Главная // Актуальные документы // ИнструкцияСПРАВКА
Источник публикации
Документ опубликован не был
Примечание к документу
Документ введен в действие с 1 мая 2019 года (
Распоряжение ОАО "РЖД" от 22.01.2019 N 93/р).
Название документа
"Инструкция оценки состояния скоростных и высокоскоростных участков пути по критериям плавности хода"
(утв. и введена в действие Распоряжением ОАО "РЖД" от 22.01.2019 N 93/р)
"Инструкция оценки состояния скоростных и высокоскоростных участков пути по критериям плавности хода"
(утв. и введена в действие Распоряжением ОАО "РЖД" от 22.01.2019 N 93/р)
Утверждена и введена в действие
от 22 января 2019 г. N 93/р
ИНСТРУКЦИЯ
ОЦЕНКИ СОСТОЯНИЯ СКОРОСТНЫХ И ВЫСОКОСКОРОСТНЫХ
УЧАСТКОВ ПУТИ ПО КРИТЕРИЯМ ПЛАВНОСТИ ХОДА
1.1. Настоящая инструкция по оценке состояния скоростных и высокоскоростных участков пути по критериям плавности хода (далее - Инструкция) регламентирует порядок дополнительной оценки состояния пути на линиях скоростного и высокоскоростного движения поездов на участках с различными показателями комфорта пассажиров в соответствии с
СТО РЖД "Услуги на железнодорожном транспорте. Метод оценки влияния ускорений на комфорт пассажиров в поездах" (далее - СТО)
[1].
1.2. Комфорт в части воздействующих на пассажира ускорений определяется тремя составляющими: параметрами устройства и фактического состояния железнодорожного пути, проектными и фактическими характеристиками подвижного состава, режимом ведения поезда, включая величину скорости. Отнесение величин ускорений по указанным видам составляющих и порядок работы по улучшению показателей комфорта в части подвижного состава и режима ведения поезда определяются другими нормативными документами.
1.3. Действие Инструкции распространяется на участки пути линий специализаций "высокоскоростная железнодорожная линия" (В) и "скоростная железнодорожная линия" (С) в соответствии с
[2], где пассажирские поезда движутся со скоростями более 140 км/ч до 250 км/ч.
Инструкция дополняет Положение о порядке контроля состояния главных и станционных путей путеизмерительными средствами
[3].
Высокоточная координатная система: составная часть инфраструктуры железнодорожного транспорта, включающая опорную геодезическую сеть и средства определения дифференциальных поправок глобальных навигационных спутниковых систем и выдачи их потребителям.
Геометрия рельсовой колеи: параметры, характеризующие положение рельсовых нитей в профиле, плане, по уровню и по ширине колеи.
Комфорт: субъективное ощущение хорошего самочувствия в условиях воздействия внешних факторов, включая ускорения, вибрацию, толчок.
Комфортные условия во время движения: совокупность ощущений, испытываемых пассажиром во время действия колебаний и/или сил инерции, вызванных колебаниями корпуса рельсового транспортного средства.
Мобильные средства диагностики (МСД): путеизмерительные средства с осевой нагрузкой на путь более 10 тонн (путеизмерители на базе вагонов, локомотивов, электропоездов, автомотрис).
Неисправность параметров рельсовой колеи: отклонение от номинальных значений параметров рельсовой колеи, требующее ограничения допустимой скорости или закрытия движения поездов.
Отступление в параметрах рельсовой колеи: отклонение от номинальных значений параметров рельсовой колеи величиной, при которой не требуется ограничение допустимой скорости движения, но подлежащее устранению в плановом или первоочередном порядке.
Параметры содержания пути: геометрические показатели рельсовой колеи и состояния рельсовых нитей (износа рельсов, стыковых зазоров и т.д.), подлежащие содержанию в установленных допусках и приведению к ним при текущем содержании пути.
Плавность хода: характеристика колебательного процесса подвижного состава во время движения, имеющая качественную оценку для пассажирских вагонов, соответствующую внутренним ощущениям пассажира по установленным показателям комфорта.
3.1. Необходимость введения настоящей Инструкции вызвана:
расширением в ОАО "РЖД" полигона и объемов скоростного и высокоскоростного движения поездов, увеличением протяженности путей, по которым поезда следуют со скоростями более 140 км/ч;
повышением требований к комфортным условиям передвижения в пассажирских поездах;
разработкой
СТО РЖД "Услуги на железнодорожном транспорте. Метод оценки влияния ускорений на комфорт пассажиров в поездах"
[1].
3.2. Настоящая Инструкция предназначена для железнодорожных путей, по которым осуществляется движение поездов со скоростями: скоростных - до 200 км/ч, высокоскоростных - до 250 км/ч.
Требования настоящей Инструкции применяются при оценке состояния пути скоростных и высокоскоростных линий ОАО "РЖД" в части уровня комфорта пассажиров (
пп. 5.3 -
5.7), который определяется на основе измерений ускорений в кузове скоростных (высокоскоростных) поездов прибором для проведения измерений ускорений.
3.3. Показатели комфорта пассажиров не связаны с нарушением безопасности движения и состояние участков, на которых они выявлены, не требуют ограничения установленной скорости. Однако на этих участках необходимо проведение дополнительного анализа состояния пути с рассмотрением целесообразности планирования выправочных или других видов работ.
3.4. Для проведения дополнительного анализа оценки состояния пути используются данные мобильных средств диагностики (далее - МСД) - путеизмерителей КВЛ-П, ЦНИИ-4, ДЕКАРТ, комплексов ЭРА, ИНТЕГРАЛ, ИНФОТРАНС-ВЕЛАРО Rus, и материалы базы данных КСПД ИЖТ в части фактических параметров железнодорожного пути в координатном пространстве.
3.5. Показатели комфорта рассчитываются согласно требованиям
СТО на основании ускорений, полученных прибором для проведения измерений ускорений, устанавливаемым в высокоскоростных, скоростных и пассажирских поездах по заказу Департамента управления бизнес-блоком "Пассажирские перевозки".
4. Требования к прибору для проведения измерений ускорений
4.1. Прибор для проведения измерений ускорений должен соответствовать требованиям
п. 5.4 СТО.
4.2. Прибор для проведения измерений ускорений должен состоять из:
блока трех акселерометров, измеряющих ускорения в продольном, поперечном и вертикальном направлениях с частотами от 0 до 80 Гц. Точностные характеристики канала данных измерений ускорений:
статические:
- допускаемая приведенная погрешность +/- 5%;
- максимальная погрешность единичного измерения не более +/- 5%;
динамические:
- основная приведенная погрешность амплитудной характеристики канала данных ("линейная ошибка") не более +/- 2,5%;
датчика определения угла поперечного крена кузова (и датчика определения угла продольного наклона кузова - для варианта измерения ускорений на полу вагона с последующим пересчетом на уровень сидения кресла). Допускаемая погрешность измерения углов может составлять не более +/- 0,5°, допускаемая погрешность измерения линейных размеров может составлять не более +/- 1 мм;
блока координатной привязки к высокоточной координатной системе ОАО "РЖД" (далее - ВКС) в составе комплексной системы пространственных данных инфраструктуры железнодорожного транспорта (КСПД ИЖТ) с использованием приемников ГЛОНАСС/GPS (опционально);
микропроцессора, выполняющего обработку сигналов от акселерометров и приемников ГЛОНАСС/GPS, вычисление показателей комфорта среднего, постоянного, в кривых и по дискретным событиям (допускается постобработка), с привязкой к ВКС (опционально) и к путейскому пикетажу с погрешностью не более +/- 1 м;
блока записи результатов на электронный носитель.
5. Перечень оцениваемых параметров плавности хода (показатели комфорта пассажиров)
5.1. Комфортные условия пассажиров во время движения разделяются на следующие составляющие:
а) усредненное ощущение, основанное на восприятии вибрации, действующей в течение длительного периода времени, определяющее показатели среднего и постоянного уровня комфорта;
б) квазистатическое боковое ускорение за счет искривления пути, скорости его изменения и крена кузова, определяющие показатель комфорта при прохождении кривой;
в) мгновенное ощущение, вызванное изменением усредненного ощущения, вследствие краткосрочного воздействия (например, вследствие изменения уровней ускорений в различных плоскостях), определяющее показатель комфорта при дискретных событиях.
5.2. Для оценки состояния участков пути с учетом комфорта пассажиров используются показатели
(таблица 5.1):
- показатели среднего и постоянного комфорта, который оценивается по значениям величин трех ускорений: в продольном, поперечном и вертикальном направлениях;
- показатель комфорта при прохождении кривой, который оценивается по значению величины ускорения в поперечном направлении, скорости его изменения и крена кузова;
- показатель комфорта при дискретных событиях, который оценивается по значениям величин ускорения в продольном, поперечном и вертикальном направлениях.
Таблица 5.1
Показатели комфорта при движении
| Показатель среднего уровня комфорта | Показатель постоянного комфорта | Показатель комфорта при прохождении кривой | Показатель комфорта при дискретных событиях |
Показатель комфорта | NMV | CCx, CCy, CCz | PCT | PDE |
Величины колебаний | Ускорения в трех направлениях | Ускорения в трех направлениях | Боковое ускорение Скорость изменения бокового ускорения Скорость крена | Ускорения в трех направлениях |
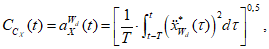
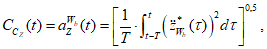
5.3. Определение показателя постоянного комфорта
Для определения показателей постоянного комфорта по данным измерений ускорений кузова, как в прямых, так и в кривых участках пути по трем направлениям (осям X, Y и Z) рассчитывают среднеквадратические значения частотно-взвешенных ускорений. Они рассчитываются по следующим формулам:

(1)

(2)

(3)
где

- пятисекундные среднеквадратические значения взвешенных по функции
Wd продольных ускорений,

- пятисекундные среднеквадратические значения взвешенных по функции
Wd боковых ускорений,

- пятисекундные среднеквадратические значения взвешенных по функции
Wb вертикальных ускорений, где
Wi - надстрочный индекс, относится к значениям частоты в соответствии с определенным направлением i: (i = d, d, b):
c: продольное направление, Wd
d: боковое направление, Wd
b: вертикальное направление, Wb.
Величины взвешивающих функций
Wd,
Wb приведены в
Приложении В СТО.
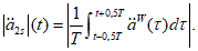
Пятисекундные среднеквадратические значения частотно-взвешенных ускорений рассчитываются по следующим формулам:

(4)

(5)

(6)
где T равен 5 с, а значение t кратно 5 с;
* - дидактический знак, обозначающий измеренную, а не рассчитанную величину.
5.4. Определение показателя среднего уровня комфорта
Формула для расчета показателя среднего уровня комфорта имеет вид:

(7)
где

- значения 95-х процентилей распределений пятисекундных усредненных среднеквадратических значений, подсчитанных за двухминутные периоды, по продольной оси,

- значения 95-х процентилей распределений пятисекундных усредненных среднеквадратических значений, подсчитанных за двухминутные периоды, по боковой оси,

- значения 95-х процентилей распределений пятисекундных усредненных среднеквадратических значений, подсчитанных за двухминутные периоды, по вертикальной оси.
5.5. Нормативы показателей среднего и постоянного комфорта
В
табл. 5.2,
5.3 приведены критерии показателей среднего и постоянного комфорта в соответствии с
СТО, а в
приложении для примера их фактические параметры на конкретном участке пути.
Таблица 5.2
Шкала показателя среднего уровня комфорта
NMV
Диапазон значений показателя среднего уровня комфорта | Уровень комфорта в части влияния ускорений |
NMV < 1,5 | Очень комфортно |
1,5 <= NMV < 2,5 | Комфортно |
2,5 <= NMV < 3,5 | Пограничное ощущение |
3,5 <= NMV < 4,5 | Некомфортно |
NMV >= 4,5 | Очень некомфортно |
Таблица 5.3
Шкала показателя постоянного комфорта

,

,

Диапазон значений показателей постоянного комфорта | Уровень комфорта в части влияния ускорений |
Положение "сидя по направлению движения" |
| Очень комфортно |
| Комфортно |
| Пограничное ощущение |
| Менее комфортно |
Положение "сидя поперек направлению движения" |
| Очень комфортно |
| Комфортно |
| Пограничное ощущение |
| Менее комфортно |
5.6. Определение показателя комфорта при прохождении кривой
При прохождении кривой оцениваются показатели комфорта, воспринимаемые пассажирами как изменение ощущения комфорта в части влияния ускорений во время движения транспортного средства, обусловленное действием низких частот при входе в кривую, изменением направления хода при прохождении кривой.
Физическими величинами, определяющими комфорт в части влияния ускорений при прохождении кривой являются:

- максимальное абсолютное значение бокового ускорения в кузове транспортного средства в период времени между начальной и конечной точками переходной кривой плюс 1,6 с, выраженное в м/с
2;

- максимальное абсолютное значение скорости нарастания ускорения в поперечном направлении в переходной кривой, выраженное в м/с
3;

- максимальное абсолютное значение скорости крена, в период времени между началом и концом переходной кривой, выраженное в рад/с.
Обработка сигналов должна производиться следующим образом:
а) фильтрованное значение бокового ускорения кузова транспортного средства

, с интервалом оцифровки не более 0,1 с, усредняется в односекундном окне, результатом является зависимость

;
б) фильтрованное значение скорости крена

, усредняется в односекундном окне, результатом является зависимость

;
в) фильтрованное значение скорости нарастания бокового ускорения в поперечном направлении

в односекундном окне, результатом является зависимость

.
Процедуры усреднения для периода усреднения T равного 1 с, показаны в формулах (8), (9) и (10).

(8)

(9)

(10)
Показатель комфорта при прохождении кривой -
PCT рассчитывается на основе эмпирического уравнения, полученного на основе анкетирования пассажиров по результатам проездов по кривым участкам пути в разных условиях, при различных величинах

,

и

.

(11)
5.7. Определение показателя комфорта при дискретных событиях
Оцениваются показатели комфорта, воспринимаемые пассажирами как изменение ощущения комфорта в части влияния ускорений во время движения транспортного средства, вызванное динамической реакцией транспортного средства на отдельные неровности пути и их сочетания.
Физической величиной, определяющей показатель комфорта при дискретных событиях (
PDE(
t), является полное ускорение

. Полное ускорение есть векторная сумма фильтрованных ускорений по продольному, поперечному и вертикальному направлениям.

(12)
где

- значения взвешенных по функции
Wd продольных ускорений;

- значения взвешенных по функции
Wp боковых ускорений;
| | ИС МЕГАНОРМ: примечание. Обозначения даны в соответствии с официальным текстом документа. | |

- значения взвешенных по функции
Wp вертикальных ускорений.
Обработка сигналов должна производиться следующим образом:
- полное ускорение

, рассчитанное по значениям фильтрованных ускорений кузова транспортного средства по направлениям связанной системы координат, с интервалом оцифровки не более 0,1 с, усредняется в двухсекундном окне, результатом усреднения является зависимость

.
Процедура усреднения для периода усреднения T, равного 2 с, определена по формуле (13), полученный сигнал относится к центральной позиции усредняющего окна:

(13)
Расчет размаха колебаний полного ускорения

во время периода
T, равного 2 с, выполняется по формуле (14):

(14)
Показатель комфорта при дискретных событиях рассчитывается по формуле (15):

(15)
5.8. Проведение дополнительного анализа состояния пути для планирования выправочных работ и, при необходимости, внесения корректировок в приказ по допускаемым скоростям движения осуществляется при показателях:
показатель постоянного комфорта - более 0,3 м/с2;
показатель среднего комфорта - более 2,5;
показатель комфорта при прохождении кривых для высокоскоростного движения - более 10, для скоростного движения - более 15;
показатель комфорта при дискретных событиях - более 10.
6. Порядок оценки состояния пути на высокоскоростных и скоростных линиях по показателям комфорта пассажиров
6.1. По результатам измерений показателей комфорта по
п. 3.5 формируется ведомость участков пути с нарушением условий комфорта пассажиров в части воздействия ускорений по форме табл. 6.1.
Таблица 6.1
Ведомость участков пути с нарушением условий комфорта
пассажиров в части воздействия ускорений
Направление С.Петербург - Москва, путь 1, проверка 23.04.2019 г., участок .............. |
Начало - конец участка, км, пк | Координаты ВКС (опционально) | Установленная скорость, км/ч | Показатели комфорта | Примечание |
Постоянный | в кривых участках пути | при дискретных событиях |
начало участка | конец участка | вертикальный | поперечный |
330 км, пк 2 - 330 км, пк 5 | 6416332.404; 6567802.353 | 6416181.511; 6567941.539 | 220 | 0.32 | --- | --- | --- | |
345 км, пк 8 - 345 км, пк 8 | 6415602.780; 6568475.801 | 6415436.024; 6568629.679 | 200 | --- | --- | --- | 5.5 | станция |
... | ... | ... | ... | ... | | ... | ... | ... |
6.2. Контролируемыми и оцениваемыми параметрами состояния пути с позиций влияния на плавность хода подвижного состава и комфорт пассажиров в части воздействия ускорений на участках, где нарушаются условия по
п. 5.8 являются:
положение рельсовых нитей в плане (рихтовка);
положение рельсовых нитей по уровню (перекосы и отклонения уровня);
просадки рельсовых нитей в вертикальной плоскости;
сочетания отступлений по рихтовке с перекосами и просадками;
длинные неровности пути в плане и продольном профиле и их сочетания;
параметры устройства кривых;
изменения наклона поверхности катания рельсов;
среднеквадратические отклонения (далее - СКО) от величин просадок, перекосов, отступлений в плане.
6.3. Контролируемые и оцениваемые параметры состояния пути по
пункту 6.2 привязываются к ВКС и путейскому пикетажу с погрешностью не более +/- 1 м.
6.4. На пикетах, где выявлены нарушения комфорта пассажиров в части влияния ускорений по критериям, приведенным в
разделе 5, должен быть проведен дополнительный анализ состояния пути по данным последнего прохода МСД с выявлением наличия
<*>:
- отдельных отступлений по рихтовке, перекосам и просадкам выше 2-й степени, или сочетаний отступлений 2-й степени и выше по рихтовке и перекосам (или просадкам), или последовательности трех и более отступлений по рихтовке или перекосам в любой комбинации на скользящем отрезке длиной 200 м;
- длинных неровностей пути в продольном профиле величиной более 40 мм, или в плане величиной более 30 мм, или их сочетаний при величине соответственно более 30 и 25 мм, или последовательности трех и более неровностей на отрезке длиной 200 м величиной более 30 и 25 мм;
| | ИС МЕГАНОРМ: примечание. В официальном тексте документа, видимо, допущена опечатка: ссылка на Положение ЦПТ-46/2 приводится в пункте [5] Библиографии, а не в пункте [4]. | |
- кривых, имеющих несовпадения точек начала и конца переходных кривых по кривизне и возвышению наружного рельса более 20 м, или 2-ю и выше степень расстройства, согласно Положению ЦПТ-46/2
[4] они должны быть классифицированы, как вызывающие ухудшение комфорта пассажиров в части влияния ускорений, и устранены планово-предупредительной выправкой;
- СКО, превышающих на длине 50 м:
- по просадкам - 1,6 мм при скоростях более 200 км/ч и 2,0 мм при скоростях 141 - 200 км/ч;
- по уровню - 2,0 мм при скоростях более 200 км/ч и 3,0 мм при скоростях 141 - 200 км/ч;
- по отступлениям в плане - 4,0 мм при скоростях более 200 км/ч и 6,0 мм при скоростях 141 - 200 км/ч.
--------------------------------
<*> Оценка отступлений по рихтовке, просадкам, перекосам, сочетаниям и длинным неровностям производится согласно Инструкции 682р [4].
6.5. По данным последнего прохода МСД на выявленных участках пути с нарушением условий комфорта пассажиров в части воздействия ускорений в режиме постобработки формируется ведомость по форме табл. 6.2.
Таблица 6.2
Ведомость характеристик состояния пути
на участках с нарушением условий комфорта
пассажиров в части воздействия ускорений
Направление С. Петербург - Москва, путь 1, проверка 23.04.2019 г., участок Бологое - Тверь |
Начало км, пк | Конец км, пк | Координаты ВКС (опционально) | | | | примечание |
начало участка | конец участка | Несовпад | aнп | | Ст. растр | Колич. отступл. 2 ст. и выше | Сочет. Послед. | план | проф | сочет |
330 | 2 | 330 | 5 | 6416332.404; 6567802.353 | 6416181.511; 6567941.539 | 36 | | | | 2П/2, 3Р/2 | | | | | |
345 | 8 | 345 | 8 | 6415602.780; 6568475.801 | 6415436.024; 6568629.679 | | | | | 2Пр/2, 1Р/3 | | 34 | 44 | | Станция |
... | ... | ... | ... | | | ... | ... | ... | ... | ... | ... | ... | ... | ... | ... |
--------------------------------
| | ИС МЕГАНОРМ: примечание. В официальном тексте документа, видимо, допущена опечатка: пункт 4.4 отсутствует. | |
<*> Соответствующие ячейки заполняются только в случае превышения пороговых значений, указанных в п. 4.4.
6.6. В случае отсутствия на пикетах, где выявлены нарушения комфорта пассажиров в части воздействия ускорений, отступлений, перечисленных в
п. 6.3, однако регулярно возникают по неустановленной причине повышенные колебания и ускорения при установленных скоростях пассажирских поездов, должен быть рассмотрен вопрос об уменьшении установленной скорости.
6.7. Информация о выявленных участках пути с нарушениями условий комфорта пассажиров в части воздействия ускорений в виде ведомостей по форме
табл. 6.1 и
6.2 используется Дирекцией инфраструктуры для планирования бюджета и работ по выправке пути или внесения корректировок в приказ по допустимым скоростям.
7. Перечень нормативных документов
| | ИС МЕГАНОРМ: примечание. В официальном тексте документа, видимо, допущена опечатка: имеется в виду СТО РЖД 03.005-2018, а не СТО РЖД 03.005-2019. | |
1.
СТО РЖД 03.005-2019 "Услуги на железнодорожном транспорте. Метод оценки влияния ускорений на комфорт пассажиров в поездах".
2.
Методика классификации и специализации железнодорожных линий ОАО "РЖД" утвержденной распоряжением ОАО "РЖД" от 23.12.2015 г. N 3048р.
3. Положение о порядке контроля состояния главных и станционных путей путеизмерительными средствами, утвержденное распоряжением ОАО "РЖД" от 30.12.2013 г. N 2956р.
4. Временная инструкция по оценке состояния рельсовой колеи путеизмерительными средствами и мерам по обеспечению безопасности движения, утвержденная
распоряжением ОАО "РЖД" от 7 апреля 2017 г. N 682р.
5. Положение по оценке фактических параметров кривых участков пути вагонами путеизмерителями, расчету рациональных параметров устройства кривых для их паспортизации, утвержденное ОАО "РЖД" 19.03.2009 г. N ЦПТ-46/2.
к Инструкции оценки состояния
скоростных и высокоскоростных
участков пути по критериям
плавности хода
Рис. П1. Показатели постоянного комфорта в поезде
Сапсан на участке Спирово - Завидово
направления Санкт-Петербург - Москва
Рис. П2. Средний уровень комфорта в поезде
Сапсан на участке Спирово - Завидово
направления Санкт-Петербург - Москва
Рис. П3. Комфорт при дискретных событиях в поезде
Сапсан на участке Спирово - Завидово
направления Санкт-Петербург - Москва
Рис. П4. Комфорт при прохождении кривых
в поезде Сапсан на участке Спирово - Завидово
направления Санкт-Петербург - Москва