Главная // Актуальные документы // Государственная фармакопеяСПРАВКА
Источник публикации
М.: "Государственная фармакопея Российской Федерации. XIV издание", Том III, 2018
Примечание к документу
В соответствии с
Приказом Минздрава России от 31.10.2018 N 749 данный документ введен в действие с 01.12.2018.
Текст документа приведен в соответствии с публикацией на сайте http://femb.ru/femb/pharmacopea.php по состоянию на 26.12.2018.
Взамен ГФ X, ст. 228.
Название документа
"ФС.2.1.0168.18. Фармакопейная статья. Прометазина гидрохлорид. Прометазин"
(утв. и введена в действие Приказом Минздрава России от 31.10.2018 N 749)
("Государственная фармакопея Российской Федерации. XIV издание. Том III")
"ФС.2.1.0168.18. Фармакопейная статья. Прометазина гидрохлорид. Прометазин"
(утв. и введена в действие Приказом Минздрава России от 31.10.2018 N 749)
("Государственная фармакопея Российской Федерации. XIV издание. Том III")
МИНИСТЕРСТВО ЗДРАВООХРАНЕНИЯ РОССИЙСКОЙ ФЕДЕРАЦИИ
ФАРМАКОПЕЙНАЯ СТАТЬЯ
Прометазина гидрохлорид | ФС.2.1.0168.18 |
Прометазин | |
Promethazini hydrochloridum | Взамен ГФ X, ст. 228 |
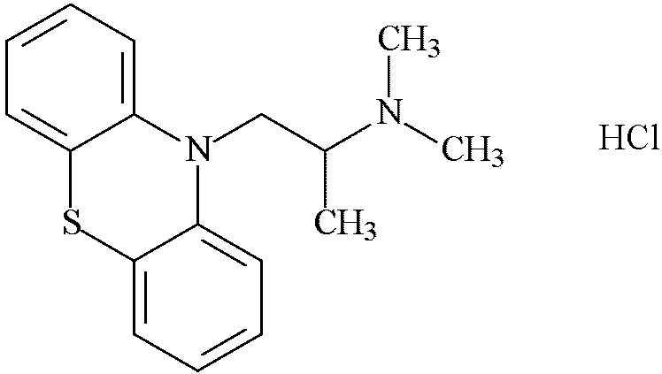
(2RS)-N,N-Диметил-1-(10H-фенотиазин-10-ил) пропан-2-амина гидрохлорид |
|
C17H20N2S·HCl | М.м. 320,88 |
Содержит не менее 99,0% и не более 101,0% прометазина гидрохлорида C17H20N2S·HCl в пересчете на сухое вещество.
Описание. Белый или желтоватый кристаллический порошок.
Растворимость. Очень легко растворим в воде, легко растворим в спирте 96%, метиленхлориде и хлороформе.
Подлинность
1. ИК-спектрометрия. Инфракрасный спектр субстанции, снятый в диске с калия бромидом, в области от 4000 до 400 см-1 по положению полос поглощения должен соответствовать спектру стандартного образца прометазина гидрохлорида.
2. Качественная реакция. 50 мг субстанции растворяют в 10 мл воды, прибавляют 1 мл бромной воды и нагревают до кипения; должно появиться темно-вишневое окрашивание со взвешенным осадком.
3. Качественная реакция. 0,1 г субстанции растворяют в 5 мл воды и прибавляют 0,5 мл 10% раствора натрия гидроксида, тотчас же должен выпасть осадок белого цвета; через 5 мин фильтруют; фильтрат должен давать характерную реакцию на хлориды (
ОФС "Общие реакции на подлинность").
Температура плавления. От 221 до 225 °C (с разложением, ОФС "Температура плавления",
метод 1).
Прозрачность раствора. Раствор 0,25 г препарата в 10 мл воды, свободной от углерода диоксида, должен быть прозрачным (
ОФС "Прозрачность и степень мутности жидкостей").
Цветность раствора. Раствор, полученный в
испытании "Прозрачность раствора", должен быть бесцветным (ОФС "Степень окраски жидкостей",
метод 2).
pH. От 4,0 до 5,0 (10% раствор, ОФС "Ионометрия",
метод 3).
Родственные примеси. Определение проводят методом ВЭЖХ (
ОФС "Высокоэффективная жидкостная хроматография").
Испытуемый раствор и растворы сравнения защищают от света и используют свежеприготовленными.
Раствор калия дигидрофосфата. 3,4 г калия дигидрофосфата растворяют в 500 мл воды, доводят pH калия гидроксида раствором 10% до 7,0 +/- 0,05 и доводят объем раствора водой до 1 л.
Подвижная фаза (ПФ). Метанол - ацетонитрил - раствор калия дигидрофосфата 20:30:50.
Смесь растворителей. Триэтиламин - метанол 1:1000.
Испытуемый раствор. Около 25 мг (точная навеска) субстанции помещают в мерную колбу вместимостью 50 мл, растворяют в смеси растворителей и доводят объем раствора этим же растворителем до метки.
Раствор сравнения А. 2,5 мг стандартного образца прометазина для идентификации пиков, содержащего примеси A, B и C, растворяют в 5,0 мл смеси растворителей.
Раствор сравнения Б. 1,0 мл испытуемого раствора помещают в мерную колбу вместимостью 50 мл и доводят объем раствора смесью растворителей до метки. 1,0 мл полученного раствора помещают в мерную колбу вместимостью 20 мл и доводят объем раствора смесью растворителей до метки.
Раствор сравнения В. 5,0 мг стандартного образца примеси D помещают в мерную колбу вместимостью 100 мл, растворяют в смеси растворителей и доводят смесью растворителей до метки. 1,0 мл полученного раствора помещают в мерную колбу вместимостью 100 мл и доводят смесью растворителей до метки.
Примечание:
примесь A: 10H-фенотиазин, CAS 92-84-2;
примесь B: (2RS)-N,N-диметил-2-(10H-фенотиазин-10-ил)пропан-1-амин, CAS 303-14-0;
примесь C: (2RS)-N-метил-1-(10H-фенотиазин-10-ил)пропан-2-амин, CAS 37707-23-6;
примесь D:

, CAS 7640-51-9.
Хроматографические условия
Колонка | 15 x 0,46 см, силикагель октилсилильный эндкепированный для хроматографии с полярными группами (C8), 5 мкм; |
Температура колонки | 25 °C; |
Скорость потока | 1,0 мл/мин; |
Детектор | спектрофотометрический, 254 нм; |
Объем пробы | 10 мкл; |
Время хроматографирования | 2,5-кратное от времени удерживания основного пика. |
Хроматографируют испытуемый раствор и растворы сравнения А, Б и В.
Идентификация примесей. Хроматограмма, прилагаемая к стандартному образцу прометазина для идентификации примесей и хроматограмма раствора сравнения А используются для идентификации пиков примесей A, B и C. Хроматограмма раствора сравнения В используется для идентификации пика примеси D.
Относительное время удерживания соединений. Прометазин - 1 (около 18 мин); примесь D - около 0,2; примесь C - около 0,5; примесь B - около 1,4; примесь A - около 1,8.
Пригодность хроматографической системы определяют в соответствии с
ОФС "Хроматография" со следующими уточнениями. На хроматограмме раствора сравнения А:
- разрешение (R) между пиками примесей A и B должно быть не менее 2;
- расположение пиков должно быть аналогично таковому на хроматограмме, прилагаемой к стандартному образцу прометазина для идентификации примесей.
Поправочные коэффициенты. Для расчета содержания площадь пика примеси A умножается на 0,5.
Допустимое содержание примесей. На хроматограмме испытуемого раствора:
- площадь пика примеси B должна быть не более 8-кратной площади основного пика на хроматограмме раствора сравнения Б (не более 0,8%);
- площадь пика примеси C должна быть не более 2-кратной площади основного пика на хроматограмме раствора сравнения Б (не более 0,2%);
- площадь пика примеси A должна быть не более площади основного пика на хроматограмме раствора сравнения Б (не более 0,1%);
- площадь пика примеси D должна быть не более площади основного пика на хроматограмме раствора сравнения В (не более 0,1%);
- площадь пика любой другой примеси должна быть не более площади основного пика на хроматограмме раствора сравнения Б (не более 0,1%);
- суммарная площадь пиков всех примесей должна быть не более 12-кратной площади основного пика на хроматограмме раствора сравнения Б (не более 1,2%).
Не учитывают пики, площадь которых менее 0,5 площади основного пика на хроматограмме раствора сравнения Б (менее 0,05%).
Сульфаты. Не более 0,05% (ОФС "Сульфаты",
метод 1). 0,2 г субстанции растворяют в 10 мл воды.
Потеря в массе при высушивании. Не более 0,5% (ОФС "Потеря в массе при высушивании",
способ 1). Для определения используют около 1,0 г (точная навеска) субстанции.
Сульфатная зола. Не более 0,1% (
ОФС "Сульфатная зола"). Для определения используют около 1,0 г (точная навеска) субстанции.
Тяжелые металлы. Не более 0,001%. Определение проводят в соответствии с ОФС "Тяжелые металлы",
метод 2, в зольном остатке, полученном после сжигания 1,0 г субстанции, с использованием эталонного раствора 1.
Остаточные органические растворители. В соответствии с
ОФС "Остаточные органические растворители".
<*> Бактериальные эндотоксины. Не более 5,0 ЕЭ на 1 мг субстанции (
ОФС "Бактериальные эндотоксины").
--------------------------------
<*> Контроль по
показателю качества "Бактериальные эндотоксины" проводят в субстанции, предназначенной для производства лекарственных препаратов для парентерального применения.
Микробиологическая чистота. В соответствии с
ОФС "Микробиологическая чистота".
Количественное определение. Определение проводят методом титриметрии.
Около 0,25 г (точная навеска) предварительно высушенной субстанции растворяют в 50 мл смеси уксусного ангидрида и безводной уксусной кислоты 7:3 и титруют 0,1 М раствором хлорной кислоты. Конечную точку титрования определяют потенциометрически (
ОФС "Потенциометрическое титрование").
Параллельно проводят контрольный опыт.
1 мл 0,1 М раствора хлорной кислоты соответствует 32,09 мг прометазина гидрохлорида C17H20N2S·HCl.
Хранение. В плотно закрытой упаковке в защищенном от света месте.