Главная // Актуальные документы // ГрафикСПРАВКА
Источник публикации
М.: Стройиздат, 1970
Примечание к документу
Название документа
"Руководство по проектированию строительных мероприятий для защиты эксплуатируемых одноэтажных производственных зданий от влияния горных выработок"
"Руководство по проектированию строительных мероприятий для защиты эксплуатируемых одноэтажных производственных зданий от влияния горных выработок"
ПО ПРОЕКТИРОВАНИЮ СТРОИТЕЛЬНЫХ МЕРОПРИЯТИЙ
ДЛЯ ЗАЩИТЫ ЭКСПЛУАТИРУЕМЫХ ОДНОЭТАЖНЫХ
ПРОИЗВОДСТВЕННЫХ ЗДАНИЙ ОТ ВЛИЯНИЯ ГОРНЫХ ВЫРАБОТОК
Руководство содержит условия, при которых необходимо применение строительных мероприятий для защиты зданий; указания по статическому расчету конструкций на воздействия деформаций основания от влияния горных выработок, постоянных и временных нагрузок и их особых сочетаний; строительные мероприятия по защите и рекомендации по их применению.
Руководство предназначается для инженерно-технических работников проектных, производственных и научно-исследовательских организаций, занимающихся вопросами проектирования, строительства и эксплуатации зданий и сооружений на подрабатываемых территориях.
Редакторы - канд. техн. наук А.А. Баринов, инженеры Г.Г. Бельский, А.П. Старицын
Руководство по проектированию строительных мероприятий для защиты эксплуатируемых одноэтажных производственных зданий от влияния горных выработок разработано Донецким Промстройниипроектом.
При разработке Руководства использованы: материалы лаборатории защиты зданий и сооружений от влияния горных выработок Донецкого Промстройниипроекта по теоретическим и экспериментальным исследованиям напряженно-деформированного состояния каркаса одноэтажных производственных зданий при деформациях основания от влияния горных выработок, результаты обследования около ста подработанных одноэтажных производственных зданий с различной конструктивной схемой и материалом конструкций, опубликованные работы Всесоюзного научно-исследовательского института горной геомеханики и маркшейдерского дела, Научно-исследовательского института оснований и подземных сооружений и Ленинградского инженерно-строительного института, а также передовой отечественный опыт проектирования строительных мероприятий по защите эксплуатируемых зданий.
Руководство разработано канд. техн. наук А.А. Бариновым (разделы 1,
2 и
4), инженерами Е.М. Барышпольским (
раздел 3,
приложения 1,
2 и
3), М.П. Басиным (
раздел 2,
3 и
4), Г.Г. Бельским (руководитель работы, разделы 1,
2 и
4), С.Н. Жуковым
(раздел 4), С.С. Калеником (
приложения 1,
2 и
3), А.П. Старицыным (раздел 1). В разработке
раздела 4 участвовали инженеры В.В. Иванов, Г.Л. Винницкий, Г.Н. Школяренко, И.С. Дубянский, И.С. Токовенко и Л.Н. Натекин.
1. ОБЩИЕ ПОЛОЖЕНИЯ И ИСХОДНЫЕ ДАННЫЕ
1.1. Настоящее Руководство по проектированию строительных мероприятий для защиты эксплуатируемых одноэтажных производственных зданий от влияния горных выработок распространяется на проектирование строительных мероприятий для защиты одноэтажных производственных зданий, построенных без учета указанного влияния.
Руководство распространяется также на проектирование строительных мероприятий для защиты зданий, построенных с учетом влияния горных выработок, при выполнении одного из следующих условий:
а) расчетные деформации земной поверхности на площадке здания от намечаемой подработки превышают более чем на 20% соответствующие деформации, на которые оно рассчитано при его проектировании;
б) фактическое расположение, или материал, или состояние конструкций здания перед намечаемой подработкой более чем на 10% не соответствует проектному и при этом несоответствии увеличиваются последствия воздействия горных выработок.
Примечание. Руководство не распространяется на проектирование строительных мероприятий для защиты зданий, в основании которых от намечаемой подработки ожидается образование уступов или трещин.
1.2. Руководство содержит: условия, при которых необходимо применение строительных мероприятий для защиты зданий; указания по статическому расчету конструкций зданий на воздействия деформаций основания от влияния горных выработок, постоянных и временных нагрузок и их особого сочетания; строительные мероприятия по защите зданий и рекомендации по их применению.
1.3. Определение необходимости проектирования строительных мероприятий для защиты производится в соответствии с указаниями и рекомендациями
разделов 2 и
3 Руководства.
1.4. Исходными данными для определения необходимости применения строительных мероприятий для защиты здания являются:
а) ожидаемые от влияния горных выработок деформации земной поверхности на площадке здания (отсека);
б) физико-механические свойства грунтов основания;
в) фактическое расположение, материал и состояние несущих конструкций до начала подработки здания, от влияния которой определяется необходимость защиты.
1.5. Ожидаемые деформации земной поверхности на площадке здания определяются в соответствии с "Руководством по расчету зданий и сооружений, проектируемых на подрабатываемых территориях".
При определении ожидаемых деформаций земной поверхности по полной методике расчет их производится по двум направлениям, параллельным главным сечениям мульды сдвижения, проходящим через точку максимального оседания основания здания (отсека).
При определении ожидаемых деформаций земной поверхности по упрощенной методике расчет их производится в точке здания (отсека), под которой глубина верхнего отрабатываемого пласта является наименьшей.
1.6. Расчетные деформации земной поверхности определяются как произведение величин ожидаемых деформаций земной поверхности на соответствующие коэффициенты перегрузок, определяемые по табл. 2 "Указаний по проектированию зданий и сооружений на подрабатываемых территориях" (СН 289-64).
Примечания: 1. При определении ожидаемых деформаций по полной методике исходными для вычисления их расчетных величин в рассматриваемом сечении принимаются средние значения деформаций под зданием.
2. При статическом расчете рам исходными для вычисления расчетных деформаций принимаются их ожидаемые величины в рассматриваемых точках, умноженные на коэффициенты перегрузки, определяемые по
табл. 2 СН 289-64. При определении ожидаемых деформаций по упрощенной методике расчетные оседания

, наклоны
i и горизонтальные сдвижения

определяются по следующим формулам:

; (1)

; (2)

, (3)
где x - расстояние рассматриваемой точки от середины рассматриваемой рамы;
R и

- ожидаемые деформации земной поверхности;
nk и

- коэффициенты перегрузки, определяемые по
табл. 2, СН 289-64.
Фактическое расположение и материал несущих конструкций здания определяются по исполнительным чертежам и уточняются обследованием, в процессе которого устанавливается фактическое состояние несущих конструкций.
1.7. Физико-механические свойства грунтов должны приниматься по данным полевых и лабораторных исследований. При отсутствии этих данных расчетные величины модуля деформации, удельного сцепления и угла внутреннего трения грунтов в зависимости от их вида, пористости и влажности могут приниматься по табл. 4 СН 289-64.
1.8. Воздействия, вызываемые деформациями земной поверхности, относятся к числу особых по главе СНиП II-А.11-62 "Нагрузки и воздействия. Нормы проектирования".
При расчете конструкций здания величины расчетных усилий, вызываемых деформациями земной поверхности и кратковременными нагрузками (глава СНиП II-А.11-62) должны приниматься с коэффициентом 0,8.
1.9. Проектирование строительных мероприятий для защиты зданий должно производиться по специальному техническому заданию.
Проект строительных мероприятий для защиты зданий от влияния горных выработок должен содержать:
а) горногеологические материалы условий подработки;
б) краткую строительную характеристику зданий с оценкой фактического состояния их конструкций до начала влияния намечаемой подработки;
в) ожидаемые от намечаемой подработки деформации земной поверхности на площадке каждого здания;
г) результаты определения необходимости применения мероприятий для защиты;
д) принятые решения по строительным мероприятиям для защиты зданий с обоснованием каждого из них;
е) технико-экономическую оценку внедрения разработанного проекта.
Согласование и утверждение проекта строительных мероприятий для защиты зданий осуществляется в установленном порядке.
2. ОПРЕДЕЛЕНИЕ НЕОБХОДИМОСТИ ПРОЕКТИРОВАНИЯ
СТРОИТЕЛЬНЫХ МЕРОПРИЯТИЙ ДЛЯ ЗАЩИТЫ ОДНОЭТАЖНЫХ
ПРОИЗВОДСТВЕННЫХ ЗДАНИЙ ОТ ВЛИЯНИЯ ГОРНЫХ ВЫРАБОТОК
2.1. Необходимость применения строительных мероприятий для защиты конструкций одноэтажных производственных зданий и стационарного кранового оборудования определяется в зависимости от расчетных деформаций земной поверхности на площадке здания, физико-механических свойств грунтов основания, фактических нагрузок и состояния конструкций до начала намечаемой подработки.
2.2. При удовлетворительном состоянии конструкций здания до начала подработки необходимость применения строительных мероприятий определяется:
а) по графику, изображенному на
рис. 1; в зависимости от длины проекции здания на линию максимального действия деформаций и относительного показателя суммарных деформаций

; относительный показатель суммарных деформаций определяется по формуле

, (4)
где

и
R - расчетные деформации земной поверхности на участке здания по линии максимального действия;
H - высота здания от подошвы фундамента до верха карниза;
б) по
табл. 1; в зависимости от ожидаемых изменений ширины колеи, продольного и поперечного наклона подкрановых путей.
Рис. 1. График для определения необходимости применения
строительных мероприятий для защиты одноэтажных
производственных зданий от влияния горных выработок
1 - зона повреждений, при которой не требуется применение
строительных мероприятий для защиты (раскрытие отдельных
трещин в стенах до 5 мм); 2 - зона второй степени
повреждений - раскрытие отдельных трещин от 5 до 20 мм;
3 - зона третьей степени повреждений - раскрытие отдельных
трещин от 20 до 50 мм; 4 - зона четвертой степени
повреждений - раскрытие отдельных трещин от 50 до 100 мм
N п. п. | Повреждения кранового оборудования | Величины предельных повреждений кранового оборудования, при которых не требуется применение мероприятий |
1 | Изменение ширины подкранового пути: | |
а) при цилиндрических катках ........... | 20 мм |
б) при конических катках ................... | 30 " |
2 | Изменение продольного уклона подкранового пути .................................... | 6·10-3 |
3 | Изменение поперечного уклона подкранового пути: | |
а) при цилиндрических катках .......... | 3,5·10-3 |
б) при конических катках ................. | 5·10-3 |
2.3. Изменение ширины колеи подкрановых путей a, когда между несущими их колоннами (пилястрами или стенами) понизу нет горизонтальных связей, препятствующих смещению колонн (пилястр или стен) в перпендикулярном путям направлении, определяется по формуле

, (5)
где l - расстояние между продольными осями колонн (пилястр) рассматриваемого здания;
h1 - расстояние от рельса подкранового пути до нижнего пояса фермы;
h2 - расстояние от подошвы фундамента до нижнего пояса фермы;
a - ожидаемое изменение ширины колеи подкрановых путей в мм.
Когда между несущими подкрановые пути колоннами (пилястрами или стенами) понизу имеются горизонтальные связи, препятствующие смещению колонн (пилястр или стен) в направлении, перпендикулярном путям, изменение их ширины колеи определяется по
формуле (5) с коэффициентом 0,3.
2.4. Изменение продольного и поперечного профилей подкрановых путей определяется по оседаниям колонн (пилястр или стен).
2.5. В случае необходимости применения строительных мероприятий для защиты здания и их рационального определения необходимо произвести статический расчет несущих конструкций с учетом расчетных величин деформаций земной поверхности, физико-механических свойств грунтов основания, фактических эксплуатационных нагрузок, расположения, материала и состояния конструкций до начала намечаемой подработки.
Статический расчет конструкций зданий выполняется в соответствии с указаниями и рекомендациями
раздела 3.
2.6. Для зданий, у которых фактическое состояние конструкций перед намечаемой подработкой неудовлетворительное, необходимость применения строительных мероприятий для защиты определяется статическим расчетом.
3. СТАТИЧЕСКИЙ РАСЧЕТ КОНСТРУКЦИЙ ЗДАНИЙ
3.1. Статический расчет конструкций выполняется для определения необходимости применения и проектирования строительных мероприятий для защиты здания от влияния горных выработок. В результате статического расчета должны быть получены усилия в каждом элементе несущих конструкций и в узловых сопряжениях элементов от воздействия деформаций основания здания, постоянных и временных нагрузок, а также от их особого сочетания.
3.2. Если определенные статическим расчетом усилия в сечениях и сопряжениях элементов конструкций не превышают предельных значений, то применение конструктивных мероприятий для защиты от влияния горных выработок не требуется.
Предельные величины усилий в сечениях и сопряжениях элементов зданий определяются согласно указаниям норм проектирования соответствующих конструкций.
3.3. Расчетные усилия, превышающие предельные величины, используются для проектирования строительных мероприятий, обеспечивающих нормальную эксплуатацию здания в период и после подработки.
3.4. Для статического расчета каркас здания расчленяется на две системы - поперечную и продольную рамы. Работа каждой из этих рам при воздействии деформаций основания принимается независимой.
3.5. В состав поперечной и продольной рам здания включаются конструкции, существенно влияющие на работу каркаса при воздействии деформаций основания. Наличие прочих конструкций, мало влияющих на работу рамы, в ее схеме не учитывается. Например, в поперечную раму включаются ригели покрытия и колонны с фундаментами. В продольную раму наряду с колоннами и фундаментами включаются подкрановые балки, подстропильные конструкции и вертикальные связи.
Если определена необходимость применения конструктивных мероприятий для защиты здания и принято решение ограничить относительные перемещения фундаментов колонн связями-распорками, то эти связи также включаются в схему рамы.
3.6. Конструктивная схема рамы устанавливается на основании архитектурно-строительных чертежей здания и по результатам его натурного обследования. В конструктивной схеме следует устанавливать: материал, фактическое состояние, конфигурацию и основные размеры всех стержней, образующих раму; типы отдельных стержней (сплошные или решетчатые); способ узловых сопряжений элементов рамы друг с другом и с фундаментами (монолитные узлы, соединения на болтах, на сварке); форму, размеры подошвы и высоту каждого фундамента.
3.7. Расчетная схема надфундаментной части рамы устанавливается по выявленной конструктивной схеме с учетом известных допущений и правил строительной механики. Кроме надфундаментной части в расчетную схему включаются фундаменты, фундаментные связи-распорки и контактирующие с подошвами фундаментов части грунтового основания рамы.
3.8. Расчет рамы на особую нагрузку от воздействия деформаций основания выполняется согласно указаниям
пп. 3.9 -
3.12 при следующих исходных предпосылках:
а) фундаменты стоек принимаются бесконечно жесткими;
б) продольные деформации стоек и ригелей (конструкций покрытия, подкрановых балок) не учитываются;
в) жесткость EбI = B изгибаемых железобетонных элементов рам и жесткости EбFс, подверженных растяжению (сжатию) железобетонных фундаментных связей-распорок, определяются согласно указаниям норм проектирования железобетонных конструкций с учетом их работы в предельном состоянии;
г) жесткости EI изгибаемых металлических элементов и жесткости EFс, подверженных растяжению (сжатию) металлических связей, определяются с учетом их работы в упругой стадии;
д) грунтовое основание фундаментов рамы принимается упруго-податливым.
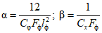
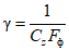
3.9. Податливость основания любого фундамента рамы характеризуется величинами

,

и

, которые определяются по формулам:

; (6)

; (7)

, (8)
где

- коэффициент неравномерного сжатия основания;
Cx и Cz - коэффициенты равномерного сжатия и сдвига основания;
Fф и lф - площадь и длина подошвы фундамента в рассматриваемом направлении.
Если не представляется возможным определить опытные значения коэффициентов

,
Cx и
Cz, то величины, характеризующие податливость основания, допускается вычислять по формулам:

; (9)

; (10)

, (11)
где
E0 и

- модуль деформации и коэффициент Пуассона основания рассматриваемого фундамента; определяются согласно указаниям норм проектирования оснований зданий и сооружений;

,

и

- безразмерные коэффициенты, определяемые по табл. 2 в зависимости от соотношения длины
lф и ширины
bф подошвы фундамента.
Таблица 2
lф:bф | 0,20 | 0,33 | 0,50 | 0,66 | 1,00 | 1,50 | 2,00 | 3,00 | 5,00 |
| 1,22 | 1,13 | 1,09 | 1,07 | 1,06 | 1,07 | 1,09 | 1,13 | 1,22 |
| 1,62 | 1,65 | 1,72 | 1,80 | 1,98 | 2,24 | 2,50 | 2,97 | 3,59 |
| 0,53 | 0,53 | 0,54 | 0,53 | 0,50 | 0,45 | 0,42 | 0,37 | 0,29 |
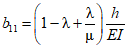
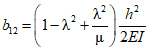
3.10. Поперечные рамы без фундаментных связей рассчитываются методом перемещений. В качестве основных неизвестных принимаются перемещения Z фиктивных закреплений узлов сопряжения стоек и ригелей.
Продольные рамы с металлическими связями между стойками и поперечные рамы с фундаментными связями-распорками рассчитываются смешанным методом. Для этих рам кроме перемещения Z основными неизвестными являются также величины продольных сил X в связях. Значения Z и X определяются с учетом растяжимости связей.
Для определения коэффициентов и свободных членов канонических уравнений метода перемещений и смешанного метода используются схемы и формулы, приведенные в
приложении 1.
Примеры определения основных неизвестных для некоторых типов рам приведены в
приложении 2.
3.11. Величина продольной силы X в любой фундаментной связи должна удовлетворять условию

, (12)
где

- сопротивление сдвигу грунта, залегающего под подошвой соединенного со связью фундамента; определяется согласно указаниям норм проектирования оснований зданий и сооружений.
Если
условие (12) для некоторых связей не удовлетворяется, то величины продольных сил
X в этих связях следует принять равными
Nпр и выполнить повторный расчет.
3.12. Изгибающий момент
M в любом сечении любого элемента рамы определяются по формуле

, (13)
где
Mр,
Mk и
Mj - изгибающие моменты в рассматриваемом сечении основной системы от воздействия деформаций основания, от перемещения
Zk = 1 и от силы
Xj = 1; определяются по
приложению 1;
n и m - количество основных неизвестных перемещений Z и сил X для рассматриваемой рамы.
Поперечная сила
Q и продольная сила
N в любом сечении любого элемента рамы определяются по формулам, аналогичным
выражению (13).
3.13. При расчете рамы на постоянные и временные нагрузки следует различать два случая:
первый случай, когда значения максимального
E0,макс и минимального
E0,мин модулей деформации грунтов, залегающих под подошвами фундаментов рамы, удовлетворяют одному из условий:
E0,макс >= 200
кГ/
см2;

при
E0,макс >= 150
кГ/
см2;

при
E0,мин >= 75
кГ/
см2; фундаменты принимаются жестко защемленными в основании и расчет выполняется известными методами строительной механики исходя из общепринятых исходных предпосылок;
второй случай, когда ни одно из указанных условий не удовлетворяется; расчет выполняется аналогично указанному в
пп. 3.8 -
3.12, при этом используются соответствующие рассматриваемой нагрузке таблицы
приложения 3.
Бескаркасные здания и здания с каркасом по неполной схеме
3.14. Для статического расчета несущие конструкции бескаркасного здания и здания с каркасом по неполной схеме расчленяются на две системы - поперечную и продольную. Работа каждой из этих систем при сдвижении основания принимается независимой.
3.15. Состав продольной системы определяется конструктивной схемой здания. В бескаркасных зданиях продольная система состоит из несущих стен с фундаментами. В зданиях с каркасом по неполной схеме продольная система имеет два типа: первый соответствует бескаркасным зданиям, второй - каркасным.
3.16. Усилия в элементах продольных систем первого типа определяются расчетом несущих стен и ленточных фундаментов, как балки с конечной жесткостью (
EI), определяемой по формуле (62) "Руководства по расчету зданий и сооружений, проектируемых на подрабатываемых территориях".
Максимальные величины изгибающего момента и поперечной силы, вызванные влиянием вертикальных деформаций грунта, определяются по формуле (64) "Руководства по расчету зданий и сооружений, проектируемых на подрабатываемых территориях".
Суммарная горизонтальная сила в любом сечении ленточного фундамента, вызванная влиянием горизонтальных деформаций грунта, определяется по формуле (78) "Руководства по расчету зданий и сооружений", проектируемых на подрабатываемых территориях".
3.17. Фундаментная часть системы первого типа должна быть рассчитана на наиболее неблагоприятное воздействие деформаций основания:
на совместное действие вертикальных и горизонтальных деформаций грунта;
на воздействие только вертикальных деформаций грунта.
3.18. Усилия в элементах поперечных и продольных систем второго типа определяются согласно указаниям
пп. 3.9 -
3.12.
4. СТРОИТЕЛЬНЫЕ МЕРОПРИЯТИЯ ДЛЯ ЗАЩИТЫ
ОДНОЭТАЖНЫХ ПРОИЗВОДСТВЕННЫХ ЗДАНИЙ
4.1. Для обеспечения нормальной эксплуатации здания и его стационарного кранового оборудования в период деформаций основания и последующее время применяются следующие строительные мероприятия по защите:
а) разрезка здания на отсеки;
б) усиление фундаментов;
в) усиление стен;
г) усиление колонн (пилястр);
д) усиление пролетных строений;
е) изменение статической схемы рамы;
ж) устройство по низу колонн или между фундаментами гибких связей-распорок;
з) увеличение площади опирания плит покрытия на пролетное строение;
и) рихтовка колонн в вертикальной плоскости с помощью переносных домкратов;
к) рихтовка подкранового пути и подкрановых балок;
л) замена мостового крана подвесным или козловым краном;
м) устройство компенсационных траншей.
Применение каждого из указанных мероприятий определяется в зависимости от расчетных усилий в конструкциях и узлах сопряжения их между собой, а также и от конкретных условий эксплуатации объекта (технологических требований производственных процессов, происходящих в здании, срока его эксплуатации после намечаемой подработки, возможной реконструкции здания и др.).
Разрезка здания на отсеки
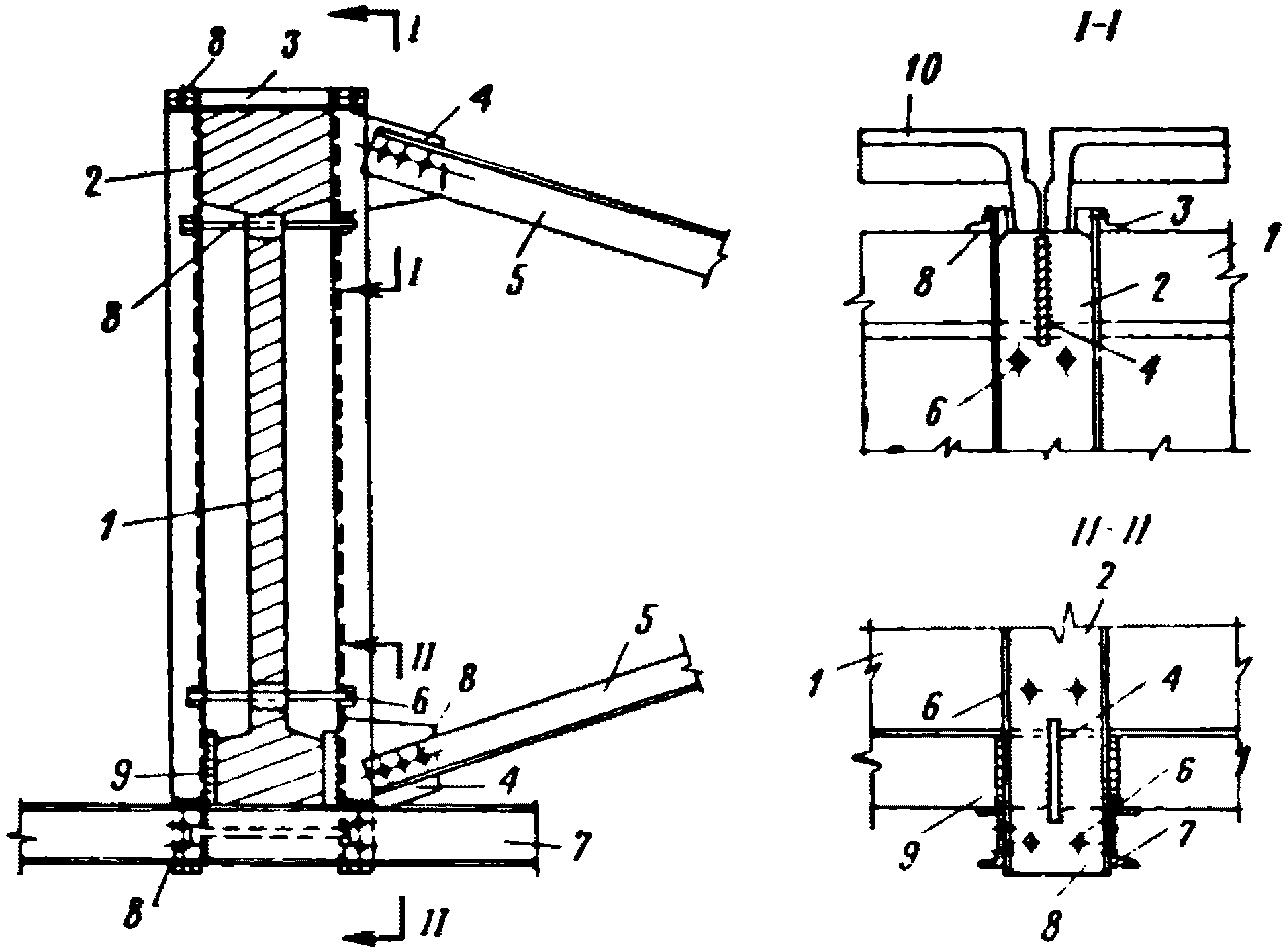
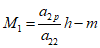
4.2. Наиболее эффективным мероприятием для защиты зданий от вертикальных и горизонтальных деформаций основания является разрезка его на отсеки прямоугольной формы в плане путем устройства деформационных швов. Деформационный шов необходимо устраивать во всех несущих и ограждающих конструкциях (рис. 2 -
6).
Рис. 2. Схема устройства деформированного шва
в конструкциях здания
а - каркасного; б - бескаркасного; 1 - существующий
фундамент; 2 - существующая колонна (пилястра);
3 - существующее пролетное строение; 4 - шов;
5 - укороченная плита покрытия; 6 - дополнительное пролетное
строение; 7 - дополнительная колонна (пилястра);
8 - укороченная ранд-балка; 9 - дополнительный фундамент;
10 - бетонный столбик; 11 - наружная стена;
12 - ленточный фундамент
Рис. 3. Схема устройства деформационного шва
в фундаментной части каркасных зданий
1 - существующий фундамент; 2 - существующая колонна;
3 - фундаментная балка; 4 - бетонный столбик;
5 - дополнительная колонна; 6 - дополнительный фундамент;
7 - шов
Рис. 4. Схема устройства деформационного шва
в покрытии с металлическими фермами
1 - существующая ферма; 2 - болтовое соединение; 3 - прогон;
4 - плита покрытия; 5 - компенсационный фартук из кровельной
стали; 6 - утеплитель; 7 - деформационный шов;
8 - устраненная связь; 9 - дополнительная ферма
Рис. 5. Схема устройства деформационного шва в стенах
а - несущая стена; б и в - самонесущая стена; 1 - болт М12
(шаг 500); 2 - металлический лист; 3 - уголок 63 x 6;
4 - пилястра (колонна); 5 - стена; 6 - болт М18 (шаг 1000)
Рис. 6. Схема устройства деформационного шва в кровле
1 - железобетонная плита покрытия; 2 - утеплитель;
3 - кровельный ковер; 4 - компенсационный фартук;
5 - деревянная пробка; 6 - кирпичный столбик; 7 - шов;
8 - шов скольжения; 9 - плитка из легкого бетона;
10 - цементный раствор
4.3. Ширина деформационного шва на отметке подошвы фундамента должна быть не менее величины

, (14)
а на отметке конька или карниза в поперечных или продольных швах соответственно

, (15)
где H - высота меньшего из примыкающих к шву отсеков, равная расстоянию от подошвы фундамента до карниза или конька;
| | ИС МЕГАНОРМ: примечание. Текст абзаца дан в соответствии с официальным текстом документа. | |
- длины отсеков, примыкающих к деформационному шву.
4.4. Деформационные швы рекомендуется устраивать во второстепенных помещениях вблизи внутренних капитальных стен или рядом с существующими колоннами (пилястрами).
4.5. Устройство деформационного шва производится путем:
а) установки дополнительных фундаментов
(рис. 3), колонн (пилястр) и пролетных строений (
рис. 2 и
4);
б) разрезки ленточных фундаментов и стен (
рис. 2 и
5);
в) устранения связей существующих прогонов, плит покрытия, подкрановых балок и других элементов с существующими колоннами (пилястрами), пролетным строением и т.д., расположенными у шва (
рис. 2 и
4).
После установки дополнительных колонн (пилястр) и пролетных строений разрезанные элементы у деформационного шва связываются с ними.
Дополнительные пилястры рекомендуется связывать с существующими стенами путем устройства штраб.
При устройстве деформационного шва в самонесущих стенах перед разрезкой фундаментной балки необходимо устраивать дополнительный столбчатый фундамент у места разрезки.
Деформационный шов в покрытии может быть осуществлен с помощью гибких вставок, т.е. без введения дополнительных колонн (пилястр) и пролетных строений. Устройство гибких вставок производится путем ликвидации связей прогонов или плит покрытия с одним из пролетных строений шва. При этом необходимо обеспечить надежность опирания прогонов или плит покрытия, как показано на рис. 7 и
36.
Рис. 7. Схема устройства деформационного шва
в покрытии с помощью гибких вставок
1 - верхний пояс пролетного строения; 2 - соединительная
накладка; 3 - прогон; 4 - компенсационная накладка;
5 - подкладка; 6 - опорный столик
С целью уменьшения объема работ деформационные швы в стенах могут устраиваться по сечениям, ослабленным проемами (рис. 8).
Рис. 8. Схема устройства деформационного шва
в стенах по оконным проемам
а - при железобетонной перемычке; б - при железокирпичной
перемычке; 1 - деформационный шов; 2 - зазор
между перемычкой и кладкой стены; 3 - железобетонная
перемычка; 4 - железокирпичная перемычка; 5 - деформационный
шов в перемычке; 6 - проектируемая кирпичная кладка
4.6. Узлы сопряжения подкрановых балок с вновь проектируемыми колоннами (пилястрами) у деформационного шва должны обеспечивать возможность горизонтальных подвижек. Для этого на дополнительной колонне должна разрезаться подкрановая балка и обеспечиваться свободное опирание конца балки смежного отсека (рис. 9).
Рис. 9. Схема устройства деформационного шва
в подкрановом пути
1 - деформационный шов в кладке стены;
2 - деформационный шов в подкрановой балке; 3 - подкрановый
рельс; 4 - закладная деталь; 5 - дополнительное пролетное
строение; 6 - существующее пролетное строение;
7 - существующая колонна; 8 - монтажный уголок;
9 - подкрановая балка; 10 - анкер; 11 - тормозная ферма;
12 - дополнительная колонна
Для обеспечения непрерывности кранового рельса следует предусмотреть устройство коротких вставок, заменяемых в процессе подработки по мере необходимости.
4.7. При разрезке здания на отсеки необходимо обеспечить пространственную устойчивость каждого отсека. С этой целью рекомендуется:
а) устройство связей-распорок по нижним поясам пролетных строений
(рис. 10);
б) устройство блоков жесткости
(рис. 10) и введение вертикальных связей между пролетными строениями
(рис. 11) в местах расположения этих блоков;
в) устройство горизонтальных связей по нижним и верхним поясам пролетных строений в пределах блока жесткости и у деформационного шва
(рис. 12).
Рис. 10. Схема обеспечения пространственной устойчивости
отсека каркасного здания
1 - металлическая связь-распорка по верху колонн; 2 - блок
жесткости; 3 - существующая колонна; 4 - деформационный шов;
5 - дополнительная колонна; 6 - фундаментная связь-распорка
Рис. 11. Схема устройства продольных связей между железобетонными фермами (балками) 1 - ферма; 2 - швеллер; 3 - уголок; 4 - косынка; 5 - продольная крестовая связь; 6 - стяжные болты; 7 - продольная связь; 8 - болты; 9 - подкладки из листового железа; 10 - плита покрытия |
Рис. 12. Схема устройства дополнительных горизонтальных связей 1 - деформационный шов; 2 - дополнительное пролетное строение; 3 - существующие горизонтальные связи; 4 - дополнительная колонна; 5 - дополнительные горизонтальные связи |
Блоки жесткости рекомендуется устраивать путем введения сборно-разборных крестовых связей. Приведенная гибкость

крестовых связей должна быть не более 150.
4.8. Для обеспечения пространственной жесткости отсеков здания при расположении его под углом 15 - 75° к простиранию и длине свободных концов продольных стен у деформационного шва более 3 м рекомендуется связать их между собой связями-распорками или, если позволяют технологические условия производственного процесса в здании, дополнительной замыкающей стеной толщиной не менее 25 см.
4.9. Усиление ленточных фундаментов может быть произведено путем торкретирования обеих боковых поверхностей цементным раствором, нагнетания цементного раствора внутрь кладки, устройства железобетонных поясов и железобетонной рубашки.
4.10. Железобетонные пояса могут быть выполнены в соответствии со схемами, приведенными на рис. 13 и
18. При этом шаг поперечных связей следует принимать равным 0,8 - 1,5
м. Пояса на уровне подошвы фундамента
(рис. 14) могут быть выполнены в сборно-монолитном или монолитном железобетоне. В первом случае необходимо сборные элементы стыковать друг с другом путем сварки выпусков арматуры и последующего замоноличивания.
Рис. 13. Схема усилия ленточного фундамента
железобетонными поясами
1 - железобетонный пояс; 2 - фундамент; 3 - промежуточный
анкер; 4 - концевой анкер; 5 - ось деформационного шва;
6 - поперечная связь; 7 - металлический лист; 8 - заклинка
из жесткого цемента; 9 - бетон марки 200
Рис. 14. Схема усилия ленточного фундамента
железобетонными подушками с затяжками
1 - существующий фундамент; 2 - ось деформационного шва;
3 - железобетонная подушка; 4 - затяжка; 5 - заклинка
из жесткого цемента; 6 - бетон марки 200; 7 - анкер
Совместная работа существующего фундамента и рубашки обеспечивается путем забивки анкеров в шахматном порядке в швы бутовой кладки или устройством сквозных связей (рис. 15 и
16), шаг связей 0,8 - 1,5
м.
Рис. 15. Усиление ленточных фундаментов
железобетонной рубашкой
1 - железобетонная рубашка; 2 - поперечная связь; 3 - гнездо
(через 500); 4 - арматура; 5 - стена; 6 - уплотненный грунт;
7 - существующий фундамент
Рис. 16. Усиление ленточных фундаментов
железобетонной рубашкой
1 - существующий фундамент; 2 - железобетонная рубашка;
3 - нижняя обойма; 4 - верхняя обойма; 5 - существующая
пилястра; 6 - существующая стена; 7 - металлическая
обойма, усиливающая пилястру; 8 - арматура
Сечение рабочей арматуры, необходимой для устройства поясов или рубашки, определяется по величинам максимальных изгибающего момента и поперечной силы, определяемым в соответствии с рекомендациями
п. 3.16.
4.11. Усиление отдельно стоящих фундаментов следует производить путем устройства железобетонной рубашки (рис. 17).
Рис. 17. Усиление отдельных фундаментов
железобетонной рубашкой
а - при усилении колонны железобетонной обоймой;
б - при усилении колонны металлической обоймой;
1 - существующий фундамент; 2 - железобетонная рубашка;
3 - металлическая (железобетонная) обойма; 4 - колонна;
5 - анкер; 6 - арматура; 7 - уплотненный грунт
Сечение рабочей арматуры рубашек назначают в соответствии с величинами усилий, которые определяются по указаниям
раздела 3.
Для прочного сцепления старой и новой частей фундамента вертикальные грани старого фундамента стесываются по слегка наклонным плоскостям.
4.12. Усиление стен на ленточных фундаментах рекомендуется производить с помощью металлических связей, железобетонных поясов (рис. 18), металлических обойм и железобетонных рубашек
(рис. 19).
Рис. 18. Усиление стен железобетонными поясами
а - с гибкой арматурой; б и в - с несущей арматурой;
1 - существующая стена; 2 - арматура; 3 - бетон марки 200;
4 - поперечная связь (1 N 10); 5 - штраба
Рис. 19. Усиление несущих стен с пилястрами железобетонными
рубашками и металлическими обоймами
а - железобетонной рубашкой; б - металлической обоймой;
1 - существующая стена; 2 - пилястра; 3 - железобетонная
рубашка; 4 - поперечная связь (через 500 - 1000); 5 - бетон
марки 200; 6 - арматура; 7 - металлическая обойма
4.13. Размеры поперечного сечения тяжей, поясов обойм и рубашек и их количество определяются расчетом стены на восприятие изгибающих моментов и поперечных сил, определенных в соответствии с рекомендациями
пп. 3.16 и
3.17.
4.14. Для расчета стена разбивается на пояса и простенки
(рис. 20). Продольные силы, возникающие в поясах, определяются следующим образом:
а) пояса из разных материалов приводятся к однородному сечению путем изменения ширины сечения, определяемой по формуле

, (16)
где b - ширина пояса кладки;
E - модуль деформации сечения;
Eпр - модуль деформации материала, к которому приводится сечение;
б) определяется положение нейтральной оси сечения по проемам;
в) вычисляется момент инерции Jнт относительно нейтральной оси;
г) продольные усилия Ni, действующие на каждый пояс, определяются по формуле

, (17)
где M - расчетный изгибающий момент, определяемый по формуле (64) "Руководства по расчету зданий и сооружений, проектируемых на подрабатываемых территориях";
yi - расстояние от нейтральной оси до i-го пояса;
Jнт - момент инерции стены по сечению, ослабленному проемом;
Fi - площадь i-го пояса.
Рис. 20. Фрагмент стены и эпюры нормальных сил в ее сечении
от действия изгибающего момента
1 - карнизный пояс; 2 - средний пояс; 3 - фундаментный пояс
4.15. Поперечная сила распределяется между поясами кладки пропорционально площади их поперечных сечений с учетом повышенной ее интенсивности в средней по высоте части стены. Часть поперечной силы Qi, приходящаяся на один из поясов кладки, определяется по формуле

, (18)
где Fi - площадь рассматриваемого i-го пояса;

- сумма площадей всех поясов стены;

- коэффициент, учитывающий изменение интенсивности касательных напряжений по высоте сечения стены, принимаемый равным: 0,9 для фундаментного пояса; 1,3 для поясов, расположенных в средней части; 0,4 для карнизного пояса.
Примечание. Если

, то невязку

необходимо распределить между поясами кладки пропорционально полученным значениям
Qi.
4.16. Под действием поперечных сил Qi происходит изгиб поясов кладки стены в пролетах, равных ширине проемов. Момент, изгибающий пояс кладки стены по грани проема, определяется по формуле

, (19)
где Qi - поперечная сила, действующая на пояс кладки;
a - ширина проема.
4.17. Под действием поперечных сил
Qi в простенках, примыкающих к
i-му поясу, возникают изгибающие моменты

и

.
Изгибающие моменты по осям простенков определяются по формулам:

; (20)

, (21)
где
a1 и
a2 - расстояние между осями смежных простенков
(рис. 21);
iв и iн - погонные жесткости простенков, примыкающих к i-му поясу.
Рис. 21. Схема распределения дополнительных усилий в поясах
и простенках кладки от действия поперечных сил
Распределение изгибающих моментов между простенками, примыкающими к i-му поясу, осуществляется пропорционально погонным жесткостям простенков. Последние определяются по формулам:

; (22)

, (23)
где Eв и Eн - модули деформации кладки простенков, примыкающих сверху и снизу к i-му поясу;
Jв и Jн - моменты инерции простенков, примыкающих сверху и снизу к i-му поясу;
hi и hi-1 - высоты соответствующих простенков.
Изгибающие моменты карнизного и фундаментного поясов здания целиком передаются на примыкающие простенки.
4.18. Расчетными моментами для
i-го простенка являются

и

, равные ординатам эпюры моментов на уровне верха и низа поясов, примыкающих к
i-му простенку. По величине этих моментов производится проверка простенка на внецентренное сжатие с учетом вертикальных продольно сжимающих сил в соответствии с
п. 4.7 главы СНиП II-В.2-62.
4.19. Простенки необходимо проверять на главные растягивающие напряжения от поперечной силы по формуле
Qi,пр <= Rглbz, (24)
где Qiпр - поперечная сила, приходящаяся на простенок;
Rгл - расчетное сопротивление кладки главным растягивающим напряжениям, определяемое по табл. 10 - 12 главы СНиП II-В.2-62;
z - плечо внутренней пары (для прямоугольного сечения

).
Поперечная сила Qi,пр, приходящаяся на i-й простенок, определяется по формуле

, (25)
где hi - высота i-го простенка.
4.20. Если усилия в поясах и простенках стены при особом сочетании нагрузок больше их несущей способности, то необходимо усилить пояса и простенки.
Для увеличения несущей способности поясов стены рекомендуется применять металлические тяжи и железобетонные пояса. Однако металлические тяжи могут увеличить несущую способность пояса только при воздействии на него растягивающих продольных сил.
Для увеличения несущей способности простенков рекомендуется применять металлические обоймы и железобетонные рубашки.
4.21. Площадь поперечного сечения тяжей определяется из условия равнопрочности их и соответствующего пояса кладки стены при растяжении, т.е. Ni, передаваемое тяжами поясу кладки, не должно превышать величины N, определяемой по формуле
N = mRр.иbhi, (26)
где m - коэффициент условий работы кладки, равный 1,1;
Rр.и - расчетное сопротивление кладки растяжению при изгибе по перевязанному сечению, определяемое по главе СНиП II-В.2-62;
b - толщина усиливаемой стены;
hi - расчетная высота i-го пояса стены.
Если Ni > N, то металлические тяжи необходимо заменить железобетонными поясами.
Количество тяжей, необходимых для усилия i-го пояса, определяется по формуле

, (27)
где m1 - коэффициент условий работы стали, равный 0,9;
R - расчетное сопротивление металла;
d - диаметр тяжа.
4.22. Усилия от тяжей рекомендуется передавать поясу кладки стены через промежуточные и угловые обжимные элементы (рис. 22 и
23).
Рис. 22. Промежуточный обжимной элемент 1 - тяж; 2 - швеллер; 3 - упорная накладка; 4 - упорная косынка; 5 - упорный уголок; 6 - выравнивающий слой свежего цемента |
Рис. 23. Угловой обжимной элемент а - без ребер жесткости; б - с ребрами жесткости; 1 и 5 - ребра жесткости; 2 - уголок; 3 - тяж; 4 - стена; 6 - слой свежего цементного раствора; 7 - фасонка; 8 - нарезной конец тяжа; 9 - трубчатая втулка |
4.23. Каждый из поясов стены рекомендуется усиливать парными тяжами, расположенными в одном или двух уровнях.
4.24. Тяжи должны изготовляться из пластичных сталей диаметром 30 - 40 мм или из прядей высокопрочных проволок. Тяжи из круглой стали могут устраиваться составными по длине со сварными стыками, равнопрочными сечению тяжа при работе на растяжение.
4.25. Для предотвращения провисания тяжей рекомендуется укладывать их на костыли, заделываемые в кладку стены через 6 - 8 м по длине ее.
4.26. Для того чтобы во время натяжения тяжи не скручивались и не вращались, рекомендуется приваривать к тяжам коротыши из уголков, упирающиеся в стенку обжимных элементов.
4.27. При нарезке концов тяжей из круглой стали, необходимой для натяжения, они должны быть утолщены для сохранения сечения тяжей нетто. Длина нарезки должна быть не менее 80 мм.
4.28. Тяжи по продольным и поперечным стенам рекомендуется устраивать в одном уровне и одного диаметра. При этом допускается прерывать тяжи у сопряжений продольных стен с поперечными.
4.29. Для обеспечения надежной совместной работы стены и тяжей следует создавать начальное обжатие ее за счет предварительного натяжения стальных тяжей примерно на 90% расчетного сопротивления их растяжению. Натяжение тяжей большой длины (более 15 - 20 м) рекомендуется осуществлять с помощью промежуточных натяжных муфт.
4.30. Площадь поперечного сечения железобетонных поясов и количество арматуры определяются из условия совместного действия продольной силы Ni и изгибающего момента Mi в соответствии с рекомендациями главы СНиП II-В.1-62. При этом необходимо производить проверку их сечения на главные растягивающие напряжения. По величине последних определяется необходимость постановки хомутов и отогнутых стержней.
Количество арматуры в фундаментном поясе должно быть определено с учетом усилий, вызванных влиянием горизонтальных деформаций основания, в соответствии с рекомендациями
п. 3.16.
4.31. Для обеспечения совместной работы стен и железобетонных поясов последние рекомендуется осуществлять в соответствии с
рис. 18.
Глубина борозды определяется в каждом случае в зависимости от конкретных условий (толщина стены, ее состояние перед подработкой, величина деформаций основания и др.).
4.32. Площадь поперечного сечения железобетонных рубашек и металлических обойм определяется из условия совместного действия продольных вертикальных сжимающих сил, приходящихся на
i-й простенок, и изгибающих моментов

и

в соответствии с рекомендациями главы
СНиП II-В.2-62.
4.33. Усиление стен на столбчатых фундаментах рекомендуется осуществлять методами, указанными в
п. 4.12.
4.34. Размеры тяжей, железобетонных поясов, металлических обойм и железобетонных рубашек и их количество определяются в соответствии со значениями изгибающего момента и поперечной силы, полученными расчетом стены на столбчатых фундаментах, как неразрезной балки при неравномерном оседании ее опор.
4.35. Определение усилий, действующих в поясах и простенках стены, производится в соответствии с рекомендациями
пп. 4.13 -
4.18.
4.36. Фундаментную балку необходимо проверить на внецентренное растяжение, вызванное силами трения между фундаментной балкой и столбчатым фундаментом. Определение сил трения производится по "Руководству по расчету зданий и сооружений, проектируемых на подрабатываемых территориях".
Для уменьшения сил трения рекомендуется устраивать швы скольжения между фундаментной балкой и столбчатыми фундаментами.
4.37. Усиление фундаментной балки может быть произведено путем увеличения ее геометрических размеров с помощью железобетонных рубашек, обойм и наращиваний.
Усиление колонн (пилястр)
4.38. Усиление металлических колонн рекомендуется производить с помощью накладок, длина и площадь поперечного сечения которых определяется в соответствии с эпюрой изгибающих моментов и величиной продольной силы, полученных при особом сочетании нагрузок (рис. 24).
Рис. 24. Схемы усиления металлических колонн накладками
1 - сечение колонны; 2 - сечение накладки
Приварка накладок к колонне должна производиться шпоночными швами, рассчитанными на растяжение из условия равнопрочности их материалу накладок. Последние должны быть доведены до основания колонны, т.е. привариваться к траверсе и опорной плите ее базы.
При усилении колонн несимметричного сечения рекомендуется односторонняя приварка накладок со стороны малой ветви колонны.
4.39. Решетчатые колонны, у которых поперечные связи (планки) расположены с большим шагом

, могут быть усилены также за счет установки дополнительных связей, обеспечивающих условие

.
4.40. Усиление железобетонных колонн рекомендуется осуществлять с помощью предварительно напряженных распорок системы Н.М. Онуфриева, металлических и железобетонных обойм (рис. 25).
Рис. 25. Усиление кирпичных столбов и железобетонных колонн
а - железобетонными рубашками; б - металлическими обоймами;
1 - колонна; 2 - железобетонная рубашка;
3 - металлическая обойма
4.41. При проектировании усиления колонн предварительно напряженными распорками могут встретиться два случая:
усиление колонн односторонними распорками при внецентренном сжатии с большими и малыми эксцентрицитетами при однозначном действии изгибающих моментов;
усиление колонн двусторонними распорками при внецентренном сжатии с большими и малыми эксцентрицитетами при двузначном действии изгибающих моментов.
Во втором случае работает только та распорка, которая при данной комбинации нагрузок попадает в сжатую зону колонны.
4.42. Проектирование предварительно напряженных распорок усиления осуществляется в три этапа.
А. Определение несущей способности колонны и выявление степени ее перегрузки выполняется в соответствии с указаниями главы СНиП II-В.1-62.
Б. При внецентренном сжатии определение необходимой площади поперечного сечения распорки усиления рекомендуется выполнять по формуле

(28)
для случая x > 0,55h0
и по формуле

(29)
для случая x <= 0,5h0,
где Nп - приведенная продольная сила, определяемая по главе СНиП II-В.1-62;
N - несущая способность колонны, определяемая по главе СНиП II-В.1-62;
h0 - рабочая высота сечения;
Rи - расчетное сопротивление бетона на сжатие при изгибе;
b - ширина колонны;

- площадь сжатой арматуры;
Rа - расчетное сопротивление арматуры;
m0 - коэффициент условий работы распорок (0,9);
e - расстояние от точки приложения силы до центра растянутой арматуры;
x - величина сжатой зоны рассматриваемого сечения колонны;
a' - расстояние от центра сжатой арматуры до грани колонны;
a" - расстояние от центра тяжести распорки до грани колонны (рис. 26).
Рис. 26. Расчетная схема поперечных сечений колонн,
усиленных предварительно напряженными распорками
а и б - при больших эксцентрицитетах;
в - при малых эксцентрицитетах, l = eоп, l = e
Величина e определяется по формуле
e = eоп + 0,5h - a, (30)
где eоп - эксцентрицитет силы Nп относительно центра сечения колонны;
h - высота сечения колонны;
a - расстояние от центра растянутой арматуры до грани колонны.
Величина eоп определяется по формуле

, (31)
где
Mп и
Nп - приведенные изгибающий момент и продольная сила, которые при

определяются в соответствии с рекомендациями главы
СНиП II-В.1-62;
l0 - расчетная длина колонны.
Если
eоп < 0,15
h0, то следует проводить поверочный расчет на центральное сжатие с учетом наименьшего возможного значения коэффициента

.
В. Расчет конструкции распорки и установление ее предварительного напряжения заключается в определении шага планок, их размеров, высоты и длины сварных швов в соответствии с рекомендациями главы СНиП II-В.3-62 и проверке ее на устойчивость при монтаже, выпрямлении и создании предварительного напряжения.
Величину предварительного напряжения рекомендуется определять по формуле

, (32)
где

- коэффициент продольного изгиба распорки в плоскости ее перегиба;
R - расчетное сопротивление стали, из которой выполняется распорка.
В соответствии с полученными предварительными напряжениями распорки по графику
рис. 27 определяется уклон распорок при их первоначальной установке во время монтажа. Необходимая величина прогиба распорки определяется по величине ее уклона

, (33)
где i - уклон распорки;
h - длина распорки.
Рис. 27. График зависимости наклона распорок
от предельного напряжения

4.43. Сечение железобетонных обойм определяется по величинам изгибающего момента и продольной силы, полученным при особом сочетании нагрузок, в соответствии с рекомендациями главы СНиП II-В.1-62.
4.44. Усиление кирпичных столбов и пилястр рекомендуется выполнять путем устройства металлических или железобетонных обойм. При этом необходимо обеспечивать совместную работу фундаментов и колонн (пилястр) путем устройства обоймы до подошвы фундамента.
Сечение обоймы определяется по величинам изгибающего момента и продольной силы, полученным при особом сочетании нагрузок, в соответствии с рекомендациями главы СНиП II-В.1-62.
Усиление пролетных строений
4.45. Усиление пролетных строений рекомендуется выполнять с помощью металлических затяжек, накладок и подпружных систем.
4.46. При усилении металлических ферм затяжками последние закрепляются по торцам опорных узлов или привариваются к опорным косынкам ферм, а при усилении железобетонных ферм (балок) - по их торцам с помощью обжимных элементов (рис. 28).
Рис. 28. Схемы усиления ферм (балок) шарнирно-неподвижно связанных с колоннами а - металлические; б - железобетонные; 1 - колонна; 2 - бетонный вкладыш; 3 - опорная косынка; 4 - ферма (балка); 5 - обжимной элемент; 6 - стена; 7 - затяжка; 8 - опорное ребро жесткости |
Рис. 29. Схема преобразования жестких узлов сопряжения колонн с металлическими фермами в шарнирные путем разрезки крайних панелей а - верхний; б - нижний; 1 - колонна; 2 - удаленные болты; 3 - разрезанная панель; 4 - существующий нижний пояс фермы; 5 - накладка; 6 - опорный столик; 7 - дополнительные болты; 8 - отверстия под дополнительные болты |
4.47. При усилении металлических пролетных строений накладками
(рис. 29) длина и площадь поперечного сечения их определяются в соответствии с величинами усилий в элементах пролетного строения, полученными при особом сочетании нагрузок.
4.48. Подпружные системы рекомендуется применять при усилении пролетных строений, жестко связанных с колоннами, путем разгрузки пролетных строений (рис. 30). Подпружные системы рекомендуется устраивать предварительно напряженными.
Рис. 30. Схема усиления ригеля рамы с жесткими узлами
с помощью подпружной системы
1 - упор; 2 - подпруга; 3 - натяжная муфта;
4 - ригель; 5 - башмак
4.49. Усиление жестких узлов рамных систем, находящихся в неудовлетворительном состоянии, рекомендуется производить с помощью поперечных предварительно напряженных стержней системы Н.М. Онуфриева (рис. 31).
Рис. 31. Схема усиления жесткого узла железобетонной рамы
с помощью предварительно напряженных стержней
1 - поперечный стержень; 2 - распределительный уголок;
3 - шайба; 4 - обжимной уголок; 5 - рама;
6 - натяжной хомутик
Изменение статической схемы рамы
4.50. Изменение статической схемы рамы осуществляется путем уменьшения степени ее статической неопределимости. Практически это достигается заменой жестких узлов сопряжения колонн с ригелями или фундаментами шарнирно неподвижными или шарнирно подвижными.
Изменение статической схемы рамы требует проверки расчетом всех ее конструктивных элементов.
4.51. Для преобразования жестких узлов рам в шарнирно неподвижные рекомендуется:
а) разрезка крайней панели решетчатого ригеля (см.
рис. 29 и
32);
б) ослабление одного из концевых сечений колонн для обеспечения возможности образования пластических шарниров под нагрузкой
(рис. 33).
Рис. 32. Преобразование статической схемы поперечной рамы
с металлическими стропильными фермами
1 - колонна; 2 - стропильная ферма; 3 - разрезанная панель
Рис. 33. Преобразование статической схемы
поперечной железобетонной рамы
1 - железобетонная рама; 2 - ослабленное сечение колонны;
3 - стальная затяжка
При ослаблении связи ломаного ригеля рамы с колоннами необходимо ввести затяжку для восприятия распора.
4.52. Преобразование жестких узлов рам в шарнирно подвижные рекомендуется путем устройства катковых опор (рис. 34).
Рис. 34. Схема устройства шарнирных подвижных опор
1 - стена; 2 - пилястра; 3 - металлическая обойма;
4 - разбираемый участок кладки; 5 - верхняя опорная плита;
6 - ферма (балка); 7 - металлические упоры; 8 - каток;
9 - нижняя опорная плита
Устройство гибких связей-распорок
по низу колонн или между их фундаментами
4.53. Для уменьшения влияния горных выработок на несущие конструкции здания рекомендуется устраивать гибкие связи-распорки по низу колонн или между их фундаментами (рис. 35).
Рис. 35. Схема устройства связей-распорок
1 - соединительная связь; 2 - существующий фундамент;
3 - колонна; 4 - анкер; 5 - черный болт; 6 - связь-распорка;
7 - арматура; 8 - швеллер; 9 - сетка; 10 - бетон марки 200
В зависимости от величины расчетных горизонтальных деформаций земной поверхности, габаритов здания в плане и т.д. связи-распорки могут устраиваться в направлении одной или обеих осей здания.
4.54. Гибкие связи-распорки между колоннами должны быть рассчитаны на центральное сжатие (растяжение), вызванное горизонтальными деформациями основания, в соответствии с указаниями "Руководства по расчету зданий и сооружений, проектируемых на подрабатываемых территориях".
4.55. Чтобы связи-распорки не испытали влияния искривления основания, высоту сечения их рекомендуется назначать не более

(
l - расстояние в свету между фундаментами смежных колонн, соединяемых связью), но не менее 20
см, учитывая необходимость двойного армирования.
4.56. Для уменьшения расчетных усилий в связях-распорках при расположении здания в зоне действия горизонтальных деформаций сжатия рекомендуется устройство компенсационных траншей.
При устройстве компенсационных траншей разрешается не учитывать в расчетах воздействие давления сдвигающихся грунтовых масс на вертикальные стенки фундаментов.
Увеличение площади опирания плит покрытия
на пролетное строение
4.57. Необходимость увеличения площади опирания плит покрытия на пролетное строение определяется по формуле
m1 - m2 < 120 мм, (34)
где m1 - величина фактической длины опирания плит покрытия на пролетное строение до подработки;
m2 - величина уменьшения длины опирания плит покрытия на пролетное строение вследствие влияния горных выработок; величина
m2 определяется по
формуле (15), где величина

заменяется величиной
l - шагом колонн.
4.58. Увеличение площади опирания плит покрытия на пролетное строение рекомендуется выполнять путем устройства опорных столиков (рис. 36).
Рис. 36. Увеличение площади опирания плит покрытия
а - железобетонная ферма (балка); б - металлическая ферма;
1 - ферма (балка); 2 - шов скольжения; 3 - плита покрытия;
4 - швеллер N 10; 5 - швеллер N 16; 6 - опорный столик
Рихтовка колонн в вертикальной плоскости
с помощью переносных домкратов
4.59. Рихтовку колонн в вертикальной плоскости рекомендуется производить с помощью переносных домкратов и траверс.
Во время подъема колонны нагрузка на нее и рядом стоящие должна быть минимальной. Крановая нагрузка не допускается (рис. 37).
Рис. 37. Схемы поддомкрачивания колонны; положения колонны
а - после установки траверсы; б - в конце подъема;
в - после присоединения колонны к наращенным анкерам;
1 - фундамент колонны; 2 - колонна; 3 - упор; 4 - верхняя
переносная траверса; 5 - нижняя переносная траверса;
6 - опорная траверса; 7 - домкрат; 8 - стальная
распределительная плита; 9 - подбетонка;
10 - анкерный болт; 11 - наращенная часть анкера
4.60. По окончании подъема колонн на заданную отметку производится подбетонка или подливка верха фундамента. При этом башмак колонны должен быть прикреплен к фундаменту с помощью наращенных анкерных болтов.
Длина наращивания анкерных болтов определяется по формуле

, (35)
где

- оседание поднимаемой колонны;

- оседание колонны, получившей наименьшее оседание из числа всех колонн здания.
4.61. Подъем колонн каркаса следует начинать с колонны, фундамент которой получил наибольшее оседание.
Рихтовка колонн в вертикальной плоскости производится по заранее разработанной программе, составленной по данным нивелировки их положения, ступенями, соответствующими степени податливости связей между элементами каркаса.
Рихтовка подкранового пути и подкрановых балок
4.62. Величина вертикальной рихтовки подкранового пути и подкрановых балок определяется по
формуле (35).
4.63. Величина горизонтальной рихтовки подкранового пути и подкрановых балок определяется по
формуле (5).
4.64. Рихтовка подкрановых путей и балок в горизонтальной и вертикальной плоскости может производиться как по обоим рядам колонн, так и по одному ряду.
4.65. Для проведения рихтовки подкранового пути и балок необходимо обеспечить достаточный запас габаритов приближения мостового крана к колоннам и пролетным строениям.
Увеличить габариты приближения мостового крана в вертикальной плоскости можно за счет подрезки металлических подкрановых балок на опорах (рис. 38), а в горизонтальной плоскости - за счет увеличения размеров консолей, на которые опираются подкрановые балки.
Рис. 38. Схема подрезки подкрановой балки
1 - колонна; 2 - тормозная балка; 3 - подкрановая балка;
4 - болты; 5 - подрезанный участок; 6 - овальные отверстия
4.66. Сечение подкрановых балок, узлы сопряжения их с колоннами и элементы поперечной рамы необходимо рассчитать с учетом увеличения эксцентрицитета приложения крановых нагрузок вследствие изменения положения подкранового пути и балок в горизонтальной плоскости.
Реконструкция мостового крана,
замена его подвесным или козловым краном
4.67. В случаях когда обеспечение нормальной эксплуатации мостового крана вышеизложенными методами технически нецелесообразно или экономически неэффективно, необходимо применять реконструкцию мостового крана или замену его подвесным или козловым краном.
4.68. Реконструкцию мостового крана рекомендуется осуществлять путем замены цилиндрических катков коническими и создания ходовой части моста крана, позволяющей изменять расстояние между катками.
4.69. Замена мостового крана подвесными или козловыми кранами рекомендуется, если она допустима техническим процессом производства, расположением оборудования и габаритами здания.
Устройство компенсационных траншей
4.70. Компенсационные траншеи применяются для защиты зданий от горизонтальных деформаций сжатия.
4.71. Компенсационные траншеи рекомендуется устраивать у внешней стороны наружных стен, расположенных под углом более 20° к линии действия горизонтальных деформаций сжатия (рис. 39).
Рис. 39. Схемы расположения траншей
а - при направлении горизонтальных деформаций сжатия
под углом 40 - 50° к осям здания; б - при направлении
деформаций сжатия под углом 20 - 40 и 50 - 70° к осям здания
4.72. Минимальное расстояние между ближайшими точками фундамента и траншеи определяется по
рис. 40 или по формуле

, (36)
где b - ширина фундамента;

- угол внутреннего трения грунта.
Рис. 40. Графики определения минимальных величин расстояния между фундаментом и траншеей и глубины траншеи |
4.73. Минимальная глубина заложения траншеи при
lмин определяется по
рис. 40 или по формуле

, (37)
где hф - глубина заложения подошвы фундамента.
4.74. Если по каким-либо условиям расстояние между ближайшими точками фундамента и траншеи требуется принять больше lмин, то в этом случае глубина заложения траншеи определяется по формуле

, (38)
где

- длина, на которую увеличено
lмин.
4.75. Длину траншеи рекомендуется принимать больше длины защищаемой стены на 2a:

, (39)
где a - величина выхода траншеи за здание.
4.76. Для предохранения траншеи от обрушения рекомендуется заполнять ее легкосжимаемым материалом (древесные опилки и торф с примесью до 20% грунта и т.п.). Для защиты от проникания воды в траншею необходимо по верху ее устраивать замок толщиной 15 - 20 см из мятой глины.
4.77. Стенки траншей, пересекающих проезжую часть дороги и тротуар, необходимо укреплять деревом, кирпичом или железобетонными плитами, после чего траншеи заполнять легкосжимаемым материалом и сверху перекрывать дорожными плитами (рис. 41).
Рис. 41. Схема устройства траншей
а - траншея, не пересекающая проезжую или пешеходную дороги;
б - траншея под проезжей дорогой или тротуаром; 1 - грунт;
2 - глиняный замок; 3 - заполнитель из легкосжимаемого
материала; 4 - дорожная железобетонная плита;
5 - кирпичная кладка в один кирпич
ТАБЛИЦЫ СХЕМ, ГРАФИКОВ И ФОРМУЛ ДЛЯ РАСЧЕТА РАМ
НА ВОЗДЕЙСТВИЕ ДЕФОРМАЦИЙ ИХ ОСНОВАНИЙ
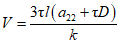
I. Реакции и моменты стойки с шарнирно неподвижной опорой. Перемещения фундамента стойки |
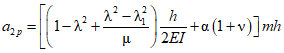
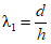
| |  ;  ;  ;  ;  ; a22 = b22 + c22 |
|
1 | |  ; M1 = Th |
u0 = Ta02 |
2 | |  ;  ; M1 = Th |
 ; u0 = a0p - Ta02 |
3 | |  ; M1 = Th |
 ; u0 = a00 - Ta02 |
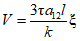
II. Реакции и моменты стойки с двумя шарнирно неподвижными опорами. Перемещения фундамента стойки |
| |  ;  ;  ;  ;  ;  ;  ;  ; a22 = b22 + c22; a23 = b23 + c23; a33 = b33 + c33; |
 ;  ; |
4 | |  ; T1 = T3 - T2; M3 = T2h1; |
u0 = T3a03 - T2a02 |
5 | |  ;  ; T1 = T3 - T2; M3 = T2h1; |
u0 = T3a03 - T2a02 |
6 | |  ;  ;  ;  ;  ; M3 = T2h1 |
u0 = a0p - (T3a03 - T2a02) |
7 | |  ;  ; T1 = T3 - T2; M3 = T2h1; |
 ; u0 = a00 - (T3a03 - T2a02) |
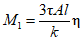
III. Реакции и моменты стойки с защемленным концом. Перемещения фундамента стойки |
| |  ;  ;  ;  ;  ;  ;  ; a11 = b11 + c11; a12 = b12 + c12; a22 = b22 + c22;  ; A = a12h - a22; B = a11h - a12; L = a12a2p - a22a1p; N = a11a2p - a12a1p |
 ; |
8 | |  ;  ; |
u0 = Ta02 - M2a00 |
9 | |  ;  ; |
u0 = M2a00 - Ta0,2 |
10 | | |
|
11 | | a1p = i;  ;  ;  ; |
 ; u0 = a0p + M2a00 - Ta02; |
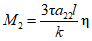
IV. Моменты и реакции Г-образной рамы с защемленным ригелем |
| |  ;  ;  ;  ;  ;  ;  ;  ; a11 = b11 + c11; a12 = b12 + c12; a22 = b22 + c22;  ; A = a12h - a22; B = a11h - a12; F = Bh - A;  ;  ;  ; L = a12a2p - a22a1p; N = a11a2p - a12a1p. |
12 | |  ;  ;  ;  ; |
13 | |  ;  ;  ;  ; |
14 | |  ;  ;  ; |
15 | |  ;  ;  ; |
16 | |  ;  ;  ;  ; |
17 | |  ;  ;  ; |
ПРИМЕРЫ ОПРЕДЕЛЕНИЯ ОСНОВНЫХ НЕИЗВЕСТНЫХ ПЕРЕМЕЩЕНИЙ И СИЛ
ДЛЯ НЕКОТОРЫХ ТИПОВ РАМ
Пример 1. Несимметричная многопролетная поперечная рама, ригели которой шарнирно сопряжены с общими стойками на одном уровне
(рис. 42). Единственным неизвестным является горизонтальное перемещение
Z1 фиктивной связи
1, которое определяется по формуле

, (40)
где

.
--------------------------------
<*> Здесь и в дальнейшем заключенные в скобки верхние индексы всех величин обозначают номера таблиц, которые используются для вычисления этих величин.
Если рама и сдвижение основания симметричны, то Z1 = 0.
Рис. 42. Расчетная схема рамы и основная система к примеру 1
Пример 2. Несимметричная многопролетная поперечная рама с бесконечно жесткими ригелями, жестко сопряженными с общими стойками на одном уровне
(рис. 43). Неизвестными являются горизонтальное перемещение
Z1, вертикальное перемещение
Z2 и угол поворота
Z3 соответствующих фиктивных связей
1,
2 и
3. Значения неизвестных определяются в результате решения системы из трех канонических уравнений:

(41)
где

;

;

;

;

;

;

;

.
Если рама и сдвижение основания симметричны, то Z1 = Z3 = 0. Единственным неизвестным является перемещение Z2, которое определяется по формуле

. (42)
Рис. 43. Расчетная схема рамы и основная система к примеру 2
Пример 3. Несимметричная многопролетная поперечная рама с шарнирным сопряжением стоек и ригелей; к двум стойкам ригели примыкают на разных уровнях
(рис. 44). Неизвестными являются горизонтальные перемещения
Z1,
Z2 и
Z3 соответствующих фиктивных связей
1,
2 и
3. Значения неизвестных определяются в результате решения
системы уравнений (41), где

;

;

;

;

;

;

;

.
Если рама и сдвижение основания симметричны, то
Z2 = 0. Единственным неизвестным является перемещение
Z1 = -
Z3, которое определяется по
формуле (40) при указанных в данном примере значениях
r11 И
R1p.
Рис. 44. Расчетная схема рамы и основная система к примеру 3
Пример 4. Несимметричная двухпролетная рама, стойки которой жестко сопряжены на одном уровне с ригелями конечной жесткости
(рис. 45). Неизвестными являются горизонтальное перемещение
Z1, вертикальное перемещение
Z2 и угол поворота
Z3 соответствующих фиктивных связей
1,
2 и
3. Значения неизвестных определяются в результате решения
системы уравнений (41), где

;

;

;

;

;

;

;

;

.
Если рама и сдвижение симметричны, то
Z1 =
Z3 = 0. Единственным неизвестным является перемещение
Z2, которое определяется по
формуле (42) при указанных в данном примере значениях
r22 и
R2p.
Рис. 45. Расчетная схема рамы и основная система к примеру 4
Пример 5. Несимметричная многопролетная поперечная рама, ригели которой шарнирно сопряжены с общими стойками на одном уровне, а фундаменты трех стоек шарнирно соединены с фундаментными связями-распорками
(рис. 46). Неизвестными являются силы
X1 и
X2 в фундаментных связях
1 и
2, а также горизонтальное перемещение
Z3 фиктивной связи
3. Значения неизвестных определяются в результате решения системы из трех канонических уравнений:

;

;

,
где

;

;

;

;

;

;

;

.
Если рама и сдвижение основания симметричны, то Z3 = 0. Неизвестными являются продольные силы X1 и X2 в связях 1 и 2, расположенных по одну сторону от оси симметрии. При двух связях продольная сила X1 = X2 определяется по формуле

. (43)
Рис. 46. Расчетная схема рамы и основная система к примеру 5
Пример 6. Несимметричная многопролетная продольная рама с двумя диагональными связями между колоннами и двумя ярусами ригелей, шарнирно сопряженных с общими стойками
(рис. 47). Неизвестными являются продольные силы
X1 и
X2 в диагональных связях
1 и
2, а также горизонтальные перемещения
Z3 и
Z4 соответствующих фиктивных связей
3 и
4. Значения неизвестных определяются в результате решения системы из четырех канонических уравнений:

;

;

;

,
где

;

;

;

;

;

;

;

;

;

;

;

;

;

.
Если рама и сдвижение основания симметричны, то
Z3 =
Z4 = 0. Единственным неизвестным является значение продольной силы
X1 =
X2, которое определяется по
формуле (43) при указанных в данном примере значениях

и

.
Рис. 47. Расчетная схема рамы и основная система к примеру 6
Примечание. Сложные рамы целесообразно рассчитывать с помощью электронных вычислительных машин (ЭВМ). Для обеспечения возможности использования существующих программ расчета рам на ЭВМ приведенные выше расчетные схемы несколько преобразуются. Фундамент и упругое основание каждой стойки заменяются системой из двух балок, эквивалентных по жесткости упругому основанию и шарнирно сопряженных между собой и с жесткими опорами <1>. В результате расчет рамы на заданные перемещения упругого основания сводится к расчету преобразованной стержневой системы на заданные перемещения ее жестких опор.
--------------------------------
<1> С.Н. Клепиков. Расчет конструкций на упругом основании. Киев, "Будивельник", 1967, стр. 126 - 133.
ТАБЛИЦЫ СХЕМ, ГРАФИКОВ И ФОРМУЛ ДЛЯ РАСЧЕТА РАМ
НА ПОСТОЯННЫЕ И ВРЕМЕННЫЕ НАГРУЗКИ
I. Реакции и моменты стойки с шарнирно неподвижной опорой. Перемещение фундамента стойки |
1 | |  ;  ; |
 ; u0 = qha0p - T2a02 |
2 | |  ;  ; |
 ; u0 = Pa0p - T2a02 |
3 | |  ;  ;  ; |
 ; u0 = Pa0p - T2a02 |
4 | |  ;  ;  ; |
 ; u0 = Pa0p - T2a02 |
5 | |  ;  ; |
 ; u0 = ma0p - Ta02 |
6 | |  ;  ;  ; |
 ; u0 = ma0p - Ta02 |
7 | |  ;  ;  ; |
 ; u0 = ma0p - Ta02 |
II. Реакции и моменты стойки с защемленным концом. Перемещения фундамента стойки |
8 | |  ;  ;  ; |
 ; u0 = M2a00 + qha0p - T2a02 |
9 | |  ;  ;  ; |
 ; u0 = M2a00 + Pa0p - T2a02 |
10 | |  ;  ;  ; |
 ; u0 = M2a00 + Pa0p - T2a02 |
11 | |  ;  ;  ;  ; |
 ; u0 = M2a00 + Pa0p - T2a02 |
12 | |  ;  ;  ; |
u0 = (M2 + m)a00 - Ta02 |
13 | |  ;  ;  ; |
u0 = (M2 + m)a00 - Ta02 |
14 | |  ;  ;  ;  ; |
u0 = (M2 + m)a00 - Ta02 |
III. Моменты и реакции Г-образной рамы с защемленным ригелем |
15 | |  ;  ;  ;  , где  ; |
16 | |  ;  ;  , где  ; |
17 | |  ;  ;  ;  ; |
18 | |  ;  ;  ;  ;  ; |
19 | | M1 = Th - M2 - m;  ;  ;  ;  , где  ; |