Главная // Актуальные документы // Государственная фармакопеяСПРАВКА
Источник публикации
Документ опубликован не был
Примечание к документу
Текст документа приведен в соответствии с публикацией на сайте https://minzdrav.gov.ru/ по состоянию на 22.08.2023.
В соответствии с
Приказом Минздрава России от 20.07.2023 N 377 данный документ введен в действие с 01.09.2023.
Название документа
"ФС.2.1.0512. Фармакопейная статья. Мометазона фуроат. Мометазон"
(утв. и введена в действие Приказом Минздрава России от 20.07.2023 N 377)
("Государственная фармакопея Российской Федерации. XV издание")
"ФС.2.1.0512. Фармакопейная статья. Мометазона фуроат. Мометазон"
(утв. и введена в действие Приказом Минздрава России от 20.07.2023 N 377)
("Государственная фармакопея Российской Федерации. XV издание")
МИНИСТЕРСТВО ЗДРАВООХРАНЕНИЯ РОССИЙСКОЙ ФЕДЕРАЦИИ
ФАРМАКОПЕЙНАЯ СТАТЬЯ
Мометазона фуроат | ФС.2.1.0512 |
Мометазон | |
Mometasoni furoas | Вводится впервые |
|
C27H30Cl2O6 [83919-23-7] | М.м. 521,43 |
ОПИСАНИЕ
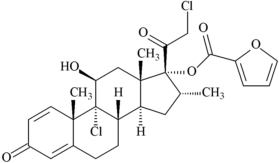
(11

-Гидрокси-16

-метил-3,20-диоксо-9,21-дихлорпрегна-1,4-диен-17-ил)фуран-2-карбоксилат.
Содержит не менее 97,0% и не более 103,0% мометазона фуроата C27H30Cl2O6 в пересчете на сухое вещество.
СВОЙСТВА
Описание. Белый или почти белый порошок.
Растворимость. Растворим в ацетоне и метиленхлориде, мало растворим в спирте 96%, практически нерастворим в воде.
ИДЕНТИФИКАЦИЯ
1. ИК-спектрометрия (
ОФС "Спектрометрия в средней инфракрасной области"). Инфракрасный спектр субстанции в области от 4000 до 400 см
-1 по положению полос поглощения должен соответствовать спектру фармакопейного стандартного образца мометазона фуроата.
2. ВЭЖХ. Время удерживания основного пика на хроматограмме испытуемого раствора должно соответствовать времени удерживания пика мометазона фуроата на хроматограмме раствора стандартного образца мометазона фуроата моногидрата (
раздел "Количественное определение").
ИСПЫТАНИЯ
Температура плавления. Около 220 °C (с разложением, ОФС "Температура плавления",
метод 1)
.
Удельное вращение. От +50 до +55 в пересчете на сухое вещество (0,5% раствор субстанции в этаноле 96%,
ОФС "Оптическое вращение").
Родственные примеси. Определение проводят методом ВЭЖХ (
ОФС "Высокоэффективная жидкостная хроматография").
Подвижная фаза (ПФ). Ацетонитрил - вода 50:50.
Растворитель. Смешивают 200 мл ацетонитрила и 200 мл воды. К полученному раствору прибавляют 0,1 мл уксусной кислоты.
Испытуемый раствор. В мерную колбу вместимостью 50 мл помещают 25 мг (точная навеска) субстанции, растворяют в 15 мл ацетонитрила и доводят объем раствора растворителем до метки.
Раствор сравнения. В мерную колбу вместимостью 100 мл помещают 1,0 мл испытуемого раствора, доводят объем раствора растворителем до метки. В мерную колбу вместимостью 10 мл помещают 1,0 мл полученного раствора и доводят объем раствора растворителем до метки.
Раствор для проверки пригодности хроматографической системы. В мерную колбу вместимостью 10 мл помещают 5 мг фармакопейного стандартного образца мометазона фуроата для проверки разделительной способности хроматографической системы, содержащего примеси C и J, растворяют в 3 мл ацетонитрила и доводят объем раствора растворителем до метки.
Примечание
Примесь C: (16

-Метил-3,11,20-триоксо-21-хлорпрегна-1,4-диен-17-ил)фуран-2-карбоксилат [1305334-31-9].
Примесь J: 9,21-дихлор-11

-гидрокси-6

,16

-диметил-3,20-диоксопрегна-1,4-диен-17-илфуран-2-карбоксилат.
Хроматографические условия
Колонка | 250 x 4,6 мм, силикагель октадецилсилильный для хроматографии, 5 мкм; |
Скорость потока | 1,0 мл/мин; |
Детектор | спектрофотометрический, 254 нм; |
Объем пробы | 20 мкл; |
Время хроматографирования | 3,5-кратное от времени удерживания пика мометазона фуроата. |
Хроматографируют раствор для проверки пригодности хроматографической системы, раствор сравнения и испытуемый раствор.
Относительное время удерживания соединений. Мометазона фуроат - 1 (около 24 мин); примесь C - около 0,9; примесь J - около 1,5.
Идентификация примесей. Для идентификации пиков примесей C и J используют относительное время удерживания соединения и хроматограмму раствора для проверки пригодности хроматографической системы.
Пригодность хроматографической системы. На хроматограмме раствора для проверки пригодности хроматографической системы:
- разрешение (R) между пиками мометазона фуроата и примеси C должно быть не менее 2,5.
Допустимое содержание примесей. На хроматограмме испытуемого раствора:
- площадь пика примеси J не должна превышать 1,5 площади основного пика на хроматограмме раствора сравнения (не более 0,15%);
- площадь пика любой другой примеси не должна превышать площадь основного пика на хроматограмме раствора сравнения (не более 0,1%);
- сумма площадей пиков всех примесей, кроме примеси D, не должна превышать трехкратную площадь основного пика на хроматограмме раствора сравнения (не более 0,3%).
Не учитывают пики, площадь которых менее 0,5 площади основного пика на хроматограмме раствора сравнения (менее 0,05%).
Потеря в массе при высушивании. Не более 0,05% (ОФС "Потеря в массе при высушивании",
способ 1). Высушивают до постоянной массы 1 г (точная навеска) субстанции при температуре 105 °C в течение 2 ч.
Сульфатная зола. Не более 0,1% (
ОФС "Сульфатная зола"). Для определения используют около 1 г (точная навеска) субстанции.
Тяжелые металлы. Не более 0,003%. Определение проводят в соответствии с ОФС "Тяжелые металлы"
(метод 3Б) в зольном остатке, полученном после сжигания 0,67 г субстанции, с использованием эталонного раствора 2.
Остаточные органические растворители. В соответствии с
ОФС "Остаточные органические растворители".
Микробиологическая чистота. В соответствии с
ОФС "Микробиологическая чистота".
КОЛИЧЕСТВЕННОЕ ОПРЕДЕЛЕНИЕ
Определение проводят методом ВЭЖХ в условиях
испытания "Родственные примеси" со следующими изменениями.
Испытуемый раствор. В мерную колбу вместимостью 25 мл помещают 5,0 мл испытуемого раствора, полученного в
испытании "Родственные примеси", и доводят объем раствора растворителем до метки.
Раствор стандартного образца мометазона фуроат моногидрата. В мерную колбу вместимостью 50 мл помещают около 25 мг (точная навеска) фармакопейного стандартного образца мометазона фуроат моногидрата, растворяют в 15 мл ацетонитрила и доводят объем раствора растворителем до метки. В мерную колбу вместимостью 25 мл помещают 5,0 мл полученного раствора и доводят объем раствора тем же растворителем до метки.
Хроматографируют раствор стандартного образца мометазона фуроат моногидрата и испытуемый раствор.
Содержание мометазона фуроат C16H18N2O5S в субстанции в пересчете на сухое вещество в процентах (X) вычисляют по формуле:
где S1 - площадь пика мометазона фуроат на хроматограмме испытуемого раствора;
S0 - площадь пика мометазона фуроат на хроматограмме раствора стандартного образца мометазона фуроат моногидрата;
a1 - навеска субстанции, мг;
a0 - навеска фармакопейного стандартного образца мометазона фуроат моногидрата, мг;
P - содержание мометазона фуроат в фармакопейном стандартном образце мометазона фуроат моногидрата, %;
W - суммарное содержание воды и остаточных органических растворителей в субстанции, %.
ХРАНЕНИЕ
В плотно укупоренной упаковке, в защищенном от света месте.