Главная // Актуальные документы // Государственная фармакопея
СПРАВКА
Источник публикации
М.: "Государственная фармакопея Российской Федерации. XIV издание", Том III, 2018
Примечание к документу
В соответствии с Приказом Минздрава России от 31.10.2018 N 749 данный документ введен в действие с 01.12.2018.

Текст документа приведен в соответствии с публикацией на сайте http://femb.ru/femb/pharmacopea.php по состоянию на 18.12.2018.

Взамен ГФ X, ст. 94.
Название документа
"ФС.2.1.0064.18. Фармакопейная статья. Бензилпенициллин калия"
(утв. и введена в действие Приказом Минздрава России от 31.10.2018 N 749)
("Государственная фармакопея Российской Федерации. XIV издание")


"ФС.2.1.0064.18. Фармакопейная статья. Бензилпенициллин калия"
(утв. и введена в действие Приказом Минздрава России от 31.10.2018 N 749)
("Государственная фармакопея Российской Федерации. XIV издание")

МИНИСТЕРСТВО ЗДРАВООХРАНЕНИЯ РОССИЙСКОЙ ФЕДЕРАЦИИ
ФАРМАКОПЕЙНАЯ СТАТЬЯ
Бензилпенициллин калия
Бензилпенициллин
Benzylpenicillinum kalicum
ФС.2.1.0064.18
Взамен ГФ X, ст. 94
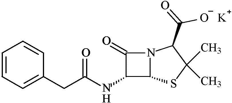
(2S,5R,6R)-3,3-диметил-7-оксо-6-[(2-фенилацетил)амино]-4-тиа-1-азабицикло[3.2.0]гептан-2-карбоксилат калия
C16H17KN2O4S
М.м. 372,48
Содержит не менее 96,0% и не более 102,0% бензилпенициллина калия C16H17KN2O4S в пересчете на сухое вещество.
Примечание. При определении активности биологическим методом общая активность субстанции (сумма пенициллинов) не менее 96%. Теоретическая активность бензилпенициллина калия 1600 ЕД/мг; 0,5988 мкг химически чистой субстанции бензилпенициллина натрия соответствует одной единице действия (ЕД) (ОФС "Определение антимикробной активности антибиотиков методом диффузии в агар").
Точность определения должна быть такой, чтобы доверительные пределы при P = 95% отклонялись от среднего значения не более чем на 5% (ОФС "Статистическая обработка результатов определения специфической фармакологической активности лекарственных средств биологическими методами").
Средняя величина найденной активности должна быть не менее 1530 ЕД/мг.
Описание. Белый или почти белый кристаллический порошок, слегка гигроскопичен. Легко разрушается при действии кислот, щелочей и окислителей, при нагревании в водных растворах, а также при действии пенициллиназы. Медленно разрушается при хранении в растворах при комнатной температуре.
Растворимость. Очень легко растворим в воде, растворим в спирте 90% и метаноле.
Подлинность
1. ИК-спектрометрия. Инфракрасный спектр субстанции, снятый в диске с калия бромидом, в области от 4000 до 400 см-1 по положению полос поглощения должен соответствовать спектру стандартного образца бензилпенициллина калия.
2. Тонкослойная хроматография (ОФС "Тонкослойная хроматография").
Пластинка. ТСХ пластинка со слоем силикагеля силанизированного.
Подвижная фаза (ПФ). Аммония ацетата раствор 15%, предварительно доведенный уксусной кислотой ледяной до pH 5,0 - ацетон 70:30.
ИС МЕГАНОРМ: примечание.
Текст дан в соответствии с официальным текстом документа.
Испытуемый раствор. Растворяют 25 мг субстанции т в 5 мл воды.
Раствор сравнения А. Растворяют 25 мг стандартного образца бензилпенициллина калия в 5,0 мл воды.
Раствор сравнения Б. Растворяют 25 мг стандартного образца бензилпенициллина калия и 25 мг стандартного образца феноксиметилпенициллина калия (CAS 132-98-9) в 5,0 мл воды.
Раствор для проверки пригодности хроматографической системы. На линию старта пластинки наносят по 1 мкл испытуемого раствора (5 мкг), раствора сравнения А (5 мкг) и раствора сравнения Б (5 мкг; 5 мкг). Пластинку сушат на воздухе, помещают в камеру с ПФ и хроматографируют восходящим способом. Когда фронт растворителей пройдет 80 - 90% длины пластинки от линии старта, ее вынимают из камеры, сушат на воздухе до удаления следов растворителей, выдерживают над парами йода до проявления зон адсорбции и просматривают при дневном свете.
Основная зона адсорбции на хроматограмме испытуемого раствора по положению, интенсивности окраски и величине должна соответствовать зоне адсорбции на хроматограмме раствора сравнения А.
Зоны адсорбции на линии старта не учитывают.
Результаты анализа считаются достоверными, если на хроматограмме раствора сравнения Б наблюдаются две четко разделенных зоны адсорбции.
3. Качественная реакция. Несколько кристаллов субстанции помещают на предметное стекло или в фарфоровую чашку, прибавляют 50,0 мкл раствора, состоящего из 1 мл 1 М раствора гидроксиламина гидрохлорида и 0,3 мл 1 М раствора натрия гидроксида. Через 2 - 3 мин к смеси прибавляют 50 мкл 1 М раствора уксусной кислоты и тщательно перемешивают, затем прибавляют 50 мкл 5% раствора меди (II) нитрата; должен выпасть осадок зеленого цвета.
4. Качественная реакция. Около 0,1 г субстанции сжигают в тигле. Остаток должен давать характерную реакцию А на калий (ОФС "Общие реакции на подлинность").
Удельное вращение. От +270 до +300 в пересчете на сухое безводное вещество (2% водный раствор субстанции, ОФС "Поляриметрия").
<*> Прозрачность раствора. Свежеприготовленный 30% раствор субстанции в воде должен выдерживать сравнение с эталоном I (ОФС "Прозрачность и степень мутности жидкостей").
<*> Цветность раствора. Раствор, полученный в испытании "Прозрачность раствора", должен выдерживать сравнение с эталоном Y5 (ОФС "Степень окраски жидкостей", метод 2).
Показатель поглощения. Оптическая плотность 0,188% водного раствора субстанции в кювете с толщиной слоя 1 см при длинах волн 280 нм и 325 нм должна быть не более 0,10 и в максимуме поглощения при длине волны 264 нм должна быть от 0,80 до 0,88 (ОФС "Спектрофотометрия в ультрафиолетовой и видимой областях").
При необходимости раствор дополнительно разводят для измерения при длине волны 264 нм. Оптическую плотность определяют в пересчете на основание для неразбавленного раствора (1,88 мг/мл).
pH. От 5,5 до 7,5 (2% водный раствор, ОФС "Ионометрия", метод 3).
Родственные примеси. Определение проводят методом ВЭЖХ (ОФС "Высокоэффективная жидкостная хроматография").
Растворы готовят непосредственно перед использованием.
Подвижная фаза А (ПФ А). Калия дигидрофосфата 0,5 М раствор, доведенный фосфорной кислотой разведенной 10% до pH 3,5 +/- 0,1 - метанол - вода 10:30:60.
Подвижная фаза Б (ПФ Б). Калия дигидрофосфата 0,5 М раствор, доведенный фосфорной кислотой разведенной 10% до pH 3,5 +/- 0,1 - метанол - вода 10:40:50.
Испытуемый раствор А. Около 50,0 мг (точная навеска) субстанции растворяют в воде и доводят тем же растворителем до 50,0 мл.
Испытуемый раствор Б. Около 80,0 мг (точная навеска) субстанции растворяют в воде и доводят объем раствора тем же растворителем до 20,0 мл.
Раствор сравнения А. Около 50,0 мг (точная навеска) стандартного образца бензилпенициллина натрия растворяют в воде и доводят объем раствора тем же растворителем до 50,0 мл.
Раствор сравнения Б. Растворяют 10 мг стандартного образца бензилпенициллина натрия и 10 мг фенилуксусной кислоты (примесь В, CAS 103-82-2) в воде и доводят объем раствора тем же растворителем до 50 мл.
Раствор сравнения В. 4,0 мл раствора сравнения А доводят водой до 100,0 мл.
Хроматографические условия
Колонка
25 x 0,46 см силикагель октадецилсилильный для хроматографии (C18), 5 мкм;
Температура колонки
25 °C;
Скорость потока
1,0 мл/мин;
Детектор
спектрофотометрический, 225 нм;
Объем пробы
20 мкл.
Режим хроматографирования
Время, мин
ПФ А, %
ПФ Б, %
Режим
0 - tR
70
30
Изократический
tR - (tR + 20)
Линейный градиент
(tR + 20) - (tR + 35)
0
100
Изократический
(tR + 35) - (tR + 50)
70
30
Изократический
tR - время удерживания пика бензилпенициллина на хроматограмме раствора сравнения B.
Хроматографируют испытуемый раствор Б и раствор сравнения Б в изократическом режиме, раствор сравнения В и воду (холостой раствор) в градиентном режиме.
Пригодность хроматографической системы. На хроматограмме раствора сравнения Б разрешение (R) между пиками примеси В и бензилпенициллина должно быть не менее 6,0.
Допустимое содержание примесей. На хроматограмме испытуемого раствора Б:
- площадь пика любой примеси должна быть не более площади основного пика на хроматограмме раствора сравнения В (не более 1%).
2-Этилгексановая кислота. Не более 0,5% (м/м) (ОФС "Определение 2-этилгексановой кислоты").
Потеря в массе при высушивании. Не более 1,0% (ОФС "Потеря в массе при высушивании", способ 1). Для определения используют около 2,0 г (точная навеска) субстанции.
Остаточные органические растворители. В соответствии с ОФС "Остаточные органические растворители".
<*> Аномальная токсичность. Субстанция должна быть нетоксичной (ОФС "Аномальная токсичность"). Тест-доза - 5000 ЕД (активного вещества) субстанции в 0,5 мл воды на мышь, внутривенно. Срок наблюдения 48 ч.
<*> Бактериальные эндотоксины. Не более 0,16 ЕЭ на 1 мг субстанции (ОФС "Бактериальные эндотоксины").
Микробиологическая чистота. В соответствии с ОФС "Микробиологическая чистота".
<*> Стерильность. Субстанция должна быть стерильной (ОФС "Стерильность").
--------------------------------
<*> Контроль по показателям качества "Прозрачность раствора", "Цветность раствора", "Аномальная токсичность", "Бактериальные эндотоксины" и "Стерильность" проводят в субстанции, предназначенной для производства лекарственных препаратов для парентерального применения.
Количественное определение. Испытание проводят методом ВЭЖХ по методике, описанной в разделе "Родственные примеси".
Хроматографируют испытуемый раствор А и раствор сравнения А.
Содержание бензилпенициллина калия C16H17KN2O4S в субстанции в процентах (X) в пересчете на сухое вещество вычисляют по формуле:
где S1 - площадь пика бензилпенициллина калия на хроматограмме испытуемого раствора А;
S0 - площадь пика бензилпенициллина натрия на хроматограмме раствора сравнения А;
a1 - навеска субстанции, мг;
a0 - навеска стандартного образца бензилпенициллина натрия, мг;
W - потеря в массе при высушивании, %;
P - содержание основного вещества в стандартном образце бензилпенициллина натрия, %;
1,045 - коэффициент пересчета бензилпенициллина натрия на бензилпенициллин калия.
Хранение. В плотно закрытой упаковке, в сухом, защищенном от света месте при температуре не выше 25 °C.