Главная // Актуальные документы // ГОСТ (Государственный стандарт)СПРАВКА
Источник публикации
М.: Издательство стандартов, 1988
Примечание к документу
Отдельные положения данного документа включены в
Перечень международных и региональных (межгосударственных) стандартов, а в случае их отсутствия - национальных (государственных) стандартов, в результате применения которых на добровольной основе обеспечивается соблюдение требований технического
регламента Евразийского экономического союза "О безопасности продукции, предназначенной для гражданской обороны и защиты от чрезвычайных ситуаций природного и техногенного характера" (ТР ЕАЭС 050/2021), и отдельные положения данного документа включены в
Перечень международных и региональных (межгосударственных) стандартов, а в случае их отсутствия - национальных (государственных) стандартов, содержащих правила и методы исследований (испытаний) и измерений, в том числе правила отбора образцов, необходимые для применения и исполнения требований технического
регламента Евразийского экономического союза "О безопасности продукции, предназначенной для гражданской обороны и защиты от чрезвычайных ситуаций природного и техногенного характера" (ТР ЕАЭС 050/2021) и осуществления оценки соответствия объектов технического регулирования (
Решение Коллегии Евразийской экономической комиссии от 30.05.2023 N 78).
Отдельные положения данного документа включены в
Перечень документов в области стандартизации, в результате применения которых на добровольной основе обеспечивается соблюдение требований Федерального
закона от 22.07.2008 N 123-ФЗ "Технический регламент о требованиях пожарной безопасности" (
Приказ Росстандарта от 13.02.2023 N 318).
Отдельные положения данного документа включены в
Перечень документов в области стандартизации, в результате применения которых на добровольной основе обеспечивается соблюдение требований Федерального
закона от 22.07.2008 N 123-ФЗ "Технический регламент о требованиях пожарной безопасности" (
Приказ Росстандарта от 14.07.2020 N 1190).
Отдельные положения данного документа включены в
Перечень документов в области стандартизации, в результате применения которых на добровольной основе обеспечивается соблюдение требований Федерального
закона от 22.07.2008 N 123-ФЗ "Технический регламент о требованиях пожарной безопасности" (
Приказ Росстандарта от 03.06.2019 N 1317).
Отдельные положения данного документа включены в
Перечень документов в области стандартизации, в результате применения которых на добровольной основе обеспечивается соблюдение требований Федерального
закона от 22.07.2008 N 123-ФЗ "Технический регламент о требованиях пожарной безопасности" (
Приказ Росстандарта от 17.04.2019 N 832).
Документ включен в
Перечень документов в области стандартизации, в результате применения которых на добровольной основе обеспечивается соблюдение требований технического
регламента "О безопасности колесных транспортных средств" (
Приказ Росстандарта от 14.03.2014 N 335).
Документ включен в
Перечень документов в области стандартизации и иных документов, в результате применения которых на добровольной основе обеспечивается соблюдение требований технического
регламента "О безопасности объектов морского транспорта", утв.
Постановлением Правительства РФ от 12.08.2010 N 620 (
Приказ Росстандарта от 22.07.2011 N 3820).
Документ включен в
Перечень национальных стандартов, содержащих правила и методы исследований (испытаний) и измерений, в том числе правила отбора образцов, необходимых для применения и исполнения Федерального
закона от 22.07.2008 N 123-ФЗ и осуществления оценки соответствия (
Распоряжение Правительства РФ от 29.07.2010 N 1284-р).
Документ включен в
Перечень документов в области стандартизации, в результате применения которых на добровольной основе обеспечивается соблюдение требований Федерального
закона от 27.12.2009 N 347-ФЗ "Технический регламент о безопасности низковольтного оборудования (
Приказ Ростехрегулирования от 14.09.2010 N 3546).
Ограничение срока действия снято по Протоколу N 3-93 Межгосударственного Совета по стандартизации, метрологии и сертификации ("ИУС", N 5 - 6, 1993).
Введен в действие с 1 января 1989 года.
Взамен ГОСТ 12.2.007.12-75.
Название документа
"ГОСТ 12.2.007.12-88. Государственный стандарт Союза ССР. Система стандартов безопасности труда. Источники тока химические. Требования безопасности"
(утв. и введен в действие Постановлением Госстандарта СССР от 18.02.1988 N 282)
"ГОСТ 12.2.007.12-88. Государственный стандарт Союза ССР. Система стандартов безопасности труда. Источники тока химические. Требования безопасности"
(утв. и введен в действие Постановлением Госстандарта СССР от 18.02.1988 N 282)
Утвержден и введен в действие
Постановлением Госстандарта СССР
от 18 февраля 1988 г. N 282
ГОСУДАРСТВЕННЫЙ СТАНДАРТ СОЮЗА ССР
СИСТЕМА СТАНДАРТОВ БЕЗОПАСНОСТИ ТРУДА
ИСТОЧНИКИ ТОКА ХИМИЧЕСКИЕ
ТРЕБОВАНИЯ БЕЗОПАСНОСТИ
Occupational safety standards system.
Chemical sources of electric energy. Safety requirements
ГОСТ 12.2.007.12-88
Группа Т58
Срок действия
с 1 января 1989 года
до 1 января 1994 года
1. Разработан и внесен Министерством электротехнической промышленности.
Исполнители: В.А. Сергеев, А.В. Николаев, М.П. Пастухов, Е.И. Филькова, И.А. Свиридова.
2. Утвержден и введен в действие Постановлением Государственного комитета СССР по стандартам от 18.02.1988 N 282.
3. Срок первой проверки - 1993 год.
4. Взамен ГОСТ 12.2.007.12-75.
5. Ссылочные нормативно-технические документы
────────────────────────────────────────────┬─────────────────────
Обозначение НТД, на который дана ссылка │ Номер пункта
────────────────────────────────────────────┼─────────────────────
ИС МЕГАНОРМ: примечание.
Взамен ГОСТ 12.1.004-85 Постановлением Госстандарта СССР от
14.06.1991 N 875 с 1 июля 1992 года введен в действие
ИС МЕГАНОРМ: примечание.
Взамен ГОСТ 12.1.005-76 Постановлением Госстандарта СССР от
29.09.1988 N 3388 с 1 января 1989 года введен в действие
Настоящий стандарт распространяется на первичные и вторичные химические источники тока (далее - изделия) и устанавливает требования безопасности к конструкции.
1.2. Конструкция изделий должна обеспечивать безопасность обслуживающего персонала при производстве, обслуживании и применении по назначению.
1.3. В случаях, когда конструкция изделий в условиях производства и обслуживания не позволяет полностью исключить отрицательные воздействия на обслуживающий персонал, должны быть предусмотрены дополнительные меры, обеспечивающие полную безопасность, что должно быть указано в стандартах или технических условиях на изделия конкретных типов, в инструкции по техническому обслуживанию (эксплуатации) и в других документах по производству, испытаниям и применению.
1.4. Не допускается использовать в аппаратуре, приборах и других потребителях электрической энергии химические источники тока, если не обеспечиваются требования правил безопасности:
напряжение для питания потребителей не соответствует параметрам источника тока;
допускается параллельное соединение нескольких источников тока, имеющих различную, выходящую за установленный допуск, степень заряженности (значение напряжения);
разряд на потребителя электрической энергии возможен до напряжения ниже ограниченного правилами эксплуатации источника тока;
режимы разряда не обеспечены конструкцией и не предусмотрены правилами эксплуатации источников тока;
значения внешних воздействующих факторов превышают значения, допустимые для источника тока;
место установки не обеспечивает надежное крепление источника тока, предусмотренное его конструкцией и указанное в правилах эксплуатации;
контактные устройства потребителей электрической энергии не соответствуют конструкции выводов источника тока и не обеспечивают надежность соединения;
не соблюдены ограничения и запрещения, указанные в нормативно-технической документации на изделия конкретных типов.
| | Применение на добровольной основе раздела 2 обеспечивает соблюдение требований технического регламента "О безопасности колесных транспортных средств" (Приказ Росстандарта от 14.03.2014 N 335). | |
| | Применение на добровольной основе раздела 2 обеспечивает соблюдение требований технического регламента "О безопасности колесных транспортных средств" утв. Постановлением Правительства Российской Федерации от 10.09.2009 N 720 (Приказ Росстандарта от 20.08.2010 N 3109). | |
2. ТРЕБОВАНИЯ К КОНСТРУКЦИИ
2.1. Конструкция изделий должна исключать возможность повреждения рук при работе с источником тока. Края изделий должны быть без трещин, заусенцев и сколов; острые кромки и углы должны быть притуплены.
2.2. Нанесенные на внешнюю поверхность изделий условные знаки и пояснения должны содержать информацию, минимально необходимую для обеспечения безопасного обращения с источником тока.
При невозможности нанесения условных знаков непосредственно на корпус изделий указанная информация должна быть включена в инструкцию по техническому обслуживанию (эксплуатации) изделий, о чем должно быть указано в стандартах или технических условиях на изделиях конкретных типов.
2.3. Конструкция изделий должна исключать возможность вытекания или выплескивания электролита при наклонах, толчках и вибрациях согласно требованиям, указанным в стандартах или технических условиях на изделия конкретных типов.
2.4. Изделия, при работе которых выделяются вещества, вредные для здоровья, должны выполняться герметичными.
Изделия допускается выполнять негерметичными, если защита от воздействия выделяющихся вредных веществ обеспечивается средствами коллективной или индивидуальной защиты, указанными в инструкции по техническому обслуживанию (эксплуатации).
| | Применение на добровольной основе пункта 2.5 обеспечивает соблюдение требований Федерального закона от 22.07.2008 N 123-ФЗ "Технический регламент о требованиях пожарной безопасности" (Приказ Росстандарта от 16.04.2014 N 474). | |
| | Применение на добровольной основе пункта 2.5 обеспечивает соблюдение требований Федерального закона от 22.07.2008 N 123-ФЗ "Технический регламент о требованиях пожарной безопасности" (Приказ Ростехрегулирования от 30.04.2009 N 1573). | |
2.5. Конструкция изделий должна исключать возможность взрыва и самовозгорания источника тока.
2.6. Конструкция аккумуляторов должна обеспечивать контроль уровня заливаемого электролита без необходимости визуальной, неинструментальной проверки через заливочные горловины (отверстия).
2.7. Конструкция заливочных отверстий должна исключать разбрызгивание электролита при работе.
2.8. Конструкция изделий должна, при необходимости, обеспечивать возможность применения стандартных средств индивидуальной или коллективной защиты от воздействия на обслуживающий персонал кислот, щелочей и других токсичных веществ при производстве, техническом обслуживании и применении источников тока.
2.9. Корпус изделий должен иметь опорную поверхность, обеспечивающую устойчивое положение при установке их в приборы, аппаратуру и другие потребители электрической энергии.
При необходимости на корпусе должны быть предусмотрены дополнительные устройства, обеспечивающие надежное крепление в местах установки изделия.
2.10. Корпус изделий массой более 20 кг должен иметь устройства, обеспечивающие возможность переноса двумя руками. При этом прочность корпуса и устройства для переноса должны обеспечивать безопасность перемещения (переноса) с учетом установленных правил эксплуатации источников тока. При невозможности обеспечить необходимую прочность указанных устройств изделия должны помещаться в транспортную тару.
При необходимости в нормативно-технической документации на изделия должны быть указаны допустимые способы транспортирования их при погрузоразгрузочных работах и монтаже.
2.11. Конструкция контактов не должна допускать возможность присоединения изделий в электрическую цепь с нарушением полярности, а также должна исключать возможность появления прерывистого контакта при работе.
2.12. Конструкция внешних соединений аккумуляторов и элементов в батареи должна иметь, при необходимости, защитные устройства, исключающие возможность короткого замыкания при установке и эксплуатации.
| | ИС МЕГАНОРМ: примечание. Взамен ГОСТ 12.1.004-85 Постановлением Госстандарта СССР от 14.06.1991 N 875 с 1 июля 1992 года введен в действие ГОСТ 12.1.004-91. | |
| | Применение на добровольной основе пунктов 2.13, 2.14 обеспечивает соблюдение требований Федерального закона от 22.07.2008 N 123-ФЗ "Технический регламент о требованиях пожарной безопасности" (Приказ Росстандарта от 16.04.2014 N 474). | |
| | Применение на добровольной основе пункта 2.13 обеспечивает соблюдение требований Федерального закона от 22.07.2008 N 123-ФЗ "Технический регламент о требованиях пожарной безопасности" (Приказ Ростехрегулирования от 30.04.2009 N 1573). | |
2.13. Изделия должны быть пожаробезопасными в соответствии с требованиями ГОСТ 12.1.004-85.
| | Применение на добровольной основе пункта 2.14 обеспечивает соблюдение требований Федерального закона от 22.07.2008 N 123-ФЗ "Технический регламент о требованиях пожарной безопасности" (Приказ Ростехрегулирования от 30.04.2009 N 1573). | |
2.14. Вероятность возникновения пожара по конструктивно-производственным причинам вычисляют по формуле

,
где Q - вероятность воспламенения горючего материала изделия или окружающей газовой смеси;
M - количество случаев воспламенения;
N - количество изделий, находящихся в эксплуатации.
Оценку вероятности возникновения пожара проводят на основании результатов эксплуатации изделия.
Если значение

при доверительной вероятности не менее 0,8, то конструкцию изделий считают неудовлетворительной.
| | Применение на добровольной основе пункта 2.15 обеспечивает соблюдение требований Федерального закона от 22.07.2008 N 123-ФЗ "Технический регламент о требованиях пожарной безопасности" (Приказ Росстандарта от 16.04.2014 N 474). | |
| | Применение на добровольной основе пункта 2.15 обеспечивает соблюдение требований Федерального закона от 22.07.2008 N 123-ФЗ "Технический регламент о требованиях пожарной безопасности" (Приказ Ростехрегулирования от 30.04.2009 N 1573). | |
2.15. Температура воспламенения материала корпуса изделий должна быть на 20% выше температуры, которая может быть достигнута на них при коротком замыкании во внешней цепи.
Если теплостойкость материала корпуса изделия не обеспечивает выполнение данного требования, то в конструкции изделий должны быть установлены предохранители или другие устройства, отключающие источники тока от внешней цепи при коротком замыкании в ней.
3. ТРЕБОВАНИЯ К ПРОВЕДЕНИЮ ИСПЫТАНИЙ
| | Применение на добровольной основе пунктов 3.1, 3.2 обеспечивает соблюдение требований Федерального закона от 22.07.2008 N 123-ФЗ "Технический регламент о требованиях пожарной безопасности" (Приказ Росстандарта от 16.04.2014 N 474). | |
| | Применение на добровольной основе пункта 3.1 обеспечивает соблюдение требований Федерального закона от 22.07.2008 N 123-ФЗ "Технический регламент о требованиях пожарной безопасности" (Приказ Ростехрегулирования от 30.04.2009 N 1573). | |
3.1. Перед испытанием на пожаробезопасность должен быть проведен расчет значений предельной температуры возможного нагрева аккумулятора при коротком замыкании во внешней цепи.
| | Применение на добровольной основе пункта 3.2 обеспечивает соблюдение требований Федерального закона от 22.07.2008 N 123-ФЗ "Технический регламент о требованиях пожарной безопасности" (Приказ Ростехрегулирования от 30.04.2009 N 1573). | |
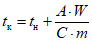
3.2. Температура нагрева при коротком замыкании

°C вычисляют по формуле

,
где

- начальная температура аккумулятора, °C;
A = 3,6;
W - максимальная энергия разряда аккумулятора, Вт x ч;
C - удельная теплоемкость аккумулятора,

;
m - масса изделия, кг.
| | Применение на добровольной основе пункта 3.3 обеспечивает соблюдение требований Федерального закона от 22.07.2008 N 123-ФЗ "Технический регламент о требованиях пожарной безопасности" (Приказ Росстандарта от 16.04.2014 N 474). | |
| | Применение на добровольной основе пункта 3.3 обеспечивает соблюдение требований Федерального закона от 22.07.2008 N 123-ФЗ "Технический регламент о требованиях пожарной безопасности" (Приказ Ростехрегулирования от 30.04.2009 N 1573). | |
3.3. Если расчет температуры аккумулятора при коротком замыкании превышает температуру воспламенения материала аккумулятора, то проводят экспериментальную оценку фактического значения данной температуры при коротком замыкании во внешней цепи путем измерения температуры в наиболее опасных (нагреваемых) точках аккумулятора при коротком замыкании изделий.
| | Применение на добровольной основе пунктов 3.4, 3.5 обеспечивает соблюдение требований Федерального закона от 22.07.2008 N 123-ФЗ "Технический регламент о требованиях пожарной безопасности" (Приказ Росстандарта от 16.04.2014 N 474). | |
| | Применение на добровольной основе пункта 3.4 обеспечивает соблюдение требований Федерального закона от 22.07.2008 N 123-ФЗ "Технический регламент о требованиях пожарной безопасности" (Приказ Ростехрегулирования от 30.04.2009 N 1573). | |
3.4. Значение температуры, вычисленной по формуле
п. 3.2 или полученной экспериментально по
п. 3.3, принимают за исходную при проведении мероприятий по
п. 2.15.
| | Применение на добровольной основе пункта 3.5 обеспечивает соблюдение требований Федерального закона от 22.07.2008 N 123-ФЗ "Технический регламент о требованиях пожарной безопасности" (Приказ Ростехрегулирования от 30.04.2009 N 1573). | |
3.5. Испытания изделий на взрыво- и пожаробезопасность проводят при предварительных испытаниях по требованию потребителя и, при необходимости, при типовых испытаниях.
Взрыво- и пожаробезопасность должны обеспечиваться конструкцией и правилами изготовления изделий.
Порядок и методика проведения испытаний должны быть указаны в нормативно-технической документации на изделия конкретных типов и в программах испытаний. Режим испытаний устанавливают по наиболее напряженным взрыво- и пожаробезопасным условиям применения (хранения) изделий.
3.6. Испытания первичных источников тока на проверку отсутствия утечки электролита проводят методом разряда до напряжения, указанного в нормативно-технической документации на изделия конкретных типов.
При достижении данного напряжения не должно быть выявлено электролита на поверхности элемента и геометрические размеры должны соответствовать установленным в нормативно-технической документации на изделия конкретных типов.