимальная - в пределах допустимой;
4-й - толщина слоя уменьшается от бровки к оси, минимальная - больше вылета черпака, максимальная - больше допустимой.
5.1.11.1. В 1-м случае разработку рекомендуется производить комбинированным способом (рис. 20 "а").
Перемещение земснаряда вперед принимается 1/3 перемещения, рассчитанного для средней толщины разрабатываемого слоя.
Во 2-м случае разработка ведется послойно, толщину последнего слоя следует оставлять не менее 1,0 м (рис. 20 "б").
В 3-м случае разработка ведется поочередно вдоль бровок (рис. 20 "в").
В 4-м случае разработка ведется послойно, в первую очередь разрабатывается призма вдоль бровок.
Перемещение земснаряда вперед определяется по максимальной толщине разрабатываемого слоя (рис. 20 "г").
5.1.12. Разработку в сухом береге и на мелководье следует производить следующим способом:
толщина первого слоя назначается по условию проходной глубины земснаряда или шаланды:

(151)
где:
Т - максимальная осадка судна в составе каравана, м;

- навигационный запас под килем, м;

- ожидаемое максимальное снижение уровня воды относительно нуля глубины, м.
После полной выработки папильонажных якорей земснаряд спускается и разрабатывает следующий слой. Операции повторяются до разработки на проектную глубину.
Для предотвращения обрушивания берегового уступа в период выработки до проектной глубины создается склон с величиной заложения откоса m = 3 (рис. 21 "б").
Нависающий козырек грунта срезается черпаками путем подъема рамы до выхода реборды НЧБ из воды (рис. 21 "а").
5.1.13. Разработка в сухом береге несвязных грунтов осуществляется так же, как и связных.
Толщина первого слоя назначается по проходной глубине земснаряда или шаланды.
После выработки рабочих якорей земснаряд оттягивается назад и разрабатывает второй слой. Толщину второго слоя рекомендуется принимать не более 2,5 м.
Для предотвращения обрушивания берегового уступа в период выработки до проектной отметки создаваемый уклон должен быть с величиной заложения откоса более величины заложения откоса разрабатываемого грунта (рис. 21 "в").
5.1.14. В связи с тем, что формирование откоса происходит с некоторым запозданием, рекомендуется делать одну проходку земснаряда по прорези без перемещения земснаряда вперед.
5.2. Технологические параметры работы многочерпаковых
земснарядов
5.2.1. В состав технологических параметров работы многочерпакового земснаряда входят:
скорость папильонирования - Vп, м/мин.;
подача земснаряда вперед - Ра, м;
скорость черпаковой цепи, nч, черп./мин.
Технологические параметры работы земснаряда связаны с его производительностью зависимостями:

(152)
q = 60РаVпhсл, (153)
где:

- вместимость черпака, м
3;
Кг - коэффициент наполнения черпака;
hсл - толщина разрабатываемого слоя, м,

(154)
5.2.2. Скорость папильонирования определяется по зависимости:

(155)

(156)
Оптимальная скорость папильонирования для земснарядов контрактовой производительностью 400...750 м3/ч составляет 8...12 м/мин.
5.2.3. Перемещение земснаряда вперед рассчитывается по зависимости:

(157)
При оптимальной скорости папильонирования (8...12 м/мин.) перемещение земснаряда вперед определяется зависимостью:

(158)
5.2.3.1. Перемещение земснаряда вперед не должно быть менее 0,2 м и более величины, при которой происходит резание грунта спинкой черпака.
Резание грунта спинкой черпака вызывает дополнительные затраты мощности привода верхнего черпакового барабана (ВЧБ) и увеличивает просор грунта, так как срезанный спинкой черпака грунт остается на прорези.
Величины предельного перемещения земснаряда вперед приведены на рис. 22 "а".
Примечание. Максимальная скорость выбирания папильонажных тросов лебедками составляет 25 м/мин. Однако эта скорость выбирания троса предназначена для выбора тросов после подъема якоря, для экстренного ухода земснаряда с прорези для пропуска судов.
Рабочий диапазон скорости выбирания троса находится в пределах 5...12,5 м/мин.
5.2.4. Коэффициент наполнения черпака грунтом определяется как отношение объема грунта в черпаке, приведенного к состоянию естественного залегания, к вместимости черпака:

(159)
где:

- объем грунта в черпаке по замеру, м
3;
Кр - коэффициент разрыхления грунта в черпаке, средние величины которого приведены в табл. 27;

- вместимость черпака, м
3.
Таблица 27
СРЕДНЕЕ ЗНАЧЕНИЕ КОЭФФИЦИЕНТОВ РАЗРЫХЛЕНИЯ ГРУНТА
ПРИ РАЗРАБОТКЕ МНОГОЧЕРПАКОВЫМ ЗЕМСНАРЯДОМ
Грунт | Группа по трудности разработки | Коэффициент разрыхления |
Илы всех наименований, супеси текучие, суглинки и глины текучепластичные, скрытотекучие | 1, 2, 3, 4, 5 | 1,00...0,90 |
Суглинки и глины тугопластичные, супеси пластичные с гравием | 3, 4 | 1,10...1,20 |
Пески всех наименований, ракушечно-песчаные грунты | 2, 3, 4 | 1,05...1,10 |
Супеси полутвердые и твердые | 4, 5 | 1,10...1,20 |
Суглинки и глины полутвердые | 6 | 1,20...1,25 |
Гравий, галька, галечные грунты, грунты гравийно-глинистые, гравийно-супесчаные | 4, 6 | 1,10...1,20 |
Сцементированные песчаники, взорванная скала | 7 | 1,30...1,45 |
На связных грунтах коэффициент наполнения черпака может превышать единицу (наполнение черпака с шапкой).
На несвязных грунтах коэффициент наполнения черпака рассчитывается по зависимости:

(160)
где

- водовместимость черпака, м
3, которая меняется с углом наклона рамы (с глубиной разработки). Усредненное значение коэффициента водовместимости приведено на рис. 22.
5.2.5. Скорость черпаковой цепи зависит от вида разрабатываемого грунта и условий производства работ.
В процессе разработки грунта скорость черпаковой цепи должна поддерживаться максимально возможной в данных условиях производства работ.
В табл. 28 приведены относительные скорости черпаковой цепи, полученные по результатам натурных наблюдений и расчетам на ЭВМ по математической модели разработки грунта многочерпаковыми земснарядами.
Таблица 28
ОТНОСИТЕЛЬНАЯ СКОРОСТЬ ЧЕРПАКОВОЙ ЦЕПИ
Группа по трудности разработки | 1...3 | 4...5 | 6 | 7 |
Относительная скорость черпаковой цепи Пф/Пп | 0,95...0,85 | 0,80...0,70 | 0,65...0,60 | 0,55...0,50 |
Примечание.
Пф - средняя скорость черпаковой цепи, черп./мин.;
Пп - паспортная максимальная скорость черпаковой цепи, черп./мин.
5.2.5.1. При разработке сильно прилипаемых грунтов скорость черпаковой цепи необходимо поддерживать близкой к паспортной, уменьшив перемещение земснаряда вперед на 20%.
5.2.5.2. При разработке грунтов с включениями в виде валунов скорость черпаковой цепи необходимо снизить на 15...20%.
5.2.5.3. При разработке тонкого слоя (толщина срезаемого слоя меньше или равна вылету черпака) на малых глубинах необходимо учитывать, что резание грунта происходит на шлейфе и это создает повышенную опасность сброса черпаковой цепи с нижнего черпакового барабана (НЧБ).
5.2.5.4. При разработке тонкого слоя (hсл <= ач, где ач - вылет черпака) величина перемещения земснаряда вперед не должна превышать половины длины шлейфа черпаковой цепи (рис. 23). Скорость черпаковой цепи должна поддерживаться максимально возможная, так как после выхода черпака из зацепления с грунтом угол наклона плоскости зева черпака отрицателен (рис. 24).
5.2.5.5. Скорость папильонирования рассчитывается по зависимости:

(161)
где:
nч - скорость черпаковой цепи, черп./мин.;

- вместимость черпака, м
3;
Ра - перемещение земснаряда вперед, м;
hсл - толщина разрабатываемого слоя, м.
Если расчетная скорость папильонирования по
формуле (161) меньше V
п < 5,0 м/мин., необходимо уменьшить величину перемещения земснаряда вперед.
5.2.5.6. Технологические параметры работы земснаряда рассчитываются по нормативной производительности.
5.2.6. При толщине разрабатываемого слоя более 1,4 м угол разворота земснаряда относительно оси прорези должен составлять не менее 25...30 градусов для предотвращения упирания в грунт подшипников НЧБ (рис. 25).
5.3. Расчет производственных показателей многочерпакового
земснаряда
5.3.1. Расчетная часовая производительность многочерпакового земснаряда определяется по зависимости:
qр = qнК1К2...Кn, (162)
где:
qн - нормативная часовая производительность, выбирается из таблиц Норм на морские дноуглубительные работы по условиям работы согласно техническому заданию (глубина разработки, вид грунта, средняя толщина срезаемого слоя), м3/ч;
К1, К2,..., Кn - коэффициенты к производительности, учитывающие особые условия производства работ:
узкая прорезь - ширина прорези менее 76 м;
наличие включений;
прорезь на мелководье (тупиковая прорезь);
разработка "сухого" берега;
неравномерность срезаемого слоя;
прилипаемость грунта.
5.3.2. Суточная выработка земснаряда рассчитывается по зависимости:
Qс = 24qрКвр, (163)
где:
qр - расчетная производительность земснаряда, м3/ч;
Квр - коэффициент использования рабочего периода земснаряда, определяется как отношение чистого времени работы земснаряда к продолжительности рабочего периода земснаряда на данном участке:

(164)
где:
Тр - продолжительность рабочего периода земснаряда, ч;
tост - продолжительность производственных остановок, ч;
tп - продолжительность простоев, ч.
5.3.3. В состав производственных остановок многочерпакового земснаряда входят:
установка (съемка) на участок работ;
перекладка рабочих якорей;
осмотр, смазка механизмов и замена изношенных деталей;
пополнение запасов воды и топлива;
сдача мусора и льяльных вод;
ожидание подхода шаланд;
подход и швартовка шаланд;
пропуск судов;
очистка НЧБ и черпаковой рамы от предметов засоренности;
стоянка по гидрометеорологическим причинам.
5.3.4. В состав простоев многочерпакового земснаряда входят:
неподготовленность участка работ;
запреты на работу природоохранных органов;
отсутствие топлива;
неукомплектованность экипажа;
ликвидация последствий аварий и аварийных происшествий.
6. ОДНОЧЕРПАКОВЫЕ ШТАНГОВЫЕ ЗЕМСНАРЯДЫ
6.1.1. Одночерпаковые штанговые земснаряды, в основном, применяются для создания траншей и узких прорезей. Разрабатывают все виды грунтов. Разработанный грунт может грузиться в трюм шаланд или на отвал.
6.1.2. Ширина разрабатываемой прорези штанговым земснарядом определяется зависимостью:

(165)
где:
Rк - радиус копания, м;

- угол поворота экскаваторного устройства в сторону свободного борта, рад. (град.);

- угол поворота экскаваторного устройства в сторону борта, где пришвартована шаланда, рад.
6.1.2.1. В связи с тем, что корпус шаланды выступает за корпус земснаряда, ширину разрабатываемой полосы с борта, где находится шаланда, следует принимать равной половине ширины корпуса земснаряда. Максимальный угол поворота экскаваторного устройства в сторону свободного борта составляет не более 75 градусов (1,30 рад.).
6.1.2.2. Максимальная ширина прорези, разрабатываемая земснарядом с одной стоянки, определяется по зависимости:
Вmax = 0,96Rк + 0,5Вз, (166)
где Вз - ширина корпуса земснаряда, м.
6.1.3. Рабочая ширина прорези рассчитывается по зависимости:
Вр = Во + hслm, (167)
где:
Во - проектная ширина прорези, м;
hсл - средняя толщина разрабатываемого слоя, м;
m - величина заложения откоса.
6.1.4. Радиус копания Rк у земснаряда "прямая лопата" определяется по зависимости (рис. 26 "а"):

(168)
где:

- вылет точки опоры рукояти от оси вращения экскаваторного устройства, м;
Rр - рабочий вылет рукояти, м, определяемый по зависимости:

(169)
где:
Нч - глубина разработки, м;

- высота точки опоры рукояти от поверхности воды, м;

- угол поворота рукояти, при котором высота гребня находится в пределах допустимого перебора, рад. (град.).
В табл. 29 приведены значения

при величине допустимого перебора, равного h
q = 0,5 м.
Таблица 29
ПРИРАЩЕНИЕ РАДИУСА КОПАНИЯ
Рабочий вылет рукояти, Rр, м | Приращение радиуса копания,  м |
3 | 1,6 |
4 | 1,9 |
5 | 2,3 |
10 | 3,2 |
15 | 3,9 |
20 | 4,5 |
6.1.4.1. Угол поворота рукояти при заданной высоте гребня (величина перебора) определяется по зависимости:

(170)
где hq - допустимый перебор по глубине (высота гребня), м.
6.1.5. У земснарядов "обратная лопата" максимальный радиус копания рассчитывается по зависимости:

(171)
где:
lст - длина стрелы, м;

- угол наклона стрелы к горизонту, рад. (град.);
Rр - длина рукояти, м;

- угол поворота рукояти, рад. (град.), рассчитанный по
формуле (169) (рис. 26 "б").
Величина максимального радиуса копания для земснарядов "обратная лопата" может быть выбрана по графику, приведенному на рис. 27.
6.1.6. Максимальная ширина разрабатываемой прорези штанговым земснарядом с одной стоянки рассчитывается по зависимости:
Вmax = 0,95Rк + 0,5Вз, (172)
где:
Вз - ширина корпуса земснаряда, м.
6.1.6.1. Если рабочая ширина прорези больше максимальной ширины разработки земснаряда Вр > Вmax, определяется количество серий по зависимости:

(173)
6.1.6.2. Количество серий определяется до целой величины и ширина серии рассчитывается по зависимости:

(174)
где 5 - ширина перекрытия по ширине между смежными сериями, м.
6.1.7. Угол разворота экскаваторного устройства при выходе на бровку рассчитывается по зависимости:

(175)
где:
Вр - рабочая ширина прорези, м;
Вз - ширина земснаряда, м;
Rк - радиус копания, м.
6.1.8. Разработка котлованов с шириной больше ширины прорези, разрабатываемой земснарядом с одной стоянки (рис. 28), производится сериями с шириной, равной:
Всер = Вmax - 5, (176)
где 5 - ширина полосы перекрытий между сериями, м.
6.1.9. Ширина траншеи на мелководье или в сухом береге при погрузке разработанного грунта в шаланду определяется по зависимости (рис. 29):
Втр = Вз + Вш + 10, (177)
где:
В - ширина корпуса земснаряда, м;
Вш - ширина корпуса шаланды, м;
10 - запасы ширины между бровкой и корпусами судов.
6.1.10. Разработка траншеи с заданным уклоном выполняется уступами, длина уступа рассчитывается по зависимости:

(178)
где:

- высота уступа, м;
i - заданный уклон.
Высоту уступа рекомендуется принимать в пределах 1,0 м, при этом длина уступа не должна быть менее 3,0 м (рис. 30).
6.1.11. На прорези земснаряд устанавливается по оси на сваях и якорях (рис. 31).
В процессе разработки грунта земснаряд удерживается на сваях, в период передвижки по оси прорези - на якорях.
6.2. Расчет технологических параметров
6.2.1. Толщина разрабатываемого слоя на профиле определяется по плану промера и рассчитывается по зависимости:

(179)
где:
hсл - средняя толщина срезаемого слоя, м;
Но - проектная глубина прорези, м;
Нф - фактическая глубина на профиле, м;
n - количество точек на профиле;
hg - величина допустимого перебора, м.
6.2.2. Глубина разработки рассчитывается по зависимости:

(180)
где

- поправка на колебание уровня воды, м.
6.2.3. Максимальная ширина разрабатываемой полосы с одной стоянки земснаряда рассчитывается по зависимости:

(181)
где:
Rр - рабочий вылет рукояти, м;
hg - величина допустимого перебора (высота гребня), м.
В табл. 30 приведены данные о ширине разрабатываемой полосы при допустимом переборе, равном 0,5 м.
Таблица 30
МАКСИМАЛЬНАЯ ШИРИНА РАЗРАБАТЫВАЕМОЙ ПОЛОСЫ ЗЕМСНАРЯДОМ
"ПРЯМАЯ ЛОПАТА"
Рабочий вылет рукояти, м | Максимальная ширина разрабатываемой полосы, м |
3 | 1,7 |
5 | 2,2 |
10 | 3,2 |
15 | 3,6 |
20 | 4,0 |
25 | 5,0 |
Примечание. При других значениях рабочего вылета рукояти, ширина разрабатываемой полосы определяется интерполяцией.
6.2.4. Ширина разрабатываемой полосы с одной стоянки земснаряда "обратная лопата" рассчитывается по зависимости:

(182)
где:
Rр - длина рукояти, м;
hg - величина допустимого перебора по глубине, м.
В табл. 31 приведены значения максимальной ширины разрабатываемой полосы с одной стоянки земснарядом "обратная лопата".
Таблица 31
Длина рукояти, м | Максимальная ширина разрабатываемой полосы, м |
3 | 3,4 |
5 | 4,4 |
10 | 6,4 |
15 | 7,2 |
Примечание. При другой длине рукояти значения разрабатываемой полосы определяются интерполяцией.
6.3. Производственные показатели одночерпаковых земснарядов
6.3.1. В состав производственных показателей одночерпаковых земснарядов входят:
q - часовая производительность, м3/ч;
tц - продолжительность цикла, ч;
Квр - коэффициент использования рабочего периода;
Qс - суточная выработка, м3/сут.
6.3.2. Производительность одночерпаковых земснарядов за цикл рассчитывается по зависимости:

(183)
где:

- вместимость ковша, м
3;
Кг - коэффициент использования вместимости ковша, определяется как отношение объема грунта в ковше, приведенного к состоянию естественного залегания, к вместимости ковша:

(184)
где:
Vгр - объем грунта в ковше по замерам, м3;
Кр - коэффициент, учитывающий разрыхление грунта;

- вместимость ковша, м
3;
tц - продолжительность цикла работы земснаряда, ч, рассчитываемая по зависимости:
tц = tо + tрез + tп + 2tразв + tвыгр, (185)
где:
tо - продолжительность опускания рукояти (стрелы), ч;
tрез - продолжительность резания грунта, ч;
tп - продолжительность подъема ковша до высоты разгрузки, ч;
tразв - продолжительность поворота экскаватора от места разработки к месту разгрузки, ч;
tвыгр - продолжительность выгрузки ковша, ч.
6.3.3. Часовая производительность одночерпакового земснаряда рассчитывается по зависимости:

(186)
где:
qц - производительность земснаряда за цикл, м3/ч;
tпер - продолжительность передвижки земснаряда, ч;
Вр - рабочая ширина прорези, м;
hсл - средняя толщина разрабатываемого слоя, м;
Ра - величина перемещения земснаряда вперед, м.
6.3.4. Коэффициент использования рабочего периода одночерпакового земснаряда рассчитывается по зависимости:

(187)
где:
Тр - продолжительность пребывания земснаряда на участке работ, ч;
tост - продолжительность производственных остановок, ч;
tп - продолжительность простоя, ч.
6.3.5. В состав производственных остановок одночерпаковых земснарядов входят:
установка (съемка) на участок работ;
осмотр, смазка механизмов, замена изношенных деталей;
пополнение запасов воды и топлива;
ожидание подхода шаланд;
пропуск судов;
стоянки по гидрометеорологическим причинам.
6.3.6. К простою земснаряда относятся:
запрет производства работ природоохранными органами;
ликвидация последствий аварий и аварийных происшествий;
неукомплектованность экипажа земснаряда или шаланды;
отсутствие топлива.
Суточная выработка земснаряда рассчитывается по формуле:
Qс = 24qКвр. (188)
7.1.1. Грейферные земснаряды используются для разработки котлованов, траншей, подчистки прикордоновой полосы у причалов, отсыпки подушки под гидротехнические сооружения.
7.1.2. Максимальная ширина прорези, разрабатываемой с одной стоянки грейферным землесосом, определяется зависимостью:
Вmax = 2Rmax, (189)
где Rmax - максимальный вылет стрелы крана, м.
Если ширина котлована больше ширины прорези, которую может разработать земснаряд с одной стоянки, котлован разбивается на серии.
7.1.3. Земснаряд устанавливается на оси прорези на четырех или трех якорях.
При работе у стенок гидротехнических сооружений земснаряд пришвартовывается к стенке.
Положение бровок прорези определяется по углу поворота крана относительно оси прорези и вылету стрелы.
Погрузка разработанного грунта производится в трюм шаланды, у самоотвозных - в собственный трюм. Возможна работа на отвал.
7.1.4. Разработка слоя грунта ведется отдельными воронками. Толщина срезаемого грейфером слоя грунта зависит от плотности сложения грунта и массы грейфера.
Для грунтов средней плотности используются легкие грейферы с большей вместимостью, для плотных грунтов - тяжелые грейферы с зубьями с меньшей вместимостью грейфера.
Каменистый грунт разрабатывается многочелюстным грейфером.
Для обеспечения более ровной поверхности дна разработка ведется с перекрытием следов (рис. 32).
7.1.5. Ширина разрабатываемой полосы с одной стоянки земснаряда (рис. 33) определяется по зависимости:
Вп = Rmax - 1,2Rmin, (190)
где Rmin - минимальный вылет стрелы, м.
При работе на постоянном вылете стрелы ширина разработанной полосы составляет 0,8 ширины грейфера:
Вп = 0,8Вгр, (191)
где Вгр - ширина грейфера, м.
7.1.6. Перемещение земснаряда вперед производится после разработки полосы, оно не должно превышать ширины разработанной полосы и рассчитывается по зависимости:
Ра = Rmax - 1,2Rmin - 0,5. (192)
7.2. Расчет технологических параметров работы
грейферного земснаряда
7.2.1. Толщина разрабатываемого слоя на профиле определяется по плану промера и рассчитывается по зависимости:

(193)
где:
Но - проектная глубина прорези, м;
Нф - фактическая глубина прорези, м;
n - количество точек измерений глубин на профиле;
hg - величина допустимого перебора по глубине, м.
7.2.2. Глубина разработки рассчитывается по зависимости:

(194)
где:
Но - проектная глубина котлована, м;

- поправка на колебание уровня моря, м;
hg - величина допустимого перебора, м.
7.2.3. При толщине разрабатываемого слоя, не превышающей 1,5 м, разработка ведется до проектной глубины с одной стоянки.
При толщине слоя более 1,5 м разработка выполняется послойно, при этом необходимо стремиться, чтобы толщина последнего слоя была не менее 1,0 м.
7.2.3.1. Толщина срезаемой грейфером стружки грунта определяется по зависимости:

(195)
где:
G - вес грейфера, кН;
Ку - коэффициент удельного сопротивления грунта резанию, рассчитывается по зависимости:
для грейфера без зубьев:

(196)
для грейфера с зубьями:
Ку = 0,01Сг(1 + 2,6lркр) - 1,47, (197)
где:
Сг - коэффициент, принимаемый по графику, см. рис. 34;
lркр - длина режущей кромки грейфера, м;

- толщина режущей кромки грейфера, мм.
7.2.4. При большой ширине котлована разработка ведется по сериям с полосой перекрытия не менее 5,0 м.
Количество серий рассчитывается по зависимости:

(198)
где:
Вр - рабочая ширина котлована, м;
Вmax - максимальная ширина прорези, разрабатываемая земснарядом с одной стоянки, м;
5 - ширина полосы перекрытия между сериями, м.
Количество серий округляется до целой величины и определяется ширина серии по зависимости:

(199)
7.2.5. Угол поворота крана при выходе на бровку рассчитывается по зависимости:

(200)
где:
Rmax - максимальный радиус копания, м;
Rmin - минимальный радиус копания, м.
7.2.6. Приращение поворота крана после каждой экскавации рассчитывается по зависимости:

(201)
где:
вгр - ширина грейфера, м;
Rср - средний радиус копания, м, рассчитываемый по зависимости:

(202)
7.3. Производственные показатели работы грейферных
земснарядов
7.3.1. Производительность за цикл рассчитывается по зависимости:

(203)
где:

- вместимость грейфера, м
3;
Кг - коэффициент использования вместимости грейфера, рассчитываемый по зависимости:

(204)
где:
Vгр - объем грунта в грейфере по замерам, м3;
Кр - коэффициент разрыхления грунта;
tц - продолжительность цикла, ч, рассчитываемая по зависимости:

(205)
где:
tо - продолжительность опускания грейфера с высоты разгрузки до поверхности грунта, ч;
tрез - продолжительность резания грунта, равная продолжительности закрытия грейфера, ч;
tп - продолжительность подъема заполненного грейфера до уровня разгрузки, ч;
tпов - продолжительность поворота крана от места разработки до места разгрузки, ч;
tвыг - продолжительность выгрузки грейфера, ч.
7.3.2. Часовая производительность грейферного якорного земснаряда рассчитывается по зависимости:

(206)
где:
qц - производительность земснаряда за цикл, м3/ч;
tпер - продолжительность передвижки земснаряда вперед, ч;
Вр - рабочая ширина прорези, м;
hсл - толщина разрабатываемого слоя, м;
Ра - перемещение земснаряда вперед, м.
7.3.3. Часовая производительность грейферного самоотвозного земснаряда рассчитывается по формуле:
где Wн - норма загрузки трюма земснаряда, м3, рассчитываемая по зависимости:

(207)
где:
G - грузоподъемность земснаряда, т;
Wт - вместимость трюма земснаряда, м3;

- плотность воды, т/м
3;

- плотность грунта в состоянии естественного залегания, т/м
3.
Если по расчету величина "Wн" окажется больше вместимости трюма земснаряда, норма загрузки трюма рассчитывается по зависимости:

(208)
где Кр - коэффициент разрыхления грунта, принимается по табл. 32.
Таблица 32
КОЭФФИЦИЕНТЫ РАЗРЫХЛЕНИЯ ГРУНТОВ ПРИ ПОГРУЗКЕ
В ТРЮМ ЗЕМСНАРЯДА
Наименование грунта | Коэффициент разрыхления |
Песок | 1,00...1,10 |
Супеси | 1,10...1,15 |
Суглинки | 1,15...1,20 |
Глины | 1,20...1,25 |
Щебень, гравий | 1,20 |
Галька, мергель, известняк | 1,30...1,35 |
Дробленная скала | 1,40...1,50 |
tц - продолжительность цикла работы земснаряда, рассчитываемая по зависимости:

(209)
где:
tус - продолжительность установки (съемки) земснаряда на участок работ, ч;
tп - продолжительность погрузки трюма, ч, рассчитываемая по зависимости:

(210)
где:
qц - производительность кранового устройства за цикл, м3/ч;
tпер - продолжительность перемещения земснаряда вперед, ч;
Вр - рабочая ширина прорези, разрабатываемая с одной стоянки, м;
hсл - толщина разрабатываемого слоя, м;
Ра - перемещение земснаряда вперед;
Sн - дальность транспортировки грунта на отвал, км;
tх - норма времени на 1 км отвозки грунта на отвал и возвращение к месту работы, ч;
Кv - коэффициент, учитывающий ограничение скорости движения на отдельных участках трассы, рассчитываемый по зависимости:

(211)
где:
Vср - средняя паспортная скорость земснаряда, км/ч;
Sl - длина трассы, на которой ограничена скорость движения земснаряда, км;
Vi - допустимая скорость движения на данном участке трассы, км/ч;
tраз - продолжительность разгрузки трюма, ч.
7.3.4. Норма времени на 1 км отвозки грунта на отвал и возвращения к месту работы рассчитывается по зависимости:

(212)
где:
К
з - коэффициент, учитывающий задержки в пути, выбирается из
табл. П.8.2;
К
рт - коэффициент, учитывающий разгон и торможение, выбирается из
табл. П.8.1.
7.3.5. Коэффициент использования рабочего периода грейферного якорного земснаряда рассчитывается по зависимости:

(213)
где:
Тр - продолжительность пребывания земснаряда на участке, объекте работ, ч;
tост - продолжительность производственных остановок, ч;
tп - продолжительность простоев, ч.
7.3.5.1. В состав производственных остановок якорного грейферного земснаряда входят:
установка (съемка) на участке работы, ч;
осмотр, смазка механизмов, замена изношенных деталей, ч;
перекладка рабочих якорей, ч;
ожидание подхода шаланд, ч;
накопление запаса водой и топливом, ч;
сдача льяльных вод и мусора, ч;
стоянка по гидрометеорологическим причинам, ч.
7.3.5.2. К простоям земснаряда относятся:
запреты на производство работ природоохранными организациями;
неисправность шаланды;
ликвидация последствий поломок, аварий и аварийных происшествий;
простои из-за отсутствия топлива;
простои из-за неукомплектованности команды земснаряда или шаланды.
7.3.5.3. В состав производственных остановок самоотвозных грейферных земснарядов входят:
осмотр, сказка механизмов и замена изношенных деталей, ч;
пополнение запасов воды и топлива, ч;
сдача льяльных вод и мусора, ч;
пропуск судов, ч;
стоянки по гидрометеорологическим причинам, ч.
7.3.5.4. К простоям самоотвозного грейферного земснаряда относятся:
запреты на работу природоохранных организаций;
ликвидация последствий аварий и аварийных происшествий;
простои из-за отсутствия топлива;
простои из-за неукомплектованности экипажа.
7.3.6. Суточная выработка грейферных земснарядов рассчитывается по зависимости:
Qс = 24qКвр. (214)
Таблица П.1.1
Группа по трудности разработки | Наименование грунта | Гранулометрический класс | Плотность,  т/м 3 | Коэффициент пористости,  | Показатель консистенции, JL | Прилипаемость, КПа | Категория грунта по трудности разработки |
1 | 2 | 3 | 4 | 5 | 6 | 7 | 8 |
1 | Илы: | | | | | | |
супесчаные | IV - VI | 1,45...1,60 | 0,9 и более | | | 1 |
суглинистые | IV - VI | 1,45...1,75 | 1,0 и более | | | 1 |
глинистые | IV - VI | 1,45...1,75 | 1,5 и более | | | 1 |
2 | Пески рыхлые | IIIк | 1,75...1,80 | св. 0,70 | | | 1 |
IIIс | 1,70...1,75 | св. 0,70 | | | 1 |
IIIм | 1,65...1,70 | св. 0,75 | | | 1 |
Ракушечно-песчаные | IIIп | 1,65...1,70 | св. 0,80 | | | 1 |
IIIр | 1,65...1,80 | св. 0,70 | | | 1 |
Ракушечно-илистые | (IV - VI) Р | 1,65...1,70 | | 1,0...1,5 | | 1 |
Супеси текучие | IV | 1,70...1,80 | | св. 1,0 | | 1 |
3 | Пески средней плотности | IIIк | 1,81...2,10 | 0,55...0,70 | | | 1 |
IIIс | 1,76...2,00 | 0,55...0,70 | | | 1 |
IIIм | 1,71...1,95 | 0,60...0,75 | | | 1 |
IIIп | 1,71...1,95 | 0,60...0,80 | | | 1 |
Супеси пластичные | IV | 1,81...2,00 | 0,0...1,0 | | | 1 |
Суглинки и глины слабоприлипаемые: | V, VI | | | | | 1 |
текучие | | 1,95...2,00 | 1,0 | | до 10 | 1 |
текучепластичные | | 1,95...2,00 | 0,76...1,0 | | до 10 | 1 |
мягкопластичные | | 1,95...2,00 | 0,51...0,75 | | до 10 | 1 |
4 | Пески плотные | IIIк | 2,10...2,20 | до 0,55 | | | 1 |
IIIс | 2,01...2,05 | до 0,55 | | | 1 |
IIIм | 1,96...2,10 | до 0,60 | | | 1 |
IIIп | 1,96...2,15 | до 0,6 | | | 1 |
Пески с гравием гравилистые | IIIгр | 2,30...2,50 | | | | 1 |
Пески с дресвой, дресвяные | IIIг | 2,30...2,50 | | | | 1 |
Гравий (дресва) | П | 2,25...2,40 | | | | 1 |
Ракушечниковые | Р | 2,10...2,20 | | | | 1 |
4 | Супеси с гравием | | | | | | 1 |
текучие | IV гр | 2,30...2,50 | | св. 1,0 | | 1 |
пластичные | IV гр | 2,30...2,50 | | 0,0...1,0 | | 1 |
Суглинки и глины слабоприлипаемые тугопластичные | V, VI | 2,01...2,20 | | 0,26...0,50 | до 10 | 2 |
Суглинки и глины среднеприлипаемые: | | | | | | |
текучие | V, VI | 2,01...2,10 | | св. 1,0 | 10...25 | 2 |
текучепластичные | V, VI | 2,01...2,10 | | 0,76...1,0 | 10...25 | 2 |
мягкопластичные | V, VI | 2,01...2,10 | | 0,51...0,75 | 10...25 | 2 |
5 | Супеси твердые | IV | 2,01...2,25 | | до 0,0 | | 2 |
Суглинки и глины полутвердые слабоприлипаемые | V, VI | 2,11...2,30 | | 0,01...0,25 | до 10 | 2 |
Суглинки и глины тугопластичные среднеприлипаемые | V, VI | 2,11...2,30 | | 0,26...0,50 | 10...25 | 3 |
Суглинки и глины сильноприлипаемые текучие, текучепластичные, мягкопластичные | V, VI | 2,11...2,30 | | 0,5...1,0 | 25...40 | 3 |
Галька (щебень) | I | 2,31...2,50 | | | | 1 |
Грунты с галькой (щебнем) | IIIгл, IVгл, Vгл, VIгл | 2,31...2,50 | | | | 1 |
Гравийно-глинистые | IIгл | 2,31...2,50 | | | | 1 |
Гравийно-супесчаные | IIс | 2,31...2,50 | | | | 1 |
Галечные | Iп, Iс, Iг, Iгр, Iгл | 2,31...2,50 | | | | 1 |
Суглинки и глины слабоприлипаемые твердые | V, VI | 2,31...2,50 | | до 0,0 | до 10 | 2 |
Суглинки и глины сильноприлипаемые | V, VI | 2,31...2,50 | | 0,01...0,50 | 25...40 | 3 |
Суглинки и глины особо сильноприлипаемые | V, VI | 2,31...2,50 | | | св. 40 | 3 |
Песчано-пылеватые грунты с плывунными свойствами (типсотропные) | IIIм, IIIн | 2,31...2,50 | | | | 3 |
Грунты, не требующие дробления - твердые полускальные и выветренные грунты с пределом прочности на сжатие 0,10...0,55 МПа | | 2,31...2,50 | | | | 3 |
Грунты, требующие дробления до 20 см в поперечнике, грунты, содержащие валунные фракции более 4% | | 2,31...2,50 | | | | 3 |
Грунты с пределом прочности на сжатие более 0,55 МПа | | 2,31...2,50 | | | | 3 |
Примечания.
1. Ил - водонасыщенный осадок водоемов, образовавшийся при наличии микробиологических процессов, имеющий влажность, превышающую важность на границе текучести, и коэффициент пористости от 0,9 и более.
2. Грунты с ракушей классифицируются по гранулометрическому составу и коэффициенту пористости, как обломочные несцементированные грунты.
3. В
табл. П.1.1 приняты следующие сокращения: к - крупный, с - средний, м - мелкий, п - пылеватые, р - ракушечный.
Таблица П.1.2
ГИДРАВЛИЧЕСКИЕ ХАРАКТЕРИСТИКИ ГРУНТОВ
Группа по трудности разработки | Гранулометрический класс | Плотность в состоянии естественного залегания,  т/м 3 | Средний диаметр частиц,  мм | Коэффициент транспортабельности,  | Коэффициент разнозернистости, j | Действительная объемная консистенция смеси, принятая при расчете продолжительность погрузки трюма, Со | Коэффициент, определяющий уход грунта в перелив, Ка | Расход воды для размыва одного кубического метра грунта, qв, м3 | Удельное сопротивление грунта резанию, C, кН/м2 | Коэффициент, учитывающий долю забранного грунта от объема разрыхленного |
1 | 2 | 3 | 4 | 5 | 6 | 7 | 8 | 9 | 10 | 11 |
1 | (IV - VI) | 1,60 | 0,08 | 0,02 | 0,08 | 0,127 | 0,10 | 3,0 | 20 | 1,0 |
IIIк | 1,80 | 1,00 | 1,00 | 0,30 | 0,115 | 0,80 | 3,0 | 100 | 0,8 |
IIIс | 1,80 | 0,60 | 0,60 | 0,20 | 0,097 | 0,65 | 4,5 | 100 | 0,8 |
2 | IIIм | 1,75 | 0,45 | 0,40 | 0,20 | 0,072 | 0,50 | 4,0 | 100 | 0,7 |
IIIп | 1,70 | 0,20 | 0,30 | 0,08 | 0,064 | 0,38 | 3,5 | 100 | 0,6 |
IIIр | 1,75 | 1,00 | 1,00 | 0,30 | 0,090 | 0,80 | 5,0 | 100 | 0,8 |
(IV - VI) Р | 1,70 | 0,1 | 0,1 | 0,1 | 0,160 | 0,50 | 3,0 | 100 | 1,0 |
IV | 1,75 | 0,14 | 0,20 | 0,1 | 0,050 | 0,40 | 4,5 | 100 | 0,6 |
3 | IIIк | 2,00 | 1,00 | 1,00 | 0,30 | 0,12 | 0,80 | 6,0 | 145 | 0,8 |
IIIс | 2,00 | 0,60 | 0,60 | 0,20 | 0,082 | 0,65 | 5,5 | 145 | 0,8 |
IIIм | 1,95 | 0,45 | 0,40 | 0,25 | 0,063 | 0,50 | 5,0 | 145 | 0,7 |
IIIп | 1,90 | 0,25 | 0,20 | 0,1 | 0,053 | 0,38 | 4,5 | 145 | 0,6 |
IV | 2,00 | 0,14 | 0,20 | 0,1 | 0,04 | 0,40 | 5,5 | 145 | 0,6 |
V, VI | 2,00 | 14,7 | 2,00 | 0,30 | 0,115 | 0,1 | 7,0 | 145 | 0,7 |
4 | IIIк | 2,10 | 1,00 | 1,00 | 0,30 | 0,087 | 0,80 | 7,0 | 210 | 0,8 |
IIIс | 2,05 | 0,60 | 0,60 | 0,20 | 0,065 | 0,65 | 6,5 | 210 | 0,8 |
IIIм | 2,00 | 0,45 | 0,40 | 0,19 | 0,054 | 0,50 | 6,0 | 210 | 0,7 |
IIIп | 2,00 | 0,25 | 0,30 | 0,10 | 0,04 | 0,38 | 5,5 | 210 | 0,6 |
IIIг, IIIгр | 2,30 | 4,48 | 1,80 | 0,30 | 0,079 | 0,90 | 9,0 | 308 | 0,7 |
IVгр | 2,30 | 4,48 | 1,80 | 0,30 | - | - | 9,0 | 308 | 0,7 |
II | 2,45 | 14,7 | 2,00 | 0,30 | 0,1 | 0,95 | 9,5 | 320 | 0,6 |
Р | 2,20 | 41,6 | 2,00 | 0,30 | 0,08 | - | 10,0 | 320 | 0,8 |
V, VI | 2,20 | 14,7 | 2,00 | 0,30 | 0,072 | - | 10,0 | 308 | 0,8 |
5 | IV | 2,20 | 0,14 | 0,20 | 0,08 | - | - | - | 350 | 0,7 |
V, VI | 2,50 | 14,7 | 2,00 | 0,30 | - | - | - | 350 | 0,7 |
6 | I | 2,50 | 41,6 | 2,00 | 0,30 | - | - | - | 440 | 0,8 |
IIIгл, IVгл | 2,50 | 20,0 | 2,00 | 0,30 | - | - | - | 440 | 0,7 |
Vгл, VIгл | 2,50 | 20,0 | 2,00 | 0,30 | - | - | - | 440 | 0,7 |
IIгр | 2,50 | 10,0 | 1,90 | 0,30 | - | - | - | 440 | 0,8 |
IIс | 2,50 | 10,0 | 1,90 | 0,30 | - | - | - | 440 | 0,8 |
Iп, Iс | 2,50 | 22,5 | 1,90 | 0,30 | - | - | - | 440 | 0,7 |
Iг, Iгр | 2,50 | 22,5 | 1,90 | 0,30 | - | - | - | 440 | 0,7 |
V, VI | 2,50 | 14,7 | 2,00 | 0,30 | - | - | - | 440 | 0,7 |
ЗАВОЗКА И ПЕРЕКЛАДКА РАБОЧИХ ЯКОРЕЙ И ТРОСОВ
ЗЕМСНАРЯДОВ НА МЕЛКОВОДЬЕ
1. Под мелководьем понимается акватория с глубинами менее проходных глубин морского завозного крана (мотозавозни).
2. Завозка рабочих якорей осуществляется следующими способами:
завозка с помощью мелкосидящей несамоходной завозни с ручной или механической лебедкой с кранбалом и мелкосидящим катером;
завозка с помощью мелкосидящей завозни с ручной или механической лебедкой с кранбалом на местах;
завозка якоря с помощью понтона и плавучего трактора (вездехода).
При всех перечисленных способах завозка якоря осуществляется с набором троса на палубу мотозавозни или понтона.
3. Завозка якоря мелкосидящей завозней и мелкосидящим катером производится следующим способом:
якорь на отдачнике подвешивается на кранбал завозни, буевая раскладывается в кормовой части завозни;
на палубу завозни набирается большими шлагами трос, длина которого определится дальностью закладки якоря с учетом свободного его травления (примерно 110...115% дальности закладки якоря);
ходовой конец троса закрепляется на кнехтах завозни, барабан лебедки выводится из зацепления и завозня буксируется завозным краном до мелководья, вытягивая трос с барабана лебедки;
на мелководье завозня берется на буксир мелкосидящим катером, отдается ходовой конец троса, катер малым ходом буксирует завозню по указанному направлению, трос вытравливается с завозни вручную;
после вытравливания всей длины набранного троса, трос сбрасывается с завозни, катером вытягивается слабина вытравленного троса и отдается якорь;
после отдачи якоря катер совершает разворот в сторону земснаряда, во время которого вытравливается буевая и сбрасывается буек.
4. Длина буевой должна быть не менее 10...15 м с тем, чтобы ее хватило намотать на барабан лебедки и завести на кранбалку при подрыве якоря.
5. При отсутствии катера перемещение завозни на мелководье может осуществляться с помощью шестов или завезенного на шлюпке бриделя.
6. При наличии вездехода (плавучего трактора) его также можно использовать для завозки и перекладки рабочих якорей на мелководье.
В этом случае якорь на катках укладывается на понтон-поповку и закрепляется. Трос набирается на понтон вручную и укладывается большими шлагами в бухту.
После набора необходимой длины ходовой конец троса переносится на пришвартованную к понтону мотозавозню и закрепляется на ней.
Понтон с якорем и тросом буксируется к мелководью, вытягивая трос с выведенного барабана лебедки.
На мелководье понтон берется на буксир плавтрактором и буксируется к месту закладки якоря. При вытравливании всего троса якорь открепляется от понтона и понтон выдергивается из-под якоря. Схема завозки якорей на мелководье приведена на рис. П.2.1.
7. При перекладке якоря завозня подводится к буйку, буек вылавливается, поднимается на завозню и буевая заводится на кранбал и наматывается на барабан лебедки.
Якорь подрывается, поднимается и закрепляется на кранбале. Завозня подтягивается рабочей лебедкой земснаряда к его борту, где закрепляется у борта и набирает трос на палубу.
8. При отсутствии завозни, но наличии плавучего трактора, оборудованного стрелой и лебедкой грузоподъемностью до 500 кгс (5 кН), под трос подводится понтон-поповка, который буксируется по тросу к якорю (на глубокой воде - завозным краном, катером, на мелководье - трактором).
Вылавливается буек и буевая выбирается с помощью лебедки плавтрактора на панер, после чего закрепляется на кнехтах понтона.
С помощью лебедки плавтрактора набирается слабина рабочего троса, и трос закрепляется на кнехтах понтона, где закреплена и буевая.
Якорь подрывается лебедкой земснаряда и понтон с якорем подтягивается к борту земснаряда.
У борта земснаряда отдается трос с понтона, и якорь поднимается лебедкой на борт земснаряда.
Завозка якоря производится так же, как описано в
п. 6.
9. Завозка и перекладка якорей на мелководье требуют больших затрат времени и весьма трудоемки. Для сокращения времени на перекладку якорей рабочие тросы можно закреплять на леере, закрепленном на двух завезенных якорях, рис. П.2.2.
Якоря закладываются на расстоянии 100...150 м друг от друга. Длина троса, соединяющего якоря, берется на 10...15 м больше расстояния между якорями. Рабочий трос крепится к лееру на канифас-блоке.
10. Перекладка леера производится следующим способом: под рабочий трос подводится плотик, который протягивается по нему до канифас-блока. Канифас-блок поднимается на плотик и закрепляется на нем. С помощью несамоходной мелкосидящей завозни подрывается "задний якорь" и, выбирая трос на палубу, завозня подтягивается к "переднему якорю". Якорь завозится в указанном направлении путем буксировки завозни мелкосидящим катером, толкается шестами или перемещается с помощью бриделя.
После отдачи якоря канифас-блок снимается с леера, переворачивается на 180 градусов, чтобы замок канифас-блока был наверху, и вновь заводится на леер.
11. При разработке прорези в сухом береге рабочие троса закрепляются на якорях-"мертвяках".
Устройство якорей-"мертвяков" приведено на рис. П.2.3.
Для легких глинистых и сыпучих грунтов применяются якоря-"мертвяки", конструкция которых приведена на рис. П.2.3 "а", для плотных грунтов, способных удерживать вертикальный откос при рытье траншеи, могут использоваться якоря рис. П.2.3 "б". На плотных глинистых грунтах используются якоря-"мертвяки", приведенные на рис. П.2.3 "в".
12. При сооружении якорей-"мертвяков" типа "а" и "б" вместо бревен могут использоваться металлические толстостенные трубы диаметром не менее 150 мм.
При сооружении якоря-"мертвяка" конструкции "а" обязательна его засыпка и необходимо уплотнение засыпки.
13. Сооружение якорей-"мертвяков" - трудоемкий процесс, требующий средств механизации и материалов.
Для длительного использования якоря-"мертвяка" требуется его большое удаление от рабочей прорези (шаг перекладки, в среднем, составляет половину дальности завозки), рекомендуется рабочий трос крепить за леер, закрепленный на якорях-"мертвяках".
Длину леера рекомендуется принимать 100...150 м, при этом ось якорей-"мертвяков" следует располагать под углом к оси разрабатываемой прорези, равным 30...40 градусов (рис. П.2.4). Леер не следует натягивать туго, так как в этом случае возрастает нагрузка на якоря-"мертвяки". При нахождении рабочего троса в средней части леера, угол между ветвями леера в точке крепления канифас-блока должен составлять 110...120 градусов.
Для выполнения этого условия длина леера должна быть на 10...15% больше расстояния между якорями-"мертвяками". Рабочий трос к лееру крепится посредством канифас-блока.
РАСЧЕТ КОЭФФИЦИЕНТА ИСПОЛЬЗОВАНИЯ РАБОЧЕГО ПЕРИОДА
ЗЕМСНАРЯДОВ
1. МНОГОЧЕРПАКОВЫЕ ЗЕМСНАРЯДЫ
1.1. Коэффициент использования рабочего периода земснаряда рассчитывается как отношение чистого времени работы земснаряда к продолжительности пребывания на участке работ:

(П.3.1)
где:
tч - чистое время работы земснаряда, ч;
Тр - рабочий период земснаряда, ч;
tост - суммарная продолжительность производственных остановок, ч;

- сумма относительных продолжительностей производственных остановок.
1.2. Относительная продолжительность перестановок на участке работ определяется по зависимости:

(П.3.2)
где:
tуу - нормативная продолжительность установки и съемки на участке работ, ч;
qр - расчетная производительность земснаряда, м3/ч;
V - объем работ на участке (участках), м3;
nп - количество перестановок земснаряда, ед.
1.3. Относительная продолжительность осмотра и смазки механизмов и замены изношенных деталей рассчитывается по зависимости:

(П.3.3)
где:
tосм - нормативная продолжительность осмотра и смазки механизмов и замены изношенных деталей за сутки работы земснаряда, ч, (по статистике отчетов управлений морских путей за последние 20 лет, в среднем продолжительность осмотра и смазки механизмов и замена изношенных деталей составляет 3 часа в сутки);
Квр - средний коэффициент использования рабочего периода при полном укомплектовании земснаряда шаландами, по расчетам составляет Квр = 0,5.
С учетом вышеизложенного, относительная продолжительность осмотра, смазки механизмов и замены изношенных деталей составляет:
1.4. Относительная продолжительность перекладки рабочих якорей рассчитывается по зависимости:

(П.3.4)
где:
q - расчетная производительность земснаряда, м3/ч;
Вр - рабочая ширина разрабатываемой прорези, м;
hсл - средняя толщина разрабатываемого слоя, м;
Sп - шаг перекладки папильонажных якорей, м;
Sа - шаг перекладки авантового якоря, м;
1,1 - коэффициент, учитывающий перезавозку якорей из-за их сползания;
4 - количество папильонажных якорей;

- нормативная продолжительность перекладки одного папильонажного якоря, ч;

- нормативная продолжительность перекладки авантового якоря, ч.
1.5. Относительная продолжительность подхода и швартовки шаланд рассчитывается по зависимости:

(П.3.5)
где:
Кс - коэффициент, учитывающий подход и отход шаланд без остановки земснаряда;
qр - расчетная производительность земснаряда, м3/ч;
Wн - средняя норма загрузки трюма шаланд, м3, если в составе каравана имеются шаланды с различной вместимостью трюма, средняя норма загрузки трюма рассчитывается по зависимости:

(П.3.6)
где:
Ni - количество шаланд данного типа, ед.;
Wi - норма загрузки трюма данного типа шаланд, м3;

- общее количество шаланд в составе каравана, ед.;
Коб - коэффициент, учитывающий условия приемки шаланд земснарядом;
tпш - нормативная продолжительность подхода (отхода) и швартовки шаланды, ч.
При разработке узких прорезей на мелководье прием шаланд земснарядом производится только под один борт. При этом шаланда, ожидающая подхода к борту земснаряда, начинает свое движение только после ухода груженой шаланды. В табл. П.3.1 приведены значения коэффициентов, учитывающих прием шаланд земснарядом только под один борт.
Таблица П.3.1
ЗНАЧЕНИЕ КОЭФФИЦИЕНТОВ ПРИ ПРИЕМКЕ ШАЛАНД ПОД ОДИН БОРТ
Расстояние от места ожидания шаланды до земснаряда, км |
0,2 | 0,4 | 0,6 | 0,8 | 1,0 | 1,2 | 1,4 |
1,98 | 2,46 | 2,94 | 3,42 | 3,90 | 4,36 | 4,86 |
1.6. Относительная продолжительность пополнения запасов воды и топлива рассчитывается по зависимости:

(П.3.7)
где:
tб - средняя продолжительность одной бункеровки, ч;
nб - количество бункеровок, ед.;
V - объем работ на участке работ, м3;
qр - расчетная производительность земснаряда, м3/ч.
1.7. Относительная продолжительность сдачи мусора и льяльных вод рассчитывается по зависимости:

(П.3.8)
где:
tм - средняя продолжительность одной сдачи мусора и льяльных вод, ч;
nм - количество сдач мусора и льяльных вод.
1.8. Относительная продолжительность ожидания подхода шаланд рассчитывается по зависимости:

(П.3.9)
где:
qр - расчетная производительность земснаряда, м3/ч;
Nф - фактическое количество шаланд в составе каравана, ед.;
Wн - средняя норма загрузки трюма шаланды, м3;
tп - средняя продолжительность погрузки шаланды, ч, рассчитываемая по зависимости:

(П.3.10)
где tп - продолжительность цикла шаланды, ч, рассчитываемая по зависимости:

(П.3.11)
где:
S - дальность транспортировки грунта на отвал, км;

- норма времени на 1 км отвозки и возвращение к месту работы земснаряда, ч;
Кv - коэффициент, учитывающий ограничение скорости движения шаланды на отдельных участках трассы;
tраз - нормативная продолжительность разгрузки трюма шаланды, ч;
tпш - нормативная продолжительность подхода, отхода и швартовки шаланды;
Nр - расчетное количество шаланд, обеспечивающее бесперебойную работу земснаряда, ед., рассчитываемое по зависимости:

(П.3.12)
1.9. В данных многолетних наблюдений гидрометеорологических станций даются повторяемости высоты волны и скорости ветра в процентах (или в долях) от продолжительности месяца (года).
При определении относительной стоянки земснаряда по гидрометеорологическим причинам принимается сумма повторяемостей высот волны и скоростей ветра выше предельных значений, при которых возможна работа земснаряда и шаланд.
1.10. Относительная продолжительность стоянки земснаряда по пропуску судов может быть рассчитана по зависимости:

(П.3.13)
где:
nс - среднемесячное количество судозаходов, ед.;
30 - средняя продолжительность месяца, сут.;
tпс - средняя продолжительность пропуска одного судна, ч.
1.11. При неполном укомплектовании земснаряда шаландами имеется возможность сократить суммарную продолжительность производственных остановок за счет выполнения полностью или частично подготовительных операций в период ожидания подхода шаланд.
1.12. Коэффициент, учитывающий сокращение продолжительности производственных операций, рассчитывается по зависимости:
где:
tц - продолжительность цикла шаланды, ч;
nф - количество шаланд в составе каравана, ед.;
tп - продолжительность погрузки шаланды, ч;

- нормативная продолжительность выполнения подготовительной операции, ч.
Если величина коэффициента Кс отрицательна, следует принимать значение Кс = 0.
1.13. В общем виде коэффициент использования рабочего периода многочерпакового земснаряда рассчитывается по формуле:

(П.3.14)
где:

- относительная продолжительность стоянки земснаряда по гидрометеорологическим причинам в долях;

- относительная продолжительность пропуска судов в долях;

- относительная продолжительность прочих планируемых ежесуточно остановок земснаряда, рассчитываемая по зависимости:

(П.3.15)
где:
tпр - планируемые ежесуточные остановки земснаряда, ч;
24 - продолжительность суток, ч;

- относительная продолжительность установки и перестановок земснаряда на участке, рассчитанная по
формуле П.3.2;

- относительная продолжительность перекладки рабочих якорей, рассчитанная по
формуле П.3.4;

- относительная продолжительность подхода и швартовки шаланд, рассчитанная по
формуле П.3.5;

- относительная продолжительность пополнения запасов воды и топлива, рассчитанная по
формуле П.3.7;

- относительная продолжительность сдачи мусора и льяльных вод, рассчитанная по
формуле П.3.8;

- относительная продолжительность ожидания подхода шаланд, рассчитанная по
формуле П.3.9.
1.14. Для прикидочных расчетов величина коэффициента использования рабочего периода при полном укомплектовании земснаряда шаландами и без учета стоянок по гидрометеорологическим причинам и по пропуску судов определяется по зависимости:
Квр = 0,8 - 3,0·10-4qр, (П.3.16)
где qр - расчетная производительность земснаряда.
Учет стоянок по гидрометеорологическим причинам и пропуску судов производится путем введения коэффициента, рассчитываемого по зависимости:

(П.3.17)

(П.3.18)
где:

- относительная продолжительность стоянки по гидрометеорологическим причинам;

- относительная продолжительность стоянки по пропуску судов.
1.15. При неполном укомплектовании земснаряда шаландами коэффициент использования рабочего периода рассчитывается по зависимости:

(П.3.19)
где:

- относительная продолжительность ожидания подхода шаланд, рассчитанная по
формуле П.3.9;

- коэффициент использования рабочего периода, рассчитанный по
формуле П.3.18.
2. САМООТВОЗНЫЕ ЗЕМЛЕСОСЫ
2.1. Коэффициент использования рабочего периода самоотвозного землесоса рассчитывается по зависимости:

(П.3.20)
где:

- относительная продолжительность стоянки по гидрометеорологическим причинам;

- относительная продолжительность пропуска судов;

- относительная продолжительность пополнения запасов воды и топлива;

- относительная продолжительность сдачи мусора и льяльных вод;

- относительная продолжительность планируемых ежесуточных стоянок землесоса.
Все относительные продолжительности рассчитываются по зависимостям, приведенным в
п. 1.2...1.15.
3. РЕФУЛЕРНЫЕ ЯКОРНЫЕ ЗЕМЛЕСОСЫ
3.1. Коэффициент использования рабочего периода рефулерных землесосов рассчитывается по зависимости:

(П.3.21)
где

- относительная продолжительность перевода плавучего грунтопровода, рассчитываемая по зависимости:

(П.3.22)
где:
qр - расчетная производительность земснаряда, м3/ч;
Sпп - шаг перекладки плавучего грунтопровода, м;
Вр - рабочая ширина прорези, м;
hсл - средняя толщина разрабатываемого слоя;
tпп - средняя продолжительность перевода плавучего грунтопровода на новое место отвала, ч, в продолжительность перевода плавучего грунтопровода включаются продолжительности:
подъема якорей, поддерживающих разливной понтон, ч;
выбирание тросов, ч;
стаскивание разливного понтона и присыпанных понтонов с мели, ч;
буксировки плавучего грунтопровода на новое место, ч;
завозки поддерживающих разливной понтон якорей, ч;
3.2. Относительная продолжительность перекладки берегового грунтопровода рассчитывается по зависимости:

(П.3.23)
где:
Sб - шаг перекладки берегового грунтопровода, м;
tпб - нормативная продолжительность перекладки берегового грунтопровода, в состав которой входят продолжительности:
отсоединения и присоединения плавучего грунтопровода, ч;
монтажа и демонтажа берегового грунтопровода, ч;
погрузки берегового грунтопровода на транспортное средство, ч;
транспортировки берегового грунтопровода на новое место укладки, ч;
промывки берегового грунтопровода перед демонтажом, ч.
3.3. При работе на береговой отвал обычно имеются два комплекта берегового грунтопровода и все работы по демонтажу и монтажу второй нитки грунтопровода выполняются без остановки землесоса. Однако при такой схеме работы возникает необходимость включения в нитку плавучего грунтопровода дополнительных секций и перемещения намытого грунта на карте намыва.
Продолжительности этих операций должны включаться при расчете коэффициента использования рабочего периода. Относительная их продолжительность рассчитывается по зависимости:

(П.3.24)
где:
tкн - суммарная продолжительность операции по включению дополнительных секций в плавучий грунтопровод и перемещению грунта на карте намыва, ч;
qр - расчетная производительность землесоса, м3/ч;
Sб - шаг перекладки берегового грунтопровода, м;
Вр - рабочая ширина прорези, м;
hсл - средняя толщина разрабатываемого слоя, м.
4. ОДНОЧЕРПАКОВЫЕ ЗЕМСНАРЯДЫ
4.1. Коэффициент использования рабочего периода одночерпаковых земснарядов (штанговых и грейферных) рассчитывается по зависимости:

(П.3.25)
где:

- относительная продолжительность стоянки по гидрометеорологическим причинам;

- относительная продолжительность планируемых ежесуточных стоянок земснаряда;

- относительная продолжительность ожидания подхода шаланды, рассчитываемая по зависимости:

(П.3.26)
где:
qц - производительность земснаряда за цикл, м3/ч;
nф - количество шаланд в составе каравана, ед.;

- норма загрузки трюма шаланды, м
3;
tц - продолжительность цикла шаланды, ч;
tп - продолжительность погрузки шаланды, ч.
Обычно из-за малой производительности одночерпаковых земснарядов их комплектуют только одной шаландой, поэтому перекладка якорей, осмотр и смазка механизмов, пополнение запасов воды и топлива производятся в период ожидания подхода шаланды или в процессе работы земснаряда.
5. САМООТВОЗНЫЙ ГРЕЙФЕРНЫЙ ЗЕМСНАРЯД
5.1. Коэффициент использования рабочего периода самоотвозного грейферного земснаряда рассчитывается по зависимости:

(П.3.27)
где:

- относительная продолжительность стоянок по гидрометеорологическим причинам;

- относительная продолжительность планируемых ежесуточных стоянок земснаряда;

- относительная продолжительность пополнения запасов воды и топлива;

- относительная продолжительность сдачи мусора и льяльных вод.
РАБОТА ГРУНТОВОГО НАСОСА НА СМЕСИ
1. На каждый грунтовый насос составляется характеристика, выполненная в виде графиков зависимостей:
где:
Н - напор, развиваемый грунтовым насосом, м;
N - мощность привода грунтового насоса, кВт;

- к.п.д. грунтового насоса;
W - вакуум грунтового насоса, м;
Q - расход грунтового насоса, м3/ч (л/с).
На рис. П.4.1 приведена характеристика грунтового насоса.
Чаще всего график зависимости вакуума W от расхода не приводится, но величина вакуума включается в общий напор грунтового насоса.
При работе на смеси характеристика грунтового насоса изменяется.
2. Величина напора, развиваемого грунтовым насосом при работе на смеси, определяется по зависимости:

(П.4.1)
где:
Нв - напор, развиваемый грунтовым насосом на воде, м;
Со - действительная объемная консистенция смеси, рассчитываемая по зависимости:

(П.4.2)
где:

- плотность смеси, т/м
3;

- плотность воды, т/м
3;

- удельная плотность грунта, т/м
3;

- коэффициент транспортабельности частиц грунта.
Значение величины

приведено в табл. П.4.1.
Значение величины

приведено в табл. П.4.2.
3. Расход грунтового насоса при работе на смеси определяется по зависимости:
Qсм = Qв(1 - КсСо), (П.4.3)
где:
Qв - расход грунтового насоса по воде, м3/ч;
Кс - коэффициент, учитывающий способ забора грунта.
4. Для землесосов с механическим разрыхлением, для самоотвозных землесосов, оборудованных механическим разрыхлителем, и при разгрузке трюма путем рефулирования величина коэффициента Кс принимается равной 1,65, а для землесосов, оборудованных гидравлическим разрыхлителем, - 2,00; для землесосов, не оборудованных разрыхлителем, величину Кс следует принимать равной 2,30.
| | ИС МЕГАНОРМ: примечание. Нумерация пунктов дана в соответствии с официальным текстом документа. | |
4. Затраты мощности привода грунтового насоса при работе на смеси рассчитываются по зависимости:

(П.4.4)
где Nв - затраты мощности привода грунтового насоса на воде, кВт.
5. Параметры работы грунтового насоса также зависят от частоты вращения рабочего колеса грунтового насоса.
Характеристики грунтового насоса при изменении частоты вращения рабочего колеса пересчитываются по формулам подобия:

(П.4.5)

(П.4.6)

(П.4.7)
где:
n1 - первая частота вращения рабочего колеса грунтового насоса, с-1;
n2 - вторая частота вращения рабочего колеса грунтового насоса, с-1;
Q1, Н1, N1 - показатели грунтового насоса при частоте вращения рабочего колеса, равной n1, с-1;
Q2, Н2, N2 - показатели грунтового насоса при частоте вращения рабочего колеса, равной n2, с-1.
6. Рабочая зона грунтового насоса находится в пределах расходов (0,3...0,8) Qmax, где Qmax - максимальный расход грунтового насоса.
В паспорте грунтовой установки, обычно, приводят значения напора грунтового насоса на воде и расход, которые соответствуют расходу грунтового насоса, равному 0,8 Qmax.
Если в паспорте дается расход грунтового насоса по смеси или по грунту, то определить расход грунтового насоса по воде можно по зависимости:

(П.4.8)

(П.4.9)
где Qгр - расход грунтового насоса по грунту, м3/ч.
7. На рефулерных землесосах большое значение имеет предельный вакуум, величина которого определяется по зависимости:

(П.4.10)
где Wпр в - предельный вакуум на воде, м, величина которого рассчитывается по зависимости:

(П.4.11)
где:
nк - частота вращения рабочего колеса, с-1;
Qв - расход грунтового насоса по воде, м3/с;
Vв - скорость движения воды во всасывающем грунтопроводе, м/с, определяемая по зависимости:

(П.4.12)
где D - диаметр всасывающего грунтопровода, м.
Фактическая величина предельного вакуума всегда ниже расчетной, причин этому много, самой главной из которых является подсос воздуха в гибких соединениях и сальниках на всасывающем грунтопроводе.
Для практических расчетов величину предельного вакуума следует принимать не более Wпр в = 7 м.
ОПРЕДЕЛЕНИЕ ПРЕДЕЛЬНОЙ ДАЛЬНОСТИ РЕФУЛИРОВАНИЯ
1. При расчете предельной дальности рефулирования принимаются следующие условия:
расход по смеси равен минимальному расходу грунтового насоса по воде, при котором обеспечивается устойчивая работа насоса (для самоотвозных землесосов - 0,3Qmax, для рефулерных якорных - 0,25Qmax);
минимальная плотность смеси должна быть не менее

= 1,08...1,10 т/м
3 (С
о = 0,05...0,06);
мощность привода грунтового насоса используется на 90%.
Приведенные данные получены по результатам натурных исследований самоотвозных и рефулерных землесосов.
2. Для расхода, равного 0,3Qmax, по графику на рис. П.5.1 определяется скорость смеси в грунтопроводе.
3. По номограмме на рис. П.5.2 по коэффициенту транспортабельности (Приложение 1,
табл. П.1.2) для полученной скорости смеси, принимая ее за критическую, определяется действительная объемная консистенция смеси.
4. Если полученная консистенция смеси больше Со = 0,05, рассчитывается плотность смеси по зависимости:

(П.5.1)
где

- консистенция смеси, полученная по номограмме.
5. Рассчитываются допустимые потери напора в грунтопроводе при транспортировке смеси по зависимости:

(П.5.2)
где:
Ni - мощность привода грунтового насоса, кВт;
Qmax - максимальный расход грунтового насоса по воде, м3/ч;

- плотность смеси, т/м
3;
Краб - коэффициент, учитывающий способ подключения насосов (параллельно, последовательно).
6. Рассчитываются удельные потери напора при транспортировке грунтов гранулометрического класса IIIк, IIIс, IIIм, IIIг, IIIгр, IIIгл, IIIг, IVгр, IVгл, Vгл, IVгл, V, VI, II, I, IIгр, IIс, Iс, Iп, Iс, Iг, Iгр по зависимости:

(П.5.3)
где:
Jо - удельные потери напора на воде, определяются по номограмме на рис. П.5.3;

- дополнительные удельные потери напора от транспортировки грунта, рассчитываемые по зависимости:

(П.5.4)
где

- коэффициент, учитывающий относительную крупность транспортируемого грунта:

(П.5.5)
d - средний диаметр частиц грунта, мм;
D - диаметр грунтопровода, мм;
j - коэффициент разнозернистости грунта, выбирается из Приложения;
Со - действительная объемная консистенция смеси;
Vк - критическая скорость смеси, м/с;
Vф - фактическая скорость смеси, м/с.
На рис. П.5.4 дан график значений

при V
ф = V
к и

Для определения действительного значения

необходимо величину, полученную по графику, умножить на отношение:
где:
d - средний диаметр частиц грунта, мм;
D - диаметр грунтопровода, м.
Плотность смеси при данной консистенции приведена на верхней шкале графика на рис. П.5.4.
Удельные потери напора для илов, глин, суглинков, супесей текучей и текучепластичной консистенции и для пылеватых песков рассчитываются по зависимости:

(П.5.6)
где:

- плотность смеси, т/м
3;

- плотность воды, т/м
3.
7. Если полученная консистенция меньше 0,05, принимается Со = 0,05 и по ней определяется критическая скорость по номограмме, рис. П.5.2.
8. Рассчитываются допустимые потери напора в напорном грунтопроводе по зависимости:

(П.5.7)
где:
Ni - номинальная мощность привода грунтового насоса, кВт;
Qкр - критический расход по смеси, определяется по графику на рис. П.5.1 по величине Vкр, м3/ч;

- плотность смеси при консистенции, равной С
о = 0,05;
Краб - коэффициент, учитывающий способ подключения грунтовых насосов (параллельно, последовательно).
9. Рассчитываются удельные потери напора в грунтопроводе по графикам на рис. П.5.1 и рис. П.5.4.
10. Предельная дальность рефулирования определяется по зависимости:

(П.5.8)
где:
Нгр - допустимые потери напора в напорном грунтопроводе, м;
Jсм - удельные потери напора в грунтопроводе при транспортировке смеси.
11. Производительность грунтового насоса по грунту при предельной дальности рефулирования рассчитывается по формуле:

(П.5.9)
где:
Qсм - расход грунтового насоса по смеси, принятый при расчете предельной дальности рефулирования, м3/ч;
Со - принятая при расчете предельной дальности рефулирования действительная консистенция смеси;

- плотность грунта в состоянии естественного залегания, т/м
3;

- удельная плотность грунта, т/м
3;

- плотность воды, т/м
3.
Пример.
Рассчитать предельную дальность рефулирования песка гравилистого IIIгр рефулерным землесосом "50 лет Советскому Азербайджану".
Грунтовые насосы - 2 шт.;
максимальный расход грунтового насоса на воде 16500 м3/ч;
мощность привода грунтового насоса 639 кВт;
диаметр напорного грунтопровода D - 0,8 м.
Грунтовые насосы работают последовательно.
Минимальный расход грунтового насоса:
Qmin = 0,3Qmax, Qmin = 0,3·16500 = 4950 м3/ч.
По графику (рис. П.5.1) определяем скорость движения смеси при минимальном расходе:
Vсм = 2,75 м/с.
Для песков гранулометрического класса IIIгр коэффициент транспортабельности фи = 1,8 (Приложение 1,
табл. П.1.2).
По номограмме на рис. П.2 скорость движения смеси, равная 2,75 м/с, не обеспечивает транспортировку данного грунта.
Принимается консистенция смеси, равная Со = 0,05, и определяется критическая скорость смеси Vк = 5,1 м/с, Qк = 9100 м3/ч по графику на рис. П.5.1.
Допустимые потери напора в грунтопроводе рассчитываются по
формуле (П.5.2):
Удельные потери напора на воде при скорости движения воды, равной Vв = 5,1 м3/с, по номограмме на рис. П.5.3 Jо = 0,023.
Средний диаметр частиц грунта d - по
табл. П.1.2 Приложения 1, d = 4,48 мм.
Величина 0,01 получена по графику на рис. П.5.4 для С
о = 0,05, плотность смеси по верхней шкале графика для С
о = 0,05 равна

= 1,08 т/м
3. Удельные потери напора на смеси:
Jсм = 0,023 + 0,056 = 0,079.
Предельная дальность рефулирования:
Производительность грунтового насоса по грунту:
РАСЧЕТ ПРОИЗВОДИТЕЛЬНОСТИ ПО ГИДРОТРАНСПОРТУ ГРУНТОВ
ПРИ ЗАДАННОЙ ДАЛЬНОСТИ РЕФУЛИРОВАНИЯ
1. Увеличение дальности рефулирования влечет увеличение потерь напора в грунтопроводе и, как следствие, снижается расход грунтового насоса по смеси.
Снижение расхода грунтового насоса также происходит при увеличении консистенции смеси (
Приложение 4).
Для нормальной работы гидротранспорта необходимо обеспечить скорость движения смеси в грунтопроводе в пределах критических, поэтому с увеличением дальности транспортировки приходится снижать консистенцию транспортируемой смеси.
Рассчитать расход и консистенцию смеси при заданной дальности рефулирования прямым расчетом невозможно. Поэтому расчет ведется методом последовательного приближения.
2. Рассчитывается максимально возможная производительность грунтового насоса по грунту по зависимости:

(П.6.1)
где:
Qmax - максимальный расход грунтового насоса по воде, м3/ч;
С
о - действительная объемная консистенция смеси, принимается для самоотвозных землесосов С
о = 0,12;

= 1,20 т/м
3; для якорных землесосов С
о = 0,15,

= 1,25 т/м
3;

- коэффициент, учитывающий снижение расхода грунтового насоса от величины консистенции смеси, принимается у самоотвозных землесосов и якорных землесосов с механическим разрыхлителем

= 1,65, у траншейных землесосов с гидроразрыхлителем -

= 2,0, у траншейных землесосов без разрыхлителя -

= 2,3;

- удельная плотность грунта, т/м
3, принимается равной 2,65 т/м
3;

- плотность воды, т/м
3;

- плотность грунта в состоянии естественного залегания, т/м
3.
3. Максимальная производительность гидротранспорта по грунту, с учетом вышеизложенного, рассчитывается по зависимости:
у самоотвозных землесосов:

(П.6.2)
у якорных землесосов с механическим разрыхлителем:

(П.6.3)
у траншейных землесосов с гидравлическим разрыхлителем:

(П.6.4)
у траншейных землесосов без разрыхлителя:

(П.6.5)
При параллельной работе двух насосов к полученным величинам применять коэффициент Краб = 1,80.
4. Максимальный расход по гидросмеси рассчитывается по зависимости:
у самоотвозных землесосов:
Qсм max = 0,8Qmax, (П.6.6)
у якорных землесосов с механическим разрыхлителем:
Qсм max = 0,75Qmax, (П.6.7)
у траншейных землесосов с гидравлическим разрыхлителем:
Qсм max = 0,70Qmax, (П.6.8)
у траншейных землесосов без разрыхления:
Qсм max = 0,625Qmax. (П.6.9)
При параллельной работе двух грунтовых насосов к полученным величинам применять коэффициент Краб = 1,80.
5. Допустимые потери напора в грунтопроводе при максимальной производительности гидротранспорта по грунту рассчитываются по зависимости:
у самоотвозных землесосов:

(П.6.10)
у якорных землесосов с механическим разрыхлителем:

(П.6.11)
у траншейных землесосов с гидравлическим разрыхлителем:

(П.6.12)
у траншейных землесосов без разрыхлителя:

(П.6.13)
где Ni - номинальная мощность привода грунтового насоса, кВт.
При рефулировании двумя последовательно включенными грунтовыми насосами к рассчитанным величинам необходимо применять коэффициент, равный Краб = 1,80.
6. Рассчитываются удельные потери напора в грунтопроводе при максимальной производительности по гидротранспорту по графикам и номограммам, приведенным в Приложении.
7. Рассчитывается минимальная дальность рефулирования при максимальной производительности по гидротранспорту по формуле:

(П.6.14)
где:
Нгр - допустимые потери напора в грунтопроводе при максимальной производительности по гидротранспорту, м;
Jсм max - удельные потери напора в грунтопроводе при максимальной производительности по гидротранспорту.
8. Рассчитывается предельная дальность рефулирования и минимальная производительность по гидротранспорту (Приложение 6).
9. По геометрической длине напорного грунтопровода определяются удельные потери напора по зависимости:

(П.6.15)
где:
Jсм max - удельные потери напора при максимальной производительности по гидротранспорту;
Jсм min - удельные потери напора при предельной дальности рефулирования;
lmax - предельная дальность рефулирования, м;
lmin - дальность рефулирования при максимальной производительности по гидротранспорту, м;
lф - фактическая геометрическая длина грунтопровода, м.
Примечание. В расчетах длина плавучего грунтопровода принимается с коэффициентом Кп = 1,3, учитывающим наличие гибких соединений между секциями.
10. Определяется приведенная длина рефулирования по зависимости:

(П.6.16)
где:
lп - длина плавучего грунтопровода, м;
lб - длина берегового грунтопровода, м;

- эквивалентная длина грунтопровода на высоту рефулирования, м, рассчитываемая по зависимости:

(П.6.17)
Нр - высота рефулирования, измеряемая от горизонта воды до центра выкидного патрубка грунтопровода, м;
Если lп <= lmin, рассчитываются потери напора в грунтопроводе по консистенции смеси, равной Со = 0,15. Рассчитывается производительность по грунту по зависимости:

(П.6.18)
где Нгр - потери напора в напорном трубопроводе, м.
Если lmin <= lпр <= lmax, производительность по гидротранспорту рассчитывается по зависимости:

(П.6.19)
где:
Qгр max - максимальная производительность гидротранспорта, м3/ч;
Qгр min - минимальная производительность по гидротранспорту (при предельной дальности рефулирования), м3/ч;
lmax - предельная дальность рефулирования, м;
lmin - минимальная длина рефулирования (при максимальной производительности по гидротранспорту), м;
lф - фактическая длина рефулирования, м.
Если lпр >= lmin , рефулирование на данную дальность невозможно с плотностью смеси, равной или более 1,08 т/м3.
11. Увеличение дальности рефулирования возможно только при снижении консистенции смеси.
С этой целью рекомендуем рассчитать предельную дальность рефулирования при консистенции смеси, равной С
о = 0,03

или С
о = 0,025

Полученная по расчету предельная дальность рефулирования является предельной приведенной длиной грунтопровода.
12. Для самоотвозных землесосов возникает необходимость определить продолжительность разгрузки трюма при данной дальности рефулирования.
Продолжительность разгрузки трюма рефулированием рассчитывается по зависимости:

(П.6.20)
где:
Wн - норма загрузки трюма, м3;
Qгр - производительность по гидротранспорту при данной дальности рефулирования, м3/ч.
ОРГАНИЗАЦИЯ НАМЫВНЫХ РАБОТ
1.1. На все работы по намыву грунта должен составляться проект производства намывных работ. Работы но намыву должны производиться согласно требованиям СНиП 2, СНиП 3, СНиП 4.
Работы по намыву грунта подразделяются на следующие виды:
намыв площадей, создание оснований под инженерные сооружения;
намыв профильных сооружений;
замыв пазух гидротехнических сооружений;
намыв гидроотвалов;
намыв строительных материалов в штабель.
1.2. При выполнении намывных работ необходимо:
вдоль границ намываемых территорий и сооружений устраивать канавы для отвода фильтрационной воды для предотвращения заболачивания окружающей территории;
земляное полотно существующих железных и автомобильных дорог и другие сооружения, расположенные в зоне намывных работ, защищать от повреждения водой, дамбами обвалования или канавами;
территорию намыва защищать от ливневого или паводкового стока дамбами обвалования и отводными канавами.
1.3. При размещении намывных сооружений и гидроотвалов на пути поверхностного стока в их основании следует предусмотреть специальные водопропускные устройства и при необходимости обводные канавы.
1.4. Намыв земляных сооружений на просадочных макропористых, торфяных и илистых грунтах следует производить в два этапа:
устройство уширенной нижней части ("подушки");
последующий замыв верхней части после стабилизации осадок основания и "подушки".
1.5. Пазухи бетонных сооружений должны замываться с обязательным проверочным расчетом фильтрации и возникающего при намыве гидростатического давления.
1.6. Поверхности незаконченных намывных сооружений перед длительным перерывом в намыве должны быть приведены в состояние, при котором скопление застойной воды исключается.
1.7. Пригодность грунта для намыва сооружений определяется по гранулометрическому составу, определяемому механическим анализом.
Повышение качества намываемого грунта возможно путем его промывки в процессе загрузки трюма самоотвозного землесоса или путем применения гидроклассификаторов.
1.8. Крутизна формируемых откосов намывных сооружений в строительный период должна быть не круче: для крупных песков - 1:2; песков средней крупности - 1:2,5; мелких песков - 1:3; пылеватых песков - 1:4.
1.9. Дамбы первичного обвалования при намыве территории или откосных сооружений допускается возводить из песчаных и песчано-гравийных грунтов, а при их отсутствии - из местных грунтов или из предварительно намытого грунта с выносом дамбы за пределы профиля сооружения.
1.10. Дамбы обвалования гидроотвалов следует возводить из грунта, разработанного бульдозерами, скреперами, грейдер-экскаваторами и экскаваторами из боковых резервов или из привозного грунта.
Возведение дамб обвалования следует производить послойно с разравниванием и уплотнением его при оптимальной влажности.
1.11. Попутное обвалование (в процессе возведения сооружения) выполняется из намытого грунта.
Использование для дамб обвалования илистого, промороженного грунта, а также грунта, содержащего более 5% растворимых солей, не допускается.
1.12. Для сброса осветленной воды с карты намыва создается прудок-отстойник и устанавливаются водосбросные колодцы, в зависимости от требований к чистоте сбросных вод, должна создаваться система многократного отстоя воды или отстойные водохранилища.
Размеры прудка-отстойника определяются, исходя из сброса фракций грунта d <= 0,05 мм. Начальный объем прудка-отстойника должен быть не менее двухсуточного объема воды, поступающего при возведении намывного сооружения в составе пульпы.
Поступающий на карту намыва объем воды определяется по зависимости:
Qв = Qсм(1 - Со), (П.7.1)
где:
Qсм - расход смеси, поступающей на карту намыва, м3/ч;
Со - действительная объемная консистенция смеси.
Значения действительной объемной консистенции смеси при данной плотности смеси приведены в таблице П.7.1.
Таблица П.7.1
Плотность смеси, т/м3 | 1,05 | 1,08 | 1,12 | 1,15 | 1,18 | 1,21 | 1,25 |
Действительная объемная консистенция смеси | 0,03 | 0,05 | 0,07 | 0,09 | 0,11 | 0,13 | 0,15 |
1.13. Длина прудка-отстойника определяется по зависимости:

(П.7.2)
где:
V - скорость потока, при которой начинается осаждение взвеси, м/с, определяется по
табл. (П.7.2);
hпр - глубина прудка-отстойника, м, принимается при намыве мелких грунтов hпр = 0,5 м; при намыве крупных - hпр >= 1,0 м;

- гидравлическая крупность частиц взвеси, подлежащих осаждению, м/с.
1.14. Ширина прудка-отстойника рассчитывается по зависимости:

(П.7.3)
где:

- объем смеси, поступающей в прудок-отстойник, м
3/ч;
Кпр - коэффициент использования прудка, определяется по графику на рис. П.7.1;
Lпр - длина прудка-отстойника, м;

- гидравлическая крупность частиц, подлежащих осаждению в прудке-отстойнике.
Таблица П.7.2
ГИДРАВЛИЧЕСКИЕ ХАРАКТЕРИСТИКИ МИНЕРАЛЬНЫХ ЧАСТИЦ ВЗВЕСИ
Наименование частиц взвеси и их диаметр, мм | Гидравлическая крупность (скорость осаждения в воде), м/с | Скорость потока, при которой начинается осаждение взвеси, м/с |
Песчаные: | | |
крупные 1,0 | 0,1 | 1,2 |
средние 1,0...0,5 | 0,1...0,05 | 1,2...0,6 |
0,5...0,1 | 0,05...0,008 | 0,6...0,095 |
мелкие 0,1...0,05 | 0,008...0,0017 | 0,095...0,045 |
Пылеватые: | | |
0,05...0,025 | 0,0017...0,0005 | 0,045...0,0072 |
0,025...0,010 | 0,0005...0,00007 | 0,0072...0,0054 |
0,010...0,005 | 0,00007...0,000017 | 0,0054...0,0042 |
Глинистые: | | |
0,005...0,0025 | 0,000017...0,000005 | 0,0042...0,0028 |
0,0025...0,0010 | 0,000005...0,0000007 | 0,0028...0,0018 |
1.15. Расход смеси, поступающей в прудок-отстойник, определяется по зависимости:

(П.7.4)
где:
Qсм - расход смеси, поступающей на карту намыва, м3/ч;
К - потери воды от фильтрации основания (при непроницаемом основании К = 0,2, при фильтрации 0,3);
Со - действительная объемная консистенция смеси, поступающая на карту намыва;
Сп - консистенция смеси, поступающая в прудок-отстойник.
1.16. Консистенция смеси, поступающая в прудок-отстойник, определяется по графикам, приведенным на рис. П.7.2, по удалению выпускного отверстия грунтопровода от прудка-отстойника.
При удалении прудка-отстойника от выпускного отверстия более 250 м уменьшение консистенции смеси определяется по зависимости:

(П.7.5)
где

- приращение удаления прудка-отстойника от выпускного отверстия, м, рассчитываемое по зависимости:

(П.7.6)
где:
l - фактическое удаление прудка-отстойника от выпускного отверстия, м;
Qсм - расход смеси, подаваемой на карту намыва, м3/ч.
1.17. При расходе смеси, подаваемой на карту намыва, больше 5000 м3/ч или меньше 1000 м3/ч к величинам, определенным по графику на рис. П.7.2 для Qсм = 5000 м3/ч или Qсм = 1000 м3/ч, применить коэффициент, рассчитываемый по зависимости:
при Qсм > 5000 м3/ч К = 2·10-4 Qф, (П.7.7)
при Qсм < 1000 м3/ч К = 1·10-3 Qф, (П.7.8)
где Qф - фактический расход, поступающий на карту намыва, м3/ч.
1.18. Консистенция смеси на водосбросе (на сбросном колодце) рассчитывается по зависимости:

(П.7.9)
где:
Сп - консистенция поступающей в прудок смеси;
Lпр - длина прудка, м;
Впр - ширина прудка, м;

- средняя гидравлическая крупность транспортируемых частиц в пруде, м/с;
Qсм с - расход сбрасываемой с прудка-отстойника воды, м3/ч, рассчитываемый по зависимости:

(П.7.10)
где К - коэффициент, учитывающий фильтрацию воды через основание прудка (см.
формулу П.7.4).
1.19. Сброс воды с прудка производится через сбросные колодцы, конструкция типового шандорного колодца приведена на рис. П.7.3.
Пропускная способность колодца приведена в табл. П.7.3.
Таблица П.7.3
ПРОПУСКНАЯ СПОСОБНОСТЬ СБРОСНОГО КОЛОДЦА, КУБ, М/Ч
Ширина колодца, м | Диаметр трубы, м | Длина водосбросной трубы, м |
| | 10 | 25 | 50 | 75 | 100 |
1,50 | 400 | 1150 | 1000 | 850 | 750 | 650 |
1,50 | 500 | 1900 | 1750 | 1500 | 1300 | 1150 |
1,75 | 600 | 2950 | 2700 | 2400 | 2150 | 1900 |
Увеличивать размеры колодца против указанных на рис. П.7.3 не рекомендуется, так как это приводит к уменьшению его прочности или к усложнению конструкции.
Необходимое количество колодцев рассчитывается по зависимости:

(П.7.11)
где:
Qсм с - расход сбрасываемой с прудка воды, м3/ч;
qк - пропускная способность водосбросного колодца, м3/ч;
1 - запасной колодец на случай ремонта или очистки основного.
1.20. Уклоны поверхности намыва зависят от крупности фракций намываемого грунта, консистенции подаваемой на мирту намыва смеси.
Средние значения уклонов поверхности намыва приведены в табл. П.7.4.
Таблица П.7.4
УКЛОНЫ ПОВЕРХНОСТЕЙ НАМЫВА
Грунт | Поверхность намыва |
над водой | под водой |
Гравий с песком | 0,70...0,50 | 1,00...0,70 |
Песок крупнозернистый | 0,20...0,10 | 0,30...0,20 |
Песок среднезернистый | 0,070...0,06 | 0,20...0,15 |
Песок мелкозернистый | 0,04...0,03 | 0,15...0,10 |
Супесь | 0,03...0,01 | 0,07...0,015 |
Глина | 0,015...0,007 | |
1.21. Объем намытого грунта определяется нивелировкой по квадратам 50 x 50 м (при намыве больших площадей и ровной поверхности основания) или 25 x 25 м (при намыве небольших площадей или на неравномерной поверхности основания).
При подсчете объемов намыва необходимо, согласно СНиП 3, учитывать потери грунта, приведенные в табл. П.7.5.
Таблица П.7.5
ПОТЕРИ ГРУНТА ПРИ НАМЫВЕ
Виды работ | Вид потерь | Порядок определения потерь |
Подводный намыв песчаных насыпей | Намывание всех фракций менее 0,05 мм и частично более крупных | Устанавливается гидравлическим расчетом как по аналогам |
Унос грунта течением из размытых частей сооружения, а также из насыпей на поймах в период их подтопления | По данным наблюдений, при отсутствии данных потери в объеме от подводной (подтопляемой) части насыпи принимаются: 1% - при средней скорости воды до 0,4 м/с и воздействии течения или паводка до 20 суток, 2% - в остальных случаях |
Надводный намыв из песчаного и песчано-гравилистого грунта | Технологические при сбросе с осветленной водой и за счет обогащения грунта | |
Надводный намыв сооружений без требования к обогащению | Технологические | По СНиП IV-2-82, прил., т. 1 СНиП IV-6-82, прил., сб. 1 |
Транспортировка смеси | Технологические | 0,25% объема насыпи |
Осадка основания насыпи | Устанавливается проектом по расчету. При намыве на торфяном или илистом основании осадки должны определяться по маркам и реперам |
Уплотнение грунта в теле насыпи | 1,5% высоты при намыве из супесчаных и суглинистых грунтов |
0,75% высоты при намыве из песчаных и песчано-гравилистых грунтов |
Унос грунта ветром (для надводных частей сооружений) | 0,5% - при высоте насыпи до 5,0 м, если территория залесена или застроена, произведено крепление откосов, районы работ не характеризуются сильными ветрами |
1% - в тех же условиях строительства при высоте намытого сооружения более 5,0 м |
1,5% - при намыве на открытых, подверженных ветровому воздействию территориях, и если крепление откосов выполняется в следующем после намыва году |
2,0% - если крепление откосов будет производится более чем через год после намыва или если район работ характеризуется сильными устойчивыми ветрами со средней скоростью свыше 10 м/с |
Примечание. Указанные в таблице потери должны учитываться при определении необходимых объемов грунта в карьерах для намывки.
1.22. Для предотвращения выклинивания фильтрационного потока на откос интенсивность намыва песчаных грунтов не должна превышать величин, указанных в табл. П.7.6.
Таблица П.7.6
ПРЕДЕЛЬНЫЕ ВЕЛИЧИНЫ ИНТЕНСИВНОСТИ НАМЫВА ГРУНТА, М/СУТ.
Грунт | Основание |
водонепроницаемые | водопроницаемые |
Пылеватые и мелкозернистые пески | 0,2...0,4 | 0,4...0,6 |
Среднезернистые пески | 0,4...0,6 | 0,6...0,8 |
Крупнозернистые | 0,6...1,0 | 0,8...1,5 |
1.23. Длина карты намыва может быть определена, исходя из заданной интенсивности намыва, по зависимости:

(П.7.11)
где:
Qгр - суточная выработка землесоса по грунту, м3/сут.;
Вк - ширина карты намыва, м;
ht - заданная интенсивность намыва, м3/сут.
2.1. Намыв площадей производится для различных целей: для создания оснований под инженерные сооружения, для создания бытовых территорий.
При создании оснований под инженерные сооружения необходимо создать однородную по фракционному составу грунта территорию, обеспечивающую необходимую несущую способность и равномерность осадки сооружений.
При создании бытовых территорий (засыпка болот, намыв пляжей и т.д.) однородность фракционного состава грунта намывки существенного значения не имеет.
2.2. Для создания территорий с однородным по фракционному составу грунтом территория, подлежащая намывке, разбивается на отдельные карты или прокладывается сеть разветвленного грунтопровода, обеспечивающего равномерное распределение по фракционному составу намываемого грунта как по длине, так и по ширине намываемой территории.
Кроме этого, намыв ведется послойно с толщиной намываемого слоя 0,5...0,7 м.
2.3. При намыве территории под основание инженерных сооружений карьерный грунт также должен соответствовать определенным требованиям.
Высокое содержание пылеватых и глинистых частиц может привести к образованию иловых линз в местах нахождения прудка-отстойника с последующим их выдавливанием на поверхность намыва.
2.4. Для предотвращения подобного явления организуется многоступенчатая система отстоя осветленной смеси. С карты намыва сбрасывается смесь, содержащая мелкие глинистые частицы, в прудок-отстойник, организованный за пределами территории намыва.
В прудок на карте намыва подается смесь путем подвода к нему распределительного грунтопровода, что обеспечивает осаждение на дне прудка-отстойника крупных фракций намываемого грунта.
2.5. При торцевом намыве рекомендуемые размеры карт намыва приведены в табл. П.7.7.
Таблица П.7.7
РЕКОМЕНДУЕМЫЕ РАЗМЕРЫ КАРТ НАМЫВА
Производительность землесоса по воде, м3/ч | Ширина карты намыва, м | Длина карты намыва, м |
800...1000 | 20...30 | 60...70 |
1000...2000 | 30...40 | 70...150 |
2000...3500 | 40..60 | 150...200 |
3500...7500 | 70...100 | 200...400 |
более 7500 | 150 | 250...500 |
2.6. Возможны применения следующих схем намыва:
намыв грунта на карты через отростки от магистрального грунтопровода, рис. П.7.4 "а";
двусторонний намыв, рис. П.7.4 "б";
рассредоточенный намыв через отверстия в грунтопроводе с отводом в стороны по лоткам, рис. П.7.4 "в";
мозаичный намыв, рис. П.7.5.
2.7. Первые две схемы намыва грунта могут производиться безэстакадным способом, последние две схемы требуют сооружения эстакад или наличия низких опор.
2.8. При намыве через отростки от магистрального грунтопровода грунта, содержащего пылеватых и глинистых частиц менее 1%, прудок организуется за картой намыва.
При содержании в намываемом грунте пылеватых и глинистых частиц более 1%, намыв на карте ведется безпрудковым способом, прудок-отстойник организуется за пределами карты намыва.
2.9. Однородность намытого грунта по всей площади карты намыва достигается послойным намывом.
При намыве слоя толщиной 0,3...0,5 м, намыв переключается на другую карту. На первой карте спускается прудок и бульдозером грунт перемещается от оси карты к боковым откосам и на место прудка.
Повышение однородности намыва достигается путем изменения направления стекающей по пляжу смеси с помощью отбойных щитов (рис. П.7.6) или путем создания на пляже поверочных траншей или гребней из намытого грунта.
2.10. При двустороннем намыве грунтопровод укладывается вдоль боковых откосов (рис. П.7.4 "б") на расстоянии 4...5 м от обвалования. Однородность намыва достигается поочередным, послойным намывом, путем ответвления от боковых грунтопроводов отростков к центру карты.
Прудок организуется в центре карты намыва.
При двустороннем намыве ширина карты может быть в 1,5...2,0 раза больше приведенной в
табл. П.7.4.
2.11. Рассредоточенный намыв через отверстия в центральном грунтопроводе с отводом смеси в сторону боковых откосов по лоткам позволяет обеспечить однородность намывки по фракционному составу на всей площади карты намыва.
Намыв производится эстакадным или низкоопорным способом. Рекомендуется применять при большой толщине намываемого слоя, а также при создании складов строительных материалов.
Прудок организуется с центра карты намыва.
2.12. Мозаичная схема намыва применяется для возведений однородных сооружений из неоднородных карьерных грунтов, что невозможно при других схемах намыва.
Намыв производится эстакадным или низкоопорным способом, рис. П.7.5. Распределительный грунтопровод на карте намыва укладывается с некоторым смещением.
Возможно использование безэстакадного способа путем укладки распределительного грунтопровода на дамбы с разрывами. Намыв ведется послойно на всей площади карты намыва.
Прудок организуется в центре карты намыва.
2.13 Размеры дамб первичного обвалования определяются в зависимости от глубины воды на карте намыва в начальный период. Гребень дамбы должен быть выше уровня воды не менее 0,5 м.
Дамбы попутного обвалования отсыпаются из намытого грунта, высота их должна составлять 1,00...1,25 м, ширина по верху - 0,5...0,7 м, уклон внутреннего откоса - 1:1...1:1,5.
Поперечное сечение дамбы первичного обвалования приведено на рис. П.7.7.
3. НАМЫВ ПРОФИЛЬНЫХ СООРУЖЕНИЙ
3.1. К профильным сооружениям относятся насыпи под автомобильные и железные дороги, дамбы и плотины.
Формирование внешних откосов перечисленных сооружений осуществляется путем первичного и сопутствующего обвалования.
3.2. Дамбы первичного обвалования создаются из местного или привозного грунта и включаются в профиль сооружения, если они возведены из того же грунта, который будет намываться. В противном случае дамбы отсыпаются за пределами профиля сооружения. Дамбы попутного обвалования возводятся из намытого грунта и включаются в профиль сооружения.
3.3. Минимальная ширина карты намыва зависит от расхода смеси, подаваемой землесосом.
В табл. П.7.8 приведена минимальная ширина карты намыва.
Таблица П.7.8
МИНИМАЛЬНАЯ ШИРИНА НАМЫВНЫХ КАРТ, М
Производительность земснаряда по воде, м3/ч | Минимальная ширина карты, м | Минимальная ширина шапки (гребня), м |
800...1000 | 15 | 5 |
1000...2000 | 25 | 10 |
2000...3500 | 60 | 15 |
3500...7500 | 100 | 30 |
более 7500 | 150 | 50 |
3.4. Намыв ведется по пионерно-торцевой схеме. Смесь подается из центрального грунтопровода на огражденную с двух сторон узкую площадку. Осветленная смесь стекает по наклонному пляжу в прудок-отстойник. Наращивание грунтопровода производится после намыва до проектной отметки. Схема намывки приведена на рис. П.7.7.
4. ЗАМЫВ ПАЗУХ СООРУЖЕНИЙ
4.1. Пазухи сооружений замываются по составленному для каждого конкретного случая проекту производства работ. Проект должен содержать расчет гидростатического давления, возникающего при замыве. В процессе замыва необходимо вести систематические наблюдения за состоянием сооружения.
Замыв пазух может производиться по следующим схемам:
намыв с торца грунтопровода с продольным потоком смеси вдоль набережной, рис. П.7.8 "а";
намыв из коротких, поперечных отростков или отверстий в магистральном грунтопроводе, уложенным вдоль набережной по верху откоса или непосредственно на стенке, рис. П.7.8 "б";
намыв пульпометом, рис. П.7.8 "в".
Прудок организуется в дальнем торце пазухи. Сброс воды производится через трубу, укладываемую на отметке уровня воды.
При замыве пазухи создается резерв песка для засыпки ямы в районе прудка.
5.1. Под гидроотвалы могут быть использованы выработанное пространство недействующих изолированных грунтовых карьеров или их участков, а также выработанное пространство карьеров, в которых полностью использованы полезные запасы ископаемого, и овраги.
5.2. Класс ответственности гидроотвала определяется по расположению гидроотвала, по рельефу местности, характеристике пород основания, наличию водохранилища и его емкости, темпов намывных работ, конечной высоты отвала, расположению относительно промышленных и жилых объектов, материала дамб обвалования.
5.3. По степени ответственности гидроотвалы могут быть разделены на 3 класса:
1 класс - гидроотвалы, расположенные вблизи населенных пунктов и промышленных объектов, прорыв которых вызывает значительные разрушения.
2 класс - гидроотвалы, при прорыве дамб которых возможно частичное повреждение промышленных объектов и жилых зданий.
3 класс - гидроотвалы, расположенные на безопасном расстоянии от населенных пунктов и промышленных объектов.
Каждый класс может подразделяться на группы А и Б.
Гидроотвалы группы А располагаются на косогоре, надежность пород основания недостаточна, имеется водохранилище.
Гидроотвалы группы Б расположены на равнинной местности, водохранилище отсутствует, достаточна надежность основания грунтов.
5.4. Необходимая вместимость гидроотвала рассчитывается по формуле:

(П.7.12)
где:
Qс - суточное количество грунта, укладываемое в отвал, м3;
Тр - число рабочих дней в году;
t - срок намыва, годы;

- коэффициент заполнения гидроотвала;
Wв - объем воды в отстойнике, необходимый для осветления смеси, равный 5...15 дневному расходу смеси, подаваемой в отвал, м3.
5.5. Дамбы первичного обвалования возводятся из пород основания гидроотвалов или привозного грунта.
Если глубина прудка-отстойника на гидроотвал превышает 1,5 м, дамбы обвалования возводятся с необходимым по расчету уплотнением. Наращивание дамб может производиться из намытого грунта, если карьерный грунт содержит более 75% частиц крупностью более 0,1 мм.
5.6. При укладке в гидроотвалы глинистых и илистых грунтов дамбы обвалования возводятся сухим способом на проектную высоту с уплотнением по слоям.
Величина наружного откоса удерживающих дамб приведена в табл. П.7.9.
Таблица П.7.9
РЕКОМЕНДУЕМОЕ ЗНАЧЕНИЕ НАЛОЖЕНИЯ НАРУЖНОГО ОТКОСА
УДЕРЖИВАЮЩИХ ДАМБ
Грунт удерживающей дамбы | Высота дамбы, м |
10 | 10...20 | более 20 |
Мелкозернистый песок | 1:3 | 1:3,5 | 1:4 |
Среднезернистый песок | 1:2,75 | 1:3,0 | 1:3,5 |
Крупнозернистый песок | 1:2,5 | 1:2,75 | 1:2,5 |
Гравий | 1:2 | 1:2,5 | 1:2,5 |
Сечения дамб первичного обвалования гидроотвалов приведены в табл. П.7.10.
Таблица П.7.10
СЕЧЕНИЕ ДАМБ ПЕРВИЧНОГО ОБВАЛОВАНИЯ ГИДРООТВАЛОВ
Грунт дамбы обвалования | Заложение откосов | Высота дамбы, м | Ширина гребня, м |
внутреннее | наружное |
Суглинок | 1:1,5...1:2 | 1:2...1:3 | 5...10 | 2,5...5,0 |
Суглинок лесовидный | 1:1,5 | 1:1,5 | до 5 | 4 |
Песок разнозернистый | 1:1,5 | 1:1,5 | 4 | 1,4 |
5.7. Превышение гребня удерживающей дамбы над горизонтом воды в прудке приведено в табл. П.7.11.
Таблица П.7.11
ПРЕВЫШЕНИЕ ГРЕБНЯ УДЕРЖИВАЮЩЕЙ ДАМБЫ НАД ГОРИЗОНТОМ
ВОДЫ В ПРУДКЕ
Класс ответственности | 1 | 2 | 3 |
Превышение, м | 1,3 | 1,0 | 0,8 |
5.8. Превышения гребня дамб первичного обвалования над уровнем намываемой поверхности приведены в табл. П.7.12.
Таблица П.7.12
ПРЕВЫШЕНИЕ ГРЕБНЯ ДАМБ ПЕРВИЧНОГО ОБВАЛОВАНИЯ
Класс и группа ответственности | 1А | 1Б | 2А | 2Б | 3 |
Превышение | 1,0 | 0,85 | 0,85 | 0,75 | 0,7 |
5.9. Предварительный объем первичного обвалования определяется по зависимости:

(П.7.13)
где:
Wго - вместимость гидроотвала, м3;
Кпо - коэффициент первичного обвалования, принимается для гидроотвалов в овраге 5...10, на равнинной местности - 10...20, на косогоре - 30...35.
Наиболее распространенные виды гидроотвалов приведены на рис. П.7.9.
6. СКЛАДИРОВАНИЕ СТРОИТЕЛЬНЫХ МАТЕРИАЛОВ
6.1. Строительные материалы складируются в штабелях.
При складировании строительных материалов необходимо организовать несколько карт намыва для обеспечения непрерывности намыва и отпуска материалов.
6.2. Намыв штабелей производится как намыв профильного сооружения. Размеры карт намыва определяются в зависимости от расхода подаваемой смеси и могут быть определены по
табл. П.7.7.
При использовании сгустительных аппаратов размер карт намыва определяется по расходу сгущенной смеси, подаваемой на карту намыва.
6.3. Прудок может организовываться как на карте намыва, так и за ее пределами.
6.4. Первичное обвалование создается из предварительно намытого грунта, подлежащего складированию.
В дальнейшем при эксплуатации склада обвалование карт намыва оставляется.
6.5. По периметру карт намыва создается канава для отекания фильтрационных вод.
6.6. Суточная интенсивность намыва не должна превышать рекомендованных в
табл. П.7.6.
6.7. При применении сгустителей смеси интенсивность намыва может быть увеличена на 20...25%.
6.8. Крутизна формируемых внешних откосов штабелей должна быть в пределах, указанных в
п. 1.8.
6.9. Между штабелями должны быть организованы дороги для движения автотранспорта и погрузочной техники.
6.10. Ширина проезжей части устанавливается в зависимости от схемы движения автотранспорта и регламентируется СНиП.
ДОПУСТИМАЯ СКОРОСТЬ ДВИЖЕНИЯ СУДОВ НА МЕЛКОВОДЬЕ
Таблица П.8.1
КОЭФФИЦИЕНТ НА РАЗГОН И ТОРМОЖЕНИЕ
Расстояние отвозки грунта, км |
1 | 2 | 3 | 4 | 5 | 6 | 7 | 8 | 9 | 10 | 11 | 12 | 13 | 14 | 15 | свыше 15 |
0,62 | 0,72 | 0,79 | 0,83 | 0,86 | 0,88 | 0,90 | 0,91 | 0,92 | 0,93 | 0,94 | 0,95 | 0,96 |
Таблица П.8.2
КОЭФФИЦИЕНТ НА ЗАДЕРЖКУ В ПУТИ
Грузоподъемность судна, тыс. т | Коэффициент задержки в пути, Кз |
До 3 | 0,900 |
4...6 | 0,905 |
7...9 | 0,910 |
10...15 | 0,920 |
свыше 15 | 0,925 |
ГРАФИЧЕСКИЙ СПОСОБ ОПРЕДЕЛЕНИЯ НЕОБХОДИМОГО КОЛИЧЕСТВА
ШАЛАНД В СОСТАВЕ КАРАВАНА
На рис. П.9.1 приведена номограмма для определения необходимого количества шаланд Nр.
Входными величинами для определения являются:
tп - продолжительность погрузки, ч, рассчитываемая по формуле:
где:
Wт - вместимость трюма шаланды, м3;
К
т - коэффициент использования вместимости трюма (принимается по
табл. 5);
qр - расчетная производительность земснаряда, м3/ч;
tц - продолжительность цикла шаланды, ч, рассчитывается по формуле:
где Кv - коэффициент, учитывающий ограничение скорости движения шаланды на отдельных участках трассы, рассчитываемый по формуле:
где:

- средняя нормативная (паспортная) скорость движения шаланды, узл. (км/ч);
S - дальность транспортировки грунта на отвал, км;
V1,...,Vn - допустимые скорости движения шаланды на отдельных участках трассы, узл. (км/ч);
S1,...,Sn - длины участков трассы, где ограничивались скорости движения, км;

- норма времени на 1 км отвозки грунта на отвал и возвращение к месту погрузки, ч, рассчитываемая по формуле:
где:
V2 - скорость движения шаланды в грузу, км/ч;
Vп - скорость движения шаланды порожнем, км/ч;
К
рт - коэффициент, учитывающий разгон и торможение (Приложение 8,
табл. П.8.1);
К
зп - коэффициент, учитывающий задержки в пути (Приложение 8,
табл. П.8.2);
S - дальность транспортировки грунта на отвал, км;
t
пш - продолжительность подхода (отхода) и швартовки шаланд, ч, принимается в пределах 0,2 ч для обычных условий или с учетом особых условий, определяется согласно Приложению 3, п. 1.5,
табл. П.3.1;
tраз - продолжительность разгрузки трюма шаланды, ч.
Для упрощения расчета цикла шаланды на рис. П.9.2 помещен график определения ходового времени по дальности транспортировки, построенный по зависимости:
При составлении приняты следующие величины:
Кv = 1, средняя скорость движения шаланды в диапазоне 13...15 км/ч (7,1...8,1 узл.).
Vср = 0,5(V2 + Vп) = 13...15 км/ч.
Если паспортная скорость шаланды (судна) отличается от принятой, необходимо полученную по графику величину умножить на коэффициент, рассчитываемый по формуле:
где Vi - фактическая паспортная скорость шаланды, км/ч (узл.).
В табл. П.9.1 приведены нормативные продолжительности подхода и швартовки шаланд и разгрузки трюма.
Таблица П.9.1
ПРОДОЛЖИТЕЛЬНОСТЬ РАЗГРУЗКИ ТРЮМА, Ч
Тип шаланд и судов | Продолжительность подхода, отхода и швартовки, ч | Категория грунта по трудности выгрузки |
"Саулкрасты" ШС-ДЛ-600 | 0,2 | 0,1 | 0,20 | 0,45 |
"Черноморская" ШС-ДЛ-500 | 0,2 | 0,15 | 0,25 | 1,75 |
"Одесская" ШС-ДЛ-300 | 0,16 | 0,1 | 0,50 | 1,75 |
"Аракс" ГС-Т-500 | 0,2 | 0,1 | 0,20 | 0,45 |
Пример расчета.
Рассчитать необходимое количество шаланд в составе земкаравана при расчетной производительности земснаряда qр = 650 м3/ч, максимальная вместимость трюма шаланд Wт = 800 м3, разрабатываемый грунт - суглинки текучепластичные (3 группа по трудности разработки, 1 категория по трудности разгрузки), дальность транспортировки грунта на отвал S = 15 км, на участке длиной Sl = 5 км, допустимая скорость движения 10 км/ч (5,4 узл.).
Паспортная скорость шаланды Vi = 10 узл. (18,5 км/ч).
1. Продолжительность погрузки трюма:
2. По графику на рис. П.9.2 ходовое время tх = 2,8 ч.
3. В связи с тем, что паспортная скорость шаланды Vi = 18,5 км/ч больше, чем принятая скорость при построении графика (13...15 км/ч), рассчитывается коэффициент:
4. Рассчитывается коэффициент Кv, учитывающий ограничение скорости движения на трассе:
5. Фактическое ходовое время:
6. Продолжительность цикла:
tц = tх + tпш + tраз = 0,9 ч + 0,2 ч + 0,1 ч = 1,2 ч.
7. Необходимое количество шаланд: по графику на рис. П.9.1
Nр - 1 = 1,5, Nр = 2,5 ед.
СОДЕРЖАНИЕ ТЕХНИЧЕСКОГО ЗАДАНИЯ, ВЫДАВАЕМОГО ЗАКАЗЧИКОМ
НА ДНОУГЛУБИТЕЛЬНЫЕ РАБОТЫ ПОДРЯДЧИКУ
1. Наименование объекта и работы.
2. Планируемые сроки выполнения работы:
начало;
окончание.
3. Предварительный объем работ, тыс. м3.
4. Состав работ.
5. Основные технические требования.
5.1. Допуски по габаритам.
5.2. Допуски по глубине (отметкам).
6. Основные условия производства работ.
6.1. Основные габариты объекта работ:
длина;
ширина;
глубина разработки (высота намыва).
6.2. Карьеры, допустимые объемы выемки грунта.
6.3. Отвал, вид отвала, дальность транспортировки грунта на отвал.
6.4. Наименование, группа и категория грунта по трудности разработки и разгрузки согласно действующей классификации (
Приложение 1), наличие включений и предметов захламления.
6.5. Особые условия на участке:
а) наличие судоходства и условия пропуска судов;
б) действующие требования и ограничения природоохранных органов;
в) наличие подводных и надводных препятствий.
ОБЯЗАТЕЛЬНОЕ ПРИЛОЖЕНИЕ К ТЕХНИЧЕСКОМУ ЗАДАНИЮ
1. Разрешение на производство дноуглубительных работ.
2. План промера (съемка местности) участка работ, трассы движения судов на отвал и отвала грунта.
3. План объекта работ со схемой привязки к местности.
4. Схемы ограждения рабочих границ объекта, трассы движения на отвал и отвалов.
5. Координаты границ отвала грунта и разрешение на производство отвала грунта в данном месте.
6. Акт траления или водолазного обследования участка работ, трассы движения на отвал и отвала.