Главная // Актуальные документы // ГОСТ (Государственный стандарт)СПРАВКА
Источник публикации
М.: Издательство стандартов, 1985
Примечание к документу
С 1 июля 2003 года до вступления в силу технических регламентов акты федеральных органов исполнительной власти в сфере технического регулирования носят рекомендательный характер и подлежат обязательному исполнению только в части, соответствующей целям, указанным в
пункте 1 статьи 46 Федерального закона от 27.12.2002 N 184-ФЗ.
Ограничение срока действия снято по Протоколу N 5-94 Межгосударственного Совета по стандартизации, метрологии и сертификации ("ИУС", N 11 - 12, 1994).
Введен в действие с 1 января 1986 года.
Название документа
"ГОСТ 26425-85. Почвы. Методы определения иона хлорида в водной вытяжке"
(введен в действие Постановлением Госстандарта СССР от 08.02.1985 N 283)
"ГОСТ 26425-85. Почвы. Методы определения иона хлорида в водной вытяжке"
(введен в действие Постановлением Госстандарта СССР от 08.02.1985 N 283)
Введен в действие
Постановлением Госстандарта СССР
от 8 февраля 1985 г. N 283
ГОСУДАРСТВЕННЫЙ СТАНДАРТ СОЮЗА ССР
ПОЧВЫ
МЕТОДЫ ОПРЕДЕЛЕНИЯ ИОНА ХЛОРИДА В ВОДНОЙ ВЫТЯЖКЕ
Soils. Methods for determination of chloride ion
in water extract
ГОСТ 26425-85
Постановлением Государственного комитета СССР по стандартам от 8 февраля 1985 г. N 283 срок действия установлен с 01.01.1986 до 01.01.1996.
Настоящий стандарт устанавливает методы определения иона хлорида в водной вытяжке из засоленных почв при проведении почвенного, агрохимического, мелиоративного обследования угодий, контроля за состоянием солевого режима почв, а также при других изыскательских и исследовательских работах.
Суммарная относительная погрешность составляет:
для аргентометрического метода
15% - для количества эквивалентов иона хлорида до 2 ммоль в 100 г почвы; 5% - св. 2 ммоль в 100 г почвы;
для метода прямой ионометрии
12% - для количества эквивалентов иона хлорида до 0,5 ммоль в 100 г почвы; 8,5% - св. 0,5 до 50 ммоль в 100 г почвы;
для ионометрического титрования
15% - для количества эквивалентов иона хлорида до 2 ммоль в 100 г почвы; 8% - св. 2 до 6 ммоль в 100 г почвы; 5% - св. 6 ммоль в 100 г почвы.
1. ОПРЕДЕЛЕНИЕ ИОНА ХЛОРИДА
АРГЕНТОМЕТРИЧЕСКИМ МЕТОДОМ ПО МОРУ
Сущность метода заключается в титровании иона хлорида в водной вытяжке раствором азотнокислого серебра, образующим с ионом хлорида труднорастворимое соединение. Для установления конечной точки титрования в раствор добавляют хромат калия, образующий с избытком серебра осадок, вызывающий переход окраски раствора от желтой к красно-бурой.
Метод не применяют для анализа темно-окрашенных вытяжек.
1.2. Аппаратура, материалы и реактивы
1.2.1. Для проведения анализа применяют:
| | ИС МЕГАНОРМ: примечание. С 1 июля 2002 года Постановлением Госстандарта РФ от 26.10.2001 N 439-ст введен в действие ГОСТ 24104-2001. | |
весы лабораторные 2-го класса точности с наибольшим пределом взвешивания 200 г и 4-го класса точности с наибольшим пределом взвешивания 500 г по ГОСТ 24104-80;
дозаторы с погрешностью дозирования не более 1%;
посуду мерную лабораторную 2-го класса точности по
ГОСТ 1770-74;
калий хромовокислый по
ГОСТ 4459-75, х.ч. или ч.д.а., раствор с массовой долей 10%;
калий хлористый по
ГОСТ 4234-77, х.ч. или стандарт-титр c(KCl) = 0,1 моль/дм3 (0,1 н);
1.3. Подготовка к анализу
1.3.1. Приготовление раствора хлорида концентрации 0,1 моль/дм3
7,456 г хлористого калия, прокаленного до постоянной массы при температуре 500 °C, взвешивают с погрешностью не более 0,001 г, помещают в мерную колбу вместимостью 1000 см3 и растворяют в дистиллированной воде, доводя объем раствора до метки. Приготовленный раствор тщательно перемешивают.
Раствор хранят в склянке с притертой пробкой не более 1 года. В случае помутнения, образования хлопьев, осадка, раствор заменяют свежеприготовленным.
Для приготовления раствора допускается использовать стандарт-титр хлористого калия или хлористого натрия.
1.3.2. Приготовление раствора хлорида концентрации 0,01 моль/дм3
10 см3 раствора, приготовленного по
п. 1.3.1, помещают в мерную колбу вместимостью 100 см3 и доводят объем до метки дистиллированной водой.
Раствор готовят в день применения.
1.3.3. Приготовление раствора азотнокислого серебра концентрации 0,02 моль/дм3
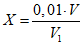
3,4 г азотнокислого серебра, взвешенного с погрешностью не более 0,1 г, помещают в мерную колбу вместимостью 1000 см3 и растворяют в дистиллированной воде, доводя объем до метки. Точную концентрацию раствора проверяют титрованием. Для этого отбирают 10 см3 раствора хлорида концентрации 0,01 моль/дм3 в коническую колбу, приливают 1 см3 раствора хромовокислого калия с массовой долей 10% и титруют раствором азотнокислого серебра до перехода окраски от желтой к красно-бурой. Титрование проводят три раза и для расчета точной концентрации используют среднее арифметическое результатов трех титрований. Точную концентрацию раствора азотнокислого серебра (X), моль/дм3, вычисляют по формуле

,
где 0,01 - концентрация раствора хлорида, взятого для титрования, моль/дм3;
V - объем раствора хлорида, взятый для титрования, см3;

- объем раствора азотнокислого серебра, пошедший на титрование, см3.
Раствор хранят в склянке оранжевого стекла с притертой пробкой. Концентрацию раствора проверяют титрованием не реже одного раза в неделю.
1.4.1. Приготовление вытяжки из почвы
Для анализа используют фильтраты вытяжек, приготовленных по
ГОСТ 26423-85.
1.4.2. Определение иона хлорида
Пробу водной вытяжки объемом от 2 до 20 см3 отбирают дозатором или пипеткой в коническую колбу, приливают дистиллированную воду до объема 20 - 30 см3, 1 см3 раствора хромовокислого калия с массовой долей 10% и титруют раствором азотнокислого серебра до перехода окраски от желтой к красно-бурой.
Объем пробы вытяжки устанавливают по величине удельной электрической проводимости или по величине плотного остатка:
20 см3 - при удельной электрической проводимости вытяжки до 1,5 мСм/см или массовой доле плотного остатка до 0,7%;
10 см3 - при удельной электрической проводимости 1,5 - 3 мСм/см или массовой доле плотного остатка 0,7 - 1,5%;
2 см3 - при удельной электрической проводимости св. 3 мСм/см или массовой доле плотного остатка св. 1,5%.
Для анализа допускается использовать пробу вытяжки, в которой проводилось определение карбонат- и бикарбонат-иона.
1.5. Обработка результатов
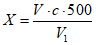
1.5.1. Количество эквивалентов иона хлорида (X), ммоль в 100 г почвы, вычисляют по формуле

,
где V - объем раствора азотнокислого серебра, пошедший на титрование, см3;
c - концентрация раствора азотнокислого серебра, ммоль/см3;
500 - коэффициент пересчета на 100 г почвы;

- объем пробы водной вытяжки, см3.
Массовую долю иона хлорида в почве (

) в процентах вычисляют по формуле

,
где C - количество эквивалентов иона хлорида в почве, ммоль в 100 г;
0,0355 - коэффициент пересчета в проценты.
За результат анализа принимают значение единичного определения иона хлорида.
Результат выражают в миллимолях в 100 г почвы и в процентах с округлением до трех значащих цифр.
1.5.2. Допускаемые относительные отклонения при доверительной вероятности P = 0,95 от среднего арифметического результатов повторных анализов при выборочном статистическом контроле составляют:
21% - для количества эквивалентов иона хлорида до 2 ммоль в 100 г почвы; 7% - св. 2 ммоль в 100 г почвы.
2. ОПРЕДЕЛЕНИЕ ИОНА ХЛОРИДА МЕТОДОМ ПРЯМОЙ ИОНОМЕТРИИ
Сущность метода заключается в определении разности потенциалов хлоридного ионоселективного и вспомогательного электродов, значение которой зависит от концентрации иона хлорида в растворе. В качестве вспомогательного электрода используют насыщенный хлор-серебряный электрод. Для предотвращения загрязнения анализируемого раствора хлористым калием из солевого контакта вспомогательного электрода применяют переходную электролитическую ячейку, заполненную раствором азотнокислого калия концентрации 1 моль/дм3.
2.2. Аппаратура, материалы и реактивы
2.2.1. Для проведения анализа применяют:
| | ИС МЕГАНОРМ: примечание. С 1 июля 2002 года Постановлением Госстандарта РФ от 26.10.2001 N 439-ст введен в действие ГОСТ 24104-2001. | |
весы лабораторные 2-го класса точности с наибольшим пределом взвешивания 200 г и 4-го класса точности с наибольшим пределом взвешивания 500 г по ГОСТ 24104-80;
иономер или pH-метр милливольтметр с погрешностью измерений не более 5 мВ;
ионоселективный хлоридный электрод типа ЭМ-С1-01 или аналогичный с твердой мембраной;
электрод сравнения хлорсеребряный насыщенный образцовый 2-го разряда по
ГОСТ 17792-82;
ячейку электролитическую, заполненную раствором азотнокислого калия концентрации 1 моль/дм3;
посуду мерную лабораторную 2-го класса точности по
ГОСТ 1770-74;
калий хлористый по
ГОСТ 4234-77, х.ч. или ч.д.а., или стандарт-титр c(KCl) = 0,1 моль/дм3 (0,1 н);
калий азотнокислый по
ГОСТ 4217-77, х.ч. или ч.д.а., раствор концентрации 1 моль/дм3;
2.3. Подготовка к анализу
2.3.1. Приготовление раствора хлорида концентрации 0,1 моль/дм3 (

= 1)
2.3.2. Приготовление растворов сравнения
Растворы сравнения концентрации 0,01; 0,001 и 0,0001 моль/дм3 готовят последовательным десятикратным разбавлением раствора хлорида концентрации 0,1 моль/дм3.

приготовленных растворов соответственно равен 2; 3 и 4.
2.3.3. Подготовка электродов к работе
Ионоселективный хлоридный электрод готовят к работе следующим образом: внутреннюю полость корпуса электрода промывают дистиллированной водой, ополаскивают раствором хлористого калия концентрации 0,1 моль/дм3 и заливают 1,5 см3 того же раствора, удаляют пузырьки воздуха встряхиванием, ввинчивают в корпус хлорсеребряный полуэлемент и помещают электрод на 24 ч в раствор хлористого калия концентрации 0,0001 моль/дм3.
Вспомогательный электрод готовят к работе в соответствии с инструкцией завода-изготовителя. К подготовленному к работе электроду присоединяют электролитическую ячейку, входящую в комплект иономера, или аналогичную, заполненную раствором азотнокислого калия концентрации 1 моль/дм3.
2.4.1. Приготовление вытяжки из почвы
Для анализа используют фильтраты вытяжек, приготовленных по
ГОСТ 26423-85.
2.4.2. Определение иона хлорида
Электродную пару погружают в растворы сравнения и определяют ЭДС с помощью иономера или pH-метра милливольтметра в милливольтах. Измерения начинают с раствора хлорида концентрации 0,0001 моль/дм3. Показания прибора считывают не ранее чем через 2 мин после погружения электродов в раствор, после прекращения заметного дрейфа прибора.
Определение ЭДС в растворах сравнения повторяют не менее трех раз в течение рабочего дня для проверки работы прибора и электродов.
После определения ЭДС в растворах сравнения электродную пару тщательно обмывают дистиллированной водой, промокают фильтровальной бумагой, погружают в анализируемые вытяжки и определяют ЭДС. При переносе электродов из одного фильтрата в другой их обмывают дистиллированной водой и промокают фильтровальной бумагой.
Температура анализируемых вытяжек и растворов сравнения должна быть одинаковой.
2.5. Обработка результатов
2.5.1. По результатам определения ЭДС в растворах сравнения на масштабно-координатной бумаге марки H (миллиметровке) строят градуировочный график. По оси абсцисс откладывают значения

растворов сравнения, а по оси ординат - соответствующие им показания прибора.
Используя градуировочный график определяют

анализируемых вытяжек. Количество эквивалентов иона хлорида в почве определяют с помощью таблицы по значению

. Допускается проводить градуировку иономера по растворам сравнения непосредственно в единицах

в день проведения анализа.
Пересчет

в миллимоли в 100 г почвы
──────┬───────────────────────────────────────────────────────────
pC │ Сотые доли pC
Cl │ Cl
├─────┬─────┬─────┬─────┬─────┬─────┬─────┬─────┬─────┬─────
│0,00 │0,01 │0,02 │0,03 │0,04 │0,05 │0,06 │0,07 │0,08 │0,09
──────┼─────┼─────┼─────┼─────┼─────┼─────┼─────┼─────┼─────┼─────
1,0 │50,0 │48,9 │47,7 │46,7 │45,6 │44,6 │43,5 │42,6 │41,6 │40,6
1,1 │39,7 │38,8 │37,9 │37,1 │36,2 │35,4 │34,6 │33,8 │33,0 │32,3
1,2 │31,5 │30,8 │30,1 │29,4 │28,8 │28,1 │27,5 │26,9 │26,2 │25,6
1,3 │25,1 │24,5 │23,9 │23,4 │22,9 │22,3 │21,8 │21,3 │20,8 │20,4
1,4 │19,9 │19,5 │19,0 │18,6 │18,2 │17,7 │17,3 │16,9 │16,6 │16,2
1,5 │15,8 │15,5 │15,1 │14,8 │14,4 │14,1 │13,8 │13,5 │13,2 │12,9
1,6 │12,6 │12,3 │12,0 │11,7 │11,5 │11,2 │10,9 │10,7 │10,4 │10,2
1,7 │9,98 │9,75 │9,53 │9,31 │9,10 │8,89 │8,69 │8,49 │8,30 │8,11
1,8 │7,92 │7,74 │7,57 │7,40 │7,23 │7,06 │6,90 │6,74 │6,59 │6,44
1,9 │6,29 │6,15 │6,01 │5,87 │5,74 │5,61 │5,48 │5,36 │5,23 │5,12
2,0 │5,00 │4,89 │4,77 │4,67 │4,56 │4,46 │4,35 │4,26 │4,16 │4,06
2,1 │3,97 │3,88 │3,79 │3,71 │3,62 │3,54 │3,46 │3,38 │3,30 │3,23
2,2 │3,15 │3,08 │3,01 │2,94 │2,88 │2,81 │2,75 │2,69 │2,62 │2,56
2,3 │2,51 │2,45 │2,39 │2,34 │2,29 │2,23 │2,18 │2,13 │2,08 │2,04
2,4 │1,99 │1,95 │1,90 │1,86 │1,81 │1,77 │1,73 │1,69 │1,66 │1,62
2,5 │1,58 │1,55 │1,51 │1,48 │1,44 │1,41 │1,38 │1,35 │1,31 │1,29
2,6 │1,26 │1,23 │1,20 │1,17 │1,15 │1,12 │1,09 │1,07 │1,05 │1,02
2,7 │0,998│0,975│0,953│0,931│0,910│0,889│0,869│0,849│0,830│0,811
2,8 │0,792│0,774│0,757│0,740│0,723│0,706│0,690│0,675│0,659│0,644
2,9 │0,629│0,615│0,601│0,587│0,574│0,561│0,548│0,536│0,524│0,512
3,0 │0,500│0,489│0,477│0,467│0,456│0,446│0,435│0,426│0,416│0,406
3,1 │0,397│0,388│0,379│0,371│0,362│0,354│0,346│0,338│0,330│0,323
3,2 │0,315│0,308│0,301│0,294│0,288│0,281│0,275│0,269│0,262│0,256
3,3 │0,251│0,245│0,239│0,234│0,229│0,223│0,218│0,213│0,208│0,204
3,4 │0,199│0,195│0,190│0,186│0,182│0,177│0,173│0,169│0,166│0,162
3,5 │0,158│0,155│0,151│0,148│0,144│0,141│0,138│0,135│0,132│0,129
Массовую долю иона хлорида в почве (X) в процентах вычисляют по формуле

,
где C - количество эквивалентов иона хлорида в почве, ммоль в 100 г;
0,0355 - коэффициент пересчета в проценты.
За результат анализа принимают значение единичного определения иона хлорида.
Результат выражают в миллимолях в 100 г почвы и в процентах с округлением до трех значащих цифр.
2.5.2. Допускаемые относительные отклонения при доверительной вероятности P = 0,95 от среднего арифметического результатов повторных анализов при выборочном статистическом контроле составляют:
17% - для количества эквивалентов иона хлорида до 0,5 ммоль в 100 г почвы; 12% - св. 0,5 до 50 ммоль в 100 г почвы.
3. ОПРЕДЕЛЕНИЕ ИОНА ХЛОРИДА МЕТОДОМ
ИОНОМЕТРИЧЕСКОГО ТИТРОВАНИЯ
Сущность метода заключается в титровании иона хлорида в водной вытяжке раствором азотнокислого серебра, образующим с ионом хлорида труднорастворимое соединение. Индикацию конечной точки титрования проводят ионометрически с помощью хлоридного ионоселективного электрода.
3.2. Аппаратура, материалы и реактивы
3.2.1. Для проведения анализа применяют:
иономер или pH-метр милливольтметр с блоком автоматического титрования с погрешностью измерений не более 5 мВ;
магнитную мешалку;
ионоселективный хлоридный электрод типа ЭМ-С1-01 или аналогичный с твердой мембраной;
электрод сравнения насыщенный хлорсеребряный образцовый 2-го разряда по
ГОСТ 17792-72;
ячейку электролитическую, заполненную раствором азотнокислого калия концентрации 1 моль/дм3;
кислоту азотную по
ГОСТ 4461-77, х.ч. или ч.д.а., разбавленную дистиллированной водой 1:150;
калий азотнокислый по
ГОСТ 4217-77, х.ч. или ч.д.а., раствор концентрации 1 моль/дм3;
аппаратуру, материалы и реактивы по
п. 1.2, кроме хромовокислого калия.
3.3. Подготовка к анализу
3.3.1. Приготовление раствора хлорида концентрации 0,1 моль/дм3
3.3.2. Приготовление раствора хлорида концентрации 0,01 моль/дм3
3.3.3. Приготовление раствора хлорида концентрации 0,001 моль/дм3
10 см3 раствора хлорида концентрации 0,01 моль/дм3 помещают в мерную колбу вместимостью 100 см3 и доводят объем до метки дистиллированной водой.
Раствор готовят в день применения.
3.3.4. Подготовка электродов к работе
3.3.5. Приготовление раствора азотнокислого серебра концентрации 0,02 моль/дм3
Готовят по
п. 1.3.3 и устанавливают точную концентрацию ионометрическим титрованием. Для этого отбирают дозатором или пипеткой 10 см3 раствора хлорида концентрации 0,01 моль/дм3 в химический стакан и прибавляют дозатором или из бюретки 1 см3 азотной кислоты, разбавленной 1:150. Заполняют бюретку раствором азотнокислого серебра. Устанавливают на блоке автоматического титрования значение ЭДС конечной точки титрования. Стакан с раствором хлорида ставят на магнитную мешалку и помещают в него магнит. Включают мешалку, опускают в титруемый раствор электродную пару, включают блок автоматического титрования и титруют раствор до заданного значения ЭДС. По окончании титрования регистрируют расход азотнокислого серебра.
Значение ЭДС конечной точки титрования (X), мВ, вычисляют по формуле
X = E + 110 мВ,
где E - ЭДС используемой для титрования электродной пары в растворе хлорида концентрации 0,001 моль/дм3, мВ.
Титрование проводят три раза и для расчета точной концентрации используют среднее арифметическое результатов трех титрований. Концентрацию раствора азотнокислого серебра вычисляют по формуле, приведенной в
п. 1.3.3.
3.4.1. Приготовление вытяжки из почвы
Для проведения анализа используют фильтраты вытяжек, приготовленных по
ГОСТ 26423-85.
3.4.2. Определение иона хлорида
Отбирают дозатором или пипеткой 2 - 20 см3 анализируемой вытяжки в химический стакан. Объем пробы для анализа устанавливают по
п. 1.4.2. К пробе приливают дозатором или из бюретки 1 см3 азотной кислоты, разбавленной 1:150. Заполняют бюретку раствором азотнокислого серебра концентрации 0,02 моль/дм3. На блоке автоматического титрования устанавливают значение ЭДС конечной точки титрования по
п. 3.3.5, помещают стакан с пробой на магнитную мешалку и включают блок автоматического титрования и титруют раствор до заданного значения ЭДС. По окончании титрования регистрируют расход азотнокислого серебра по бюретке.
3.5. Обработка результатов
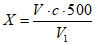
3.5.1. Количество эквивалентов иона хлорида (X), ммоль в 100 г почвы, вычисляют по формуле

,
где V - объем раствора азотнокислого серебра, израсходованный на титрование, см3;
c - концентрация раствора азотнокислого серебра, ммоль/см3;
500 - коэффициент пересчета на 100 г почвы;

- объем пробы водной вытяжки, взятый для титрования, см3.
Массовую долю иона хлорида в почве (

) в процентах вычисляют по формуле

,
где C - количество эквивалентов иона хлорида в почве, ммоль в 100 г;
0,0355 - коэффициент пересчета в проценты.
За результат анализа принимают значение единичного определения иона хлорида.
Результат анализа выражают в миллимолях в 100 г почвы и в процентах с округлением до трех значащих цифр.
3.5.2. Допускаемые относительные отклонения при доверительной вероятности P = 0,95 от среднего арифметического результатов повторных анализов при выборочном статистическом контроле составляют:
21% - для количества эквивалентов иона хлорида до 2 ммоль в 100 г почвы; 11% - св. 2 до 6 ммоль в 100 г почвы; 7% - св. 6 ммоль в 100 г почвы.