Главная // Актуальные документы // Государственная фармакопеяСПРАВКА
Источник публикации
Документ опубликован не был
Примечание к документу
Текст документа приведен в соответствии с публикацией на сайте https://minzdrav.gov.ru/ по состоянию на 18.08.2023.
В соответствии с
Приказом Минздрава России от 20.07.2023 N 377 данный документ введен в действие с 01.09.2023.
Название документа
"ФС.2.1.0644. Фармакопейная статья. Валганцикловира гидрохлорид"
(утв. и введена в действие Приказом Минздрава России от 20.07.2023 N 377)
("Государственная фармакопея Российской Федерации. XV издание")
"ФС.2.1.0644. Фармакопейная статья. Валганцикловира гидрохлорид"
(утв. и введена в действие Приказом Минздрава России от 20.07.2023 N 377)
("Государственная фармакопея Российской Федерации. XV издание")
МИНИСТЕРСТВО ЗДРАВООХРАНЕНИЯ РОССИЙСКОЙ ФЕДЕРАЦИИ
ФАРМАКОПЕЙНАЯ СТАТЬЯ
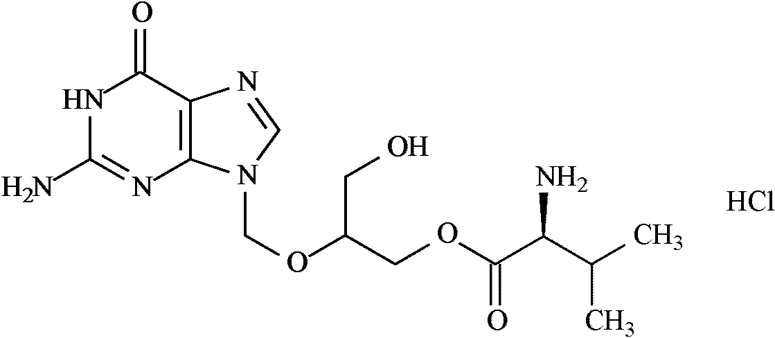
Валганцикловира гидрохлорид Валганцикловира гидрохлорид Valgancicloviri hydrochloridum | ФС.2.1.0644 |
Вводится впервые |
C14H22N6O5·HCl [175865-59-5] | М.м. 390,82 |
[(2RS)-2-[(2-Амино-6-оксо-1,6-дигидро-9H-пурин-9-ил)метокси]-3-гидроксипропил][(2S)-2-амино-3-метилбутаноата] гидрохлорид (1:1).
Содержит не менее 97,0% и не более 102,0% валганцикловира гидрохлорида C14H22N6O5·HCl в пересчете на безводное и свободное от остаточных органических растворителей вещество.
Описание. Белый или почти белый кристаллический порошок.
Растворимость. Легко растворим в воде, умеренно растворим в метаноле, мало растворим в спирте 96%, практически нерастворим в 2-пропаноле.
1. ИК-спектрометрия (
ОФС "Спектрометрия в средней инфракрасной области"). Инфракрасный спектр субстанции в области от 4000 до 400 см
-1 по положению полос поглощения должен соответствовать спектру фармакопейного стандартного образца валганцикловира гидрохлорида.
2. ВЭЖХ. Время удерживания двух основных пиков на хроматограмме испытуемого раствора должно соответствовать времени удерживания пика валганцикловира на хроматограмме раствора стандартного образца валганцикловира гидрохлорида (
раздел "Количественное определение").
3. Качественная реакция. Растворяют 0,1 г субстанции в 2 мл воды. Полученный раствор должен давать характерную реакцию А на хлориды (
ОФС "Общие реакции на подлинность").
Родственные примеси. Определение проводят методом ВЭЖХ (
ОФС "Высокоэффективная жидкостная хроматография").
Сумма примесей, определенная методами 1 и 2 - не более 3,0%.
1. Примесь N
Подвижная фаза А (ПФА). Растворяют 2,5 г триэтиламина в воде и доводят pH раствора трифторуксусной кислотой до 3,0. Переносят полученный раствор в мерную колбу вместимостью 1000 мл и доводят объем раствора водой до метки.
Подвижная фаза Б (ПФБ). Метанол.
Растворитель. Хлористоводородной кислоты раствор 0,001 М.
Испытуемый раствор. В мерную колбу вместимостью 50 мл помещают 10 мг субстанции, растворяют в растворителе и доводят объем раствора растворителем до метки.
Раствор стандартного образца примеси C (Метоксиметилгуанина). В мерную колбу вместимостью 10 мл помещают 2 мг фармакопейного стандартного образца метоксиметилгуанина, растворяют в растворителе и доводят объем раствора растворителем до метки.
Раствор для проверки пригодности хроматографической системы. В мерную колбу вместимостью 50 мл помещают 10 мг фармакопейного стандартного образца валганцикловира гидрохлорида, растворяют в растворителе, прибавляют 2,5 мл раствора стандартного образца примеси C и доводят объем раствора растворителем до метки.
Раствор для проверки чувствительности хроматографической системы. В мерную колбу вместимостью 100 мл помещают 1 мг фармакопейного стандартного образца валганцикловира гидрохлорида и доводят объем раствора растворителем до метки. В мерную колбу вместимостью 100 мл помещают 1,0 мл полученного раствора и доводят объем раствора растворителем до метки.
Примечание
Примесь N: [(2RS)-2-[(2-амино-6-оксо-1,6-дигидро-9H-пурин-9-ил)метокси]-3-гидроксипропил][(2S)-3-метил-2-(метиламино)бутаноат] [1401661-95-7].
Примесь C: (метоксиметилгуанин): 2-амино-9-(метоксиметил)-1,9-дигидро-6H-пурин-6-он [1202645-50-8].
Хроматографические условия
Колонка | 150 x 4,6 мм, силикагель фенилсилильный для хроматографии, 3,5 мкм; |
Температура колонки | 30 °C; |
Скорость потока | 1,0 мл/мин; |
Детектор | спектрофотометрический, 254 нм; |
Объем пробы | 20 мкл; |
Время хроматографирования | 30 мин. |
Режим хроматографирования
Время, мин | ПФА, % | ПФБ, % |
0 - 10 | 93 | 7 |
10 - 20 | | |
20 - 25 | | |
25 - 30 | 93 | 7 |
Хроматографируют раствор для проверки чувствительности хроматографической системы, раствор для проверки пригодности хроматографической системы и испытуемый раствор.
Относительное время удерживания соединений. Валганцикловир (второй пик) - 1 (около 7,5 мин); примесь N (относительно второго пика валганцикловира) - около 1,2.
Пригодность хроматографической системы. На хроматограмме раствора для проверки чувствительности хроматографической системы отношение сигнал/шум (S/N) для второго пика валганцикловира должно быть не менее 10.
На хроматограмме раствора для проверки пригодности хроматографической системы:
- разрешение (RS) между пиком примеси C и первым пиком валганцикловира должно быть не менее 1,0;
- разрешение (RS) между двумя пиками валганцикловира должно быть не менее 1,0;
- фактор асимметрии второго пика (AS) валганцикловира должен быть не более 1,3;
- относительное стандартное отклонение площади второго пика валганцикловира должно быть не более 10,0% (6 введений);
- эффективность хроматографической колонки (N), рассчитанная по второму пику валганцикловира, должна составлять не менее 8000 теоретических тарелок.
Допустимое содержание примесей. Содержание примеси N в субстанции в процентах вычисляют согласно методу нормирования (
ОФС "Хроматография").
Примесь N - не более 0,3%.
Подвижная фаза А (ПФА). Растворяют 11,5 г аммония дигидрофосфата в воде и доводят pH раствора фосфорной кислотой концентрированной до 2,80. Переносят полученный раствор в мерную колбу вместимостью 1000 мл и доводят объем раствора водой до метки.
Подвижная фаза Б (ПФБ). Метанол.
Растворитель. Хлористоводородной кислоты раствор 0,001 М.
Испытуемый раствор. В мерную колбу вместимостью 50 мл помещают 10 мг субстанции растворяют в растворителе и доводят объем раствора растворителем до метки.
Раствор стандартного образца примеси C (Метоксиметилгуанин). В мерную колбу вместимостью 10 мл помещают 2 мг фармакопейного стандартного образца примеси C, растворяют в растворителе и доводят объем раствора растворителем до метки.
Раствор для проверки пригодности хроматографической системы. В мерную колбу вместимостью 50 мл помещают 10 мг фармакопейного стандартного образца валганцикловира гидрохлорида, растворяют в растворителе, прибавляют 2,5 мл раствора стандартного образца примеси C и доводят объем раствора растворителем до метки.
Раствор для проверки чувствительности хроматографической системы. В мерную колбу вместимостью 100 мл помещают 1,0 мл испытуемого раствора и доводят объем раствора растворителем до метки. В мерную колбу вместимостью 20 мл помещают 1,0 мл полученного раствора и доводят объем раствора растворителем до метки.
Примечание
Примесь A: 2-амино-9-{[(1,3-дигидроксипропан-2-ил)окси]метил}-1,9-дигидро-6H-пурин-6-он [82410-32-0].
Примесь B: 2-амино-1,7-дигидро-6H-пурин-6-он [73-40-5].
Примесь C: (метоксиметилгуанин): 2-амино-9-(метоксиметил)-1,9-дигидро-6H-пурин-6-он [1202645-50-8].
Примесь D: [(1RS)-1-[(2-амино-6-оксо-1,6-дигидро-9H-пурин-9-ил)метокси]-2-гидроксипропил][(2S)-2-амино-3-метилбутаноата] [1356932-18-7].
Примесь E: [(2RS)-2-[(2-амино-6-оксо-1,6-дигидро-9H-пурин-9-ил)метокси]-3-гидроксипропил]ацетат [88110-89-8].
Примесь F: {2-[(2-амино-6-оксо-1,6-дигидро-9H-пурин-9-ил)метокси]пропан-1,3-диил}бис[(2S)-2-амино-3-метилбутаноат] [130914-71-5].
Примесь G: [(2RS)-2-{[(2-амино-6-оксо-1,6-дигидро-9H-пурин-9-ил)метокси]метокси}-3-гидроксипропил][(2S)-2-амино-3-метилбутаноат] [1356932-88-1].
Примесь H: структура не установлена.
Примесь I: структура не установлена.
Примесь J: [(2RS)-2-[(2-амино-6-оксо-1,6-дигидро-9H-пурин-9-ил)метокси]-3-гидроксипропил]пропаноат [194159-18-7].
Примесь K, L, M: {метиленбис[азандиил(6-оксо-1,6-дигидро-9H-пурин-2,9-диил)метиленокси-3-гидроксипропан-2,1-диил]}[(2S,2S')-бис(2-амино-3-метилбутаноат) [1401661-96-8].
Хроматографические условия
Колонка | 150 x 4,6 мм, силикагель октадецилсилильный для хроматографии, 3,5 мкм, размер пор 8 нм, содержание углерода 10%; |
Температура колонки | 27 °C; |
Скорость потока | 1,0 мл/мин; |
Детектор | спектрофотометрический, 254 нм; |
Объем пробы | 20 мкл; |
Время хроматографирования | 40 мин. |
Режим хроматографирования
Время, мин | ПФА, % | ПФБ, % |
0 - 5 | 92 | 8 |
5 - 15 | | |
15 - 30 | | |
30 - 35 | | |
35 - 40 | 92 | 8 |
Хроматографируют раствор для проверки чувствительности хроматографической системы, раствор для проверки пригодности хроматографической системы и испытуемый раствор.
Относительное время удерживания соединений. Валганцикловир (второй пик) - 1 (около 5 мин); примесь B - около 0,28; примесь A - около 0,42; примесь C - около 0,81; примесь D - около 1,26; примесь E - около 1,36; примесь H - около 1,47; примесь I - около 1,52; примесь F - около 1,62; примесь G - около 1,66; примесь J - около 2,09; примесь K - около 2,49; примесь L - около 2,52; примесь M - около 2,54.
Пригодность хроматографической системы. На хроматограмме раствора для проверки чувствительности хроматографической системы отношение сигнал/шум (S/N) для второго пика валганцикловира должно быть не менее 10.
На хроматограмме раствора для проверки пригодности хроматографической системы:
- разрешение (RS) между пиком примеси C и первым пиком валганцикловира должно быть не менее 1,0;
- разрешение (RS) между двумя пиками валганцикловира должно быть не менее 3,0;
- фактор асимметрии второго пика (AS) валганцикловира должен быть не более 1,5;
- относительное стандартное отклонение площади второго пика валганцикловира должно быть не более 5,0% (6 введений);
- эффективность хроматографической колонки (N), рассчитанная по второму пику валганцикловира, должна составлять не менее 8000 теоретических тарелок.
Поправочные коэффициенты. Для расчета содержания площади пиков следующих примесей умножают на соответствующие поправочные коэффициенты: примесь A - 0,7; примесь B - 0,5; примесь E - 0,8; примесь F - 1,4; примесь H - 0,8; примесь I - 0,7; примесь J - 0,9.
Допустимое содержание примесей. Содержание каждой из примесей в субстанции в процентах вычисляют согласно методу нормирования (
ОФС "Хроматография").
- только одна примесь - не более 0,10%;
- примесь A - не более 1,5%;
- примесь B - не более 0,25%;
- примесь C - не более 0,30%;
- примесь D - не более 0,50%;
- примесь E - не более 0,15%;
- примесь F - не более 0,10%;
- примесь G - не более 0,25%;
- примесь H - не более 0,10%;
- примесь I - не более 0,10%;
- примесь J - не более 0,15%;
- примесь K - не более 0,10%;
- примесь L - не более 0,10%;
- примесь M - не более 0,10%;
- сумма примесей - не более 0,25%.
Не учитывают пики, площадь которых менее площади основного пика на хроматограмме раствора для проверки чувствительности хроматографической системы (менее 0,05%).
Соотношение диастереомеров. От 45:55 до 55:45. Определение проводят методом ВЭЖХ в условиях
испытания "Родственные примеси. Другие примеси" со следующими изменениями.
Хроматографируют испытуемый раствор.
Время удерживания соединений. Диастереомеры - около 7,5 +/- 1,5 мин.
Содержание диастереомеров в субстанции в процентах (X) вычисляют по формулам:

;

,
где SA - площадь пика R-эфира L-валина валганцикловира на хроматограмме испытуемого раствора;
SB - площадь пика S-эфира L-валина валганцикловира на хроматограмме испытуемого раствора.
Энантиомерная чистота. Не менее 97,0%. Определение проводят методом ВЭЖХ (
ОФС "Высокоэффективная жидкостная хроматография").
Подвижная фаза (ПФ). В мерную колбу вместимостью 1000 мл помещают воду, прибавляют 10 мл хлорной кислоты и доводят объем раствора водой до метки.
Растворитель. Хлористоводородной кислоты раствор 0,001 М.
Испытуемый раствор. В мерную колбу вместимостью 50 мл помещают 10 мг (точная навеска) субстанции, растворяют в растворителе и доводят объем раствора растворителем до метки.
Раствор стандартного образца D-валганцикловира. В мерную колбу вместимостью 10 мл помещают 2 мг (точная навеска) фармакопейного стандартного образца D-валганцикловира, растворяют в растворителе и доводят объем раствора растворителем до метки.
Раствор для проверки пригодности хроматографической системы. В мерную колбу вместимостью 25 мл помещают 5 мг фармакопейного стандартного образца валганцикловира гидрохлорида, растворяют в растворителе, прибавляют 2,5 мл раствора стандартного образца D-валганцикловира и доводят объем раствора растворителем до метки.
Хроматографические условия
Колонка | 150 x 4,0 мм, силикагель модифицированный оптически активным краун-эфиром для хиральной хроматографии (+), 5 мкм; |
Температура колонки | 27 °C; |
Скорость потока | 0,8 мл/мин; |
Детектор | спектрофотометрический, 254 нм; |
Объем пробы | 20 мкл; |
Время хроматографирования | 30 мин. |
Хроматографируют раствор для проверки пригодности хроматографической системы и испытуемый раствор.
Пригодность хроматографической системы. На хроматограмме раствора для проверки пригодности хроматографической системы:
- разрешение (RS) между вторым пиком D-валинового эфира и первым пиком валганцикловира должно быть не менее 2,5;
- фактор асимметрии второго пика (AS) валганцикловира должен быть не более 1,4;
- относительное стандартное отклонение площади второго пика валганцикловира должно быть не более 5,0% (6 введений);
- эффективность хроматографической колонки (N), рассчитанная по второму пику валганцикловира, должна составлять не менее 1800 теоретических тарелок.
Содержание энантиомеров в субстанции в процентах (X) вычисляют по формуле:

,
где SL - сумма площадей пиков валганцикловира (R и S эфира L-валина) на хроматограмме испытуемого раствора;
SD - сумма площадей пиков энантиомерных примесей (R и S эфира D-валина) на хроматограмме испытуемого раствора.
Вода. Не более 8,0% (ОФС "Определение воды",
метод 1). Для определения используют 0,1 г (точная навеска) субстанции.
Сульфатная зола. Не более 0,1% (
ОФС "Сульфатная зола"). Для определения используют 1 г (точная навеска) субстанции.
Тяжелые металлы. Не более 0,002%. Определение проводят в соответствии с ОФС "Тяжелые металлы"
(метод 3Б) в зольном остатке, полученном в
испытании "Сульфатная зола", с использованием эталонного раствора 2.
Остаточные органические растворители. В соответствии с
ОФС "Остаточные органические растворители".
Микробиологическая чистота. В соответствии с
ОФС "Микробиологическая чистота".
КОЛИЧЕСТВЕННОЕ ОПРЕДЕЛЕНИЕ
Определение проводят методом ВЭЖХ в условиях
испытания "Родственные примеси. Другие примеси" со следующими изменениями.
Подвижная фаза (ПФ). Метанол - буферный раствор 80:920.
Испытуемый раствор. В мерную колбу вместимостью 100 мл помещают 20 мг (точная навеска) субстанции, растворяют в растворителе и доводят объем раствора растворителем до метки.
Раствор стандартного образца валганцикловира гидрохлорида. В мерную колбу вместимостью 100 мл помещают 20 мг (точная навеска) фармакопейного стандартного образца валганцикловира гидрохлорида, растворяют в растворителе и доводят объем раствора растворителем до метки.
Хроматографические условия
Время хроматографирования | 20 мин. |
Хроматографируют раствор для проверки пригодности хроматографической системы, раствор стандартного образца валганцикловира гидрохлорида и испытуемый раствор.
Время удерживания второго пика валганцикловира - между 5 и 8,5 мин.
Пригодность хроматографической системы. На хроматограмме раствора для проверки пригодности хроматографической системы:
- разрешение (RS) между первым пиком валганцикловира и пиком примеси C должно быть не менее 1,0;
- разрешение (RS) между двумя пиками валганцикловира диастереомеров должно быть не менее 3,0;
- фактор асимметрии второго пика (AS) валганцикловира должен быть не более 1,4;
- относительное стандартное отклонение площади второго пика валганцикловира должно быть не более 1,0% (6 введений);
- эффективность хроматографической колонки (N), рассчитанная по второму пику валганцикловира, должна составлять не менее 8000 теоретических тарелок.
Содержание валганцикловира гидрохлорида C14H22N6O5·HCl в субстанции в процентах в пересчете на безводное и свободное от органических растворителей вещество (X) вычисляют по формуле:

,
где S1 - площадь пика валганцикловира в виде суммы двух пиков валганцикловира диастереомеров на хроматограмме испытуемого раствора;
S0 - площадь пика валганцикловира в виде суммы двух пиков валганцикловира диастереомеров на хроматограмме раствора стандартного образца валганцикловира гидрохлорида;
a1 - навеска субстанции, мг;
a0 - навеска фармакопейного стандартного образца валганцикловира гидрохлорида, мг;
W - суммарное содержание воды и остаточных органических растворителей в субстанции, %;
P - содержание валганцикловира гидрохлорида в фармакопейном стандартном образце валганцикловира гидрохлорида, %.
В плотно укупоренной упаковке в защищенном от света месте.