Главная // Актуальные документы // ГОСТ (Государственный стандарт)СПРАВКА
Источник публикации
В данном виде документ опубликован не был.
Первоначальный текст документа опубликован в издании
М.: Издательство стандартов, 1985.
Информацию о публикации документов, создающих данную редакцию, см. в справке к этим документам.
Примечание к документу
С 1 июля 2003 года до вступления в силу технических регламентов акты федеральных органов исполнительной власти в сфере технического регулирования носят рекомендательный характер и подлежат обязательному исполнению только в части, соответствующей целям, указанным в
пункте 1 статьи 46 Федерального закона от 27.12.2002 N 184-ФЗ.
Ограничение срока действия снято по Протоколу N 4-93 Межгосударственного совета по стандартизации, метрологии и сертификации ("ИУС", N 4, 1994).
Срок действия продлен до 1 января 1990 года Постановлением Госстандарта СССР от 05.06.1984 N 1836.
Изменение N 3, утв. Постановлением Госстандарта СССР от 12.06.1989 N 1535, введено в действие с 1 декабря 1989 года.
Взамен ГОСТ 9782-61 в части хлопчатобумажных, шелковых и льняных тканей.
Название документа
"ГОСТ 19204-73. Государственный стандарт Союза ССР. Полотна текстильные. Метод определения несминаемости"
(введен Постановлением Госстандарта СССР от 15.11.1973 N 2497)
(ред. от 12.06.1989)
"ГОСТ 19204-73. Государственный стандарт Союза ССР. Полотна текстильные. Метод определения несминаемости"
(введен Постановлением Госстандарта СССР от 15.11.1973 N 2497)
(ред. от 12.06.1989)
Введен Постановлением
Государственного комитета стандартов
Совета Министров СССР
от 15 ноября 1973 г. N 2497
ГОСУДАРСТВЕННЫЙ СТАНДАРТ СОЮЗА ССР
ПОЛОТНА ТЕКСТИЛЬНЫЕ
МЕТОД ОПРЕДЕЛЕНИЯ НЕСМИНАЕМОСТИ
Textile fabrics. Method for determination
of crease resistance
ГОСТ 19204-73
| | Список изменяющих документов (в ред. Изменения N 1, утв. в октябре 1979 г., Изменения N 2, утв. в июне 1984 г., Госстандарта СССР от 12.06.1989 N 1535) | |
Взамен
ГОСТ 9782-61 в части
хлопчатобумажных, шелковых
и льняных тканей
Постановлением Государственного комитета стандартов Совета Министров СССР от 15 ноября 1973 г. N 2497 срок введения установлен
с 1 января 1975 года
Проверен в 1984 г. Постановлением Госстандарта от 05.06.84 N 1836 срок действия продлен
до 1 января 1990 года
Переиздание (сентябрь 1985 г.) с Изменениями N 1, 2, утвержденными в октябре 1979 г., июне 1984 г. (ИУС 12-79, 9-84).
Несоблюдение стандарта преследуется по закону
Настоящий стандарт распространяется на готовые ткани, нетканые полотна из волокон и нитей всех видов, кроме шерстяных и полушерстяных, и устанавливает метод определения несминаемости.
(в ред.
Изменения N 3, утв. Постановлением Госстандарта СССР от 12.06.1989 N 1535)
Стандарт не распространяется на технические и рельефные ткани типа "Космос".
Сущность метода заключается в измерении отдельно для продольного и поперечного направлений полотна угла восстановления в результате отдыха после нагружения при заданном давлении в течение определенного времени пробной полоски, сложенной под углом 180°.
(в ред.
Изменения N 3, утв. Постановлением Госстандарта СССР от 12.06.1989 N 1535)
Абзац исключен с 1 декабря 1989 года. -
Изменение N 3, утв. Постановлением Госстандарта СССР от 12.06.1989 N 1535.
1.1. Отбор точечных проб производят по
ГОСТ 20566-75 и
ГОСТ 13587-77 со следующим изменением: из каждой отобранной точечной пробы ткани, нетканого полотна вырезают квадрат размером 150x150 мм.
(в ред.
Изменения N 3, утв. Постановлением Госстандарта СССР от 12.06.1989 N 1535)
Точечные пробы не должны иметь перекоса и смятых мест.
1.2. Из каждого квадрата вырезают по пять элементарных проб Т-образной формы в продольном и поперечном направлениях так, чтобы каждая последующая элементарная проба не являлась продолжением предыдущей. Посередине каждой элементарной пробы указывают продольное направление полотна. Размеры элементарной пробы должны соответствовать размерам, указанным на
черт. 1.
(в ред.
Изменения N 3, утв. Постановлением Госстандарта СССР от 12.06.1989 N 1535)
(Измененная редакция, Изм. N 1).
1.3, 1.4. (Исключены, Изм. N 1).
2.1. Для проведения испытания применяют прибор типа СМТ
(черт. 2), секундомер.
(в ред.
Изменения N 3, утв. Постановлением Госстандарта СССР от 12.06.1989 N 1535)
Прибор предназначен для определения несминаемости текстильных полотен толщиной до 2 мм. Допускается использовать другие приборы, принцип действия которых аналогичен прибору СМТ.
1 - корпус; 2 - кнопки для подъема лапок предварительного
нагружения; 3 - регулируемые опоры; 4 - винт перемещения
измерительного устройства; 5 - измерительное устройство;
6 - направляющие типа "ласточкин хвост"; 7 - рычаги;
8 - поворотная лапка предварительного нагружения; 9 - контур
Т-образный; 10 - прижимные пластины; 11 - поворотный
барабан, имеющий три рабочих положения; 12 - ручка
с фиксатором; 13 - рукоятка нагружения; 14 - вилка.
(Измененная редакция, Изм. N 1).
2.2. При возникновении разногласий в определении несминаемости испытания проводят на приборе типа СМТ.
(в ред.
Изменения N 3, утв. Постановлением Госстандарта СССР от 12.06.1989 N 1535)
3. ПОДГОТОВКА К ИСПЫТАНИЮ
3.1. Элементарные пробы перед испытанием должны быть выдержаны не менее 24 ч в климатических условиях по
ГОСТ 10681-75. В этих же условиях проводят испытания.
(Измененная редакция, Изм. N 1, 2).
4.1. Определение несминаемости на приборе типа СМТ
(в ред.
Изменения N 3, утв. Постановлением Госстандарта СССР от 12.06.1989 N 1535)
4.1.1. Перед началом испытания рукоятка нагружения
(черт. 2) должна находиться в положении "разгружение", а лапки предварительного нагружения подняты вверх, для чего поворотный барабан переводят ручкой с фиксатором в положение
I (положение заправки элементарных проб).
4.1.2. Подготовленные к испытанию элементарные пробы помещают на барабане лицевой стороной вниз под прижимные пластины, подъем которых осуществляют рычагами. Элементарные пробы закрепляют так, чтобы их края совпадали с Т-образным контуром, начерченным на пластинке поворотного барабана.
4.1.3. С помощью вилки перегибают рабочие части элементарных проб и опускают вниз лапки предварительного нагружения нажатием на их головки.
Лапки создают предварительное нагружение и удерживают элементарные пробы в сложенном состоянии. При этом угол сгиба элементарной пробы будет равен 180°, а площадь петли элементарной пробы, находящейся под лапкой, будет равна 1,5 см2.
4.1.4. После того как все десять элементарных проб будут заправлены, барабан переводят в положение II (положение нагружения), для чего ручку с фиксатором поворачивают на 90° против часовой стрелки. Затем плавным поворотом рукоятку нагружения переводят в положение "нагружение". К элементарным пробам, сложенным в петлю, подводят основную нагрузку, равную 1,47 даН и в течение 15 мин элементарные пробы подвергают нагружению.
(в ред.
Изменения N 3, утв. Постановлением Госстандарта СССР от 12.06.1989 N 1535)
При этом давление на 1 см2 элементарной пробы должно быть 98,1 кПа.
(Измененная редакция, Изм. N 1).
4.1.5. Через 15 мин. после приложения нагрузки рукоятку переводят в положение "разгружение" и с помощью ручки поворачивают барабан на 180° по часовой стрелке в положение III (положение замера угла восстановления).
4.1.6. Последовательно нажимая на кнопки, поднимают лапки предварительного нагружения вверх, вследствие чего элементарные пробы освобождают от предварительной нагрузки. Одновременно включают секундомер.
4.1.7. Через 5 мин после снятия нагрузки проводят замер угла восстановления, для чего вращением винта измерительное устройство подводят к ребру сгиба так, чтобы перекрестие на диске совпало со сгибом элементарной пробы.
Вращением регулировочного винта совмещают стрелку указателя с ребром сгиба элементарной пробы.
4.1.8. Производят замер плоского угла, на который отойдет свободный конец элементарной пробы. Угол и называется углом восстановления и измеряют его в градусах с погрешностью +/- 1°.
Если угол, образованный сводным концом элементарной пробы, будет иметь два значения (верхний край элементарной пробы отойдет на больший или меньший угол по сравнению с нижним), то за результат измерения принимают среднее арифметическое результатов измерений этих углов.
(Измененная редакция, Изм. N 1).
4.2 - 4.2.3 - 4.3. (Исключены, Изм. N 1).
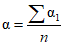
5.1. Несминаемость точечной пробы

в градусах вычисляют отдельно для продольного и поперечного направлений текстильного полотна по формуле

,
где

- отдельный результат измерения угла восстановления, град;
n - количество испытаний.
Вычисление результатов испытаний проводят с точностью до +/- 1.
Пересчет показателей несминаемости, выраженных в процентах, проводят в соответствии с
приложением.
(п. 5.1 в ред.
Изменения N 3, утв. Постановлением Госстандарта СССР от 12.06.1989 N 1535)
5.2. За окончательный результат испытания принимают несминаемость текстильного полотна изделия по одному из направлений, имеющему меньшее абсолютное значение показателя несминаемости.
(в ред.
Изменения N 3, утв. Постановлением Госстандарта СССР от 12.06.1989 N 1535)
Для хлопчатобумажных тканей с отделками синтетическими смолами за окончательный результат испытания принимают величину суммы средних углов восстановления в продольном и поперечном направлениях ткани в градусах.
5.1, 5.2. (Измененная редакция, Изм. N 1).
Справочное
Госстандарта СССР от 12.06.1989 N 1535)
Пересчет показателя несминаемости, выраженного в процентах, проводят по формуле

,
где X - несминаемость текстильного полотна, %;

- угол полного раскрытия элементарной пробы, равный 180°.