Главная // Актуальные документы // ГрафикСПРАВКА
Источник публикации
М.: ЦБНТИ Минавтодора РСФСР, 1987
Примечание к документу
Название документа
"Методические рекомендации по расчетам мостовых переходов"
(утв. Протоколом секции НТС Гипродорнии от 26.11.1985 N 10)
"Методические рекомендации по расчетам мостовых переходов"
(утв. Протоколом секции НТС Гипродорнии от 26.11.1985 N 10)
секцией НТС Гипродорнии
Протокол N 10
от 26 ноября 1985 года
МИНИСТЕРСТВО АВТОМОБИЛЬНЫХ ДОРОГ РСФСР
МЕТОДИЧЕСКИЕ РЕКОМЕНДАЦИИ
ПО РАСЧЕТАМ МОСТОВЫХ ПЕРЕХОДОВ
Проектирование мостовых переходов включает большой комплекс расчетов, важнейшей частью которых являются гидрологические, гидравлические и русловые расчеты, во многом определяющие генеральные размеры переходов.
Необходимость разработки данного документа вызвана значительным совершенствованием методов расчета после выхода в свет в 1980 г. Методических рекомендаций по гидравлическим и русловым расчетам мостовых переходов (Гипродорнии).
Методические рекомендации содержат вопросы, получившие в последние годы значительное развитие.
Рекомендации составлены канд. техн. наук Г.С. Пичуговым при участии инженеров Э.С. Буянова
(разд. 3), М.А. Сумина
(п. 7.3) и Ю.С. Коробкина
(п. 10.3) - Гипродорнии, а также канд. техн. наук Л.Д. Когана
(п. 10.5) - Ростовский-на-Дону филиал Гипродорнии.
Замечания и пожелания просим направлять по адресу: 109089, Москва, наб. Мориса Тореза, 34, Гипродорнии.
Директор Гипродорнии,
канд. техн. наук
Е.К.КУПЦОВ
Ответственный за выпуск | Г.С. Пичугов |
Редакторы | Е.В. Столетова |
В.Н. Капусткина |
Корректор | Г.Ф. Иванова |
Гидрологические, гидравлические и русловые расчеты - основа для назначения отверстий мостов, глубины фундирования опор, размеров искусственных уширений подмостовых русел, отметок бровок земляного полотна на подходах, назначения укрепления и т.д.
Расчет оптимального отверстия моста следует производить в комплексе с расчетом назначения глубины фундирования опор и учетом возможных отрицательных последствий, которые могут появиться после постройки мостового перехода.
При назначении отверстия моста, определении глубины заложения фундаментов опор, проектировании регуляционных сооружений необходимо учитывать возможные природные деформации русла, наблюдающиеся на водотоках в бытовых условиях и часто интенсифицирующиеся после постройки перехода. Плановые природные деформации могут вызвать смещение русла в пределах отверстия моста с приближением к устоям, излучины реки могут приблизиться к насыпи подходов и угрожать ее сохранности. Помимо этого, может увеличиться ширина русла под мостом. Глубинные природные деформации (в зависимости от типа руслового процесса) могут вызвать смещение максимальной глубины воды на участке реки в районе перехода как в поперечном, так и продольном направлении.
Избежать негативное влияние природных деформаций на работу мостового перехода можно путем их учета при назначении генеральных размеров перехода и соответствующей регуляцией руслового потока (спрямление русла, устройство укреплений берегов, поперечных и продольных регуляционных сооружений).
Уширения подмостовых русел могут обусловливаться стеснением паводкового потока подходами к мосту, приводящим к искусственному изменению руслоформирующего расхода на участке мостового перехода.
Глубину фундирования опор определяют по сумме общего и местного размыва с учетом возможных глубинных природных деформаций.
При проектировании мостового перехода следует рассматривать целесообразность устройства одного или нескольких отверстий.
Дополнительные мосты на переходах необходимы при наличии проток, используемых под судоходство, для целей водоснабжения и нужд рыбного промысла, а также для снижения общего подпора перед мостовым переходом и уменьшения подтопления населенных пунктов, предприятий и ценных угодий, сохранения лесного массива и уменьшения заболачиваемости пойм, улучшения условий судоходства в основном русле реки и уменьшения размыва, а следовательно, и глубины фундирования опор и т.д.
В некоторых случаях для осушения бессточных частей пойм, а иногда для водоснабжения и нужд рыбного промысла устанавливают водопропускные трубы. Наличие на пойме их практически не влияет на гидравлическую работу основного руслового моста и величину подпоров и размывов. Гидравлический расчет пойменных труб нужно производить по перепаду уровней с верховой и низовой сторон насыпи, учитывая наихудшие условия, которые могут возникнуть при том или ином уровне.
Рассчитывать глубинные и боковые русловые деформации и подпоры (включая расчет групповых отверстий) на мостовых переходах следует (особенно в сложных случаях проектирования и на судоходных реках) с помощью ЭВМ по программе Гидрам-3 и Рур-1
[1] или упрощенным методом расчета, приведенным ниже.
Методы расчета, изложенные в Методических рекомендациях, полностью соответствуют требованиям указаний по расчету мостов на воздействие водного потока
СНиП 2.05.03-84 [2].
Вопросы охраны окружающей среды при проектировании мостовых переходов освещены в [
3.
4].
Подготавливать исходные данные, определять состав необходимых полевых работ и расчетов и выполнять их оформление следует в соответствии с Методическими рекомендациями по оформлению материалов инженерно-гидрологических обоснований и расчетов мостовых переходов (Гипродорнии, 1982).
2. ОПРЕДЕЛЕНИЕ РАСЧЕТНЫХ ГИДРОЛОГИЧЕСКИХ ХАРАКТЕРИСТИК
Основным документом для определения расчетных расходов и уровней (при наличии данных наблюдений) и расчетных расходов (при их отсутствии) является
СНиП 2.01.14-83 [5].
При наличии данных наблюдений расчетные расходы и уровни определяют методом математической статистики. Рекомендуется при расчете на ЭВМ использовать программу для аналитической аппроксимации гидрометрических зависимостей ГИМА-2
[6].
Если за короткий период времени наблюдений (< 50 лет) зафиксированы один или два редких паводка, то их эмпирическую вероятность превышения (P
э) следует определять по формуле
[7].

(2.1)

, (2.2)
где a - параметр, учитывающий длину ряда наблюдений;
m - номер члена в ранжированном ряду;
n - число членов ряда.
Эмпирическую вероятность остальных членов, рекомендуемую
[5], можно определять по формуле:

. (2.3)
При таком расчете ряд становится более "гладким".
Ряды максимальных уровней более "спокойные", чем ряды соответствующих им расходов. Коэффициенты асимметрии рядов максимальных уровней близки нулю, а их коэффициенты вариации незначительны, поэтому, если ряд включает уровни высоких паводков, то для статистической обработки пригодны ряды, содержащие 7 - 10 членов.
Характер распределения уровней, при которых заливается пойма, и расположенных ниже бровки русла, различны, поэтому графическую экстраполяцию до уровня расчетной вероятности следует производить по уровням воды выше средней отметки поймы. Более низкие максимальные уровни могут быть приведены к уровням, распределение которых отражает влияние поймы (Hi).

, (2.4)
где Hбр - отметка бровки русла;
Bбр и Bп - ширина русла между бровками и поймы;
Hр - отметка первоначального максимального уровня;
mп и mр - коэффициент ровности поймы и русла.
Если ветвь с уровнями выше средней отметки поймы достаточно длинная, эти же уровни могут быть получены графическим путем по кривой Q = f(H).
Если обработку рядов уровней производят без ЭВМ, то следует пользоваться не аналитическим расчетом, а графической экстраполяцией с использованием клетчатки нормального распределения с равномерной вертикальной шкалой.
Наиболее надежный перенос данных наблюдений (расходов и уровней) с водомерного поста на створ мостового перехода осуществляют по кривой связи, для чего во время паводка в период изысканий следует произвести измерение уровней и расходов в возможно большем диапазоне их изменения.
При отсутствии кривой связи расчетные расходы могут быть перенесены в створ мостового перехода методом аналогии
[5].
Перенос уровней воды по уклону водной поверхности применим для равнинных рек в том случае, если между створами нет плотин и порогов, а общее превышение уровней воды - не более 2 - 3 м.
Для приближенной оценки уровней можно применять способ "равных превышений", который основан на том, что в морфологически одинаковых створах превышения уровней одной и той же вероятности превышения (ВП) над меженными уровнями, зафиксированными одновременно, равны. Наибольшую трудность представляет оценка морфологической ровности створов.
При выполнении гидрологических расчетов следует иметь в виду, что расчетные уровни являются более важной характеристикой для расчета генеральных размеров мостовых переходов, чем расчетные расходы.
На недостаточно изученных реках расчетный уровень высоких вод (РУВВ) при известном расчетном расходе может быть определен морфометрическим способом по кривой Q = f(H). Следует учитывать, что из-за субъективности назначения коэффициентов шероховатостей поймы (по общепринятым таблицам), а при отсутствии гидрометрических работ и русла точность расчета не велика. В этом случае для определения РУВВ дополнительно должны быть использованы другие способы, а, главным образом, установление отметок наивысших уровней по указаниям старожилов. С целью выявления фактических высоких уровней за возможно больший срок необходимо тщательно опросить возможно большее число старожилов данного района. Сведения об уровнях высоких вод нужно собирать не только в районе перехода, но и значительно выше и ниже его по течению. Используя данные водомерных постов на данной реке или в крайнем случае на реке аналоге, следует определить ВП паводков в годы, к которым относятся зафиксированные уровни.
Вероятность превышения уровня, соответствующего наибольшему паводку или одному из наибольших за период n лет, может быть определена по
формуле (2.3).
Расчеты будут более достоверны, если Pэ получают по нескольким высоким уровням, прошедшим за определенный период времени.
В необжитых районах высокие уровни могут быть установлены по следам на местности: смывы на берегах рек, ветви и трава (оставшиеся на кустах и деревьях на пойме), следы наносов на коре деревьев, отложения наносов на пологих откосах берегов и т.д. На размываемых крутых берегах граница между пляжем, идущим к реке с уклоном примерно 1:10, и крутым берегом с уклоном 1:2 обычно соответствует уровню средневысоких паводков, а высокий исторический паводок находится выше на откосе крутого берега. При определении высших заторных уровней воды можно использовать работы [
5,
8,
9].
Все полученные различными способами уровни высоких вод должны быть проанализированы: за расчетные следует принимать не среднеарифметические, а те, которые определены на основе более надежных методов.
Современные методы проектирования мостовых переходов предполагают расчет по реальным паводкам, имеющим подъем, спад и ограниченную длительность, поэтому особое внимание должно быть уделено построению расчетных гидрографов. За расчетные принимают гидрографы, создающие наиболее неблагоприятные условия для работы переходов. Следует иметь в виду, что, чем больше длительность паводка и его полнота, тем опаснее он для сооружений мостовых переходов. Расчетные гидрографы строят в соответствии со
СНиП 2.01.14-83 [5].
Одна из важнейших характеристик для расчета генеральных размеров сооружений мостовых переходов - распределение общего расчетного расхода между руслом и поймами, которое следует производить по морфоствору на оси перехода (при нормальном пересечении руслового и пойменных потоков) или в непосредственной близости от нее. Если направления руслового и пойменных потоков не совпадают, то разбивают створы, ломаные в плане. Границами морфоствора служат отметки земли, превышающие РУВВ на 1 - 2 м над уровнем весенних половодий и на 2 - 3 м - над уровнем ливневых паводков. Оформлять продольный профиль морфоствора следует согласно рекомендаций НИМП-72, гл. III
[10]. Ситуацию местности с определением морфологических признаков необходимо снимать не менее чем на 100 м в верховую и низовую сторону от оси морфоствора. Морфологическими признаками являются: протоки, староречья, озера, определяющие течения на пойме, прорывы перешейков излучин русла, растительность (деревья, кусты, травы) на поймах, постройки и различного рода сооружения. На основании этих признаков по соответствующим таблицам [
10 -
12] устанавливают значения коэффициентов шероховатости для различных частей морфоствора.
Наличие выше или ниже по течению от морфоствора участков с большей шероховатостью, чем принята для данного участка, не влияет на протекание воды при соблюдении условия
[12]:
где lф - среднее расстояние по направлению течения от морфоствора до границы участка с повышенной шероховатостью, м;
hп - средняя глубина воды на границе участка с повышенной шероховатостью, м.
Если участки с повышенной шероховатостью расположены с обеих сторон от морфоствора, то при соблюдении в каждую сторону
условия (2.5) среднее расстояние

между границами верхового и низового участков с повышенной шероховатостью должно быть:

. (2.6)
Наличие выше или ниже морфоствора участков с меньшей шероховатостью, чем принята, на условия протекания воды практически не влияет.
При несоблюдении
условия (2.5) за расчетное значение шероховатости n
р принимают:

, (2.7)
где n1 и n2 - коэффициенты шероховатости по оси морфоствора и для участка с большей шероховатостью;

, (2.8)
где

- среднее значение шероховатости для участков с повышенной шероховатостью выше и ниже морфоствора.
Для определения уклона свободной поверхности потока следует снимать продольный профиль русла реки, оформление которого следует производить по НИМП-72, гл. III
[10].
Продольный профиль свободной поверхности воды в межень может значительно отличаться от профиля в паводке. На уровне выхода воды на пойму уклон потока приближается к среднему уклону дна русла на данном участке реки. При выходе воды на пойму на уклон потока начинают влиять спрямляющие течения между излучинами русла, а также изменения плана и ширины речной долины. Сужение поймы вызывает уменьшение уклона, а ее расширение - увеличение. Спрямляющие течения на пойме также увеличивают уклон. При значительной кривизне русла за уклон потока при РУВВ можно принимать уклон долины, снятый с картографических материалов. Выполнение гидрометрических работ с измерением скоростей течения в русле даже при меженном уровне значительно повышает точность гидрологических расчетов. Такие измерения позволяют определить коэффициент шероховатости русла при межени и начальную точку кривой Q = f(H). На сложных в гидрологическом отношении мостовых переходах гидрометрические работы следует производить в паводочный период при возможно большем диапазоне уровней воды. Определение расходов воды при проектировании мостовых переходов в зоне воздействия некапитальных плотин см
[13].
3. КОМПЛЕКСНЫЙ АВТОМАТИЗИРОВАННЫЙ РАСЧЕТ МОСТОВЫХ ПЕРЕХОДОВ
3.1. Основные принципы расчета
Комплексный расчет мостовых переходов рекомендуют производить на ЭВМ по программам "Гидрам-3" и "Рур-1", являющимися реализацией методологии комплексного расчета мостовых переходов
[1].
Программа "Гидрам-3" записана на языке "Фортран-IV" и позволяет при проектировании переходов решать следующие задачи:
расчет во времени общих размывов под мостами как при однородном, так и слоистом строении русла (с учетом возможной отмостки дна крупными фракциями);
построение кривых свободной поверхности потока с учетом взаимодействия с русловыми деформациями;
анализ работы искусственных уширений русел (срезок);
расчет возможных русловых деформаций на значительном протяжении вверх и вниз от оси моста с целью определения возможных размывов существующих и проектируемых переходов коммуникаций (нефтепроводов, газопроводов, кабельных переходов и т.д.); прогноза условий судоходства; назначения расчетных судоходных уровней (РСУ) с учетом допустимых для судоходства скоростей течения;
оценка влияния выработок грунта в руслах рек на работу мостовых переходов и других гидротехнических сооружений;
учет взаимодействия нескольких мостовых переходов при расчетах русловых деформаций и кривых свободной поверхности;
расчет мостовых переходов в нижних бьефах плотин, в подпоре и в условиях регрессивной эрозии;
прогноз заиления водохранилищ.
В отличие от существующих наиболее совершенных программ расчета русловых деформаций на мостовых переходах программа "Гидрам-3" наиболее полно учитывает факторы, определяющие процесс деформаций и конечную их величину, имеет меньшее число допущений, принимаемых при решении основных дифференциальных уравнений и решает более широкий круг инженерных вопросов, возникающих при проектировании. Она учитывает нелинейность изменения руслового расхода по длине потока, а также петлеобразность кривых уклонов Y = f(H) скоростей V = f(H) и расходов Q = f(H) для каждого конкретного паводка. Расход наносов руслоформирующих фракций вычисляется как по данным натурных измерений, так и по теоретико-эмпирическим формулам. При расчетах размывов учитывается возможное слоистое геологическое строение размываемых русел. Одновременно с расчетом хода русловых деформаций осуществляется построение кривых свободной поверхности по длине зоны влияния мостового перехода и таким образом учитывается взаимное влияние в ходе паводков размыва на подпор и подпора на размыв.
Для расчета уширения русел служит программа "Рур-1", позволяющая при проектировании мостовых переходов решать следующие задачи:
определение координат зон самоуширения подмостовых русел и наибольшего искусственного уширения;
расчет вероятного самоуширения, а также искусственного уширения подмостовых русел при геологическом ограничении глубинного размыва;
определение рациональных величин отверстий мостов с учетом уширения подмостовых русел.
Основу программ комплексного расчета мостовых переходов составляет одновременное решение в конечных разностях трех дифференциальных уравнений:
баланса наносов (закон сохранения твердой фазы руслового потока):

, (3.1)
неразрывности потока (закон сохранения жидкой фазы):

, (3.2)
неравномерного, плавно изменяющегося течения неустановившегося потока в открытых непризматических руслах (закон сохранения энергии):

, (3.3)
где G - расход наносов руслоформирующих фракций, кг/с; B
р - ширина русла, т.е. фронта переноса наносов, м; l
р - длина по руслу, м; t - время, с; h
р - глубина потока в русле, м; l - длина по оси потока, м; Q - общий расход воды, м
3/с; w - площадь живого сечения, м
2;

- коэффициент Кориолиса;

- коэффициент Буссинеска; g - ускорение силы тяжести, м/с
2; К - расходная характеристика, м
3/с; Y
б - уклон свободной поверхности потока; V - средняя скорость течения, м/с.
3.2. Исходная информация и результаты расчета по программе "Гидрам-3"
Для расчета мостового перехода по программе "Гидрам-3" необходимо с помощью обработки исходной информации создать цифровые модели мостового перехода и водного потока.
Реальная картина створа мостового перехода в программе "Гидрам-3" заменена моделью, представляющей створ в виде прямоугольных русла и пойм (при

). Для приближения модели морфоствора к реальной картине в исходную информацию вводятся коэффициенты поймы

и русла

, которые изменяют прямоугольное очертание поймы и русла на треугольное, сохраняя при этом средние отметки дна (см. рис. 1).
Рис. 1. Схема к определению коэффициентов формы русла и пойм
При определении коэффициентов поймы и русла по формуле

необходимо критически относиться к выбору максимальной глубины потока. Не следует принимать максимальные глубины, которые образуются в результате локального резкого понижения отметок дна.
Правильность составления исходной информации по описанию створа мостового перехода и водомерных графиков определяют по следующим неравенствам:
Hmax р > Hmin п, (3.4)
Hм >= Hmax р, (3.5)
где Hmax р = Hд + (hmax р - hср р);
Hmin п = Hп - (hmax п - hср п);

.
Программа "Гидрам-3" предусматривает расчет по длительной серии паводков; его можно производить по натурной серии паводков с вводом в ЭВМ каждого фактического паводка без схематизации в ежедневных отсчетах уровня воды на ближайшем к оси перехода водомерном посту. Водомерные графики фактических паводков автоматически переносятся по кривой связи на ось моста. Координаты кривой связи заполняются в соответствующей таблице исходных данных и вводятся в ЭВМ в виде криволинейных отрезков.
На реках с устойчивым гидрографом (когда конфигурация водомерных графиков приблизительно одинакова и отличается только высотой подъема паводка) вполне допустимо вести расчеты по типовой серии. В этом случае в ЭВМ вводится в табличной форме лишь один, наиболее характерный для всей серии водомерный график паводка, представленный в виде нескольких отрезков кривых, каждый из которых задается тремя точками.
При задании типового паводка особое внимание следует уделять положению точек отрезков кривых. При этом необходимо избегать такого задания точек, которое может привести к резкому перелому кривых на пике паводка. Плавность перехода от подъема к спаду водомерного графика определяет устойчивость работы программы.
Первая зона исходных данных
1. H
д - средняя отметка дна русла до размыва
(рис. 2) определяется по формуле

, (3.6)
где Hр% - отметка уровня высокой воды (УВВ), м;
wр - площадь живого сечения в русле при заданном уровне, м2;
Рис. 2. Схема к определению средней отметки дна
русла до размыва
2. Aд1 = f(d) - характеристика донных наносов первого размываемого слоя.

, (3.7)
где r - порозность наносов;
d - средняя крупность наносов, м;

- объемный вес материала наносов, кг/м
3.
3. Aв1 = f(d) - характеристика взвешенных наносов первого размываемого слоя для dср <= 5 мм (при dср > 5 мм Aв = 0);
| | ИС МЕГАНОРМ: примечание. Формула дана в соответствии с официальным текстом документа. | |

, (3.8)
где W - гидравлическая крупность наносов, т.е. скорость выпадения частиц в спокойной воде (табл. 1), м/с.
d, мм | W, м/с | d, мм | W, м/с | d, мм | W, м/с | d, мм | W, м/с |
0,01 | 0,0001 | 0,35 | 0,0378 | 0,90 | 0,088 | 4,00 | 0,223 |
0,05 | 0,0018 | 0,40 | 0,0432 | 1,00 | 0,094 | 4,50 | 0,237 |
0,10 | 0,0069 | 0,45 | 0,0468 | 1,50 | 0,126 | 5,00 | 0,249 |
0,15 | 0,0156 | 0,50 | 0,054 | 2,00 | 0,153 | | |
0,20 | 0,0216 | 0,60 | 0,065 | 2,50 | 0,177 | | |
0,25 | 0,0270 | 0,70 | 0,073 | 3,00 | 0,193 | | |
0,30 | 0,0324 | 0,80 | 0,081 | 3,50 | 0,209 | | |
Средняя крупность наносов

, (3.9)
где pi - содержание данной фракции в смеси, %;
di - средний диаметр частиц i-й фракции, м.
Для определения характеристики A
д и A
в можно воспользоваться графиками (рис. 3), составленными по
формулам (3.7) и
(3.8) при усредненных значениях объемного веса материала наносов

и порозности грунта r = 0,65.
Рис. 3. Графики для определения коэффициентов A
д и A
в:

- донные наносы;

- взвешенные наносы
4.

- принимается по таблице неразмывающих скоростей в соответствии с крупностью частиц грунта первого слоя
(табл. 2);

- неразмывающая донная скорость течения для грунтов данной крупности, м/с;
d1 - средняя крупность наносов, м.
Грунт | Разновидность | d, мм | Vнд м/с | Vнд/d1/6 |
1 | 2 | 3 | 4 | 5 |
Песок | Мелкий | 0,05 - 0,25 | 0,20 | 0,55 - 0,60 |
| Средний | 0,25 - 1,0 | 0,20 | 0,60 - 0,65 |
| Крупный | 1,0 - 2,5 | 0,20 - 0,25 | 0,65 - 0,70 |
Гравий | Мелкий | 2,5 - 5 | 0,25 - 0,35 | 0,70 - 0,85 |
| Средний | 5 - 10 | 0,35 - 0,50 | 0,85 - 1,10 |
| Крупный | 10 - 15 | 0,50 - 0,60 | 1,10 - 1,20 |
Галька | Мелкая | 15 - 25 | 0,60 - 0,80 | 1,20 - 1,50 |
| Средняя | 25 - 40 | 0,80 - 1,00 | 1,50 - 1,70 |
| Крупная | 40 - 75 | 1,00 - 1,35 | 1,70 - 2,10 |
Булыжник | Мелкий | 75 - 100 | 1,35 - 1,60 | 2,10 - 2,35 |
| Средний | 100 - 150 | 1,60 - 1,95 | 2,35 - 2,60 |
| Крупный | 150 - 200 | 1,95 - 2,25 | 2,60 - 2,95 |
Валуны | Мелкие | 200 - 300 | 2,25 - 2,75 | 2,95 - 3,35 |
| Средние | 300 - 400 | 2,75 - 3,15 | 3,35 - 3,70 |
| Крупные | 400 | 3,15 | 3,70 |
5. Hг - средняя отметка геологического ограничения, либо слоя грунта иной крупности, м. При расчетах размывов в грунтах одного состава целесообразно принимать Hг = Hд.
6.

- характеристика донных наносов второго размываемого слоя. Определяется по
формуле (3.7) либо по графикам (см.
рис. 3).
7.

- характеристика взвешенных наносов второго размываемого слоя. Определяются по
формуле (3.8) либо по графикам (см.
рис. 3).
8.

- принимается по
табл. 2 в соответствии с крупностью грунтов второго слоя.
9. Hп - средняя отметка поймы. Определяется по формуле:

, (3.10)
где

- сумма площадей живых сечений на пойме при заданном уровне, м
2.
10. Hм - уровень меженных вод, м. Принимается равным условному уровню межени типового водомерного графика и должен удовлетворять неравенству:

, (3.11)
где hср - средняя глубина в русле при УВВ, м.
11. B0 - ширина разлива при высоком уровне воды, м.
12. Bрб - бытовая ширина русла, определяемая как среднее арифметическое нескольких измерений ширины русла на исследуемом участке реки, м.
13. Yб - бытовой уклон свободной поверхности, за который принимается уклон долины в районе перехода.
14. HQ - уровень высокой воды, при котором известно распределение общего расхода между элементами живого сечения (руслом и поймами), м.
15. Q - общий расход при HQ, м3/с.
16. Qрб - русловой бытовой расход при HQ, м3/с.
17. Hт - уровень высокой воды типового паводка (при расчетах по типовой серии паводков), м.
18. tпд - время подъема типового паводка, сут.
19. tпв - продолжительность типового паводка, сут.
20. "О" графика - отметка "О" графика по водпосту по оси мостового перехода.
При расчете по серии типовых паводков значение "О" графика безразлично.
21. Lмв - отверстие верхового моста в свету, м.
22. Lвхв - ширина входного сечения в зону, охватываемую струенаправляющими дамбами, м.
23. Xв - расстояние от границы разлива до середины моста со стороны малой поймы, м (рис. 4).
Рис. 4. Схема к определению зон влияния пойм разной ширины
Для исключения из расчета верхового моста принимается
Lмв = B0;
L
вхв = B
0;

; l
рв = 0;

.
24. lдв - длина зоны, охватываемой струенаправляющими дамбами верхового моста, м.
25. lрв - то же, растекания за верховым мостом, м.
Определяется: а) по приближенной формуле

,
где lмп и lбп - ширина соответственно малой и большой пойм, м;
б) на основе результатов построения плана течений на мостовом переходе;
в) на основе результатов моделирования в гидротехнических лотках, либо по данным натурных наблюдений.
26. Lмн - отверстие низового моста в свету, м.
27. Lвхн - ширина входного сечения в зону, охватываемую струенаправляющими дамбами, м.
28. X
н - расстояние от середины моста до границы разлива со стороны той же поймы, что и для верхового моста (см.
рис. 4), м. Для исключения из расчета низового моста принимается L
мн = B
0;
L
вхн = B
0;

и l >= l
рв.
29. lдн - длина зоны, охватываемой струенаправляющими дамбами низового моста, м.
30. lрн - длина зоны растекания потока за низовым мостом, м.
31. lб - длина исследуемого участка реки ниже зоны растекания, м.
32. l - расстояние от входного сечения в зону, охватываемую струенаправляющими дамбами низового моста, до низовых струенаправляющих дамб верхового моста, либо до створа плотины, м. Если из расчета исключается верховой мост, то l принимается не менее длины зоны сжатия потока перед низовым мостом, т.е.

.
Если из расчета исключается низовой мост, то l принимается не менее длины зоны растекания потока за верховым местом, т.е.
l >= lрв.
При расчете мостового перехода в нижнем бьефе плотины из расчета исключается верховой мост и l принимается равной расстоянию от плотины до верховых струенаправляющих дамб моста.
33. n - коэффициент, характеризующий закон растекания потока за мостом (рис. 5).
Рис. 5. Возможные схемы растекания потока за мостом:
1 - n = 2; 2 - n = 1; 3 - n = 0,58
где n = 2 - растекание по И.В. Лебедеву;
n = 1 - линейный закон растекания;
n = 0,58 - растекание по В.С. Ищенко.
Значение величины n в пределах от 0,58 до 2,0 принимается тем большим, чем меньше шероховатость пойм и чем больше степень их затопления. В каждом случае n желательно уточнять построением планов течения на мостовых переходах, данными моделирования в гидротехнических лотках, а также результатами натурных наблюдений. Обычно для равнинных рек можно принимать n = 0,75, а для горных

.
34.

- расчетный интервал длины, м. Ориентировочно принимается равными

при

.
35.

- расчетный интервал времени назначается не более 0,5 сут. Значения

принимаются обязательно кратными 1 сут (0,5; 0,33333...; 0,25; 0,16666...; и т.д.); Предпочтительное значение

. Если в зоне растекания потока появляются всплески отметок дна или произойдет зацикливание машины, интервал времени

следует уменьшить. Если же при этом всплески отметок дна не исчезнут, то необходимо увеличить расчетный интервал длины

в зоне растекания потока. Расчетный интервал времени

следует принимать тем меньшим, чем меньше длительность паводка, больше стеснение потока и мельче переносимые рекой наносы.
36.

- интервал выдачи промежуточных результатов, сут (если выдачи промежуточных результатов не требуется, то принимается равным нулю).
37. f - количество рассчитываемых паводков.
38.

- коэффициент поймы

, (3.12)
где hmax п - максимальная глубина на пойме при УВВ, м;
hср п - средняя глубина на пойме при УВВ, м.
39. Коэффициент русла

, (3.13)
где hmax р - максимальная глубина в русле при УВВ, м;
hср.р - средняя глубина в русле при УВВ, м.
Значения

и

должны быть меньше двух.
Перечисленная информация составляет первую зону исходных данных. Конец зоны обозначается перфокартой с маркером конца ввода.
Вторая зона исходных данных
1. Координаты кривой связи водопостов вводятся в машину в табличной форме, при этом отрезки, составляющие указанную кривую, автоматически аппроксимируются интерполяционным полиномом Лагранжа (рис. 6). Кривая связи должна быть экстраполирована до наивысшего уровня высокой воды, который может встретиться в процессе расчета.
Рис. 6. Замена кривой связи уровней полиномами Лагранжа
Данные о кривой связи необходимы лишь при расчетах по натурной серии фактических паводков. Координаты кривой связи, которые представляются в отсчетах рейки водопостов, автоматически записываются в оперативное запоминающее устройство.
Количество узлов интерполяции должно быть обязательно нечетным, но не менее трех и не более пяти.
2. Hт = f(t) - типовой водомерный график паводка. При расчетах на натурной серии типовых паводков (на реках с устойчивым гидрографом) в машину вводится лишь один наиболее характерный для всей серии (типовой) водомерный график паводка, представляемый в виде нескольких отрезков кривых, каждый из которых автоматически аппроксимируется с помощью полинома Лагранжа по трем узлам интерполяции (рис. 7). Каждый паводок характеризуется лишь одним максимальным уровнем Hi. В машине Hi каждого года сравнивается с наибольшим уровнем (Hт) типового паводка

,
Рис. 7. Замена типового водомерного графика
паводка рядом полиномов Лагранжа
затем, умножая каждую ординату водомерного графика типового паводка на коэффициент Ki, строится водомерный график Hi = f(t) рассматриваемого года (рис. 8).
Рис. 8. Сохранение типового очертания водомерных графиков
паводков за разные годы
Координаты типового водомерного графика, который представляется в отметках водопоста по оси мостового перехода, необходимы лишь при расчете по натурной серии типовых паводков.
Время подъема паводка следует принимать кратным 1 сут.
Точки, где функция H = f(t) теряет монотонность, должны находиться на стыках отрезков кривых (см.
рис. 7).
Число узлов интерполяции принимается обязательно нечетным, не превышающим 31.
3. Hi - наивысшие уровни высокой воды паводков в хронологической последовательности. При расчете по натурной серии типовых паводков водомерный график каждого года характеризуется лишь одним максимальным уровнем.
Уровни высокой воды представляются в отметках водопоста по оси перехода.
4. Bрm - ширина русла в расчетных створах (при необходимости расчета с переменной шириной фронта переноса наносов или при устройстве искусственного уширения русла-срезки).
Для сокращения объема исходной информации в соответствующие ячейки вводятся лишь те значения ширины русла Bрm, которые отличаются от бытового. Остальные ячейки автоматически заполняются значениями бытовой ширины русла Bрб. При расчете с постоянной шириной фронта переноса наносов Bрm = const в соответствующие ячейки автоматически записывается величина Bрб.
5.

- длина расчетных участков (при необходимости вести расчет с переменной длиной между расчетными створами). В машину достаточно ввести лишь те значения

, которые отличаются от расчетного, записанного в первой зоне исходных данных. При расчетах с постоянной длиной интервала

в соответствующие ячейки автоматически заносится величина

. Общее количество расчетных участков не должно превышать 199.
6.

- проекции расчетных интервалов длины на ось долины (при необходимости вести расчет с учетом извилистости русла). При расчете с постоянной длиной расчетного интервала и без учета извилистости русла в соответствующие ячейки автоматически заносится величина

, содержащаяся в первой зоне исходных данных.
7. Hрm - средние отметки дна до размыва.
Общее количество створов не должно превышать 200.
В соответствующие ячейки вводятся лишь те отметки дна, которые существенно отличаются от средней бытовой отметки дна русла до размыва по оси моста Hд. Остальные ячейки автоматически заполняются величиной Hд. Следует учитывать поправку на уклон долины реки Ylm (где lm - расстояние от оси моста до данного створа). Поправка принимается со знаком минус для створов выше моста и со знаком плюс для низовых створов русла.
8. Hг - средние отметки геологического ограничения или грунта, отличающегося по составу от современного аллювия (донных отложений).
Общее количество точек не должно превышать 200.
В соответствующие ячейки вводятся лишь те отметки геологического слоя, которые существенно отличаются от средней отметки геологического слоя по оси моста Hг. Остальные ячейки автоматически заполняются отметкой Hг. Следует учитывать поправку на уклон так же, как и для отметок дна до размыва.
Третья зона исходных данных
Необходима лишь при расчетах по натурной серии фактических паводков.
1. Hi = f(t) - водомерные графики паводков на опорном водопосту (ежедневные уровни в отсчетах рейки водопоста). Каждый водомерный график автоматически переносится на водопост по оси перехода с использованием кривой связи. В ходе счета осуществляется последовательный ввод исходной информации очередного рассчитываемого паводка.
Данные о водомерных графиках каждого рассчитываемого паводка необходимы лишь при расчетах по натурной серии фактических (без схематизации) паводков.
В конце исходной информации каждого паводка делается пробивка признака конца паводка (7777.). При расчете в подпоре перфокарта с признаком конца паводка размещается после исходной информации гидрографа паводка Qi = f(t).
Длительность одного паводка не должна превышать 99 сут. Если длительность его превышает указанное число, то такой паводок нельзя представлять двумя или тремя последовательными массивами.
Расчет русловых деформаций и кривых свободной поверхности при проектировании гидротехнических сооружений по серии натурных паводков сопровождается выдачей на печать следующей информации.
1. Исходные данные.
2. Информационная карта.
3. Признаки счета.
4. Уровни высокой воды паводков.
5. Длина расчетных участков.
6. Проекции длины расчетных участков на ось долины.
7. На ветви подъема паводка:
а) русловые бытовые расходы через 1 сут. Qрб = f(t), м3/с;
б) пойменные бытовые расходы через 1 сут. Qпб = f(t), м3/с;
в) абсциссы времени, сут.;
г) водомерный график ветви подъема паводка H = f(t) (уровни воды через 1 сут), м;
д) тахограф паводка на ветви его подъема.
Средние русловые скорости течения наибольшие на участке влияния мостового перехода, через 1 сут, м/с.
8. На пике каждого паводка:
а) ширина потока B
m = f(l) через

, м;
б) ширина русла B
рm = f(l) через

, м;
в) длина расчетных интервалов

, м;
г) расходы воды в створах русла (м
3/с) с учетом слива воды с пойм через

, м;
д) средние русловые скорости течения (м/с) через

, м;
е) средние отметки размытого дна русла H
рm = f(l) через

, м;
ж) кривая свободной поверхности

(изменение отметок свободной поверхности над бытовым уровнем высокой воды через

), м;
з) расходы руслоформирующих расходов (м
3/с) через

, м.
9. На ветви спада паводка:
а) русловые бытовые расходы Qрб = f(t) через 1 сут, м3/с;
б) пойменные бытовые расходы Qпб = f(t) через 1 сут, м3/с;
в) абсциссы времени, сут;
г) водомерный график ветви спада паводка H = f(t) (уровни воды через 1 сут), м;
д) тахограф паводка на ветви его спада Vрmx = f(t).
10. После прохода каждого паводка:
а) ширина потока, B
m = f(l) через

, м;
б) ширина русла, B
рm = f(l) через

, м;
в) длина расчетных интервалов

, м;
г) средние отметки размытого дна русла H
рm = f(l) через

, м;
д) средние отметки размытого второго геологического слоя H
г = f(l) через

, м.
3.3. Исходная информация и результаты расчета по программе "Рур-1"
В алгоритме программы "Рур-1" приняты цифровые модели мостового перехода и водного потока такие же, как и в программе "Гидрам-3", поэтому при составлении исходной информации к программе "Рур-1" следует обратить особое внимание на замечания и пояснения по составлению исходной информации к программе "Гидрам-3".
Первая зона исходных данных
1. Hд - средняя отметка дна русла до размыва.
3. A
в = f(d) - характеристика взвешенных наносов руслоформирующих фракций по
формуле (3.8).
4. V
нд/d
1/6 - принимается по
табл. 2.
5. Hг - средняя отметка кровли коренных пород, служащих ограничением общему размыву, м.
6. Hп - средняя отметка поймы, м.
7. B0 - ширина разлива при высоком уровне воды, м.
8. Bрб - бытовая ширина русла, м.
9. HQ - уровень высокой воды, при котором известно распределение общего расхода между руслом и поймами, м.
10. Q - общий расход при УВВ м3/с.
11. Qрб - русловой бытовой расход при УВВ м3/с.
12. t
пв - длительность паводка при наинизшем уровне по графику

(см. рис. 9), сут.
Рис. 9. Построение графика функции

13. Lм - отверстие моста в свету, м.
14. Lвх - ширина входного сечения в зону, охватываемую струенаправляющими дамбами, м.
15. X - расстояние от границы разлива до середины моста со стороны малой поймы, м.
16. lд - длина зоны, охватываемой струенаправляющими дамбами, м.
17. lR - длина зоны растекания потока, м.
18. n - коэффициент, характеризующий закон растекания потока за мостом.
19.

- расчетный интервал длины, м.
20.

- расчетный интервал времени, сут.
21.

- коэффициент поймы.
22.

- коэффициент русла.
23.

- точность определения руслоформирующего уровня воды РУВВ, м. Обычно величина

принимается равной

.
Вторая зона исходных данных
1.

- график среднемноголетней длительности превышения уровней воды более высокими в створе перехода, который представляется в виде нескольких отрезков кривых, каждый из которых автоматически аппроксимируется с помощью интерполяционного полинома Лагранжа (по трем узлам интерполяции); координаты графика данной функции представляются в системе отметок мостового перехода; количество узлов интерполяции должно быть не менее трех и не более девяти.
2.

- длина расчетных интервалов.
3.

- проекции длины расчетных интервалов на ось долины.
4. УЧЕТ ПРИРОДНЫХ РУСЛОВЫХ ДЕФОРМАЦИЙ
Возможные природные русловые деформации необходимо учитывать при проложении трассы мостовых переходов, назначении отверстий мостов, определении глубины фундирования опор, проектировании укрепительных и регуляционных сооружений.
Природные русловые деформации следует изучать при проведении изысканий мостовых переходов. В зависимости от типа руслового процесса по картографическим материалам и на месте нужно обследовать участок реки, по протяженности достаточный для правильного учета при проектировании возможных плановых и глубинных деформаций (см. НИМП-72, гл. VII
[10]).
При проектировании переходов нельзя ориентироваться только на русловую ситуацию, сложившуюся к моменту изысканий, а необходимо прогнозировать те неизбежные русловые деформации, которые могут произойти за расчетный срок службы перехода.
Для прогнозирования возможных русловых деформаций на участке перехода следует пользоваться имеющимися картографическими и топографическими материалами, аэросъемками, землеустроительными планами, лоцманскими картами разных лет издания, русловыми и береговыми съемками бассейновых управлений пути Минречфлота РСФСР, материалами предыдущих изысканий проектных организаций и др. Материалы, собранные за большее количество лет, дают возможность точнее прогнозировать природные деформации.
При прогнозе русловых деформаций следует учитывать разработку карьеров в руслах рек нерудных материалов, дноуглубительные и русловыправительные работы на судоходных реках и влияние гидротехнических сооружений, расположенных на реке выше и ниже мостового перехода.
В результате природных плановых деформаций смещение русла к устоям моста, а также вышележащей излучины к насыпи подходов может угрожать их сохранности; помимо этого, под мостом возможно увеличение ширины русла.
Глубинные природные деформации (в зависимости от типа руслового процесса) могут вызывать смещение максимальной глубины на участке реки в районе мостового перехода как в поперечном, так и в продольном направлении.
Тип руслового процесса данного участка реки определяется интенсивностью транспорта наносов. Различают следующие типы руслового процесса (в порядке уменьшения транспортирующей способности): осередковый (русловая многорукавность), ленточногрядовый, побочневый, меандрирование ограниченное, свободное, незавершенное, пойменная многорукавность. Ленточногрядовый, побочневый, а иногда и осередковый типы руслового процесса встречаются как на отдельных участках меандрирующих русел, так и при пойменной многорукавности.
При движении донных наносов на дне реки возникает макрошероховатость в виде мелких гряд - рифилей и более крупных - ленточных гряд и побочней. Длины рифелей составляют обычно одну-две глубины потока, а их высот - сотые доли глубины и редко достигают 0,1H (где H - средняя глубина потока). В плане рифели обычно имеют подковообразную форму. Более крупные гряды - ленточные - бывают высотой 0,1H - 0,3H (иногда - до 0,4H). Рифели могут сосуществовать с крупными грядами, передвигаясь по поверхности последних.
Высота гряд (превышение гребня над наинизшей точкой дна подвалья) на средних реках обычно 1,5 - 2,0 м, на больших реках - до 10 м. Скорость сползания гряд достигает сотен метров в год, а в некоторых случаях - до 1 км.
Высоту гряд при отсутствии данных натурных измерений можно принимать: h
г = 0,25H (при H менее 1 м) и h
г = 0,2 + 0,1H (при H более 1 м) или по рекомендациям
разд. 10.5.
Скорость сползания гряд может быть определена согласно [
14,
15]:

, (4.1)
где V - средняя скорость потока, м/с.
В течение паводка гряды претерпевают значительные изменения. Во время подъема уровней сначала наблюдается быстрое увеличение высоты и длины гряд, но при приближении к пику, если он достаточно высок, происходит обратный процесс - гребни гряд понижаются, хотя их длина продолжает расти. При очень больших скоростях даже возможен смыв гряд.
На спаде паводка грядовый рельеф быстро восстанавливается. При образовании больших глубин формируются длинные и высокие гряды, которые по мере спада перестраиваются под новые гидравлические параметры потока, но это происходит с некоторым запозданием. Нередко система больших гряд, созданных паводком, доживает до межени, а меженный поток развивает тем временем новую систему более мелких и быстрых гряд, движущихся по поверхности первых.
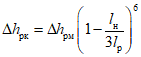
Расчетную максимальную глубину воды следует определять по натурным промерам на участке реки в районе мостового перехода протяженностью в три-четыре шага ленточных гряд.
Ленточные гряды иногда занимают все русло, причем в плане они обычно перекошены. Повышенные части гряды образуют перекаты, а иногда примыкают к берегам в шахматном порядке, в межень обсыхают, формируя побочни, которые смещаясь вниз по течению, прикрывают от размыва примыкающие участки берега. Противоположный берег, где расположена плесовая лощина, размывается. Сползание побочня приводит к периодическим расширениям и сужениям русла, которое иногда сопровождается отторжением побочня и образованием осередка. На перекатах меженное русло почти равно ширине русла в бровках, а на плесовых участках составляет 1/4 - 1/2 его части.
При назначении отверстия моста за расчетную ширину русла следует принимать расстояние между бровками, так как побочень - это русловое образование, т.е. часть русла.
Шаг ленточных гряд и побочней обычно в 6 - 8 раз больше ширины русла, причем для побочней принимается меженное русло.
При наличии побочней во время паводков происходит некоторое углубление плесовых лощин и намыв гребней перекатов, в межень наблюдается обратный процесс, но по величине эти деформации (по сравнению с аналогичным процессом на меандрирующих реках) незначительны.
Реки, на которых не происходит значительных плановых изменений берегов (ленточногрядовый, побочневый, осередковый типы), классифицируются как немеандрирующие. Такие реки обычно имеют слабоизвилистое, повторяющее повороты долины русло.
На реках или участках рек с интенсивным подмывом берегов происходят постоянные плановые изменения русла. Такие реки классифицируются как меандрирующие. Меандрирование рек может начаться при закреплении побочней и превращении их из русловых форм в пойменные массивы, которые размываются с верховой стороны и наращиваются с низовой.
В зависимости от условий протекания потока меандрирование может быть ограниченное, свободное или незавершенное.
Ограниченное меандрирование имеет место, когда река протекает в сравнительно узкой долине, и русло перемещается от одного борта долины к другому. Меандры - пологие, сползая вниз, они часто меняют свои формы и размеры.
Когда передвижение не стеснено бортами долины, меандры проходят полный цикл развития. Сначала они сползают вниз по течению, как при ограниченном меандрировании. При этом угол разворота излучины постепенно увеличивается. Затем скорость сползания уменьшается, а развитие меандры приводит к образованию петли. Одинаково направленные излучины русла разворачиваются около неподвижных точек перегиба и постепенно сближают подмываемые вогнутые берега, что приводит к прорыву перешейка между ними. После прорыва верховая и низовая излучины объединяются в одну пологую, а средняя - превращается в подковообразную старицу.
При частом и значительном затоплении пойм может наблюдаться незавершенное меандрирование, когда спрямляющие протоки появляются до сближения соседних меандр. Чем глубже и на более продолжительное время затапливается пойма в паводок, тем на более ранней стадии развития излучины происходит ее спрямление.
Дальнейшим развитием и усложнением незавершенного меандрирования является пойменная многорукавность, при которой спрямляются не только отдельные, но и группы смежных излучин. При этом выделить основное русло среди многочисленных проток часто невозможно. Острова, образованные протоками, представляют участки поймы, обладающие значительной плановой устойчивостью.
Излучины меандрирующих рек при своем развитии могут сильно вытягиваться и сохранять только один плес. Они могут приобретать овальные формы и тогда число плесов на них может расти с ростом излучин. В том случае, если излучина вытягивается, сохраняя один плес, то глубина его все время возрастает. Если число плесов увеличивается, то глубина меняется мало.
Увеличение длины одних излучин обычно сопровождается уменьшением других, поэтому протяженность участков рек с большим числом излучин остается практически неизменной.
Вогнутый берег подмывается потоком. Чем больше угол между берегом и потоком, тем глубже подмыв и активнее плановые деформации.
Скорость смещения излучин в плане на ранних стадиях развития сначала увеличивается, а затем убывает, что необходимо учитывать при прогнозировании положения излучины, если скорость ее смещения на каком-то этапе определена на основе сравнения картографического или планового материала. При прогнозировании также необходимо учитывать наличие многоводных и маловодных периодов.
Скорость смещения берегов излучин на разных участках пропорциональна распределению глубин русла вдоль излучины (рис. 10).
Рис. 10. Схема расчета смещения вогнутого берега
излучины при меандрировании
Зная скорость смещения береговой линии в точке наибольшей деформации в плане, смещение линии вогнутого берега на данном поперечнике можно определить по формуле

, (4.2)
где К
из - коэффициент скорости развития излучины, зависящий от угла ее разворота
(табл. 3);
T - число лет срока прогнозирования;
Hм и Hп - наибольшая глубина соответственно плеса данной излучины и на поперечнике, м;
H0 - средняя глубина двух перекатов, ограничивающих данную излучину, м.
Глубины H
п, H
м, H
0 отсчитываются от уровня средней межени. При прогнозировании на сроки T > 30 лет расчет выполняют по
формуле (4.2), разделяя период T на отрезки времени по десять-тридцать лет в зависимости от величины С
м и срока прогнозирования. Расчет и построение линии деформируемого берега производят сначала для первого отрезка времени и определяют конечное значение

, для которого по табл. 3 находят новое значение К
из, затем делают расчет и построение деформаций для следующего отрезка времени и т.д.
Угол разворота,  | Коэффициент скорости развития, Киз | Угол разворота,  | Коэффициент скорости развития, Киз | Угол разворота,  | Коэффициент скорости развития, Киз |
70 | 0,04 | 140 | 0,87 | 190 | 0,44 |
90 | 0,08 | 145 | 0,97 | 200 | 0,24 |
110 | 0,16 | 155 | 1,00 | 210 | 0,09 |
120 | 0,24 | 165 | 0,96 | 230 | 0,03 |
130 | 0,40 | 175 | 0,80 | | |
135 | 0,65 | 185 | 0,60 | | |
В паводки плесы размываются, а перекаты наращиваются, в межень происходит обратный процесс. Отметки дна плесов и перекатов в течение года могут колебаться до нескольких метров. На перекатах меандрирующих средних и больших рек за две-три недели стояния высоких вод успевает отложиться слой наносов толщиной в 1 - 2 м, для смыва которого меженному потоку требуется до трех-пяти месяцев. Так как намывается и размывается гребень и напорный скат переката, то смещение его вниз по течению не происходит. В отличие от перекатов между побочнями, перекаты на меандрирующих реках практически неподвижны.
Изменение типов русловых процессов можно проследить на спрямлении излучин: с момента появления спрямление начинает меандрировать, затем русло расширяется и теряет свою извилистость; по нему начинают двигаться побочни и осередки, а уже после этого спрямление превращается в большую излучину.
Равнинные немеандрирующие и меандрирующие реки - это участки в зоне транзита наносов. Первые характеризуются значительным поступлением наносов с вышележащих участков, вторые - со значительно меньшим по сравнению с первыми.
В зоне аккумуляции (устья рек), где наносы поступают в избыточном количестве, участки рек классифицируются как блуждающие (пойменная и русловая многорукавность). Эти участки рек характеризуются неразвитыми поймами или полным их отсутствием, а также широкими, но мелкими руслами. Поступающие в избытке наносы откладываются в виде беспорядочных осередков, разбивающих меженное русло на множество рукавов. Систематическое наращивание отметок дна русел блуждающих рек нередко приводит к тому, что их дно становится выше окружающей местности.
Так как ширина русел блуждающих рек слишком велика для переноса всех поступающих сверху наносов, отверстия мостов через них назначают такими, при которых река меняет тип руслового процесса и перестает блуждать. При проектировании мостовых переходов необходимо учитывать, что при поступлении под мост большого скопления наносов часть отверстия может быть выключена из работы, в то время как другая будет работать напряженно.
Для блуждающих рек может быть найдена некоторая ширина B
уст, при которой не будет происходить их перемещение
[1]. Такая ширина реки не превышает необходимую для транспортирования воды и наносов, а соответствующая ей максимальная глубина потока находится в определенном соотношении со средней глубиной из-за неразмываемости берегов. Найти ширину устойчивого русла B
уст можно по графикам зависимости средней и максимальной глубины от ширины реки. Значению B
уст будет соответствовать наименьшая из максимальных глубин по створам реки (рис. 11).
Рис. 11. Графики средней и максимальной глубины
для блуждающей реки
Ширину и глубину русла для построения графиков необходимо измерять на ограниченном характерном участке конуса выноса с примерно равными уклонами и максимальными расходами воды и наносов. Величина B
уст меняется вдоль реки, возрастая с увеличением расхода воды. При расчете отверстия моста и общего размыва следует учитывать, что при назначении отверстия моста L
м = B
уст глубины под мостом оказываются наименьшими [
11,
16]. Как видно из
рис. 11, при L
м > B
уст не только возможно блуждание русла, но и максимальные глубины будут больше. При L
м < B
уст как средние, так и максимальные глубины также будут больше за счет стеснения потока.
Место развития наибольшей глубины в подмостовом русле неопределено, поэтому наибольшая бытовая глубина, соответствующая ширине русла, может появиться у любой из опор проектируемого моста.
После строительства мостового перехода из-за стеснения паводкового потока подходами может сохраняться тип руслового процесса в районе мостового перехода или меняться на другой.
При ленточногрядовом, осередковом и побочневом русловых процессах воздействие мостового перехода не выразится в принципиальном изменении типа руслового процесса, может лишь произойти некоторая его перестройка.
В предмостовой зоне свободное меандрирование обычно остается неизменным, но размеры и скорости плановых деформаций уменьшаются. В замостовой зоне оно может переходить в осередковый или побочневый типы, а также в менее развитые типы меандрирования - ограниченное или незавершенное.
При значительной степени стеснения паводкового потока подходами русло реки за мостом обычно спрямляется и практически теряет черты свободного меандрирования.
Количественную оценку возможности изменения типа руслового процесса следует производить по рекомендациям, изложенным в
[15].
Под мостом перемещение русла в плане ограничено конусами устоев, но на меандрирующих реках поперечный профиль его под мостом постоянно меняется. Вышележащая излучина, изменяя местоположение и кривизну русла, периодически направляет структурные формы наносов в разные участки подмостового русла. В результате этого максимальная глубина в подмостовом сечении периодически перемещается от одного берега к другому.
5. НАЗНАЧЕНИЕ ОТВЕРСТИЙ МОСТОВ И РАЗМЕРОВ СРЕЗКИ
Отверстие моста через равнинные реки рекомендуют назначать не меньше ширины русла под мостом с учетом возможного уширения подмостового русла, обусловленного увеличением руслоформирующего расхода на участке перехода за счет слива воды с пойм, и уширения за счет природных плановых переформирований его.
Ширина русла реки в бытовых условиях формируется под воздействием различных по величине паводков. В соответствии с колебаниями величины стока в разные периоды происходит и некоторое колебание ширины русла, однако в среднем размеры русла на данном участке реки остаются достаточно устойчивыми во времени и соответствуют усредненным гидравлическим параметрам потока. Размеры русла определяются не всем расходом воды, а только той его частью, которая проходит в русле.
Мостовой переход, стесняющий паводковый поток, приводит к увеличению руслового расхода. Русло в зоне влияния мостового перехода может уширяться в соответствии с увеличением руслового расхода. Чем больше степень стеснения потока подходами к мосту и в большей степени затапливаются поймы, тем шире становится русло.
Русловые плановые деформации обычно инерционны, и самоуширение может произойти по истечении длительного времени, а расчетный паводок - до этого срока. Для того, чтобы в расчет общего размыва включать уширенное русло, необходимо его искусственно уширить.
Такое изменение русла под местом (срезка) может быть устойчивым (не заиливаться во время эксплуатации), если величина срезки не превышает размеры возможного самоуширения русла. При необходимости получения дополнительных объемов грунта размеры срезки под мостом в некоторых случаях могут быть увеличены. При расчете общего размыва величину срезки нужно принимать равной расчетной ширине русла. Так как срезка - это искусственное уширение русла (фронта переноса наносов), то ее устраивают за счет удаления связных грунтов пойменного наилка, но не русловых элементов - побочней, осередков и т.д. Срезка может быть как одно-, так и двухсторонняя. При этом уширение между соответствующими поймами надо распределять пропорционально сливу воды с каждой из них с поправкой на возможные природные плановые деформации русла. На меандрирующих реках срезку возможно устраивать как на вогнутых, так и выпуклых берегах. Форма уширения русла в плане должна быть эллиптической с плавным сопряжением его с неуширенным руслом в верхнем и нижнем бьефах для плавного пропуска воды и наносов (см. рис. 12). Общую длину срезки принимают в 4 - 6 раз больше ее ширины.
а)
б)
Рис. 12. Очертание срезки:
а - в поперечном сечении; б - в плане (1 - пойменный наилок)
Не следует устраивать срезку, повторяющую очертание струенаправляющей дамбы и доходящей до головы ее (рекомендации НИМП-72). В этом случае не обеспечивается плавность подвода к мосту руслового потока и наносов и ослабляется одно из наиболее уязвимых мест перехода - у голов струенаправляющих дамб.
Возможность уширения русла под мостом определяют по табл. 4 или по
рис. 13. Если при данном

значения P
п% больше указанных в таблице, то уширение возможно.
Таблица 4
Показатель | Значение |
Степень стеснения потока подходами при РУВВ,  | 1,7 | 2,0 | 2,5 | 3,0 | 3,5 | 4,0 | 4,5 |
Вероятность затопления пойм, Pп% > | 95 | 75 | 50 | 33 | 21 | 13 | 6 |
Примечание. Вероятность затопления пойм определяют по графику обеспеченности уровней по средней отметке поймы.
Рис. 13. График для определения целесообразности
срезки и коэффициента Кр%: выше пунктирной линии срезка
целесообразна; ниже - нецелесообразна
Первоначально и в случае, когда мост перекрывает только русло, степень стеснения потока подходами определяют:

, (5.1)
где Q и Qрб - соответственно полный и бытовой русловой расчетные расходы.
В том случае, когда мост перекрывает русло и часть поймы, пропускающей значительную часть расхода, после предварительного определения ширины русла под мостом B
рм по
формуле (5.3) и назначения отверстия моста L
м, находят новое значение

:

, (5.2)
где

- единичный расход на пойме в бытовых условиях при РУВВ, м
3/(с.м.).
Если уширение возможно, то определяют расчетную ширину русла под мостом

, (5.3)
где К
р% и К
п - коэффициенты, учитывающие соответственно вероятность затопления пойм и полноту расчетного паводка, определяемые по
рис. 13 и
14;

- полнота паводка (при отсутствии данных можно принимать П ~= 0,7);

, h
пав(max) - соответственно средняя и максимальная высоты паводка над средней отметкой поймы, определяемые по водомерному графику расчетного паводка (величину

получают как сумму n-го числа ординат, деленную на n).
Рис. 14. График для определения коэффициента К
п
Значения коэффициентов Кр% и Кп могут быть определены по формулам:

; (5.4)

(5.5)
Бытовая ширина русла (Bрб), сложенного несвязными грунтами, - это фронт переноса наносов, ее легко можно найти по геологическому разрезу. Границей русла является граница несвязных грунтов русла и пойменного наилка. Если Bрб меняется в районе мостового перехода, то за расчетное значение следует принимать среднее на морфологическом однородном участке реки. При многорукавности русла Bрб равно суммарной ширине постоянно действующих русловых проток.
Ширину расчетной срезки принимают равной Bрм - Bрб.
Отверстие моста следует назначать не меньше величины, определяемой по формуле

, (5.6)
где

- гарантийный запас;

- суммарная ширина промежуточных опор, м;

- ширина укреплений подошв конусов, м;
m - коэффициент заложения откоса конусов;
hпк - глубина воды у подошвы конусов при РУВВ, м.
Если уширение русла под мостом из-за природных русловых деформаций или за счет стеснения потока подходами невозможно или распределение расхода между руслом и поймой определено на основании гидрометрических работ, то следует принимать

, в остальных случаях -

.
Так как пойменная часть моста через большие и средние реки обычно пропускает незначительный расход воды, то увеличение отверстия моста, полученного по
формуле (5.6), как правило, не приводит к существенному снижению общего размыва, подпоров и скоростей под мостом.
При поступлении наносов в створ постового перехода (V
рб > V
нер) по способу определение общего размыва все мостовые переходы могут быть разделены на четыре группы
[1], характеризующиеся размывающей способностью расчетного паводка:
достаточной для достижения нижнего предела размыва, вызываемого длительным воздействием расчетного паводка постоянной высоты, I группа;
обусловливающей расчетный размыв, равный размыву от прохода одного расчетного паводка по неразмытому дну (верхний предел размыва), II группа;
то же, равный размыву от воздействия многих проходящих один за другим расчетных паводков (гипотетический предел размыва), III группа;
слишком малой для реализации гипотетического размыва, IV группа. Для последней группы расчетный общий размыв занимает промежуточное положение между верхним и гипотетическим пределами. Его определяют по длительной натурной серии паводков с пропуском расчетного в конце одного из наиболее опасных многоводных периодов. В этом случае с некоторым запасом расчетный размыв может быть рассчитан по гипотетическому пределу.
Группу мостового перехода определяют по отношению продолжительности расчетного паводка (t
пав) к времени предельного размыва (t
н) (табл. 5 или
рис. 15).
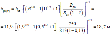
Группа мостового перехода | Признаки групп переходов |
I | | hрм(в) >= hрм(н) |
II | | hрм(г) <= hрм(в) < hрм(н) |
III | | 0,85hрм(г) <= hрм(в) < hрм(г) |
IV | | hрм(в) < 0,85hрм(г) |
Рис. 15. Графики для определения группы мостового перехода
и Кt: а - при tпав/tн <= 1,0; б - при tпав/tн > 1
Время продолжительности паводка tпав находят по водомерному графику расчетного паводка H = f(t) при H = Hп.
Время предельного размыва

, (6.1)
где hрб - средняя бытовая глубина в русле.
Длина зоны сжатия потока под мостом

, (6.2)
где lмп и lбп - соответственно длина малой и большой пойм, м.
Бытовой единичный расход наносов

, (6.3)
где V
нер - неразмывающая скорость для несвязных грунтов русла, определяемая по
табл. 2 или
рис. 16;
A
д и A
в - характеристики соответственно донных и взвешенных наносов, найденные по
(3.7) и
(3.8) или по
рис. 3.
Рис. 16. График для определения неразмывающей
скорости для несвязных грунтов
Коэффициент (Кфв), учитывающий форму воронки размыва, вычисляют по формуле

. (6.4)
Относительная длина верховой струенаправляющей дамбы

, (6.5)
где l
вд - проекция наибольшей верховой дамбы на ось потока (расчет струенаправляющих дамб следует производить согласно гл. X
[10] и гл. XXI
[16]).
Расчетный общий размыв определяют по формулам, соответствующим группе мостового перехода, приведенным в табл. 6.
Группа мостового перехода | Расчетная формула |
I | |
II | |
III | |
IV | По серии паводков на ЭВМ или с некоторым запасом по формуле для III группы |
где

- относительное стеснение подмостового отверстия опорами;

- суммарная ширина промежуточных опор по фасаду моста.
Значение коэффициента (Кt), учитывающего влияние длительности паводка, можно вычислить по следующим формулам:

; (6.6)

. (6.7)
При отсутствии поступления наносов в створ мостового перехода (Vрб < Vнер):

. (6.8)
Для связных грунтов V
нер определяют по графику
(рис. 17) или по формуле

, (6.9)
где С
р - расчетное сцепление в грунте кПа, полученное по данным стандартных полевых и лабораторных испытаний грунта на сдвиг (для предварительных расчетов можно принимать С
р = С
п, где С
п - нормативное удельное сцепление глинистых грунтов четвертичных отложений по
СНиП 2.02.01-83 (табл. 7).
Вид грунта | Консистенция | Пределы изменения консистенции | Сп, кПа, при коэффициенте пористости e, равном |
0,45 | 0,55 | 0,65 | 0,75 | 0,85 | 0,95 | 1,05 |
Супеси | Полутвердые | 0 <= YL <= 0,25 | 21 | 17 | 15 | 13 | - | - | - |
Мягкопластичные | 0,25 < YL <= 0,75 | 19 | 15 | 13 | 11 | 9 | - | - |
Суглинки | Полутвердые | 0 < YL <= 0,25 | 47 | 37 | 31 | 25 | 22 | 19 | - |
Тугопластичные | 0,25 < YL <= 0,5 | 39 | 34 | 28 | 23 | 18 | 15 | - |
Мягкопластичные | 0,5 < YL <= 0,75 | - | - | 25 | 20 | 16 | 14 | 12 |
Глины | Полутвердые | 0 < YL <= 0,25 | - | 81 | 68 | 54 | 47 | 41 | 36 |
Тугопластичные | 0,25 < YL <= 0,5 | - | - | 57 | 50 | 43 | 37 | 32 |
Мягкопластичные | 0,5 < YL <= 0,75 | - | - | 47 | 41 | 36 | 33 | 29 |
ПРИМЕЧАНИЯ: 1. Характеристики грунтов относятся к грунтам, содержащим не более 5% растительных остатков и имеющих степень влажности S
г >= 0,8. 2. Для грунтов с промежуточными значениями коэффициентов пористости e удельное сцепление допускается определять интерполяцией. 3. Для грунтов со значениями e, S
г и Y
L, выходящими за пределы значений, удельное сцепление следует находить по данным инженерно-геологических исследований. 4. При значениях e, S
г и Y
L меньших, чем их нижние пределы, указанные в
таблице, удельное сцепление в запас надежности допускается принимать по соответствующим нижним пределам, e, S
г и Y
L.
Рис. 17. График для определения неразмывающей
скорости для связных грунтов
При отсутствии расчетного сцепления грунта (Ср) приближенно Vнер можно принимать по табл. 8.
Таблица 8
Грунты | Плотность грунтов | Объемный вес, тс/м3 | Неразмывающие скорости течения Vнер, м/с, при глубине потока, м |
0,4 | 1 | 2 | >= 3 |
Глины тяжелые и тощие суглинки | Малоплотные | <= 1,2 | 0,35 | 0,4 | 0,45 | 0,5 |
Средней плотности | 1,2 - 1,65 | 0,7 | 0,85 | 0,95 | 1,1 |
Плотные | 1,65 - 2,05 | 1,0 | 1,2 | 1,4 | 1,5 |
Очень плотные | 2,05 - 2,15 | 1,4 | 1,7 | 1,9 | 2,1 |
Лессы | Средней плотности | 1,2 - 1,65 | 0,6 | 0,7 | 0,8 | 0,85 |
Плотные | 1,65 - 2,05 | 0,8 | 1,0 | 1,2 | 1,3 |
Очень плотные | 2,05 - 2,15 | 1,1 | 1,3 | 1,5 | 1,7 |
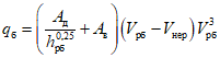
У коммуникаций и других сооружений в руслах рек в зоне влияния мостового перехода глубину общего размыва в русле выше моста рассчитывают по формуле:

, (6.10)
где lв - расстояние от оси перехода коммуникации до входа в зону, охватываемую струенаправляющими дамбами, м;

- средний смыв грунта в русле на расстоянии l
в от оси моста в створе коммуникации, м;

- расчетный смыв грунта в русле под мостом, определенный без учета влияния срезки на величину размыва (поскольку последняя изменяет величину размыва лишь в пределах искусственно уширенного русла), м.
Если переход коммуникации расположен в пределах искусственного уширения русла, то величину размыва грунта определяют с учетом фактической ширину русла в створе перехода коммуникации

, (6.11)
где

- средний смыв грунта в русле по оси перехода коммуникации с учетом срезки, м;
Bрк - ширина уширенного русла в створе перехода коммуникации.
Расстояние, на которое влияет мостовой переход, практически в три раза больше длины растекания потока за мостом. Размыв грунта в русле ниже моста определяют по зависимости

, (6.12)
где lр - длина зоны растекания потока за мостом (lр ~= 2lсж) м;
lн - расстояние от перехода коммуникации до низовых струенаправляющих дамб, м.
Если переход коммуникации расположен в пределах искусственного уширения русла ниже моста, то величину смыва грунта

тоже рассчитывают по
формуле (6.11).
7. РАСЧЕТ МЕСТНОГО РАЗМЫВА У СООРУЖЕНИЙ МОСТОВОГО ПЕРЕХОДА
7.1. Основные принципы расчета
Местный размыв возникает у преград, создающих сопротивление водному потоку. Такими преградами на мостовом переходе являются мостовые опоры, струенаправляющие дамбы и траверсы.
Расчет глубины местного размыва следует производить по Методическим рекомендациям
[17] или другой инструкции, согласованной Госстроем СССР.
Наибольшую глубину местного размыва у опоры согласно
[17] определяют по формуле:
при поступлении наносов в воронку размыва (V > Vнер):

, (7.1)
при отсутствии поступления наносов в воронку размыва (V < Vнер):

, (7.2)
где b - расчетная ширина опоры, м;
H - глубина потока перед опорой, м;
V - средняя скорость потока на вертикали перед опорой, м/с;
V
в - средняя взмучивающая скорость турбулентного потока перед опорой определяется по
рис. 18 или по
(7.4), м/с;
n - показатель степени: при

, n = 1, а при

, n = 0,67 (для возведения числа в степень 0,06 можно пользоваться номограммой в
прил. 1);
К
ф - коэффициент формы опоры соответственно с постоянным поперечным сечением
(рис. 19) и с переменным -
(7.10).
Рис. 18. График для определения взмучивающей
скорости Vв для несвязных грунтов
Рис. 19. Коэффициенты формы для опор с постоянным
поперечным сечением
Коэффициент косины потока рассчитывают по формуле

, (7.3)
где f - коэффициент, значения которого находят по графику (рис. 20) в зависимости от

(где l
оп - длина опоры) и угла косины

(при

принимают

).
Рис. 20. График для определения коэффициента f
За расчетную глубину набегающего на опору потока (H) следует принимать глубину после образования общего размыва с учетом естественных русловых деформаций.
В связных грунтах взмучивающую скорость (Vв) находят
Средняя скорость потока (М) на вертикали перед опорой

, (7.5)
где hрм и Vрм - соответственно средняя глубина и скорость в русле под мостом после общего размыва.
Наибольшая глубина воронки местного размыва образуется у верховой части опоры (за исключением опор с относительно большой шириной и с заостренной верховой частью, у которых наибольшая глубина образуется у боковых сторон).
Форма воронки местного размыва и распределение глубин у опор мостов зависят от относительной длины опоры. У относительно короткой опоры, длиной lоп меньшей или равной некоторой предельной длины lпр ~= 1,5h (где h - максимальная глубина местного размыва), глубины размыва примерно равны со всех сторон опоры. Такими опорами являются отдельно стоящие оболочки. У относительно длинной опоры (lоп > lпр) низовой откос воронки размыва зависит от отношения lоп/lпр. У низовой части таких опор размыв значительно меньше, чем у верховой, и даже возможен намыв грунта. Это справедливо для опор как сплошных, так и со свайным фундаментом.
Заложение низового откоса воронки местного размыва

. (7.6)
Форму воронки местного размыва следует учитывать при расчете устойчивости опор, особенно высоких свайных ростверков
[18].
Глубину местного размыва у голов струенаправляющих дамб и траверсов рассчитывают по формулам для грунтов:
несвязных

; (7.7)
связных

, (7.8)
где V - скорость набегающего потока для струенаправляющих дамб практически равна скорости потока на пойме под мостом;

- угол набегания потока;
mо - коэффициент заложения откоса;
g - ускорение силы тяжести, м/с2.
Расчет размыва у шпунтовых ограждений в руслах рек рассматривается в
[19].
7.2. Определение расчетной ширины и коэффициента формы опор с переменным поперечным сечением
Чем ближе ко дну водотока находится элемент опоры с переменным поперечным сечением, тем больше его влияние на величину местного размыва.
Элементы, находящиеся в верхней половине потока, влияние на размыв практически не оказывают. Расчетную ширину таких опор находят по формуле
b = a
нb
н + a
срb
ср + a
вb
в, (7.9)
где a
н и a
в - коэффициенты, определяемые по графику
(рис. 21) (l - расстояние от дна до конца или начала элемента опоры) a
ср = 1 - a
н - a
в;
bн, bср, bв - ширина нижнего, среднего и верхнего элементов опоры в пределах нижней половины потока.
Рис. 21. График для определения коэффициентов
При наличии в нижней половине потока двух элементов опоры средний член в
формуле (7.9) исключается. При четырех элементах опоры (рис. 22) для нижнего элемента по e
1 определяют a
н, для верхнего - по e
3 - a
в, затем по e
2 находят

и

и для второго элемента снизу -

, а для третьего -

. При количестве элементов более четырех определение коэффициентов производят аналогичным образом. Для элементов трапецеидальной формы в поперечном сечении потока за ширину принимают среднюю ширину элемента. Сумма коэффициентов a всегда равна единице.
Рис. 22. К расчету опор с переменным поперечным сечением
Расчетный коэффициент формы для опор с переменным поперечным сечением следует определять по формуле:

, (7.10)
где коэффициенты, учитывающие:
К
п - влияние полки у верховой грани опоры (при ее ширине равной или большей 1/3 ширины выше находящегося элемента опоры). Его определяют по графику
(рис. 21). В остальных случаях К
п = 1;
Кнг - влияние наклонной грани с верховой стороны опоры;
Кс - сквозность при обнажении свай;
К
нп - влияние нижнего обреза плиты ростверка при его обнажении, определяемый по графику
(рис. 21);

- наклон первого ряда свай с верховой стороны.
Коэффициент, учитывающий форму отдельных элементов опоры

, (7.11)
где К
ф(н), К
ф(ср), К
ф(в) - коэффициенты формы соответственно для нижнего, среднего и верхнего элементов опоры в пределах нижней половины потока, принимаемые по
рис. 19 (при других количествах элементов опоры см.
пояснение к (7.9).
При наличии с верховой стороны полки и наклонной грани вместо значения К
п в
(7.10) подставляют К
пнг (рис. 21).
Значение коэффициента Кнг (при коэффициенте заложения откоса mнг = 1) находят по графику (рис. 23), где eн и eв - расстояние от дна водотока соответственно до низа и верха наклонной грани.
Рис. 23. График для определения коэффициента К
нг при m
нг = 1

(7.12)
При обнажении свай коэффициент К
с определяют по графику
(рис. 24) или по формуле согласно
[20]:

, (7.13)
где N - число рядов свай в сечении, перпендикулярном к направлению потока;
S - расстояние между сваями, м;
a - диаметр или ширина свай, м.
Рис. 24. График для определения коэффициента К
с
При обнажении свай за ширину элемента опоры в
формуле (7.9) принимают ширину одной сваи.
Значение коэффициента

при

рассчитывают согласно
[20]:

, (7.14)
где

- угол наклона свай вдоль течения.
При

принимают

.
7.3. Защита мостовых опор от местного размыва
Стоимость строительства больших и средних мостов в значительной степени зависит от глубины заложения фундаментов опор, которую в большинстве случаев определяют по глубине местного размыва. При этом стоимость устройства фундамента может составлять до 80% от стоимости опоры в целом.
Уменьшить расчетную глубину местного размыва у опор можно за счет осуществления пассивных и активных мер, за эффективность которых принимается процент уменьшения местного размыва.
К пассивным мерам защиты опор относится устройство различных видов укрепления русла непосредственно у опор:
1. Стабилизация несвязного грунта вяжущими (до 100%).
2. Гибкие ковры из синтетических материалов (до 80%):
синтетическая гидроизоляционная пленка;
эластично-пластичная резинотканая синтетическая масса на базе полиизобутилена с объемным весом 1,3 т/м3 со стабильными реологическими свойствами.
3. Каменная наброска у основания опор (до 50%).
4. Гибкие железобетонные тюфяки с каменной наброской (до 100%).
5. Тяжелая нерастворимая мастика с каменной наброской (до 100%).
Активными мерами защиты опор следует считать такие, с помощью которых можно изменить структуру потока, обтекающего опору с целью уменьшения или исключения его воздействия на дно реки:
1. Жесткие козырьки (до 30%) и пояса (до 20%) вокруг опоры, установленные в уровне неразмытого дна.
2. Система из двух колец (неподвижного и подвижного - до 50%), надетых на фундамент, - верхнее жестко закреплено на фундаменте на уровне неразмытого дна, а нижнее установлено на уровне дна после общего размыва с зазором относительно фундамента и имеет возможность вертикального перемещения.
3. Заилители разных типов:
донного (до 20%) - две пластины, установленные непосредственно перед опорой с верховой стороны для аккумуляции наносов у опоры;
подвесного (до 30%) - четыре пластины, поставленные вокруг опоры;
плавучего типа (до 30%).
4. Донные обтекатели (до 40%), расположенные с верховой стороны опоры, препятствуют образованию донных турбулентных вальцов и способствуют обтеканию опоры донным потоком.
5. Гидравлические противотоки (до 30%) у опоры с целью погашения вертикальной и горизонтальной составляющих вектора скорости потока.
6. Аэрация потока (до 30%) у опоры для гашения вертикальной составляющей скорости потока.
7. Аванпостные преграды (до 40%) в виде ряжей, кустов свай или оболочек, установленных с верховой стороны опоры и принимающих на себя гидравлический удар.
8. Донные пороги (до 10%), устанавливаемые перед опорой.
9. Устройство наклонных граней в верхней части фундамента опоры (до 40%).
10. Наклонный щит (до 100%) из железобетонных плит, расположенных с верховой стороны опоры и опертых одними концами на фундамент, а другими - на дно водотока.
Характеристика способов защиты, нашедших практическое применение в отечественном мостостроении приведена в табл. 9.
Таблица 9
N пп | Наименование способа защиты опоры | Преимущественный вид строительных работ | Ограничение области применения | Преимущества | Недостатки |
1 | 2 | 3 | 4 | 5 | 6 |
| Пассивная | | | | |
1. | Каменная наброска у основания опоры | Укрепление существующих опор | Неприменимо при иловатых грунтах, песках мелких и средних, залегающих на уровне суммарного размыва | Простота производства работ, возможность использования при значительных глубинах воды | Значительная материалоемкость и стоимость работ, возможность деформации и разрушения во время эксплуатации |
2. | Гибкие железобетонные тюфяки с каменной наброской | То же | Глубина суммарного размыва не более 5 м | Надежность работы | Значительная материалоемкость и стоимость работ, необходимость проведения подводного контроля работ |
3. | Гибкие железобетонные тюфяки с каменной наброской | Новое строительство | Глубина котлована, соответствующая глубине суммарного размыва - не более 8 м | То же | Значительная материалоемкость и стоимость работ |
4. | Тяжелая нерастворимая мастика с каменной наброской | Укрепление существующих опор | На всех водоемах, но вне пределов 1-го пояса зоны санитарной охраны | -"- | Материалоемкость работ, необходимость приготовления мастики на месте |
5. | Тяжелая нерастворимая мастика с каменной наброской | Новое строительство | То же | -"- | То же, необходимость рытья котлована опор до отметки общего размыва |
| Активная | | | | |
1. | Устройство наклонных граней в верхней части фундамента | Новое строительство | Низкие свайные ростверки | Простота выполнения, невысокая трудоемкость и стоимость работ | Ограниченная область применения |
2. | Наклонный щит из железобетонных плит с верховой стороны опоры | То же, укрепление существующих опор | Максимальная глубина от верха фундамента до отметки суммарного размыва - не более 10 м | Простота выполнения, невысокая материалоемкость, стоимость и трудоемкость работ | Необходимость засыпки воронки местного размыва (грунтом или камнем) - при реконструкции |
Примечание. Описание способов защиты опор от местного размыва приводятся ниже.
Каменная наброска - это достаточно надежное средство защиты при условии, если камень применять требуемой крупности и в достаточном количестве, а работы по укреплению проводить при такой глубине и скорости потока, когда сбрасываемый камень не относится течением на значительное расстояние от воронки местного размыва.
Обычно заброску камня выполняют в воронку местного размыва h меньше расчетной h
р (рис. 25). Диаметр камня d
к, необходимого для укрепления опоры, определяют по графику
(рис. 26) в зависимости от средней скорости потока в паводок V и отношения глубины потока к ширине опоры H/B. Толщину слоя камня

, уложенного в воронку, находят по графику
(рис. 27) в зависимости от d
к и h
р.
Рис. 25. Общий вид защиты опоры каменной наброской
Рис. 26. График зависимости d
к,

:
зоны 1 - при d
к <= 15 м и

; 2 - при

и

; 3 - при d
к = 0,25 м и

;
4 - при d
к > 0,25 м и

Рис. 27. График зависимости

:
1 - при dк < 0,25 м; 2 - dк = 0,25 м
Объем камня Q
1, соответствующий толщине слоя

определяют по графику (рис. 28) в зависимости от периметра опоры.
Рис. 28. График зависимости

:
1 - F = 10 м; 2 - F = 20 м; 3 - F = 30 м;
4 - F = 40 м; 5 - F = 50 м
Минимальную величину заглубления верха каменной наброски

находят по графику (рис. 29) в зависимости от H и P.
Рис. 29. График зависимости

:
4 -

Если выполняется условие

, (7.15)
то требуемый объем камня равен Q1.
Если условие не выполняется, то минимальное значение высоты наброски h
к определяют по
рис. 30, а требуемый объем камня - по формуле:

. (7.16)
Рис. 30. График зависимости h
к = f(h
р; d
к):
1 - dк = 0,15 м; 2 - dк = 0,20 м; 3 - dк = 0,25 м
При производстве работ в паводочный период объем камня следует принимать примерно в 2 раза больше, чем в межень. В паводок отсыпку выполняют с плавсредств (барж, понтонов, плотов), расположенных выше воронки на расстоянии l,
[21].
Гибкие тюфяки с каменной наброской. В случаях, когда на уровне суммарного размыва залегают илистые грунты, мелкий или среднезернистый песок, используют гибкие железобетонные тюфяки, являющиеся подстилающим слоем для каменной наброски.
Площадь гибкого тюфяка
Sт = lт(2lт + F), (7.17)
где F - периметр существующей опоры, м.
Ширину гибкого тюфяка

, (7.18)
но не менее

,
где mг - заложение (крутизна) естественного откоса грунта дна русла под водой (для песчаных грунтов mг = 2).
Объем каменной наброски над гибким тюфяком

, (7.19)
где Q
1 - объем камня, определяемый по графику (см.
рис. 28), м
3;

- принятая толщина гибкого тюфяка, м.
Конструкция тюфяков должна быть проверена расчетом на разрыв, возникающим в процессе его укладки и эксплуатации (см. методику, изложенную в гл. 6
[11]).
Наиболее приемлемой является предварительная сборка железобетонного тюфяка из отдельных плит с последующим его опусканием со льда в зимнее время. В необходимых случаях лед намораживают. После уборки тюфяка по его контуру на льду прорезают борозду и после частичной загрузки камнем тюфяк опускают вместе со льдом.
Тяжелая нерастворимая мастика с каменной наброской (битумо-мастичная система). Тяжелая нерастворимая мастика (ТНМ) представляет изотропную систему с регулируемыми на стадии приготовления реологическими свойствами, стабильными во времени. Состав и технология применения разработаны в институте Промтрансниипроект (а.с. NN 618489, 800290 и 802447).
Противоразмывные ТНМ приготавливают предварительно перемешивая нефтяной или дорожный битум (8,75% от общего веса), асидол или асидолмылонафт (5%) и зеленое или соляровое масло (11,25%) в смесителе при температуре около 100 °C. Эту смесь рекомендуют делать заранее и хранить в емкостях, предназначенных для жидкости. Для полной готовности к употреблению ТНМ жидкую смесь перемешивают без подогрева с алюминатным цементом (12,5%) и помолотой металлической рудой (62,5%) в бетономешалке до получения вязкотекучей массы с плотностью не менее 3,1 т/м3.
Стоимость 1 т ТНМ приблизительно равна 30 руб. При использовании ТНМ с каменной наброской ее объем составляет 25 - 33% от общего.
ТНМ применяют при наличии ям местного размыва у опор эксплуатируемых мостов и котлованов под фундаменты опор строящихся мостов. Разработку грунта в котловане осуществляют на глубину, превышающую величину расчетного общего размыва на 0,3 ширины опоры (но не менее 1 м).
Укладку ТНМ у опор можно производить с плавсредств или непосредственно с мостов при помощи грейферных ковшей или самотеком по трубам (диаметром не менее 20 см), опущенных на дно котлована или ямы местного размыва.
Для экономии ТНМ

часть объема ям или котлованов (от 70% до 75%) заполняют камнем или искусственными блоками. Объем камня и ТНМ определяют по методике, изложенной в способе защиты опор каменной наброской
[22].
Образующееся каменно-мастичное средство обеспечивает надежное предотвращение местного размыва у защищаемой опоры. Это средство можно использовать и там, где ранее уже применялась каменная наброска, т.е. для ремонта и усиления защитных мероприятий на мостовых переходах.
Противоразмывное устройство в виде наклонного щита. Это устройство разработано в Гипродорнии по а.с. N 1004519 (рис. 31), выполнено в виде установленного с верховой стороны опоры щита, один конец которого закреплен на верхней части фундамента с возможностью углового перемещения в вертикальной плоскости при помощи шарнира, а другой - свободно оперт на дно реки. Шарнир для крепления щита на фундаменте состоит из овальных отверстий в щите, через которые пропущены вертикальные стержни, жестко заделанные на верхней части фундамента.
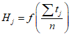
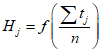
Рис. 31. Общий вид противоразмывного устройства:
1 - уровень дна до общего размыва;
2 - то же, после общего размыва
Щит состоит из отдельных плит, удобных для транспортировки и монтажа.
При относительно небольшой ширине фундамента опоры, т.е. до 4 - 5 м, целесообразно устанавливать плиты без зазора (рис. 32).
Рис. 32. План противоразмывного устройства
при ширине опоры до

Для опор, имеющих фундаменты шириной 4 - 5 м и более, в целях экономии материалов, трудозатрат и стоимости необходимо устанавливать плиты в зазором до 0,8 м (рис. 33).
Рис. 33. План противоразмывного устройства
при ширине опоры более

Нужную длину наклонного щита определяют методом последовательных приближений.
В первом приближении принимают коэффициент заложения откоса щита m
нг = 1,0, для которого по
(7.12) находят коэффициент К
нг, учитывающий влияние наклонной грани. Глубина воронки местного размыва у щита
h
вщ = h
в x К
кп x К
нг, (7.20)
где hв - глубина размыва у опоры (прямоугольной в поперечном сечении), м;
Ккп - 1,6 - коэффициент относительного размыва для очень коротких преград.
Далее проверяют возможность приближения воронки размыва к капитальной опоре:

, (7.21)
где e - расстояние от верха плиты ростверка до дна после общего размыва, м.
Если hвщ больше правой части неравенства, то mнг увеличивается, если меньше - уменьшается, и расчет повторяют.
Точность расчета считается достаточной, если правая и левая части неравенства отличаются не более чем на 10%.
Длина щита

, (7.22)
где a - часть длины щита, необходимая для его закрепления на плите ростверка.
При низком расположении плиты ростверка (e/H < 0,4) в
формуле (7.20) дополнительно следует учитывать влияние полки, вводя коэффициент К
пнг (см.
рис. 21).
Установленный с верховой стороны опоры наклонный щит позволяет рассредоточить обтекающие течения по всей его длине и интенсивно гасить набегающий на щит поток нисходящими по нему токами.
Таким образом, при наличии противоразмывного устройства в виде наклонного щита воронка местного размыва перемещается от опоры выше по течению к основанию щита.
При проектировании мостовых переходов возникает необходимость в определении величин характерных подпоров: начального

в начале сжатия потока (при расчете дополнительных отверстий, построении свободной поверхности и т.д.); полного

- в створе с максимумом подпора; подмостового

- в створе самого моста (для расчета минимальных отметок бровок струенаправляющих дамб, отметок верха укреплений и т.д.); подпора у насыпи

- для расчета минимальных отметок бровок земляного полотна на подходах (рис. 34)
[1].
Рис. 34. Схема к определению характерных
подпоров на мостовом переходе: а - план перехода;
б - кривая свободной поверхности; в - профиль
размытого дна на пике паводка
На форму кривой свободной поверхности и величины характерных подпоров на мостовых переходах значительное влияние оказывают русловые деформации. Развитие общего размыва у мостовых переходов приводит к существенному снижению величин начального и полного подпоров, а также подпора у насыпи. С ростом вала отложений ниже моста происходит резкое увеличение подмостового подпора, который затем уменьшается при размыве вала отложений.
Для вычисления характерных подпоров принимаются расчетные условия на пике первого расчетного паводка с учетом русловых деформаций, происшедших на ветви его подъема. При этом все характерные подпоры имеют наибольшие возможные значения.
Начальный подпор определяют методом последовательных приближений

, (8.1)
где

(8.2)
Yб - бытовой уклон свободной поверхности;

- относительный подпор.
Параметр A
2 для равнинных рек (при Y
б <= 0,0001) определяют по известным

и
(рис. 35) или формулам:

; (8.3)

. (8.4)
Рис. 35. График для определения параметра A
2:
4 -

; 5 -

При Y
б > 0,0001 значения A
2, полученные по графику (см.
рис. 35) или
формулам (8.3) и
(8.4), следует умножать на коэффициенты К
у и К
п, учитывающие соответственно влияние уклона и характера растекания потока за мостом

; (8.5)

(8.6)
где n - коэффициент, характеризующий растекание потока за мостом.
Значения n принимают от 0,6 до 2,0. Чем больше уклон, степень затопления пойм и меньше их шероховатость, тем больше значения n. Обычно для равнинных рек

, для горных рек

.
Коэффициент размыва под мостом определяют на пике первого расчетного паводка

. (8.7)
Среднюю глубину размыва в русле

находят по формуле для верхнего предела размыва на ветви подъема паводка. При отсутствии водомерного графика расчетного паводка принимают время подъема его t
под = 1/3t
пав, а полноту паводка на ветви подъема для равнинных рек П
под = 0,5 - 0,55.
Для ориентировочных расчетов можно принимать:

. (8.8)
Дальнейший расчет начального подпора производят методом последовательных приближений в следующем порядке:
где hб - средняя бытовая глубина всего потока

(8.9)
Обычно после выполнения трех расчетов получают близкие значения

и

(< 10%), поэтому

.
Полный подпор перед мостом принимают при Y
б <= 0,0001,

при Y
б > 0,0001.

, (8.10)
где lz - расстояние от моста до створа полного подпора

, (8.11)
Максимальный подпор у насыпи

(8.12)
Подмостовой подпор рассчитывают методом последовательных приближений по формулам:

, (8.13)

, (8.14)

, (8.15)
где Vб и Vм - средняя скорость соответственно бытовая всего потока и под мостом с учетом размыва;

и

- коэффициенты Кориолиса соответственно в подмостовом сечении и бытовых условиях;

, (8.16)

, (8.17)
где Vр и Vп - скорости соответственно на русловой и пойменной частях живого сечения;
V - средняя скорость по всему сечению;
w
Р и

- площади соответственно русловой и пойменных частей живого сечения.
Параметр A
5 для равнинных рек (при Y
б <= 0,0001) определяют по известным

и
(рис. 36) или по формулам:

; (8.18)

. (8.19)
Рис. 36. График для определения параметра A
5:
1 -

; 2 -

; 3 -

(пунктир);
При Y
б > 0,0001 значение A
5, полученное по графику
(рис. 36) или
формулам (8.18) и
(8.19), следует умножать на коэффициенты К
му и К
мп, учитывающие соответственно влияние уклона и характер растекания потока за мостом.

(8.20)

(8.21)
Дальнейший расчет производят методом последовательных приближений аналогично расчету начального подпора.
При этом

,
где hм - средняя глубина под мостом до размыва.

(8.22)
Кривую свободной поверхности с верховой стороны насыпи
(рис. 37) рассчитывают по формуле

, (8.23)
где

- подпор у насыпи на расстоянии X от устоя моста при X < l
z. При X > l
z,

.
Рис. 37. Профиль свободной поверхности
потока вдоль пойменных насыпей:
1 - профиль с верховой стороны; 2 - то же с низовой;
3 - бытовая свободная поверхность; 4 - насыпь; 5 - мост
Поверхность воды у низового откоса практически горизонтальна и имеет отметку, соответствующую уровню воды у низовых струенаправляющих дамб, которую определяют по формуле подмостового подпора
(8.13), но при A
3 = l
сжY
б.
9. ПРОЕКТИРОВАНИЕ ПОДХОДОВ, РЕГУЛЯЦИОННЫХ
И УКРЕПИТЕЛЬНЫХ СООРУЖЕНИЙ
Насыпи подходов проектируют исходя из самых неблагоприятных условий их работы, минимальную отметку подтопляемых насыпей на подходах к мосту определяют по формуле

, (9.1)

- конструктивный запас, равный 0,5 м.
Приближенно на стадии технико-экономического обоснования можно принимать

, (9.2)
где hв - высота волны, приближенно hв = 0,2hп, м;
Кш - коэффициент, характеризующий шероховатость откоса, для бетонных укреплений, равный 1, для мощения и одерновки - 0,9, каменной наброски - 0,75.
На участке сопряжения насыпи с проездом по мосту - минимальная отметка для рек:
судоходных Hmin = Hрсу + Гс + hкон, (9.3)
несудоходных Hmin = Hр% + Гн + hкон, (9.4)
где Г
с - судоходный габарит по ГОСТ 26775-85
[24];
H
рсу - расчетный судоходный уровень согласно ГОСТ 26775-85
[24];
hкон - высота конструкции пролетного строения.
Продольный и поперечный профиль автомобильных дорог на пересечениях водотоков проектируют согласно
СНиП 2.05.02-85 [25] и типовыми проектами
[26].
Для увеличения устойчивости откосы насыпей уполаживают или устраивают бермы с отметкой низкой насыпи с целью пригруза нижней части откоса. Кроме того, бермы служат для обеспечения проезда автотранспорта на регуляционные сооружения при ремонтных работах, поэтому ширину берм назначают не менее 3 м. При пересечении староречий устраивают бермы (обычно из камня) на уровне берегов шириной также не менее 3 м.
Откосы неподтопляемой части насыпи укрепляют в целях защиты от ветровой эрозии и размыва водой, стекающей с проезжей части.
Конструкцию укреплений подтопляемых насыпей назначают в зависимости от условий волнобоя и продольных течений. При выборе конструкций и расчетах укреплений следует руководствоваться
СНиП 2.05.02-85 [25],
ВСН 181-74 [27], а также [
28 -
30].
Для активной защиты откосов пойменных насыпей при продольном течении и отсутствии значительного волнобоя устраивают также поперечные сооружения - траверсы, отжимающие поток от верхового откоса насыпи (см. НИМП-72, гл. X
[10]), которые обычно более экономичны по сравнению со сплошным укреплением откосов.
При возведении насыпей подходов к мосту средствами гидромеханизации для устойчивости насыпи против волнобоя сооружают пляжные откосы с крутизной от 1:20 до 1:30, легко размывающиеся продольным течением. Поэтому применять их можно, в основном, с низовой стороны и в редких случаях (лишь при отсутствии течений вдоль насыпи) - с верховой.
При значительном волнобое особое внимание надо уделять не только конструкции укрепления откосов и его основания, но и качеству грунтов насыпи. Не следует применять мелкозернистые пылеватые грунты. Сборные железобетонные плиты целесообразно омоноличивать по контуру. Устойчивость откосов пойменных насыпей на волновое воздействие можно достичь увеличением толщины плит и обратного фильтра в их основании или уположением укрепляемого откоса.
Расчет местной устойчивости основания плитной защиты откосов при волновом воздействии следует производить по методу
[30], который приведен ниже.
В результате расчета определяют минимально допустимую толщину плиты

, при которой грунтовое основание остается устойчивым при ветровом волнении заданных параметров.

, (9.5)
где hв - высота волны, м;

- длина волны, м;
a, b - коэффициенты, вычисленные по зависимостям:
a = c4c5b, (9.6)
b = c1 + (c2 - c3hв)hв, (9.7)
c
1 - c
6 - коэффициенты, определяемые по табл. 10 в зависимости от вида грунта (по
СНиП 2.02.01-83) и крутизны откоса m.
Таблица 10
m | c1 | c2 | c3 | c4 | c5 | c6 |
| | Пески пылеватые и мелкозернистые |
2,0 | 0,62 | 0,39 | 0,06 | 10,82 | 9,01 | 0,845 |
2,5 | 0,42 | 0,20 | 0,03 | 11,24 | 12,87 | 0,88 |
3,0 | 0,37 | 0,12 | 0,02 | 11,65 | 16,84 | 0,91 |
3,5 | 0,37 | 0,11 | 0,02 | 12,04 | 20,04 | 0,94 |
4,0 | 0,37 | 0,08 | 0,01 | 12,80 | 23,74 | 0,95 |
| | Пески средние и крупнозернистые |
2,0 | 0,39 | 0,22 | 0,03 | 10,75 | 11,19 | 0,845 |
2,5 | 0,37 | 0,13 | 0,02 | 11,48 | 16,12 | 0,88 |
3,0 | 0,34 | 0,12 | 0,02 | 11,53 | 18,95 | 0,91 |
3,5 | 0,35 | 0,09 | 0,01 | 11,87 | 21,69 | 0,94 |
4,0 | 0,36 | 0,08 | 0,01 | 12,59 | 25,16 | 0,95 |
Коэффициент Кщ, учитывающий толщину или отсутствие щебеночной подготовки, равен:
при отсутствии подготовки


; (9.8)
при

К
щ = 1;
при


. (9.9)
Формула для определения

справедлива для указанных в таблицах песчаных грунтов при следующих условиях:
0,5 м <= h
в <= 4,0 м;

;
2 <= m <= 4;

;
длина ребра плиты

.
При значительном протяжении подтопляемых подходов и различных условий на отдельных участках следует назначать разные типы укреплений в зависимости от высоты волны и скоростей продольных течений.
Для плавного подвода пойменных потоков к мостовому отверстию и равномерного распределения расхода по ширине отверстия, а также ликвидации сосредоточенных размывов у конусов устраивают шпоровидные или грушевидные струенаправляющие дамбы.
Проектировать струенаправляющие дамбы рекомендуют согласно рекомендаций НИМП-72, гл. X
[10] или гл. 6
[11]. Грушевидные дамбы целесообразны при косом пересечении водотока (когда ожидаются значительные скорости течения вдоль насыпи) и при малой длине дамб.
Минимальная отметка бровки струенаправляющих дамб

, (9.10)
где

- конструктивный запас, равный 0,25 м.
На мостовых переходах с большими уклонами верховые и низовые дамбы можно устраивать с разными отметками в соответствии с фактическим очертанием свободной поверхности потока.
Плановые положения регуляционных сооружений следует корректировать с учетом местного рельефа. Наиболее подвержены размывам головы струенаправляющих дамб и траверсов, которые стремятся располагать на возвышенных местах поймы, а подошвы их откосов укрепляют каменными рисбермами (при глубине размыва не более 3 м) или железобетонными тюфяками и укреплениями типа "погребенного откоса".
Приближенно глубина размыва у голов струенаправляющих дамб и траверсов

. (9.11)
Для уменьшения глубины размыва откосы у голов регуляционных сооружений уполаживают до m = 3.
Наиболее надежно укрепление в виде бетонного "погребенного откоса", на всю глубину возможного размыва, однако большие трудности возникают при его устройстве ниже уровня меженных вод. При заложении откоса m = 2,

. При устройстве укрепления откоса на меньшую глубину у его подошвы отсыпают каменную рисберму с объемом камня, достаточным для прикрытия возможной воронки размыва. В проекте следует обязательно указывать минимальный размер камня в рисберме.
Минимальный размер камня принимают приближенно

. (9.12)
При устройстве гибкого железобетонного тюфяка принимают его длину lт ~= 1,5hв. Так как между блоками тюфяка имеются зазоры, их следует укладывать только на достаточно крупные грунты: гальку, гравий и т.п. Размывы у подошвы откосов обычно развиваются неравномерно, поэтому тюфяк рекомендуют располагать секциями вдоль подошвы откоса шириной не более 10 - 15 м.
10. РАСЧЕТЫ МОСТОВЫХ ПЕРЕХОДОВ В ОСОБЫХ УСЛОВИЯХ
10.1. Расчет перехода с несколькими мостами в пределах общей зоны разлива
Расчет нескольких отверстий проводят графоаналитическим методом из условия равенства общих подпоров перед мостами
[1].
Расчет перехода с двумя мостами выполняют с учетом русловых деформаций под обоими мостами. При влечении руслоформирующих наносов для определения полного подпора общий размыв рассчитывают по формуле верхнего предела размыва. При отсутствии влечения наносов под пойменным мостом расчет ведут в предположении прохода расчетного паводка по неразмытому дну, т.е. без учета русловых деформаций.
При определении наибольшего расхода, идущего под пойменный мост при влечении руслоформирующих наносов, русловые деформации находят по формуле гипотетического предела размыва, а при отсутствии влечения наносов на пойме - по формуле

, (10.1)
где hпб - средняя бытовая глубина на пойме, м;
Vпб - бытовая скорость на пойме, м/с;

- относительная ширина промежуточных опор;

- коэффициент стеснения пойменного потока.
При слоистом геологическом строении пойменных участков расчет следует вести графоаналитическим методом
[1].
Расчет мостового перехода выполняют в следующем порядке:
1. Принимают величины отверстий мостов.
2. Подбирают произвольно три различных положения водоразделительной линии между мостами.
3. Расстояние l от оси мостового перехода до расчетного (нулевого) створа выбирают заведомо выше створа разделения потока на два самостоятельных. Обычно l принимают равным ширине разлива реки B0.
4. При каждом положении водоразделительной линии определяют величины русловых деформаций с учетом указаний, изложенных выше.
5. При каждом положении водоразделительной линии по
формуле (6.2) находят расстояние до створов с начальным подпором (l
сж) перед каждым мостом и по
формуле (8.1) вычисляют значения этих подпоров

.
6. Определяют расстояния от створов с начальным подпором до нулевого створа (l
0) и рассчитывают величины общего подпора в нулевом створе

для каждого моста при трех положениях водоразделительной линии

, (10.2)
где

- средний относительный подпор на рассматриваемом участке.
7. Строят кривые изменения общих подпоров в нулевом створе для мостов - пойменного

и основного

в зависимости от положения водоразделительной линии. Пересечение кривых определяет значение расхода, идущего под пойменный мост, и соответствующее ему положение водоразделительной линии.
Если на общем разливе реки устраивают более двух отверстий, вначале определяют

для двух крайних отверстий, по которым находят границы водоразделов для средних. Величину

принимают несколько меньшей, чем для крайних отверстий. Далее, для средних отверстий производят самостоятельный расчет при трех положениях водоразделов. После построения кривой связи общих подпоров перед крайними отверстиями и расчетными значениями общих подпоров перед средними

, под углом 45° к оси абсцисс проводят прямую линию, пересечение которой с кривой дает искомое значение общего подпора

. По полученному значению общего подпора, равного для всех мостов, определяют положение водоразделительных линий и соответствующие им значения расходов.
10.2. Мостовые переходы в условиях подпора
Подпор уровня на водотоке существенно меняет режим реки на участке его распространения. В подпорных условиях в результате увеличения площадей живых сечений уменьшаются скорости течения в русле и на пойме, но так как ширина пойм обычно значительно больше русла при одном и том же уровне подпора в каждом сечении потока, площадь живого сечения на пойме возрастает в большей степени, чем в русле. Это приводит к перераспределению расхода между руслом и поймой - увеличивается пойменный расход при соответствующем уменьшении руслового бытового, что определяет дополнительное уменьшение русловых скоростей течения, а следовательно, резкое уменьшение транспортирующей способности потока.
При проектировании мостового перехода в зоне подпора необходимо учитывать, при каких подпорных уровнях может проходить собственный расчетный расход водотока, и определять наиневыгоднейшие условия работы мостового перехода.
В условиях подпора под мост поступает меньшее количество наносов, чем при его отсутствии. Дефицит наносов вызывает увеличение общего размыва в подмостовом русле. Наносы вообще не поступают под мост, если в условиях подпора в начале сжатия потока русловая скорость (Vрz) оказывается меньше неразмывающей для грунтов, слагающих дно реки (Vнер). За расчетный створ следует принимать створ выше моста, соответствующий началу сжатия потока на расстоянии lсж от оси перехода, так как здесь даже относительно небольшой подпор вызывает резкое уменьшение русловых скоростей течения.
Расход в русле с учетом перераспределения общего расхода между элементами живого сечения долины в условиях подпора можно определить по формуле

, (10.3)
где Qрб - расход в русле в бытовых условиях (при отсутствии подпора);

и

- относительный подпор соответственно в русле и на пойме вычисляют по формулам

,

,
z - величина подпора.
Скорость в русле в условиях подпора

, (10.4)
где wрz - площадь живого сечения в русле в условиях подпора.
В случае поступления наносов под мост (V
рz > V
нер) расчетными являются условия при наибольшем подпорном уровне z
max. Расчет общего размыва в этом случае следует производить по формулам, приведенным в
табл. 7, при этом распределение расхода между руслом и поймой, а также степень стеснения потока

определяют для подпорных условий по полученному значению Q
рz.
Если при наибольшем подпорном уровне наносы под мост не поступают (V
рz < V
нер), то расчетными принимаются условия прохода собственного паводка при более низком подпорном уровне, когда V
рz = V
нер. В этом случае необходимо построить графики зависимости V
рz = f(z) и V
нер = f(z), для чего дополнительно для двух значений подпоров z
min и промежуточного z' находят

и

, а по
формулам (10.3) и
(10.4) - Q
рz и V
рz. Затем на график наносят зависимость V
нер = f(z) и определяют z
расч. при V
рz = V
нер. Для полученного значения z
расч. следует пересчитать Q
рz, по которому устанавливают V
рz и

.
В этом случае средняя глубина потока под мостом после общего размыва

, (10.5)
где hрz = hрб + zрасч - средняя глубина потока в русле при расчетном подпорном уровне.
При определении местного размыва за расчетные следует принимать условия прохода собственного паводка при самом низком подпорном уровне.
10.3. Мостовые переходы в зоне взаимного влияния
Мостовой переход, стесняя подходами паводковый поток, изменяет бытовой режим реки на значительном протяжении. Особенно заметное изменение происходит в зоне сжатия и растекания потока мостового перехода. Если он проектируется в зоне растекания потока за существующим переходом или последний находится в зоне растекания за проектируемым, следует учитывать их взаимное влияние. Это влияние существенно при расстоянии между мостами

и имеет максимальное значение при расстоянии, равном 0,5L
р(в) (где L
р(в) - длина зоны растекания за верховым мостом).
При взаимном влиянии мостовых переходов следует учитывать, что полный и подмостовой подпоры для верхового моста больше, чем низового и отдельно стоящего моста;
деформации подмостового русла под верховым мостом превышают деформации под низовым и могут быть несколько больше, чем под отдельно стоящим мостом;
полный и подмостовой подпоры, подмостовые деформации для низового моста меньше, чем для верхового и отдельно стоящего моста.
Для получения количественных данных о русловых деформациях и свободной поверхности водного потока в зоне взаимного влияния мостовых переходов расчет следует производить на ЭВМ по программе "ГИДРАМ-3".
10.4. Расчет мостовых переходов при ограничении размыва по геологическим условиям
При условии геологического ограничения размыва необходимо учитывать возможность интенсивного развития боковых деформаций русла, влияние на величину подмостового подпора, а в ряде случаев на судоходные условия. Геологическое ограничение способствует развитию ямы общего размыва вниз по течению, уменьшению высоты и длины вала отложений за мостом. Полный подпор перед мостом увеличивается лишь при высоком залегании неразмываемых грунтов. Подмостовой подпор в значительной степени зависит от уровня залегания этих грунтов, причем, чем выше геологическое ограничение, тем меньше его величина. Геологическое ограничение обычно приводит к значительному увеличению скоростей течения в подмостовом русле, что может ухудшить условия судоходства при высоких уровнях воды.
Геологические условия обычно лимитируют развитие максимальных глубин размыва, при этом площадь поперечного сечения потока в русле под мостом будет возрастать за счет увеличения глубин в той части русла, где нет геологического ограничения или за счет уширения русла, если оно возможно. Увеличение площади поперечного сечения в русле прекратится, когда средняя скорость в нем будет равна неразмывающей. После размыва отношение максимальной глубины к средней будет меньше, чем в бытовых условиях.
Для русел немеандрирующих и блуждающих рек, начальных и конечных участков излучин меандрирующих рек средние скорости на вертикалях практически равны средней по сечению [
11,
16]. Ограничение размыва по геологическим условиям происходит в том случае, если V
рм <= V
нер, где

. (10.6)
Ограничение размыва в несвязном грунте, содержащем значительное количество крупных частиц, может создать отмостка, которая возникает после вымывания более мелких частиц. Крупность частиц, создающих отмостку, определяют из условия равенства скорости - фактической в русле и неразмывающей - для данных частиц.
Минимальный диаметр частиц, создающих отмостку [
11,
16], м

. (10.7)
Толщина смыва грунта, необходимая для образования отмостки,

, (10.8)
где Dср - средний диаметр частиц от самых крупных до минимальных (Dmin), м;

- суммарное содержание этих частиц в грунте, %.
Расчет глубины, на которой прекратится размыв, можно выполнять графоаналитическим методом [
11,
16].
Возникающее дополнительное уширение подмостового русла

, (10.9)
где hрм - глубина общего размыва под мостом, найденная при условии отсутствия геологического ограничения.
При расчете отверстия моста по
формуле (5.6) вместо B
рм подставляют B
рм(г).
При определении глубины фундирования опор отметку общего размыва (hрм(г)) принимают на поверхности слоя грунта, для которого Vрм <= Vнер, а при образовании отмостки - на глубине hотм.
10.5. Расчет мостовых переходов в горно-предгорной зоне
Реки в горно-предгорной зоне характеризуются разнообразием русловых форм, соответствующих данному гидравлическому режиму. Для одного и того же размера донных частиц по мере увеличения скорости водного потока последовательно проходят следующие стадии: сдвиг отдельных частиц, движение частиц монослоем, образование и развитие гряд, стирание их и гладкая фаза влечения наносов.
Расчет русловых деформаций на таких реках следует производить с учетом возможного режима транспорта наносов, определяемого согласно
[31]:

, (10.10)
где К - коэффициент, характеризующий неоднородность отрыва частиц от дна;
W - гидравлическая крупность частиц, м/с.
Коэффициент К определяют в зависимости от числа Рейнольдса, взятого по гидравлической крупности

(рис. 38). Для практических расчетов значение коэффициента кинематической вязкости

принимают равным 0,01.
Рис. 38. График для определения коэффициента К
Для частиц с d
ср <= 5 мм гидравлическую крупность W находят по
табл. 1. При d
ср > 5 мм W следует рассчитывать согласно
[32]:

, (10.11)
где

- плотность наносов, т/м
3;

- плотность среды, т/м
3;
d
ср - средний геометрический размер частиц, равный

;
a - максимальный размер частиц, м;
b и c - соответственно ширина и высота частиц, м.
Для наносов горных рек величина

изменяется в пределах от 0,83 до 0,37. Для ориентировочных расчетов в случае отсутствия натурных данных величину

можно принимать равной 0,6.
График оценки влияния критерия на относительную шероховатость

(где

- высота гряды от подвалья до ее гребня) представлен на рис. 39, на графике нанесены три критические точки:

,

и

. Первая - соответствует началу стадии образования гряд, вторая - режиму потока, при котором высота гряд достигает максимального значения

, а третья характеризует полный смыв гряд при

. При значениях

транспорт наносов осуществляется монослоем. Сдвиг частиц начинается при донной неразмывающей скорости V
нд = КW.
Рис. 39. Зависимость относительной высоты гряды от критерия
Высоту гряд следует определять:

, (10.12)

(10.13)
Глубина размыва под мостом без учета местного размыва согласно
[33]

, (10.14)
где hрм - глубина потока после общего размыва под мостом, м;

и

- приращение глубины соответственно за счет многолетних переформирований и структурного транспорта наносов, м.
Прогнозирование многолетних природных переформирований следует выполнять по данным, полученным в период производства изыскательских работ.
Глубина общего размыва под мостом с учетом режима транспорта наносов

, (10.15)
где m - показатель степени, принимаемый в зависимости от режима транспорта наносов:
при

m = 0,92;

m = 0,67;

m = 0,75
При устройстве моста через блуждающую реку беспойменного типа, когда Q
рб = Q и B
рм < B
уст зависимость (10.15) принимает вид:

, (10.16)
где B
уст - ширина устойчивого русла (см.
рис. 11), м.
Приращение глубины за счет структурного транспорта наносов следует определять по формуле

.
ГРАФИК ДЛЯ ВОЗВЕДЕНИЯ ЧИСЛА N В СТЕПЕНЬ n
ПРИМЕР РАСЧЕТА ПЕРЕХОДА С ОДНИМ МОСТОМ
Исходные данные
Расчетный уровень воды | H1% = 103,6 м |
Средняя отметка дна русла до размыва | Hрб = 91,7 м |
Средняя отметка поймы | Hп = 99,8 м |
Бытовая ширина русла | Bрб = 750 м |
Ширина разлива | B0 = 5100 м |
Общий (расчетный) расход | Q1% = 21400 м3/с |
Русловой бытовой расход | Qрб = 10700 м3/с |
Бытовой уклон свободной поверхности | Yб = 0,00005 |
Средняя бытовая глубина потока | hб = 5,04 м |
Полнота паводка | П = 0,5 |
Средний диаметр грунта в русле | dср = 0,2 мм |
Длина большего подхода в зоне разлива | lбп = 3400 м |
Дополнительно необходимо иметь следующий графический материал: 1) морфоствор по оси перехода; 2) план мостового перехода; 3) водомерный график расчетного паводка; 4) график обеспеченности уровней.
1. РАСЧЕТ УШИРЕНИЯ РУСЛА ПОД МОСТОМ
И НАЗНАЧЕНИЕ ОТВЕРСТИЯ МОСТА
Частота затопления пойм P
п = 80%. По
табл. 5 возможно уширение русла под мостом, поэтому следует производить расчет ширины русла после размыва.
По графику (см.
рис. 13) при P
п% = 80% и

, К
р% = 0,68. По графику (см.
рис. 14) при П = 0,5 и

, К
п = 0,19.

,
Bрм = 750·[(2,000,93 - 1)·0,19·0,68 + 1] = 838 м,
где коэффициент К
р% = 0,68 (см.
рис. 13);
коэффициент К
п = 0,19 (см.
рис. 14).
Определим необходимое (минимальное) отверстие моста по
(5.6):
Принимаем отверстие моста равным 969 м.
Далее находим степень стеснения потока подходами по
формуле (5.2):

;
где


.
По
рис. 13 при P
п% = 80% и

К
р% = 0,55. По
рис. 14 при П = 0,5 и

К
п = 0,18

;

.
Принимаем отверстие моста равным 969 м.
2. РАСЧЕТ ОБЩЕГО РАЗМЫВА ПОД МОСТОМ
Для определения группы мостового перехода найдем время предельного размыва

.
Длина зоны сжатия равна длине большего подхода
lсж = lбп = 3400 м.
Для определения единичного расхода наносов при d
ср = 0,2 мм по
рис. 3 находим A
д = 3,35·10
-4 и A
в = 5,15·10
-4 и по
рис. 16 V
нер = 0,78 м/с

.
Тогда
Определяем коэффициент, учитывающий форму воронки по
(6.4):

.
По методике, изложенной в НИМП-72 гл. X
[10] произведен расчет струенаправляющей дамбы и получена l
вд = 430 м. При этом относительная длина верховой дамбы
Тогда
Продолжительность расчетного паводка согласно водомерному графику tпав = 58 сут.
Согласно
табл. 6 этот переход относится к IV группе мостовых переходов, для которой глубина общего размыва определяется по гипотетическому пределу
Для проверки группы мостового перехода по второму признаку определяем глубину размыва по верхнему пределу (см.
рис. 15)
при

и


.
Тогда

и

.
Следовательно, по этому признак переход относится к IV группе.
3. РАСЧЕТ МЕСТНОГО РАЗМЫВА У ОПОР
3.1. Определение расчетной ширины и коэффициентов формы опоры
Вид опоры и ее размеры представлены на рисунке.
К расчету местного размыва у мостовой опоры:
а - вид вдоль моста; б - поперек моста
b = aнbн + aсрbср + aвbв.
При eн/H = 4,5/18,7 = 0,24, eв/H = 7,0/18,7 = 0,37.
Коэффициенты a
н и a
в определяем по
рис. 21:
aв = 0,15; aн = 0,7; aср = 1 - aв - aн = 1 - 0,15 - 0,7 = 0,15
bв, bср, bн - соответствующая ширина элементов опоры;
bв = 3,0 м; bср = 6,0 м; bн = 1,5 м;
b = aнbн + aсрbср + aвbв = 0,7·1,5 + 0,15·6,0 + 0,15·3,0 = 2,4 м.
Расчетный коэффициент формы опоры определяем по
(7.10):

.
Коэффициент

рассчитываем по
(7.11):
Коэффициент К
п определяем по
рис. 21 К
п = 0,95
При отсутствии наклонной грани Кнг = 1,0.
S/d = 2,5/1,5 = 1,67; Кс = 1,10
При отсутствии наклонных свай

.
Тогда
Кф = 1,0135·0,95·1,0·1,1·0,93·1,0 = 0,985
3.2. Определение глубины воронки местного размыва
Скорость набегающего на опору потока можно найти по
формуле (7.5):

.
Наибольшую глубину местного размыва при поступлении наносов (V > V
нер) рассчитываем по
формуле (7.1):

;
Следовательно, n = 0,67
4. РАСЧЕТ ХАРАКТЕРНЫХ ПОДПОРОВ

,
где

Для определения A2 найдем среднюю глубину размыва на пике первого расчетного паводка

.
Определяем

методом последовательных приближений. Если расчет начать с

, то значения

не сходятся, поэтому за начальное значение принимаем

.
1. При

,

2. При

;

;

.
3. При

;

;

.
4. При

;

;

.
Принимаем

при этом

.
При Yб = 0,00005 < 0,0001 полный подпор перед мостом
Подмостовой подпор определяем по формуле

,
где

, при

и

(см.
рис. 36) A
5 = 3,50

;

;

;

;

.
Определяем

методом последовательных приближений:
1. Принимаем

, тогда

2.

;

;

;
3.

;

.
4.

;

;

.
Принимаем

Максимальный подпор у насыпи рассчитываем по формуле

,
где

.
Тогда

.
ПРИМЕР РАСЧЕТА ПЕРЕХОДА С ДВУМЯ МОСТАМИ
В ПРЕДЕЛАХ ОБЩЕЙ ЗОНЫ РАЗЛИВА
Рассмотрим вариант перехода с устройством дополнительного отверстия на русловой протоке.
Исходные данные:
Средняя отметка дна протоки до размыва | Hд(п) = 98,2 м |
Бытовая ширина русла протоки | Bрб(п) = 150 м |
Русловой бытовой расход протоки | Qрб(п) = 615 м3/с |
Отверстие моста через коренное русло | Lм(о) = 1200 м |
Отверстие моста через протоку | Lм(п) = 350 м |
Расчетный уровень высокой воды | H1% = 103,6 м |
Средняя отметка дна русла до размыва | Hрб = 91,7 м |
Средняя отметка поймы | Hп = 99,8 м |
Бытовая ширина русла | Bрб = 750 м |
Ширина разлива | B0 = 5100 м |
Общий (расчетный) расход | Q1% = 20000 м3/с |
Русловой бытовой расход | Qрб = 11700 м3/с |
Бытовой уклон свободной поверхности | Yб = 0,00005 |
Средняя бытовая глубина потока | hб = 5,04 м |
Полнота паводка | П = 0,5 |
Средний диаметр грунта в русле | dср = 0,2 мм |
Назначаем три положения водораздельной линии (см. рис. 1 прил. 3), вычисляем общий размыв под обоими мостами по гипотетическому пределу (h
рм(г)) и с его учетом - начальный подпор

, а затем - общий подпор

.
Рис. 1. План мостового перехода с двумя отверстиями
Расчеты сведены в таблицу
Наименование параметра | Расчетная формула | 1 полож. водор. линии | 2 полож. водор. линии | 3 полож. водор. линии |
Bом | - | 4000 | 3800 | 3500 |
Bпм | B0 - Bом | 1100 | 1300 | 1600 |
Qпм | - | 2550 | 2930 | 3500 |
Qрм | - | 17450 | 17070 | 16500 |
| | 1,4 | 1,37 | 1,326 |
| | 2,5 | 2,87 | 3,43 |
lсж,ом | | 2800 | 2600 | 2300 |
lсж,пм | | 525 | 725 | 1025 |
| | 0,38 | 0,276 | 0,19 |
| | 0,14 | 0,154 | 0,17 |
hрм(о) | | 14,84 | 14,61 | 14,29 |
hрм(п) | | 10,20 | 11,32 | 13,00 |
Pw(о) | | 1,207 | 1,19 | 1,168 |
Pw(п) | | 1,46 | 1,566 | 1,726 |
| | 0,159 | 0,128 | 0,105 |
| | 0,095 | 0,118 | 0,136 |
l0(о) | - | 2200 | 2400 | 2700 |
l0(п) | - | 4675 | 4475 | 4175 |
| | 0,148 | 0,119 | 0,096 |
| | 0,082 | 0,102 | 0,119 |
Строим кривые изменения общих подпоров в нулевом створе для моста через протоку

и основного моста

в зависимости от положения водораздельной линии (см. рис. 2 прил. 3). Пересечение кривых дает

и Q
пм = 3130 м
3/с, тогда расход, приходящийся на основной мост, составит: Q
ом = Q
1% - Q
пм = 20.000 - 3.130 = 16.870 м
3/с.
Рис. 2. К определению расхода между основным
и пойменным мостами
Дальнейший расчет производится для каждого моста отдельно по методике, изложенной выше.
1. Федотов Г.А. Расчет мостовых переходов с применением ЭВМ. - М.: Транспорт, 1977. - 208 с.
3. Технико-экономическое обоснование при проектировании автомобильных дорог и мостовых переходов. - М.: Транспорт, 1981. - 207 с.
4. Методические рекомендации по вопросам охраны окружающей среды при проектировании автодорожных переходов через водотоки. - Союздорнии. - М., 1985. - 30 с.
5. Определение расчетных гидрологических характеристик.
СНиП 2.01.14-83/Госстрой СССР. - М.: 1983. - 36 с.
6. Применение программы ГИМА-2 при аналитической аппроксимации гидрометеорологических зависимостей. Методические рекомендации по курсу проектирования мостовых переходов./МАДИ 1984. - 48 с.
7. Дорожно-мостовая гидрология. Справочник. Под ред. Б.Ф. Перевозникова. - М.: Транспорт, 1983. - 200 с.
8. Методические рекомендации по определению наивысших заторных уровней воды при проектировании мостовых переходов и насыпей на прижимных участках рек в районах Севера, Сибири и в Якутской АССР/ЦНИИС. - М.: 1983. - 21 с.
9. Каталог заторных и зажорных участков рек СССР. Т. I, II. - Л.: Гидрометеоиздат, 1976. - 548 с.
10. Наставление по изысканиям и проектированию железнодорожных и автодорожных мостовых переходов через водотоки. ЦНИИС - Главтранспроект (НИМП-72). - М.: Транспорт, 1972. - 280 с.
11. Андреев О.В. Проектирование мостовых переходов. - М.: Автотрансиздат, 1980. - 295 с.
12. Бегам Л.Г. и др. Переходы через водотоки. - М.: Транспорт, 1973. - 456 с.
13. Методические
рекомендации по определению расходов воды при проектировании переходов через водотоки в зоне воздействия некапитальных плотин/ЦНИИС. - М.: 1981. - 18 с.
14. Учет деформаций речных русел и берегов водоемов в зоне подводных переходов магистральных трубопроводов
(ВСН 163-83), Миннефтегазстрой, - Л.: Гидрометеоиздат, 1985. - 144 с.
15. Рекомендации по учету деформаций речных русел при проектировании инженерных сооружений на реках Байкало-Амурской железнодорожной магистрали. - Л.: Гидрометеоиздат, 1983. - 72 с.
16. Бабков В.Ф., Андреев О.В. Проектирование автомобильных дорог, т. II. - М.: Транспорт, 1979. - 407 с.
17. Методические рекомендации по расчету местного размыва у опор мостов. Союздорнии, 1981. - 31 с.
18. Пичугов Г.С., Скворцов О.В. Учет формы воронки местного размыва при расчете свайных ростверков мостовых опор. - Науч. тр. Гипродорнии, 1985, вып. 46. - с. 93 - 100.
19. Пичугов Г.С. Исследование местного размыва у шпунтовых ограждений в руслах рек. - Науч. тр. МАДИ. Проектирование мостовых переходов. - М.: 1980, - с. 33 - 41.
20. Пичугов Г.С., Пустова Л.А. Определение местного размыва у мостовых опор на свайных ростверках. - Науч. тр. Гипродорнии, 1982, вып. 38. - с. 88 - 94.
21. Бегам Я.Г., Семенов Н.И. Защита от размывов переходов через водотоки. - М.: Транспорт, 1979. - 121 с.
22. Андрианов Ю.А. Защита оснований сооружений на водотоках от местного размыва. Транспортное строительство, 1986. 12. - с. 21 - 22.
23. Нагрузки и воздействия на гидротехнические сооружения (волновые, ледовые и от судов).
СНиП 2.06.04-82. Госстрой СССР. - М.: 1983. - 38 с.
24. Габариты подмостовые судоходных пролетов на внутренних водных путях. ГОСТ 26775-85. Госстрой СССР. - М. - 1986. - 11 с.
25. Автомобильные дороги.
СНиП 2.05.02-85 Госстрой СССР. - М.: 1985. - 153 с.
26. Земляное полотно автомобильных дорог общей сети Союза ССР. Типовые конструкции. Серия 3.503-32. Союздорпроект. - М.: 1975. - 85 с.
27. Технические указания по применению сборных решетчатых конструкций для укрепления конусов и откосов земляного полотна
(ВСН 181-74). - М.: Оргтрансстрой, 1974. - 50 с.
28. Альбом конструкций крепления откосов земляного полотна железных и автомобильных дорог общей сети Союза ССР. Мосгипротранс. Главтранспроект. - М.: 1970. - 197 с.
29. Методические рекомендации по расчету местной устойчивости грунтового основания плитной защиты откосов при волновом воздействии ЦНИИС. - М.: 1977. - 26 с.
30. Ярославцев И.А., Крылов В.В. Расчет работающих на волну плитных покрытий откосов по условию устойчивости оснований. Транспортное строительство, 1980, N 3.
31. Коган Л.Д., Углов В.П. Формы транспорта и расход наносов. В сб.: Гидрофизические процессы в реках и водохранилищах. - М.: Наука, 1982. - с. 131 - 132.
32. Дебольский В.К., Коган Л.Д. Исследование гидравлической крупности наносов горных рек. Метеорология и гидрология, 1973, N 4, с. 59 - 61.
33. Рекомендации по расчету отверстий мостов на реках горно-предгорной зоны. Минавтодор. - М.: 1980. - 32 с.