Главная // Актуальные документы // Государственная фармакопеяСПРАВКА
Источник публикации
М.: "Государственная фармакопея Российской Федерации. XIV издание", Том III, 2018
Примечание к документу
Документ утратил силу с 01.09.2023 в связи с введением в действие
ФС.2.1.0156, утв.
Приказом Минздрава России от 20.07.2023 N 377.
В соответствии с
Приказом Минздрава России от 31.10.2018 N 749 данный документ введен в действие с 01.12.2018.
Текст документа приведен в соответствии с публикацией на сайте http://femb.ru/femb/pharmacopea.php по состоянию на 15.03.2019.
Название документа
"ФС.2.1.0156.18. Фармакопейная статья. Периндоприл. Периндоприл-эрбумин"
(утв. и введена в действие Приказом Минздрава России от 31.10.2018 N 749)
("Государственная фармакопея Российской Федерации. XIV издание. Том III")
"ФС.2.1.0156.18. Фармакопейная статья. Периндоприл. Периндоприл-эрбумин"
(утв. и введена в действие Приказом Минздрава России от 31.10.2018 N 749)
("Государственная фармакопея Российской Федерации. XIV издание. Том III")
МИНИСТЕРСТВО ЗДРАВООХРАНЕНИЯ РОССИЙСКОЙ ФЕДЕРАЦИИ
ФАРМАКОПЕЙНАЯ СТАТЬЯ
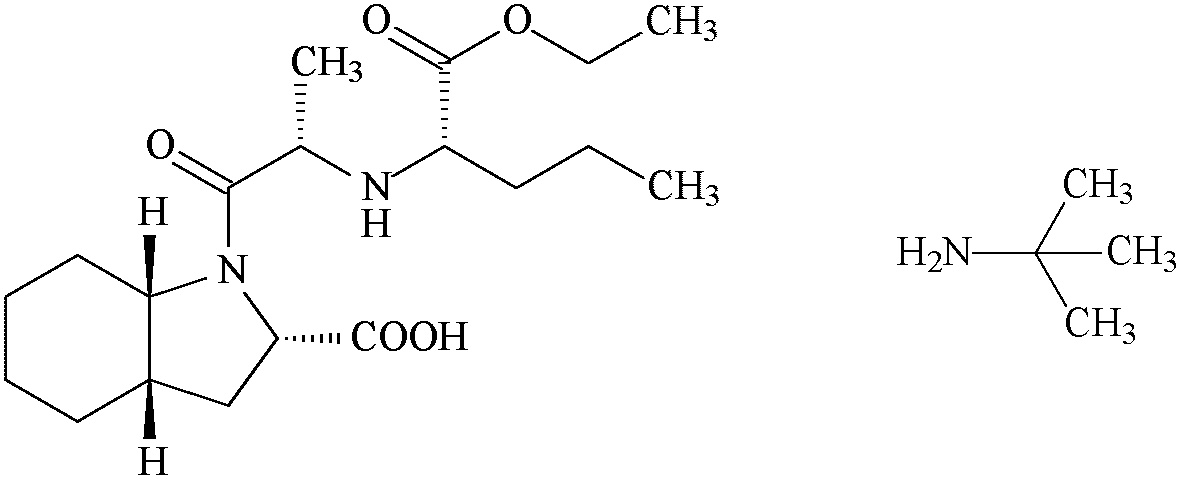
Периндоприл-эрбумин | ФС.2.1.0156.18 |
Периндоприл | |
Perindoprilum-erbuminum | Вводится впервые |
(2S,3aS,7aS)-1-[(2S)-2-{[(1S)-1-Оксо-1-этоксипентан-2-ил]амино}пропаноил]октагидро-1H-индол-2-карбоновая кислота - 2-метилпропан-2-амин (1/1) |
|
C19H32N2O5·C4H11N | М.м. 441,6 |
Содержит не менее 99,0% и не более 101,0% периндоприла-эрбумина C19H32N2O5·C4H11N в пересчете на безводное и свободное от остаточных органических растворителей вещество.
Описание. Белый или почти белый, слегка гигроскопичный кристаллический порошок.
<*> Обладает полиморфизмом.
--------------------------------
<*> Приводится для информации.
Растворимость. Легко растворим в воде и спирте 96%, растворим или умеренно растворим в метиленхлориде.
Подлинность
1. ИК-спектрометрия. Инфракрасный спектр субстанции, снятый в диске с калия бромидом, в области от 4000 до 400 см-1 по положению полос поглощения должен соответствовать спектру стандартного образца периндоприла.
Если спектры различаются, испытуемую субстанцию и стандартный образец по отдельности растворяют в минимальных объемах метиленхлорида, выпаривают досуха на водяной бане и записывают спектры сухих остатков.
2. ВЭЖХ. Время удерживания основного пика на хроматограмме испытуемой субстанции должно соответствовать времени удерживания основного пика на хроматограмме стандартного
образца ("Стереохимическая чистота").
3. Тонкослойная хроматография. Основная зона адсорбции на хроматограмме испытуемого раствора периндоприла, полученная в
испытании "Родственные примеси. Примесь A", по положению (
Rf) должна соответствовать зоне адсорбции с максимальным значением
Rf на хроматограмме раствора сравнения В (2-метилпропан-2-амин).
Удельное вращение. От -69 до -66 в пересчете на безводное вещество и свободное от остаточных органических растворителей (1% раствор субстанции в спирте 96%,
ОФС "Поляриметрия").
Родственные примеси
1. Примесь A. Определение проводят методом ТСХ (
ОФС "Тонкослойная хроматография").
Пластинка. ТСХ пластинка со слоем силикагеля.
Подвижная фаза (ПФ). Уксусная кислота ледяная - толуол - метанол 1:40:60.
Испытуемый раствор. 0,20 г субстанции растворяют в 10,0 мл метанола.
Раствор сравнения А. 5 мг стандартного образца примеси A ((2S,3aS,7aS)-Октагидро-1H-индол-2-карбоновая кислота, CAS 80875-98-5) растворяют в метаноле и доводят объем полученного раствора метанолом до 25,0 мл.
Раствор сравнения Б. 5,0 мл раствора сравнения А доводят метанолом до 20,0 мл.
Раствор сравнения В. К 5,0 мл раствора сравнения А прибавляют 5,0 мл 2% раствора 1,1-диметилэтиламина в метаноле.
На линию старта пластинки наносят по 10 мкл испытуемого раствора (200 мкг) и растворов сравнения Б (0,5 мкг) и В (1 мкг примеси A и 100 мкг 1,1-диметилэтиламина). Пластинку с нанесенными пробами сушат на воздухе в течение 5 мин, помещают в камеру с ПФ и хроматографируют восходящим способом. Когда фронт ПФ пройдет около 80 - 90% длины пластинки от линии старта, ее вынимают из камеры, сушат до удаления следов растворителей в потоке теплого воздуха и выдерживают не менее 20 часов в камере с парами йода.
Хроматографическая система считается пригодной, если на хроматограмме раствора сравнения В четко видны две зоны адсорбции.
На хроматограмме испытуемого раствора зона адсорбции, находящаяся на уровне зоны адсорбции примеси A, по совокупности величины и интенсивности окраски не должна превышать зону адсорбции на хроматограмме раствора сравнения Б (не более 0,25%).
2. Стереохимическая чистота. Определение проводят методом ВЭЖХ (
ОФС "Высокоэффективная жидкостная хроматография").
Подвижная фаза (ПФ). Ацетонитрил - пентанол - буферный раствор pH 2,0 21,7:0,3:78.
Буферный раствор pH 2,0. 1,5 г натрия гептансульфоната растворяют в 900,0 мл воды, доводят pH раствора до 2,0 +/- 0,1 хлорной кислотой, разведенной 1:1 водой, и доводят объем раствора водой до 1 л.
Испытуемый раствор. Около 20 мг (точная навеска) субстанции помещают в мерную колбу вместимостью 10 мл, растворяют в 5 мл спирта 96% и доводят тем же растворителем до метки.
Раствор сравнения А. 1,0 мл испытуемого раствора помещают в мерную колбу вместимостью 50 мл и доводят спиртом 96% до метки. 1,0 мл полученного раствора помещают в мерную колбу вместимостью 20 мл и доводят спиртом 96% до метки.
Раствор сравнения Б. Около 10 мг (точная навеска) стандартного образца периндоприла для проверки стереохимической чистоты, содержащего примесь I (rel-(2R,3aR,7aR)-1-[(2R)-2-{[(1S)-1-Оксо-1-этоксипентан-2-ил]амино}пропаноил]октагидро-1H-индол-2-карбоновая кислота, CAS 145513-33-3) помещают в мерную колбу вместимостью 5 мл, растворяют в 3,0 мл спирта 96% и доводят тем же растворителем до метки.
Хроматографические условия
Колонка | 25 x 0,46 см, силикагель октадецилсилильный, 5 мкм; |
Температура колонки | 50 °C (колонка и соединительная трубка перед ней); |
Скорость потока | 0,8 мл/мин; |
Детектор | спектрофотометрический, 215 нм; |
Объем пробы | 10 мкл; |
Время хроматографирования | 1,5-кратное от времени удерживания основного пика. |
Колонку уравновешивают не менее 4 часов. Хроматографируют испытуемый раствор и растворы сравнения А и Б.
Пригодность хроматографической системы с использованием растворов сравнения А и Б определяется в соответствии с
ОФС "Хроматография" со следующими изменениями. На хроматограмме раствора сравнения А
отношение сигнал/шум (
S/N) для пика периндоприла должно быть не менее 3. На хроматограмме раствора сравнения Б
отношение p/v между пиками примеси I и периндоприла должно быть не менее 3.
Идентификация примесей. Хроматограмма раствора сравнения Б и поставляемая со стандартным образцом периндоприла для проверки стереохимической чистоты используется для идентификации пика примеси I.
Относительные времена удерживания соединений. Периндоприл - 1 (около 100 мин); примесь I - около 0,9.
Допустимое содержание примесей. На хроматограмме испытуемого раствора:
- площадь пика примеси I должна быть не более площади основного пика на хроматограмме раствора сравнения А (не более 0,1%);
- площадь пика любой другой единичной примеси должна быть не более площади основного пика на хроматограмме раствора сравнения А (не более 0,1%).
Не учитывают пики с относительными временами удерживания менее 0,6 и более 1,4.
3. Примеси B, E, F, H и K. Определение проводят методом ВЭЖХ (
ОФС "Высокоэффективная жидкостная хроматография"). Растворы используют свежеприготовленными или хранят при температуре 10 °C не более суток.
Подвижная фаза А (ПФА). Вода, доведенная до pH 2,5 смесью равных объемов хлорной кислоты и воды.
Подвижная фаза Б (ПФБ). 0,03% (о/о) раствор хлорной кислоты в ацетонитриле.
Испытуемый раствор. Около 60 мг (точная навеска) субстанции растворяют в 10,0 мл ПФА и доводят объем раствора тем же растворителем до 20,0 мл.
Раствор сравнения А. 3 мг стандартного образца периндоприла для идентификации пиков (содержащего примеси B, E, F, H и K) растворяют в 1 мл ПФА.
Раствор сравнения Б. 1,0 мл испытуемого раствора доводят ПФА до 200,0 мл.
Раствор сравнения В. 2,0 мл раствора сравнения Б доводят ПФА до 20,0 мл.
Примечание.
Примесь B - (2S,3aS,7aS)-1-[(2S)-2-{[(1S)-1-Карбоксибутил]амино}пропаноил]октагидро-1H-индол-2-карбоновая кислота, CAS 95153-31-4;
примесь E - (2S,3aS,7aS)-1-[(2S)-2-{[(1S)-1-Оксо-1-(пропан-2-илокси)пентан-2-ил]амино}пропаноил]октагидро-1H-индол-2-карбоновая кислота, CAS 1356837-89-2;
примесь F - Этил[(2S)-2-[(3S,5aS,9aS,10aS)-3-метил-1,4-диоксодекагидропиразино[1,2-a]индол-2-ил]пентаноат], CAS 129970-98-5;
примесь H - (2S,3aS,7aS)-1-[(2S)-2-[(5RS)-4-Оксо-5-пропил-3-циклогексил-2-(циклогексилимино)имидазолидин-1-ил]пропаноил]оксагидро-1H-индол-2-карбоновая кислота, CAS 353777-64-7;
примесь K - (3S,5aS,9aS,10aS)-3-Метилдекагидропиразино[1,2-a]индол-1,4-дион, PubChem 76967611, ChemSpider 32698382.
Хроматографические условия
Колонка | 15 x 0,4 см, силикагель октилсильный эндкепированный сферический, 5 мкм, размер пор - 15 нм; |
Температура колонки | 60 °C; |
Скорость потока | 1,0 мл/мин; |
Детектор | спектрофотометрический, 215 нм; |
Объем пробы | 20 мкл. |
Режим хроматографирования
Время, мин | ПФА, % | ПФБ, % |
0 - (5 - t) | 95 | 5 |
(5 - t) - (60 - t) | | |
(60 - t) - (65 - t) | | |
Изократический этап изложен для хроматографической системы с объемом задержки (D) 2 мл. Если D отличен от 2 мл, следует скорректировать времена градиента на величину t, рассчитываемую по формуле:
Хроматографируют испытуемый раствор и растворы сравнения А, Б и В.
Пригодность хроматографической системы. На хроматограмме раствора сравнения А отношение p/v между пиками примесей B и K должно быть не менее 3.
Идентификация примесей. Хроматограмма, прилагаемая к стандартному образцу периндоприла для идентификации пиков, и хроматограмма раствора сравнения А используется для идентификации примесей B, E, F, H и K.
Относительные времена удерживания соединений. Периндоприл - 1 (около 25 мин); примесь B - около 0,68; примесь K - около 0,72; примесь E - около 1,2; примесь F - около 1,6; примесь H - около 1,8 (выходит в виде одного или двух пиков).
Допустимое содержание примесей. На хроматограмме испытуемого раствора:
- площадь пика примеси E должна быть не более 0,8 площади основного пика на хроматограмме раствора сравнения Б (не более 0,4%);
- площадь пика примеси B должна быть не более 0,6 площади основного пика на хроматограмме раствора сравнения Б (не более 0,3%);
- площадь каждого пика примесей F и H должна быть не более 0,4 площади основного пика на хроматограмме раствора сравнения Б (не более 0,2%);
- площадь пика любой другой единичной примеси должна быть не более 0,2 площади основного пика на хроматограмме раствора сравнения Б (не более 0,1%);
- суммарная площадь пиков всех примесей не должна более чем в 2 раза превышать площадь основного пика на хроматограмме раствора сравнения Б (не более 1,0%).
Не учитывают пики, площадь которых менее площади основного пика на хроматограмме раствора сравнения В (менее 0,05%).
Вода. Не более 1,0% (
ОФС "Определение воды", метод 1). Для определения используют около 0,5 г (точная навеска) субстанции.
Сульфатная зола. Не более 0,1% (
ОФС "Сульфатная зола"). Для определения используют около 1,0 г (точная навеска) субстанции.
Тяжелые металлы. Не более 0,002%. Определение проводят в соответствии с ОФС "Тяжелые металлы",
метод 2, в зольном остатке, полученном после сжигания 1,0 г субстанции, с использованием эталонного раствора 2.
Остаточные органические растворители. В соответствии с
ОФС "Остаточные органические растворители".
Микробиологическая чистота. В соответствии с
ОФС "Микробиологическая чистота".
Количественное определение. Определение проводят методом титриметрии.
Около 0,18 г (точная навеска) субстанции растворяют в 50 мл уксусной кислоты безводной и титруют 0,1 М раствором хлорной кислоты. Конечную точку титрования определяют потенциометрически (
ОФС "Потенциометрическое титрование").
Параллельно проводят контрольный опыт.
1 мл 0,1 М раствора хлорной кислоты соответствует 22,08 мг периндоприла C19H32N2O5·C4H11N.
Хранение. В плотно закрытой упаковке, в защищенном от света месте при температуре не выше 25 °C.