Главная // Актуальные документы // Государственная фармакопея
СПРАВКА
Источник публикации
Документ опубликован не был
Примечание к документу
Текст документа приведен в соответствии с публикацией на сайте https://minzdrav.gov.ru/ по состоянию на 23.08.2023.

В соответствии с Приказом Минздрава России от 20.07.2023 N 377 данный документ введен в действие с 01.09.2023.
Название документа
"ФС.2.1.0366. Фармакопейная статья. Флувоксамина малеат. Флувоксамин"
(утв. и введена в действие Приказом Минздрава России от 20.07.2023 N 377)
("Государственная фармакопея Российской Федерации. XV издание")


"ФС.2.1.0366. Фармакопейная статья. Флувоксамина малеат. Флувоксамин"
(утв. и введена в действие Приказом Минздрава России от 20.07.2023 N 377)
("Государственная фармакопея Российской Федерации. XV издание")


Содержание


МИНИСТЕРСТВО ЗДРАВООХРАНЕНИЯ РОССИЙСКОЙ ФЕДЕРАЦИИ
ФАРМАКОПЕЙНАЯ СТАТЬЯ
Флувоксамина малеат
Флувоксамин
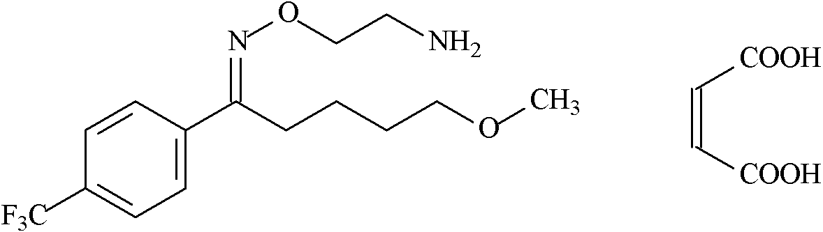
Fluvoxamini maleas
ФС
Вводится впервые
C15H21F3N2O2·C4H4O4
[61718-82-9]
М.м. 434,41
ОПРЕДЕЛЕНИЕ
2-[(1E)-{5-Метокси-1-[4-трифторметил)фенил]пентилиден}амино]оксиэтанамин (2Z)-бут-2-ендиоат (1:1).
Содержит не менее 99,0% и не более 101,0% флувоксамина малеата C15H21F3N2O2·C4H4O4 в пересчете на сухое вещество.
СВОЙСТВА
Описание. Белый или почти белый кристаллический порошок.
Растворимость. Легко растворим в спирте 96% и метаноле, умеренно растворим в воде.
ИДЕНТИФИКАЦИЯ
ИК-спектрометрия (ОФС "Спектрометрия в средней инфракрасной области"). Инфракрасный спектр субстанции в области от 4000 до 400 см-1 по положению полос поглощения должен соответствовать спектру фармакопейного стандартного образца флувоксамина малеата.
ИСПЫТАНИЯ
<*> Родственные примеси. Определение проводят методом ВЭЖХ (ОФС "Высокоэффективная жидкостная хроматография").
--------------------------------
<*> Если при используемом способе производства возможно образование азиридина, должно быть дополнительно предусмотрено определение этой примеси.
Все растворы используют сразу после приготовления.
Буферный раствор. Растворяют 1,1 г калия дигидрофосфата и 1,9 г натрия пентансульфоната в 900 мл воды, доводят pH раствора фосфорной кислотой концентрированной до 3,0. Количественно переносят полученный раствор в мерную колбу вместимостью 1000 мл и доводят объем раствора водой до метки.
Подвижная фаза (ПФ). Ацетонитрил - буферный раствор 370:630.
Испытуемый раствор. В мерную колбу вместимостью 25 мл помещают 50 мг субстанции, растворяют в ПФ и доводят объем раствора тем же растворителем до метки.
Раствор сравнения. В мерную колбу вместимостью 10 мл помещают 1,0 мл испытуемого раствора и доводят объем раствора ПФ до метки. В мерную колбу вместимостью 100 мл помещают 1,0 мл полученного раствора и доводят объем раствора ПФ до метки.
Раствор стандартного образца примеси D. В мерную колбу вместимостью 10 мл помещают 3 мг фармакопейного стандартного образца примеси D, растворяют в ПФ и доводят объем раствора тем же растворителем до метки. В мерную колбу вместимостью 100 мл помещают 1,0 мл полученного раствора и доводят объем раствора ПФ до метки.
Раствор для проверки разделительной способности хроматографической системы. Растворяют содержимое флакона фармакопейного стандартного образца флувоксамина для проверки пригодности системы, содержащего примеси A, B, C и F, в 1,0 мл ПФ.
Примечание
Примесь A: 2-{([(1E)1-[4-(трифторометил)фенил]пентилиден]амино)окси}этанамин [1217216-82-4].
Примесь B: 2-{([(1Z)5-метокси1-[4-(трифторометил)фенил]пентилиден]амино)окси}этанамин [89035-92-7]
Примесь C: (2RS)-2-[{2-[{[(1E)-5-метокси-1-[4-(трифторометил)-фенил]пентилиден]амино}окси]этил}амино]бутандиовая кислота [259526-43-7].
Примесь D: 5-метокси-1-[4-(трифторометил)фенил]пентан-1-он [61718-80-7].
Примесь F: N-[2-[{[(1E)-5-метокси-1-[4-(трифторометил)фенил]-пентилиден]амино}окси]этан]-1,2-диамин [1217262-11-7].
Примесь G: (5E)-5-[(2-аминоэтокси)имино]-5-[4-(трифторометил)-фенил]пентан-1-ол [192876-02-1].
Хроматографические условия
Колонка
250 x 4,6 мм, силикагель октилсилильный для хроматографии, 5 мкм;
Температура колонки
25 °C;
Скорость потока
1,2 мл/мин;
Детектор
спектрофотометрический, 234 нм;
Объем пробы
20 мкл;
Время хроматографирования
6-кратное от времени удерживания пика флувоксамина.
Хроматографируют раствор для проверки разделительной способности хроматографической системы, раствор стандартного образца примеси D, раствор сравнения и испытуемый раствор.
Относительное время удерживания соединений. Флувоксамин - 1 (около 15 мин); малеиновая кислота - около 0,15; примеси F и G - около 0,5; примесь C - около 0,6; примесь B - около 0,8; примесь A - около 2,5; примесь D - около 5,4.
Идентификация примесей. Для идентификации пиков примесей A, B, C и F используют относительное время удерживания соединений, хроматограмму, прилагаемую к фармакопейному стандартному образцу флувоксамина для проверки пригодности системы, и хроматограмму раствора для проверки разделительной способности хроматографической системы.
Пригодность хроматографической системы. На хроматограмме раствора для проверки разделительной способности хроматографической системы разрешение (RS) между пиками примеси F и примеси C должно быть не менее 1,5.
Допустимое содержание примесей. На хроматограмме испытуемого раствора:
- площадь пика примеси B не должна более чем в 5 раз превышать площадь пика флувоксамина на хроматограмме раствора сравнения (не более 0,5%);
- площадь пика примеси C не должна более чем в 3 раза превышать площадь пика флувоксамина на хроматограмме раствора сравнения (не более 0,3%);
- площадь пика примеси A не должна более чем в 2 раза превышать площадь пика флувоксамина на хроматограмме раствора сравнения (не более 0,2%);
- площадь пика примеси D не должна превышать площадь пика примеси D на хроматограмме раствора стандартного образца примеси D (не более 0,15%);
- сумма площадей пиков примесей F и G не должна более чем в 3 раза превышать площадь пика флувоксамина на хроматограмме раствора сравнения (не более 0,3%);
- площадь пика любой другой примеси не должна превышать площадь пика флувоксамина на хроматограмме раствора сравнения (не более 0,1%);
- сумма площадей пиков всех примесей не должна превышать десятикратную площадь пика флувоксамина на хроматограмме раствора сравнения (не более 1,0%).
Не учитывают пик малеиновой кислоты и пики, площадь которых менее 0,5 площади основного пика на хроматограмме раствора сравнения (менее 0,05%).
Потеря в массе при высушивании. Не более 0,5% (ОФС "Потеря в массе при высушивании", способ 3). Высушивают 1 г (точная навеска) субстанции в вакууме до постоянной массы при температуре 80 °C в течение 2 ч.
Сульфатная зола. Не более 0,1% (ОФС "Сульфатная зола"). Для определения используют 1 г (точная навеска) субстанции и платиновый тигель.
Остаточные органические растворители. В соответствии с ОФС "Остаточные органические растворители".
Микробиологическая чистота. В соответствии с ОФС "Микробиологическая чистота".
КОЛИЧЕСТВЕННОЕ ОПРЕДЕЛЕНИЕ
Определение проводят методом титриметрии (ОФС "Титриметрия (титриметрические методы анализа)").
Растворяют 0,35 г (точная навеска) субстанции в 50 мл уксусной кислоты безводной и титруют 0,1 М раствором хлорной кислоты. Конечную точку титрования определяют потенциометрически (ОФС "Потенциометрическое титрование").
Параллельно проводят контрольный опыт.
1 мл 0,1 М раствора хлорной кислоты соответствует 43,44 мг флувоксамина малеата C15H21F3N2O2·C4H4O4.
ХРАНЕНИЕ
Не требует особых условий.