Главная // Актуальные документы // Государственная фармакопеяСПРАВКА
Источник публикации
Документ опубликован не был
Примечание к документу
В соответствии с
Приказом Минздрава России от 11.04.2022 N 246 данный документ введен в действие с 01.04.2022.
Название документа
"ФС.3.3.0002.22. Фармакопейная статья. Аскорбиновая кислота + Кальция пантотенат + Колекальциферол + Никотинамид + Пиридоксина гидрохлорид + Ретинола пальмитат + Рибофлавин + Тиамина нитрат + альфа Токоферола ацетат + Фолиевая кислота + Цианокобаламин, таблетки"
(утв. и введена в действие Приказом Минздрава России от 11.04.2022 N 246)
("Государственная фармакопея Российской Федерации. XIV издание")
"ФС.3.3.0002.22. Фармакопейная статья. Аскорбиновая кислота + Кальция пантотенат + Колекальциферол + Никотинамид + Пиридоксина гидрохлорид + Ретинола пальмитат + Рибофлавин + Тиамина нитрат + альфа Токоферола ацетат + Фолиевая кислота + Цианокобаламин, таблетки"
(утв. и введена в действие Приказом Минздрава России от 11.04.2022 N 246)
("Государственная фармакопея Российской Федерации. XIV издание")
МИНИСТЕРСТВО ЗДРАВООХРАНЕНИЯ РОССИЙСКОЙ ФЕДЕРАЦИИ
ФАРМАКОПЕЙНАЯ СТАТЬЯ
Аскорбиновая кислота + Кальция пантотенат + Колекальциферол + Никотинамид + Пиридоксина гидрохлорид + Ретинола пальмитат + Рибофлавин + Тиамина нитрат + альфа Токоферола ацетат + Фолиевая кислота + Цианокобаламин, таблетки Acidurn ascorbicum + Calcium pantotenas + Colecakiferolum + Nicotinamidum + Pyridocxini hydrochloridum + Retinoli palmitas + Riboflavinum + Thiamini nitras + -Tocopheroli acetas + Acidum folicum + Cyanocobalaminum, tabulettae | ФС.3.3.0002.22 |
Вводится впервые |
Настоящая фармакопейная статья распространяется на лекарственный препарат Аскорбиновая кислота + Кальция пантотенат + Колекальциферол + Никотинамид + Пиридоксина гидрохлорид + Ретинола пальмитат + Рибофлавин + Тиамина нитрат + альфа Токоферола ацетат + Фолиевая кислота + Цианокобаламин, таблетки
Препарат должен соответствовать требованиям
ОФС "Лекарственные формы",
ОФС "Таблетки" и выдерживать испытания, характерные для данной лекарственной формы и ниже приведенным требованиям.
Препарат содержит от заявленного количества:
- аскорбиновая кислота C6H8O6 - не менее 90% и не более 150%;
- кальция пантотенат C18H32CaN2O10 не менее 90% и не более 150%;
- колекальциферол C27H44O - не менее 90% и не более 165%;
- никотинамид C6H6N2O не менее 90% и не более 150%;
- пиридоксина гидрохлорид C8H11NO3·HCl не менее 90% и не более 150%;
- ретинола пальмитат C36H60O2 - не менее 90% и не более 165%.
- рибофлавина C17H20N4O6 не менее 90% и не более 150%;
- тиамина нитрат C12H17N4OS·NO3 не менее 90% и не более 150%;
- альфа Токоферола ацетат C31H52O3 - не менее 90% и не более 165%.
- фолиевой кислоты C19H19N7O6 не менее 80% и не более 150%;
- цианокобаламин C63H88CoN14O14P не менее 4,8 мг на среднюю массу таблетки
Описание. Содержание раздела приводится в соответствии с
ОФС "Лекарственные формы",
ОФС "Таблетки".
Подлинность
ВЭЖХ. Определение проводят методом ВЭЖХ по
разделу "Количественное определение и подлинность аскорбиновой кислоты" в соответствии с
ОФС "Высокоэффективная жидкостная хроматография".
Время удерживания основных пиков на хроматограммах испытуемых растворов должно соответствовать времени удерживания соответствующих пиков ретинола пальмитата, колекальциферола, альфа-токоферола ацетата, тиамина нитрата, аскорбиновой кислоты, рибофлавина, пиридоксина гидрохлорида, никотинамида, пантотеновой кислоты, фолиевой кислоты на хроматограммах соответствующих растворов стандартных образцов или стандартных растворов.
Масс-спектрометрия с индуктивно связанной плазмой. Масс-спектр стандартного раствора кобальта (Co), приготовленного для испытания
"Количественное определение. Цианокобаламин", должен иметь такой же отклик при массовом числе (AMU) 59, как и спектр испытуемого раствора.
Однородность массы. Определение проводят в соответствии с требованиями
ОФС "Однородность массы дозированных лекарственных форм".
Распадаемость. Не более 60 мин. Определение проводят в соответствии с
ОФС. "Распадаемость таблеток и капсул" с использованием дисков.
Микробиологическая чистота. В соответствии с
ОФС "Микробиологическая чистота".
Количественное определение
Ретинола пальмитат, колекальциферола альфа-токоферола ацетата. Определение проводят методом ВЭЖХ (
ОФС "Высокоэффективная жидкостная хроматография").
Подвижная фаза A: вода - метанол 5:95.
Подвижная фаза B: метанол.
Испытуемый раствор. Точную навеску порошка измельченных и гомогенизированных таблеток, соответствующую около 2,75 мг ретинола пальмитата, 0,01 мг колекальциферола и 15,0 мг

ацетата помещают в мерную колбу вместимостью 50 мл, прибавляют метанол до около 0,75% объема мерной колбы (после добавления метанола сразу перемешивают во избежание прилипания порошка измельченных таблеток на стенки колбы) и доводят объем раствора метанолом до метки. Обрабатывают ультразвуком в течение около 15 мин (периодически встряхивая колбу). Часть суспензии фильтруют через мембранный фильтр с диаметром пор 0,45 мкм, отбрасывая первые 2 мл фильтрата. Прозрачный фильтрат является испытуемым раствором (Концентрация: около 100 МЕ/мл ретинола пальмитата, около 8 МЕ/мл колекальциферола и около 0,3 мг/мл

ацетата). Испытуемый раствор хранят при температуре 15 - 25 °C в хроматографическом флаконе в автосамплере в течение 3 ч.
Раствор стандартного образца ретинола пальмитата около 2500 МЕ/мл. Около 30,0 мг (точная навеска) стандартного образца ретинола пальмитата помещают в мерную колбу вместимостью 20 мл, доводят объем раствора 2-пропанолом до метки и обрабатывают ультразвуком до полного растворения стандарта.
Раствор стандартного образца колекальциферола около 10000 МЕ/мл. Около 12,5 мг (точная навеска) стандартного образца колекальциферола помещают в мерную колбу вместимостью 50 мл, доводят объем раствора 2-пропанолом до метки и обрабатывают ультразвуком до полного растворения стандарта.
Раствор стандартного образца колекальциферола около 200 МЕ/мл.
В мерную колбу вместимостью 50 мл помещают 1,0 мл стандартного раствора колекальциферола с концентрацией около 10000 МЕ/мл доводят объем раствора метанолом до метки и перемешивают.
Раствор стандартного образца альфа-токоферола ацетата около 7,5 мг/мл. Около 75,0 мг (точная навеска) стандартного образца альфа-токоферола ацетата помещают в мерную колбу вместимостью 10 мл, доводят объем раствора 2-пропанолом до метки и обрабатывают ультразвуком до полного растворения стандартного образца.
Стандартный раствор. В мерную колбу вместимостью 25 мл помещают по 1,0 мл каждого раствора стандартного образца ретинола пальмитата, колекальциферола с концентрацией 200 МЕ/мл и альфа-токоферола ацетата, доводят объем раствора метанолом до метки и перемешивают (Концентрации: около 100 МЕ/мл ретинола пальмитата, около 8 МЕ/мл колекальциферола и около 0,3 мг/мл альфа-токоферола ацетата). Стандартный раствор хранят при температуре 15 - 25 °C в хроматографическом флаконе в автосамплере в течение 7 ч.
Хроматографические условия
Колонка | 150 x 4,6 мм силикагель октадецилсилильный для хроматографии, 5 мкм; |
Температура колонки | 40 °C; |
Детектор | спектрофотометрический, 265 нм; |
Объем пробы | 100 мкл; |
Скорость потока | 1,5 мл/мин. |
Время хроматографирования около 13 мин + 4 мин для уравновешивания системы.
Время удерживания пика колекальциферола около 5 мин; альфа-токоферола ацетата около 7 мин; ретинола пальмитата около 11 мин.
Градиентная программа
Время, мин | Подвижная фаза A, % | Подвижная фаза B, % | |
0 | 100 | 0 |
6 | 0 | 100 |
13 | 0 | 100 |
13,1 | 100 | 0 | уравновешивание системы |
17 | 100 | 0 |
Хроматографируют стандартный и испытуемый растворы.
Пригодность хроматографической системы. Хроматографическая система считается пригодной, если на хроматограмме стандартного раствора:
- относительное стандартное отклонение площадей пика ретинола пальмитата не более 1,0%;
- относительное стандартное отклонение площадей пика колекальциферола не более 2,0%;
- относительное стандартное отклонение площадей пика альфа-токоферола ацетата не более 2,0%;
- фактор асимметрии пика (AS) ретинола пальмитата не более 2,0;
- фактор асимметрии пика (AS) колекальциферола не более 2,0;
- фактор асимметрии пика (AS) альфа-токоферола ацетата не более 2,0;
- эффективность хроматографической колонки (N), рассчитанная по пику ретинола пальмитата, не менее 7000 теоретических тарелок;
- эффективность хроматографической колонки (N), рассчитанная по пику колекальциферола, не менее 1000 теоретических тарелок;
- эффективность хроматографической колонки (N), рассчитанная по пику альфа-токоферола ацетата, не менее 3000 теоретических тарелок.
После проверки пригодности хроматографической системы проводят калибровку для пика ретинола пальмитата, колекальциферола и альфа-токоферола ацетата, используя метод внешнего стандарта. Затем вводят испытуемый раствор, регистрируют хроматограммы.
Содержание ретинола пальмитата C36H60O2 в препарате в процентах от заявленного количества (X) вычисляют по формуле:

,
где: S - площадь пика ретинола пальмитата на хроматограмме испытуемого раствора;
Sо - площадь пика ретинола пальмитата на хроматограммах стандартного раствора;
aо - навеска стандартного образца ретинола пальмитата, мг;
P - содержание ретинола пальмитата в стандартном образце, мг/мг;
A - активность ретинола в стандартном образце ретинола пальмитата, МЕ/мг;
G - средняя масса таблеток, мг;
a - навеска испытуемого образца, мг;
L - заявленное количество ретинола в таблетке, 5000 МЕ.
Содержание колекальциферола C27H44O в препарате в процентах от заявленного количества (X) вычисляют по формуле:

,
где: S - площадь пика колекальциферола на хроматограмме испытуемого раствора;
Sо - площадь пика колекальциферола на хроматограммах стандартного раствора;
aо - навеска стандартного образца колекальциферола, мг;
P - содержание колекальциферола в стандартном образце, %;
A - активность колекальциферола в стандартном образце, МЕ/мг;
G - средняя масса таблеток, мг;
a - навеска испытуемого образца, мг;
L - заявленное количество колекальциферола в таблетке, 400 МЕ.
Содержание альфа-токоферола ацетата C31H52O3 в препарате в процентах от заявленного количества (X) вычисляют по формуле:

,
где: S - площадь пика альфа-токоферола ацетата на хроматограмме испытуемого раствора;
Sо - площадь пика альфа-токоферола ацетата на хроматограммах стандартного раствора;
aо - навеска стандартного образца альфа-токоферола ацетата, мг;
P - содержание альфа-токоферола ацетата в стандартном образце, %;
G - средняя масса таблеток, мг;
a - навеска испытуемого образца, мг;
L - заявленное количество альфа-токоферола ацетата в таблетке, 15 мг.
Тиамина нитрат, рибофлавин, пиридоксина гидрохлорид, и никотинамид и подлинность аскорбиновой кислоты. Определение проводят методом ВЭЖХ (
ОФС "Высокоэффективная жидкостная хроматография").
Подвижная фаза A. В мерную колбу вместимостью 1000 мл, помещают 1,25 г натрия гексансульфоната (или 1,36 г натрия гексансульфоната моногидрата), прибавляют 50 мл метанола, 10 мл уксусной кислоты ледяной и 2,0 мл триэтиламина, доводят объем раствора водой до метки и перемешивают.
Подвижная фаза B. В мерную колбу вместимостью 1000 мл, помещают 1,25 г натрия гексансульфоната (или 1,37 г натрия гексансульфоната моногидрата), прибавляют 200 мл метанола, 10 мл уксусной кислоты ледяной и 2,0 мл триэтиламина, доводят объем раствора водой до метки и перемешивают.
Перед использованием подвижную фазу A и B фильтруют через мембранный фильтр с диаметром пор 0,45 мкм и дегазируют любым подходящим способом.
Растворитель. Уксусной кислоты раствор 1%.
Испытуемый раствор. Точную навеску порошка измельченных таблеток, эквивалентную по содержанию 3,0 мг тиамина нитрата, 3,4 мг рибофлавина, 4,0 мг пиридоксина гидрохлорида, 40,0 мг никотинамида и 120,0 мг аскорбиновой кислоты помещают в мерную колбу вместимостью 250 мл, прибавляют около 200 мл растворителя и обрабатывают ультразвуком в течение около 10 мин (периодически встряхивая колбу). Корректируют температуру раствора до температуры 15 - 25 °C, доводят объем раствора растворителем до метки и перемешивают. Обрабатывают ультразвуком в течение около 20 мин (периодически встряхивая колбу). Корректируют температуру раствора до температуры 15 - 25 °C и центрифугируют часть суспензии при 3500 об/мин в течение около 10 мин. Фильтруют прозрачный супернатант через мембранный фильтр с диаметром пор 0,45 мкм. Прозрачный фильтрат является испытуемым раствором (концентрация: около 0,015 мг/мл пиридоксина гидрохлорида, около 0,5 мг/мл аскорбиновой кислоты, около 0,0125 мг/мл тиамина нитрата, 0,015 мг/мл рибофлавина и около 0,15 мг/мл никотинамида).
Испытуемый раствор хранят при температуре 15 - 25 °C в хроматографическом флаконе в автосамплере течение 24 ч.
Раствор стандартного образца тиамина нитрата 1,25 мг/мл. Около 12,5 мг (точная навеска) стандартного образца тиамина нитрата помещают в мерную колбу вместимостью 10 мл, растворяют в растворителе, доводят объем раствора растворителем до метки и перемешивают.
Раствор стандартного образца рибофлавина 0,06 мг/мл. Около 6,0 мг (точная навеска) стандартного образца рибофлавина помещают в мерную колбу вместимостью 100 мл, растворяют в растворителе, доводят объем раствора растворителем до метки и перемешивают.
Раствор стандартного образца пиридоксина гидрохлорида 1,5 мг/мл. Около 15,0 мг (точная навеска) стандартного образца пиридоксина гидрохлорида помещают в мерную колбу вместимостью 10 мл, растворяют в растворителе, доводят объем раствора растворителем до метки и перемешивают.
Стандартный раствор. Около 15,0 мг (точная навеска) стандартного образца никотинамида и около 50,0 мг (точная навеска) стандартного образца аскорбиновой кислоты помещают в мерную колбу вместимостью 100 мл, прибавляют 1,0 мл раствора стандартного образца пиридоксина гидрохлорида, 1,0 мл раствора стандартного образца тиамина нитрата и 25,0 мл раствора стандартного образца рибофлавина, доводят объем раствора растворителем до метки и перемешивают (концентрация: около 0,015 мг/мл пиридоксина гидрохлорида, около 0,5 мг/мл аскорбиновой кислоты, около 0,0125 мг/мл тиамина нитрата, 0,015 мг/мл рибофлавина и около 0,15 мг/мл никотинамида).
Стандартный раствор хранят при температуре 15 - 25 °C в хроматографическом флаконе в автосамплере в течение 26 ч.
Хроматографические условия
Колонка | 250 x 4,0 мм, силикагель октадецилсилильный для хроматографии, 5 мкм; |
Температура колонки | 35 °C; |
Температура образца | 25 °C; |
Детектор | спектрофотометрический, 270 нм; |
Объем пробы | 20 мкл; |
Скорость потока | 1,5 мл/мин. |
Время хроматографирования: | 20 мин + 3 мин для уравновешивания системы. |
Время удерживания: пика аскорбиновой кислоты около 2 мин, пика никотинамида около 3 мин, пика пиридоксина около 8 мин, пика тиамина около 14 мин, пика рибофлавина около 17 мин.
Подвижная фаза: градиентное элюирование
Градиентная программа:
Время (мин) | подвижная фаза A (%) | подвижная фаза B (%) | |
0 | 100 | 0 |
7 | 100 | 0 |
9 | 0 | 100 |
19 | 0 | 100 |
20 | 100 | 0 | время уравновешивания системы |
23 | 100 | 0 |
Результаты анализа считаются достоверными, если выполняются требования теста "Проверка пригодности хроматографической системы".
Проверка пригодности хроматографической системы.
На хроматограммах стандартного раствора тиамина нитрата, рибофлавина, пиридоксина и никотинамида:
- относительное стандартное отклонение площадей пиков тиамина рибофлавина, пиридоксина, никотинамида не более 2,0% (5 введений);
- эффективность хроматографической колонки (N) рассчитанная по пику
никотинамида, не менее 1500 теоретических тарелок;
пиридоксина не менее 1500 теоретических тарелок, тиамина не менее 15000 теоретических тарелок, рибофлавина не менее 10000 теоретических тарелок;
- фактор асимметрии (As) пика никотинамида не более 2,0;
- пиридоксина не более 1,6; тиамина не более 1,6; рибофлавина не более 1,6;
- разрешение (R):
- между пиком никотинамида и пиком пиридоксина не менее 10;
- между пиком пиридоксина и пиком тиамина не менее 15;
- между пиком тиамина и пиком рибофлавина не менее 5.
После проверки пригодности хроматографической системы проводят калибровку для пика тиамина нитрата, рибофлавина, никотинамида и пиридоксина гидрохлорида, используя метод внешнего стандарта. Затем вводят испытуемый раствор, регистрируют хроматограммы.
Содержание тиамина нитрата C12H17N4OS·NO3 в препарате в процентах от заявленного количества (X) вычисляют по формуле:

,
где: S1 - площадь пика тиамина гидрохлорид на хроматограмме испытуемого раствора;
Sо - площадь пика тиамина гидрохлорид на хроматограмме раствора стандартного образца;
aо - навеска стандартного образца тиамина гидрохлорида, мг;
P - содержание тиамина гидрохлорида в стандартном образце в пересчете на безводное вещество, мг/мг;
V - объем испытуемого раствора, мл;
a - навеска испытуемого образца, мг;
L - заявленное количество тиамина в одной таблетке, мг;
100 - пересчет в проценты.
Содержание рибофлавина C17H20N4O6 в препарате в процентах от заявленного количества (X) вычисляют по формуле:

,
где: S1 - площадь пика рибофлавина на хроматограмме испытуемого раствора;
Sо - площадь пика рибофлавина на хроматограмме раствора стандартного образца;
aо - навеска стандартного образца рибофлавина, мг;
P - содержание рибофлавина в стандартном образце в пересчете на сухое вещество, %;
a - навеска испытуемого образца, мг;
L - заявленное количество рибофлавина в одной таблетке, мг;
100 - пересчет в проценты.
Содержание пиридоксина гидрохлорида C8H11NO3·HCl в препарате в процентах от заявленного количества (X) вычисляют по формуле:

,
где: S1 - площадь пика пиридоксина гидрохлорида на хроматограмме испытуемого раствора;
Sо - площадь пика пиридоксина гидрохлорида на хроматограмме раствора стандартного образца;
aо - навеска стандартного образца пиридоксина гидрохлорида, мг;
P - содержание пиридоксина гидрохлорида в стандартном образце, мг/мг;
a - навеска испытуемого образца, мг;
L - заявленное количество пиридоксина в одной таблетке, мг;
100 - пересчет в проценты.
Содержание никотинамида C6H6N2O в препарате в процентах от заявленного количества (X) вычисляют по формуле:

,
где: S1 - площадь пика никотинамида на хроматограмме испытуемого раствора;
Sо - площадь пика никотинамида на хроматограмме раствора стандартного образца;
aо - навеска стандартного образца никотинамида, мг;
P - содержание никотинамида в стандартном образце, мг/мг;
a - навеска препарата, мг;
L - заявленное количество никотинамида в одной таблетке, мг;
100 - пересчет в проценты.
Кальция пантотенат. Определение проводят методом ВЭЖХ (
ОФС "Высокоэффективная жидкостная хроматография").
Подвижная фаза A. Калия дигидрофосфата раствор 0,05 М pH 2,8.
Подвижная фаза B. Метанол
Подвижная фаза B - Подвижная фаза A (4:96).
Растворитель: фосфорной кислоты раствор 3%.
Испытуемый раствор. Точную навеску порошка измельченных таблеток, эквивалентную по содержанию 10,0 мг кальция пантотената, помещают в мерную колбу вместимостью 100 мл, прибавляют растворитель до около 75% объема мерной колбы (после добавления растворителя сразу перемешивают во избежание прилипания порошка измельченных таблеток на стенки колбы), доводят объем раствора растворителем до метки и обрабатывают ультразвуком в течение около 20 мин (периодически встряхивая колбу). Корректируют температуру до 15 - 25° и центрифугируют часть суспензии при 3500 об/мин в течение около 10 мин.
В мерную колбу вместимостью 20 мл помещают 5,0 мл прозрачного супернатанта доводят объем раствора растворителем до метки и перемешивают. При необходимости фильтруют полученный раствор через мембранный фильтр с диаметром пор 0,45 мкм. Прозрачный фильтрат является испытуемым раствором. (Концентрация кальция пантотената около 0,024 мг/мл).
Испытуемый раствор хранят при температуре 15 - 25 °C в течение 12 ч.
Раствор стандартного образца кальция пантотената 0,024 мг/мл. Около 6,0 мг (точная навеска) стандартного образца кальция пантотената помещают в мерную колбу вместимостью 25 мл, растворяют в растворителе, доводят объем раствора растворителем до метки и перемешивают.
В мерную колбу вместимостью 10 мл, помещают 1,0 мл раствора стандартного образца кальция пантотената, доводят объем раствора растворителем до метки и перемешивают. Раствор стандартного образца хранят при температуре 15 - 25 °C в течение 7 ч.
Хроматографические условия
Колонка: | 250 x 4,6 мм, силикагель октадецилсилильный для хроматографии, 10 мкм; |
Температура колонки: | 35 °C; |
Температура образца | 25 °C; |
Детектор: | спектрофотометрический, 205 нм; |
Объем пробы: | 20 мкл; |
Скорость потока: | 1,8 мл/мин. |
Время хроматографирования: | около 15 мин. |
Время удерживания пика пантотеновой кислоты | около 9 мин. |
Проверка пригодности хроматографической системы
На хроматограмме раствора стандартного образца кальция пантотената
- относительное стандартное отклонение площадей пика пантотеновой кислоты не более 2,0% (6 введений);
фактор асимметрии (As) пика пантотеновой кислоты не более 1,5;
- эффективность хроматографической колонки (N), рассчитанная по пику пантотеновой кислоты, не менее 1000 теоретических тарелок.
После проверки пригодности хроматографической системы проводят калибровку для пика кальция пантотената, используя метод внешнего стандарта. Затем вводят испытуемый раствор, регистрируют хроматограммы.
Содержание пантотеновой кислоты C9H17NO5 в препарате в процентах от заявленного количества (X) вычисляют по формуле:

,
где: S1 - площадь пика пантотеновой кислоты на хроматограмме испытуемого раствора;
Sо - площадь пика пантотеновой кислоты на хроматограммах стандартного раствора;
aо - навеска стандартного образца кальция пантотената, мг;
P - содержание кальция пантотената в стандартном образце, в пересчете на сухое вещество, мг/мг;
G - средняя масса таблеток, мг;
a - навеска испытуемого образца, мг;
L - заявленное количество кальция пантотената в таблетке, мг.
Фолиевая кислота. Определение проводят методом ВЭЖХ (
ОФС "Высокоэффективная жидкостная хроматография").
Подвижная фаза. В мерную колбу вместимостью 1000 мл помещают 5,1 г тетрабутиламмония дигидрофосфата, 6,23 г динатрия гидрофосфата дигидрата, 3,14 г натрия дигидрофосфата дигидрата, прибавляют 170 мл метанола, доводят объем раствора водой до метки и тщательно перемешивают. Перед использованием подвижную фазу фильтруют через мембранный фильтр с диаметром пор 0,45 мкм и дегазируют любым подходящим способом.
Растворитель: В мерную колбу вместимостью 1000 мл помещают 6,23 г динатрия гидрофосфата дигидрата и 5,46 г натрия дигидрофосфата дигидрата растворяют в воде, доводят объем раствора водой до метки и перемешивают.
--------------------------------
<*> Если это необходимо для анализа (при увеличении количества образцов), растворы реактивов могут быть приготовлены с соответствующей корректировкой навесок реактивов и объемов.
Испытуемый раствор. Точную навеску порошка измельченных таблеток, эквивалентную по содержанию 0,4 мг фолиевой кислоты помещают в мерную колбу вместимостью 25 мл, прибавляют растворитель до около 75% объема мерной колбы (после добавления растворителя сразу перемешивают во избежание прилипания порошка измельченных таблеток на стенки колбы), доводят объем раствора растворителем до метки и обрабатывают ультразвуком в течение около 20 мин (периодически встряхивая колбу). Аликвоту суспензии центрифугируют при 3500 об/мин в течение около 10 мин и затем фильтруют через мембранный фильтр с диаметром пор 0,45 мкм. (Концентрация фолиевой кислоты в испытуемом растворе около 0,0016 мг/мл). Испытуемый раствор используют свежеприготовленным.
Раствор стандартного образца фолиевой кислоты 0,0016 мг/мл. Около 10,0 мг (точная навеска) стандартного образца фолиевой кислоты помещают в мерную колбу вместимостью 25 мл, растворяют в растворителе, доводят объем раствора растворителем до метки и перемешивают.
В мерную колбу вместимостью 10 мл помещают 1,0 мл раствора стандартного образца, доводят объем раствора растворителем до метки и перемешивают.
В мерную колбу вместимостью 25 мл, помещают 1,0 мл полученного раствора стандартного образца, от предыдущего разведения, доводят объем раствора растворителем до метки и перемешивают.
Раствор стандартного образца хранят при температуре 15 - 25 °C в течение 24 ч.
Хроматографические условия
Колонка | 330 x 4,6 мм силикагель октадецилсилильный для хроматографии, 3 мкм; |
Температура колонки | 25 °C; |
Детектор | спектрофотометрический, 280 нм; |
Объем пробы | 20 мкл; |
Скорость потока | 1,0 мл/мин; |
Время хроматографирования | около 10 мин. |
Время удерживания пика фолиевой кислоты: | около 4 мин. |
Проверка пригодности хроматографической системы
На хроматограмме раствора стандартного образца фолиевой кислоты:
- относительное стандартное отклонение площадей пика фолиевой кислоты не более 2,0% (5 введений);
- фактор асимметрии (As) пика фолиевой кислоты не более 1,5;
- эффективность хроматографической колонки (N), рассчитанная по пику фолиевой кислоты, не менее 1500 теоретических тарелок.
После проверки пригодности хроматографической системы проводят калибровку для пика фолиевой кислоты, используя метод внешнего стандарта. Затем вводят испытуемый раствор, регистрируют хроматограммы.
Содержание фолиевой кислоты C19H19N7O6 в препарате в процентах от заявленного количества (X) вычисляют по формуле:

,
где: S1 - площадь пика фолиевой кислоты на хроматограмме испытуемого раствора;
Sо - площадь пика фолиевой кислоты на хроматограммах раствора стандартного образца;
aо - навеска стандартного образца фолиевой кислоты, мг;
P - содержание фолиевой кислоты в стандартном образце, %;
G - средняя масса таблетки, мг;
a - навеска образца, мг;
L - заявленное количество фолиевой кислоты в таблетках, мг;
Цианокобаламин по кобальту. Метод Масс-спектрометрии с индуктивно связанной плазмой ИСП-МС (ОФС "Масс-спектрометрия с индуктивно связанной плазмой").
Раствор для промывания - азотной кислоты раствор 10%.
Раствор внутреннего стандарта Bi, In, Li6, Sc, Tb, Y (1000 мкг/л). В мерную колбу вместимостью 50 мл помещают 500 мкл раствора внутреннего стандарта Bi, In, Li6, Sc, Tb, Y (100 мкг/мл), прибавляют 5,0 мл азотной кислоты концентрированной, доводят объем раствора водой для хроматографии до 50 мл и перемешивают.
Испытуемый раствор и контрольный испытуемый раствор. Точную навеску гомогенизированного образца препарата, эквивалентного 0,026 мг цианокобаламина в двух повторностях помещают в реакционные сосуды или в хроматографические флаконы и прибавляют 5,0 мл азотной кислоты концентрированной и 0,5 мл водорода пероксида. Для приготовления контрольного испытуемого раствора, в реакционный сосуд или в хроматографические флаконы прибавляют 5,0 мл азотной кислоты концентрированной и 0,5 мл водорода пероксида. Закрытые реакционные сосуды или хроматографические флаконы помещают в микроволновую печь и разлагают образец. (Используют программу микроволнового разложения, указанную ниже или другую соответствующую программу, в соответствии с инструкциями производителя.). После завершения разложения растворы охлаждают и количественно переносят в мерные колбы вместимостью 50 мл, доводят объемы растворов водой для хроматографии до метки и перемешивают. Полученные растворы испытуемый раствор и контрольный испытуемый раствор используют для измерений.
При необходимости испытуемый раствор и контрольный испытуемый раствор фильтруют через фильтр с диаметром пор 0,45 мкм. Фильтраты используют для измерений. Испытуемый раствор хранят при температуре 15 - 25 °C в течение 22 ч.
Основной стандартный раствор кобальта 1,0 мг/л. В мерную колбу вместимостью 50 мл помещают 50 мкл стандартного раствора кобальта (1000 мг/л) и 5,0 мл азотной кислоты концентрированной, доводят объем раствора водой для хроматографии до метки и перемешивают.
Контрольный стандартный раствор. В мерную колбу вместимостью 50 мл помещают 5,0 мл азотной кислоты концентрированной доводят объем раствора водой для хроматографирования до метки и перемешивают.
Рабочий стандартный раствор кобальта 1,0 мкг/л. В мерную колбу вместимостью 50 мл помещают 50 мкл основного стандартного раствора кобальта (1 мг/л) и 5,0 мл азотной кислоты концентрированной, доводят объем раствора водой для хроматографирования до метки и перемешивают.
Рабочий стандартный раствор кобальта (2,0 мкг/л). В мерную колбу вместимостью 50 мл помещают 100 мкл основного стандартного раствора кобальта (1,0 мг/л) и 5,0 мл азотной кислоты концентрированной, доводят объем раствора водой для хроматографирования до метки и перемешивают.
Рабочий стандартный раствор кобальта (3,5 мкг/л). В мерную колбу вместимостью 50 мл помещают 175 мкл основного стандартного раствора кобальта (1,0 мг/л) и 5,0 мл азотной кислоты концентрированной доводят объем раствора водой для хроматографирования до метки и перемешивают.
Контрольный стандартный раствор кобальта (2,0 мкг/л). В мерную колбу вместимостью 50 мл помещают 50 мкл стандартного раствор кобальта (1000 мг/л) и 5,0 мл азотной кислоты концентрированной доводят объем раствора водой для хроматографирования до метки и перемешивают. В мерную колбу вместимостью 50 мл помещают 100 мкл приготовленного раствора и 5,0 мл азотной кислоты концентрированной, доводят объем раствора водой для хроматографирования до метки и перемешивают.
Рекомендуемые параметры (для масс-спектрометра):
Мощность плазмы: | 1600 Вт |
Газ-носитель: | 1,05 л/мин |
Насос распылителя: | 0,1 об/сек |
Распылитель: | стеклянный концентрический, |
Распылительная камера: | кварцевое стекло, двухходовая |
Горелка: | кварцевое стекло, диаметр инжектора 2,5 мм |
Конус семплера и скиммера: | никель |
Масса испытуемого/внутреннего стандарта/Режим: | Co (59)/Внутренний стандарт Sc (45)/Нет газа. |
--------------------------------
<*> Может быть использован другой тип распылителя, распылительной камеры, горелки и конус семплера и/или скиммера.
При использовании другой модели прибора или прибора другого производителя параметры могут быть оптимизированы или изменены.
Прибор устанавливают в соответствии с инструкциями производителя и оптимизируют их (проверка пригодности системы), если не указано иное.
На основании измеренного отношения (Стандартный раствор испытуемого вещества/Стандартный раствор внутреннего стандарта) рабочих стандартных растворов получают калибровочные кривые для кобальта. Затем измеряют контрольный стандартный раствор кобальта, контрольного раствора для испытуемого образца, а затем испытуемого раствора и соответствующего рабочего стандартного раствора в конце.
Определяют концентрацию кобальта в образцах с использованием калибровочной кривой. Концентрацию цианокобаламина рассчитывают по кобальту с использованием молекулярных масс. Результат представляет собой среднее значение по двум повторностям испытуемой порции.
Параметр | Требования |
Коэффициент корреляции (R) | R >= 0.99 |
контрольный стандартный раствор кобальта (0,1 мкг/мл) | +/- 10% от ожидаемого значения |
Система пригодности (рабочий стандартный раствор; 0,1 мкг/мл) | +/- 10% от ожидаемого значения |
Применение раствора внутреннего стандарта:
Раствор внутреннего стандарта: Bi, In Li6, Sc, Tb, Y (1000 мкг/л) вводят в режиме реального времени через перистальтический насос, где раствор внутреннего стандарта смешивается с испытуемым раствором в Т-образном коннекторе (комплект для добавления внутреннего стандарта в реальном времени).
--------------------------------
<*> Могут быть использованы другие соответствующие методики введения раствора внутреннего стандарта.
Содержание цианокобаламина C63H88CoN14O14P в препарате в процентах (X) вычисляют по формуле:

,
где: C1 - концентрация кобальта в испытуемом растворе, мкг/л;
C2 - концентрация кобальта в контрольном испытуемом растворе, мкг/л;
G - средняя масса таблетки, г;
a - навеска испытуемого образца, г;
1355,37 - молекулярная масса цианокобаламина (витамин B12);
58,93 - атомный масса кобальта.
--------------------------------
<*> Значение для контрольного испытуемого раствора вычитают только в случае, если его автоматически не корректирует программное обеспечение
Аскорбиновая кислота. Метод Титриметрии.
Дихлорфенолиндофенола раствор: Точную навеску около 0,5 г дихлорфенолиндофенола натриевой соли помещают в лабораторный стакан, смачивают небольшим количеством холодной воды и перемешивают до образования высоко дисперсной суспензии. Полученную суспензию переносят в мерную колбу вместимостью 1000 мл, прибавляют воды до 500 мл, колбу защищают от воздействия света, взбалтывают на шейкере в течение 30 мин, доводят объем раствора водой до метки и перемешивают. Раствор быстро фильтруют через складчатый фильтр "белая лента" с размером пор 7 - 20 мкм во флакон темного стекла. Флакон хранят в холодильнике. Срок годности раствора - 3 дня. Определение титра проводят непосредственно перед использованием.
Установка титра. 5,0 мл стандартного раствора помещают в высокий узкий лабораторный стакан, прибавляют 10 мл уксусной кислоты раствора 10% и 100 мл воды, тщательно перемешивают и быстро титруют дихлорфенолиндофенола раствором до розового окрашивания, не исчезающего в течение 30 с., - конечная точка титрования. При потенциометрическом, титровании вначале прибавляют соответствующую аликвоту раствора дихлорфенолиндофенола и продолжают титрование прибавляя по 1,0 мл дихлорфенолиндофенола раствора в минуту постепенно по 0,1 мл. Используют комбинированный платиновый электрод. Одновременно титруют контрольный образец.
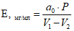
Расчет титра:

,
где: aо - навеска аскорбиновой кислоты, которая содержится в 5 мл стандартного раствора, мг;
P - содержание аскорбиновой кислоты в стандартном образце, мг/мг;
V1 - объем раствора дихлорфенолиндофенола, пошедший на титрование стандартного раствора, мл;
V2 - объем раствора дихлорфенолиндофенола, пошедший на титрование контрольного образца, мл.
Испытуемый раствор. Точную навеску порошка измельченных таблеток соответствующую по содержанию около 105,0 мг аскорбиновой кислоты помещают в мерную колбу вместимостью 100 мл, растворяют в воде, доводят объем раствора водой до метки и перемешивают. Немедленно отбирают 5,0 мл приготовленного раствора, прибавляют 10 мл уксусной кислоты раствора 10% и 100 мл воды, тщательно перемешивают.
Раствор стандартного образца аскорбиновой кислоты. Раствор готовят непосредственно перед использованием. Около 50,0 мг (точная навеска) стандартного образца аскорбиновой кислоты, помещают в мерную колбу вместимостью 50 мл, растворяют в воде, доводят объем раствора водой до метки и перемешивают.
Испытуемый раствор быстро титруют дихлорфенолиндофенола раствором до розового окрашивания, не исчезающего в течение не менее 30 с, - конечная точка титрования. При потенциометрическом, монотонном титровании в начале прибавляют соответствующую аликвоту раствора дихлорфенолиндофенола и продолжают титрование прибавляя 1,0 мл в минуту раствора дихлорфенолиндофенола постепенно по 0,1 мл. Используют комбинированный платиновый электрод. Одновременно титруют контрольный образец.
| | ИС МЕГАНОРМ: примечание. В официальном тексте документа, видимо, допущена опечатка: имеется в виду C6H8O6, а не C6H8O. | |
Содержание аскорбиновой кислоты C6H8O в препарате в процентах от заявленного количества (X) вычисляют по формуле:

,
где: V - объем раствора дихлорфенолиндофенола, пошедший на титрование испытуемого образца, мл;
E - титр раствора дихлорфенолиндофенола, мг/мл;
G - средняя масса таблеток, мг;
a - навеска препарата, мг;
L - заявленное количество аскорбиновой кислоты в препарате, 60,0 мг;
100 - пересчет %.
Хранение. Содержание раздела приводится в соответствии с
ОФС "Хранение лекарственных средств".