Главная // Актуальные документы // Государственная фармакопеяСПРАВКА
Источник публикации
Документ опубликован не был
Примечание к документу
Текст документа приведен в соответствии с публикацией на сайте https://minzdrav.gov.ru/ по состоянию на 23.08.2023.
В соответствии с
Приказом Минздрава России от 20.07.2023 N 377 данный документ введен в действие с 01.09.2023.
Название документа
"ФС.2.1.0353. Фармакопейная статья. Флутиказона пропионат. Флутиказон"
(утв. и введена в действие Приказом Минздрава России от 20.07.2023 N 377)
("Государственная фармакопея Российской Федерации. XV издание")
"ФС.2.1.0353. Фармакопейная статья. Флутиказона пропионат. Флутиказон"
(утв. и введена в действие Приказом Минздрава России от 20.07.2023 N 377)
("Государственная фармакопея Российской Федерации. XV издание")
МИНИСТЕРСТВО ЗДРАВООХРАНЕНИЯ РОССИЙСКОЙ ФЕДЕРАЦИИ
ФАРМАКОПЕЙНАЯ СТАТЬЯ
Флутиказона пропионат | ФС |
Флутиказон | |
Fluticasoni propionas | Вводится впервые |
|
C25H31F3O5S [80474-14-2] | М.м. 500,57 |
ОПРЕДЕЛЕНИЕ
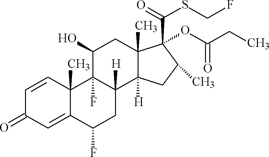
(11

-Гидрокси-16

-метил-3-оксо-6

,9-дифтор-17

-{[(фторметил)сульфанил]карбонил}андроста-1,4-диен-17

-ил)пропаноат.
Содержит не менее 97,5% и не более 102,0% флутиказона пропионата C25H31F3O5S в пересчете на безводное и свободное от остаточных органических растворителей вещество.
СВОЙСТВА
Описание. Белый или почти белый кристаллический порошок.
Растворимость. Умеренно растворим в метиленхлориде, мало растворим в спирте 96%, практически нерастворим в воде.
ИДЕНТИФИКАЦИЯ
1. ИК-спектрометрия (
ОФС "Спектрометрия в средней инфракрасной области"). Инфракрасный спектр субстанции в области от 4000 до 400 см
-1 по положению полос поглощения должен соответствовать спектру фармакопейного стандартного образца флутиказона пропионата.
2. ВЭЖХ. Время удерживания основного пика на хроматограмме испытуемого раствора должно соответствовать времени удерживания пика флутиказона пропионата на хроматограмме раствора стандартного образца флутиказона пропионата (Б) (
раздел "Количественное определение").
ИСПЫТАНИЯ
Удельное вращение. От +32 до +36 в пересчете на безводное, свободное от органических растворителей вещество (0,5% раствор субстанции в метиленхлориде,
ОФС "Оптическое вращение").
Родственные примеси. Определение проводят методом ВЭЖХ (
ОФС "Высокоэффективная жидкостная хроматография").
Растворы, содержащие флутиказона пропионат и его примеси, используют свежеприготовленными.
Подвижная фаза А (ПФА). В мерную колбу вместимостью 1000 мл помещают 800 мл воды, прибавляют 0,5 мл фосфорной кислоты концентрированной, 30 мл метанола и доводят объем раствора до метки водой.
Подвижная фаза Б (ПФБ). В мерную колбу вместимостью 1000 мл помещают 800 мл ацетонитрила, прибавляют 0,5 мл фосфорной кислоты концентрированной, 30 мл метанола и доводят объем раствора до метки ацетонитрилом.
Растворитель. ПФА - ПФБ 500:500.
Испытуемый раствор. В мерную колбу вместимостью 100 мл помещают 20 мг субстанции, растворяют в растворителе и доводят объем раствора растворителем до метки.
Раствор стандартного образца для идентификации примеси G. В мерную колбу вместимостью 10 мл помещают 2 мг фармакопейного стандартного образца флутиказона пропионата для идентификации примеси G, растворяют в растворителе и доводят объем раствора растворителем до метки.
Раствор стандартного образца для идентификации примеси C. В мерную колбу вместимостью 10 мл помещают 2 мг фармакопейного стандартного образца флутиказона пропионата для идентификации примеси C, растворяют в растворителе и доводят объем раствора растворителем до метки.
Раствор для проверки разделительной способности хроматографической системы. В мерную колбу вместимостью 100 мл помещают 1 мг фармакопейного стандартного образца примеси D, растворяют в растворителе и доводят объем раствора растворителем до метки. В мерную колбу вместимостью 25 мл помещают 1,0 мл полученного раствора и доводят объем раствора испытуемым раствором до метки.
Раствор для проверки чувствительности хроматографической системы. В мерную колбу вместимостью 100 мл помещают 1,0 мл испытуемого раствора и доводят объем раствора растворителем до метки. В мерную колбу вместимостью 20 мл помещают 1,0 мл полученного раствора и доводят объем раствора растворителем до метки.
Примечание
Примесь C: (11

-гидрокси-16

-метил-3-оксо-6

,9-дифтор-17-{[(фторметил)сульфанил]карбонил}андроста-1,4-диен-17

-ил)ацетат [80474-24-4].
Примесь D: (11

-гидрокси-16

-метил-3-оксо-6

,9-дифтор-17-[(метилсульфанил)карбонил]андроста-1,4-диен-17

-ил) пропаноат [73205-13-7].
Примесь G: (11

-гидрокси-16

-метил-3-оксо-6

,9-дифтор-17-{[(фторметил)сульфанил]карбонил}андроста-1,4-диен-17

-ил)[11,17-дигидрокси-16

-метил-3-оксо-6

,9-дифторандроста-1,4-диен-17

-карбоксилат] [220589-37-7].
Хроматографические условия
Колонка | 250 x 4,6 мм, силикагель октадецилсилильный, деактивированный по отношению к основаниям, эндкепированный для хроматографии, 5 мкм; |
Температура колонки | 40 °C; |
Скорость потока | 1,0 мл/мин; |
Детектор | спектрофотометрический, 239 нм; |
Объем пробы | 50 мкл. |
Режим хроматографирования
Время, мин | ПФА, % | ПФБ, % |
0 - 2 | 57 | 43 |
2 - 42 | | |
42 - 62 | | |
62 - 72 | 10 | 90 |
72 - 77 | | |
Хроматографируют раствор для проверки чувствительности хроматографической системы, раствор для проверки разделительной способности хроматографической системы, раствор стандартного образца для идентификации примеси C, раствор стандартного образца для идентификации примеси G и испытуемый раствор.
Идентификация примесей. Хроматограмма раствора стандартного образца для идентификации примеси G используется для идентификации пика примеси G; хроматограмма раствора стандартного образца для идентификации примеси C используется для идентификации пика примеси C; хроматограмма раствора для проверки разделительной способности хроматографической системы используется для идентификации пика примеси D.
Относительное время удерживания соединений. Флутиказона пропионат - 1 (около 32 мин); примесь C - около 0,8; примесь D - около 0,95; примесь G - около 1,3.
Пригодность хроматографической системы. На хроматограмме раствора для проверки чувствительности хроматографической системы отношение сигнал/шум (S/N) для пика флутиказона пропионата должно быть не менее 10.
На хроматограмме раствора для проверки разделительной способности хроматографической системы разрешение (RS) между пиками примеси D и флутиказона пропионата должно быть не менее 1,5.
Допустимое содержание примесей. Содержание каждой из примесей в субстанции в процентах вычисляют согласно методу нормирования (
ОФС "Хроматография"):
- примесь D - не более 0,3%;
- примесь G - не более 0,3%;
- примесь C - не более 0,2%;
- любая другая примесь - не более 0,10%;
- сумма примесей - не более 0,8%.
Не учитывают пики, площадь которых менее площади пика флутиказона пропионата на хроматограмме раствора для проверки чувствительности хроматографической системы (менее 0,05%).
Вода. Не более 0,5% (ОФС "Определение воды",
метод 1). Для определения используют 1,0 г (точная навеска) субстанции, в качестве растворителя - метанол.
Остаточные органические растворители. В соответствии с
ОФС "Остаточные органические растворители".
Микробиологическая чистота. В соответствии с
ОФС "Микробиологическая чистота".
КОЛИЧЕСТВЕННОЕ ОПРЕДЕЛЕНИЕ
Определение проводят методом ВЭЖХ (
ОФС "Высокоэффективная жидкостная хроматография").
Буферный раствор. В химический стакан вместимостью 1000 мл помещают 1,15 г аммония дигидрофосфата, растворяют в 900 мл воды, доводят значение pH натрия гидроксида раствором 1 М или фосфорной кислотой разведенной 10% до 3,5, количественно переносят раствор в мерную колбу вместимостью 1000 мл и доводят объем раствора водой до метки.
Подвижная фаза (ПФ). Ацетонитрил - буферный раствор - метанол 150:350:500.
Испытуемый раствор. В мерную колбу вместимостью 200 мл помещают 20 мг (точная навеска) субстанции, растворяют в ПФ, при необходимости обрабатывают ультразвуком, охлаждают до комнатной температуры, доводят объем раствора тем же растворителем до метки и перемешивают. В мерную колбу вместимостью 10 мл помещают 4,0 мл полученного раствора и доводят объем раствора ПФ до метки.
Раствор стандартного образца флутиказона пропионата (А). В мерную колбу вместимостью 200 мл помещают 20 мг (точная навеска) фармакопейного стандартного образца флутиказона пропионата, растворяют в ПФ, при необходимости обрабатывают ультразвуком, охлаждают до комнатной температуры и доводят объем раствора тем же растворителем до метки.
Раствор стандартного образца флутиказона пропионата (Б). В мерную колбу вместимостью 10 мл помещают 4,0 мл раствора стандартного образца флутиказона пропионата (А) и доводят объем раствора ПФ до метки.
Раствор для проверки разделительной способности хроматографической системы. В мерную колбу вместимостью 25 мл помещают 1 мг фармакопейного стандартного образца примеси D, растворяют в ПФ и доводят объем раствора тем же растворителем до метки. В мерную колбу вместимостью 5 мл помещают 1,0 мл полученного раствора, прибавляют 2 мл раствора стандартного образца флутиказона пропионата (А) и доводят объем раствора ПФ до метки.
Хроматографические условия
Колонка | 250 x 4,6 мм, силикагель октадецилсилильный для хроматографии (С18), 5 мкм; |
Температура колонки | 40 °C; |
Скорость потока | 1,5 мл/мин; |
Детектор | спектрофотометрический, 239 нм; |
Объем пробы | 20 мкл; |
Время хроматографирования | 2-кратное от времени удерживания пика флутиказона пропионата. |
Хроматографируют раствор для проверки разделительной способности хроматографической системы, раствор стандартного образца флутиказона пропионата (Б) и испытуемый раствор.
Относительное время удерживания соединений. Флутиказона пропионат - 1 (около 6 мин); примесь D - около 1,1.
Пригодность хроматографической системы. На хроматограмме раствора для проверки разделительной способности хроматографической системы разрешение (RS) между пиками флутиказона пропионата и примеси D должно быть не менее 1,5.
На хроматограмме раствора стандартного образца флутиказона пропионата (Б):
- фактор асимметрии пика (AS) флутиказона пропионата должен быть не более 1,5;
- относительное стандартное отклонение площади пика флутиказона пропионата должно быть не более 2% (6 введений);
- эффективность хроматографической колонки (N), рассчитанная по пику флутиказона пропионата, должна составлять не менее 1000 теоретических тарелок.
Содержание флутиказона пропионата C25H31F3O5S в субстанции в пересчете на безводное и свободное от остаточных органических растворителей вещество в процентах (X) вычисляют по формуле:
где S1 - площадь пика флутиказона пропионата на хроматограмме испытуемого раствора;
S0 - площадь пика флутиказона пропионата на хроматограмме раствора стандартного образца флутиказона пропионата Б;
a1 - навеска субстанции, мг;
a0 - навеска фармакопейного стандартного образца флутиказона пропионата, мг;
W - суммарное содержание воды и остаточных органических растворителей в субстанции, %;
P - содержание флутиказона пропионата в фармакопейном стандартном образце флутиказона пропионата, %.
ХРАНЕНИЕ
В защищенном от света месте.