Главная // Актуальные документы // Государственная фармакопеяСПРАВКА
Источник публикации
Документ опубликован не был
Примечание к документу
Текст документа приведен в соответствии с публикацией на сайте https://minzdrav.gov.ru/ по состоянию на 15.08.2023.
В соответствии с
Приказом Минздрава России от 20.07.2023 N 377 данный документ введен в действие с 01.09.2023.
Название документа
"ОФС.1.4.2.0008. Общая фармакопейная статья. Однородность дозирования"
(утв. и введена в действие Приказом Минздрава России от 20.07.2023 N 377)
("Государственная фармакопея Российской Федерации. XV издание")
"ОФС.1.4.2.0008. Общая фармакопейная статья. Однородность дозирования"
(утв. и введена в действие Приказом Минздрава России от 20.07.2023 N 377)
("Государственная фармакопея Российской Федерации. XV издание")
МИНИСТЕРСТВО ЗДРАВООХРАНЕНИЯ РОССИЙСКОЙ ФЕДЕРАЦИИ
ОБЩАЯ ФАРМАКОПЕЙНАЯ СТАТЬЯ
Однородность дозирования | ОФС.1.4.2.0008 |
|
Настоящая общая фармакопейная статья предназначена для определения однородности дозирования и применима к дозированным лекарственным формам (таблеткам, капсулам, суппозиториям и др.) и лекарственным формам в однодозовых индивидуальных упаковках (гранулам, порошкам и др.), содержащим как одно, так и несколько действующих веществ.
Дозированными единицами называют дозированные лекарственные формы, содержащие одну или часть дозы действующего вещества в каждой дозированной единице.
Целью испытания на однородность дозирования является контроль равномерности распределения действующего вещества (веществ) по отдельно взятым единицам дозированной лекарственной формы. Результаты испытания позволяют количественно оценить показатели, характеризующие разброс в содержании одного или нескольких действующих веществ по отдельно взятым единицам испытуемого дозированного лекарственного препарата.
Если не указано иначе в фармакопейной статье данное испытание не проводят для растворов, суспензий, эмульсий и гелей в однодозовых индивидуальных упаковках, предназначенных для местного и наружного применения.
Данному испытанию, как правило, не подвергают лекарственные препараты, содержащие витамины, микроэлементы, активные компоненты растительного или животного происхождения, и другие лекарственные препараты при наличии соответствующего обоснования.
Испытание на однородность дозирования лекарственных форм может быть выполнено двумя способами:
- количественным определением содержания действующего вещества по отдельности в каждой отобранной для испытания единице дозированной лекарственной формы (
способ 1, прямого определения);
- точным определением массы нетто каждой отобранной для испытания единицы дозированной лекарственной формы (
способ 2, расчетно-массовый).
Способ 1 применим для оценки однородности дозирования любых дозированных лекарственных форм и лекарственных форм в однодозовых индивидуальных упаковках.
Способ 2 применим для оценки однородности дозирования следующих лекарственных форм:
- растворы в однодозовых упаковках и мягких капсулах;
- твердые лекарственные формы (включая порошки, гранулы и другие твердые стерильные лекарственные формы) в однодозовых упаковках и не содержащие других действующих и вспомогательных веществ;
- твердые лекарственные формы (включая твердые стерильные лекарственные формы) в однодозовых упаковках с добавлением или без добавления действующих или вспомогательных веществ, полученные из истинных растворов путем лиофилизации в конечной упаковке, на этикетке которых указан данный способ получения препарата;
- твердые капсулы, таблетки без оболочки или таблетки, покрытые пленочной оболочкой с содержанием действующего вещества 25 мг и более и 25% и более от массы дозированной единицы или от массы содержимого твердой капсулы; при этом, если содержание других действующих веществ в лекарственной форме меньше указанных значений, то их однородность дозирования определяют по
способу 1.
Условиями, определяющими возможность применения
способа 2, являются также равномерное распределение действующего вещества по массе испытуемого препарата и предусмотренное в фармакопейной статье использование навесок усредненной пробы при количественном определении действующего вещества.
Случаи возможного применения
способов 1 и
2 по отношению к различным лекарственным формам приведены в
табл. 1.
Таблица 1
дозирования лекарственных форм
Наименование лекарственной формы | Доза и массовая доля действующего вещества |
>= 25 мг и >= 25% | < 25 мг или < 25% |
|
Таблетки | без оболочки | | |
| покрытые пленочной оболочкой | | |
| покрытые оболочкой методом дражирования (наращивания) или прессования | |
Капсулы | твердые | | |
| мягкие, содержащие суспензию, гель или эмульсию | |
| мягкие, содержащие раствор | |
Гранулы и порошки в однодозовой упаковке | однокомпонентные без вспомогательных веществ | |
содержащие два и более действующих веществ и/или вспомогательные вещества | |
Лиофилизаты в однодозовой упаковке | - | |
Растворы в однодозовой упаковке | - | |
Суспензии, эмульсии, гели в однодозовой упаковке, предназначенные для парентерального применения и приема внутрь | - | |
Суппозитории | - | |
Пластыри трансдермальные | - | |
Другие лекарственные формы | - | |
1. Способ 1 - прямое определение содержания действующего вещества. 2. Способ 2 - расчетное определение содержания действующего вещества по массе единиц дозированной лекарственной формы. |
Определение однородности дозирования
От испытуемой серии препарата отбирают случайным образом пробу в количестве 30 дозированных единиц, из них в произвольном порядке отбирают 10 дозированных единиц для проведения первого этапа испытания.
В каждой из дозированных единиц определяют содержание действующего вещества по
способу 1 или
способу 2. Оставшиеся 20 дозированных единиц лекарственной формы сохраняют для проведения второго этапа испытания.
Способ прямого определения
Проводят определение, как указано для данной дозированной формы. Там, где используют разные методики для количественного определения лекарственного препарата и испытания однородности дозирования, для результатов последнего испытания может понадобиться применение корректирующего коэффициента.
В каждой из 10 отобранных дозированных единиц испытуемого препарата (n = 10) определяют количественное содержание действующего вещества (веществ) по методике, приведенной в фармакопейной статье. При испытании для жидких или мягких лекарственных форм определение выполняют при тщательном перемешивании содержимого упаковки.
Каждый из полученных результатов выражают в процентах (xi) от номинального содержания действующего вещества в одной дозированной единице лекарственной формы (i - номер единицы препарата по порядку проведения анализа).
Количественное определение действующих(-ого) веществ(-а) проводят на репрезентативном образце серии лекарственного препарата с использованием методики, приведенной, как правило, в разделе "Количественное определение" фармакопейной статьи. Допускают, что концентрация (отношение массы действующего вещества к массе дозированной единицы) однородна для всех дозированных единиц лекарственной формы.
Для каждой из 10 отобранных дозированных единиц испытуемого препарата (n = 10) определяют массу (wi) непосредственно или по разности масс заполненной и незаполненной упаковки (массу нетто) с точностью взвешивания +/- 0,0002 г. В фармакопейной статье предусматривают меры, обеспечивающие полноту удаления препарата из упаковок, не приводящие к изменению их масс.
Испытание выполняют в соответствии со следующими указаниями для каждого типа дозированной лекарственной формы.
Таблетки без оболочки или покрытые пленочной оболочкой. Взвешивают точно каждую из 10 отобранных таблеток. Рассчитывают содержание действующего вещества в каждой таблетке на основании массы отдельных таблеток и результата количественного определения действующего вещества.
Твердые капсулы. Взвешивают точно каждую из 10 отобранных капсул. Извлекают содержимое каждой капсулы подходящим способом, затем точно взвешивают пустую оболочку. Массу содержимого капсулы вычисляют по разности массы капсулы и массы оболочки. Рассчитывают содержание действующего вещества в каждой капсуле на основании масс содержимого капсул и результата количественного определения.
Мягкие капсулы. Взвешивают точно каждую из 10 отобранных капсул. Извлекают содержимое капсулы, разрезая ее чистым и сухим инструментом (ножницы или скальпель), промывают оболочку подходящим растворителем. Для удаления растворителя с поверхности оболочки оставляют при комнатной температуре в течение 30 мин, избегая поглощения или потери влаги. Затем взвешивают оболочку и вычисляют массу содержимого капсулы. Рассчитывают содержание действующего вещества в каждой капсуле на основании масс содержимого капсул и результата количественного определения.
Другие твердые дозированные лекарственные формы. Определение проводят в соответствии с указаниями для твердых капсул.
Жидкие или мягкие дозированные лекарственные формы. Взвешивают точно количество жидкости или мягкого содержимого, извлеченное из 10 отобранных отдельных упаковок. При необходимости рассчитывают эквивалентный объем, предварительно определив плотность. Рассчитывают содержание действующего вещества в каждой упаковке на основании масс содержимого упаковок и результата количественного определения.
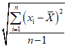
С использованием полученных результатов в каждой из 10 дозированных единиц вычисляют содержание действующего вещества в процентах (xi) от заявляемого содержания:

(1)
где i - номер единицы препарата по порядку взвешивания;
wi - масса нетто единицы испытуемого препарата;

- средняя масса нетто единиц испытуемого препарата;
A - содержание действующего вещества в дозируемой единице испытуемого препарата, полученное, как указано в разделе "Количественное определение" и выраженное в процентах от заявляемого содержания.
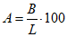
Величину A рассчитывают по формуле:

(2)
где B - содержание действующего вещества в дозируемой единице испытуемого препарата (таблетке, капсуле, флаконе и др.), полученное как указано, в разделе "Количественное определение";
L - заявляемое содержание действующего вещества в дозируемой единице испытуемого препарата.
Расчет приемлемого значения
Для полученной любым из описанных способов совокупности значений
xi рассчитывают величины среднего арифметического

и стандартного отклонения (
s) и относительного стандартного отклонения (
RSD).
Соответственно найденной величине

выбирают стандартное значение (
M) и рассчитывают приемлемое значение (
AV) для первых 10 отобранных единиц
n = 10 (1 этап) и далее, при необходимости, для 30 отобранных дозированных единиц
n = 30 (2 этап) по формуле:

(3)
Обозначения величин приведены в
табл. 2. Используя принятое значение
M, рассчитывают приемлемое значение, как это указано в
табл. 2.
Таблица 2
Порядок обработки экспериментальных данных
Обозначение | Определение | Пояснения (условия) | Формула или значение |
n | Число единиц препарата, участвующих в испытании (объем выборки) | первый этап | 10 |
второй этап | 30 |
i | Номер единицы препарата по порядку анализа или взвешивания | - | от 1 до n |
xi | Содержание действующего вещества в единице испытуемого препарата, % | результаты рассчитывают в % от номинального содержания действующего вещества | определяют экспериментально (по способу 1 или 2), как указано в фармакопейной статье |
| Среднее арифметическое значений xi, % | вычисляют при n = 10 или n = 30 | |
k | Константа приемлемости для f степеней свободы (f = n - 1) при доверительной вероятности P, равной 95% | при n = 10 | 2,4 |
при n = 30 | 2,0 |
s | Стандартное отклонение | вычисляется соответственно объему выборки при n = 10 или 30 | |
RSD | Относительное стандартное отклонение | вычисляется как стандартное отклонение выборки выраженное в % от среднего | |
M (случай 1) применяется, если T <= 101,5 | Стандартное значение | при  | |
при  | 98,5% |
при  | 101,5% |
M (случай 2) применяется, если T > 101,5 | Стандартное значение | при  | |
при  | 98,5% |
при  | T% |
AV | Приемлемое значение, % | вычисляется соответственно значению M | |
L1 | Максимально допустимое значение AV, % | - | 15,0 |
L2 | Максимально допустимый предел отклонений каждой дозированной единицы от рассчитанного значения M, % | нижняя граница определения 0,75M, верхняя граница определения 1,25 M (при значении L2 = 25,0) | 25,0 |
T | Целевое значение содержания действующего вещества в испытуемом образце в момент производства, выраженное в процентах от номинального содержания. T = 100%, если нет других указаний. T > 100% если предусмотрено превышение в содержании действующего вещества, в т.ч. подтвержденное данными по стабильности | - | - |
Интерпретация результатов
Требования к однородности считаются выполненными, если приемлемое значение для первых 10 дозированных единиц (n = 10) меньше или равно L1, при отсутствии других указаний в фармакопейной статье. Если приемлемое значение для 10 единиц больше L1, испытание продолжают на оставшихся 20 ранее отобранных дозированных единицах испытуемого препарата и вновь рассчитывают приемлемое значение.
Требования считают выполненными, если конечное приемлемое значение для 30 дозированных единиц меньше или равно
L1 и ни одно полученное значение содержания действующего вещества в каждой дозированной единице не меньше (1 -
L2 x 0,01) x M или не больше (1 +
L2 x 0,01) x M, при расчете приемлемого значения
способом 1 или
2.
При отсутствии других указаний в фармакопейной статье L1 равно 15,0; а L2 равно 25,0.