Главная // Актуальные документы // Государственная фармакопея
СПРАВКА
Источник публикации
М.: "Государственная фармакопея Российской Федерации. XIV издание", Том III, 2018
Примечание к документу
Документ утратил силу с 01.09.2023 в связи с введением в действие ФС.2.1.0119, утв. Приказом Минздрава России от 20.07.2023 N 377.

В соответствии с Приказом Минздрава России от 31.10.2018 N 749 данный документ введен в действие с 01.12.2018.

Текст документа приведен в соответствии с публикацией на сайте http://femb.ru/femb/pharmacopea.php по состоянию на 21.12.2018.

Взамен ГФ X, ст. 589.
Название документа
"ФС.2.1.0119.18. Фармакопейная статья. Лактоза. Лактозы моногидрат"
(утв. и введена в действие Приказом Минздрава России от 31.10.2018 N 749)
("Государственная фармакопея Российской Федерации. XIV издание. Том III")


"ФС.2.1.0119.18. Фармакопейная статья. Лактоза. Лактозы моногидрат"
(утв. и введена в действие Приказом Минздрава России от 31.10.2018 N 749)
("Государственная фармакопея Российской Федерации. XIV издание. Том III")

МИНИСТЕРСТВО ЗДРАВООХРАНЕНИЯ РОССИЙСКОЙ ФЕДЕРАЦИИ
ФАРМАКОПЕЙНАЯ СТАТЬЯ
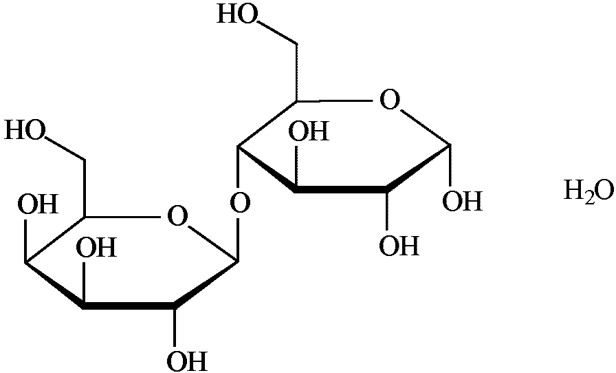
Лактозы моногидрат
ФС.2.1.0119.18
Лактоза
Lactosum monohydricum
Взамен ГФ X, ст. 589
C12H22O11·H2O
М.м. 360,31
Описание. Белый или почти белый кристаллический порошок или белые кристаллы.
Растворимость. Легко растворим в воде, очень мало растворим или практически нерастворим в спирте 96%, практически нерастворим в хлороформе.
Подлинность.
1. ИК-спектрометрия. Инфракрасный спектр субстанции, снятый в диске с калия бромидом, в области от 4000 до 400 см-1 по положению полос поглощения должен соответствовать спектру стандартного образца лактозы.
2. Качественная реакция. 5 г субстанции растворяют в воде и доводят водой до 100,0 мл. К 5 мл полученного раствора прибавляют 5 мл медно-тартратного реактива и смесь нагревают до кипения; должен выпасть желтый осадок, переходящий затем в коричневато-красный.
Удельное вращение. От +54,4 до +55,9 в пересчете на безводное вещество (5% раствор субстанции в воде, ОФС "Поляриметрия"). 10 г субстанции растворяют в 80 мл воды при нагревании до 50 °C. Охлаждают и прибавляют 0,2 мл 6 М раствора аммиака. Выдерживают 30 минут и доводят объем раствора водой до 100 мл.
Прозрачность раствора. 1 г субстанции растворяют в 10 мл кипящей воды. Раствор должен быть прозрачным (ОФС "Прозрачность и степень мутности жидкостей").
Цветность раствора. Раствор, полученный в испытании "Прозрачность раствора", должен выдерживать сравнение с эталоном BY7 (ОФС "Степень окраски жидкостей", метод 2).
Оптическая плотность
Испытуемый раствор А. 2,0 г субстанции растворяют в кипящей воде и доводят объем раствора водой до 20,0 мл.
Испытуемый раствор Б. 2,0 мл испытуемого раствора А доводят водой до 20,0 мл.
Оптическая плотность раствора А, измеренная в кювете с толщиной слоя 1 см при длине волны 400 нм, не должна превышать 0,04 (ОФС "Спектрофотометрия в ультрафиолетовой и видимой областях").
Оптическая плотность раствора Б, измеренная в кювете с толщиной слоя 1 см в области от 210 до 220 нм, не должна превышать 0,25 (ОФС "Спектрофотометрия в ультрафиолетовой и видимой областях").
Оптическая плотность раствора Б, измеренная в кювете с толщиной слоя 1 см в области от 270 до 300 нм, не должна превышать 0,07 (ОФС "Спектрофотометрия в ультрафиолетовой и видимой областях").
Кислотность. 2,5 г субстанции растворяют в 50 мл воды и прибавляют несколько капель раствора фенолфталеина; красное окрашивание должно появиться от прибавления не более 0,1 мл натрия гидроксида раствора 0,1 М.
Вода. Не менее 4,5% и не более 5,5% (ОФС "Определение воды", метод 1). Для определения около 0,5 г (точная навеска) субстанции растворяют в смеси формамид - метанол 1:2.
Декстрин. К 2 г измельченной субстанции прибавляют 20 мл спирта 70%, имеющего температуру 15°, и часто встряхивают в течение 30 минут при 15°, а затем фильтруют. 10 мл этого фильтрата при смешении с равным объемом этанола должны давать прозрачный раствор.
Глюкоза или сахароза. Не более 0,5%. 10 мл фильтрата, полученного в испытании "Декстрин", выпаривают в предварительно взвешенном тигле досуха на водяной бане. Масса остатка не должна превышать 5 мг.
Крахмал. 1,5 г субстанции растворяют в 10 мл кипящей воды. При прибавлении к охлажденному раствору 0,05 мл йода раствора 0,05 М не должно появляться синее окрашивание.
Хлориды. Не более 0,004% (ОФС "Хлориды"). 2 г субстанции растворяют в 40 мл воды. Для определения используют 10 мл полученного раствора.
Кальций. Не более 0,06% (ОФС "Кальций", метод 1). Для определения используют 10 мл раствора, полученного в испытании "Хлориды".
Сульфаты. Не более 0,02% (ОФС "Сульфаты", метод 2). Для определения используют 10 мл раствора, полученного в испытании "Хлориды".
Тяжелые металлы. Не более 0,0005% (ОФС "Тяжелые металлы", метод 2). 4 г субстанции растворяют в 20 мл кипящей воды. Для определения используют 10 мл полученного раствора.
Сульфатная зола. Не более 0,1% (ОФС "Сульфатная зола"). Для определения используют около 1,0 г (точная навеска) субстанции.
Остаточные органические растворители. В соответствии с ОФС "Остаточные органические растворители".
Микробиологическая чистота. В соответствии с ОФС "Микробиологическая чистота".
Хранение. В плотно закрытой упаковке.