Главная // Актуальные документы // ГОСТ (Государственный стандарт)СПРАВКА
Источник публикации
М.: Издательство стандартов, 1989
Примечание к документу
Документ включен в
Перечень международных и региональных (межгосударственных) стандартов, а в случае их отсутствия - национальных (государственных) стандартов, содержащих правила и методы исследований (испытаний) и измерений, в том числе правила отбора образцов, необходимые для применения и исполнения требований технического
регламента Таможенного союза "О безопасности упаковки" (ТР ТС 005/2011) и осуществления оценки соответствия объектов технического регулирования (
Решение Коллегии Евразийской экономической комиссии от 29.01.2024 N 9).
Документ включен в
Перечень документов в области стандартизации, содержащих правила и методы исследований (испытаний) и измерений, в том числе правила отбора образцов, необходимые для применения и исполнения требований технического
регламента Таможенного союза "О безопасности средств индивидуальной защиты" (ТР ТС 019/2011) и осуществления оценки соответствия объектов технического регулирования (
Решение Комиссии Таможенного союза от 09.12.2011 N 878).
Документ включен в Перечень стандартов (
пункты 136,
197), содержащих правила и методы исследований (испытаний) и измерений, в том числе правила отбора образцов, необходимые для применения и исполнения требований технического
регламента Таможенного союза "О безопасности упаковки" (ТР ТС 005/2011) и осуществления оценки соответствия объектов технического регулирования (
Решение Комиссии Таможенного союза от 16.08.2011 N 769).
Документ включен в
Перечень национальных стандартов, содержащих правила и методы исследований (испытаний) и измерений, в том числе правила отбора образцов, необходимые для применения и исполнения технического
регламента о безопасности средств индивидуальной защиты и осуществления оценки соответствия (
Распоряжение Правительства РФ от 15.02.2011 N 222-р).
С 1 июля 2003 года до вступления в силу технических регламентов акты федеральных органов исполнительной власти в сфере технического регулирования носят рекомендательный характер и подлежат обязательному исполнению только в части, соответствующей целям, указанным в
пункте 1 статьи 46 Федерального закона от 27.12.2002 N 184-ФЗ.
Документ
введен в действие с 1 июля 1981 года.
Взамен ГОСТ 14236-69.
Название документа
"ГОСТ 14236-81 (СТ СЭВ 1490-79). Государственный стандарт Союза ССР. Пленки полимерные. Метод испытания на растяжение"
(утв. и введен в действие Постановлением Госстандарта СССР от 09.02.1981 N 556)
(ред. от 01.06.1988)
"ГОСТ 14236-81 (СТ СЭВ 1490-79). Государственный стандарт Союза ССР. Пленки полимерные. Метод испытания на растяжение"
(утв. и введен в действие Постановлением Госстандарта СССР от 09.02.1981 N 556)
(ред. от 01.06.1988)
Утвержден и введен в действие
Постановлением Государственного
комитета СССР по стандартам
от 9 февраля 1981 г. N 556
ГОСУДАРСТВЕННЫЙ СТАНДАРТ СОЮЗА ССР
ПЛЕНКИ ПОЛИМЕРНЫЕ
МЕТОД ИСПЫТАНИЯ НА РАСТЯЖЕНИЕ
Polymer films. Tensile test method
ГОСТ 14236-81
(СТ СЭВ 1490-79)
| | Список изменяющих документов (в ред. Изменения N 1, утв. в июне 1988 г.) | |
Срок действия
с 1 июля 1981 года
до 1 января 1999 года
1. РАЗРАБОТАН И ВНЕСЕН Министерством химической промышленности
ИСПОЛНИТЕЛИ
Г.А. Попов; К.А. Клочков; В.Г. Ракова; Л.Б. Беликов
2. УТВЕРЖДЕН И ВВЕДЕН В ДЕЙСТВИЕ Постановлением Государственного комитета СССР по стандартам от 9 февраля 1981 г. N 556
3. ВЗАМЕН ГОСТ 14236-69
4. Стандарт полностью соответствует СТ СЭВ 1490-79
5. ССЫЛОЧНЫЕ НОРМАТИВНО-ТЕХНИЧЕСКИЕ ДОКУМЕНТЫ
Обозначение НТД, на который дана ссылка | Номер пункта |
| | ИС МЕГАНОРМ: примечание. Взамен ГОСТ 7855-84 Постановлением Госстандарта СССР от 29.12.1990 N 3530 с 1 января 1993 года введен в действие ГОСТ 28840-90. | |
|
ГОСТ 7855-84 | |
| |
| | ИС МЕГАНОРМ: примечание. ГОСТ 12423-66 утратил силу с 1 января 2015 года в связи с введением в действие ГОСТ 12423-2013 (Приказ Росстандарта от 22.11.2013 N 1069-ст). | |
|
ГОСТ 12423-66 | |
| |
| |
6. Срок действия продлен до 01.01.99 Постановлением Госстандарта СССР от 01.06.88 N 1658
7. ПЕРЕИЗДАНИЕ (январь 1989 г.) с Изменением N 1, утвержденным в июне 1988 г. (ИУС 9-88).
Настоящий стандарт распространяется на полимерные пленки и пленочные материалы толщиной до 1 мм и устанавливает метод испытания на растяжение.
Метод основан на растяжении испытуемого образца с определенной скоростью деформирования для определения показателей, указанных в справочном
приложении.
Настоящий стандарт не распространяется на пленки, изготовленные из армированных материалов или имеющие неровную поверхность.
Стандарт полностью соответствует СТ СЭВ 1490-79.
1.1. Для испытания применяют образцы в форме прямоугольника шириной от 10 до 25 мм, длиной не менее 150 мм. Предельные отклонения по ширине образца должны быть +/- 0,2 мм.
Ширина образца должна быть указана в нормативно-технической документации на материал.
За толщину образца принимают толщину испытуемого материала. Допускается применять образцы типа 1 и типа 2 по
ГОСТ 11262-80.
(Измененная редакция, Изм. N 1).
1.2. Тип, способ, режим изготовления и отбор образцов должны быть указаны в нормативно-технической документации на материал. Края образцов должны быть ровными, гладкими, без зазубрин и других видимых дефектов.
Для проверки качества кромок образцов рекомендуется пользоваться лупой с не менее 8x - увеличением.
1.3. Для испытания изотропных материалов используют не менее пяти образцов, для испытания анизотропных - не менее пяти образцов, отобранных в направлениях, которые должны быть указаны в нормативно-технической документации на материал.
| | ИС МЕГАНОРМ: примечание. ГОСТ 12423-66 утратил силу с 1 января 2015 года в связи с введением в действие ГОСТ 12423-2013 (Приказ Росстандарта от 22.11.2013 N 1069-ст). | |
1.4. Образцы кондиционируют не менее 16 ч по ГОСТ 12423-66 при температуре (23 +/- 2) °C, относительной влажности (50 +/- 5)%, если в нормативно-технической документации на материал нет других указаний.
| | ИС МЕГАНОРМ: примечание. Взамен ГОСТ 7855-84 Постановлением Госстандарта СССР от 29.12.1990 N 3530 с 1 января 1993 года введен в действие ГОСТ 28840-90. | |
2.1. Разрывные и универсальные испытательные машины с электромеханическим приводом - по ГОСТ 7855-84. Предел допускаемого значения погрешности измерения нагрузки при прямом ходе не должен превышать +/- 1% измеряемой нагрузки.
2.2. Зажимы испытательной машины должны обеспечивать надежное крепление образцов, совпадение продольной оси образца с направлением растяжения и не должны вызывать разрушение образца.
2.1, 2.2. (Измененная редакция, Изм. N 1).
2.3. Прибор для измерения удлинения в процессе испытания при удлинениях от 0,5 до 10 мм должен иметь погрешность измерения не более 0,1 мм, при значениях удлинения свыше 10 мм погрешность измерения не должна превышать 1% от предела измерения, если в нормативно-технической документации на материал нет других указаний.
2.4. Прибор для измерения толщины образца по
ГОСТ 17035-86, метод А.
(Измененная редакция, Изм. N 1).
2.5. Прибор для измерения ширины образца должен обеспечивать измерение с погрешностью не более 0,1 мм.
3.1. Перед испытанием на центральную часть образца наносят метки, ограничивающие расчетную длину l0, которая должна быть указана в нормативно-технической документации на материал и должна быть не менее 50 мм для образцов прямоугольной формы.
Нанесение меток на образцы не должно приводить к изменению свойств образцов и к разрушению образцов по меткам.
3.2. Толщину и ширину образцов измеряют в трех местах, в середине образца и на расстоянии 5 мм от краев меток.
Из полученных значений вычисляют средние арифметические, по которым вычисляют начальное поперечное сечение A0.
3.3. Образцы закрепляют в зажимы испытательной машины. Их равномерно затягивают, чтобы не происходило скольжения образца при испытании, но при этом не разрушался образец в месте закрепления.
Расстояние между зажимами испытательной машины должно быть указано в нормативно-технической документации на материал. При отсутствии указаний выбирают зажимную длину 100 мм для образцов прямоугольной формы.
3.4. Испытания проводят при температуре (23 +/- 2) °C и относительной влажности (50 +/- 5)%, если в нормативно-технической документации на материал нет других указаний.
3.5. Испытание проводят при скорости раздвижения зажимов испытательной машины, предусмотренной в нормативно-технической документации на материал, которая должна соответствовать одной из указанных в табл. 2.
Таблица 2
Скорость, мм/мин | Допускаемая погрешность, мм/мин |
1 | +/- 0,5 |
2 (2,5) | +/- 0,4 |
5 | +/- 1,0 |
10 | +/- 1,0 |
20 (25) | +/- 2,0 |
50 | +/- 5,0 |
100 | +/- 10,0 |
200 (250) | +/- 20,0 |
500 | +/- 50,0 |
3.6. При испытании постоянно измеряют нагрузку и удлинение образца. При записи "нагрузка - удлинение" определяют показатели испытания на растяжение в соответствии с чертежом.
1 - материал имеет предел текучести; 2 - материал не имеет
предела текучести; a - участки прямолинейного направления
кривой в начале кривой "нагрузка - удлинение"; S - предел
текучести; x - отрезок на оси удлинения для определения
условного предела текучести; Sx - условный предел текучести
Допускается вычисление значения удлинения образца по измерению расстояния между зажимами.
3.7. Образцы, разрушающиеся при испытании за пределами расчетной длины, или у которых в процессе испытания обнаружены дефекты материала, в расчет не принимают.
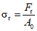
4.1. Прочность

в МПа (Н/мм
2) вычисляют по формулам:
прочность при растяжении


;
прочность при разрыве


;
предел текучести


;
условный предел текучести


,
где Fmax - максимальная растягивающая нагрузка при испытании на растяжение, Н;
Fr - растягивающая нагрузка в момент разрыва, Н;
Fs - растягивающая нагрузка в момент достижения предела текучести, Н;

- растягивающая нагрузка в момент достижения условного предела текучести, Н;
A0 - начальное поперечное сечение образца, мм2.
За результат испытания принимают среднее арифметическое не менее пяти определений, вычисленное до третьей значащей цифры.
4.2. Относительное удлинение

в процентах вычисляют по формулам:
относительное удлинение при максимальной нагрузке


;
относительное удлинение при разрыве


;
относительное удлинение при пределе текучести


,
где l0 - начальная расчетная длина образца, мм;
loz - изменение расчетной длины образца в момент достижения максимальной нагрузки, мм;

- изменение расчетной длины образца в момент разрыва, мм;

- изменение расчетной длины образца в момент достижения предела текучести, мм.
За результат испытания принимают среднее арифметическое не менее пяти определений, вычисленное до второй значащей цифры.
(Измененная редакция, Изм. N 1).
4.3. Для каждого показателя вычисляют величину стандартного отклонения по
ГОСТ 14359-69 с точностью, предусмотренной для вычисления среднего арифметического.
4.4. Результаты испытания записывают в протокол, который должен содержать следующие данные:
наименование материала, обозначение нормативно-технического документа на материал, наименование предприятия-изготовителя, номер и дату изготовления партии;
метод изготовления, место вырезки образцов и направление вырезки для анизотропных материалов;
условия кондиционирования;
тип использованных образцов с указанием ширины и толщины в пределах расчетной длины l0;
атмосферные условия в помещении испытания;
число испытуемых образцов;
тип испытательной машины и вид измерения удлинения;
скорость испытания, расчетная длина и начальное расстояние между зажимами;
отдельное значение определяемых показателей каждого образца и среднее арифметическое;
стандартное отклонение (если предусмотрено в нормативно-технической документации на материал);
дату испытания и обозначение настоящего стандарта.
(Измененная редакция, Изм. N 1).
Справочное
Наименование | Обозначение | Единица измерения | Определение |
Толщина образца | d | мм | Среднее арифметическое не менее трех измерений в пределах расчетной длины (l0) образца перед испытанием |
Ширина образца | b | мм | Среднее арифметическое не менее трех измерений в пределах расчетной длины (l0) образца перед испытанием |
Начальное поперечное сечение | A0 | мм2 | Произведение толщины (d) на ширину (b) |
Растягивающая нагрузка | F | Н | Нагрузка, действующая на образец в каждый момент испытания |
Удлинение | | мм | Измеренное изменение расчетной длины (l0) образца в каждый момент испытания |
Кривая "нагрузка - удлинение" | - | - | Графическая зависимость между удлинением и растягивающей нагрузкой (запись испытательной машины) |
Предел текучести | S | - | Точка кривой "нагрузка - удлинение", в которой происходит первое увеличение деформации образца без увеличения растягивающей нагрузки (см. чертеж, кривая 1) |
Условный предел текучести | Sx | - | Определяют в тех случаях, когда испытуемый материал не имеет предела текучести. Sx определяют графически в точке пересечения кривой "нагрузка - удлинение" с прямой, проведенной параллельно прямолинейному начальному участку кривой "нагрузка - удлинение" и отсекающей от оси абсциссы участок удлинения, отвечающий относительному удлинению, например 1% (см. чертеж, кривая 2) |
Прочность при растяжении | | МПа (Н/мм2) | Максимальная растягивающая нагрузка (Fmax) при испытании на растяжение, отнесенная к площади первоначального поперечного сечения (A0) образца |
Прочность при разрыве | | МПа (Н/мм2) | Растягивающая нагрузка (Fr), при которой разрушился образец, отнесенная к площади первоначального поперечного сечения (A0) образца |
Предел текучести | | МПа (Н/мм2) | Растягивающая нагрузка (Fs) у предела текучести (S), отнесенная к площади первоначального сечения (A0) образца |
Условный предел текучести | | МПа (Н/мм2) | Растягивающая нагрузка  у условного предела текучести ( Sx), отнесенная к площади первоначального поперечного сечения ( A0) образца |
Относительное удлинение при максимальной нагрузке | | % | Изменение расчетной длины  в момент достижения максимальной нагрузки ( Fmax), отнесенное к начальной расчетной длине ( l0) образца при испытании на растяжение |
Относительное удлинение при разрыве | | % | Изменение расчетной длины  в момент разрыва, отнесенное к начальной расчетной длине ( l0) образца при испытании на растяжение |
Относительное удлинение при пределе текучести | | % | Изменение расчетной длины  в момент достижения предела текучести ( S), отнесенное к начальной расчетной длине ( l0) образца при испытании на растяжение |
(Измененная редакция, Изм. N 1).