Главная // Актуальные документы // ГОСТ (Государственный стандарт)СПРАВКА
Источник публикации
В данном виде документ опубликован не был.
Первоначальный текст документа опубликован в издании
М.: Издательство стандартов, 1984.
Информацию о публикации документов, создающих данную редакцию, см. в справке к этим документам.
Примечание к документу
С 1 июля 2003 года до вступления в силу технических регламентов акты федеральных органов исполнительной власти в сфере технического регулирования носят рекомендательный характер и подлежат обязательному исполнению только в части, соответствующей целям, указанным в
пункте 1 статьи 46 Федерального закона от 27.12.2002 N 184-ФЗ.
Ограничение срока действия снято Постановлением Госстандарта СССР от 03.07.1991 N 1201 ("ИУС", N 10, 1991).
Срок действия продлен до 1 января 1992 года Постановлением Госстандарта СССР от 23.12.1989 N 4549 ("ИУС", N 4, 1989).
Изменение N 1, утв. Постановлением Госстандарта СССР от 23.12.1988 N 4549, введено в действие с 1 июля 1989 года.
Взамен ГОСТ 20532-75.
Название документа
"ГОСТ 20532-83 (СТ СЭВ 3704-82). Радиопередатчики телевизионные I - V диапазонов. Основные параметры, технические требования и методы измерений"
(введен в действие Постановлением Госстандарта СССР от 27.10.1983 N 5165)
(ред. от 23.12.1988)
"ГОСТ 20532-83 (СТ СЭВ 3704-82). Радиопередатчики телевизионные I - V диапазонов. Основные параметры, технические требования и методы измерений"
(введен в действие Постановлением Госстандарта СССР от 27.10.1983 N 5165)
(ред. от 23.12.1988)
Постановлением Госстандарта СССР
от 27 октября 1983 г. N 5165
ГОСУДАРСТВЕННЫЙ СТАНДАРТ СОЮЗА ССР
РАДИОПЕРЕДАТЧИКИ ТЕЛЕВИЗИОННЫЕ I - V ДИАПАЗОНОВ
ОСНОВНЫЕ ПАРАМЕТРЫ, ТЕХНИЧЕСКИЕ ТРЕБОВАНИЯ
И МЕТОДЫ ИЗМЕРЕНИЙ
Television radiotransmitters of I - V bands.
Basic parameters, technical requirements
and measuring methods
ГОСТ 20532-83
(СТ СЭВ 3704-82)
| | Список изменяющих документов Госстандарта СССР от 23.12.1988 N 4549) | |
Группа Э32
Взамен ГОСТ 20532-75
Постановлением Государственного комитета СССР по стандартам от 27 октября 1983 г. N 5165 срок действия установлен с 01.07.1984 до 01.07.1989.
Настоящий стандарт распространяется на стационарные телевизионные радиопередатчики (далее - радиопередатчики) мощностью 1 - 50 кВт, обеспечивающие высококачественное вещание черно-белого и цветного телевидения на радиоканалах I - V частотных диапазонов.
Стандарт не распространяется на ретрансляторы-преобразователи и на радиопередатчики, введенные в эксплуатацию до 01.07.1984.
(в ред.
Изменения N 1, утв. Постановлением Госстандарта СССР от 23.12.1988 N 4549)
Стандарт полностью соответствует СТ СЭВ 3704-82.
Граница канала изображения радиопередатчика - по ГОСТ 18471-83.
1.1. Основные параметры канала изображения должны соответствовать указанным в табл. 1, а канала звукового сопровождения - указанным в
табл. 2. При приемосдаточных и периодических испытаниях, проводимых предприятием-изготовителем и представителем Госприемки, параметры должны соответствовать значениям, указанным в табл. 1 и
2.
(в ред.
Изменения N 1, утв. Постановлением Госстандарта СССР от 23.12.1988 N 4549)
─────────────────────────────────────────────────┬────────────────
Наименование параметра │ Норма
─────────────────────────────────────────────────┼────────────────
1. Номинальные мощности в пике синхроимпульса, │1, 2, 4, 5, 10,
кВт, выбирают из ряда │20 - 25, 40 - 50
2. Изменение мощности при медленных колебаниях │ +/- 0,25
напряжения сети в пределах, указанных в
п. 2.4.2,│
дБ, не более │
3. Изменение пиковой мощности при изменении │ 0,5
среднего уровня модуляции от уровня черного │
до уровня белого, дБ, не более │
4. Допускаемые отклонения несущей частоты от │ +/- 100
номинального значения в течение одного месяца │
после 6 мес эксплуатации, Гц, не более │
5. Уровни входного модуляционного сигнала │
Черт. 1
6. Пределы размаха входного модуляционного │ 1,0 +/- 0,5
сигнала, в которых обеспечивается с помощью │
ручной регулировки номинальный уровень модуляции,│
В, не менее │
7. Номинальное значение входного сопротивления, │ 75
Ом │
8. Обратные потери, измеренные на входе │ 30
в пределах частот 0 - 6 МГц, не менее │
9. Уровни выходного сигнала и их допуски │
Черт. 2
Допуски должны сохраняться: │
при любом изменении содержания изображения; │
при наличии во входном сигнале напряжения помехи│
частотой 50 Гц и размахом до 50% полного размаха │
входного сигнала или напряжения помехи до 10% на │
частотах 50 - 1000 Гц и 2 - 6 МГц; │
при изменении уровня синхроимпульсов во входном │
сигнале в пределах 0,5 - 1,5 их номинального │
значения; │
при одновременном воздействии указанных выше │
помех частотой 50 Гц, и изменении уровня │
синхроимпульсов во входном сигнале; │
при увеличении напряжения сигнала изображения │
на входе на 50% по отношению к его номинальному │
значению уровень белого в выходном сигнале не │
должен превышать его номинальный уровень более │
чем на 2,5%. Работа ограничителя уровня белого не│
должна оказывать влияние на цветовую поднесущую. │
Ограничение осуществляется для составляющих │
сигналов в диапазоне 0 - 0,5 МГц │
10. Дифференциальное усиление, измеренное между │ 10
уровнями 15 и 75% при насадке с частотой 4,43 МГц│
и размахом 10%, %, не более │
11. Нелинейность, измеренная между уровнями 15 и│ 12
70% при насадке частотой 1,2 МГц и размахом 10%, │
%, не более │
ИС МЕГАНОРМ: примечание.
Наименование параметра дано в соответствии с официальным
текстом документа.
12. Дифференциальная фаза, измеренная как │ 6
разность максимальной и минимальной фаз в насадке│
4,43 МГц при условиях, указанных в
п. 10 ... °, │
не более │
13. Характеристика боковых полос, измеренная │
Черт. 3
на уровне 45% с насадкой размахом
<*> 20% │
14. Сквозная амплитудно-частотная характеристика│ По рекомен-
(АЧХ) тракта вход радиопередатчика - выход │дуемому
демодулятора (фильтр подавления несущей звука в │
Приложению 3
демодуляторе включен), измеренная на уровне 45% │
15. Перекос плоской части прямоугольных │ +/- 1,5
импульсов частоты полей, % │
16. Переходная характеристика (фронт и срез │
Черт. 4
импульса частотой от 15 до 250 кГц) │
17. Перекос плоской части прямоугольных │ +/- 1
импульсов частоты строк (15 кГц), % │
18. Расхождение во времени сигналов яркости и │ +/- 50
2 │
цветности, измеренное сложным сигналом sin 20T, │
нс, не более │
19. Различие усиления сигналов яркости и │ +/- 1
2 │
цветности, измеренное сложным сигналом sin 20T, │
дБ, не более │
20. Уровень фона, измеренный в полосе частот до │ 46
1 кГц как значение "пик-пик", дБ, не менее
<**> │
21. Уровень эффективного значения шума в канале │ 56
яркости, измеренный с взвешивающим фильтром │
с тау = 0,33 мкс и фильтром с полосой частот │
от 10 кГц до 6 МГц, дБ, не менее
<***> │
22. Уровень эффективного значения шума в канале │ 51
цветности, дБ, не менее
<***> │
23. Интермодуляционный продукт (у радиопередат- │ 51
чиков с совместным усилением сигналов изображения│
и звука) на частотах │
f + f - f и f + 2f - f , │
1 2 3 1 3 2 │
где f - несущая изображения с уровнем │
1 │
минус 7 дБ; │
f - несущая звукового сопровождения │
2 │
с уровнем минус 10 дБ; │
f - цветовая поднесущая с уровнем │
3 │
минус 17 дБ; │
(уровни отнесены к уровню синхроимпульсов), дБ, │
не менее │
--------------------------------
<*> При изменении среднего уровня от 20 до 60% характеристика боковых полос не должна изменяться более чем на 0,5 дБ от ее значения на уровне 45%.
<**> При одновременном включении канала звукового сопровождения радиопередатчика и его 100%-ной модуляции частотами от 30 до 15000 Гц, значения фона и шума не должны превышать значений, указанных в
табл. 1.
<***> Допускается при измерении учитывать составляющие собственного шума демодулятора.
Примечание. Допускается работа радиопередатчиков, состоящих из 2-х полукомплектов суммарной мощностью 4 кВт и более с мощностью 50 % номинальной в течение времени, не превышающего шести часов в месяц.
(примечание введено
Изменением N 1, утв. Постановлением Госстандарта СССР от 23.12.1988 N 4549)
──────────────────────────────────────────────────────┬───────────
Наименование параметра │ Норма
──────────────────────────────────────────────────────┼───────────
1. Номинальная мощность по отношению к номинальной │ 1:10
пиковой мощности в канале изображения │
2. Допускаемое отклонение несущей частоты от │ +/- 100
номинального значения в течение одного месяца, Гц, │
не более │
3. Номинальная девиация частоты, соответствующая │ +/- 50
100%-ной модуляции, кГц │
4. Постоянная времени цепи предыскажения амплитудно- │ 50
частотной характеристики (номинальное значение), мкс │
5. Уровень входного сигнала, требуемого для │
получения 100%-ной модуляции частотой 1000 Гц: │
номинальный уровень, дБ │ 0
диапазон регулировки, дБ, не менее │ +/- 6
6. Входное сопротивление в пределах диапазона │
модулирующих частот, Ом: │
низкоомный вход │600 +/- 60
высокоомный вход, не менее │ 6000
7. Несимметричность входа в пределах диапазона │ 1
модулирующих частот, %, не более │
8. Нелинейные искажения в полосе модулирующих частот │
от 30 до 15000 Гц, %, не более: │
при девиации +/- 50 кГц │ 1
при девиации +/- 75 кГц │ 2
9. Допускаемое отклонение амплитудно-частотной │ +/- 1,0
характеристики от характеристики идеальной цепи │
предыскажения (
черт. 5) в полосе частот │
30 - 15000 Гц, дБ, не более │
10. Уровень ЧМ шума и фона по отношению к девиации │
+/- 50 кГц, дБ, не менее
<1>: │
эффективное значение без фильтра │ 60
эффективное значение с псофометрическим фильтром
<2> │ 67
11. Уровень ЧМ фона и шума на разностной частоте │ 50
(звук-изображение) при наличии в канале изображения │
модуляции прямоугольными импульсами 50 Гц в пределах │
уровней от 15 до 70%, измеренный с помощью │
псофометрического фильтра, дБ, не менее │
12. Паразитная амплитудная модуляция, дБ, │ 50
13. Паразитная сопутствующая амплитудная модуляция │ 40
при 100%-ной модуляции канала звукового сопровождения │
частотой 1000 Гц, дБ, не менее
<3>,
<4> │
--------------------------------
<1> При одновременном включении канала изображения радиопередатчика и его номинальной модуляции импульсами 50 Гц уровень ЧМ шума и фона должен соответствовать указанному в
табл. 2.
<2> При построении возбудителя по схеме синтезатора частоты и обеспечении режима СНЧ значение параметра с псофометрическим фильтром должно быть минус 62 дБ.
<3> Параметры по
пп. 12 и
13 относятся к радиопередатчикам с раздельным усилением сигналов изображения и звука.
<4> Параметр по
п. 13 не относится к случаю сложения мощностей нескольких передатчиков; значение параметра для случая сложения мощностей 34 дБ.
Поле допуска характеристики боковых полос
Координаты точек перегиба
──────────────────────┬───────────────────────────────────────────
Частота относительно │ Предельное значение характеристики, дБ
несущей, МГц ├─────────────────────┬─────────────────────
│ не менее │ не более
──────────────────────┼─────────────────────┼─────────────────────
-4,5 │ - │ -30; -20
-4,2 │ │
──────────────────────┤ ├─────────────────────
-1,25 │ │ -20; +0,5
──────────────────────┼─────────────────────┼─────────────────────
-0,75 │ - бесконечность; -4 │ -
-0,5 │ -1,5 │
──────────────────────┼─────────────────────┼─────────────────────
-0,1 │ -0,5 │ +0,5
+0,1 │ │
+1,4 │ │
──────────────────────┼─────────────────────┼─────────────────────
+1,5 │ 0 │ 0
+1,6 │ -0,5 │ +0,5
──────────────────────┼─────────────────────┼─────────────────────
+3,0 │ -1,0 │ -
+4,5 │ │
──────────────────────┼─────────────────────┤
+5,5 │ -2,0 │
+6,0 │- бесконечность; -4,0│
──────────────────────┼─────────────────────┼─────────────────────
+6,5 │ - │ -20; +0,5
Поле допуска переходной характеристики
Координаты точек перегиба
────────────────┬─────────────────────────────────────────────────
Время, мкс │Предельное значение переходной характеристики, %
├───────────────────────┬─────────────────────────
│ не менее │ не более
────────────────┼───────────────────────┼─────────────────────────
+/- 1,2 │ -5; +95 │ +5; +105
+/- 0,4 │ │
────────────────┼───────────────────────┼─────────────────────────
+/- 0,2 │ -7 │ +107
+/- 0,1 │ -12 │ +112
+/- 0,0625 │ +10 │ +90
Амплитудно-частотная характеристика цепи предыскажения
с постоянной времени 50 мкс
────────────────────────────────┬─────────────────────────────────
Частота, кГц │ Значение характеристики, дБ
────────────────────────────────┼─────────────────────────────────
0,03 │ -0,41
0,05 │
────────────────────────────────┼─────────────────────────────────
0,1 │ -0,4
0,2 │ -0,39
0,4 │ -0,34
0,8 │ -0,14
1,0 │ 0
2,0 │ 1,04
4,0 │ 3,71
6,0 │ 6,17
8,0 │ 8,23
10,0 │ 9,95
12,0 │ 11,41
14,0 │ 12,68
15,0 │ 13,25
| | ИС МЕГАНОРМ: примечание. Взамен ГОСТ 7845-79 Постановлением Госстандарта СССР от 13.01.1992 N 4 с 1 января 1993 года введен в действие ГОСТ 7845-92. | |
Уровни выходного радиосигнала изображения - по ГОСТ 7845-79. Параметры выходного радиосигнала изображения измеряют по видеочастоте на выходе телевизионного демодулятора. Уровни фона и шума отнесены к сигналу изображения (от уровня черного до уровня белого).
1.2. Исключен с 1 июля 1989 года. -
Изменение N 1, утв. Постановлением Госстандарта СССР от 23.12.1988 N 4549.
2. ТЕХНИЧЕСКИЕ ТРЕБОВАНИЯ
2.1.1. Радиопередатчики должны изготовляться в соответствии с требованиями настоящего стандарта по нормативно-технической документации.
2.1.2. Радиопередатчики должны работать в любом заранее заданном радиоканале одного из частотных диапазонов. Частотные диапазоны, номинальные полосы частот и значения несущих частот радиоканалов - по ГОСТ 7845-79.
2.1.3. Радиопередатчики должны иметь возможность работать в системе смещения несущих частот (СНЧ). Значения смещения несущей частоты изображения и разнос несущих изображения и звукового сопровождения - по ГОСТ 7845-79.
Примечание. При необходимости в конструкции радиопередатчика должна быть предусмотрена возможность подключения устройства для обеспечения его работы в системе точного СНЧ при нестабильности несущей частоты +/- 1 Гц.
2.1.4. Оборудование радиопередатчиков должно быть рассчитано на непрерывную работу в течение 24 ч в сутки в режиме черного поля и без сигнала по 2 ч в каждом режиме с перерывами между ними не менее 2 ч.
2.1.5. Время полного включения радиопередатчиков при предварительно прогретых возбудителях не должно превышать 5 мин, а радиопередатчиков на клистроне - 15 мин.
Параметры радиопередатчиков, указанные в
табл. 1 и
2, должны принимать свои значения без дополнительной подстройки максимально через:
20 мин - для радиопередатчиков I - III диапазонов;
30 мин - для радиопередатчиков IV и V диапазонов частот.
2.1.6. Средняя мощность любого побочного излучения не должна превышать 1 мВт у радиопередатчиков I - III диапазонов частот и минус 60 дБ от номинальной пиковой мощности, но не более 20 мВт, у радиопередатчиков IV и V диапазонов.
2.1.7. Радиопередатчики должны обеспечивать работу без постоянного присутствия обслуживающего персонала и должны быть обеспечены или позволять дополнительное обеспечение:
одним из способов резервирования;
устройством для автоматического переключения на резерв;
входами для подключения устройств дистанционного управления и контроля или цепями для автоматического включения и выключения в зависимости от наличия модулирующего сигнала.
2.1.8. Радиопередатчики должны автоматически выключаться при превышении в выходном фидере значения КСВ, установленного для радиопередатчика конкретного типа.
2.1.9. Исчезновение на входе радиопередатчика модулирующего напряжения не должно вызывать повреждения оборудования. Выходной сигнал в этом случае должен соответствовать передаче уровня гашения или уровня, установленного для радиопередатчика конкретного типа.
2.1.10. Номинальное значение волнового сопротивления выходного ВЧ фидера должно быть 75 Ом.
2.1.11. Радиопередатчик должен быть снабжен эквивалентом антенны, оперативно подключаемым к выходу.
2.1.12. В техническом задании на разработку радиопередатчика конкретного типа должны быть указаны показатели материало- и энергоемкости.
2.2. Требования к устойчивости при климатических воздействиях
2.2.1. Параметры радиопередатчиков должны соответствовать значениям, указанным в
табл. 1 и
2, при климатических условиях, приведенных в табл. 3.
Таблица 3
──────────────────────────────────────────────────┬───────────────
Наименование воздействующего фактора │ Норма
──────────────────────────────────────────────────┼───────────────
Температура воздуха, °C: │
в помещении │ От +5 до +45
поступающего в систему охлаждения снаружи │ " -40 " +40
Относительная влажность при температуре 20 °C, % │ 80
Высота над уровнем моря, м, не более │ 2500
2.3. Требования к надежности
2.3.1. Время наработки на отказ радиопередатчика должно быть не менее 1000 ч для радиопередатчиков без резерва и 2000 ч с резервом.
Коэффициент готовности

должен быть не менее 99,8% и определяться по формуле

, (1)
где

- время наработки на отказ;

- время восстановления.
Время наработки на отказ определяют расчетным путем при разработке радиопередатчика.
Фактическое время наработки на отказ проверяют путем обработки информации о результатах эксплуатации серийных радиопередатчиков при суммарной их наработке не менее

. Сбор информации производят после годовой приработки радиопередатчиков.
Под отказом понимают нарушение работоспособности радиопередатчика, т.е. состояние, при котором он не способен выполнять заданные функции.
Параметры и их значения, необходимые для обеспечения работоспособности, указывают в ТУ на радиопередатчик конкретного типа.
2.3.2. Параметры радиопередатчиков, указанные в
табл. 1 и
2, должны сохранять значения в течение 24 ч работы без какой-либо дополнительной подстройки.
2.3.3. Параметры радиопередатчиков должны сохранять значения, указанные в
табл. 1 и
2, без дополнительной подстройки в течение времени, указанного в табл. 4 при ежесуточной работе в течение 20 ч. При этом подстройку, связанную с заменой электровакуумных приборов и время ликвидации последствий неисправностей, не учитывают.
Таблица 4
────────────────────────┬─────────────────────────────────────────
Номинальная мощность │Время, в течение которого радиопередатчик
радиопередатчика, кВт │ должен сохранять параметры, сутки
────────────────────────┼─────────────────────────────────────────
1, 2 │ 100
4, 5, 10, 20 - 25 │ 75
40 - 50 │ 50
2.4. Требования к электропитанию
2.4.1. Электропитание радиопередатчиков должно осуществляться от сети трехфазного переменного тока частотой 50 Гц и напряжением 380/220 В.
2.4.2. Параметры радиопередатчиков, указанные в
табл. 1 и
2, должны сохранять значения при медленных колебаниях напряжения сети от плюс 10 до минус 15% номинального значения при частоте (50 +/- 1) Гц.
2.4.3. Работа радиопередатчиков не должна прерываться при быстрых или скачкообразных изменениях напряжения питающей сети на входе автоматического стабилизатора напряжения от плюс 10 до минус 15% номинального значения.
2.4.4. Коэффициент мощности должен быть не менее 0,95.
Для радиопередатчиков конкретного типа допускается по согласованию с заказчиком снижение коэффициента мощности до 0,92.
2.4.5. Аппаратура системы электропитания должна быть устойчивой к токам короткого замыкания при питании радиопередатчика от силового трансформатора, мощность которого указывают в техническом задании на разработку радиопередатчика конкретного типа.
2.5. Требования безопасности
| | ИС МЕГАНОРМ: примечание. С 1 июля 2003 года введены в действие "Правила технической эксплуатации электроустановок потребителей", утвержденные Приказом Минэнерго РФ от 13.01.2003 N 6. | |
2.5.1. Аппаратура радиопередатчиков должна соответствовать требованиям
ГОСТ 12.2.007.0-75, а также "Правилам технической эксплуатации электроустановок потребителей (ПТЭ)" и "Правилам техники безопасности при эксплуатации электроустановок потребителей", утвержденным Госэнергонадзором.
2.5.2. Требования к организации и проведению измерений, к помещениям для измерений, средствам измерений, рабочим местам и средствам защиты работающих и их применению - по
ГОСТ 12.3.019-80.
2.5.3. Радиопередатчики должны быть снабжены двумя системами блокировки: механической и электрической.
2.5.4. Предельно допустимые значения напряженности и плотности потока энергии электромагнитного поля на рабочих местах обслуживающего персонала - по
ГОСТ 12.1.006-84.
(в ред.
Изменения N 1, утв. Постановлением Госстандарта СССР от 23.12.1988 N 4549)
2.5.5. Уровень шума на рабочих местах - по
ГОСТ 12.1.003-83 и не должен превышать 70 дБ.
(в ред.
Изменения N 1, утв. Постановлением Госстандарта СССР от 23.12.1988 N 4549)
3.1.1. Параметры радиопередатчиков, указанные в
табл. 1 и
2, измеряют при работе на эквивалент антенны.
3.1.2. Все измерения следует проводить в нормальных климатических условиях:
температура 298 - 308 К [(25 +/- 10) °C];
относительная влажность (60 +/- 15)%;
атмосферное давление (96 +/- 10) кПа при напряжении сети (220 +/- 11) В.
3.2. Измерительная аппаратура и оборудование
3.2.1. Телевизионный демодулятор, имеющий демодулятор огибающей (видео), ЧМ демодулятор на разностной частоте и входы по высокой и промежуточной частоте, со следующими основными параметрами:
канал изображения:
поле допуска АЧХ - в соответствии с
черт. 6;
поле допуска характеристики группового времени запаздывания - в соответствии с
черт. 7;
нелинейность, определяемая как отношение минимальной и максимальной крутизны при изменении уровня от 8 до 100% и при измерении в полосе частот от 0 до 6 МГц - не менее 0,95;
дифференциальная фаза (на частоте 4,43 МГц между уровнями 8 - 85%) - не более 2°;
перекос плоской части импульсов 50 Гц - не более +/- 0,5%;
перекос плоской части импульсов 15 кГц - не более +/- 0,5%;
собственный шум и фон:
в полосе частот до 1 кГц (значение "пик-пик") - не более 52 дБ;
в канале яркости (эффективное значение, определенное с взвешивающим фильтром) - не более 60 дБ;
в канале цветности (эффективное значение) - не более 60 дБ;
выходное напряжение на нагрузке 75 Ом (размах от уровня белого до уровня синхронизирующих импульсов) - (1 +/- 0,05) В;
КСВ на ВЧ и ПЧ входах - не более 1,1;
возможность включения импульса нулевого уровня;
канал звука:
собственный шум на разностной частоте (эффективное значение) при номинальной модуляции канала изображения прямоугольными импульсами 50 Гц и включенных обратной коррекции 50 мкс и псофометрическом фильтре - не менее 56 дБ.
Поле допуска амплитудно-частотной характеристики
Координаты точек перегиба
────────────────────────┬─────────────────────────────────────────
Частота относительно │ Предельные значения характеристики, %
несущей, МГц ├───────────────────┬─────────────────────
│ минимальное │ максимальное
────────────────────────┼───────────────────┼─────────────────────
-1,65 │ - │ 0,8; 2,0
-1,35 │ │ 0,8
────────────────────────┼───────────────────┤
-1,0 │ 0 │ 8,5
-0,5 │ 15 │ 25
0 │ 48 │ 52
+0,5 │ 75 │ 85
+1,0 │ 91,5 │ 101,5
+1,4 │ 95 │ 106
+1,5 │ 100 │ 100
────────────────────────┼───────────────────┤
+1,6 │ 95 │ 106
────────────────────────┤ ├─────────────────────
+5,0 │ │ -
────────────────────────┼───────────────────┤
+5,4 │ 85 │
+5,85 │ 0; 50 │
────────────────────────┼───────────────────┼─────────────────────
+6,35 │ - │ 0,5; 106
+6,65 │ │ 0,5; 1,0
Поле допуска группового времени задержки демодулятора
Координаты точек перегиба
──────────────┬───────────────────────────────────────────────────
Частота, МГц │Предельное значение группового времени задержки, нс
├───────────────────────────┬───────────────────────
│ минимальное │ максимальное
──────────────┼───────────────────────────┼───────────────────────
0,1 │ -15 │ +15
0,5 │ -23 │ +7
1,0 │ -55 │ -25
2,0 │ -100 │ -70
3,0 │ -107 │ -77
4,0 │ -80 │ -40
4,43 │ -45 │ -5
4,7 │ -30 │ +30
5,5 │ +200 │ +320
3.2.2. Анализатор боковых полос со следующими основными параметрами:
КСВ на ВЧ входе - не более 1,1;
неравномерность собственной АЧХ в полосе частот от минус 1 до плюс 6 МГц относительно значения АЧХ на частоте 1,5 МГц - не более +/- 0,25 дБ;
расширение допуска на АЧХ в полосе частот от минус 1 до минус 5 МГц и от 6 до 8 МГц - не более 0,2 дБ/МГц.
3.2.3. Эквивалент антенны, охлаждаемый водой и имеющий возможность измерения температуры входящей и выходящей воды и ее количества, или эквивалент антенны, охлаждаемый воздухом и снабженный проградуированным киловаттметром, со следующими параметрами:
КСВ в рабочем радиоканале - не более 1,05;
КСВ в рабочем диапазоне - не более 1,2 <*>;
--------------------------------
<*> При измерении побочных излучений.
абзац исключен с 1 июля 1989 года. -
Изменение N 1, утв. Постановлением Госстандарта СССР от 23.12.1988 N 4549.
3.2.4. Направленный ответвитель со следующими основными параметрами:
коэффициент направленности в рабочем диапазоне - не менее 30 дБ;
КСВ - не более 1,2.
3.2.5. Генератор телевизионных измерительных сигналов с основными параметрами по ГОСТ 19871-83.
3.2.6. Универсальный осциллограф с основными параметрами - по ГОСТ 19871-83.
3.2.7. Фильтр со следующими основными параметрами:
подавление одной несущей радиопередатчика не менее 80 дБ или подавление обеих несущих (изображения и звукового сопровождения) - не менее 40 дБ;
затухание при расстройке +/- 2 МГц относительно несущей не более 6 дБ.
| | ИС МЕГАНОРМ: примечание. ГОСТ 13924-80 утратил силу на территории Российской Федерации с 1 января 2002 года. Действуют ГОСТ Р 51741-2001 и ГОСТ Р 51742-2001 (ИУС "Государственные стандарты", N 7, 2001). | |
3.2.8. Генератор сигналов НЧ с основными параметрами - по ГОСТ 13924-80.
3.2.9. Вольтметр НЧ с основными параметрами - по ГОСТ 13924-80.
3.2.10. Девиометр с основными параметрами - по ГОСТ 13924-80.
3.2.11. Измеритель нелинейных искажений с основными параметрами - по ГОСТ 13924-80.
3.2.12. Селективный вольтметр со следующими основными параметрами:
диапазон - 40 - 1000 МГц;
чувствительность - не хуже 100 мкВ;
погрешность измерений - не более +/- 10%;
полоса пропускания - не более 6 кГц;
избирательность по каналу, отстоящему от основного более чем на 18 кГц, - минус 40 дБ.
3.2.13. Допускается применять специальные генераторы и цифровые приборы, обеспечивающие необходимую точность измерений.
3.3. Проведение измерений
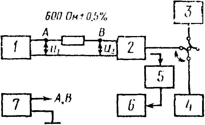
3.3.1. Измерение мощности радиопередатчика (
п. 1 табл. 1) проводят в соответствии со структурной схемой
черт. 8.
1 - генератор ТВ измерительных сигналов по
п. 3.2.5;
2 - радиопередатчик; 3 - антенна; 4 - эквивалент антенны
6 - телевизионный демодулятор по
п. 3.2.1;
7 - универсальный осциллограф по
п. 3.2.6
Для радиопередатчиков с негативной модуляцией под мощностью по каналу изображения подразумевается мощность на уровне синхронизирующих импульсов - пиковая мощность.
Значение пиковой мощности вычисляют по мощности в уровне гашения, измеренной калориметрическим методом при модуляции несущей изображения синхронизирующими импульсами.
Уровень гашения на выходе радиопередатчика должен находиться в допусках, приведенных на
черт. 2.
Мощность в уровне гашения

в киловаттах вычисляют по формуле

, (2)
где Q - количество воды, л/мин;

- разность температур входящей и выходящей воды, °C.
Пиковую мощность P в киловаттах вычисляют по формуле

, (3)
где

- длительность строки;

- длительность синхроимпульса;

- действительное отношение напряжений, соответствующих уровням гашения и синхроимпульсов.
Уровни

и

отсчитывают по осциллографу.
При установлении отношения

= 0,75 выражение для пиковой мощности упрощается и может быть представлено в виде

. Допускается мощность на уровне гашения измерять при отсутствии синхроимпульсов и тогда при

= 0,75

. Допускается также мощность измерять высокочастотным киловаттметром, проградуированным калориметрическим методом.
3.3.2. Нестабильность пиковой мощности при колебании напряжения сети (
п. 2 табл. 1) определяют измерением отклонения уровня синхроимпульсов в зависимости от колебаний напряжения питания радиопередатчика по
п. 2.4.2.
Измерения проводят по схеме, приведенной на
черт. 8. Напряжение питания подают от сети через автоматический регулятор напряжения, находящийся в режиме ручной регулировки.
Отклонение уровня синхронизирующих импульсов отсчитывают по осциллографу. В демодуляторе включают импульс нулевого уровня. Относительное значение нестабильности

в децибелах вычисляют по формуле

, (4)
где

- уровень синхроимпульсов при номинальном напряжении сети;

- уровень синхроимпульсов при одном из предельных отклонений напряжения сети.
Измерение проводят при положительном и отрицательном отклонениях напряжения сети.
3.3.3. Нестабильность пиковой мощности при изменениях содержания изображения (
п. 3 табл. 1) измеряют по схеме, приведенной на
черт. 8. Несущую канала изображения радиопередатчика модулируют телевизионным сигналом, соответствующим передаче черного поля, а затем сигналом, соответствующим передаче белого поля (допуски по
черт. 2). В демодуляторе включают импульс нулевого уровня. Нестабильность

в децибелах определяют по формуле

, (5)
где

- уровень синхроимпульсов на экране осциллографа при модуляции сигналом черного поля;

- уровень синхроимпульсов на экране осциллографа при модуляции сигналом белого поля.
3.3.4. Нестабильность несущей частоты канала изображения (
п. 4 табл. 1) измеряют не ранее чем через 30 мин после включения радиопередатчика. Задающий генератор предварительно прогревают в течение времени, указанного в нормативно-технической документации на него. Канал изображения работает в режиме передачи уровня гашения.
Должно быть проведено не менее 50 измерений в течение месяца. Для измерения нестабильности несущей частоты применяют прибор, точность которого в 3 раза превышает нестабильность несущей канала изображения радиопередатчика.
3.3.5. Побочные излучения (
п. 2.1.6) измеряют в соответствии со схемой
черт. 9 до 1000 МГц у радиопередатчиков I - III диапазонов и до 2500 МГц - у радиопередатчиков IV и V диапазонов, при работе радиопередатчика и режиме излучения непрерывного уровня гашения по каналу изображения и немодулированной несущей по каналу звукового сопровождения или по методике "Общесоюзных норм на побочные излучения радиопередающих устройств гражданского назначения (нормы 18 - 85).
(в ред.
Изменения N 1, утв. Постановлением Госстандарта СССР от 23.12.1988 N 4549)
1 - радиопередатчик; 2 - антенна; 3 - эквивалент антенны
5 - фильтр по
п. 3.2.7; 6 - селективный вольтметр
Частотная характеристика направленного ответвителя, фильтра и соединяющего кабеля должна быть известна для всего диапазона измерения. В соответствии с этой характеристикой вносят поправку в показания селективного вольтметра. Расстояние от направленного ответвителя до измерительной аппаратуры должно быть не менее 10 м.
При измерении продуктов перекрестной модуляции между каналами изображения и звука необходимо подключить фильтр, подавляющий одну из несущих частот, если селективный вольтметр не обеспечивает необходимой избирательности.
3.3.6. Значение входного модулирующего сигнала канала изображения (
п. 6 табл. 1) измеряют по схеме, приведенной на
черт. 8.
Несущую канала изображения радиопередатчика модулируют пилообразным сигналом (
черт. 24) без синусоидальной насадки. Значение сигнала устанавливают таким, чтобы обеспечить модуляцию в пределах в соответствии с
черт. 2.
В демодуляторе включают импульс нулевого уровня. После этого выход генератора сигнала отключают от входа радиопередатчика в точке Б и подключают ко входу осциллографа. Входные сопротивления радиопередатчика и осциллографа должны быть одинаковыми.
Измерение проводят в крайних положениях регулятора глубины модуляции канала изображения радиопередатчика.
3.3.7. Измерение входного сопротивления канала изображения (
пп. 7 и
8 табл. 1) проводят одним из способов:
при помощи импульсного рефлектометра;
при помощи измерителя полных сопротивлений.
Значение обратных потерь K в децибелах в этих случаях определяют по формуле

, (6)
где

- номинальное входное сопротивление;
Z - показания приборов;
при помощи генератора качающейся частоты с индикатором на электронно-лучевой трубке и кабеля длиной не менее 30 м (волновое сопротивление кабеля должно отличаться от номинального значения не более чем на +/- 1% в диапазоне частот от 0,1 до 6 МГц).
Сигнал с выхода генератора качающейся частоты по кабелю подается на вход канала изображения. На индикаторе прибора наблюдают огибающую сигнала качающейся частоты на выходе генератора с наложенными на нее отражениями от входа канала изображения радиопередатчика.
Обратные потери K в децибелах вычисляют по формуле

, (7)
где

и

- максимальное и минимальное значения напряжения на индикаторе прибора.
3.3.8. Уровни выходного сигнала (
п. 9 табл. 1) измеряют по схеме, приведенной на
черт. 8. Несущую канала изображения радиопередатчика модулируют пилообразным сигналом (
черт. 24) без наложения синусоидального сигнала. В демодуляторе включают импульс нулевого уровня. На экране осциллографа измеряют уровни выходного сигнала и сравнивают их с допусками по
черт. 2.
3.3.9. Нестабильность уровней выходного сигнала при изменении содержания изображения и при влиянии помех (
п. 9 табл. 1) измеряют по схеме, приведенной на
черт. 8. В демодуляторе включают импульс нулевого уровня. Измеряют уровни выходного сигнала на соответствие
черт. 2 при условиях, указанных ниже.
3.3.9.1. Несущую канала изображения радиопередатчика модулируют пилообразным сигналом (
черт. 24) без синусоидального наложения. Измерения проводят при среднем уровне модулирующего сигнала, соответствующем уровням белого и черного.
3.3.9.2. Несущую канала изображения радиопередатчика модулируют пилообразным сигналом без синусоидального наложения с пропуском белого и затем черного поля (
черт. 24) и добавлением помехи 50 Гц, как указано в
п. 9 табл. 1.
3.3.9.3. Несущую канала изображения радиопередатчика модулируют пилообразным сигналом без синусоидального наложения с пропуском белого и черного поля (
черт. 24). При этом уровень синхроимпульсов во входном сигнале изменяется в соответствии с
п. 9 табл. 1.
3.3.9.4. Несущую канала изображения радиопередатчика модулируют пилообразным сигналом без синусоидального наложения с пропуском белого и черного поля (
черт. 24) с добавлением помехи 50 Гц и изменением уровня синхроимпульсов во входном сигнале в соответствии с
п. 9 табл. 1.
3.3.9.5. Несущую канала изображения радиопередатчика модулируют пилообразным сигналом (
черт. 24) без насадки. Уровень сигнала на входе увеличивают в 1,5 раза по сравнению с номинальным и отсчитывают уровень белого в выходном сигнале. Затем включают синусоидальную насадку 4,43 МГц и оценивают влияние на нее ограничителя белого.
3.3.10. Дифференциальное усиление (
п. 10 табл. 1) измеряют по схеме, приведенной на
черт. 8. Несущую канала изображения радиопередатчика модулируют пилообразным сигналом (
черт. 24). Частота и размах насадки и уровни, между которыми производится модуляция пилообразной частью сигнала (без насадки), указаны в
п. 10 табл. 1. Форма сигнала на выходе демодулятора показана на
черт. 10. Затем в точку A подключают фильтр верхних частот или полосовой фильтр, пропускающий только синусоидальную насадку (фильтр может быть составной частью осциллографа). На осциллографе отсчитывают

и

в соответствии с
черт. 10. При этом выбросы на краях пакетов, обусловленные переходными процессами в фильтре, не учитывают.
Дифференциальное усиление

в процентах вычисляют по формуле

. (8)
Дифференциальное усиление измеряют при передаче уровней черного и белого в промежуточных строках испытательного сигнала. Берут большее из полученных значений.
При измерении допускается применять специальный прибор, предназначенный для измерения дифференциального усиления.
Несущую канала изображения радиопередатчика модулируют пилообразным испытательным сигналом (
черт. 24). Частота и размах насадки и уровни, между которыми производится модуляция пилообразной частью сигнала (без насадки), указаны в
п. 11 табл. 1. Измерение и вычисление значений нелинейности проводят по методике, изложенной в
п. 3.3.10.
3.3.12. Дифференциальную фазу (
п. 12 табл. 1) измеряют прибором, предназначенным специально для этой цели, по схеме, приведенной на
черт. 8.
Прибор подключают между демодулятором и осциллографом. Несущую канала изображения радиопередатчика модулируют пилообразным сигналом (
черт. 24). Частота и размах насадки и уровни, между которыми производится модуляция пилообразной частью сигнала (без насадки), указаны в
п. 12 табл. 1. Значение дифференциальной фазы вычисляют как разность максимальной и минимальной фаз насадки в интервале уровней от черного до белого. Измерения проводят при передаче уровней черного и белого в промежуточных строках испытательного сигнала. Берут большее из полученных значений.
1 - анализатор боковых полос по
п. 3.2.2;
2 - радиопередатчик; 3 - антенна; 4 - эквивалент антенны
6 - телевизионный демодулятор по
п. 3.2.1;
7 - универсальный осциллограф по
п. 3.2.6
Анализатором боковых полос измеряют уровень боковых полос сигнала качающейся частоты на выходе радиопередатчика. Несущую канала изображения радиопередатчика модулируют сигналом качающейся частоты (
черт. 12) при передаче уровня 45%. Характеристику боковых полос, воспроизведенную на экране электронно-лучевой трубки анализатора боковых полос или подключенного к нему осциллографа, сравнивают на соответствие с полем допуска по
черт. 3.
Вертикальный размер осциллограммы и ее местоположение выбирают так, чтобы ее нулевой уровень и уровень сигнала на частоте

+ 1,5 МГц осциллограммы совпадали соответственно с нулевым и со 100%-ным уровнем трафарета. Длительность развертки подбирают так, чтобы частотный масштаб осциллограммы совпадал с частотным масштабом трафарета.
Уровень передачи в испытательном сигнале поочередно выставляют равным 20 и 60% и наблюдают при этом за отклонением характеристики боковых полос от ее значения на уровне 45%.
3.3.14. Перекос плоской части прямоугольных импульсов частоты полей (
п. 15 табл. 1) измеряют по схеме, приведенной на
черт. 8. Несущую канала изображения радиопередатчика модулируют испытательным сигналом 50 Гц (
черт. 22) в пределах уровней от 15 до 70%. Искажение сигнала оценивают по осциллографу, на экране которого измеряют перекосы

и

, не учитывая интервал 250 мс (черт. 13) и вычисляют в процентах по отношению к значению M.
Черт. 13
Допускается измерять полный перекос

с помощью специального прибора с соответствующим удвоением допуска на перекос.
3.3.15. Переходную характеристику (
п. 16 табл. 1) измеряют по схеме, приведенной на
черт. 8. Несущую канала изображения радиопередатчика модулируют импульсами 15 - 250 кГц в пределах уровней от 50 до 70% (черт. 14).
Черт. 14
Форму переходного процесса оценивают по экрану осциллографа на соответствие
черт. 4. При этом скорость развертки должна соответствовать шкале времени, указанной на
черт. 4.
Осциллограмму перепада напряжения устанавливают так, чтобы нулевой и 100%-ный уровни импульса совпадали с рисками А и Б. При наличии колебательного процесса в интервале от минус 1,0 до минус 0,9 мкс и в интервале от 0,9 до 1,0 мкс пиковые значения колебаний должны быть установлены симметрично относительно рисок А и Б.
Время нарастания и спада импульсов самого генератора, определенных тем же самым осциллографом, должно быть от 70 до 90 нс и выбросы менее 2%.
3.3.16. Перекос плоской части прямоугольных импульсов частоты строк (
п. 17 табл. 1) измеряют по схеме, приведенной на
черт. 8. Несущую канала изображения радиопередатчика модулируют полустрочными импульсами (
черт. 23) в пределах уровней от 15 до 70%. На осциллографе отсчитывают отклонения

и

(черт. 15) и выражают в процентах по отношению к значению M.
Черт. 15
Допускается измерять полный перекос

с помощью специального прибора с соответствующим удвоением допуска на перекос.
3.3.17. Различие усиления и расхождение но времени сигналов яркости и цветности (
пп. 18 и
19 табл. 1) измеряют по схеме, приведенной на
черт. 8. Несущую канала изображения радиопередатчика модулируют сложным синусквадратичным импульсом

в пределах уровней от 50 до 70%. Измеряют размах импульса и размахи первого и второго отклонений огибающей его основания

и

. Вычисляют различие усиления сигналов яркости и цветности

и расхождение во времени между сигналами яркости и цветности

. Формулы для расчета приведены в справочном
Приложении 1. Для определения

и

допускается использовать графики, приведенные в справочном
Приложении 2.
Различие усиления и расхождение во времени сигналов яркости и цветности допускается измерять с помощью специального прибора.
3.3.18. Уровень фона в канале изображения (
п. 20 табл. 1) измеряют по схеме, приведенной на
черт. 8. Несущую канала изображения радиопередатчика модулируют полустрочными импульсами (
черт. 23), не содержащими гасящих и синхронизирующих импульсов полей, в пределах уровней от 15 до 70%. Измеряют размах

полустрочных импульсов в выходном сигнале (
черт. 16). Частоту развертки осциллографа устанавливают равной частоте полей и измеряют размах колебаний уровней гашения

и белого

. Уровень фона вычисляют по формулам:

;

(9)
и берут меньшее из полученных значений.
Уровень фона допускается измерять специальным прибором на одном из указанных уровней.
3.3.19. Уровень эффективного значения шума в каналах яркости и цветности (
пп. 21 и
22 табл. 1) измеряют по схеме, приведенной на
черт. 8. Перед осциллографом в точку A последовательно включают фильтры, указанные в
п. 21 табл. 1.
При измерении шума в канале цветности вместо взвешивающего фильтра с

= 0,33 мкс включают взвешивающий фильтр канала цветности. Несущую канала изображения радиопередатчика модулируют полустрочными импульсами в пределах уровней от 15 до 70% (
черт. 23). Измеряют размах полустрочных импульсов на входе фильтров, а затем (при увеличенной чувствительности осциллографа) - квазипиковый размах флюктуационной помехи

на выходе фильтров (
черт. 17). Уровень эффективного значения флюктуационной помехи вычисляют в децибелах по формуле

. (10)
Примечание. Под квазипиковым размахом флюктуационной помехи понимается некоторый условный его уровень, который может превышаться отдельными выбросами напряжения помех. Уровень эффективного значения флюктуационной помехи допускается измерять с помощью специального прибора.

3.3.20. Интермодуляционный продукт в канале изображения (
п. 23 табл. 1), возникающий в результате взаимодействия между несущими изображения и звука и цветовой поднесущей, измеряют селективным вольтметром (
п. 3.2.11) или анализатором спектра на высокочастотном выходе радиопередатчика. Селективный вольтметр (анализатор спектра) калибруют при передаче уровня гашения, что соответствует уровню минус 2,5 дБ относительно уровня синхроимпульсов. Потом устанавливают уровень несущей звука в соответствии с
п. 23 табл. 1 относительно значения сигнала в уровне синхроимпульсов. Непосредственное измерение проводят селективным вольтметром (анализатором спектра) при модуляции несущей канала изображения радиопередатчика сигналом в соответствии с
черт. 12. Средний уровень этого сигнала устанавливают на уровень минус 7 дБ, а значение наложенной цветовой поднесущей 4,43 МГц устанавливают уровнем минус 17 дБ относительно уровня синхроимпульсов в соответствии с
п. 23 табл. 1. Затем определяют значение интермодуляционного продукта на частотах 2,07 и 2,36 МГц от несущей изображения.
При измерении необходимо убедиться, что селективный вольтметр настроен на указанные частоты, а не на спектральную составляющую. Об этом будет свидетельствовать пропадание интермодуляционного продукта при отключении несущей звука в радиопередатчике, а также отсутствие спектральных составляющих с уровнем, превышающим измеряемый при перестройке селективного вольтметра в пределах +/- 1 МГц.
3.3.21. Мощность в канале звукового сопровождения (
п. 1 табл. 2) измеряют калориметрическим методом с помощью эквивалента антенны, охлаждаемого водой, при отсутствии модуляции. Мощность P в киловаттах определяют по
формуле (2).
Допускается измерять мощность с помощью высокочастотного киловаттметра, проградуированного калориметрическим методом.
3.3.22. Нестабильность несущей частоты канала звукового сопровождения (
п. 2 табл. 2) измеряют при отсутствии модуляции по методике
п. 3.3.4.
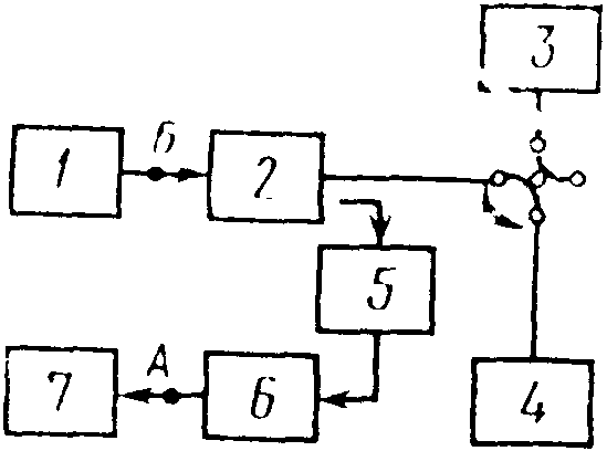
3.3.23. Входное напряжение (
п. 5 табл. 2) измеряют в соответствии со схемой, приведенной на
черт. 18. Входное модулирующее напряжение, необходимое для получения 100%-ной модуляции на частоте 1 кГц, измеряют дважды в крайних положениях регулятора входного сигнала.
2 - радиопередатчик; 3 - антенна; 4 - эквивалент антенны
3.3.24. Входное сопротивление низкочастотного входа канала звукового сопровождения в диапазоне частот 30 - 15000 Гц (
п. 6 табл. 2) измеряют с помощью специального моста или по схеме, приведенной на
черт. 19.
2 - радиопередатчик; 3 - антенна; 4 - эквивалент антенны
На вход канала звукового сопровождения подается синусоидальный сигнал частотой 1000 Гц и уровнем, необходимым для осуществления девиации 50 кГц.
Измеряют напряжения

и

в точках А и Б с помощью вольтметра НЧ и вычисляют сопротивление низкочастотного входа в омах по формуле

. (11)
Измерения повторяют на крайних частотах диапазона модулирующих частот.
3.3.25. Несимметричность НЧ входа (
п. 7 табл. 2) измеряют по схеме, приведенной на
черт. 20, как отношение между выходным напряжением от измерительного девиометра при модуляции несущей канала изображения радиопередатчика сигналом частотой 1 кГц и девиацией +/- 50 кГц (положение а переключателя В1) и выходным напряжением от того же девиометра при подаче того же самого модуляционного напряжения на радиопередатчик несимметрично между каркасом радиопередатчика и входными взаимно соединенными выводами (положение б переключателя В1). Измерения повторяют на крайних частотах диапазона модулирующих частот.
2 - радиопередатчик; 3 - антенна; 4 - эквивалент антенны
3.3.26. Нелинейные искажения (
п. 8 табл. 2) измеряют по схеме, приведенной на
черт. 21. Определяют эффективное значение напряжений гармоник до частоты 60 кГц. Измерения проводят при девиации и в диапазоне, указанных в
п. 8 табл. 2. Корректирующая цепочка 50 мкс в девиометре при этом включена.
2 - радиопередатчик; 3 - антенна; 4 - эквивалент антенны
6 - девиометр по
п. 3.2.10; 7 - измеритель нелинейных
Допускается проводить измерения при модулирующих частотах от 30 до 7000 Гц и измерять напряжения гармоник до частоты 28 кГц. Допускается также измерение проводить при отключенной корректирующей цепочке.
3.3.27. Частотную характеристику канала звукового сопровождения (
п. 9 табл. 2) измеряют по схеме, приведенной на
черт. 18. На вход радиопередатчика подается синусоидальный сигнал частотой 30 - 15000 Гц. Амплитуду входного сигнала в указанном диапазоне частот поддерживают постоянной на таком уровне, при котором девиация на частоте 15000 Гц не превышает +/- 50 кГц. Корректирующая цепочка 50 мкс в девиометре при этом отключена.
С помощью измерителя искажений или специального вольтметра измеряют напряжения на выходе девиометра при модуляции канала звукового сопровождения сигналами в полосе частот 30 - 15000 Гц. Значения АЧХ на указанных частотах определяют по формуле

, (12)
где

- напряжение на выходе девиометра при модуляции сигналами в полосе частот 30 - 15000 Гц;

- напряжение на выходе девиометра при модуляции сигналами частотой 400 Гц.
Эти значения не должны отличаться от значений АЧХ идеальной цепи предыскажений более чем на +/- 1 дБ.
3.3.28. ЧМ шум в канале звука (
п. 10 табл. 2) измеряют по схеме, приведенной на
черт. 21. Корректирующая цепочка 50 мкс в девиометре включена. Несущую канала звукового сопровождения радиопередатчика модулируют частотой 1 кГц, с девиацией +/- 50 кГц. На измерителе нелинейных искажений устанавливают уровень, по отношению к которому измеряют шумы. Шум радиопередатчика измеряют в диапазоне частот до 20 кГц без псофометрического фильтра и с псофометрическим фильтром при номинальной модуляции канала изображения прямоугольными импульсами частотой 50 Гц. Девиометр при данном измерении подключают к направленному ответвителю, установленному до разделительного фильтра.
(в ред.
Изменения N 1, утв. Постановлением Госстандарта СССР от 23.12.1988 N 4549)
3.3.29. Шум на разностной частоте (
п. 11 табл. 2) измеряют с помощью телевизионного демодулятора по схеме, приведенной на
черт. 21 при модуляции канала звукового сопровождения частотой 1 кГц с девиацией +/- 50 кГц. При этом измерении несущую канала изображения радиопередатчика модулируют способом, указанным в
п. 11 табл. 2. В девиометре включают обратную коррекцию, а в измерителе шума - псофометрический фильтр. Определяют эффективное значение шума.
3.3.30. Паразитную амплитудную модуляцию в канале звукового сопровождения (
п. 12 табл. 2) измеряют по схеме, приведенной на
черт. 18, с помощью измерителя глубины амплитудной модуляции, который входит в состав девиометра. Несущую канала звукового сопровождения радиопередатчика при этом не модулируют.
(в ред.
Изменения N 1, утв. Постановлением Госстандарта СССР от 23.12.1988 N 4549)
3.3.31. Паразитную и сопутствующую амплитудную модуляции (
п. 13 табл. 2) измеряют по схеме, приведенной на
черт. 18, с помощью измерителя глубины амплитудной модуляции, который входит в состав девиометра. При измерении несущую канала звукового сопровождения модулируют способом, указанным в
п. 13 табл. 2.
(в ред.
Изменения N 1, утв. Постановлением Госстандарта СССР от 23.12.1988 N 4549)
Справочное
ФОРМУЛЫ ДЛЯ РАСЧЕТА РАЗЛИЧИЯ УСИЛЕНИЯ СИГНАЛОВ ЯРКОСТИ
И ЦВЕТНОСТИ И РАСХОЖДЕНИЯ ВО ВРЕМЕНИ МЕЖДУ СИГНАЛАМИ
ЯРКОСТИ И ЦВЕТНОСТИ

;

;

;
T - длительность сложного синусквадратичного импульса на уровне половины его размаха;

;

.
Справочное
ГРАФИКИ ДЛЯ ОПРЕДЕЛЕНИЯ РАЗЛИЧИЯ УСИЛЕНИЯ СИГНАЛОВ
ЯРКОСТИ И ЦВЕТНОСТИ И РАСХОЖДЕНИЯ ВО ВРЕМЕНИ МЕЖДУ
СИГНАЛАМИ ЯРКОСТИ И ЦВЕТНОСТИ
Рекомендуемое
АМПЛИТУДНО-ЧАСТОТНАЯ ХАРАКТЕРИСТИКА КАНАЛА ИЗОБРАЖЕНИЯ
Координаты точек перегиба
────────────────────┬─────────────────────────────────────────────
Частота, МГц │ Предельные значения характеристики, дБ
├──────────────────────┬──────────────────────
│ минимальное │ максимальное
────────────────────┼──────────────────────┼──────────────────────
0,25 │ -1 │ +1
1,4 │ │
────────────────────┼──────────────────────┼──────────────────────
1,5 │ 0 │ 0
────────────────────┤ ├──────────────────────
1,6 │ -1 │ +1
4,5 │ -1,5 │
────────────────────┼──────────────────────┼──────────────────────
5,5 │ -4,5 │ 0
Справочное
АМПЛИТУДНО-ЧАСТОТНАЯ ХАРАКТЕРИСТИКА
ПСОФОМЕТРИЧЕСКОГО ФИЛЬТРА
──────────────────────┬───────────────────────────────────────────
Частота, кГц │ Значение характеристики, дБ
├─────────────────────┬─────────────────────
│ номин. │ пред. откл.
──────────────────────┼─────────────────────┼─────────────────────
0,03 │ -30,6 │ +/- 2,0
0,04 │ -28,0 │
──────────────────────┼─────────────────────┼─────────────────────
0,05 │ -26,0 │ +/- 1,5
0,06 │ -24,5 │
0,1 │ -20,0 │
0,2 │ -13,9 │
0,4 │ -7,9 │
0,8 │ -1,9 │
──────────────────────┼─────────────────────┼─────────────────────
1,0 │ 0,0 │ +/- 1,0
2,0 │ 5,8 │
──────────────────────┼─────────────────────┼─────────────────────
3,0 │ 8,8 │ +/- 0,5
4,0 │ 10,7 │
5,0 │ 11,8 │
──────────────────────┼─────────────────────┼─────────────────────
6,0 │ 12,3 │ +/- 0,0
──────────────────────┼─────────────────────┼─────────────────────
7,0 │ 12,1 │ +/- 0,5
8,0 │ 11,2 │
9,0 │ 10,0 │
10,0 │ 8,1 │
──────────────────────┼─────────────────────┼─────────────────────
11,0 │ 5,5 │ +/- 1,0
12,0 │ 2,2 │
13,0 │ -1,7 │
──────────────────────┼─────────────────────┼─────────────────────
14,0 │ -5,5 │ +/- 1,5
15,0 │ -9,0 │
──────────────────────┼─────────────────────┼─────────────────────
16,0 │ -12,5 │ +/- 2,0
20,0 │ -22,2 │
──────────────────────┼─────────────────────┼─────────────────────
31,5 │ -35,7 │ +/- 3,0