Главная // Актуальные документы // Государственная фармакопеяСПРАВКА
Источник публикации
М.: "Государственная фармакопея Российской Федерации. XIV издание", Том I, 2018
Примечание к документу
В соответствии с
Приказом Минздрава России от 31.10.2018 N 749 данный документ введен в действие с 1 декабря 2018 года.
Текст документа приведен в соответствии с публикацией на сайте http://femb.ru/femb/pharmacopea.php, и разделен в Информационном банке на отдельные фармакопейные статьи.
Название документа
"Общая фармакопейная статья. Валидация микробиологических методик. ОФС.1.1.0021.18"
("Государственная фармакопея Российской Федерации. XIV издание. Том I")
"Общая фармакопейная статья. Валидация микробиологических методик. ОФС.1.1.0021.18"
("Государственная фармакопея Российской Федерации. XIV издание. Том I")
МИНИСТЕРСТВО ЗДРАВООХРАНЕНИЯ РОССИЙСКОЙ ФЕДЕРАЦИИ
ОБЩАЯ ФАРМАКОПЕЙНАЯ СТАТЬЯ
Валидация микробиологических методик | ОФС.1.1.0021.18 Вводится впервые |
Настоящая общая фармакопейная статья содержит общие подходы к валидации/верификации фармакопейных методик и альтернативных микробиологических методов.
Валидации подлежат вновь разработанные или усовершенствованные методы, а также те методики, которые используются для испытаний новых объектов, ранее не включенных в сферу их применения.
Методики, описанные в Государственной фармакопее, являются валидированными. Однако правильность их использования в условиях конкретной лаборатории должна быть подтверждена. Для этих целей, а также для оценки применимости методики испытания конкретного образца применяют процедуру верификации.
Валидация метода/методики испытания - документированное подтверждение обоснованности (правильности) выбора методики испытаний, гарантирующее получение ожидаемых и воспроизводимых результатов, соответствующих поставленной цели.
Верификация (оценка применимости) методики - экспериментальное доказательство того, что методика пригодна для достижения тех целей, для которых она предназначена, и может быть корректно воспроизведена в условиях конкретной лаборатории.
Валидационный параметр - характеристика метода (методики), определяемая в ходе валидационного/верификационного исследования и позволяющая охарактеризовать адекватность метода (методики).
Критерий приемлемости - заданное значение или ожидаемый результат определения валидационного параметра, которое используют для оценки адекватности метода (методики) путем сравнения с полученными экспериментальными данными.
Референсный метод - аттестованный метод, используемый в качестве стандартного для оценки правильности результатов определения, полученных с использованием других методов того же целевого назначения.
Альтернативный микробиологический метод - новый или усовершенствованный микробиологический метод, обеспечивающий оценку того же показателя качества, что и соответствующий референсный метод.
Валидацию/верификацию микробиологических методик проводят с использованием поверенного или аттестованного оборудования, установленного в контролируемых условиях микробиологической лаборатории.
Используют только материалы с известными характеристиками, подтвержденными документально. Тест-штаммы микроорганизмов должны обладать типичными культуральными, морфологическими, тинкториальными и другими биологическими свойствами. Питательные среды должны соответствовать требованиям к ростовым, селективным и дифференциально-диагностическим свойствам, установленным соответствующими статьями Государственной фармакопеи или определяемым для корректного воспроизведения методики.
Валидационные/верификационные исследования проводит обученный персонал с подтвержденным уровнем квалификации и опытом работы в области фармацевтической микробиологии.
1. Работа с тест-штаммами микроорганизмов
Для проведения валидационных исследований, оценки применимости методик испытания используются тест-штаммы микроорганизмов, депонированные в официальных отечественных и зарубежных коллекциях, например:
- ГКПМ - Государственная коллекция патогенных микроорганизмов (Россия);
- ВКМ - Всероссийская коллекция микроорганизмов (Россия);
- РКПГ - Российская коллекция патогенных грибов (Россия);
- ATCC - Американская коллекция типовых культур (США);
- CIP - Коллекция культур Института Пастера (Франция);
- NCTC - Национальная коллекция типовых культур (Великобритания);
- NCPF - Национальная коллекция патогенных грибов (Великобритания);
- IHE - Коллекция Института гигиены и эпидемиологии (Чехия);
- DSM - Немецкая национальная коллекция (Германия).
Набор тест-штаммов микроорганизмов (табл. 1) для валидационного/верификационного исследования выбирают в соответствии с задачами, для решения которых предназначен метод. В него включают микроорганизмы, использование которых регламентировано соответствующей статьей Государственной фармакопеи, и/или виды, которые наиболее адекватно позволяют оценить возможности метода.
Таблица 1
ТЕСТ-ШТАММЫ МИКРООРГАНИЗМОВ
Название микроорганизма | Номер штамма |
Аэробные бактерии |
Bacillus subtilis | ГКПМ 010011; ATCC 6633; NCTC 10400; DSM 347 |
Bacillus cereus | ГКПМ 010014; ATCC 10702; NCTC 8035; DSM 487 |
Escherichia coli | ГКПМ 240533; ATCC 25922, ATCC 8739; NCTC 12923; NCTC 12241; DSM 1103; CIP 53.126 |
Salmonella enterica subsp. enterica serovar abony | ГКПМ 100329; NCTC 6017, CIP 80.39; IHE 103/39 |
Pseudomonas aeruginosa | ГКПМ 190155; ATCC 9027; NCTC 12924; CIP 82.118 |
Staphylococcus aureus | ГКПМ 201108; ATCC 6538; NCTC 10788 |
Staphylococcus epidermidis | ГКПМ 202001; ATCC 14990, ГКПМ 202004; ATCC 12228; NCTC 6513 |
Streptococcus pyogenes | ATCC 19615; NCTC 12696; CIP 1042.26; NCIMB 13285 |
Alcaligenes faecalis | ГКПМ 300205 |
Burkholderia cepacia | ATCC 25416; NCTC 10743; DSM 7288 |
Kocuria rhizophila | ATCC 9341; NCTC 8340 |
Yersinia enterocolitica | ATCC 9610; NCTC 12982; CIP 80.27 |
Дрожжевые и плесневые грибы |
Candida albicans | ГКПМ 303903; ГКПМ 303901; РКПГ Y 401/NCTC 885-653; ATCC 10231; NCPF 3179 |
Aspergillus brasiliensis | РКПГ F 106; ATCC 9642, ATCC 16404, ВКМ F-1119; ВКМ F-3882; NCPF 2275 |
Анаэробные бактерии |
Clostridium sporogenes | ГКПМ 300524; ATCC 19404; NCTC 12935; DSM 1446 |
Clostridium novyi | ГКПМ 242484 |
Bacteroides vulgatus | ATCC 8482; NCTC 11154 |
Propionibacterium acnes | ATCC 11827; ATCC 6919; NCTC 737; DSM 1897 |
Кроме того, могут быть использованы микроорганизмы, выделенные из производственной/лабораторной среды, контаминанты фармацевтических субстанций, вспомогательных веществ и готового продукта, в том числе, медленнорастущие виды и др.
Культуры микроорганизмов хранят в замороженном или лиофильно высушенном состоянии, на скошенных питательных средах или используют коммерческие готовые системы для их хранения. Тест-штаммы микроорганизмов в лиофилизированном виде в ампулах или в пробирках на питательной среде хранят при температуре от 2 до 8 °C; на бумажных дисках - при температуре не выше минус (18 +/- 2) °C. Готовые к использованию системы хранят в соответствии с инструкцией производителя.
Подготовку и восстановление культур проводят в соответствии с инструкцией производителя или способом, описанным в
ОФС "Микробиологическая чистота".
Перед использованием восстановленных тест-штаммов микроорганизмов для валидационного/верификационного исследования проводят их идентификацию на требуемом для целей исследования таксономическом уровне (до рода, вида и др.) и проверяют чистоту культуры.
Для испытания используют 18 - 24-часовые культуры микроорганизмов, выращенные на плотной питательной среде (бактерии культивируют на соево-казеиновом агаре, дрожжевые и плесневые грибы - на агаре Сабуро с глюкозой, или аналогичных им питательных средах).
Для стандартизации взвесей используют способы, описанные в
ОФС "Определение концентрации микробных клеток".
Работу с готовыми коммерческими системами для идентификации микроорганизмов проводят в соответствии с инструкцией производителя.
2. Выбор методики определения валидационных параметров.
Критерии приемлемости
Выбор валидационных параметров
Процесс валидации включает в себя обработку экспериментальных данных и оценку валидационных параметров, которые позволяют охарактеризовать адекватность выбранной микробиологической методики. К таким параметрам относятся правильность, прецизионность, специфичность, пределы обнаружения и количественного определения, линейность, устойчивость (робастность). При необходимости на основании полученных данных определяют рабочий диапазон метода.
Выбор валидационных параметров, оцениваемых в ходе исследований, определяется целевым назначением методики (табл. 2). Различают качественные, количественные микробиологические методы, а также методы идентификации микроорганизмов.
Таблица 2
ХАРАКТЕРИСТИКИ, ОПРЕДЕЛЯЕМЫЕ ПРИ ВАЛИДАЦИИ МЕТОДОВ/МЕТОДИК
Параметр | Количественные методы | Качественные методы | Идентификация |
Специфичность | + | + | -* |
Предел обнаружения | - | + | - |
Предел количественного определения | + | - | - |
Рабочий диапазон | +* | - | - |
Линейность | + | - | - |
Правильность | + | -* | + |
Прецизионность | + | -* | + |
Устойчивость (робастность) | + | + | + |
Примечание: * - может определяться по необходимости.
При оценке применимости фармакопейных микробиологических методик набор определяемых параметров может быть уменьшен при условии его достаточности для подтверждения адекватности методики. Так, например, для верификации методики количественного определения микроорганизмов может быть достаточно оценки таких параметров, как правильность и прецизионность. Качественные методики можно считать верифицированными, если показана возможность определения целевых микроорганизмов.
Целесообразно планировать эксперимент так, чтобы соответствующие характеристики изучались одновременно, обеспечивая правильное и полное понимание возможностей метода. Для оценки нескольких параметров допустимо использовать один и тот же массив экспериментальных данных.
Все испытания проводят в стандартных, максимально приближенных к реальным условиям выполнения анализа качества лекарственных средств по микробиологическим показателям или другим процедурам, выполняемым в лаборатории.
Следует принимать во внимание, что каждый выбранный метод имеет свои особенности и ограничения и поэтому требует индивидуального подхода к разработке процедуры его валидации и установлению критериев приемлемости.
При изменении метода анализа, состава лекарственного средства или условий производства проводят повторную валидацию - ревалидацию.
Оценка валидационных параметров и критерии приемлемости
Результаты микробиологических исследований не подчиняются нормальному распределению и требуют математического преобразования перед статистической обработкой (например, логарифмирование или трансформацию с помощью квадратного корня).
Для статистической обработки экспериментальных данных может быть использовано специальное программное обеспечение.
Специфичность
Специфичность - способность метода определять перечень микроорганизмов, для выявления которых метод предназначен.
Методика определения. Для анализа используют репрезентативную группу микроорганизмов (грамотрицательные и грамположительные бактерии, споровые бактерии, дрожжевые или плесневые грибы). Исследование может включать в себя анализ смесей культур, угнетенных микроорганизмов, изолятов из производственной среды или клинически значимых штаммов.
Тест-штаммы для оценки специфичности выбирают с учетом назначения метода. Используют целевые микроорганизмы, для определения которых валидируемый метод предназначен, и штаммы-ассоцианты, рост которых не должен препятствовать выделению целевых бактерий или грибов. Для каждой исследуемой культуры выполняют не менее 3 определений. Концентрации клеток целевых микроорганизмов и штаммов-ассоциантов в рабочих взвесях должны отличаться на несколько порядков (например, количество целевых микроорганизмов - не более 102 КОЕ/мл, штаммов-ассоциантов - не менее 105 КОЕ/мл соответственно).
Смеси культур используют для доказательства того, что метод пригоден для выделения или количественного определения одного и более видов микроорганизмов.
При валидации альтернативных микробиологических методов, принцип которых не основан на обнаружении роста микроорганизмов, для оценки специфичности используют соответствующие вещества (например, внеклеточную АТФ, ДНК, различные ингибирующие соединения и др.), которые могут оказывать влияние на результат определения.
Критерий приемлемости. Целевые микроорганизмы должны быть выделены или определены количественно с требуемым уровнем правильности и прецизионности. При этом должно быть показано, что штаммы-ассоцианты или посторонние соединения, присутствующие в образце, не оказывают влияния на результат определения.
Предел обнаружения
Предел обнаружения - минимальное количество клеток в образце, которые могут быть обнаружены с помощью валидируемого метода. Данный параметр оценивают для качественных микробиологических методик. При этом определяют исходную концентрацию клеток микроорганизмов в образце до стадий инкубации или накопления.
Методика определения. Для установления предела обнаружения используют один из подходов, описанных ниже.
1. Сравнение результатов, полученных с помощью валидируемой и референсной методик.
Для оценки используют инокулят, содержащий минимальную концентрацию тест-штамма. Готовят ряд последовательных разведений в теоретически определенном диапазоне.
Для каждого концентрационного уровня проводят не менее 5 параллельных определений референсным и валидируемым методами, выявляют долю положительных результатов и сравнивают полученные значения между собой. Устанавливают наименьшее количество клеток микроорганизма, которое может быть обнаружено в 50% случаев.
Для сравнения используют различные статистические критерии, например,

или точный критерий Фишера.
2. Сравнение результатов, полученных валидируемым методом, с соответствующей статистической моделью.
Для определения используют рабочую взвесь тест-штамма, содержащую минимальную выявляемую концентрацию клеток. Количество проб, из которых микроорганизмы успешно выделяются, фиксируют и сравнивают с ожидаемым значением, полученным на основании статистической модели. Для этих целей используют биномиальное распределение, распределение Пуассона или др.
Пример:
Готовят последовательные разведения суспензии микроорганизмов до получения взвеси с минимальной концентрацией клеток, которую возможно обнаружить, после чего определенным объемом каждого разведения культуры инокулируют не менее 5 пробирок с жидкой питательной средой. Одновременно определяют фактическое количество внесенных клеток микроорганизма чашечным агаровым методом. После инкубации определяют, сколько пробирок каждого разведения дают положительный результат. Если предположить, что каждая жизнеспособная клетка в состоянии вызвать помутнение среды, то, исходя из распределения Пуассона, относительное число S пробирок, оставшихся прозрачными после внесения в пробирку m клеток, равно относительному числу пробирок, в которые не попало ни одной КОЕ. В этом случае S = e-m.
При этом относительное число пробирок (P), ставших мутными, равно P = 1 - S или P = 1 - e-m. Так, если в образце содержится 1 КОЕ, то теоретически, рост должен быть обнаружен в 63% случаев.
3. Математический расчет
В некоторых случаях 50% предел обнаружения может быть определен математически, для чего используют обобщенную формулу Спирмена-Кербера (формула 1).

(1)
где:

- математическое ожидание среднего количества клеток - 50% предел обнаружения;
xi - log концентраций вносимых клеток (xi < ... < xk);
k - количество концентрационных уровней;
pi - доля положительных результатов в эксперименте с ni количеством повторностей, которые анализировались отдельно для каждой концентрации.
Расчет доверительных интервалов для установленных значений предела обнаружения в этом случае проводят с помощью формулы 2.

(2)
где qi = 1 - pi и ni >= 2.
Для корректного применения данной формулы необходимо соблюдать ряд условий:
- анализируют не менее 3 различных концентраций клеток микроорганизмов, выполняя не менее 3 определений;
- размер анализируемого образца должен быть одинаковым для каждого концентрационного уровня;
- должен быть получен хотя бы частичный положительный ответ как минимум для одного концентрационного уровня (в противном случае расчет доверительных интервалов будет невозможен);
- одна из выбранных концентраций должна обеспечивать 100% положительных результатов;
- одна из концентраций должна давать 0% положительных ответов - отрицательный контроль;
- равные интервалы между log концентраций и равное количество повторностей для каждого уровня предпочтительно, однако это условие не является обязательным.
Критерий приемлемости. Предел обнаружения валидируемого метода должен быть не выше, чем для референсного метода, т.е. количество клеток, определяемое валидируемым методом должно быть равным или меньшим, чем обнаруживаемое референсным методом.
Предел количественного определения
Предел количественного определения - минимальная концентрация микроорганизмов в образце, которая может быть определена в условиях эксперимента с приемлемым уровнем правильности и прецизионности. Данный параметр является характеристикой только методов количественного определения микроорганизмов.
Методика определения. Для анализа используют не менее 3 разведений суспензии микроорганизма, содержащей минимальное количество клеток. Проводят не менее 5 определений для каждой суспензии и устанавливают минимальное значение, при котором результат анализа может быть получен с требуемой правильностью и прецизионностью. Для сравнения валидируемого и референсного метода используют критерий

или др.
Критерий приемлемости. Предел обнаружения валидируемого метода должен быть не выше, чем для референсного метода.
Рабочий диапазон
Рабочий диапазон - интервал между минимальной и максимальной концентрациями, в котором количество клеток может быть определено с приемлемыми уровнями правильности и прецизионности.
Методика определения. Рабочий диапазон устанавливают, исходя из данных, полученных при оценке правильности и прецизионности валидируемого метода.
Для автоматизированных микробиологических методов исследования рабочий диапазон может варьироваться в зависимости от используемого оборудования.
Для традиционных чашечных агаровых методов максимальным приемлемым для количественного учета бактерий и дрожжевых грибов является число колоний, соответствующее 250 КОЕ/чаш., плесневых грибов - 50 КОЕ/чаш.
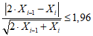
Установление рабочего диапазона может быть выполнено путем статистического сравнения результатов параллельных определений в ряду последовательных разведений суспензий микроорганизмов, которые готовят таким образом, чтобы количество колоний составляло 250 КОЕ/чаш. для бактерий и дрожжевых грибов или 50 КОЕ/чаш. для плесневых грибов. Делают ряд двукратных разведений до получения концентрации клеток около 1 КОЕ/чаш. Производят посев каждого разведения на чашки Петри и инкубируют в соответствующих условиях, после чего по формуле 3 сравнивают значения, полученные для двух последовательных разведений в ряду.

(3)
где:
Xi-1 - количество колоний на чашке при посеве из большего разведения, содержащего меньшую концентрацию клеток;
Xi - количество колоний на чашке при посеве из меньшего разведения, содержащего большую концентрацию клеток.
Полученные в ходе вычисления результаты не должны превышать 1,96. За верхнюю границу рабочего диапазона принимается значение Xi, которое удовлетворяет данному требованию. Нижняя граница определяется значением, при котором теряется возможность выделения микроорганизмов.
Критерий приемлемости. Должно быть показано, что требуемый уровень правильности и прецизионности обеспечивается на верхней и нижней границах рабочего диапазона, а также внутри него.
Линейность
Линейность - способность метода давать результат количественного определения, прямо пропорциональный концентрации клеток микроорганизмов в образце на всем рабочем диапазоне.
Методика определения. Анализируют не менее 3 различных концентраций микроорганизмов из исходной суспензии с определенной оптической плотностью, не менее, чем в 5 повторностях в рамках рабочего диапазона методики. Для установления линейности используют средние значения для каждой концентрации. Обработку результатов проводят с помощью корреляционного анализа.
По экспериментальным данным определяют коэффициент линейной корреляции R. Для этого используют формулу 4.

(4)
Величина R2 называется коэффициентом детерминации.
Критерий приемлемости. Линейность считают доказанной, если коэффициент линейной корреляции (R) не ниже 0,95, а коэффициент детерминации (R2) не ниже 0,90.
Пример: Готовят рабочую взвесь тест-штамма микроорганизма с теоретической концентрацией клеток 100 КОЕ/мл. Делают ряд последовательных разведений до получения суспензий, содержащих 50; 10; 5 и 1 КОЕ/мл. Чашечным агаровым методом в пятикратной повторности определяют фактическое количество клеток в инокуляте. Средние значения, полученные для каждой суспензии, составляют: 89; 53; 7; 3; 1 КОЕ. Строят график зависимости десятичных логарифмов фактического содержания клеток (N) от теоретического содержания клеток (No) в виде линии тренда и устанавливают коэффициент детерминации R2 (рисунок 1).
Рисунок 1. График зависимости полученных результатов
определения фактического содержания клеток
от теоретических значений
Как видно на данном примере, значение коэффициента детерминации R2 не ниже 0,9. Таким образом, линейность считают доказанной.
Правильность
Правильность - близость полученных результатов к истинному (принятому опорному) значению. Характеризует систематическую ошибку.
Правильность выражают в процентах восстановления микроорганизмов (К) и определяют как отношение количества колоний, полученных с помощью валидируемой методики, к истинному (принятому опорному) значению (формула 5).

(5)
где:
N - количество выделенных клеток (КОЕ);
Nо - истинное (принятое опорное значение) (КОЕ).
Истинным значением считают количество фактически внесенных клеток, определенное способами, которые описаны в
ОФС "Определение концентрации микробных клеток", или результат, полученный референсным методом.
Методика определения. Готовят суспензию микроорганизмов с определенной оптической плотностью, делают ряд последовательных разведений (не менее 3), доводя концентрацию клеток до нижней границы исследуемого диапазона. Вносят подготовленные инокуляты в исследуемый образец, и производят параллельные испытания валидируемым и референсным методами, используя не менее 5 повторностей. Определяют процент восстановления для каждого разведения суспензии.
Критерий приемлемости. Процент восстановления должен составлять не менее 70% от истинного значения.
Допускается проведение статистического сравнения с помощью параметрических или непараметрических критериев, а также дисперсионного анализа.
Для методов идентификации микроорганизмов валидационный параметр "правильность" оценивают по способности метода/системы определять отдельные микроорганизмы на требуемом таксономическом уровне. В рамках испытания проверяют возможность получения ложноположительных и ложноотрицательных результатов, особенно для методов, устанавливающих фенотипический профиль. Например, метод/тест-система не должны давать результат идентификации для смешанных культур. Если подобное несоответствие обнаружено, исследователю следует подробнее изучить возможные ограничения метода/анализатора.
Прецизионность
Прецизионность - степень разброса отдельных результатов анализа в случае, когда методика используется для многократного исследования одной и той же суспензии микроорганизмов, а также различных суспензий в рамках рабочего диапазона. Характеризует случайную ошибку.
Прецизионность исследуют на однородных образцах и, в зависимости от условий, определяют повторяемость (сходимость) результатов; внутрилабораторную прецизионность или межлабораторную прецизионность (воспроизводимость).
Повторяемость микробиологической методики оценивают по независимым результатам, полученным в одинаковых регламентированных условиях в одной лаборатории (один и тот же исполнитель, одно и то же оборудование, один и тот же набор питательных сред и растворов) в пределах короткого промежутка времени, т.е. по результатам параллельных определений.
Внутрилабораторную прецизионность валидируемой методики определяют в условиях работы одной лаборатории (разные дни, разные исполнители, разное оборудование и т.д.).
Межлабораторную прецизионность (воспроизводимость) валидируемой методики оценивают при проведении испытаний в разных лабораториях.
Результаты экспериментальной оценки методики анализа по каждому из вариантов прецизионности выражают соответствующим значением относительного стандартного отклонения - коэффициента вариации (CV) по формуле 6.

(6)
где:

- стандартное отклонение;
X - среднее выборочное значение.
Стандартное отклонение для выборки размером n определяют по формуле 7.

(7)
где:
Xi - значение в выборке;

- среднее выборочное значение.
При разработке оригинальной методики определяют повторяемость результатов, получаемых с ее использованием.
При необходимости включения разработанной методики в нормативную документацию дополнительно определяют ее внутрилабораторную прецизионность.
Межлабораторная прецизионность методики оценивается при предполагаемом ее включении в проект общей фармакопейной статьи, фармакопейной статьи или другой нормативной документации, носящей законодательный характер.
Методика определения. Из приготовленной суспензии микроорганизмов делают ряд последовательных разведений (не менее 3), доводя концентрацию клеток до нижней границы изучаемого диапазона. Производят посев исследуемого образца на питательные среды и выполняют не менее 5 определений с помощью валидируемого метода.
Вычисляют выборочное стандартное отклонение

и коэффициент вариации.
Критерий приемлемости. Допустимым считают коэффициент вариации не более 35%.
При проведении оценки альтернативного микробиологического метода проводят сравнение данных о прецизионности валидируемого и референсного методов. В этом случае критерием приемлемости служит значение коэффициента вариации стандартного метода.
Для методов идентификации микроорганизмов прецизионность считают доказанной, если результаты единичных определений согласуются между собой при многократном (не менее 5) исследовании одной и той же суспензии тест-штаммов микроорганизмов.
Устойчивость (надежность)
Устойчивость (робастность) - степень внутрилабораторной прецизионности или воспроизводимости результатов, полученных при испытании одних и тех же образцов в различных условиях (с использованием разного оборудования, серий питательных сред и т.д.).
Методика определения. Готовят суспензию микроорганизмов и проводят не менее 5 определений для каждого условия испытания, которое может оказать влияние на получаемый результат. Оценивают изменение прецизионности (коэффициента вариации) и правильности (процента восстановления микроорганизмов).
Критерий приемлемости. В ходе испытания должно быть показано, что различные изменения условий проведения методики не оказывают существенного влияния на результаты анализа. Если метод чувствителен к определенным изменениям, это считают его ограничением. Могут быть применены критерии приемлемости, статистический анализ и подходы к обработке данных, используемые при анализе других параметров.
3. Оценка применимости (верификация) фармакопейных
микробиологических методик
Оценку применимости методики анализа лекарственного средства (ЛС) выполняют перед его испытанием по микробиологическим показателям. Допустимо проводить верификацию одновременно с оценкой качества образцов. Однако следует помнить, что в случае, если результаты проведения верификации окажутся неудовлетворительными, данные о качестве образца должны быть признаны некорректными. При этом методика испытания требует модификации с последующим проведением повторной оценки возможности ее применения.
Процедура верификации должна воспроизводить предполагаемую методику анализа образца: способ пробоподготовки, питательные среды и растворы, количество промывной жидкости, условия инкубации и т.д. Размер образца, используемого при оценке применимости фармакопейных методик, должен быть тем же, что и для рутинного анализа.
При разработке методики микробиологического анализа конкретного лекарственного средства (за исключением иммунобиологических препаратов) выполняют следующие действия:
1. Определяют антимикробное действие образца согласно
ОФС "Стерильность" или "Микробиологическая чистота".
2. Осуществляют подбор условий проведения испытания, например, требуемое разведение лекарственного средства, подходящий разбавитель, инактиватор антимикробного действия.
3. Проводят верификацию разработанной методики испытания с использованием целевых тест-штаммов микроорганизмов.
Важным этапом верификационного исследования является подтверждение того, что выбранный способ нейтрализации антимикробного действия не токсичен и не оказывает влияния на выделяемые микроорганизмы. Оценка применимости предполагаемого способа анализа лекарственного средства включает в себя сравнение степени восстановления жизнеспособных микроорганизмов из трех групп (табл. 3).
Таблица 3
КОНТРОЛЬНЫЕ ГРУППЫ ДЛЯ ВЕРИФИКАЦИИ СПОСОБА НЕЙТРАЛИЗАЦИИ
АНТИМИКРОБНОГО ДЕЙСТВИЯ ЛС
Номер группы | 1 | 2 | 3 |
Составные части |
Лекарственное средство | + | - | - |
Растворитель/разбавитель | + | + | - |
Количество клеток микроорганизмов | + | + | + |
1) В первой группе проводится пробоподготовка и испытание образца, инокулированного целевыми тест-штаммами микроорганизмов (при необходимости включается шаг нейтрализации антимикробного действия ЛС).
2) Испытание контрольной группы (положительный контроль) проводится аналогично, но в отсутствие лекарственного средства. Вместо образца используется соответствующий растворитель/разбавитель.
3) Контроль культуры позволяет установить фактическое количество клеток микроорганизмов в инокуляте, используемом в исследовании. В большинстве случаев определяется чашечными агаровыми методами.
Аналогичные результаты, полученные для групп 1 и 2, свидетельствуют об эффективности выбранного способа нейтрализации антимикробного действия лекарственного средства, между группами 2 и 3 - об отсутствии токсичности по отношению к определяемому виду микроорганизма.
4. Валидация альтернативных микробиологических методов
Альтернативные микробиологические методы включают способы прямого и непрямого определения микроорганизмов в исследуемых образцах и могут быть условно разделены на несколько групп:
- методы, основанные на детекции роста, где определению обычно предшествует стадия культивирования (электрохимические методы, АТФ-биолюминесценция, измерение потребленного или образовавшегося газа, микрокалориметрия и др.);
- методы прямого измерения, подразумевающие дифференциацию и визуализацию единичных клеток (проточная и твердофазная цитометрия, методика прямой эпифлуоресцентной микроскопии и т.д.);
- методы анализа клеточных структур и их компонентов, основанные на определении характерных соединений и непрямом установлении присутствия микроорганизмов (биохимические тесты, иммунологические методы, способы установление профиля жирных кислот, отдельные виды спектроскопии и масс-спектрометрии, методики амплификации нуклеиновых кислот, риботипирование и др.)
Выбор альтернативного метода осуществляют, исходя из его целевого назначения, требуемой производительности, скорости получения результата, возможности его интеграции с автоматической системой управления лабораторной информацией, особенностей анализируемого образца и др.
Внедрение альтернативного микробиологического метода, реализованного в определенном оборудовании, включает в себя несколько этапов:
1. Квалификация монтажа (installation qualification - IQ). Выполняется производителем/поставщиком оборудования. Целью данного этапа является подтверждение того, что оборудование соответствует спецификации и сопровождается необходимым пакетом технической документации.
2. Квалификация функционирования (operational qualification - OQ). Также выполняется производителем/поставщиком оборудования для доказательства того, что работа всех компонентов системы или оборудования соответствует установленным требованиям. При OQ определяют критические условия/параметры оборудования/системы.
3. Квалификация эксплуатации (performance qualification - PQ). Данный вид работ выполняется пользователем и включает в себя несколько стадий:
3.1. Валидация метода с использованием тест-штаммов микроорганизмов (без образца). На данном этапе подтверждается, что конкретные лабораторные условия позволяют использовать метод анализа для получения воспроизводимых результатов.
3.2. Оценка применимости метода для анализа конкретного лекарственного средства с учетом его физико-химических особенностей.
3.3. Сравнительные испытания альтернативным и референсным методами.
5. Документальное оформление валидации/верификации
Валидационное/верификационное исследование выполняют, соблюдая три последовательных стадии:
- разработка и утверждение плана валидации метода/методики;
- проведение валидации в строгом соответствии с планом. При этом каждую процедуру оформляют документально;
- подготовка отчета о валидации с указанием всех замеченных отклонений и выводов с рекомендациями по их устранению.
Допускается оформление объединенного отчета о валидации, в который включают:
- полное описание методики, достаточное для воспроизведения, и отражающее все условия, необходимые для выполнения анализа;
- оцениваемые валидационные параметры;
- экспериментальные результаты проведенных исследований;
- материалы статистической обработки данных;
- иллюстративный материал (при наличии), такой как графики, рисунки
и др.;
- заключение о возможностях и ограничениях метода.