Главная // Актуальные документы // Государственная фармакопеяСПРАВКА
Источник публикации
Документ опубликован не был
Примечание к документу
Текст документа приведен в соответствии с публикацией на сайте https://minzdrav.gov.ru/ по состоянию на 22.08.2023.
В соответствии с
Приказом Минздрава России от 20.07.2023 N 377 данный документ введен в действие с 01.09.2023.
Название документа
"ФС.2.1.0556. Фармакопейная статья. Ралтегравир калия. Ралтегравир"
(утв. и введена в действие Приказом Минздрава России от 20.07.2023 N 377)
("Государственная фармакопея Российской Федерации. XV издание")
"ФС.2.1.0556. Фармакопейная статья. Ралтегравир калия. Ралтегравир"
(утв. и введена в действие Приказом Минздрава России от 20.07.2023 N 377)
("Государственная фармакопея Российской Федерации. XV издание")
МИНИСТЕРСТВО ЗДРАВООХРАНЕНИЯ РОССИЙСКОЙ ФЕДЕРАЦИИ
ФАРМАКОПЕЙНАЯ СТАТЬЯ
Ралтегравир калия | ФС.2.1.0556 |
Ралтегравир | |
Raltegravirum kalicum | Вводится впервые |
|
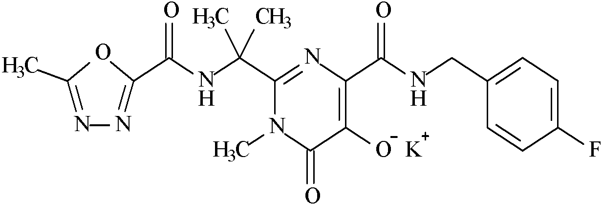
C20H20FKN6O5 [871038-72-1] | М.м. 482,51 |
ОПРЕДЕЛЕНИЕ
1-Метил-2-[2-(5-метил-1,3,4-оксадиазол-2-карбоксамидо)пропан-2-ил]-6-оксо-4-{[(4-фторфенил)метил]карбамоил}-1,6-дигидропиримидин-5-олат калия.
Содержит не менее 98,0% и не более 102,0% ралтегравира калия C20H20FKN6O5 в пересчете на безводное и свободное от остаточных органических растворителей вещество.
СВОЙСТВА
Описание. Белый или почти белый порошок.
<*> Проявляет полиморфизм.
--------------------------------
<*> Приводится для информации.
Растворимость. Растворим в воде, мало растворим в метаноле, очень мало растворим в спирте 96%, практически нерастворим в гептане.
ИДЕНТИФИКАЦИЯ
1. ИК-спектрометрия (
ОФС "Спектрометрия в средней инфракрасной области"). Инфракрасный спектр субстанции в области от 4000 до 400 см
-1 по положению полос поглощения должен соответствовать спектру фармакопейного стандартного образца ралтегравира калия.
Если спектры различаются, испытуемую субстанцию и стандартный образец по отдельности растворяют в минимальных объемах метанола, выпаривают досуха и записывают спектры сухих остатков.
2. ВЭЖХ. Время удерживания основного пика на хроматограмме испытуемого раствора должно соответствовать времени удерживания пика ралтегравира на хроматограмме раствора стандартного образца ралтегравира калия (
раздел "Количественное определение").
3. Качественная реакция. Субстанция должна давать характерные реакции на калий (
ОФС "Общие реакции на подлинность").
ИСПЫТАНИЯ
Родственные примеси. Определение проводят методом ВЭЖХ (
ОФС "Высокоэффективная жидкостная хроматография").
Подвижная фаза А (ПФА). Фосфорная кислота разведенная 0,1%.
Подвижная фаза Б (ПФБ). Ацетонитрил.
Растворитель. Ацетонитрил - вода 250:750.
Испытуемый раствор. В мерную колбу вместимостью 250 мл помещают 25 мг (точная навеска) субстанции, прибавляют 100 мл растворителя, обрабатывают ультразвуком в течение 5 мин, охлаждают до температуры 15 - 25 °C и доводят объем раствора тем же растворителем до метки.
Раствор сравнения. В мерную колбу вместимостью 100 мл помещают 1,0 мл испытуемого раствора и доводят объем раствора растворителем до метки. В мерную колбу вместимостью 10 мл помещают 1,0 мл полученного раствора и доводят объем раствора растворителем до метки.
Раствор для проверки разделительной способности хроматографической системы. В мерную колбу вместимостью 20 мл помещают 2 мг фармакопейного стандартного образца ралтегравира примеси E, растворяют в растворителе и доводят объем раствора растворителем до метки. В мерную колбу вместимостью 50 мл помещают 1,0 мл полученного раствора и доводят объем раствора испытуемым раствором.
Раствор для идентификации пика C. В мерную колбу вместимостью 10 мл помещают 20 мг субстанции, растворяют в натрия гидроксида растворе 1 М, доводят объем раствора тем же растворителем до метки и перемешивают в течение 30 мин. В мерную колбу вместимостью 50 мл помещают 5,0 мл полученного раствора, прибавляют 5,0 мл хлористоводородной кислоты раствора 1 М и доводят объем раствора растворителем до метки.
Раствор для идентификации пиков F и G. В мерную колбу вместимостью 50 мл помещают 5 мг фармакопейного стандартного образца ралтегравира для идентификации пиков (содержит примесь F и примесь G), прибавляют 20 мл растворителя, обрабатывают ультразвуком в течение 5 мин, охлаждают до комнатной температуры и доводят объем раствора растворителем до метки.
Примечание
Примесь C: 2-{2-[2-(ацетогидразидо)-2-оксоацетамидо]пропан-2-ил}-5-гидрокси-1-метил-6-оксо-N-[(4-фторфенил)метил]-1,6-дигидропиримидин-4-карбоксамид [1391918-17-4].
Примесь E: 1-метил-2-[2-(5-метил-1,3,4-оксадиазол-2-карбоксамидо)пропан-2-ил]-6-оксо-1,6-дигидропиримидин [1193687-87-4].
Примесь F: этил[(1E)-N-{[2-(5-Гидрокси-1-метил-6-оксо-4-{[(4-фторфенил)метил]карбамоил}-1,6-дигидропиримидин-2-ил)пропан-2-ил]оксамоил}этангидразонат].
Примесь G: этил[(1Z)-N-{[2-(5-гидрокси-1-метил-6-оксо-4-{[(4-фторфенил)метил]карбамоил}-1,6-дигидропиримидин-2-ил)пропан-2-ил]оксамоил}этангидразонат].
Хроматографические условия
Колонка | 150 x 4,6 мм, силикагель фенилсилильный для хроматографии, 3,5 мкм; |
Температура колонки | 15 °C; |
Скорость потока | 1,0 мл/мин; |
Детектор | спектрофотометрический, 220 нм; |
Объем пробы | 10 мкл. |
Режим хроматографирования
Время, мин | ПФА, % | ПФБ, % |
0 - 2 | 75 | 25 |
2 - 5 | | |
5 - 10 | | |
10 - 19 | | |
19 - 22 | | |
Хроматографируют раствор для проверки разделительной способности хроматографической системы, раствор для идентификации пика C, раствор для идентификации пиков F и G, раствор сравнения и испытуемый раствор.
Относительное время удерживания соединений. Ралтегравир - 1 (около 10 мин), примесь C - около 0,7; примесь E - около 0,95; примесь G - около 1,1; примесь F - около 1,15.
Идентификация примесей. Для идентификации пика примеси C используют хроматограмму раствора для идентификации пика C. Для идентификации пика примеси E используют хроматограмму раствора для проверки разделительной способности хроматографической системы. Для идентификации пиков примеси F и G используют хроматограмму раствора для идентификации пиков F и G и хроматограмму, прилагаемую к фармакопейному стандартному образцу ралтегравира для идентификации пиков.
Пригодность хроматографической системы. На хроматограмме раствора для проверки разделительной способности хроматографической системы разрешение (RS) между пиками примеси E и ралтегравира должно быть не менее 1,5;
Поправочные коэффициенты. Для расчета содержания площадь пика примеси C умножают на 1,6.
Допустимое содержание примесей. На хроматограмме испытуемого раствора:
- площадь пика примеси C не должна превышать двукратную площадь основного пика на хроматограмме раствора сравнения (не более 0,2%);
- площадь пика каждой из примесей E, F и G не должна более чем в 1,5 раза превышать площадь основного пика на хроматограмме раствора сравнения (не более 0,15%);
- площадь пика любой другой примеси не должна превышать площадь основного пика на хроматограмме раствора сравнения (не более 0,10%);
- сумма площадей пиков всех примесей не должна превышать пятикратную площадь основного пика на хроматограмме раствора сравнения (не более 0,5%).
Не учитывают пики, площадь которых составляет менее 0,5 площади основного пика на хроматограмме раствора сравнения (менее 0,05%).
Вода. Не более 0,6% (ОФС "Определение воды",
метод 1). Для определения используют 0,5 г (точная навеска) субстанции и, в качестве растворителя, смесь метанол - формамид 1:1.
Тяжелые металлы. Не более 0,001%. Определение проводят в соответствии с ОФС "Тяжелые металлы"
(метод 3Б), в зольном остатке, полученном после сжигания 1,0 г субстанции, с использованием эталонного раствора 1.
Остаточные органические растворители. В соответствии с
ОФС "Остаточные органические растворители".
Микробиологическая чистота. В соответствии с
ОФС "Микробиологическая чистота".
КОЛИЧЕСТВЕННОЕ ОПРЕДЕЛЕНИЕ
Определение проводят методом ВЭЖХ в условиях
испытания "Родственные примеси" со следующими изменениями.
Раствор стандартного образца ралтегравира калия. В мерную колбу вместимостью 250 мл помещают 25 мг (точная навеска) фармакопейного стандартного образца ралтегравира калия, прибавляют 100 мл растворителя, обрабатывают ультразвуком в течение 5 мин, охлаждают до температуры 15 - 25 °C и доводят объем раствора тем же растворителем до метки.
Хроматографируют раствор стандартного образца ралтегравира калия и испытуемый раствор.
Содержание ралтегравира калия C20H20FKN6O5 в субстанции в пересчете на безводное и свободное от остаточных органических растворителей вещество в процентах (X) вычисляют по формуле:
где S1 - площадь пика ралтегравира на хроматограмме испытуемого раствора;
S0 - площадь пика ралтегравира на хроматограмме раствора стандартного образца ралтегравира калия;
a1 - навеска субстанции, мг;
a0 - навеска фармакопейного стандартного образца ралтегравира калия, мг;
W - суммарное содержание воды и остаточных органических растворителей в субстанции, %;
P - содержание ралтегравира калия в фармакопейном стандартном образце ралтегравира калия, %.
ХРАНЕНИЕ
В плотно укупоренной упаковке.