Главная // Актуальные документы // ГОСТ (Государственный стандарт)СПРАВКА
Источник публикации
М.: Издательство стандартов, 1990
Примечание к документу
С 1 июля 2003 года до вступления в силу технических регламентов акты федеральных органов исполнительной власти в сфере технического регулирования носят рекомендательный характер и подлежат обязательному исполнению только в части, соответствующей целям, указанным в
пункте 1 статьи 46 Федерального закона от 27.12.2002 N 184-ФЗ.
Введен в действие с 1 января 1976 года (
Постановление Госстроя СССР от 17.12.1974 N 241).
Взамен ГОСТ 11052-64.
Название документа
"ГОСТ 11052-74. Цемент гипсоглиноземистый расширяющийся"
(утв. Постановлением Госстроя СССР от 17.12.1974 N 241)
"ГОСТ 11052-74. Цемент гипсоглиноземистый расширяющийся"
(утв. Постановлением Госстроя СССР от 17.12.1974 N 241)
Утвержден и введен в действие
от 17 декабря 1974 г. N 241
ГОСУДАРСТВЕННЫЙ СТАНДАРТ СОЮЗА ССР
ЦЕМЕНТ ГИПСОГЛИНОЗЕМИСТЫЙ РАСШИРЯЮЩИЙСЯ
Gupsum-alumina expanding cement
ГОСТ 11052-74
Дата введения
1 января 1976 года
1. Разработан и внесен Министерством промышленности строительных материалов СССР.
Исполнители: И.В. Кравченко, З.Б. Энтин (руководители темы), Т.В. Кузнецова, С.Г. Безрукова, Н.Е. Микиртумова.
2. Утвержден и введен в действие
Постановлением Государственного комитета Совета Министров СССР по делам строительства от 17.12.1974 N 241.
3. Взамен ГОСТ 11052-64.
4. Ссылочные нормативно-технические документы (НТД)
────────────────────────────────────────┬─────────────────────────
Обозначение НТД, на который дана ссылка│ Номер пункта, подпункта
────────────────────────────────────────┼─────────────────────────
ИС МЕГАНОРМ: примечание.
Взамен ГОСТ 2226-75 Постановлением Госстандарта СССР от
29.06.1988 N 2501 с 1 января 1990 года введен в действие
5. Переиздание (октябрь 1989 г.).
Настоящий стандарт распространяется на гипсоглиноземистый расширяющийся цемент, представляющий собой смесь тонко измельченных высокоглиноземистых доменных шлаков и природного двуводного гипса (далее - цементы).
Цемент предназначен для изготовления расширяющихся, безусадочных, водонепроницаемых бетонов и растворов, применяемых при замоноличивании стыков конструкций и заделке раковин в бетоне, для гидроизоляции стыков сборной обделки тоннелей при водопритоке через швы, для зачеканки раструбов стыковых соединений труб, рассчитанных на рабочее давление до 1 МПа (10 ати), создаваемое в трубе через 24 ч после замоноличивания, при строительстве перемычек в емкостях для хранения топлива и других аналогичных целей.
1. ТЕХНИЧЕСКИЕ ТРЕБОВАНИЯ
1.1. Временное сопротивление (предел прочности) при сжатии половинок образцов-балочек размерами (40 х 40 х 160) мм, изготовленных из раствора состава 1:3 (по массе) с нормальным песком, через 3 сут твердения должно быть не менее 28 МПа (280 кгс/см2).
1.2. Начало схватывания должно наступить не ранее 10 мин, а конец - не позднее 4 ч от начала затворения.
Примечание. Допускается для замедления сроков схватывания введение до 1% специальных добавок от массы цемента, не ухудшающих его свойств, в тех случаях, когда по соглашению между заводом-изготовителем и потребителем могут быть приняты другие сроки схватывания, а также до 1% от массы цемента специальных добавок для облегчения процесса помола.
1.3. Цемент при твердении образцов в воде в течение 28 сут должен меняться в объеме равномерно.
1.4. Тонкость помола должна быть такой, чтобы при просеивании цемента сквозь сито с сеткой N 008 по
ГОСТ 6613 проходило не менее 90% массы пробы.
1.5. Линейное расширение образцов размером (40 х 40 х 160) мм, изготовленных из цементного теста нормальной густоты, через 3 сут с момента изготовления должно быть не менее 0,l% и не более 0,7%.
1.6. Количество ангидрида серной кислоты (

) в цементе не 3 должно превышать 17%.
1.7. Бетоны и растворы, приготовленные из гипсоглиноземистого цемента, должны обладать водонепроницаемостью. При испытании образцов-цилиндров из раствора 1:2 (по массе) с нормальным песком высотой и диаметром 150 мм, проведенном через 24 ч после изготовления, на них не должно наблюдаться признаков фильтрации воды при избыточном давлении 1,0 МПа (10 ати).
2.1. Цемент должен быть принят службой технического контроля предприятия-изготовителя.
2.2. Поставляют и принимают цемент партиями.
2.3. Размер партии устанавливают в количестве 300 т.
При объеме поставки цемента менее 300 т ее считают целой партией.
2.4. При отгрузке цемента водным транспортом размеры партии цемента устанавливают соглашением между предприятием-изготовителем и потребителем.
2.5. Количество поставляемого цемента определяют по массе взвешиванием вагонов на железнодорожных весах или автоцементовозов на автомобильных весах.
Массу цемента, отгружаемого в судах, определяют по осадке судна.
2.6. Потребитель имеет право производить контрольную проверку соответствия цемента требованиям настоящего стандарта, применяя при этом указанный ниже порядок отбора проб.
2.7. Для контрольной проверки качества цемента от каждой партии отбирают среднюю пробу в количестве 20 кг.
2.8. Пробу отбирают в количестве 1 кг из одного мешка от каждых 300 мешков в партии при поставке цемента в мешках и по 1 кг от каждых 15 т цемента при поставке цемента автомобильным транспортом.
2.9. Отобранные от каждой партии пробы цемента тщательно смешивают, квартуют и делят на две равные части.
Одну из них помещают в плотно закрытую тару и хранят в сухом помещении в течение 2 мес с момента отгрузки на случай повторного испытания при конфликте с потребителем. На таре контрольной пробы указывают дату отгрузки, номер партии и название цемента. Другую часть от общей пробы цемента высыпают в противень, выравнивают слой до толщины 3 - 5 см и оставляют в лаборатории на сутки, после чего цемент испытывают с целью определения показателей, предусмотренных
разд. 1.
2.10. При получении неудовлетворительных результатов испытаний хотя бы по одному из показателей проводят повторное испытание по этому показателю, для чего вновь отбирают удвоенное количество проб.
Если результаты повторного испытания не будут удовлетворять требованиям стандарта, то вся партия цемента приемке не подлежит.
3.1. Прочность образцов определяют по
ГОСТ 310.4 со следующими изменениями: образцы-балочки в формах первые 6 ч с момента изготовления хранят в ванне с гидравлическим затвором, после чего их погружают в воду, а через (24 +/- 2) ч с момента изготовления образцы вынимают из форм и погружают в воду.
3.2. Равномерность измерения объема определяют по
ГОСТ 310.3 со следующими изменениями: образцы-лепешки помещают в ванну с гидравлическим затвором, через (24 +/- 2) ч с момента изготовления лепешки погружают в воду, где хранят при температуре (20 +/- 2) °С в течение 27 сут.
3.3. Определение линейного расширения
3.3.1. Для определения линейного расширения изготовляют три образца-балочки размером (40 х 40 х 160) мм из цементного теста нормальной густоты по
ГОСТ 310.3.
В форму для изготовления образцов, в специально сверленные полушаровые углубления (луночки), закладывают с каждой торцевой стороны стальные шарики диаметром 6 мм с припаянными проволоками, отогнутыми внутрь формы.
Для приготовления цементного теста отвешивают 1500 г цемента. Тесто после приготовления укладывают в гнезда формы, внутренние стенки которых предварительно смазывают тонким слоем машинного масла и штыкуют 15 раз ножом, а затем ножом аккуратно срезают избыток теста и сглаживают поверхность образцов, передвигая нож от середины к краям призм. Не допускается уплотнять образцы вибрированием.
3.3.2. Образцы-балочки освобождают от форм и нумеруют через 1 ч от начала затворения цементного теста.
После этого измеряют длину образцов с точностью до 0,01 мм и погружают в воду с температурой (20 +/- 2) °С. Через (72 +/- 4) ч после начала затворения образцы извлекают из ванны, протирают и немедленно измеряют их длину.
3.3.3. Линейное расширение определяют путем измерения образцов-балочек при помощи прибора, указанного на чертеже.
Прибор состоит из стойки 1, держателя 2, нижней опоры 3 и индикатора 4, позволяющего устанавливать изменение длины образца по сравнению с эталоном.
Индикатор прибора должен иметь шкалу с ценой деления не более 0,01 мм.
3.3.4. Для контроля показаний прибора применяют эталон, изготовленный из материала с малым коэффициентом термического расширения, в центре торцевой стороны которого заделаны стальные шарики диаметром 6 мм. Длина эталона должна быть 160 мм.
Точные размеры длины эталона устанавливают органы Госстандарта СССР.
Измерительный стержень индикатора должен иметь на конце полушаровое углубление. На подставке стойки 1 на одной оси с измерительным стержнем должна быть расположена неподвижная опора с полушаровым углублением.
3.3.5. Длину образцов измеряют следующим образом. Перед каждым измерением устанавливают при помощи эталона нулевую точку прибора, затем измерительный стержень индикатора поднимают на столько, чтобы образец проходил между измерительным стержнем и нижней неподвижной опорой, находящейся на подставке стойки.
Образец устанавливают нижним шариком в углубление на конце неподвижной опоры и опускают измерительный стержень до тех пор, пока верхний шарик образца войдет в углубление на конце измерительного стержня. Образец вращают до тех пор, пока шарики образца не войдут плотно в углубления опоры и измерителя, а стрелка индикатора перестанет отклоняться. После этого отсчитывают показания индикатора и снимают образец.
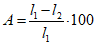
3.3.6. Линейное расширение образца (A) в процентах вычисляют по формуле

,
где

- первоначальный отсчет, произведенный при измерении свежеизготовленного образца, мм;

- отсчет длины при последующих измерениях образца, мм.
За величину линейного расширения цемента принимают среднее арифметическое значение величин линейного расширения трех образцов. Расхождение между результатами трех определений не должно превышать 15%.
3.4. Определение водонепроницаемости
3.4.1. Для определения водонепроницаемости изготавливают образцы-цилиндры диаметром и высотой 150 мм из цементно-песчаного раствора состава 1:2 по массе с водоцементным отношением 0,3.
Для испытания должны быть изготовлены три образца, причем каждый образец готовят и уплотняют отдельно. Образцы через 6 ч после изготовления погружают в воду, где хранят до момента испытания.
Через (72 +/- 4) ч после изготовления образцы извлекают из ванны, тщательно протирают и испытывают.
Для испытания образцы помещают в металлические цилиндрические формы внутренним диаметром 155 мм и высотой 150 мм, изготовленные из стальных цельнотянутых труб.
Промежуток между формой и образцами должен быть заполнен расплавленным уплотняющим составом (воск, битум), не допускающим фильтрацию воды между образцом и формой. Перед заливкой форма должна быть прогрета до температуры, близкой к температуре плавления уплотняющего состава.
Для удаления цементной пленки и следов уплотняющего состава торцевые поверхности образцов перед испытанием должны быть тщательно очищены стальной щеткой.
После окончания подготовки образцов к испытанию и до начала испытания формы с образцами должны быть покрыты влажной тканью.
Образцы испытывают на приборе любой конструкции, которая обеспечивает возможность подачи к нижней торцевой поверхности образцов воды при возрастающем давлении до 1 МПа (10 ати), а также измерение давления воды и возможность наблюдения за состоянием верхней торцевой поверхности образцов.
Температура помещения, в котором проводят испытание, должна быть (20 +/- 2) °С, относительная влажность воздуха - не менее 60%.
Испытания начинают при давлении воды 0,1 МПа (1 ати), затем через 2 ч давление повышают до 0,2 МПа (2 ати) и далее через каждые 4 ч повышают давление ступенями по 0,2 МПа (2 ати).
Образцы считают выдержавшими испытания, если после 2 ч выдержки при давлении 1,0 МПа (10 ати) ни на одном из них не наблюдается признаков просачивания воды.
4. МАРКИРОВКА, УПАКОВКА, ТРАНСПОРТИРОВАНИЕ И ХРАНЕНИЕ
4.1. Цемент отгружают в бумажных мешках, контейнерах или цементовозах.
При отгрузке водным транспортом способ упаковки определяется соглашением сторон.
| | ИС МЕГАНОРМ: примечание. Взамен ГОСТ 2226-75 Постановлением Госстандарта СССР от 29.06.1988 N 2501 с 1 января 1990 года введен в действие ГОСТ 2226-88. | |
4.2. Для упаковки цемента должны применяться четырех-, пяти-или шестислойные бумажные мешки по ГОСТ 2226.
4.3. На бумажных мешках должно быть четко обозначено наименование завода, его товарный знак, вид цемента, номер партии, дата затаривания, обозначение настоящего стандарта.
4.4. Каждая отгружаемая партия цемента должна сопровождаться паспортом, удостоверяющим ее соответствие требованиям настоящего стандарта.
В паспорте должно быть указано:
наименование и адрес предприятия-изготовителя;
вид цемента и предел прочности;
величина линейного расширения;
номер партии;
обозначение настоящего стандарта.
4.5. При транспортировании и хранении цемент должен быть предохранен от воздействия влаги и загрязнения посторонними примесями.
4.6. Не допускается смешивание гипсоглиноземистого цемента с другими видами цемента.
5.1. Предприятие-изготовитель гарантирует соответствие цемента требованиям настоящего стандарта при соблюдении потребителем условий транспортирования и хранения, установленных стандартом.
5.2. Гарантийный срок - 2 мес с момента отгрузки.