Главная // Актуальные документы // Государственная фармакопеяСПРАВКА
Источник публикации
Документ опубликован не был
Примечание к документу
Текст документа приведен в соответствии с публикацией на сайте https://minzdrav.gov.ru/ по состоянию на 22.08.2023.
В соответствии с
Приказом Минздрава России от 20.07.2023 N 377 данный документ введен в действие с 01.09.2023.
Название документа
"ФС.2.1.0564. Фармакопейная статья. Розувастатин кальция. Розувастатин"
(утв. и введена в действие Приказом Минздрава России от 20.07.2023 N 377)
("Государственная фармакопея Российской Федерации. XV издание")
"ФС.2.1.0564. Фармакопейная статья. Розувастатин кальция. Розувастатин"
(утв. и введена в действие Приказом Минздрава России от 20.07.2023 N 377)
("Государственная фармакопея Российской Федерации. XV издание")
МИНИСТЕРСТВО ЗДРАВООХРАНЕНИЯ РОССИЙСКОЙ ФЕДЕРАЦИИ
ФАРМАКОПЕЙНАЯ СТАТЬЯ
Розувастатин кальция | ФС.2.1.0564 |
Розувастатин | |
Rosuvastatinum calcicum | Вводится впервые |
|
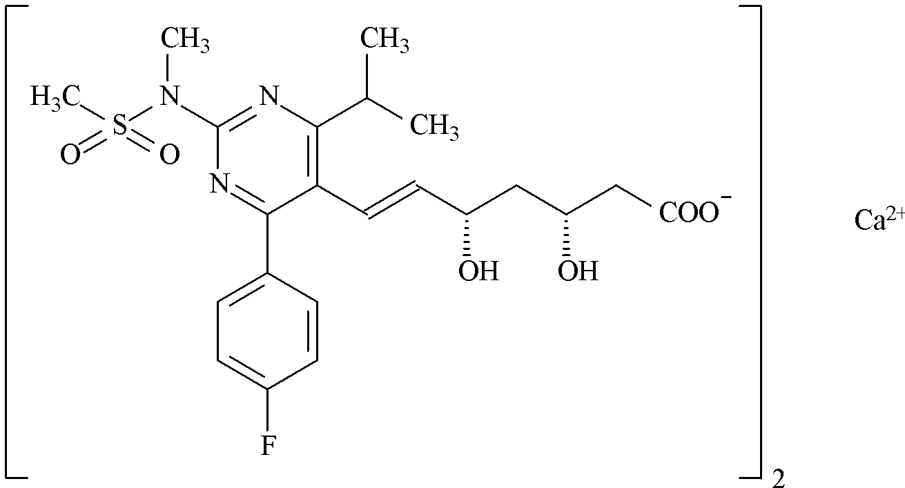
C44H54CaF2N6O12S2 [147098-20-2] | М.м. 1001,14 |
ОПРЕДЕЛЕНИЕ
(3R,5S,6E)-3,5-Дигидрокси-7-{2-[N-метилметансульфонамидо]-4-(пропан-2-ил)-6-(4-фторфенил)пиримидин-5-ил}гепт-6-еноат кальция (2:1).
Содержит не менее 97,0% и не более 102,0% розувастатина кальция в пересчете на безводное и свободное от остаточных органических растворителей вещество.
СВОЙСТВА
Описание. Белый или почти белый аморфный порошок.
<*> Гигроскопичен.
--------------------------------
<*> Приводится для информации.
Растворимость. Легко растворим в метиленхлориде, мало растворим в воде, практически нерастворим в этаноле.
ИДЕНТИФИКАЦИЯ
1. ИК-спектрометрия (
ОФС "Спектрометрия в средней инфракрасной области"). Инфракрасный спектр субстанции в области от 4000 до 400 см
-1 по положению полос поглощения должен соответствовать спектру фармакопейного стандартного образца розувастатина кальция.
2. ВЭЖХ. Время удерживания основного пика на хроматограмме испытуемого раствора должно соответствовать времени удерживания пика розувастатина на хроматограмме раствора фармакопейного стандартного образца розувастатина кальция (
раздел "Количественное определение").
3. Качественная реакция. Субстанция должна давать характерные реакции Б на кальций (
ОФС "Общие реакции на подлинность").
ИСПЫТАНИЯ
Родственные примеси
1. Энантиомерная чистота. Определение проводят методом ВЭЖХ (
ОФС "Высокоэффективная жидкостная хроматография").
Все растворы защищают от света.
Подвижная фаза (ПФ). Ацетонитрил - трифторуксусной кислоты раствор 0,1% 250:750.
Растворитель. Ацетонитрил - вода 25:75.
Испытуемый раствор. В мерную колбу вместимостью 25 мл помещают 25 мг субстанции, растворяют в 6 мл ацетонитрила и доводят объем раствора водой до метки.
Раствор сравнения. В мерную колбу вместимостью 100 мл помещают 1,0 мл испытуемого раствора и доводят объем раствора растворителем до метки. В мерную колбу вместимостью 10 мл помещают 1,0 мл полученного раствора и доводят объем раствора растворителем до метки.
Раствор для проверки разделительной способности хроматографической системы. Содержимое флакона фармакопейного стандартного образца примеси G розувастатина (примесь G: (3S,5R,6E)-3,5-дигидрокси-7-{2-[N-метилметансульфонамидо]-4-(пропан-2-ил)-6-(4-фторфенил)пиримидин-5-ил}гепт-6-еновая кислота [242184-42-4]) растворяют в 1,0 мл испытуемого раствора.
Хроматографические условия
Колонка | 150 x 4,6 мм, силикагель модифицированный трис(3,5-диметилфенилкарбамоил)целлюлозой для хиральной хроматографии, 5 мкм; |
Температура колонки | 35 °C; |
Скорость потока | 0,5 мл/мин; |
Детектор | спектрофотометрический, 242 нм; |
Объем пробы | 10 мкл; |
Время хроматографирования | 2,6-кратное от времени удерживания пика розувастатина. |
Хроматографируют раствор для проверки разделительной способности хроматографической системы, раствор сравнения и испытуемый раствор.
Относительное время удерживания соединений. Розувастатин - 1 (около 29 мин); примесь G - около 0,9.
Идентификация примеси. Для идентификации пика примеси G используют относительное время удерживания соединений и хроматограмму раствора для проверки разделительной способности хроматографической системы.
Пригодность хроматографической системы. На хроматограмме раствора для проверки разделительной способности хроматографической системы разрешение (RS) между пиками примеси G и розувастатина должно быть не менее 1,5.
Допустимое содержание примесей. На хроматограмме испытуемого раствора площадь пика примеси G не должна более, чем в 1,5 раза превышать площадь пика розувастатина на хроматограмме раствора сравнения (не более 0,15%).
2. Примесь L. Определение проводят методом ВЭЖХ (
ОФС "Высокоэффективная жидкостная хроматография").
Все растворы защищают от света.
Раствор А. Этанол 96% - ацетонитрил для хроматографии 1:2.
Подвижная фаза (ПФ). Раствор А - трифторуксусной кислоты раствор 0,02% 350:650.
Растворитель. Ацетонитрил - вода 50:50.
Испытуемый раствор. В мерную колбу вместимостью 100 мл помещают 20 мг субстанции, растворяют в 50 мл ацетонитрила и доводят объем раствора водой до метки.
Раствор стандартного образца розувастатина кальция для идентификации примеси L. В мерную колбу вместимостью 20 мл помещают 5 мг стандартного образца розувастатина кальция для идентификации примеси L (примесь L: (3

,5

-3,5-дигидрокси-7-[2-(
N-метилметансульфонамидо)-6-(пропан-2-ил)-4-(4-фторфенил)пиримидин-5-ил]гептановая кислота [1347797-73-2], [1024064-70-7] (Ca), [1347362-67-7] (Na)), растворяют в 10 мл ацетонитрила и доводят объем раствора водой до метки.
Раствор сравнения. В мерную колбу вместимостью 100 мл помещают 1,0 мл испытуемого раствора и доводят объем раствора растворителем до метки. В мерную колбу вместимостью 10 мл помещают 1,0 мл полученного раствора и доводят объем раствора растворителем до метки.
Хроматографические условия
Колонка | 150 x 4,6 мм, силикагель октилсилильный, с пористой поверхностью на непористой основе, эндкепированный, для хроматографии, 2,7 мкм; |
Скорость потока | 0,7 мл/мин; |
Детектор | спектрофотометрический, 243 нм; |
Объем пробы | 10 мкл; |
Время хроматографирования | трехкратное от времени удерживания пика розувастатина. |
Хроматографируют раствор стандартного образца розувастатина кальция для идентификации примеси L, раствор сравнения и испытуемый раствор.
Относительное время удерживания соединений. Розувастатин - 1 (около 22 минут); примесь L - около 1,1.
Идентификация примесей. Для идентификации пика примеси L используют относительное время удерживания соединений, хроматограмму, прилагаемую к фармакопейному стандартному образцу розувастатина для идентификации примеси L, и хроматограмму раствора стандартного образца розувастатина для идентификации примеси L.
Пригодность хроматографической системы. На хроматограмме раствора стандартного образца розувастатина для идентификации примеси L: отношение максимум/минимум (p/v) между пиками розувастатина кальция и примеси L должно быть не менее 2,5.
Поправочные коэффициенты. Для расчета содержания площадь пика примеси L умножается на поправочный коэффициент - 1,8.
Допустимое содержание примесей. На хроматограмме испытуемого раствора: площадь пика примеси L не должна более, чем в 1,5 раза превышать площадь пика розувастатина на хроматограмме раствора сравнения (не более 0,15%).
3. Другие примеси. Определение проводят методом ВЭЖХ (
ОФС "Высокоэффективная жидкостная хроматография").
Все растворы защищают от воздействия света и используют свежеприготовленными.
Подвижная фаза А (ПФА). Трифторуксусной кислоты раствор 1% - ацетонитрил для хроматографии - вода 10:290:700.
Подвижная фаза Б (ПФБ). Трифторуксусной кислоты раствор 1% - вода - ацетонитрил для хроматографии 10:240:750.
Растворитель. Ацетонитрил - вода 25:75.
Испытуемый раствор. В мерную колбу вместимостью 50 мл помещают 35 мг субстанции, растворяют в 12 мл ацетонитрила и доводят объем раствора водой до метки.
Раствор сравнения. В мерную колбу вместимостью 100 мл помещают 1,0 мл испытуемого раствора и доводят объем раствора растворителем до метки. В мерную колбу вместимостью 10 мл помещают 2,0 мл полученного раствора и доводят объем раствора растворителем до метки.
Раствор для проверки разделительной способности хроматографической системы. В мерную колбу вместимостью 10 мл помещают 7 мг фармакопейного стандартного образца розувастатина для проверки пригодности хроматографической системы (содержит примеси A, B и C), растворяют в 2,5 мл ацетонитрила и доводят объем раствора водой до метки.
Примечание
Примесь A: (3R,5S,6E)-3,5-дигидрокси-7-{2-[2-гидрокси-N,2-диметилпропансульфонамидо]-4-(пропан-2-ил)-6-(4-фторфенил)пиримидин-5-ил}гепт-6-еновая кислота.
Примесь B: rac-(3R,5R,6E)-3,5-дигидрокси-7-{2-[N-метилметансульфонамидо]-4-(пропан-2-ил)-6-(4-фторфенил)пиримидин-5-ил}гепт-6-еновая кислота [1094100-06-7].
Примесь C: (3R,6E)-3-гидрокси-7-{2-[N-метилметансульфонамидо]-4-(пропан-2-ил)-6-(4-фторфенил)пиримидин-5-ил}-5-оксогепт-6-еновая кислота [1422619-13-3].
Хроматографические условия
Колонка | 150 x 3,0 мм, силикагель октадецилсилильный, деактивированный по отношению к основаниям, эндкепированный для хроматографии, 3 мкм; |
Температура колонки | 40 °C; |
Скорость потока | 0,75 мл/мин; |
Детектор | спектрофотометрический, 242 нм; |
Объем пробы | 10 мкл. |
Режим хроматографирования
Время, мин | ПФА, % | ПФБ, % |
0 - 30 | 100 | 0 |
30 - 50 | | |
50 - 60 | | |
60 - 70 | 0 | 100 |
Хроматографируют раствор для проверки разделительной способности хроматографической системы, раствор сравнения и испытуемый раствор.
Относительное время удерживания соединений. Розувастатин - 1,0 (около 25 мин); примесь A - около 0,9; примесь B - около 1,1; примесь C - около 1,5.
Идентификация примесей. Для идентификации пиков примесей A, B и C используют относительное время удерживания соединений, хроматограмму раствора для проверки разделительной способности хроматографической системы и хроматограмму, прилагаемую к фармакопейному стандартному образцу розувастатина для проверки пригодности хроматографической системы.
Пригодность хроматографической системы. На хроматограмме раствора для проверки разделительной способности хроматографической системы разрешение (RS) между пиками розувастатина и примеси B должно быть не менее 2,0.
Поправочные коэффициенты. Для расчета содержания площадь пика примеси C умножают на 1,4.
Допустимое содержание примесей. На хроматограмме испытуемого раствора:
- площадь пика примеси A не должна превышать площадь пика розувастатина на хроматограмме раствора сравнения (не более 0,2%);
- площадь пика примеси B не должна превышать 2,5 площади пика розувастатина на хроматограмме раствора сравнения (не более 0,5%);
- площадь пика примеси C не должна превышать четырехкратную площадь пика розувастатина на хроматограмме раствора сравнения (не более 0,8%);
- площадь пика любой другой примеси не должна превышать 0,5 площади пика розувастатина на хроматограмме раствора сравнения (не более 0,10%);
- сумма площадей пиков всех примесей не должна превышать шестикратную площадь пика розувастатина на хроматограмме раствора сравнения (не более 1,2%).
Не учитывают пики, площадь которых менее 0,25 площади основного пика на хроматограмме раствора сравнения (менее 0,05%).
Вода. Не более 6,0% (ОФС "Определение воды",
метод 1). Для определения используют 0,1 г (точная навеска) субстанции.
Тяжелые металлы. Не более 0,002%. Определение проводят в соответствии с ОФС "Тяжелые металлы"
(метод 3Б), в зольном остатке, полученном после сжигания 0,5 г субстанции, с использованием эталонного раствора 2.
Остаточные органические растворители. В соответствии с требованиями
ОФС "Остаточные органические растворители".
Микробиологическая чистота. В соответствии с требованиями
ОФС "Микробиологическая чистота".
КОЛИЧЕСТВЕННОЕ ОПРЕДЕЛЕНИЕ
Определение проводят методом ВЭЖХ в условиях
испытания "Родственные примеси. Другие примеси" со следующими изменениями.
Раствор стандартного образца розувастатина кальция. В мерную колбу вместимостью 50 мл помещают 35 мг (точная навеска) фармакопейного стандартного образца розувастатина кальция, растворяют в 12 мл ацетонитрила и доводят объем раствора водой до метки.
Хроматографируют раствор стандартного образца розувастатина кальция и испытуемый раствор.
Содержание розувастатина кальция C44H54CaF2N6O12S2 в субстанции в пересчете на безводное и свободное от остаточных органических растворителей вещество в процентах (X) вычисляют по формуле:
где S1 - площадь пика розувастатина на хроматограмме испытуемого раствора;
S0 - площадь пика розувастатина на хроматограмме раствора стандартного образца розувастатина кальция;
a1 - навеска субстанции, мг;
a0 - навеска фармакопейного стандартного образца розувастатина кальция, мг;
P - содержание розувастатина кальция в фармакопейном стандартном образце розувастатина кальция, %;
W - суммарное содержание воды и остаточных органических растворителей в субстанции, %.
ХРАНЕНИЕ
В плотно укупоренной упаковке, в защищенном от света месте при температуре от 2 до 8 °C.